C/Co3O4/Diatomite Composite for Microwave Absorption
Abstract
1. Introduction
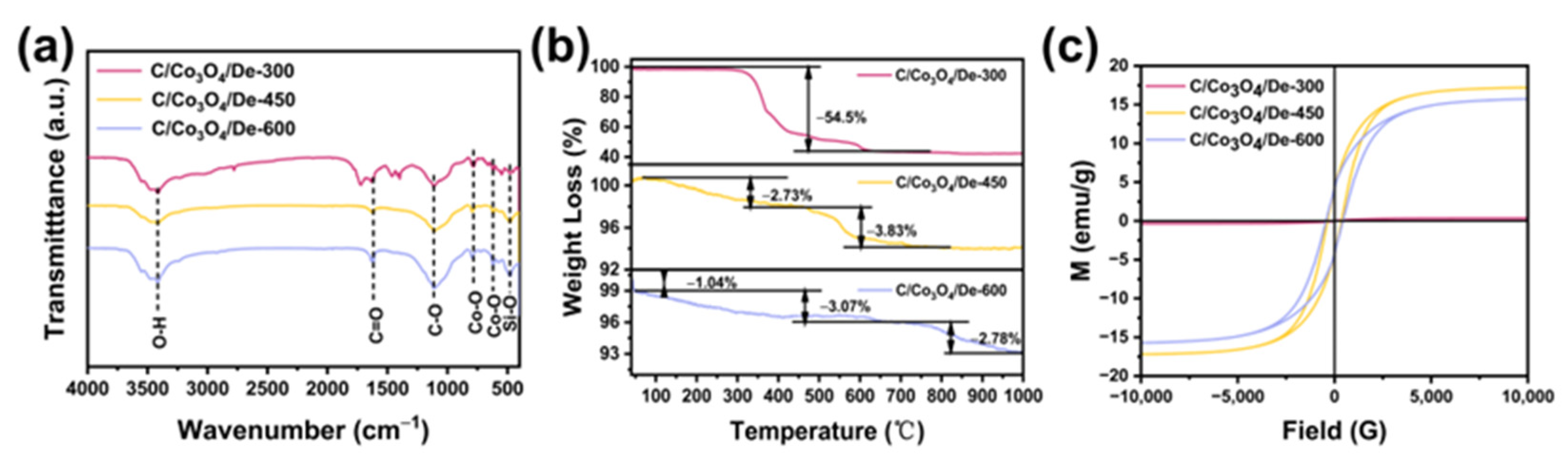
2. Results and Discussion
3. Materials and Methods
3.1. Materials
3.2. Preparation of Co(OH)2/Diatomite
3.3. Preparation of C/Co3O4/Diatomite
3.4. Characterization
4. Conclusions
Supplementary Materials
Author Contributions
Funding
Data Availability Statement
Conflicts of Interest
References
- Wang, D.-S.; Mukhtar, A.; Wu, K.-M.; Gu, L.; Cao, X. Multi-Segmented Nanowires: A High Tech Bright Future. Materials 2019, 12, 3908. [Google Scholar] [CrossRef] [PubMed]
- Lu, Y.; Yang, P.; Li, Y.; Wen, D.; Luo, J.; Wang, S.; Wu, F.; Fang, L.; Pang, Y. Facile Synthesis of NiFe-Layered Double Hydroxide and Mixed Metal Oxide with Excellent Microwave Absorption Properties. Molecules 2021, 26, 5046. [Google Scholar] [CrossRef] [PubMed]
- Rao, L.; Wang, L.; Yang, C.; Zhang, R.; Zhang, J.; Liang, C.; Che, R. Confined Diffusion Strategy for Customizing Magnetic Coupling Spaces to Enhance Low-frequency Electromagnetic Wave Absorption. Adv. Funct. Mater. 2023, 33, 2213258. [Google Scholar] [CrossRef]
- Yang, P.-A.; Qu, Z.; Ruan, H.; Huang, Y.; Huang, X.; Li, W.; Xia, T.; Gao, B.; Li, R. Nanostructured Films of Ordered Fe Nanowires for High-Performance Transparent Electromagnetic Interference Shielding. ACS Appl. Nano Mater. 2023, 6, 8540–8549. [Google Scholar] [CrossRef]
- Yang, P.-A.; Deng, W.; Luo, J.; Li, R.; Li, P.; Yin, Y.; Huang, X.; Zhang, Y. Preparation and structure optimization of 2D MXene nanocomposites for microwave absorbing application. Mater. Today Phys. 2024, 40, 101291. [Google Scholar] [CrossRef]
- Du, Z.; Wang, D.; Fu, H.; Liu, X.; Yi, S.; Rao, J.; Liu, X.; Zhang, Y. Enhanced Microwave Absorption Performance of α-FeOOH Nanorods on Carbon Aerogel Powder. ACS Appl. Nano Mater. 2023, 6, 20700–20709. [Google Scholar] [CrossRef]
- Su, X.; Han, M.; Wang, J.; Wu, Q.; Duan, H.; Liang, C.; Zhang, S.; Pu, Z.; Liu, Y. Regulated dielectric loss based on core-sheath carbon–carbon hierarchical nanofibers toward the high-performance microwave absorption. J. Colloid Interface Sci. 2022, 624, 619–628. [Google Scholar] [CrossRef]
- Qiu, Y.; Yang, H.; Hu, F.; Lin, Y. Two-dimensional CoNi@mesoporous carbon composite with heterogeneous structure toward broadband microwave absorber. Nano Res. 2022, 15, 7769–7777. [Google Scholar] [CrossRef]
- Li, T.; Li, J.; Xu, Z.; Tian, Y.; Li, J.; Du, J.; Meng, F. Electromagnetic Response of Multistage-Helical Nano-Micro Conducting Polymer Structures and their Enhanced Attenuation Mechanism of Multiscale-Chiral Synergistic Effect. Small 2023, 19, 2300233. [Google Scholar] [CrossRef]
- Zhao, X.; Huang, Y.; Jiang, H.; Liu, X.; Yu, M.; Zong, M. Designed MoSe2 modified multi-layer hollow carbon fiber composite material achieves tunable electromagnetic wave absorption in the X and Ku bands. Carbon 2024, 224, 119063. [Google Scholar] [CrossRef]
- Zhang, C.; Li, K.; Sun, T.; Liu, X.; Dai, X.; Zhou, Q.; Wang, D.; Zhang, X.; Ding, J.; Huang, X.; et al. Biomimetic Sea Urchin-like Nano-ferrite Structures for Microwave Absorption. ACS Appl. Nano Mater. 2024, 7, 3001–3011. [Google Scholar] [CrossRef]
- Zhang, Y.; Cai, R.; Wang, D.; Li, K.; Sun, Q.; Xiao, Y.; Teng, H.; Huang, X.; Sun, T.; Liu, Z.; et al. Lightweight, Low-Cost Co2SiO4@diatomite Core-Shell Composite Material for High-Efficiency Microwave Absorption. Molecules 2022, 27, 1055. [Google Scholar] [CrossRef] [PubMed]
- Xu, X.; Tian, X.; Bo, G.; Su, X.; Yan, J.; Yan, Y. Synthesis of Lightweight Renewable Microwave-Absorbing Bio-Polyurethane/Fe3O4 Composite Foam: Structure Analysis and Absorption Mechanism. Int. J. Mol. Sci. 2022, 23, 12301. [Google Scholar] [CrossRef] [PubMed]
- Yin, P.; Zhang, L.; Sun, P.; Wang, J.; Feng, X.; Zhang, Y.; Dai, J.; Tang, Y. Apium-derived biochar loaded with MnFe2O4@C for excellent low frequency electromagnetic wave absorption. Ceram. Int. 2020, 46, 13641–13650. [Google Scholar] [CrossRef]
- Du, J.; Li, T.; Xu, Z.; Tang, J.; Qi, Q.; Meng, F. Structure–Activity Relationship in Microstructure Design for Electromagnetic Wave Absorption Applications. Small Struct. 2023, 4, 2300152. [Google Scholar] [CrossRef]
- Wen, B.; Yang, H.; Lin, Y.; Ma, L.; Qiu, Y.; Hu, F.; Zheng, Y. Synthesis of core–shell Co@S-doped carbon@ mesoporous N-doped carbon nanosheets with a hierarchically porous structure for strong electromagnetic wave absorption. J. Mater. Chem. A 2021, 9, 3567–3575. [Google Scholar] [CrossRef]
- Qiu, Y.; Lin, Y.; Yang, H.; Wang, L.; Wang, M.; Wen, B. Hollow Ni/C microspheres derived from Ni-metal organic framework for electromagnetic wave absorption. Chem. Eng. J. 2020, 383, 123207. [Google Scholar] [CrossRef]
- Zhao, X.; Huang, Y.; Liu, X.; Jiang, H.; Yu, M.; Ma, X.; Zong, M.; Liu, P. Hollow multi-layer bowknot like nanoparticles surface modified by TMDs derived flexible fiber membranes for electromagnetic wave absorption. Chem. Eng. J. 2024, 483, 149085. [Google Scholar] [CrossRef]
- Wang, X.; Liang, Y.; Wei, S.; Wang, Y.; Yuan, Y.; Li, L.; Wang, B.; Xie, H. Preparation and absorbing property analysis of ZnO-doped magnetic graphene composite material. J. Magn. Magn. Mater. 2022, 556, 169450. [Google Scholar] [CrossRef]
- Yang, N.; Luo, Z.-X.; Wu, G.; Wang, Y.-Z. Superhydrophobic hierarchical hollow carbon microspheres for microwave-absorbing and self-cleaning two-in-one applications. Chem. Eng. J. 2023, 454, 140132. [Google Scholar] [CrossRef]
- Huang, H.; He, M.; Kotova, O.B.; Golubev, Y.; Dong, F.; Gömze, L.A.; Kurovics, E.; Lv, R.; Sun, S. Preparation and electromagnetic microwave adsorption performances of porous nanocomposite self-assembled by CoFe2O4 nanoparticles and diatomite. Epa.-J. Silic. Based Compos. Mater. 2020, 72, 124–129. [Google Scholar] [CrossRef]
- Dai, X.; Jing, C.; Li, K.; Zhang, X.; Song, D.; Feng, L.; Liu, X.; Ding, H.; Ran, H.; Zhu, K.; et al. Enhanced bifunctional adsorption of anionic and cationic pollutants by MgAl LDH nanosheets modified montmorillonite via acid-salt activation. Appl. Clay Sci. 2023, 233, 106815. [Google Scholar] [CrossRef]
- Wang, D.; Yang, P.; Hu, Y.; Cui, Z.; Du, Z.; Yang, P.; Yi, S.; Rao, J.; Zhang, Y. 1D-3D biological template loaded NiCo nanowires at high temperatures as a broadband, lightweight electromagnetic wave absorbing material. Powder Technol. 2023, 426, 118670. [Google Scholar] [CrossRef]
- Zhu, W.; Wang, D.; Du, Z.; Liao, Y.; Zhang, K.; Xie, S.; Dong, W.; Rao, J.; Zhang, Y.; Liu, X.Y. Three-dimensional biotemplate-loaded nickel sulfide vacancies engineered to promote the absorption of electromagnetic waves. Nanoscale 2023, 16, 474–487. [Google Scholar] [CrossRef]
- Li, Q.; Guo, W.; Kong, X.; Xu, J.; Xu, C.; Chen, Y.; Chen, J.; Jia, X.; Ding, Y. MnFe2O4/rGO/Diatomite composites with excellent wideband electromagnetic microwave absorption. J. Alloys Compd. 2023, 941, 168851. [Google Scholar] [CrossRef]
- Li, Y.; Qing, Y.; Zhou, Y.; Zhao, B.; Zhi, Q.; Fan, B.; Zhang, R. Unique nanoporous structure derived from Co3O4-C and Co/CoO-C composites towards the ultra-strong electromagnetic absorption. Compos. Part. B Eng. 2021, 213, 108731. [Google Scholar] [CrossRef]
- Ma, J.; Wang, X.; Cao, W.; Han, C.; Yang, H.; Yuan, J.; Cao, M. A facile fabrication and highly tunable microwave absorption of 3D flower-like Co3O4-rGO hybrid-architectures. Chem. Eng. J. 2018, 339, 487–498. [Google Scholar] [CrossRef]
- Naveen, A.N.; Selladurai, S. Tailoring structural, optical and magnetic properties of spinel type cobalt oxide (Co3O4) by manganese doping. Phys. B Condens. Matter 2015, 457, 251–262. [Google Scholar] [CrossRef]
- Jin, X.; Shan, Y.; Sun, F.; Pang, H. Applications of Transition Metal (Fe, Co, Ni)-Based Metal–Organic Frameworks and their Derivatives in Batteries and Supercapacitors. Trans. Tianjin Univ. 2022, 28, 446–468. [Google Scholar] [CrossRef]
- Chung, D.D.L. Materials for electromagnetic interference shielding. Mater. Chem. Phys. 2020, 255, 123587. [Google Scholar] [CrossRef]
- Zhao, B.; Li, Y.; Guo, X.; Zhang, R.; Zhang, J.; Hou, H.; Ding, T.; Fan, J.; Guo, Z. Enhanced electromagnetic wave absorbing nickel (Oxide)-Carbon nanocomposites. Ceram. Int. 2019, 45, 24474–24486. [Google Scholar] [CrossRef]
- Qin, Y.; Ni, C.; Xie, X.; Zhang, J.; Wang, B.; Wu, H.; Sun, X.; Kimura, H.; Yu, R.; Du, W. Multiple reflection and scattering effects of the lotus seedpod-based activated carbon decorated with Co3O4 microwave absorbent. J. Colloid Interface Sci. 2021, 602, 344–354. [Google Scholar] [CrossRef]
- Jia, X.; Li, Z.; Ruan, C.; Lian, Y. The Improved Microwave Absorption Performance of the 3D Porous (Ni@NO-C)n/NO-C Composite Absorber. Nanomaterials 2023, 13, 14. [Google Scholar] [CrossRef]
- Han, Y.; Wang, Q.; Zheng, Q.; Cao, M.; Yuan, J.; Li, L. Ternary WSe2@CNTs/Co3O4 nanocomposites for highly efficient multi-band microwave absorption. Mater. Lett. 2022, 325, 132837. [Google Scholar] [CrossRef]
- Chen, A.; Luo, G.; Sun, X.; Qiao, J.; Cao, J.; Du, Z.; Li, B. Synthesis and Characterization of Co3O4/rGO Composite Magnetic Microwave Absorbing Materials. JOM 2023, 75, 407–416. [Google Scholar] [CrossRef]
- An, B.; Wu, M.; Yang, X.; Man, Z.; Feng, C.; Liang, X. Lightweight Co3O4/CC Composites with High Microwave Absorption Performance. Nanomaterials 2023, 13, 12. [Google Scholar] [CrossRef]
- Liu, P.; Huang, Y.; Wang, L.; Zong, M.; Zhang, W. Hydrothermal synthesis of reduced graphene oxide- Co3O4 composites and the excellent microwave electromagnetic properties. Mater. Lett. 2013, 107, 166–169. [Google Scholar] [CrossRef]
- Wang, G.; Wu, Y.; Wei, Y.; Zhang, X.; Li, Y.; Li, L.; Wen, B.; Yin, P.; Guo, L.; Cao, M. Fabrication of Reduced Graphene Oxide (RGO)/Co3O4 Nanohybrid Particles and a RGO/Co3O4/Poly (vinylidene fluoride) Composite with Enhanced Wave-Absorption Properties. Chempluschem 2014, 79, 375–381. [Google Scholar] [CrossRef]
- Jang, G.-S.; Ameen, S.; Akhtar, M.S.; Kim, E.; Shin, H.-S. Electrochemical Investigations of Hydrothermally Synthesized Porous Cobalt Oxide (Co3O4) Nanorods: Supercapacitor Application. ChemistrySelect 2017, 2, 8941–8949. [Google Scholar] [CrossRef]
- Huang, Q.; Zhao, Y.; Wu, Y.; Zhou, M.; Tan, S.; Tang, S.; Ji, G. A dual-band transceiver with excellent heat insulation property for microwave absorption and low infrared emissivity compatibility. Chem. Eng. J. 2022, 446, 137279. [Google Scholar] [CrossRef]
- Zhi, D.; Li, T.; Li, J.; Ren, H.; Meng, F. A review of three-dimensional graphene-based aerogels: Synthesis, structure and application for microwave absorption. Compos. Part. B Eng. 2021, 211, 108642. [Google Scholar] [CrossRef]
- Zeng, S.; Han, S.; Sun, X.; Wang, L.; Gao, Y.; Chen, Z.; Feng, H. Co3O4 Nanoparticle-Modified Porous Carbons with High Microwave Absorption Performances. Nanomaterials 2023, 13, 12. [Google Scholar] [CrossRef] [PubMed]
- Kong, L.; Li, Y.; Feng, W. Fluorine-Doped Hard Carbon as the Advanced Performance Anode Material of Sodium-Ion Batteries. Trans. Tianjin Univ. 2022, 28, 123–131. [Google Scholar] [CrossRef]
- Sun, Q.; Yang, X.; Shu, T.; Yang, X.; Qiao, M.; Wang, D.; Liu, Z.; Li, X.; Rao, J.; Zhang, Y.; et al. In Situ Synthesis of C-N@NiFe2O4@MXene/Ni Nanocomposites for Efficient Electromagnetic Wave Absorption at an Ultralow Thickness Level. Molecules 2023, 28, 233. [Google Scholar] [CrossRef] [PubMed]
- Li, R.; Yao, L.; Wang, Z.; Lv, W.; Wang, W.; Kong, F.; Wang, W. Facile Synthesis Gold-Polyindole-Reduced Graphene Oxide Ternary Nanocomposites with Enhanced Electrocatalytic Activity for the Electrochemical Sensing of Caffeine. J. Electrochem. Soc. 2019, 166, B212–B218. [Google Scholar] [CrossRef]
- Shi, P.; Dai, X.; Zheng, H.; Li, D.; Yao, W.; Hu, C. Synergistic catalysis of Co3O4 and graphene oxide on Co3O4/GO catalysts for degradation of Orange II in water by advanced oxidation technology based on sulfate radicals. Chem. Eng. J. 2014, 240, 264–270. [Google Scholar] [CrossRef]
- Kumar, Y.A.; Das, H.T.; Guddeti, P.R.; Nallapureddy, R.R.; Pallavolu, M.R.; Alzahmi, S.; Obaidat, I.M. Self-Supported Co3O4@Mo-Co3O4 Needle-like Nanosheet Heterostructured Architectures of Battery-Type Electrodes for High-Performance Asymmetric Supercapacitors. Nanomaterials 2022, 12, 2330. [Google Scholar] [CrossRef]
- Wang, T.; Su, Y.; Xiao, M.; Zhao, M.; Zhao, T.; Shen, J. One-Step Hydrothermal Synthesis of a CoTe@rGO Electrode Material for Supercapacitors. Trans. Tianjin Univ. 2022, 28, 112–122. [Google Scholar] [CrossRef]
- Zhou, B.; Li, Y.; Zou, Y.; Chen, W.; Zhou, W.; Song, M.; Wu, Y.; Lu, Y.; Liu, J.; Wang, Y.; et al. Platinum Modulates Redox Properties and 5-Hydroxymethylfurfural Adsorption Kinetics of Ni(OH)2 for Biomass Upgrading. Angew. Chem. Int. Ed. 2021, 60, 22908–22914. [Google Scholar] [CrossRef]
- Sun, Q.; Guo, Z.; Shu, T.; Li, Y.; Li, K.; Zhang, Y.; Li, L.; Ning, J.; Yao, K.X. Lithium-Induced Oxygen Vacancies in MnO2@MXene for High-Performance Zinc–Air Batteries. ACS Appl. Mater. Interfaces 2024, 16, 12781–12792. [Google Scholar] [CrossRef]
- Dang, L.; He, J.; Wei, H. Black Phosphorus/Nanocarbons Constructing a Dual-Carbon Conductive Network for High-Performance Sodium-Ion Batteries. Trans. Tianjin Univ. 2022, 28, 132–143. [Google Scholar] [CrossRef]
- Li, Z.; Yang, D.-P.; Chen, Y.; Du, Z.; Guo, Y.; Huang, J.; Li, Q. Waste eggshells to valuable Co3O4CaCO3 materials as efficient catalysts for VOCs oxidation. Mol. Catal. 2020, 483, 110766. [Google Scholar] [CrossRef]
- Shu, J.-C.; Huang, X.-Y.; Cao, M.-S. Assembling 3D flower-like Co3O4-MWCNT architecture for optimizing low-frequency microwave absorption. Carbon 2021, 174, 638–646. [Google Scholar] [CrossRef]
- Tran, D.T.; Nguyen, V.N. rGO/persulfate metal-free catalytic system for the degradation of tetracycline: Effect of reaction parameters. Mater. Res. Express 2020, 7, 075501. [Google Scholar] [CrossRef]
- Le, T.T.T.; Tran, T.D. Photocatalytic Degradation of Rhodamine B by C and N Codoped TiO2 Nanoparticles under Visible-Light Irradiation. J. Chem. 2020, 2020, 4310513. [Google Scholar] [CrossRef]
- Arévalo-Cid, P.; Isasi, J.; Martín-Hernández, F. Comparative study of core-shell nanostructures based on amino-functionalized Fe3O4@SiO2 and CoFe2O4@SiO2 nanocomposites. J. Alloys Compd. 2018, 766, 609–618. [Google Scholar] [CrossRef]
- Dai, X.; Yi, W.; Yin, C.; Li, K.; Feng, L.; Zhou, Q.; Yi, Z.; Zhang, X.; Wang, Y.; Yu, Y.; et al. 2D-3D magnetic NiFe layered double hydroxide decorated diatomite as multi-function material for anionic, cationic dyes, arsenate, and arsenite adsorption. Appl. Clay Sci. 2022, 229, 106664. [Google Scholar] [CrossRef]
- Du, Z.; Wang, D.; Zhang, X.; Yi, Z.; Tang, J.; Yang, P.; Cai, R.; Yi, S.; Rao, J.; Zhang, Y. Core-Shell Structured SiO2@NiFe LDH Composite for Broadband Electromagnetic Wave Absorption. Int. J. Mol. Sci. 2023, 24, 504. [Google Scholar] [CrossRef]
- Chang, X.; Duan, Z.; Wang, D.; Wang, S.; Lin, Z.; Ma, B.; Wu, K. High-Entropy Spinel Ferrites with Broadband Wave Absorption Synthesized by Simple Solid-Phase Reaction. Molecules 2023, 28, 3468. [Google Scholar] [CrossRef]
- Guo, W.; Zhu, H.; Ren, Q.; Chen, S.; Ding, Y.; Xiong, C.; Chen, J.; Jia, X. MnFe2O4/ZnO/diatomite composites with electromagnetic wave absorption and antibacterial bifunctions. Solid State Sci. 2023, 138, 107152. [Google Scholar] [CrossRef]
- Tian, Y.; Zhi, D.; Li, T.; Li, J.; Li, J.; Xu, Z.; Kang, W.; Meng, F. Graphene-based aerogel microspheres with annual ring-like structures for broadband electromagnetic attenuation. Chem. Eng. J. 2023, 464, 142644. [Google Scholar] [CrossRef]
- Deng, W.; Zhi, D.; Li, J.; Li, T.; Liu, Q.; Li, J.; Zhu, J.; Meng, F. Electromagnetic oscillation induced graphene-based aerogel microspheres with dual-chamber achieving high-performance broadband microwave absorption. Compos. Part B Eng. 2024, 271, 111149. [Google Scholar] [CrossRef]
- Tang, Z.; Xu, L.; Xie, C.; Guo, L.; Zhang, L.; Guo, S.; Peng, J. Synthesis of CuCo2S4@Expanded Graphite with crystal/amorphous heterointerface and defects for electromagnetic wave absorption. Nat. Commun. 2023, 14, 5951. [Google Scholar] [CrossRef]
- Ding, Z.; Du, Z.; Liu, Y.; Zhang, Q.; Zhao, Z.; Hou, M.; Wang, X.; Hassan, Y.A.; Huang, X.; Yue, J.; et al. Reduced graphene oxide loaded with rich defects CoO/Co3O4 for broadband microwave absorption. Compos. Part B Eng. 2023, 249, 110403. [Google Scholar] [CrossRef]
- Fu, M.; Yu, H.; Chen, W. Construction of Co3O4 porous rod/graphene heterostructures toward strong and broadband microwave absorption applications. Appl. Surf. Sci. 2023, 622, 156946. [Google Scholar] [CrossRef]
- Alamri, S.; Rajhi, A.A.; Tran, N.; Senthil, T.S.; Kumar Narukullapati, B.; Mohanavel, V. Tunable microwave absorption and shielding effectiveness in the nanocomposite of 3D hierarchical flower-like Co3O4 and rod-like polyindole. J. Magn. Magn. Mater. 2022, 555, 169363. [Google Scholar] [CrossRef]
- Ge, J.; Cui, Y.; Cai, Y.; Qian, J.; Liu, L.; Meng, F.; Wang, F. 2D organic-α-Co(OH)2 material and derived Co/C composites with bifunctions of anti-corrosion and microwave absorption. Compos. Part B Eng. 2021, 224, 109172. [Google Scholar] [CrossRef]
- Zeng, Z.; Xu, D.; Li, M.; Liu, Z.; Xu, R.; Liu, D. Confined transformation of trifunctional Co2(OH)2CO3 nanosheet assemblies into hollow porous Co@N-doped carbon spheres for efficient microwave absorption. J. Colloid Interface Sci. 2022, 622, 625–636. [Google Scholar] [CrossRef]
- Zhang, D.; Yan, C.; Zheng, Y.; Han, C.; Deng, Y.; Yu, J.; Zeng, G.; Zhang, H. Reduced graphene oxide wrapped 3D-ultrathin CoS2 nanoflakes as an absorbing material with enhanced microwave absorption. Prog. Nat. Sci.-Mater. 2022, 32, 20–26. [Google Scholar] [CrossRef]









Disclaimer/Publisher’s Note: The statements, opinions and data contained in all publications are solely those of the individual author(s) and contributor(s) and not of MDPI and/or the editor(s). MDPI and/or the editor(s) disclaim responsibility for any injury to people or property resulting from any ideas, methods, instructions or products referred to in the content. |
© 2024 by the authors. Licensee MDPI, Basel, Switzerland. This article is an open access article distributed under the terms and conditions of the Creative Commons Attribution (CC BY) license (https://creativecommons.org/licenses/by/4.0/).
Share and Cite
Liao, Y.; Wang, D.; Zhu, W.; Du, Z.; Gong, F.; Ping, T.; Rao, J.; Zhang, Y.; Liu, X. C/Co3O4/Diatomite Composite for Microwave Absorption. Molecules 2024, 29, 4336. https://doi.org/10.3390/molecules29184336
Liao Y, Wang D, Zhu W, Du Z, Gong F, Ping T, Rao J, Zhang Y, Liu X. C/Co3O4/Diatomite Composite for Microwave Absorption. Molecules. 2024; 29(18):4336. https://doi.org/10.3390/molecules29184336
Chicago/Turabian StyleLiao, Yan, Dashuang Wang, Wenrui Zhu, Zhilan Du, Fanbo Gong, Tuo Ping, Jinsong Rao, Yuxin Zhang, and Xiaoying Liu. 2024. "C/Co3O4/Diatomite Composite for Microwave Absorption" Molecules 29, no. 18: 4336. https://doi.org/10.3390/molecules29184336
APA StyleLiao, Y., Wang, D., Zhu, W., Du, Z., Gong, F., Ping, T., Rao, J., Zhang, Y., & Liu, X. (2024). C/Co3O4/Diatomite Composite for Microwave Absorption. Molecules, 29(18), 4336. https://doi.org/10.3390/molecules29184336

