Evidence of Cooperative Effects for the Fe(phen)2(NCS)2 Spin Crossover Molecular Complex in Polyaniline Plus Iron Magnetite
Abstract
1. Introduction
2. Experimental Details
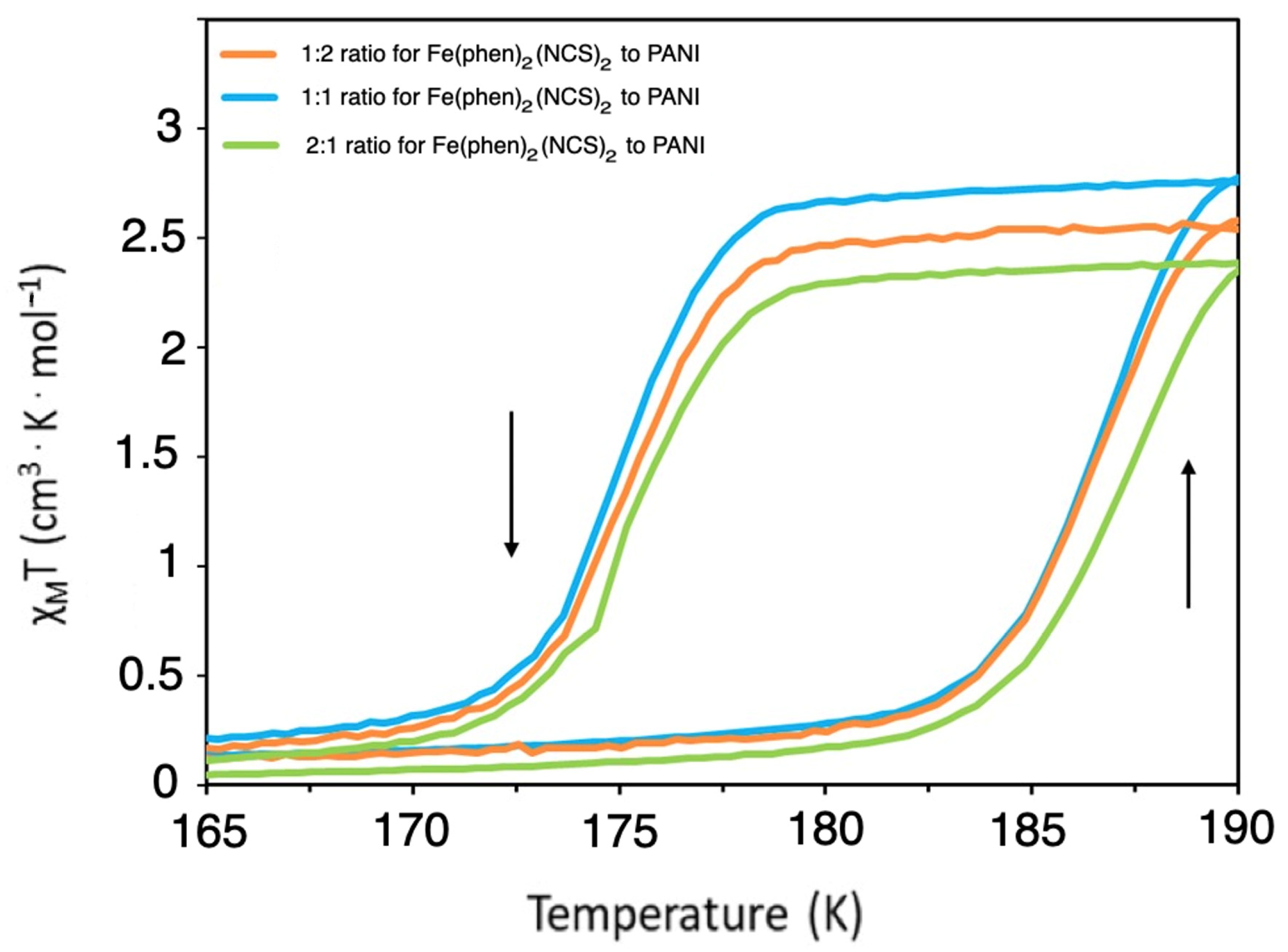
3. Miscibility and Cooperativity
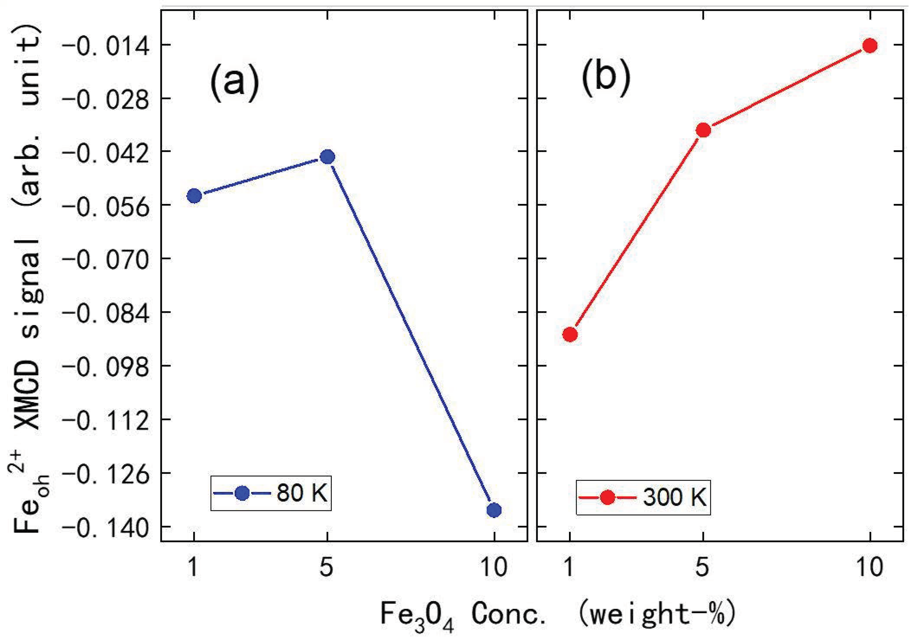
4. Phase Separation and Cooperativity
5. I(V) Characteristics
6. Summary
Supplementary Materials
Author Contributions
Funding
Data Availability Statement
Acknowledgments
Conflicts of Interest
References
- Nieto-Castro, D.; Garcés-Pineda, F.A.; Moneo-Corcuera, A.; Sánchez-Molina, I.; Galán-Mascarós, J.R. Mechanochemical Processing of Highly Conducting Organic/Inorganic Composites Exhibiting Spin Crossover–Induced Memory Effect in Their Transport Properties. Adv. Funct. Mater. 2021, 31, 2102469. [Google Scholar] [CrossRef]
- Joseph, A. Modifying Magnetic Properties by Ion Irradiation or Light-Matter Coupling: Towards Innovative Magnetic Memory Devices; L’université de Strasbourg: Strasbourg, France, 2024. [Google Scholar]
- Mishra, E.; Ekanayaka, T.K.; McElveen, K.A.; Lai, R.Y.; Dowben, P.A. Evidence for long drift carrier lifetimes in [Fe(Htrz)2(trz)](BF4) plus polyaniline composites. Org. Electron. 2022, 105, 106516. [Google Scholar] [CrossRef]
- Dowben, P.A.; Mishra, E.; Ekanayaka, T.K.; Cheng, R. Progress towards the competitive multiferroic molecular transistor. In Proceedings of the 2023 IEEE Nanotechnology Materials and Devices Conference (NMDC), Paestum, Italy, 22–25 October 2023; pp. 626–627. [Google Scholar]
- Mishra, E.; Chin, W.; McElveen, K.A.; Ekanayaka, T.K.; Zaz, M.Z.; Viswan, G.; Zielinski, R.; N’Diaye, A.T.; Shapiro, D.; Lai, R.Y.; et al. Electronic transport properties of spin-crossover polymer plus polyaniline composites with Fe3O4 nanoparticles. J. Phys. Mater. 2024, 7, 015010. [Google Scholar] [CrossRef]
- Koo, Y.; Galán-Mascarós, J.R. Spin Crossover Probes Confer Multistability to Organic Conducting Polymers. Adv. Mater. 2014, 26, 6785–6789. [Google Scholar] [CrossRef]
- Enriquez-Cabrera, A.; Rapakousiou, A.; Piedrahita Bello, M.; Molnár, G.; Salmon, L.; Bousseksou, A. Spin crossover polymer composites, polymers and related soft materials. Coord. Chem. Rev. 2020, 419, 213396. [Google Scholar] [CrossRef]
- Kilic, M.S.; Brehme, J.; Pawlak, J.; Tran, K.; Bauer, F.W.; Shiga, T.; Suzuki, T.; Nihei, M.; Sindelar, R.F.; Renz, F. Incorporation and Deposition of Spin Crossover Materials into and onto Electrospun Nanofibers. Polymers 2023, 15, 2365. [Google Scholar] [CrossRef]
- Tanasa, R.; Laisney, J.; Stancu, A.; Boillot, M.-L.; Enachescu, C. Hysteretic behavior of Fe(phen)2(NCS)2 spin-transition microparticles vs. the environment: A huge reversible component resolved by first order reversal curves. Appl. Phys. Lett. 2014, 104, 031909. [Google Scholar] [CrossRef]
- Kahn, O.; Kröber, J.; Jay, C. Spin Transition Molecular Materials for displays and data recording. Adv. Mater. 1992, 4, 718–728. [Google Scholar] [CrossRef]
- Kahn, O.; Martinez, C.J. Spin-Transition Polymers: From Molecular Materials Toward Memory Devices. Science 1998, 279, 44–48. [Google Scholar] [CrossRef]
- Bousseksou, A.; Molnár, G.; Demont, P.; Menegotto, J. Observation of a thermal hysteresis loop in the dielectric constant of spin crossover complexes: Towards molecular memory devices. J. Mater. Chem. 2003, 13, 2069–2071. [Google Scholar] [CrossRef]
- Bousseksou, A.; Molnár, G. The spin-crossover phenomenon: Towards molecular memories. Comptes Rendus Chim. 2003, 6, 1175–1183. [Google Scholar] [CrossRef]
- Miyamachi, T.; Gruber, M.; Davesne, V.; Bowen, M.; Boukari, S.; Joly, L.; Scheurer, F.; Rogez, G.; Yamada, T.K.; Ohresser, P.; et al. Robust spin crossover and memristance across a single molecule. Nat. Commun. 2012, 3, 938. [Google Scholar] [CrossRef]
- Kuch, W.; Bernien, M. Controlling the magnetism of adsorbed metal–organic molecules. J. Phys. Condens. Matter 2017, 29, 023001. [Google Scholar] [CrossRef]
- Prins, F.; Monrabal-Capilla, M.; Osorio, E.A.; Coronado, E.; van der Zant, H.S.J. Room-Temperature Electrical Addressing of a Bistable Spin-Crossover Molecular System. Adv. Mater. 2011, 23, 1545–1549. [Google Scholar] [CrossRef]
- Ekanayaka, T.K.; Hao, G.; Mosey, A.; Dale, A.S.; Jiang, X.; Yost, A.J.; Sapkota, K.R.; Wang, G.T.; Zhang, J.; N’Diaye, A.T.; et al. Nonvolatile Voltage Controlled Molecular Spin-State Switching for Memory Applications. Magnetochemistry 2021, 7, 37. [Google Scholar] [CrossRef]
- Zaz, M.Z.; Ekanayaka, T.K.; Cheng, R.; Dowben, P.A. Variability of the Conductance Changes Associated with the Change in the Spin State in Molecular Spin Crossover Complexes. Magnetochemistry 2023, 9, 223. [Google Scholar] [CrossRef]
- Zhang, Y.; Zhang, L.; Ridier, K.; Salmon, L.; Séguy, I.; Molnár, G.; Bousseksou, A. Switching endurance of the molecular spin crossover complex [Fe(HB(tz)3)2]: From single crystals to thin films and electronic devices. Mater. Adv. 2022, 3, 8193–8200. [Google Scholar] [CrossRef]
- Zhang, Y.; Séguy, I.; Ridier, K.; Shalabaeva, V.; Piedrahita-Bello, M.; Rotaru, A.; Salmon, L.; Molnár, G.; Bousseksou, A. Resistance switching in large-area vertical junctions of the molecular spin crossover complex [Fe(HB(tz)3)2]: ON/OFF ratios and device stability. J. Phys. Condens. Matter 2020, 32, 214010. [Google Scholar] [CrossRef]
- Shi, S.; Schmerber, G.; Arabski, J.; Beaufrand, J.-B.; Kim, D.J.; Boukari, S.; Bowen, M.; Kemp, N.T.; Viart, N.; Rogez, G.; et al. Study of molecular spin-crossover complex Fe(phen)2(NCS)2 thin films. Appl. Phys. Lett. 2009, 95, 043303. [Google Scholar] [CrossRef]
- Real, J.A.; Gallois, B.; Granier, T.; Suez-Panama, F.; Zarembowitch, J. Comparative investigation of the spin-crossover compounds Fe(btz)2(NCS)2 and Fe(phen)2(NCS)2 (where btz = 2,2′-bi-4,5-dihydrothiazine and phen = 1,10-phenanthroline). Magnetic properties and thermal dilatation behavior and crystal structure of Fe(btz)2(NCS)2 at 293 and 130 K. Inorg. Chem. 1992, 31, 4972–4979. [Google Scholar] [CrossRef]
- Ellingsworth, E.C.; Turner, B.; Szulczewski, G. Thermal conversion of [Fe(phen)3](SCN)2 thin films into the spin crossover complex Fe(phen)2(NCS)2. RSC Adv. 2013, 3, 3745. [Google Scholar] [CrossRef]
- Laisney, J.; Tissot, A.; Molnár, G.; Rechignat, L.; Rivière, E.; Brisset, F.; Bousseksou, A.; Boillot, M.-L. Nanocrystals of Fe(phen)2(NCS)2 and the size-dependent spin-crossover characteristics. Dalt. Trans. 2015, 44, 17302–17311. [Google Scholar] [CrossRef] [PubMed]
- Enachescu, C.; Tanasa, R.; Stancu, A.; Tissot, A.; Laisney, J.; Boillot, M.-L. Matrix-assisted relaxation in Fe(phen)2(NCS)2 spin-crossover microparticles, experimental and theoretical investigations. Appl. Phys. Lett. 2016, 109, 031908. [Google Scholar] [CrossRef]
- Beniwal, S.; Sarkar, S.; Baier, F.; Weber, B.; Dowben, P.A.; Enders, A. Site selective adsorption of the spin crossover complex Fe(phen)2(NCS)2 on Au(111). J. Phys. Condens. Matter 2020, 32, 324003. [Google Scholar] [CrossRef]
- Bousseksou, A.; Negre, N.; Goiran, M.; Salmon, L.; Tuchagues, J.P.; Boillot, M.L.; Boukheddaden, K.; Varret, F. Dynamic triggering of a spin-transition by a pulsed magnetic field. Eur. Phys. J. B 2000, 13, 451–456. [Google Scholar] [CrossRef]
- Zhang, X.; Mu, S.; Chastanet, G.; Daro, N.; Palamarciuc, T.; Rosa, P.; Létard, J.-F.; Liu, J.; Sterbinsky, G.E.; Arena, D.A.; et al. Complexities in the Molecular Spin Crossover Transition. J. Phys. Chem. C 2015, 119, 16293–16302. [Google Scholar] [CrossRef]
- Sorai, M.; Seki, S. Phonon coupled cooperative low-spin 1A1high-spin 5T2 transition in [Fe(phen)2(NCS)2] and [Fe(phen)2(NCSe)2] crystals. J. Phys. Chem. Solids 1974, 35, 555–570. [Google Scholar] [CrossRef]
- Gallois, B.; Real, J.A.; Hauw, C.; Zarembowitch, J. Structural changes associated with the spin transition in bis(isothiocyanato)bis(1,10-phenanthroline)iron: A single-crystal x-ray investigation. Inorg. Chem. 1990, 29, 1152–1158. [Google Scholar] [CrossRef]
- Valverde-Muñoz, F.J.; Gaspar, A.B.; Shylin, S.I.; Ksenofontov, V.; Real, J.A. Synthesis of Nanocrystals and Particle Size Effects Studies on the Thermally Induced Spin Transition of the Model Spin Crossover Compound [Fe(phen)2(NCS)2]. Inorg. Chem. 2015, 54, 7906–7914. [Google Scholar] [CrossRef]
- Granier, T.; Gallois, B.; Gaultier, J.; Real, J.A.; Zarembowitch, J. High-pressure single-crystal x-ray diffraction study of two spin-crossover iron(II) complexes: Fe(Phen)2(NCS)2 and Fe(Btz)2(NCS)2. Inorg. Chem. 1993, 32, 5305–5312. [Google Scholar] [CrossRef]
- Qi, Y.; Müller, E.W.; Spiering, H.; Gütlich, P. The effect of a magnetic field on the high-spin α low-spin transition in [Fe(phen)2(NCS)2]. Chem. Phys. Lett. 1983, 101, 503–505. [Google Scholar] [CrossRef]
- Müller, E.W.; Spiering, H.; Gütlich, P. Spin transition in [Fe(phen)2(NCS)2] and [Fe(bipy)2(NCS)2]: Hysteresis and effect of crystal quality. Chem. Phys. Lett. 1982, 93, 567–571. [Google Scholar] [CrossRef]
- Bousseksou, A.; McGarvey, J.J.; Varret, F.; Real, J.A.; Tuchagues, J.-P.; Dennis, A.C.; Boillot, M.L. Raman spectroscopy of the high- and low-spin states of the spin crossover complex Fe(phen)2(NCS)2: An initial approach to estimation of vibrational contributions to the associated entropy change. Chem. Phys. Lett. 2000, 318, 409–416. [Google Scholar] [CrossRef]
- Bertoni, R.; Lorenc, M.; Graber, T.; Henning, R.; Moffat, K.; Létard, J.-F.; Collet, E. Cooperative elastic switching vs. laser heating in [Fe(phen)2(NCS)2] spin-crossover crystals excited by a laser pulse. CrystEngComm 2016, 18, 7269–7275. [Google Scholar] [CrossRef]
- Gruber, M.; Miyamachi, T.; Davesne, V.; Bowen, M.; Boukari, S.; Wulfhekel, W.; Alouani, M.; Beaurepaire, E. Spin crossover in Fe(phen)2(NCS)2 complexes on metallic surfaces. J. Chem. Phys. 2017, 146, 092312. [Google Scholar] [CrossRef]
- Saha, S.; Chandra, P.; Mandal, S.K. Spin state bistability in (Mn, Zn) doped Fe(phen)2(NCS)2 molecular thin film nanocrystals on quartz. Physica B 2022, 642, 414128. [Google Scholar] [CrossRef]
- Saha, S.; Mandal, S.K. Spin transition properties of metal (Zn, Mn) diluted Fe(phen)2(NCS)2 spin-crossover thin films. Eur. Phys. J. Appl. Phys. 2020, 91, 20301. [Google Scholar] [CrossRef]
- Saha, S.; Mandal, S.K. Methanol sensing characteristics in undoped and (Zn, Mn) doped Fe(phen)2(NCS)2 spin-crossover thin films. Mater. Today Proc. 2022, 66, 3387–3391. [Google Scholar] [CrossRef]
- Tissot, A.; Enachescu, C.; Boillot, M.L. Control of the thermal hysteresis of the prototypal spin-transition FeII(phen)2(NCS)2 compound via the microcrystallites environment: Experiments and mechanoelastic model. J. Mater. Chem. 2012, 22, 20451–20457. [Google Scholar] [CrossRef]
- Akabori, K.; Matsuo, H.; Yamamoto, Y. Thermal properties of tris(1,10-phenanthroline) complexes of iron(II) and nickel(II) salts. J. Inorg. Nucl. Chem. 1973, 35, 2679–2690. [Google Scholar] [CrossRef]
- Tang, S.-J.; Wang, A.-T.; Lin, S.-Y.; Huang, K.-Y.; Yang, C.-C.; Yeh, J.-M.; Chiu, K.-C. Polymerization of aniline under various concentrations of APS and HCl. Polym. J. 2011, 43, 667–675. [Google Scholar] [CrossRef]
- Adams, P.N.; Laughlin, P.J.; Monkman, A.P.; Kenwright, A.M. Low temperature synthesis of high molecular weight polyaniline. Polymer 1996, 37, 3411–3417. [Google Scholar] [CrossRef]
- Ekanayaka, T.K.; Maity, K.P.; Doudin, B.; Dowben, P.A. Dynamics of Spin Crossover Molecular Complexes. Nanomaterials 2022, 12, 1742. [Google Scholar] [CrossRef] [PubMed]
- Hao, G.; Dale, A.S.; N’Diaye, A.T.; Chopdekar, R.V.; Koch, R.J.; Jiang, X.; Mellinger, C.; Zhang, J.; Cheng, R.; Xu, X.; et al. Intermolecular interaction and cooperativity in an Fe(II) spin crossover molecular thin film system. J. Phys. Condens. Matter 2022, 34, 295201. [Google Scholar] [CrossRef]
- Hauser, A.; Jeftić, J.; Romstedt, H.; Hinek, R.; Spiering, H. Cooperative phenomena and light-induced bistability in iron(II) spin-crossover compounds. Coord. Chem. Rev. 1999, 190–192, 471–491. [Google Scholar] [CrossRef]
- Félix, G.; Nicolazzi, W.; Salmon, L.; Molnár, G.; Perrier, M.; Maurin, G.; Larionova, J.; Long, J.; Guari, Y.; Bousseksou, A. Enhanced Cooperative Interactions at the Nanoscale in Spin-Crossover Materials with a First-Order Phase Transition. Phys. Rev. Lett. 2013, 110, 235701. [Google Scholar] [CrossRef]












Disclaimer/Publisher’s Note: The statements, opinions and data contained in all publications are solely those of the individual author(s) and contributor(s) and not of MDPI and/or the editor(s). MDPI and/or the editor(s) disclaim responsibility for any injury to people or property resulting from any ideas, methods, instructions or products referred to in the content. |
© 2024 by the authors. Licensee MDPI, Basel, Switzerland. This article is an open access article distributed under the terms and conditions of the Creative Commons Attribution (CC BY) license (https://creativecommons.org/licenses/by/4.0/).
Share and Cite
Chin, W.K.; Tamang, B.; Zaz, M.Z.; Subedi, A.; Viswan, G.; N’Diaye, A.T.; Lai, R.Y.; Dowben, P.A. Evidence of Cooperative Effects for the Fe(phen)2(NCS)2 Spin Crossover Molecular Complex in Polyaniline Plus Iron Magnetite. Molecules 2024, 29, 4574. https://doi.org/10.3390/molecules29194574
Chin WK, Tamang B, Zaz MZ, Subedi A, Viswan G, N’Diaye AT, Lai RY, Dowben PA. Evidence of Cooperative Effects for the Fe(phen)2(NCS)2 Spin Crossover Molecular Complex in Polyaniline Plus Iron Magnetite. Molecules. 2024; 29(19):4574. https://doi.org/10.3390/molecules29194574
Chicago/Turabian StyleChin, Wai Kiat, Binny Tamang, M. Zaid Zaz, Arjun Subedi, Gauthami Viswan, Alpha T. N’Diaye, Rebecca Y. Lai, and Peter A. Dowben. 2024. "Evidence of Cooperative Effects for the Fe(phen)2(NCS)2 Spin Crossover Molecular Complex in Polyaniline Plus Iron Magnetite" Molecules 29, no. 19: 4574. https://doi.org/10.3390/molecules29194574
APA StyleChin, W. K., Tamang, B., Zaz, M. Z., Subedi, A., Viswan, G., N’Diaye, A. T., Lai, R. Y., & Dowben, P. A. (2024). Evidence of Cooperative Effects for the Fe(phen)2(NCS)2 Spin Crossover Molecular Complex in Polyaniline Plus Iron Magnetite. Molecules, 29(19), 4574. https://doi.org/10.3390/molecules29194574

