Next Article in Journal
Antibacterial Activity of Novel Agent N-2-Hydroxypropyl Trimethyl Ammonium Chloride Chitosan against Streptococcus mutans
Next Article in Special Issue
ZnI2-Mediated cis-Glycosylations of Various Constrained Glycosyl Donors: Recent Advances in cis-Selective Glycosylations
Previous Article in Journal
Effects of Trimethylamine N-Oxide in Improving Exercise Performance in Mice: A 1H-NMR-Based Metabolomic Analysis Approach
Previous Article in Special Issue
Progress on the Anti-Inflammatory Activity and Structure–Efficacy Relationship of Polysaccharides from Medical and Edible Homologous Traditional Chinese Medicines
 
 
Font Type:
Arial Georgia Verdana
Font Size:
Aa Aa Aa
Line Spacing:
Column Width:
Background:
Article

Exploring and Re-Assessing Reverse Anomeric Effect in 2-Iminoaldoses Derived from Mono- and Polynuclear Aromatic Aldehydes

by
Esther M. S. Pérez
1,
Esther Matamoros
1,2,3,*,
Pedro Cintas
1 and
Juan C. Palacios
1,*
1
Department of Organic and Inorganic Chemistry, Faculty of Sciences, and IACYS—Green Chemistry and Sustainable Development Unit, University of Extremadura, 06006 Badajoz, Spain
2
Departamento de Química Orgánica, Universidad de Málaga, 29071 Málaga, Spain
3
Instituto de Investigación Biomédica de Málaga y Plataforma en Nanomedicina—IBIMA, Plataforma Bionand, Parque Tecnológico de Andalucía, 29590 Málaga, Spain
*
Authors to whom correspondence should be addressed.
Molecules 2024, 29(17), 4131; https://doi.org/10.3390/molecules29174131
Submission received: 5 August 2024 / Revised: 24 August 2024 / Accepted: 26 August 2024 / Published: 30 August 2024
(This article belongs to the Collection Advances in Glycosciences)

Abstract

A curious and noticeable structural feature in Schiff bases from 2-aminoaldoses is the fact that imino tautomers arranged equatorially in the most stable ring conformation exhibit a counterintuitive reverse anomeric effect (RAE) in the mutarotational equilibrium, i.e., the most stable and abundant anomer is the equatorial one (β). As shown by our very recent research, this effect arises from the total or partial inhibition of the exo-anomeric effect due to the presence of an intramolecular hydrogen bond between the anomeric hydroxyl and the iminic nitrogen in the axial anomer (α). When the Schiff base adopts either an enamine structure or the imino group is protonated, the exo-anomeric effect is restored, and the axial α-anomer becomes the most stable species. Although the intramolecular H-bonding should appropriately be interpreted as a genuine stereoelectronic effect, the magnitude of the RAE could be affected by other structural parameters. Herein and through a comprehensive analysis of benzylidene, cinnamylidene, naphthalene, phenanthrene, and anthracene aldehydes, we show the robustness of the RAE effect, which is similar in extent to simple aldehydes screened so far, irrespective of the size and/or hydrophobicity of the substituent at the nitrogen atom.

1. Introduction

Imines or Schiff bases constitute privileged scaffolds dating back to the early days of synthetic organic chemistry that can easily be generated by condensation of carbonyl groups and primary amines. This transformation takes place through the intermediacy of a carbinolamine that undergoes further dehydration, leading to a double carbon-nitrogen bond [1]. Over the years, imines derived from carbohydrates have been extensively studied in view of a broad range of applications, such as recognition of naturally occurring amino acids using fluorescence and absorption measurements. Titration of d-glucosamine salicylidenimine (1) with all of the 20 naturally occurring amino acids resulted in large fluorescence enhancements in the case of aromatic amino acids only, thus enabling the recognition of such amino acids down to 1.5–3 ppm through switch-on fluorescence behavior [2,3]. Sugar imines and l-amino acids self-assemble by generating 1:1 hydrogen-bonded complexes and forming amphiphilic nanofibers through π–π interactions [4], although other non-covalent interactions may be involved as well. The recognition of M2+ ions in solution and selective recognition of Cu2+ in HEPES (a zwitterionic sulfonic acid) buffer are based on the formation of glyco-imino-conjugates [5,6]. On the other hand, several imino conjugates of aldoses and d-glucosamine (2), which are transition state analogues, are potent inhibitors of glycosidases extracted from soybean and jack bean meal [7].
The first imine derived from 2-amino-2-deoxyaldoses (1) was reported in as early as 1913 [8,9,10]. Later on, Wacker and Fritz in 1967 [11] and Panov et al. in 1973 [12] prepared a series of imines (3) derived from 2-amino-2-deoxy-d-glucopyranose (2) with benzaldehydes and their per-O-acetyl derivatives (4), and demonstrated by 1H-NMR spectroscopy the appearance of equatorial anomers (β). In fact, with only one exception, all the known Schiff bases obtained from 2 and substituted benzaldehydes devoid of hydroxyl groups at the ortho position crystallize as β-anomers [13] (Chart 1). Certainly, this is a surprising and unexpected behavior because, in general, other aminoaldose derivatives show an axial stereochemistry (α-anomer), as a consequence of the anomeric effect.
For imines of 2-aminoaldoses in solution, however, an equilibrium between α- and β-anomers can be detected where the latter largely predominates (Scheme 1). This behavior can be regarded in terms of a reverse anomeric effect (RAE), with values in the range of 1.9–2.3 kcal/mol. This stabilization of the equatorial anomer neutralizes and exceeds the anomeric effect. Theoretical calculations show that this stereoelectronic effect results from the reduction (or elimination) of the stabilizing exo-anomeric effect in the axial anomer (5), owing to the formation of a hydrogen bond between the anomeric hydroxyl and the imine nitrogen. Moreover, solvent effects (modeled as discrete solvation) support the preferential formation of the equatorial anomer (β) [13]. The present work sheds light into the influence exerted by the aromatic residue on the anomeric effect through a full set of spectral analyses in solution and computational assessment.

2. Results and Discussion

2.1. Synthesis of 2-Amino-2-Deoxyaldose Imines

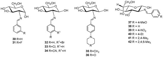
We employed as starting aminoaldoses the hydrochlorides of d-glucosamine (2) and 2-amino-2-deoxy-α-d-glycero-l-gluco-heptopyranose (6) [14,15,16], which were condensed with aldehydes derived from aliphatic and mono- and polynuclear aromatic hydrocarbons (Chart 2). Thus, the present study involves new Schiff bases obtained by reaction of benzaldehydes (718) with 2 and heptose 6, because for the latter, only the heptosimine derivative 37 had been described [17]. Since the lone electron pair on the nitrogen atom lies in the nodal plane of the unsaturated arylimino fragment, the substituents at the aromatic ring can only exert inductive electronic effects. Therefore, special interest has been paid to benzaldehydes (79, 12, 13) with strong electron-withdrawing groups (EWG), which would decrease the basicity of the nitrogen atom and weaken the hydrogen bond with the anomeric hydroxyl. On the other hand, the presence of electron-donating groups (EDG) would exert the opposite effect (10 and 11).
Also, the structural variation has been extended to imines derived from cinnamylidene aldehydes (1922), in which the ethylene linker separates the bulky aromatic ring from the sugar moiety, which could alleviate the steric hindrance while facilitating the transmission of electronic effects (i.e., the classical vinylogy principle). Furthermore, imines derived from naphthalene, phenanthrene, and anthracene aldehydes have been obtained, which lack a hydroxyl group adjacent to the aldehyde group (2329). These compounds allow us to evaluate the potential steric effects associated with their volume, along with the influence of increasing the hydrophobicity of the iminic functionality on the tautomeric equilibrium.
Thus, the condensation of 2 with benzaldehydes 713 afforded the corresponding imines 3036. Like all imines of 2 described to date, 3236 crystallize as β-anomers, and 30 and 31 as α-anomers nevertheless. When using 2-amino-2-deoxy-α-d-glycero-l-gluco-heptopyranose hydrochloride (6), the β-configured imines 3741 were obtained (Chart 3). The behavior of this aminoheptose runs parallel to that of 2, since all chiral carbons that make up the pyranose ring show an enantiomeric relationship (l-gluco).
When 2,4,6-trimethylbenzaldehyde was employed, the corresponding imine 42 was not obtained; instead, 2,5-bis-(d-galacto-pentitol-1-yl)pyrazine (43) was isolated, the latter formed by self-condensation of 6 in basic medium (Scheme 2). This substance was characterized through its deca-O-acetyl derivative 44, prepared by conventional acetylation. The generation of this type of heterocyclic compound from alkaline solutions of d-glucosamine, d-mannosamine and d-fructosamine is well documented in the previous literature [18].
By using the cinnamylidene aldehydes 1922, the corresponding β-anomers of Schiff bases 4549 could be obtained as well (Chart 4). Compounds 45 [19], 46 [20], and 48 [20] were previously described.
In striking contrast, the condensations of 2 with 2326 led to different results depending on the starting aldehyde (Chart 5). With 1-naphthaldehyde, the β-configured imine was obtained (50). However, when 4-methoxy-1-naphthaldehyde or 2-naphthaldehyde were used, sometimes the β-anomer (51 or 53) and sometimes the α-anomer (52 or 54) crystallized. As already shown, no product could be isolated from the condensation with 2-methoxy-1-naphthaldehyde (24) [20]. Finally, imines 5558, all with β-anomeric configuration, were prepared from aldehydes derived from phenanthrene and anthracene (2729).
Clearly, the synthesis of α-anomers 30, 31, 52 and 54 is interesting, because only one related case having this abnormal configuration has been described in our previous study, involving the reaction of 2 with 18 [13]. All reactions took place in hydroalcoholic media by treating 2-aminoaldose hydrochlorides with sodium hydroxide or sodium bicarbonate to release the free bases of the α-anomers (59). Interconversion then occurs between the two anomers (59, 60), which condense with the aryl aldehyde present (61, 62) (Scheme 3). Reactions are often heated at ~60 °C for a few minutes, because the aromatic aldehyde can be poorly soluble at room temperature.
A preliminary assessment of the above-mentioned examples indicates that, in general, reactions conducted at room temperature with concomitant imine crystallization in short times (less than 15 min) led to α-anomers. In slow reactions taking long (several hours) before crystallization, the β-anomer is usually isolated.

2.2. Structural Characterization

In the infrared (FT-IR) spectra of imines 3042 and 5058, the absorption of the C=N bond at ~1635–1650 cm−1 stands out. Both 1H and 13C NMR spectra support the assigned structures (Tables S1–S6 and S10–S12). Thus, the α-anomeric configuration of 30, 31, 52 and 54 is inferred from the low value of J1,2 (3.8 Hz) and by the downfield shift of H-1 and the upfield shift of the C-1 atom [13], relative to the corresponding signals for β-anomers. The rest of the imines show high coupling constants J1,2 (~7–9 Hz), consistent in all cases with the β-anomer. In addition, the IR spectra of cinnamylidene derivatives 4549 also show the absorptions arising from the stretching vibration of the ethylene double bond at ~1620 cm−1. In the proton spectra, the signals of the iminic proton and those of the ethylene fragment should be mentioned, i.e., a doublet at ~7.1 ppm and double doublet at ~6.9 ppm. The large coupling constants between such protons (JCH=CH~16 Hz) indicate that the stereochemistry around the carbon double bond is trans (E). The high coupling constants J1,2 (~8.6 Hz) and the chemical shift of the anomeric carbon (δC1~95 ppm) point to an equatorial (β) disposition of the anomeric hydroxyl in all cases (Tables S7–S9).
β-Imines 3236, 4548, 50, 51, 53 and 5557 show coupling constants between the proton and the anomeric carbon (1J), measured in the coupled 13C NMR spectra, of ~160 Hz [21,22,23,24,25]. For pyranoid derivatives of d-glucosamine, β-anomers show values of 1JC1-H1~160 Hz, while this value increases to ~170 Hz for α-anomers. These considerations also apply to the derivatives of 2-amino-2-deoxy-d-glycero-l-gluco-heptopyranose (3742, 49 and 58), due to the enantiomorphous relationship among the chiral centers of its pyranose ring (l-gluco) and those of 2 (d-gluco). Moreover, α-anomers show higher rotational powers (typically, [α]D > +100° in pyridine) than β-anomers (typically, [α]D < +50° in pyridine).
The pyranose structure of 3042 and 5058 could further be confirmed by transforming some unprotected compounds into the corresponding per-O-acetyl derivatives 6384 (Chart 6 and Chart 7), which were obtained in good yields by treatment with acetic anhydride in pyridine at ambient temperature [11,26].
Acetylation of 54 led to an approximately equimolar mixture of both β-(79) and α-anomers (80), thereby evidencing that during the acetylation process, 54 had enough time to partially transform into its β-anomer (53) (Scheme 4). Acetylation of 52 also led to an anomeric mixture dominated by the α-anomer 78, which was obtained in pure form by fractional crystallization. The corresponding β-anomer (77) could easily be obtained from 51.
In order to minimize the anomerization reaction, we attempted the acetylation of compounds 30 and 31 at a lower temperature (<−10 °C); however, in both cases, the β-anomer was obtained (63 and 64, respectively).
Alternatively, both α- and β-anomers of the per-O-acetyl imines derived from 2 could be obtained as pure anomers starting from the corresponding hydrohalides 85 [26] and 86 [27,28,29]. Accordingly, we were able to prepare 87, whose unprotected imine could not be isolated, or the α-anomers 80 and 88 (Chart 8). The homologous imines from 6 were likewise synthesized from the corresponding hydrohalides 89 [17] and 91 [17].
The structures assigned to the new acetylated products 6384, 87 and 88 are in agreement with their elemental analyses, together with other physical and spectroscopic data (Tables S13–S24), which in turn confirm those of the parent imines. Again, derivatives 78 and 80 show low coupling constants J1,2 (<4 Hz), consistent with an axial arrangement of the anomeric acetate (α), whereas the rest of the per-O-acetyl imines exhibit large J1,2 (~8 Hz) constants, indicative of an equatorial arrangement (β) for the aforementioned acetate. In the acetylated derivatives, the values of 1JC1-H1 are ~177 Hz and ~166 Hz for α- and β-anomers, respectively, maintaining a diagnostic difference of ~10 Hz [21,22,23,24,25].
The carbon atom carrying the imine group (C-2) of 3042, 4558, 6384, 87 and 88 appears at an unusual downfield (~72–79 ppm), which deviates from other 2-amino-2-deoxyaldose derivatives [21,22]. For example, d-glucosamine itself in D2O shows values of 55 ppm and 58 ppm for the C-2 of the α- and β-anomers, respectively [30]. Likewise, the C-2 signals of 6 and 1,3,4,6,7-penta-O-acetyl-2-acetamido-2-deoxy-α-d-glycero-l-gluco-heptopyranose (90) appear at 51 ppm and 53 ppm for the β-anomer (92) [16] (Tables S25–S27). Such compounds were obtained through an unequivocal synthesis from 89 [17] and 91 [17] (Chart 9).

2.3. Mutarotation of Imines

We performed a study on the mutarotation of imines in DMSO, whose origin could be ascribed not only to the existence of an anomeric equilibrium, but also to other phenomena such as tautomeric equilibria, sugar ring-size variation, conformational equilibria, typical carbohydrate rearrangements, reactions with solvent molecules, etc. The mutarotational behavior of imines 3236 in solution is identical to that described for other imines of 2 derived from benzaldehydes [13], and imines 3741 derived from 6 behave in the same way (Scheme 5). These imines only equilibrate with their respective α-anomers (93104), while α-imines 30 and 31 do so with their β-anomers 93 and 94, with the anomeric ratio remaining unaffected for some months (Chart 10).
Moreover, imines 4549 in DMSO-d6 solution only equilibrate with their corresponding α-anomers (105109). The spectroscopic data confirm the structure and anomeric configuration of such minor products. Thus, for example, the α-anomer 108 presents coupling constants 3JH1,H2α = 3.3 Hz, 1JC1,H1α = 165.5 Hz, and the β-anomer (48), 3JH1,H2β = 8.4 Hz, 1JC1,H1β = 153.7 Hz. Equilibration experiments conducted in pyridine-d5 are practically identical, albeit in this solvent, the equilibrium is reached very quickly, as shown by the following data recorded for the temporal variation in the β-anomer of 38: just dissolved (85.9%); 1 h (85.9%); 8 h (86.0%); 1 d (85.3%); 3 d (84.5%); 5 d (87.9%), and finally 86.7%, i.e., without apparent variation over time.
The mutarotational behavior of imines derived from 2 and 6 with aldehydes bearing fused aromatic rings is similar as well (110114) (Chart 11). Most of them appear as the β-anomer (50, 51, 53, 5558), although we were able to isolate two α-anomers (52 and 54). These compounds in solution slowly equilibrate with their β-anomers (88 and 89), which represent the dominant species (Figure 1). When the latter are allowed to evolve in solution, the final percentages of each anomer at equilibrium are approximately the same.
Table 1 shows the percentage variation for the β-anomer of some imines using DMSO-d6 and pyridine-d5 as solvents. In both cases, the results obtained are similar, although in pyridine the equilibration occurs faster. Probably the basic nature of this solvent is behind the rapid anomerization, since it is known that this phenomenon is sensitive to general acidic and basic catalysis [31]. This rapid anomerization in pyridine explains the failure to prepare per-O-acetylated α-anomers from α-imines, such as 30 and 31, or the formation of mixtures of both anomers (as happens with 52 and 54). The absence of typical oxazolidine signals at ~5–6 ppm and ~90–97 ppm [32,33,34,35,36,37], rules out the possibility of an equilibrium involving such five-membered heterocycles, which result from addition of the anomeric hydroxyl to the imine bond.

2.4. Conformational Analysis

The high coupling constants J2,3J3,4J4,5 ≥ 9 Hz fully agree with a d-gluco configuration in 4C1 conformation for all the imines derived from 2 and 1C4 (l-gluco) for those based on heptose 6 (Figure 2) [38,39].
NOE experiments [40,41] carried out on compound 69 gave rise to the enhancements shown in Figure 3, which confirmed the proximity of H-2, the iminic hydrogen, and one of the ortho hydrogens at the aromatic ring, all consistent with a 1C4 (l-gluco) conformation and coincidental with that determined through NMR spectroscopic data. Similar NOE enhancements were observed for 82 having a 4C1 (d-gluco) conformation. The absence of a NOE effect between the H-1 and H-2 protons is in agreement with their β-configuration.
Such NOE effects, together with those determined in other imines from 2 [13], strongly support some key structural features, namely the planarity of the arylimino group, its (E)-configuration, and the fact that the half-plane containing the entire conjugated unsaturated system is approximately perpendicular to the plane of the pyranose ring (Figure 4).
Again, the large coupling constants between the ethylene protons (JCH=CH~16 Hz) measured for 4549 and their acetyl derivatives (7375) indicate that the stereochemistry of the double bond is trans (E). Furthermore, the coupling constant between the imine proton and the neighboring ethylene proton (JCH-CH=N~8.8 Hz) evidences that both protons maintain an antiperiplanar relationship (Figure 4). It is interesting to note that the H-2 signal in imines is usually the most deshielded resonance, appearing at ~2.9 ppm, except in the case of anthracenes 5658 and their acetylated derivatives 8284, which are shifted downfield (ΔδH-2~0.3 ppm); and the same happens to the iminic hydrogen of these compounds (ΔδCH=N~0.8–1 ppm). Such variations are not shown by phenanthrene derivatives 55 and 80, which behave similarly to naphthalenes 5054 and 7680. The origin of the observed variations lies most likely in the spatial arrangement of the anthracene nucleus, whose proximity to the H-2 and CH=N protons would cause this deshielding.
Steric effects are noticeable in imines derived from anthracene, involving both the iminic hydrogen and the nitrogen atom. Steric tension can in part be relieved by rotating the aromatic system, although this reduces the delocalization through the imine double bond (Figure 5).
Accordingly, a conformational analysis of the aryl moiety of 56 and 112 has been achieved, and the energy landscape of the arrangements generated around the NC-Carom bond calculated, i.e., by rotating the dihedral angle θN=C-C1-C2 from 0° to 360° with a step size of 15° each. The DFT study was performed using the 6-311G(d,p) [42,43] and def2-TZVP valence-triple-ζ [44] basis sets, with all geometries optimized in the gas phase at the B3LYP [45,46] and M06-2X [47] levels of theory without any geometrical restriction. The M06-2X/def2-TZVP combination has been reported to provide suitable geometry optimization in terms of cost and accuracy for carbohydrate derivatives [48,49,50]. Solvent effects were simulated using the SMD method [51]. Such results are shown in Figure 6 and Table 2.
The graph is repeated every 180°, and the two minima obtained are almost identical for both anomers, the most stable conformers corresponding to dihedral angle values θN=C-C1-C2 from ~40° to 50° (Figure 7). In other words, the minima represent a compromise to reach electron delocalization while reducing steric hindrance. Calculations using the 6-311G(d,p) basis set afford similar results for both anomers. However at the def2-TZVP level, the angle rotated by the β-anomer to reach the first minimum is similar, but in the opposite direction (−40° to −43°). The calculated conformation corresponding to the most stable point for other polynuclear imines shows dihedral angle values θH2-C2-N=CH from ~0° to 7° (vide infra); the identical conformation is inferred from NOE effects.

2.5. Theoretical Analysis of Imine Stability

A computational study to determine the relative stability of the different species involved in mutarotational equilibria appears to be a compulsory task. The simplest imine pair derived from benzaldehyde (30/93) was selected to shorten the computational cost. The number of possible conformations is exceedingly high: the three staggered conformations of three hydroxyls and the iminic substituent of the pyranose ring, together with the nine (3 × 3) conformations adopted by the hydroxymethyl group at C-5, which amount to 36 = 729 conformations for each anomer. Some simplifications can be envisaged for the hydroxyl groups, taking into account that the most stable conformations will be those leading to intramolecular hydrogen bonding. We then considered several dispositions, and the most stable conformers correspond to 30 and 93, which differ only by the orientation of the anomeric OH group (Figure 8). This hydroxyl is oriented towards the electron pair of the nitrogen atom, enabling an intramolecular hydrogen bond in the α-anomer (30). In the β-anomer, that hydroxyl is arranged along the direction of the endocyclic oxygen (93). This methodology reduces drastically the number of structures to be calculated.
All the potential species involved in mutarotational equilibria (30, 93, 115, and 116) [52], and the heterocycles that could have been formed by reaction of the imino group with the anomeric hydroxyl (117118), have been taken into account and are depicted in Scheme 6.
Moreover, for bicyclic structures like 117120, the two possible orientations of the hydrogen atom at the NH group, i.e., either axial (a) or pseudo-equatorial (e), have been considered as well (Chart 12 and Table 3). The tabulated data also collect the relative energies obtained by computation in the gas phase and using bulk solvation in DMSO, the solvent where NMR spectra are recorded (for optimized structures, see Figure 9).
Results obtained with the two hybrid functionals, B3LYP and M06-2X, are quite similar. Both in the gas phase and DMSO, the imine having an anomeric α-configuration is slightly more stable than its β-counterpart, although the difference is, indeed, so small that they can be ranked with identical stability. Both anomers (30 and 93) are interconverted through an acyclic aldehydic form. We estimated the energy of the two conformations adopted by the side chain along with the orientations of the aldehyde group that would lead to each anomer (115 and 116) [52]. The pronounced energy difference with respect to the corresponding pyranoid forms, in general ≥7 kcal/mol, explains why the acyclic forms hardly reach detectable concentrations in NMR experiments. It is well known, for example, that although the acyclic form of d-glucose is present in aqueous solutions, more than 99% actually exists as pyranose structures [38,39].
Regarding the possible cyclic structures, it is worth noting that those arising from the cyclization of the β-anomer, trans-oxazolidines 117 and 118, are much less stable than the imine structure, ΔΔGDMSO = ΔGoxaz.trans − ΔGimine ≥ 8.6 kcal/mol (in DMSO), probably due to the strain associated with trans-fusion of a six-membered ring to a constrained pentagonal cycle. In stark contrast, for cis-oxazolidines 119 and 120, the steric strain is lower, yet imines represent the most stable tautomers, ΔΔGDMSO = ΔGoxaz.cis − ΔGimine ≥ 0.9 kcal/mol (in DMSO).
Either axial or pseudo-equatorial arrangements of the NH cause little variations in the case of 117 and 118, with the equatorial arrangement being more stable (ΔΔG = ΔGe − ΔGa ≤ 1.9 kcal/mol in DMSO). However, for 119 and 120, the axial disposition becomes significantly stabilized (ΔΔG = ΔGa − ΔGe ≤ 3.2 kcal/mol in DMSO). The small energy difference with respect to 119e (0.89 kcal/mol in DMSO) is surprising, suggesting it is possible that the species could be formed in the reaction mixture. However, as indicated above, the signals characteristic of the oxazolidine ring at ~5 ppm are not observed in the 1H NMR spectrum, thereby ruling out this speculation.

2.6. Anomeric Stabilization of 2-Aminoaldose Derivatives

A well-established principle in conformational analysis is that electronegative anomeric groups preferentially adopt an axial arrangement at the pyranose ring of sugars. This predisposition, contrary to expectations based on steric or solvation factors [53,54,55,56,57,58,59,60], is attributed to the existence of a stereoelectronic effect known as the anomeric effect. Its origin is associated with the hyperconjugation of the electron pairs on oxygen with the anomeric bond, also called the endo-anomeric effect. In turn, the anomeric substituent can generate a similar effect, involving the bonding orbital of the anomeric carbon and the oxygen of the pyranoid ring, which is known as exo-anomeric effect [54]. Both effects, together with neighboring gauche effects [61,62,63], are mainly responsible for the conformational arrangements of sugar derivatives and their reactivity [64]. In the absence of other factors, the exo-anomeric effect constitutes the most dominant interaction, even in the α-anomer.
The anomeric effect in carbohydrates is a complex, often puzzling, issue, although it can be interpreted by a combination of steric, resonance, hyperconjugation, inductive, hydrogen bonding, electrostatic, and solvation effects. The extent of such effects depends on the model and level of computation chosen [65]. It is believed that both steric and electronic interactions make contributions to the conformational preference, as any decomposition of such interactions is more or less arbitrary [66]. Some authors suggest that the steric interaction (or eventually a given electrostatic interaction) dominates the anomeric effect [67] and found further computational evidence to disprove the hyperconjugation explanation [68,69]. A cautionary corollary is that no single factor accounts for the axial preference of a substituent, while different and correlated interactions should be involved [70]. Moreover, the hyperconjugation model involving the electron transfer from the ring heteroatom to an excited state of an axial bond is a minor contributor to the anomeric effect. However, the effects exerted by substituents on the anomeric effect in positions other than the anomeric carbon have been scarcely studied. In any case, experimental data show that the most influential substituents are those located at the position adjacent to the anomeric center.
Anomeric stabilization in tetrahydropyranose sugars (Ean), defined as the non-steric stabilization of the axial conformer, can be quantified by correcting the axial preference of a substituent, ΔGoan, with the steric effects favoring an equatorial arrangement, ΔGosteric (Equation (1)):
Ean = ΔGoan − ΔGosteric = −RTlnKan + AX
where ΔGoan is the observed free energy change for the balance between the axial and equatorial disposition, i.e., α-anomer ⇄ β-anomer equilibrium (Equation (2)):
ΔGoan = −RTln([β-anomer]/[α-anomer]) = −RTlnKan
ΔGosteric can be estimated through non-anomeric model compounds, with the Ax values of cyclohexane usually employed to this end (Equation (3)):
ΔGosteric = −RTln([equatorial]/[axial]) = −AX
Thus, the AOH value for the hydroxyl group in aqueous solution is 1.25 kca/mol [=0.002 × 298 × ln(89/11)] and corresponds to an 89% predominance of cyclohexanol with the OH group placed in equatorial disposition [71,72]. When one varies the substituents at non-anomeric positions, a quantitative relationship for the anomeric hydroxyl group can be expressed by Equation (4):
Ean (kcal/mol) = −RTlnKan + AOH = −0.6 lnKan + 1.25
A parameter capable of quantifying the magnitude of the RAE in imines (ΔGorae) could be determined as the difference between the stabilization due exclusively to the anomeric effect (ΔGoae) minus the anomeric stabilization in imines (ΔGoimine). If we take the anomeric effect as the value of Ean shown by 121 in DMSO-d6, 0.6 ln[(47.1)/(52.9)] + 1.25 = 1.32 kcal/mol, Equation (5) is obtained:
ΔGorae = ΔGoae − ΔGoimine = Ean121Eanimine = 1.32 − Eanimine
The values of Ax in tetrahydropyrans are greater than those obtained for cyclohexanes. Accordingly, the calculated anomeric effects (as Ean) in Table 4, Table 5, Table 6 and Table 7 are approximate values. The steric interactions in the axial disposition of the substituent are more intense because the C-O bond in tetrahydropyran is shorter than in cyclohexane. Equation (6) extrapolates approximately the values of AX (for cyclohexane ring) to the corresponding value in a tetrahydropyran ring (AXTHP) [73]:
AXTHP (kcal/mol) = 1.53 AXcyclohex + 0.02
The AOHTHP value for the hydroxyl group in tetrahydropyran is 1.93, and the corresponding values of Ean would increase by 0.68 (=1.93 − 1.25) kcal/mol (Equation (7)):
EanTHP = −RTlnKan + AOHTHP = −0.6 lnKan + 1.93
All the imines studied through this work show a broad preference for an equatorial arrangement of the anomeric hydroxyl, which clearly deviates from the expected anomeric effect. This behavior has its origin in the total or partial inhibition of the exo-anomeric effect in the α-anomer, which stems from the H-bonding between the imine nitrogen and the anomeric hydroxyl. In line with the above equations, all data from the studied equilibria are gathered in Table 4, Table 5, Table 6 and Table 7.
Special attention has been paid to imines derived from 2 with benzaldehydes bearing strong EWG (8, 9, 12, 13). As already mentioned, since the lone pair on the nitrogen lies in the nodal plane of the arylimino system, the electronic effects exerted by the substituents at the aromatic nucleus can only be inductive. EWGs could decrease the basicity of the nitrogen atom, thus weakening the intramolecular H-bond with the anomeric hydroxyl and, as a result, the reverse anomeric effect. EDGs (10, 11) should exhibit the opposite trend. However, no appreciable variations ascribed to the electronic effect of the substituents could be observed, and the extent of the RAE (ΔGorae) remains above 1 kcal/mol. Data collected in Table 5 show that the behavior of imines derived from 2-amino-2-deoxy-d-glycero-l-gluco-heptopyranose with substituted benzaldehydes (3741) is essentially identical to those derived from d-glucosamine. Therefore, a similar RAE can be invoked (122) (Chart 13) with comparable ΔGorae values. Data in Table 6 show that separation of the tetrahydropyran ring from the aromatic moiety by the ethylene bridge in imines 4549 has no appreciable effect on the magnitude of the RAE, either.
Also, imines 5058 with fused aromatic rings exhibit the same RAE as those previously mentioned and in similar extent (Table 7). One can conclude with confidence that this effect is neither significantly influenced by the volume of the aromatic substituent nor by its hydrophobicity.

2.7. Theoretical Analysis of Anomer Stability

Theoretical calculations have also been conducted to assess the relative stability of both anomers through the whole structural range of the imines synthesized here. Since aldehydes 23, 26 and 27 do not have a plane of symmetry, their imines can adopt two different conformational dispositions for the imine group, which have been calculated as well. Results collected in Table 8 have been obtained with the M06-2X functional and using def2-TZVP as basis set. The def2-TZVP base indicates a greater stability of the β-anomer. The corresponding optimized geometries are shown in Figure 10 and Figure 11.
The energy difference (ΔG) calculated in DMSO (SMD method [51]), the solvent in which the anomeric equilibria have been evaluated, has allowed us to determine the expected proportion of the β-anomer at 298 K according to Equation (8) (Table 8, last column). The calculated equilibrium percentages of β-anomers vary from 63 to 85%, similarly to those determined experimentally.
[β] = {exp(−ΔG/RT)/[1 + exp(−ΔG/RT)]}100
In all α-anomers, the anomeric hydroxyl is oriented towards the electron pair of the nitrogen, generating an intramolecular hydrogen bond. The β-anomers cannot form it, and this hydroxyl points to the endocyclic oxygen.
The results of a natural bonding orbital (NBO) [74] analysis, carried out for α- and β-anomers of some representative imines and involving the heteroatoms attached to the anomeric carbon and C-2, are shown in Tables S28 and S29 (numbering is shown in Figure 12).
All imines show similar stabilizing interactions for both anomers, regardless of the absence or presence of solvent. The stereoelectronic interactions of the lone pair on the nitrogen atom with the proton at C-2, n→σ*C2-H (~6–7 kcal/mol) and the iminic CH, n→σ*=CH (~12–13 kcal/mol), contribute to the perpendicular disposition of the imino group with respect to the pyranose plane, as deduced by NOE experiments.
The lone pairs on the endocyclic oxygen show delocalization with the antiparallel neighboring C-C and C-H bonds, with values for the nO10→σ*C-C and nO10→σ*C-H interactions of ~6–8 kcal/mol. In the α-anomer, the interaction responsible for the anomeric effect, nO10→σ*C1-O35, amounts to ~13.5 kcal/mol. The electron pairs on the anomeric hydroxyl oxygen show similar effects, highlighting an exo-anomeric effect in the β-anomer, nO35→σ*C1-O10, of ~15–17 kcal/mol. This effect is absent in the α-anomer due to hydrogen bonding between the anomeric hydroxyl and the imine nitrogen.
A more realistic calculation considers explicit solvent molecules, specifically water, around the imine molecule (Table 9). There are five water molecules that interact directly with the hydroxyl groups through intermolecular hydrogen bonds and form the first solvation shell, with the exception of α-anomers, whose anomeric hydroxyl is involved in the H-bond with the iminic nitrogen atom. The proportion of the β-anomer in DMSO, deduced from the relative stability between both anomers, is ~82%–99%, an estimation almost coincidental with the experimental values determined in that solvent. This percentage increases as the solvent’s dielectric constant increases, thus predicting a complete preponderance of the β-anomer in water.

2.8. Intramolecular Hydrogen Bond Strength

Based on calculated geometrical data, the strength of this intramolecular H-bonding could be approximately estimated by a well-known empirical relationship (Equation (9)) [75], where dD…A represents the calculated distance between donor (O) and acceptor (N) atoms involved in H-bonding (Table 10).
EHB (kcal/mol) = −5.554.105exp(−4.12dD…A)
Similar results are obtained at the M06-2X/6-311G(d,p) and def2-TZVP levels of theory, being approximately 6.5–7 kcal/mol, both in the gas phase and in the presence of solvent molecules (DMSO). Such energy values point to a moderate strength of the OHN bond in α-anomers (Table 10, last column).

2.9. Inhibition of the Reverse Anomeric Effect

When an intramolecular hydrogen bond cannot be formed in the α-anomer, then the RAE is totally or partially eliminated. This occurs when the Schiff base adopts an enamine structure. Thus, for example, when enamine 123 [17] is allowed to remain in DMSO-d6 solution, equilibration with its β-anomer (124), which is the minor species (β-form: 15.3%), could be established after more than 2 months (Scheme 7). In this case, the intramolecular H-bonding is established with the carbonyl group of the enamine fragment, thereby inhibiting the bonding to the anomeric hydroxyl, and the exo-anomeric effect is totally or partially restored.
Other examples are illustrated by compounds 125 [76] and 126 [15,20] (Chart 14, Table 11). Schiff base 127 [77] crystallizes as the α-anomer, but in solution, it equilibrates with the β-anomer, which is the predominant species [13]. In this case, the RAE is only partially attenuated.
Protonation of the nitrogen atom represents the other way to sequester its lone pair. Thus, hydrochloride 128 [77] shows a complete reversal of the anomeric populations with respect to 127 and has an Ean coincidental with that of 123 and 125. The free energy variation for protonated 128 (or deprotonated 127) is 1.4 kcal/mol, with the exo-anomeric effect playing a dominant role. In addition, a strong intramolecular hydrogen bond is probably generated between the NH+ and the axial anomeric hydroxyl (α-anomer) (129), which restores the exo-anomeric effect (Scheme 8). The conformational rigidity of the imine group makes difficult the formation of this H-bonding in the β-anomer.
It is worth pointing out that this type of intramolecular bond formed by protonation has also been described for 2-aminocyclohexanol derivatives and is so powerful that it can invert the chair conformation of the cyclohexane ring (130), even though the substituents adopt axial dispositions (131) (Scheme 9) [78,79,80,81,82,83,84,85].
In the case of d-mannosamine (132) in which the amino group is arranged axially in a 4C1 conformation of the pyranose ring, there is no possibility to remove the exo-anomeric effect. Accordingly, it should adopt a 1C4 chair conformation that would place all the substituents in axial dispositions, thus making an impossible structure. In fact, no Schiff bases of this aminosugar with an imine structure have been described, although two enamines have been reported (Chart 15), namely 133 [86] and 134 [87,88,89]. In such cases, the existence of the RAE can hardly be detected. As a result, the RAE does not affect 2-aminoaldoses for which the imino group adopts an axial arrangement in the more stable conformer.
Furthermore, the RAE could modify the conformational behavior of imines derived from some 2-aminoaldoses. This is portrayed by imines of 2-amino-2-deoxy-pentopyranoses with d-arabino or l-xylo configurations. The most abundant species in the tautomeric equilibrium should be the α-anomer in 1C4 conformation (135/136), since the RAE would be feasible in the β-anomer (137/138) (Scheme 10).
In addition, the RAE may be present in other aminosugar derivatives and even in unprotected aminoaldoses themselves (Table 12). Thus, by replacing the hydroxyl at C-2 of d-glucose (139) by an amino group in d-glucosamine (140), the anomeric balance is shifted towards the equatorial anomer (β). However, protonation in the corresponding hydrochloride (2) reverses the anomeric ratio, making the α-anomer the more abundant species. The same applies to other protonated 2-aminosugars, such as 6 [16] and 142 [90]. This behavior is completely parallel to that shown by 127 and 128, suggesting a similar performance of the RAE. Likewise, this trend occurs when replacing the amino group by the N-acetyl group, where the lone pair on the nitrogen atom participates in strong delocalization with the amide carbonyl. Thus, the anomeric ratio is reversed in 141 [91,92] with respect to 140 and becomes equal to that observed in compound 2.
As conclusive statement, one may say that whenever there is a heteroatom with at least one lone pair at C-2, a hydrogen bond could form with the hydroxyl of the α-anomer and inhibit the exo-anomeric effect. Such an inhibition should weaken the hydrogen bonding. Apparently, this happens when the presence of the hydroxyl at C-2 decreases the amount of the α-anomer, as illustrated by comparing 2-deoxy-d-glucose (111) and 2-deoxy-d-galactose (143) with d-glucose (139) and d-galactose (144), respectively (Chart 16). Overall and despite the intriguing complexity of all factors influencing the anomeric equilibrium, the RAE should invariably be taken into account in further studies.

3. Conclusions

New imines have been synthesized by condensation of d-glucosamine and 2-amino-2-deoxy-d-glycero-l-gluco-heptopyranose with mono- and polycyclic aromatic aldehydes, as well as cinnamylidene aldehydes. They all crystallize as equatorial anomers (β); although in the cases of benzaldehyde, 2-fluorobenzaldehyde, 4-methoxynaphthaldehyde and 2-naphthaldehyde, the corresponding axial anomers (α) could also be isolated. Such imines have been thoroughly characterized by preparing their per-O-acetyl derivatives. In solution, the Schiff bases derived from 2-amino-2-deoxyaldoses and alkyl and arylaldehydes establish an equilibrium between both anomers. The prevalence of the β-anomer is independent of the nature of the alkyl or aryl moiety carried by the imine nitrogen. When imines crystallize rapidly, the α-anomer is usually formed; otherwise, the β-anomer or mixtures of both anomers are obtained. This RAE can judiciously be ascribed to the total or partial inhibition of the exo-anomeric effect in the α-anomer, and results from of an intramolecular hydrogen bond between the anomeric hydroxyl and the nitrogen atom. As a key structural prerequisite, the iminic group in the pyranose ring should adopt an equatorial arrangement. The effect is reduced and disappears completely when Schiff bases either adopt enamine structures or undergo protonation of the imino group. Also, the protonation of the starting 2-amino-2-deoxyaldopyranoses modifies the anomeric balance, thus suggesting the action of RAE in such compounds. Theoretical calculations show that the formation of hydrogen bonding between the anomeric hydroxyl and the imine nitrogen is responsible for removal of the exo-anomeric effect on the α-anomer of 2-arylimino-2-deoxyaldopyranoses, which together with solvent effects (in terms of continuous solvation or discrete solvation) provide sufficient evidence supporting the preferential formation of the β-anomer.

4. Experimental Section

4.1. General Methods

All reagents and solvents were obtained from commercial suppliers and used without further purification. Melting points were determined on Gallenkamp MPA (York, UK) and Electrothermal IA 9000 (York, UK) apparatuses and are uncorrected. Optical rotations were determined on a Perkin-Elmer 241 polarimeter (Waltham, MA, USA) at 22 ± 2 °C, with sodium (D line, λ = 589 nm) and mercury beams (λ = 578, 546, 463 nm). IR spectra were recorded in the range of 4000–600 cm−1 on an FT-IR Thermo spectrophotometer (Waltham, MA, USA). Solid samples were recorded on KBr (Merck (Darmstadt, Germany)) pellets. NMR spectra were measured on Bruker 400 and 500 AC/PC instruments (Karlsruhe, Germany) in DMSO-d6 or CDCl3. Structural elucidation was facilitated through (a) distortionless enhancement by polarization transfer (DEPT), (b) 2D correlation spectroscopy (COSY), (c) heteronuclear multiple-quantum correlation (HMQC), (d) heteronuclear multiple bond correlation (HMBC), (e) isotope exchange with deuterium oxide, and (f) nuclear Overhauser effect (NOE). All J values are given in hertz. Microanalyses were determined on a Leco® CHNS-932 analyzer (St. Joseph, MI, USA). High-resolution mass spectra (HRMS) were obtained using electrospray ionization (ESI) techniques with a 6520 Accurate-Mass Q-TOF LC/MS system from Agilent Technologies (Santa Clara, CA, USA) at the Servicio de Apoyo a la Investigación (SAIUEX) in the University of Extremadura.

4.2. Computational Details

The computational DFT study was initially carried out using the B3LYP [45,46] and the M06-2X [47] hybrid density functionals in conjunction with 6-31G(d,p) and 6-311G(d,p) basis sets [42,43], as implemented in the Gaussian09 package [93]. The M06-2X method was chosen on the basis of previous studies showing its accuracy in determining conformational energies associated with non-covalent interactions. To assess the influence of the level of theory on anomer stability, the def2-TZVP valence-triple-ζ basis set [44] was also employed in combination with the M06-2X functional for geometry optimizations. As mentioned, the latter has proven to be reliable enough for estimating structure and binding in other carbohydrate derivatives [48,49,50]. In all cases, frequency analyses were carried out to confirm the existence of true stationary points on the potential energy surface. All thermal corrections were calculated at the standard values of 1 atm at 298.15 K. Solvent effects were modeled through density-based, self-consistent reaction field (SCRF) theory of bulk electrostatics, i.e., the solvation model based on density (SMD) [51], as implemented in the Gaussian09 suite of programs. This solvation method accounts for long-range electrostatic polarization (bulk solvent) together with short-range effects due to cavitation, dispersion, and solvent structural effects.
We assessed mutarotational equilibria and solvent effects in 2-iminoaldose derivatives using four approaches: (a) gas-phase, as the absence of solvent allows determining the intrinsic stability of each species; (b) continuum solvation: anomerization was studied in solution with a description of the solvent as a continuum dielectric medium, using specifically the SMD model [51]; (c) microsolvation: calculations were conducted in the gas phase, but one or several water molecules were added to the resulting structures of the stationary points in order to determine the stabilization induced by hydrogen bonding, and (d) microsolvation and continuum solvation, which represents the hybrid between methods (b) and (c). Here, the assembly of the imine with one or several water molecules was studied in a continuum and polarizable dielectric medium.

4.3. Natural Bond Orbital (NBO) and Steric Analysis

Natural bond orbital analysis was performed with NBO 6.0 [74]. Intramolecular interactions of the stabilization energies were obtained using second-order perturbation theory and listed in the SI. For each donor NBO(i) and acceptor NBO(j), the stabilization energy E2 associated with electron delocalization between donor and acceptor is estimated as
E2 = ΔEij = −qi (Fij)2/(εiεj)
where qi is the donor orbital occupancy, εi, εj are diagonal elements (orbital energies), and Fij is the off-diagonal NBO Fock matrix element. In the natural bond orbital (NBO) approach, a hydrogen bond is viewed as an interaction between an occupied non-bonded natural orbital nA of the acceptor atom A and the unoccupied antibonding orbital of the DH bond σDH*.

4.4. Synthetic Procedures

Compounds 6 [14], 33 [11], 37 [17], 45 [19], 46 [20], 48 [20], 69 [17], 85 [26], 86 [27], 89 [17], 91 [17], 123 [17], 125 [76], 126 [15], 127 [77], and 128 [77] have been synthesized as described.

4.4.1. Synthesis of Schiff Bases

New and reported substances were obtained according to the following general procedures. Method 1: To a solution of 2 or 6 (23.2 mmol) in 1M NaOH (25 mL) was added the appropriate aromatic aldehyde (25.0 mmol), and the mixture was stirred at room temperature. A solid precipitated and was collected by filtration and washed successively with cold water, cold ethanol, and ethyl ether, and dried under vacuum on silica gel. Method 2: Sodium hydrogen carbonate (0.50 g, 6.0 mmol) was added to a solution of 2 or 6 (4.7 mmol) in water (6 mL). To the resulting mixture, a solution of the appropriate aromatic aldehyde (4.7 mmol) in methanol (saturated solution) was added dropwise. The mixture was stirred at room temperature until precipitation, and then left in the refrigerator (~5 °C) overnight. The solid was collected, washed with cold water, ethanol, and ethyl ether, and dried in vacuo.
2-[(E)-Benzylidenamino]-2-deoxy-α-d-glucopyranose (30). Method 1 (60%). M.p: 169–171 °C; [α]D +118.4°; [α]578 +124.8°; [α]546 +142.8°; [α]436 +267.4° (c 0.5, pyridine); [Lit. [24] m.p. 156 °C (decomp.)]; IR (KBr) ν ¯ max/cm−1 3448, 3250 (OH), 2939, 2868 (CH), 1643 (C=N), 1581 (arom), 1154, 1085, 1010 (C-O), 758, 698 (arom); 1H NMR (500 MHz, DMSO-d6) δ 8.33 (1H, s, N=CH), 7.77 (2H, m, arom), 7.45 (3H, m, arom), 6.22 (1H, d, J1,OH 4.0 Hz, C1-OH), 4.95 (1H, t, J1,OH = J1,2 3.5 Hz, H-1), 4.92 (1H, d, J3,OH 5.5 Hz, C3-OH), 4.71 (1H, d, J4,OH = 5.5 Hz, C4-OH), 4.46 (1H, t, J6,OH = J6′,OH 5.5 Hz, C6-OH), 3.83 (1H, dt, J3,OH 5.5 Hz, J2,3 = J3,4 9.5 Hz, H-3), 3.76 (1H, ddd, J4,5 9.5 Hz, J5,6 2.0 Hz, J5,6′ 5.5 Hz, H-5), 3.68 (1H, ddd, J6,OH 5.5 Hz, J5,6′ 2.0 J6,6′ 11.5 Hz, H-6), 3.54 (1H, dt, J6′,OH = J5,6′ 5.5 Hz, J6,6 11.5 Hz, H-6′), 3.20 (1H, dt, J4,OH 5.5 Hz, J3,4 = J4,5 9.5 Hz, H-4), 3.14 (1H, dd, J1,2 3.5 Hz, J2,3 9.5 Hz, H-2); 13C{1H} NMR (125 MHz, DMSO-d6) δ 162.2 (N=C), 136.3, 130.6, 128.6 (2 C-arom), 128.2 (2 C-arom), 93.0 (C-1), 75.1 (C-2), 72.5 (C-5), 70.9 (C-3), 70.8 (C-4), 61.4 (C-6). Anal. Calcd. for C13H17NO5: C, 58.42; H, 6.41; N, 5.24. Found: C, 58.27; H, 6.20; N, 5.11. HRMS [M+H]+ calculated for C13H18NO5: 268.1185. Found: 268.1170.
2-Deoxy-2-[(E)-(3-fluorobenzylidene)amino]-α-d-glucopyranose (31). Method 1 (60%). M.p. 183–185 °C; [α]D +154.0°; [α]578 +161.0°; [α]546 +185.4°; [α]436 +350.8° (c 0.5, pyridine); IR (KBr) ν ¯ max/cm−1 3449, 3243 (OH), 2940, 2867 (CH), 1644 (C=N) 1614, 1585, 1452, 1152, 1084, 1011 (C-O); 1H NMR (500 MHz, DMSO-d6) δ 8.34 (1H, s, N=CH), 7.59 (2H, m, arom), 7.50 (1H, m, arom), 7.29 (1H, dt, J 3.2 Hz, J 8.5 Hz, arom), 6.23 (1H, d, J1,OH 4.5 Hz, C1-OH), 4.95 (1H, t, J1,OH = J1,2 3.5 Hz, H-1), 4.92 (1H, d, J3,OH 5.5 Hz, C3-OH), 4.74 (1H, d, J4,OH = 5.5 Hz, C4-OH), 4.45 (1H, t, J6,OH = J6′,OH 6.0 Hz, C6-OH), 3.80 (1H, dt, J3,OH 5.5 Hz, J2,3 = J3,4 9.5 Hz, H-3), 3.76 (1H, ddd, J4,5 9.5 Hz, J5,6 2.0 Hz, J5,6′ 5.5 Hz, H-5), 3.67 (1H, ddd, J6,OH 5.5 Hz, J5,6′ = 2.0, J6,6′ 11.5 Hz, H-6), 3.54 (1H, dt, J6′,OH = J5,6′ 5.5 Hz, J6,6′ 12.0 Hz, H-6′), 3.20 (1H, dt, J4,OH 5.5 Hz, J3,4 = J4,5 9.9 Hz, H-4), 3.16 (1H, dd, J1,2 3.0 Hz, J2,3 10.0 Hz, H-2); 13C{1H} NMR (125 MHz, DMSO-d6) δ 162.4 (1JC,F = 242.5 Hz, C3 arom), 161.0 (4JC,F = 2.5 Hz, N=C), 138.9 (3JC,F = 7.5 Hz, C1 arom), 130.7 (4JC,F = 7.5 Hz, C5 arom), 124.7 (3JC,F = 1.25 Hz, C6 arom), 117.4 (2JC,F = 22.5 Hz, C2 arom), 113.8 (2JC,F = 22.5 Hz, C4 arom), 92.8 (C-1), 74.9 (C-2), 72.5(C-5), 70.8 (C-3), 70.7 (C-4), 61.6 (C-6). Anal. Calcd. for C13H16FNO5: C, 54.73; H, 5.65; N, 6.66. Found: C,54.92; H, 5.37; N, 5.58. HRMS [M+H]+ calculated for C13H17FNO5: 286.1091. Found: 286.1077.
2-Deoxy-2-[(E)-(3-bromobenzylidene)amino]-β-d-glucopyranose (32). Method 1 (86%). M.p. 167–170 °C; [α]D +51.6°; [α]578 +51.6°; [α]546 +55.0°; [α]436 +113.8° (c 0.5, pyridine); IR (KBr) ν ¯ max/cm−1 3484, 3304, 3191 (OH), 1650 (C=N) 1563, 1106, 1070, 1034 (C-O), 989, 880; 1H NMR (500 MHz, DMSO-d6) δ 8.19 (1H, s, CH=N), 7.95 (1H, s, arom), 7.73 (1H, d, J 8.0 Hz, H-arom), 7.65 (1H, dd, J 8.0 Hz, J 1.0 Hz, H-arom), 7.41 (1H, t, J 8.0 Hz, H-arom), 6.62 (1H, d, J1,OH 7.0 Hz, OH-1), 5.00 (1H, d, J3,OH 5.5 Hz, OH-3), 4.92 (1H, d, J4,OH 5.5 Hz, OH-4), 4.73 (1H, t, JOH,1 = J1,2 8.0 Hz, H-1), 4.59 (1H, t, J6,OH 5.5 Hz, OH-6), 3.72 (1H, ddd, J5,6 1.5 Hz, J6,OH 5.5 Hz, J6,6′ 11.5 Hz, H-6), 3.49 (1H, dt, J5,6′ = J6,OH 5.5 Hz, J6,6′ 11.5 Hz, H-6′), 3.45 (1H, m, H-3), 3.25 (1H, ddd, J5,6 2.0 Hz, J5,6′ 6.0 Hz, J6,6′ 9.0 Hz, H-5), 3.16 (1H, dt, J4,OH 5.5 Hz, J3,4 = J4,5 9.0 Hz, H-4), 2.85 (1H, dd~t, J1,2 8.0 Hz, J2,3 9.0 Hz, H-2); 13C{1H} NMR (125 MHz, DMSO-d6) δ 160.7 (C=N), 138.5 (C-arom), 133.2 (C-arom), 130.9 (C-arom), 130.1 (C-arom), 127.4 (C-arom), 122.1 (C-arom), 95.5 (C-1), 78.1 (C-2), 77.0 (C-5), 74.4 (C-3), 70.3 (C-4), 61.3 (C-6). Anal. Calcd. for C13H16BrNO5: C, 45.10; H, 4.66; N, 4.05. Found: C, 44.88; H, 4.84; N, 4.21. HRMS [M+H]+ calculated for C13H17BrNO5: 346.0290. Found: 346.0285.
2-Deoxy-2-[(E)-(4-chlorobenzylidene)amino]-β-d-glucopyranose (33) [11]. Method 1 (76%). M.p. 178–180 °C; [α]D +38.4°; [α]578 +39.2°; [α]546 +47.8°; [α]436 +113.6° (c 0.5, pyridine); IR (KBr) ν ¯ max/cm−1 3494, 3304, 3200 (OH), 1646 (C=N) 1597, 1085, 1068, 1030 (C-O), 987, 830; 1H NMR (500 MHz, DMSO-d6) δ 8.21 (1H, s, CH=N), 7.78 (2H, d, J 8.5 Hz, arom), 7.50 (2H, d, J 8.5 Hz, arom), 6.59 (1H, d, J1,OH 6.5 Hz, OH-1), 4.96 (1H, d, J3,OH 5.5 Hz, OH-3), 4.89 (1H, d, J4,OH 5.5 Hz, OH-4), 4.73 (1H, t, JOH,1 = J1,2 8.0 Hz, H-1), 4.57 (1H, t, J6,OH 6.0 Hz, OH-6), 3.74 (1H, ddd, J5,6 2.0 Hz, J6,OH 5.5 Hz, J6,6′ 12.0 Hz, H-6), 3.50 (1H, dt, J6′,OH = J5,6′ 6.0 Hz, J6,6′ 12.0 Hz, H-6′), 3.45 (1H, dt, J3,OH 5.5 Hz, J2,3J3,4 9.0 Hz, H-3), 3.26 (1H, ddd, J5,6 2.0 Hz, J5,6′ 6.0 Hz, J4,5 9.0 Hz, H-5), 3.18 (1H, dt, J4,OH 5.5 Hz, J3,4 = J4,5 9.0 Hz, H-4), 2.86 (1H, t, J1,2J2,3 8.0 Hz, H-2); 13C{1H} NMR (125 MHz, DMSO-d6) δ 160. 9 (C=N), 135.1 (C-arom), 135.1 (C arom), 129.7 (2 C-arom), 128.7 (2 C- arom), 95.5 (C-1), 78.2 (C-2), 76.9 (C-5), 74.4 (C-3), 70.3 (C-4), 61.3 (C-6). Anal. Calcd. for C13H16N2O7: C, 51.71; H, 5.35; N, 4.64. Found: C, 51.56; H, 5.53; N, 4.70. HRMS [M+H]+ calculated for C13H17ClNO5: 302.0795. Found: 302.0778.
2-Deoxy-2-[(E)-(4-cyanobenzylidene)amino]-β-d-glucopyranose (34). Method 1 (70%). M.p. 165–167 °C; [α]D +49.8°; [α]578 +52.0°; [α]546 +61.0°; [α]436 +138.0° (c 0.5, pyridine); IR (KBr) ν ¯ max/cm−1 3559, 3522, 3466, 3342, 3157 (OH), 2234 (CN), 1641 (C=N) 1369, 1096, 1080, 1048, 1018 (C-O), 835; 1H NMR (500 MHz, DMSO-d6) δ 8.30 (1H, s, CH=N), 7.92 (4H, m, arom), 6.65 (1H, d, J1,OH 6.5 Hz, OH-1), 4.99 (1H, d, J3,OH 5.5 Hz, OH-3), 4.94 (1H, d, J4,OH 5.5 Hz, OH-4), 4.76 (1H, t, JOH,1 = J1,2 7.0 Hz, H-1), 4.59 (1H, t, J6,OH 6.0 Hz, OH-6), 3.74 (1H, ddd, J5,6 1.5 Hz, J6,OH 5.5 Hz, J6,6′ 11.5 Hz, H-6), 3.50 (1H, dt, J6,OH = J5,6 6.0 Hz, J6,6′ 11.5 Hz, H-6′), 3.48 (1H, dt, J6,OH 5.5 Hz, J3,4 = J4,5 9.0 Hz, H-3,), 3.27 (1H, ddd, J4,5 9.5 Hz, J5,6 1.5 Hz, J5,6′ 6.0 Hz, H-5), 3.18 (1H, dt, J4,OH 5.5 Hz, J3,4 = J4,5 9.5 Hz, H-4), 2.91 (1H, dd≈t, J1,2 ≈ 7.5 J2,3 9.5 Hz, H-2); 13C{1H} NMR (125 MHz, DMSO-d6) δ 161.0 (C=N), 140.1 (C-arom), 132.7 (2 C-arom), 128.7 (2 C-arom), 118.7 (C≡N), 112.7 (C-arom), 95.4 (C-1), 78.4 (C-2), 77.0 (C-5), 74.3 (C-3), 70.2 (C-4), 61.3 (C-6). Anal. Calcd. for C14H16N2O5: C, 57.53; H, 5.52; N, 9.58. Found: C, 57.34; H, 5.28; N, 9.41. HRMS [M+H]+ calculated for C14H17N2O5: 293.1137. Found: 293.1137.
2-Deoxy-2-[(E)-(4-pyperidinylbenzylidene)amino]-β-d-glucopyranose (35). Method 1 (62%). M.p. 172–174 °C; [α]D +27.8°; [α]578 +30.0°; [α]546 +35.4°; [α]436 +84.0° (c 0.5, pyridine); IR (KBr) ν ¯ max/cm−1 3466, 3292, 3178 (OH), 2919, 2838 (CH), 1630 (C=N) 1609 (arom), 1522, 1254, 1191, 1129, 1109, 1089, 1028 (C-O), 807; 1H NMR (500 MHz, DMSO-d6) δ 8.03 (1H, s, CH=N), 7.55 (2H, d, J 8.5 Hz, arom), 6.93 (2H, d, J 8.5 Hz, arom), 6.50 (1H, d, J1,OH 7.0 Hz, OH-1), 4.90 (1H, d, J3,OH 5.0 Hz, OH-3), 4.77 (1H, d, J4,OH 5.5 Hz, OH-4), 4.68 (1H, t, JOH,1 = J1,2 7.5 Hz, H-1), 4.55 (1H, t, J6,OH = J6′,OH 6.0 Hz, OH-6), 3.73 (1H, dd, J6,OH 5.5 Hz, J6,6′ 12.0 Hz, H-6), 3.49 (1H, dt, J6′,OH = J5,6′ 6.0 Hz, J6,6′ 12.0 Hz, H-6′), 3.42 (1H, dt, J3,OH 6.0 Hz, J2,3J3,4 9.0 Hz, H-3), 3.24 (5H, m, H-5, NCH2, piperidine), 3.16 (1H, dt, J4,OH 5.0 Hz, J3,4 = J4,5 9.5 Hz, H-4), 2.76 (1H, t, J1,2 = J2,3 8.5 Hz, H-2); 1.57 (6H, s, CH2 pyperidine); 13C{1H} NMR (125 MHz, DMSO-d6) δ 161.5 (C=N), 152.7 (arom), 129.3 (2 C-arom), 125.9 (C-arom), 114.3 (2 C-arom), 95.8 (C-1), 78.3 (C-2), 76.8 (C-5), 74.8 (C-3), 70.4 (C-4), 61.3 (C-6), 48. 6 (2C, piperidine), 25.0 (2C, piperidine), 24.0 (piperidine). Anal. Calcd. for C13H16N2O7: C, 61.70; H, 7.42; N, 7.99. Found: C, 62.01; H, 7.28; N, 8.26. HRMS [M+H]+ calculated for C18H27N2O5: 351.1920. Found: 351.1918.
2-Deoxy-2-[(E)-(4-morpholinylbenzylidene)amino]-β-d-glucopyranose (36). Method 1 (64%). M.p. 173–175 °C; [α]D +31.4°; [α]578 +33.2°; [α]546 +38.8°; [α]436 +88.8° (c 0.5, pyridine); IR (KBr) ν ¯ max/cm−1 3420, 3342, 3080 (OH), 2965, 2910, 2874, 2833 (CH), 1642 (C=N) 1610, 1518, 1117, 1070, 1029, 1011 (C-O), 923, 816; 1H NMR (500 MHz, DMSO-d6) δ 8.06 (1H, s, CH=N), 7.59 (2H, d, J 8.5 Hz, arom), 6.96 (2H, d, J 8.5 Hz, arom), 6.51 (1H, d, J1,OH 6.5 Hz, OH-1), 4.91 (1H, d, J3,OH 5.5 Hz, OH-3), 4.78 (1H, d, J4,OH 6.0 Hz, OH-4), 4.69 (1H, t, JOH,1 = J1,2 8.5 Hz, H-1), 4.55 (1H, t, J6,OH = J6′,OH 6.0 Hz, OH-6), 3.73 (5H, m, H-6, OCH2, morpholine), 3.49 (1H, dt, J6′,OH = J5,6′ 6.0 Hz, J6,6′ 12.0 Hz, H-6′), 3.42 (1H, dt, J3,OH 5.5 Hz, J2,3J3,4 9.0 Hz, H-3), 3.24 (1H, ddd, J5,6 2.0 Hz, J5,6′ 6.0 Hz, J4,5 9.0 Hz, H-5), 3.19 (4H, m, NCH2, morpholine), 3.15 (1H, dt, J4,OH 6.0 Hz, J3,4 = J4,5 9.5 Hz, H-4), 2.77 (1H, t, J1,2 = J2,3 8.5 Hz, H-2); 13C{1H} NMR (125 MHz, DMSO-d6) δ 161.5 (C=N), 152.5 (C-arom), 129.3 (2 C-arom), 127.0 (C-arom), 114.1 (2 C-arom), 95.8 (C-1), 78.3 (C-2), 76.9 (C-5), 74.8 (C-3), 70.5 (C-4), 66.0 (2C, morpholine), 61.3 (C-6), 47.6 (2C, morpholine). Anal. Calcd. for C13H16N2O7: C, 57.94; H, 6.86; N, 7.95. Found: C, 58.13; H, 6.65; N, 7.92. HRMS [M+H]+ calculated for C17H25N2O6: 353.1713. Found: 353.1711.
2-Deoxy-2-[(E)-(4-methoxybenzylidene)amino]-β-d-glycero-l-gluco-heptopyranose (37) [17]. Method 2 (83%). M.p. 189–190 °C (Lit. [17] 190–192 °C); 1H NMR (500 MHz, DMSO-d6) δ 8.11 (1H, s, CH=N), 7.68 (2H, d, J 8.0 Hz, H-arom), 6.98 (2H, d, J 8.0 Hz, H-arom), 6.46 (1H, d, J1,OH 6.5 Hz, OH-1), 4.82 (1H, bs, OH-3), 4.78 (1H, bs, OH-4), 4.66 (1H, t, J1,OH = J1,2 7.0 Hz, H-1), 4.49 (1H, bs, OH-7), 4.27 (1H, d, J6,OH 6.0 Hz, OH-6), 3.79 (4H, m, H-6, OCH3), 3.86–3.44 (4H, m, H-3, H-4, H-7, H-7′), 3.27 (1H, d, J4,5 8.0 Hz H-5), 2.78 (1H, t, J1,2J2,3 7.0 Hz, H-2); 13C{1H} NMR (125 MHz, DMSO-d6) δ 161.2 (C=N), 161.1 (C-arom), 131.9 (C-arom), 129.7 (2 C-arom), 113.9 (2 C-arom), 96.0 (C-1), 78.3 (C-2), 74.9 (C-3), 74.5 (C-5), 69.2 (C-4), 68.7 (C-6), 62.5 (C-7), 55.3 (OMe).
2-[(E)-Benzylidenamino]-2-deoxy-β-d-glycero-l-gluco-heptopyranose (38). Method 2 (37%). M.p. 155–157 °C (dec.); [α]D25 −49.1°; [α]57825 −51.9°; [α]54625 −60.0°; [α]43625 −120.9° (c 0.5, pyridine); IR (KBr) ν ¯ max/cm−1 3375, 3295 (OH), 1643 (C=N) 1090, 1063, 1014 (C-O); 1H NMR (500 MHz, DMSO-d6) δ 8.20 (1H, s, CH=N), 7.75 (2H, m, H-arom), 7.45 (3H, m, H-arom), 6.51 (1H, sa, C1-OH), 4.85 (1H, s, OH), 4.83 (1H, s, OH), 4.70 (1H, t, J1,OHJ1,2 7.5 Hz, H-1), 4.51 (1H, sa, C7-OH), 4.29 (1H, d, J6,OH 6.5 Hz, C6-OH), 3.80 (1H, m, H-6), 3.5 (4H, m, H-3, H-4, H-7, H-7′), 3.29 (1H, d, J4,5J5,6 8.0 Hz, H-5), 2.85 (1H, t, J1,2J2,3 9.0 Hz, H-2); 13C{1H} NMR (125 MHz, DMSO-d6) δ 162.4 (C=N), 136.6, 131.0, 129.0, 128.5 (C-arom), 96.4 (C-1), 78.8 (C-2), 75.2 (C-3), 74.9 (C-5), 69.6 (C-4), 69.1 (C-6), 63.0 (C-7). Anal. Calcd. for C14H19NO6: C, 56.57; H, 6.40; N, 4.71. Found: C, 56.73; H, 6.23; N, 4.77. HRMS [M+H]+ calculated for C14H20NO6: 298.1285. Found: 298.1298.
2-Deoxy-2-[(E)-(4-nitrobenzylidene)amino]-β-d-glycero-l-gluco-heptopyranose (39). Method 2 (73%). M.p. 140–142 °C (dec.); [α]D −61.2°; [α]578 −62.3°; [α]546 −73.6°; [α]436 −170.2° (c 0.5, pyridine); IR (KBr) ν ¯ max/cm−1 3527, 3500–3100 (OH), 1649 (C=N), 1602 (arom), 1520 (NO2), 1429 (arom), 1345 (NO2), 1124, 1061, 1011 (C-O), 989, 838, 693, 682; 1H NMR (500 MHz, DMSO-d6) δ 8.36 (1H, s, CH=N), 8.30 (2H, d, H-arom), 8.03 (2H, d, H-arom), 6.60 (1H, s, C1-OH), 4.92 (1H, d, J 3.5 Hz, OH), 4.89 (1H, d, J 4.0 Hz, OH), 4.75 (1H, t, J1,OHJ1,2 7.5 Hz, H-1), 4.51 (1H, t, J7,OH 6.5 Hz, C7-OH), 4.27 (1H, d, J6,OH 6.5 Hz, C6-OH), 3.80 (1H, c, J6,OH 6.5 Hz, H-6), 3.47 (4H, m, H-3, H-4, H-7, H-7′), 3.31 (1H, m, H-5), 2.93 (1H, t, J1,2J2,3 8.5 Hz, H-2); 13C{1H} NMR (125 MHz, DMSO-d6) δ 160.9 (C=N), 148.9, 142.2, 129.5, 124.3 (C-arom), 96.2 (C-1), 78.9 (C-2), 75.0 (C-3), 74.9 (C-5), 69.5 (C-4), 69.1 (C-6), 62.9 (C-7). Anal. Calcd. for C14H18N2O8: C, 49.12; H, 5.26; N, 8.19. Found: C, 48.94; H, 5.23; N, 8.05. HRMS [M+H]+ calculated for C14H19N2O8: 343.1136. Found: 343.1149.
2-Deoxy-2-[(E)-(4-ethylbenzylidene)amino]-β-d-glycero-l-gluco-heptopyranose (40). Method 2 (60%). M.p. 182–184 °C (dec.); [α]D −44.0°; [α]578 −46.53°; [α]546 −54.5°; [α]436 −107.4° (c 0.5, pyridine); IR (KBr) ν ¯ max/cm−1 3367, 3284 (OH), 1644 (C=N),1609 (arom), 1081, 1014 (C-O); 1H NMR (500 MHz, DMSO-d6) δ 8.16 (1H, s, CH=N), 7.66 (2H, d, H-arom), 7.28 (2H, d, H-arom), 6.48 (1H, d, J1,OH 6.5 Hz, C1-OH), 4.82 (1H, d, J 3.5 Hz, OH), 4.78 (1H, d, J 4.5 Hz, OH), 4.68 (1H, t, J1,OHJ1,2 7.0 Hz, H-1), 4.51 (1H, t, J7,OH 5.0 Hz, C7-OH), 4.27 (1H, d, J6,OH 6.5 Hz, C6-OH), 3.79 (1H, m, H-6), 3.45 (4H, m, H-3, H-4, H-7, H-7′), 3.28 (1H, d, J4,5J5,6 8.0 Hz, H-5), 2.81 (1H, t, J1,2J2,3 8.0 Hz, H-2), 2.64 (2H, c, J 7.0 Hz, CH2), 1.19 (3H, t, J 7.5 Hz, CH3); 13C{1H} NMR (125 MHz, DMSO-d6) δ 162.2 (C=N), 149.9, 134.4, 128.6, 128.4 (C-arom), 94.4 (C-1), 78.8 (C-2), 75.2 (C-3), 74.9 (C-5), 69.6 (C-4), 69.2 (C-6), 63.0 (C-7), 28.6 (CH2), 15.9 (CH3). Anal. Calcd. for C16H23NO6: C, 59.08; H, 7.08; N, 4.31. Found: C, 58.86; H, 6.97; N, 4.33. HRMS [M+H]+ calculated for C16H24NO6: 326.1598. Found: 326.1612.
2-Deoxy-2-[(E)-(2,4-dimethylbenzylidene)amino]-β-d-glycero-l-gluco-heptopyranose (41). Method 2 (40%). M.p. 175–177 °C (dec.); [α]D −45.9°; [α]578 −46.6°; [α]546 −54.1°; [α]436 −111.9° (c 0.5, pyridine); IR (KBr) ν ¯ max/cm−1 3367, 3294 (OH), 1634 (C=N),1613 (arom), 1084, 1010 (C-O); 1H NMR (500 MHz, DMSO-d6) δ 8.40 (1H, s, CH=N), 7.69 (2H, d, H-arom), 7.04 (2H, d, H-arom), 6.46 (1H, d, J1,OH 7.0 Hz, C1-OH), 4.81 (1H, d, J 5.0 Hz, OH), 4.76 (1H, d, J 5.0 Hz, OH), 4.67 (1H, t, J1,OHJ1,2 7.5 Hz, H-1), 4.49 (1H, t, J7,OH 5.0 Hz, C7-OH), 4.26 (1H, d, J6,OH 7.0 Hz, C6-OH), 3.79 (1H, c, J6,OH 6.5 Hz, H-6), 3.43 (4H, m, H-3, H-4, H-7, H-7′), 3.28 (1H, d, J4,5J5,6 8.5 Hz, H-5), 2.83 (1H, t, J1,2J2,3 8.5 Hz, H-2), 2.43, 2.29 (9H, s, CH3); 13C{1H} NMR (125 MHz, DMSO-d6) δ 160.8 (C=N), 140.0, 137.7, 132.0, 131.8, 128.0, 127.0 (C-arom), 96.5 (C-1), 79.1 (C-2), 75.3 (C-3), 74.9 (C-5), 69.7 (C-4), 69.2 (C-6), 63.0 (C-7), 21.4, 19.4 (CH3). Anal. Calcd. for C16H23NO6: C, 59.08; H, 7.08; N, 4.31. Found: C, 59.15; H, 6.88; N, 4.26. HRMS [M+H]+ calculated for C16H24NO6: 326.1598. Found: 326.1609.
2,5-Bis(d-galacto-pentitol-1-yl)pyrazine (43). The title compound was obtained using Method 1 from 2-amino-2-deoxy-d-glycero-l-gluco-heptopyranose (6) and 2,4,6-trimethyl benzaldehyde. After partial solvent evaporation, a white solid was obtained, then isolated by filtration and washed with cold ethanol and ethyl ether. It decomposes without melting above 200 °C; [α]D −75.4°; [α]578 −82.0°; [α]546 −77.8°; [α]436 −86.8° (c 0.4, pyridine); IR(KBr) ν ¯ max/cm−1 3600–3100 (OH), 1637, 1491 (arom), 1043, 1028 (C-O), 870, 848 (arom.); 1H NMR (500 MHz, DMSO-d6) δ 8.63 (2H, s, H-arom), 5.28 (2H, s, C1-OH), 4.99 (2H, d, J 4.5 Hz, H-1), 4.45 (2H, s, C5-OH), 4.32 (2H, d, J 9.0 Hz, C4-OH), 4.30 (2H, d, J 8.5 Hz, C2-OH), 4.19 (2H, s, C3-OH), 3.74 (4H, s, H-3, H-4), 3.63 (2H, t, J 7.5 Hz, H-2); 3.44 (4H, t~s, H-5, H-5′); 13C{1H} NMR (125 MHz, DMSO-d6) δ 156.3 (C=N arom.), 141.3 (CH=, arom.), 72.7 and 69.9 (C-3, C-4), 71.3 (C-1), 69.4 (C-2), 63.1 (C-5). Anal. Calcd. for C14H24N2O10: C, 41.69; H, 5.96; N, 6.95. Found: C, 41.53; H, 5.86; N, 7.02. HRMS [M+H]+ calculated for C14H25N2O10: 381.1504; Found: 381.1518; [M+Na]+ calculated for C14H24N2O10Na: 403.1323. Found: 403.1332.
2,5-Bis(1′,2′,3′,4′,5′-penta-O-acetyl-d-galacto-pentitol-1-yl)pyrazine (44). To a suspension of 2,5-bis-(d-galacto-pentitol-1-yl)pyrazine (49) in pyridine (9.4 mL), acetic anhydride (9.0 mL) was added with stirring and external cooling. The mixture was allowed to warm at room temperature until dissolution. It was then poured into ice-water, and the resulting solid was filtered and washed with cold water and dried in vacuum over silica gel (62%). M.p. 217–219 °C; IR(KBr) ν ¯ max/cm−1 1742 (C=O, acetate), 1373, 1222 and 1206 (C-O-C, acetate), 1029 (C-O); 1H NMR (500 MHz, CDCl3) δ 8.44 (2H, s, H-arom), 6.02 (2H, d, J 1.5 Hz, H-1), 5.65 (2H, dd, J 1.5 Hz, J 10.0 Hz, H-2), 5.55 (2H, dd, J 10.0 Hz, J 1.5 Hz, H-3), 5.30 (2H, m, H-4), 4.31 (2H, dd, J 5.0 Hz, J 11.5 Hz, H-5), 3.90 (2H, dd, J 7.5 Hz, J 11.5 Hz, H-5′), 2.23 (6H, s, acetate), 2.16 (6H, s, acetate), 2.05 (6H, s, acetate), 2.04 (6H, s, acetate), 1.65 (6H, s, acetate); 13C{1H} NMR (125 MHz, CDCl3) δ 170.4, 170.2, 169.8, 168.6 (C=O), 151.1, 141.3 (C-arom), 71.8 (C-1), 68.9 (C-2), 67.8 (C-3), 67.6 (C-4), 62.0 (C-5), 20.7, 20.6, 20.6, 19.9 (CH3). Anal. Calc. for C34H44N2O20: C, 51.00; H, 3.50; N, 6.95. Found: C, 49.83; H, 3.60; N, 6.87. HRMS [M+H]+ calculated for C34H45N2O20: 801.2560; found: 801.2593; [M+Na]+ calculated for C34H44N2O20Na: 823.2380; found: 823.2399; [M+K]+ calculated for C34H44N2O20K: 839.2119; found: 839.2129.
2-[(E,E)-Cinnamylideneamino]-2-deoxy-β-d-glucopyranose (45) [19]. Method 2 (40%); M.p. 173–175 °C; [α]D +31.2°; [α]578 +31.8°; [α]546 +37.8°; [α]436 +114.0° (c 0.5, pyridine); [Lit. [47] M.p. 187 °C, [α]546 +57.6° (pyridine)]; IR (KBr) ν ¯ max/cm−1 3000–2922 (OH), 1632 (C=N), 1630 (C=C), 1096, 1010 (C-O), 758, 694, 631 (arom); 1H NMR (400 MHz, DMSO-d6) δ 7.93 (1H, d, J=CH-CH 8.8 Hz, N=CH-CH), 7.59 (2H, d, J 7.3 Hz H-arom), 7.36 (3H, m, H-arom), 7.11 (1H, d, JCH=CH 16.1 Hz, CH=CH-Ar), 6.90 (1H, dd, JCH=CH 16.1 Hz, JCH-CH 8.8 Hz, CH-CH=CH), 6.56 (1H, d, JC1,OH 6.7 Hz C1-OH), 4.95 (1H, d, JC3,OH 4.7 Hz, C3-OH), 4.85 (1H, d, JC4,OH 5.4 Hz, C4-OH), 4.64 (1H, d, J1,2 7.7 Hz, H-1), 4.56 (1H, t, JC6,OH 5.3 Hz, C6-OH), 3.72 (1H, dd, J6,6′ 11.4 Hz, J5,6 3.1 Hz, H-6), 3.47 (1H, m, J6,6′ 11.9 Hz, J5,6′ 5.8 Hz, H-6′), 3.36 (1H, m, H-3), 3.21 (1H, m, J5,6′ 1.5 Hz, J5,6 5.7 Hz, H-5), 3.13 (1H, dt, J3,4J4,5 9.0 Hz, JC4-OH 4.2 Hz, H-4), 2.71 (1H, t, J1,2J2,3 8.5 Hz, H-2); 13C{1H} NMR (100 MHz, DMSO-d6) δ 163.9 (C=N), 141.4 (2C, CH=CH), 136.8, 129.1, 128.6, 127.4 (2 C-arom), 95.8 (C-1), 78.6 (C-2), 77.1 (C-5), 74.8 (C-3), 70.5 (C-4), 61.5 (C-6). Anal. Calcd. for C15H19NO5: C, 61.42, H, 6.53, N, 4.78. Found: C, 61.20, H, 6.59, N, 4.86.
2-Deoxy-2-[(E,E)-(4-nitrocinnamylidene)amino]-β-d-glucopyranose (46) [20]. Method 2 (49%). M.p. 196–198 °C; [α]D +31.2°; [α]578 +31.8°; [α]546 +37.8°; [α]436 +114.0° (c 0.5, pyridine); [Lit. [47] M.p. 172–173 °C]; IR (KBr) ν ¯ max/cm−1 3545 (OH), 1634 (C=N), 1510 (arom), 1072, 1013 (C-O), 829, 750 (arom); 1H NMR (400 MHz, DMSO-d6) δ 8.21 (2H, d, J 8.7 Hz, H-arom), 7.99 (1H, d, J=CH-CH 8.6 Hz, N=CH-CH), 7.87 (2H, d, J 8.7 Hz, H-arom), 7.26 (1H, d, J 16.1 Hz, CH=CH-Ar), 7.11 (1H, dd, J 8.7 Hz, JCH=CH 16.1 Hz, CH-CH=CH), 6.61 (1H, d, JC1-OH 6.7 Hz, C1-OH), 4.98 (1H, d, JC4-OH 5.2 Hz, C4-OH), 4.90 (1H, d, JC3-OH 5.7 Hz, C3-OH), 4.68 (1H, t, J1,2 7.2 Hz, H-1), 4.58 (1H, t, JC6-OH 5.7 Hz, C6-OH), 3.72 (1H, dd, J6,6′ 10.2 Hz, J5,6 5.4 Hz, H-6), 3.48 (1H, m, H-6′, H-3), 3.23 (1H, m, H-5), 3.15 (1H, m, H-4), 2.76 (1H, t, J1,2J2,3 8.5 Hz, H-2); 13C{1H} NMR (100 MHz, DMSO-d6) δ 163.5 (C=N), 147.4, 142.6 (C-arom), 138.9 (CH=CH), 132.7, 128.4 (C-arom), 124.2 (CH=CH), 95.7 (C-1), 78.7 (C-2), 77.1 (C-5), 74.7 (C-3), 70.4 (C-4), 61.4 (C-6). Anal. Calcd. for C15H18N2O7: C, 53.25, H, 5.36, N, 8.28. Found: C, 53.03, H, 5.55, N, 8.36.
2-Deoxy-2-[(E,E)-(2-methoxycinnamylidene)amino]-β-d-glucopyranose (47). Method 2 (94%); M.p. 184–185 °C; [α]D −7.4°; [α]578 −8.4°; [α]546 −7.6°; [α]436 +2.4° (c 0.5, pyridine); IR (KBr) ν ¯ max/cm−1 3500–2800 (OH), 1635 (C=N), 1598 (CH=CH), 1488, 1462 (arom), 1249, 1160 (C-O-C, ester), 1079, 1024, 985 (C-O), 898, 754 (arom); 1H NMR (400 MHz, DMSO-d6) δ 7.92 (1H, d, J=CH-CH 8.9 Hz, N=CH-CH), 7.60 (1H, dd, J 7.7 Hz, J 1.2 Hz, H-arom), 7.33 (1H, dt, J 7.7 Hz, J 1.4 Hz, H-arom), 7.26 (1H, d, JCH=CH 16.2 Hz, CH=CH-Ar), 6.97 (1H, t, J 7.5 Hz, H-arom), 6.90 (1H, dd, JCH=CH 16.2 Hz, JCH-CH 8.9 Hz, CH-CH=CH), 6.55 (1H, d, JC1,OH 6.8 Hz, C1-OH), 4.96 (1H, d, JC3-OH 5.2 Hz, C3-OH), 4.84 (1H, d, JC4-OH 5.8 Hz, C4-OH), 4.63 (1H, d, J1,2 7.3 Hz, H-1), 4.57 (1H, t, JC6-OH 5.8 Hz, C6-OH), 3.85 (3H, s, OCH3), 3.71 (1H, ddd, J6,6′ 11.5 Hz, JC6,OH 5.5 Hz, J5,6 1.5 Hz, H-6), 3.47 (1H, dt, J6,6′ 11.6 Hz, JC6,OHJ5,6′ 5.8 Hz, H-6′), 3.36 (1H, m, H-3), 3.18 (1H, m, J5,6 5.8 Hz, J5,6′ 1.6 Hz, H-5), 3.15 (1H, dt, J3,4J4,5 8.9 Hz, JC4-OH 5.3 Hz, H-4), 2.70 (1H, t, J1,2J2,3 8.5 Hz, H-2); 13C{1H} NMR (100 MHz, DMSO-d6) δ 164.4 (C=N), 157.2 (C-arom), 136.1 (CH=CH), 130.6, 129.2, 127.7, 124.3 (C-arom), 120.9 (CH=CH), 95.8 (C-1), 78.5 (C-2), 77.1 (C-5), 74.8 (C-3), 70.5 (C-4), 61.5 (C-6), 55.8 (OCH3). Anal. Calcd. for C16H21NO6: C, 59.43, H, 6.55, N, 4.33. Found: C, 58.83, H, 6.41, N, 4.44.
2-Deoxy-2-[(E,E)-(4-hydroxy-3-methoxycinnamylidene)amino]-β-d-glucopyranose (48) [20]. Method 2 (97%). M.p. 202–204 °C; [α]D +21.8°; [α]578 +23.6°; [α]546 +30.2° (c 0.5, DMSO); IR (KBr) ν ¯ max/cm−1 3400–2800 (OH), 1635 (C=N), 1586 (CH=CH), 1520, 1441 (arom), 1294, 1204, 1155 (C-O-C, ester), 1086, 1029, 982 (C-O), 898, 754 (arom); 1H NMR (400 MHz, DMSO-d6) δ 9.41 (1H, bs, OH-arom), 7.88 (1H, d, J=CH-CH 8.9 Hz, N=CH-CH), 7.15 (1H, d, J 1.8 Hz H-arom), 6.97 (2H, m, JCH=CH 16 Hz, H-arom, CH=CH-Ar), 6.76 (2H, m, H-arom, CH-CH=CH), 6.55 (1H, d, JC1-OH 4.3 Hz, C1-OH), 4.97 (1H, bs, C3-OH), 4.85 (1H, bs, C4-OH), 4.62 (1H, bs, H-1), 4.58 (1H, bs, C6-OH), 3.80 (3H, s, OCH3), 3.72 (1H, d, J6,6′ 11.0 Hz, H-6), 3.47 (1H, m, H-6′), 3.36 (1H, t, J2,3J3,4 8.9 Hz H-3), 3.20 (1H, m, H-5), 3.15 (1H, q, J3,4J4,5 9.1 Hz, H-4), 2.69 (1H, t, J1,2J2,3 8.4 Hz, H-2); 13C{1H} NMR (50.3 MHz, DMSO-d6) δ 164.2 (C=N), 148.2 (C-arom), 148.2 (C-arom), 141.8 (CH=CH), 127.7, 125., 121.6, 115.9 (C-arom), 110.5 (CH=CH), 95.9 (C-1), 78.4 (C-2), 77.1 (C-5), 75.0 (C-3), 70.5 (C-4), 61.5 (C-6), 55.9 (OCH3). Anal. Calcd. for C16H21NO7: C, 56.63, H, 6.50, N, 4.17. Found: C, 56.07, H, 6.50, N, 4.12.
2-[(E,E)-Cinnamylideneamino]-2-deoxy-β-d-glycero-l-gluco-heptopyranose (49). Method 2 (25%). M.p. 159–161 °C; [α]D −22.0°; [α]578 −23.4°; [α]546 −27.6°; [α]436 −67.4° (c 0.5, pyridine); IR (KBr) ν ¯ max/cm−1 3300 (OH), 1634 (C=N, C=C, arom), 1082, 1018 (C-O), 868, 750, 586 (arom); 1H NMR (400 MHz, CDCl3) δ 7.92 (1H, d, J=CH-CH 8.8 Hz, N=CH-CH), 7.60 (2H, d, J 7.2 Hz H-arom), 7.37 (3H, m, H-arom), 7.11 (1H, d, JCH=CH 16.1 Hz, CH=CH-Ar), 6.91 (1H, dd, JCH=CH 16.1 Hz, JCH-CH 8.8 Hz, -CH=CH-Ar), 6.46 (1H, d, J1,OH 7.1, OH-1), 4.81 (1H, d, J3,OH 5.1 Hz, OH-3), 4.77 (1H, d, J4,OH 5.4 Hz, OH-4), 4.60 (1H, t, J1,2J1,OH 7.5 Hz, H-1), 4.46 (1H, t, J7,OH 5.7 Hz, OH-7), 4.24 (1H, d, J6,OH 6.8 Hz, OH-6), 3.42 (5H, m, H-3, H-4, H-6, H-7, H-7′), 3.24 (1H, dd, J4,5 9.1 Hz, J5,6 0.82 Hz, H-5), 2.70 (1H, t, J1,2J2,3 8.3 Hz, H-2); 13C{1H} NMR (100 MHz, DMSO-d6) δ 163.8 (C=N), 141.3 (2C=C), 136.0 (C-arom), 129.3 (C-arom), 129.1 (2 C-arom), 128.6 (C-arom), 127.4 (C-arom), 96.2 (C-1), 78.6 (C-2), 75.1 (C-3), 74.7 (C-5), 69.3 (C-4), 68.9 (C-6), 62.7 (C-7). Anal. Calculated. for C16H21NO6: C, 59.43; H, 6.55; N, 4.33. Found: C, 59.67; H, 6.32; N, 4.21.
2-Deoxy-2-[(E)-(1-naphthylmethylene)amino]-β-d-glucopyranose (50). Method 2 (42%). M.p. 99–100 °C; [α]D +37.0°; [α]578 +39.4°; [α]546 +46.8°; [α]436 +93.8° (c 0.5, pyridine); IR (KBr) ν ¯ max/cm−1 3339 (OH), 1638 (C=N, arom), 1512 (arom), 1236 (C-O-C), 1078 (C-O), 874, 773 (arom); 1H NMR (400 MHz, DMSO-d6) δ 9.07 (1H, d, J 8.3 Hz, H-arom), 8.81 (1H, s, N=CH), 7.99 (2H, m, H-arom), 7.92 (1H, d, J 7.1 Hz, H-arom), 7.59 (3H, m, H-arom), 6.64 (1H, d, JC1-OH 4.3 Hz, C1-OH), 5.00 (1H, d, JC4-OH 5.1 Hz, C4-OH), 4.94 (1H, d, JC3-OH 5.6 Hz, C3-OH), 4.85 (1H, t, J1,2 6.3 Hz, H-1), 4.61 (1H, t, JC6-OH 5.6 Hz, C6-OH), 3.77 (1H, dd, J6,6′ 10.9 Hz, J5,6 0 Hz, J6,OH 4.9 Hz, H-6), 3.53 (2H, m, J2,3 9.0 Hz, H-3, H-6′), 3.31 (1H, m, J5,6′ 1.2 Hz, J6,OH 5.5 Hz, H-5), 3.22 (1H, m, JC4-OH 4.9 Hz, J3,4 8.9 Hz, H-4), 2.98 (1H, t, J1,2 = J2,3 8.5 Hz, H-2); 13C{1H} NMR (100 MHz, DMSO-d6) δ 162.38 (N=C), 133.7, 131.7, 131.0, 130.9, 129.5, 128.8, 127.3, 126.4, 125.6, 125.1 (C-arom), 96.0 (C-1), 79.4 (C-2), 77.2 (C-5), 74.9 (C-3), 70.6 (C-4), 61.5 (C-6). Anal. Calculated for C17H19NO5: C, 64.34, H, 6.03, N, 4.41. Found: C, 64.12; H, 5.87; N. 4.37.
2-Deoxy-2-[(E)-(4-methoxy-1-naphthylmethylene)amino]-β-d-glucopyranose (51). Method 2 (15%). M.p. 140–142 °C; [α]578 +11.0°; [α]546 +12.4° (c 0.5, pyridine); IR (KBr) ν ¯ max/cm−1 3379 (OH), 1634 (C=N), 1578 (arom), 1097, 1011 (C-O), 764 (arom); 1H NMR (400 MHz, DMSO-d6) δ 9.24 (1H, s, arom), 8.64 (1H, s, N=CH), 8.22 (1H, d, J 8.5 Hz, arom), 7.83 (1H, d, J 8.1 Hz, arom), 7.63 (1H, t, J 7.7 Hz, arom), 7.55 (1H, t, J 7.3 Hz, arom), 7.06 (1H, d, J 8.1 Hz, arom), 6.58 (1H, d, JC1-OH 6.7 Hz, C1-OH), 4.94 (1H, d, JC4-OH 5.3 Hz, C4-OH), 4.87 (1H, d, JC3-OH 5.7 Hz, C3-OH), 4.80 (1H, d, J1,2 7.2 Hz, H-1), 4.57 (1H, t, JC6-OH 5.8 Hz, C6-OH), 4.03 (3H, s, OCH3), 3.74 (1H,dd, J6,6′ 10.2 Hz, JC6-OH 5.4 Hz, J6,5 1.3 Hz, H-6), 3.53 (2H, m, J6,6′ 10.1 Hz, JC6-OH 5.4 Hz, H-3, H-6′), 3.27 (1H, m, H-5), 3.20 (1H, m, JC4-OH 5.3 Hz, H-4), 2.88 (1H, dd~t, J1,2 = J2,3 8.5 Hz, H-2); 13C{1H} NMR (100 MHz, DMSO-d6) δ 162.5 (N=C), 156.8 (C-arom), 131.9 (C-arom), 131.9 (C-arom), 126.8 (C-arom), 125.8 (C-arom), 125.5 (C-arom), 125.1 (C-arom), 124.3 (C-arom), 122.0 (C-arom), 104.4 (C-arom), 96.0 (C-1), 79.4 (C-2), 77.2 (C-5), 75.1 (C-3), 70.6 (C-4), 61.5 (C-6), 56.1 (OCH3). Anal. Calcd. for C18H21NO6: C, 62.24, H, 6.09, N, 4.03. Found: C, 62.08, H, 6.13, N, 4.10.
2-Deoxy-2-[(E)-(4-methoxy-1-naphthylmethylene)]amino-α-d-glucopyranose (52). Method 2 (57%). [α]D +127.0°; [α]578 +134.0°; [α]546 +157.4°; [α]436 +30.7° (c 0.5, pyridine); 1H NMR (400 MHz, DMSO-d6) δ 9.32 (1H, s, arom), 8.99 (1H, s, N=CH), 8.22 (1H, d, J 8.2 Hz, arom), 7.85 (1H, d, J 8.1 Hz, arom), 7.62 (1H, t, J 7.3 Hz, arom), 7.55 (1H, t, J 7.4 Hz, arom), 7.23 (1H, d, J 10.5 Hz, arom), 6.28 (1H, d, JC1,OH 4.3 Hz, C1-OH), 5.00 (1H, t, J1,2 3.6 Hz, H-1), 4.91 (1H, d, JC4,OH 5.3 Hz, C4-OH), 4.72 (1H, d, JC3,OH 5.6 Hz, C3-OH), 4.48 (1H, t, JC6,OH 5.8 Hz, C6-OH), 4.03 (3H, s, OCH3), 3.89 (1H, dt, JC3,OH 5.7 Hz, J3,4J2,3 9.2 Hz, H-3), 3.78 (1H, dd, J6,6′ 9.8 Hz, JC6,OH 5.4 Hz, H-6), 3.69 (1H, dd, J6,6′ 11.6 Hz, JC6,OH 5.4 Hz, H-6′), 3.53 (1H, m, H-5), 3.22 (1H, dt, JC4,OH 5.4, J4,5J3,4 9.2 Hz, H-4), 3.15 (1H, dd, J1,2 3.3 Hz, J2,3 9.7 Hz, H-2); 13C{1H} NMR (100 MHz, DMSO-d6) δ 162.5 (N=C), 156.8 (C-arom), 131.9 (C-arom), 131.9 (C-arom), 126.8 (C-arom), 125.8 (C-arom), 125.5 (C-arom), 125.1 (C-arom), 124.3 (C-arom), 122.0 (C-arom), 104.4 (C-arom), 93.4 (C-1), 75.5 (C-2), 72.7 (C-5), 71.4 (C-3), 71.2 (C-4), 61.5 (C-6), 56.1 (OCH3). Anal. Calcd. for C18H21NO6: C, 62.24, H, 6.09, N, 4.03. Found: C, 62.34, H, 6.01, N, 3.87.
2-Deoxy-2-[(E)-(2-naphthylmethylene)amino]-β-d-glucopyranose (53). Method 2 (75%). [α]D +16.0°; [α]578 +17.0°; [α]546 +20.6°; [α]436 +47.6° (c 0.5, pyridine); IR (KBr) ν ¯ max/cm−1 3373 (OH), 1635 (C=N, arom), 1014 (C-O), 831, 752 (arom); 1H NMR (400 MHz, DMSO-d6) δ 8.38 (1H, s, N=CH), 8.20 (1H, s, H-arom), 8.00 (2H, m, H-arom), 7.94 (2H, m, H-arom), 7.56 (1H, m, H-arom), 6.65 (1H, d, JC1-OH 6.7 Hz, C1-OH), 5.01 (1H, d, JC4-OH 5.2 Hz, C4-OH), 4.94 (1H, d, JC4-OH 5.6 Hz, C3-OH), 4.80 (1H, t, J1,2 7.3 Hz, H-1), 4.62 (1H, t, JC6-OH 5.8 Hz, C6-OH), 3.77 (1H, dd, J5,6 0 Hz, J6,OH 5.3 Hz, J6,6′ 10.3 Hz, H-6), 3.52 (2H, m, H-3, H-6′), 3.30 (1H, m, J5,6′ 1.5 Hz, H-5), 3.22 (1H, dd, JC4-OH 5.1 Hz, J3,4J4,5 8.9 Hz, H-4), 2.95 (1H, t, J1,2J2,3 8.5 Hz, H-2); 13C{1H} NMR (100 MHz, DMSO-d6) δ 162.3 (N=C), 134.2 (C-arom), 134.1 (C-arom), 132.9 (C-arom), 129.9 (C-arom), 128.7 (C-arom), 128.3 (C-arom), 128.0 (C-arom), 127.4 (C-arom), 126.8 (C-arom), 124.1 (C-arom), 95.8 (C-1), 78.6 (C-2), 77.1 (C-5), 74.7 (C-3), 70.5 (C-4), 61.5 (C-6). Anal. Calcd. for C17H19NO5: C, 64.34, H, 6.03, N, 4.41. Found: C, 64.49; H, 5.97; N. 4.33.
2-Deoxy-2-[(E)-(2-naphthylmethylene)amino]-α-d-glucopyranose (54). Method 2 (46%). M.p. 197–199 °C; [α]D +93.0°; [α]578 +97.2°; [α]546 +114.4°; [α]436 +229.6° (c 0.5, pyridine); IR (KBr) ν ¯ max/cm−1 3374 (OH), 1636 (C=N), 1410 (arom), 1148, 1015 (C-O), 831, 752 (arom); 1H NMR (400 MHz, DMSO-d6) δ 8.49 (1H, s, N=CH), 8.20 (1H, s, H-arom), 8.00 (2H, m, H-arom), 7.94 (2H, m, H-arom), 7.56 (1H, m, H-arom), 6.29 (1H, d, JC1,OH 4.3 Hz, C1-OH), 5.01 (1H, t, J1,2 3.8 Hz, H-1), 4.96 (1H, d, JC4,OH 5.4 Hz, C4-OH), 4.78 (1H, d, JC3,OH 5.7 Hz, C3-OH), 4.50 (1H, t, JC6,OH 5.8 Hz, OH-6), 3.87 (1H, dt, JC3,OH 5.6 Hz, J3,4J2,3 9.1 Hz, H-3), 3.80 (1H, ddd, JC6,OH 5.4 Hz, J5,6 1.8 Hz, J6,6′ 9.8 Hz, H-6), 3.70 (1H, dd, J4,5 9.5 Hz, J5,6 1.8 Hz, H-5), 3.57 (1H, m, J4,5J3,4 9.3 Hz JC4,OH 5.6 Hz H-4), 3.22 (1H, dd, J1,2 3.3 Hz, J2,3 9.9 Hz, H-2); 13C{1H} NMR (100 MHz, DMSO-d6) δ 162.3 (N=C), 134.3 (C-arom), 134.2 (C-arom), 132.9 (C-arom), 130.1 (C-arom), 128.7 (C-arom), 128.3 (C-arom), 128.0 (C-arom), 127.4 (C-arom), 126.8 (C-arom), 124.1 (C-arom), 93.1 (C-1), 75.4 (C-2), 72.7 (C-5), 71.1 (C-3), 71.0 (C-4), 61.5 (C-6). Anal. Calcd. for C17H19NO5: C, 64.34, H, 6.03, N, 4.41. Found: C, 64.12, H, 6.09, N, 4.47.
2-Deoxy-2-[(E)-(9-phenantrylmethylene)amino]-β-d-glucopyranose (55). Method 2 (41%). M.p. 156–158 °C; [α]D +41.6°; [α]578 +44.2°; [α]546 +51.6°; [α]436 +115.6° (c 0.5, pyridine); IR (KBr) ν ¯ max/cm−1 3358 (OH), 1645 (C=N, arom), 1450 (arom), 1078, 1037 (C-O), 723 (arom); 1H NMR (400 MHz, DMSO-d6) δ 9.26 (1H, dd, J 8.0 Hz, J 1.4 Hz, H-arom), 8.90 (1H, d, J 9.0 Hz, H-arom), 8.85 (1H, d, J 8.3 Hz, H-arom), 8.83 (1H, s, H-arom), 8.26 (1H, s, N=CH), 7.73 (4H, m, H-arom), 6.68 (1H, d, JC1-OH 6.9 Hz, C1-OH), 5.00 (1H, m, JC4-OH 5.31 Hz, C4-OH), 4.98 (1H, d, JC3-OH 5.75 Hz, C3-OH), 4.87 (1H, t, J1,2 7.3 Hz, H-1), 4.61 (1H, t, JC6-OH 5.8 Hz, C6-OH), 3.78 (1H, dd, J6,6′ 9.9 Hz, J5,6 1.4 Hz, H-6), 3.56 (2H, m, H-3, H-6′), 3.32 (1H, m, J5,6 1.8 Hz, H-5), 3.25 (1H, m, JC4,OH 4.7 Hz, J3,4 8.9 Hz, H-4), 3.01 (1H, t, J1,2 = J2,3 8.5 Hz, H-2); 13C{1H} NMR (50.3 MHz, DMSO-d6) δ 162.8 (C=N), 131.5, 130.8, 130.4, 130.3, 129.6, 129.5, 128.5, 127.4, 127.4, 127.2, 126.2, 123.1 (C-arom), 95.9 (C-1), 79.5 (C-2), 77.2 (C-5), 74.9 (C-3), 70.6 (C-4), 61.5 (C-6). Anal. Calcd. for C21H21O5N: C, 68.65, H, 5.76, N, 3.81. Found: C, 68.42; H, 5.54; N, 3.85.
2-[(E)-(9-Antrylmethylene)amino]-2-deoxy-β-d-glucopyranose (56). Method 2 (80%). M.p. 162–164 °C; [α]578 +3.0°; [α]546 –5.0° (c 0.5, pyridine); IR (KBr) ν ¯ max/cm−1 3401 (OH), 1649 (C=N), 1570, 1452 (arom), 1099, 1028 (C-O), 897, 731 (arom); 1H NMR (400 MHz, DMSO-d6) δ 9.31 (1H, s, N=CH), 8.66 (1H, s, arom), 8.60 (2H, d, arom), 8.12 (2H, dd, arom), 7.54 (4H, dd, arom), 4.88 (1H, d, J1,2 7.7 Hz, H-1), 3.78 (1H, d, J6,6′ 11.4 Hz, H-6), 3.65–3.38 (4H, m, H-3, 4, 5, 6′), 3.27 (1H, t, J1,2 = J2,3 8.6 Hz, H-2); 13C{1H} NMR (100 MHz, DMSO-d6) δ 161.6 (N=C), 131.0 (2C-arom), 129.7 (C-arom), 129.4 (2 C-arom), 128.7 (2 C-arom), 128.6 (C-arom), 126.6 (3 C-arom), 125.7 (3 C-arom), 95.8 (C-1), 79.6 (C-2), 77.3 (C-5), 74.6 (C-3), 70.8 (C-4), 61.4 (C-6). Anal. Calcd. for C21H21NO5: C, 68.65, H, 5.76, N, 3.81. Found: C, 68.39; H, 5.92; N. 3.75.
2-Deoxy-2-[(E)-(10-methyl-9-antrylmethylene)amino]-β-d-glucopyranose (57). Method 2 (35%). M.p. 219–221 °C; [α]D +1.6°; [α]578 +0.6°; [α]546 +0.4° (c 0.5, pyridine); IR (KBr) ν ¯ max/cm−1 3414 (OH), 1659 (C=N), 1444 (arom), 1099, 1036 (C-O), 893, 750 (arom); 1H NMR (400 MHz, DMSO-d6) δ 9.23 (1H, s, CH=N), 8.58 (2H, d, J 8.5 Hz, H-arom), 8.39 (2H, d, J 8.7 Hz, H-arom), 7.56 (4H, m, H-arom), 6.88 (1H, d, JC1-OH 7.2 Hz, C1-OH), 5.19 (1H, d, JC4-OH 6.4 Hz, C4-OH), 5.06 (1H, d, JC3-OH 4.7 Hz, C3-OH), 4.89 (1H, t, J1,2 7.5 Hz, H-1), 4.65 (1H, t, JC6-OH 5.8 Hz, C6-OH), 3.80 (1H, dd, J6,6′ 11.1 Hz, J6,OH 5.8 Hz, H-6), 3.64 (1H, m, J2,3J3,4 8.3 Hz, H-3), 3.56 (1H, m, J6,6′ 11.6 Hz, JC6-OH 5.8 Hz, H-6′), 3.32 (2H, m, H-4, H-5), 3.26 (1H, t, J1,2J2,3 8.5 Hz, H-2), 3.10 (3H, s, CH3); 13C{1H} NMR (50.3 MHz, DMSO-d6) δ 162.2 (N=C), 132.3, 129.4, 129.0, 128.7, 126.5, 126.0, 125.7, 125.3 (C-arom), 95.9 (C-1), 79.8 (C-2), 77.4 (C-5), 74.7 (C-3), 70.9 (C-4), 61.5 (C-6), 14.4 (CH3). Anal. Calcd. for C22H23NO5: C, 69.28, H, 6.08, N, 3.67. Found: C, 69.04, H, 5.97, N, 3.61.
2-Deoxy-2-[(E)-(9-antrylmethylene)amino]-β-d-glycero-l-gluco-heptopyranose (58). Method 2 (48%). M.p. 161–163 °C; [α]578 −5.8°; [α]546 6.3° (c 0.5, pyridine); IR (KBr) ν ¯ max/cm−1 3256 (OH), 1644 (C=N), 1445 (arom), 1074, 1018 (C-O), 876, 733 (arom); 1H NMR (400 MHz, DMSO-d6) δ 9.26 (1H, s, CH=N), 8.67 (1H, s, H-arom), 8.59 (2H, m, H-arom), 8.12 (2H, d, J 5.0 Hz, H-arom), 7.55 (4H, m, H-arom), 6.77 (1H, d, J1,OH 7.3 Hz, OH-1), 5.09 (1H, d, J3,OH 5.2 Hz, OH-3), 4.90 (1H, d, J4,OH 4.0 Hz, OH-4), 4.84 (1H, t, J1,2J1,OH 7.6 Hz, H-1), 4.50 (1H, t, J7,OH 5.2 Hz, OH-7), 4.32 (1H, d, J6,OH 6.7 Hz, OH-6), 3.85 (1H, c, J6,7J6,7′J6,OH 6.5 Hz, H-6), 3.61 (2H, m, H-3, H-4), 3.50 (2H, m, H-7, H-7′), 3.37 (1H, m, H-5), 3.24 (1H, t, J1,2J2,3 8.2 Hz, H-2); 13C{1H} NMR (100 MHz, DMSO-d6) δ 161.6 (C=N), 131.0 (2 C-arom), 129.7 (2 C-arom), 129.4 (2 C-arom), 128.8 (2 C-arom), 128.6 (2 C-arom), 126.7 (2 C-arom), 125.8 (3 C-arom), 96.2 (C-1), 79.8 (C-2), 75.0 (C-3), 74.9 (C-5), 69.7 (C-4), 69.0 (C-6), 63.0 (C-7). Anal. Calcd. for C22H23NO6·2H2O: C, 60.96, H, 6.28, N, 3.23. Found: C, 60.77, H, 6.32, N, 3.33.

4.4.2. Synthesis of Acetyl Derivatives

As general protocol, acetic anhydride (9.0 mL) was added to a suspension of the corresponding 2-(arylmethylene)amino-2-deoxy-β-d-aldopyranose (7.1 mmol) in pyridine (9.4 mL) with stirring and external cooling, and the mixture was left at room temperature until dissolution. Then, it was poured into ice-water (ca. 300 mL) with stirring. The solid formed was collected by filtration and washed repeatedly with cold water and dried over silica gel.
1,3,4,6-Tetra-O-acetyl-2-deoxy-2-[(E)-(phenylmethylene)amino]-β-d-glucopyranose (63). From 30 (35%). M.p. 162–164 °C; [α]D +89.0°; [α]578 +93.2°; [α]546 +109.4°, [α]436 +216.4° (c 0.5, chloroform) (Lit. [13] m.p. 160–162 °C, [α]D +79.0° (c 0.5, chloroform)); IR (KBr) ν ¯ max/cm−1 1752 (C=O), 1646 (C=N), 1581 (arom.), 1216 (C-O-C), 1083, 1055, 1055 (C-O), 755, 690 (arom.); 1H NMR (500 MHz, Cl3CD) δ 8.24 (1H, s, CH=), 7.71 (2H, d, J 7.0 Hz, arom), 7.46 (1H, t, J 7.0 Hz, arom), 7.40 (2H, t, J 7.0 Hz, arom), 5.97 (1H, d, J1,2 8.0 Hz, H-1), 5.46 (1H, t, J2,3 = J3,4 10.0 Hz, H-3), 5.15 (1H, t, J3,4 = J4,5 10.0 Hz, H-4), 4.38 (1H, dd, J5,6 4.5 Hz, J6,6′ 12.5 Hz, H-6), 4.14 (1H, dd, J5,6′ 2.0 Hz, J6,6′ 12.5 Hz, H-6′), 3.99 (1H, ddd, J4,5 10.0 Hz, J5,6 4.5 Hz, J5,6′ 2.0 Hz, H-5), 3.50 (1H, dd~t, J1,2 8.0 Hz, J2,3 10.0 Hz, H-2), 2.10, 2.04, 2.02, 1.89 (4 × 3H, s, CH3); 13C{1H} NMR (125 MHz, Cl3CD) δ 170.7 (C=O), 169.9 (C=O), 169.5 (C=O), 168.8 (C=O), 165.2 (CH=N), 135.3 (C-arom), 131.6 (C-arom), 128.7 (2 C-arom), 128.6 (2 C-arom), 93.1 (C-1), 73.1, 73.0 and 72.8 (C-2, C-3, C-5), 68.0 (C-4), 61.8 (C-6), 20.8, 20.8, 20.7, 20.5 (CH3). Anal. Calc. for C21H25O9N: C, 57.93, H, 5.79, N, 3.22. Found: C, 58.06, H, 5.58, N, 3.01. HRMS [M+H]+ calculated for C21H26NO9: 436.1608; Found: 436.1618; [M2+Na]+ calculated for C42H50N2O18Na: 893.2956. Found: 893.2990.
1,3,4,6-Tetra-O-acetyl-2-deoxy-2-[(E)-(3-fluorophenylmethylene)amino]-β-d-glucopyranose (64). From 31, we obtained 64. This reaction was conducted at −10 °C (37%); M.p.: 150–152 °C; [α]D +87.0°; [α]578 +90.4°; [α]546 +105.4°, [α]436 +211.0° (c 0.5, chloroform); IR (KBr) ν ¯ max/cm−1 1755 (C=O), 1648 (C=N), 1587 (arom.), 1216 (C-O-C), 1081, 1057, 1033 (C-O), 788 (arom.); 1H NMR (500 MHz, Cl3CD) δ 8.22 (1H, s, CH=), 7.45 (2H, m, arom), 7.39 (1H, m, arom), 7.16 (1H, m, arom), 5.96 (1H, d, J1,2 8.5 Hz, H-1), 5.45 (1H, t, J2,3 = J3,4 10.0 Hz, H-3), 5.15 (1H, t, J3,4 = J4,5 10.0 Hz, H-4), 4.39 (1H, dd, J5,6 4.5 Hz, J6,6′ 12.5 Hz, H-6), 4.14 (1H, dd, J5,6′ 2.0 Hz, J6,6′ 12.5 Hz, H-6′), 3.99 (1H, ddd, J4,5 10.0 Hz, J5,6 4.5 Hz, J5,6′ 2.0 Hz, H-5), 3.51 (1H, dd~t, J1,2 8.0 Hz, J2,3 10.0 Hz, H-2), 2.10, 2.04, 2.03, 1.90 (4 × 3H, s, CH3); 13C{1H} NMR (125 MHz, Cl3CD) δ 170.9 (C=O), 167.0 (C=O), 169.5 (C=O), 168.7 (C=O), 163.8 (4JC,F = 2.5 Hz, CH=N), 163.0 (1JC,F = 246.3 Hz, C3 arom), 137.5 (3JC,F = 7.5 Hz, C1 arom), 130.3 (3JC,F = 7.5 Hz, C5 arom), 124.7 (4JC,F = 2.5 Hz, C6 arom), 118.6 (2JC,F = 21.3 Hz, C4 arom), 114.7 (2JC,F = 21.3 Hz, C2 arom), 93.0 (C-1), 73.0 (C-2), 72.8 (2C, C-3, C-5), 68.0 (C-4), 61.8 (C-6), 20.8, 20.8, 20.7, 20.5 (CH3). HRMS [M+H]+ calculated for C21H25NO9F: 454.1513; Found: 454.1513; [M2+Na]+ calculated for C42H50N2O18Na: 929.2768. Found: 929.2766.
1,3,4,6-Tetra-O-acetyl-2-deoxy-2-[(E)-(3-bromophenylmethylene)amino]-β-d-glucopyranose (65). From 32 we obtained 65 (71%); M.p.: 113–115 °C; [α]D +75.4°; [α]578 +78.8°; [α]546 +93.0°, [α]436 +189.0° (c 0.5, chloroform); IR (KBr) ν ¯ max/cm−1 1744 (C=O), 1646 (C=N), 1564, 1381 (arom.), 1223 (C-O-C), 1064, 1034 (C-O), 794 (arom.); 1H NMR (500 MHz, Cl3CD) δ 8.18 (1H, s, CH=), 7.87 (1H, t, J 1.5 Hz, arom), 7.63 (1H, d, J 7.5 Hz, arom), 7.58 (1H, d, J 7.5 Hz, arom), 7.29 (1H, t, J 7.5 Hz, arom), 5.96 (1H, d, J1,2 8.5 Hz, H-1), 5.44 (1H, t, J2,3 = J3,4 9.5 Hz, H-3), 5.15 (1H, t, J3,4 = J4,5 9.5 Hz, H-4), 4.39 (1H, dd, J5,6 4.5 Hz, J6,6′ 12.0 Hz, H-6), 4.14 (1H, dd, J5,6′ 2.0 Hz, J6,6′ 12.0 Hz, H-6′), 3.99 (1H, ddd, J4,5 9.5 Hz, J5,6 4.5 Hz, J5,6′ 2.0 Hz, H-5), 3.50 (1H, dd~t, J1,2 8.0 Hz, J2,3 9.5 Hz, H-2), 2.10, 2.04, 2.03, 1.90 (4× 3H, s, CH3); 13C{1H} NMR (125 MHz, Cl3CD) δ 170. 7 (C=O), 169.9 (C=O), 169.5 (C=O), 168.7 (C=O), 163.6 (CH=N), 137.2 (C-arom), 134.5 (C-arom), 131.3 (2 C-arom), 130.3 (C-arom), 127.2 (C-arom), 123.0 (C-arom), 92.9 (C-1), 73.0, 72.9 and 72.8 (C-2, C-3, C-5), 68.0 (C-4), 61.8 (C-6), 20.8, 20.8, 20.7, 20.5 (CH3). HRMS [M+H]+ calculated for C21H25NO9Br: 514.0713; Found: 514.0692.
1,3,4,6-Tetra-O-acetyl-2-deoxy-2-[(E)-(4-chlorophenylmethylene)amino]-β-d-glucopyranose (66). From 33, we obtained 66 (76%); M.p.: 177–180 °C; [α]D +96.2°; [α]578 +101.4°; [α]546 +118.2°, [α]436 +242.0° (c 0.5, chloroform); IR (KBr) ν ¯ max/cm−1 1752 (C=O), 1643 (C=N), 1597, 1573 (arom.), 1222 (C-O-C), 1088, 1062, 1035 (C-O), 824 (arom.); 1H NMR (500 MHz, Cl3CD) δ 8.20 (1H, s, CH=), 7.65 (2H, d, J 8.5 Hz, arom), 7.39 (2H, d, J 8.5 Hz, arom), 5.95 (1H, d, J1,2 8.5 Hz, H-1), 5.44 (1H, t, J2,3 = J3,4 10.0 Hz, H-3), 5.15 (1H, t, J3,4 = J4,5 10.0 Hz, H-4), 4.38 (1H, dd, J5,6 4.5 Hz, J6,6′ 12.5 Hz, H-6), 4.14 (1H, dd, J5,6′ 2.0 Hz, J6,6′ 12.5 Hz, H-6′), 3.98 (1H, ddd, J4,5 10.0 Hz, J5,6 4.5 Hz, J5,6′ 2.0 Hz, H-5), 3.49 (1H, dd~t, J1,2 8.5 Hz, J2,3 10.0 Hz, H-2), 2.10, 2.04, 2.03, 1.90 (4× 3H, s, CH3); 13C{1H} NMR (125 MHz, Cl3CD) δ 170.7 (C=O), 169.9 (C=O), 169.5 (C=O), 168.7 (C=O), 163.7 (CH=N), 137.7 (C-arom), 133.7 (C-arom), 129.8 (2 C-arom), 129.0 (C-arom), 93.0 (C-1), 73.0, 72.9 and 72.8 (C-2, C-3, C-5), 68.0 (C-4), 61.8 (C-6), 20.8, 20.7, 20.6, 20.5 (CH3). HRMS [M+H]+ calculated for C21H25NO9Cl: 470.1218; Found: 470.1216.
1,3,4,6-Tetra-O-acetyl-2-deoxy-2-[(E)-(4-piperidinylbenzylidene)amino]-β-d-glucopyranose (67). From 35, we obtained 67 (82%); M.p.: 153–155 °C; [α]D +113.6°; [α]578 +119.2°; [α]546 +142.0°, [α]436 +343.4° (c 0.5, chloroform); IR (KBr) ν ¯ max/cm−1 2954, 2872, 2811 (CH aliphatic), 1751 (C=O), 1637 (C=N), 1608, 1519 (arom.), 1366 (CH2), 1519 (arom.), 1220 (C-O-C), 1127, 1080, 1032 (C-O), 813 (arom.); 1H NMR (500 MHz, Cl3CD) δ 8.09 (1H, s, CH=), 7.57 (2H, d, J 9.0 Hz, arom), 6.87 (2H, d, J 9.0 Hz, arom), 5.93 (1H, d, J1,2 8.0 Hz, H-1), 5.42 (1H, t, J2,3 = J3,4 9.5 Hz, H-3), 5.14 (1H, t, J3,4 = J4,5 9.5 Hz, H-4), 4.38 (1H, dd, J5,6 4.5 Hz, J6,6′ 12.5 Hz, H-6), 4.13 (1H, dd, J5,6′ 2.0 Hz, J6,6′ 12.5 Hz, H-6′), 3.96 (1H, ddd, J4,5 10.0 Hz, J5,6 4.5 Hz, J5,6′ 2.0 Hz, H-5), 3.49 (1H, dd~t, J1,2 8.0 Hz, J2,3 10.0 Hz, H-2), 3.29 (4H, t, J 5.5 Hz, NCH2 piperidine), 2.10, 2.03, 2.02, 1.88 (4 × 3H, s, CH3), 1.68 (6H, m, CH2 piperidine); 13C{1H} NMR (125 MHz, Cl3CD) δ 170.7 (C=O), 169.9 (C=O), 169.6 (C=O), 168.8 (C=O), 164.6 (CH=N), 153.8 (C-arom), 130.0 (C-arom), 125.2 (2 C-arom), 114.5 (C-arom), 93.3 (C-1), 73.4 (C-3,), 73.1 (C-2), 72.7 (C-5), 68.1 (C-4), 62.0 (C-6), 49.1 (2C, NCH2), 25.5 (2C, CH2 piperidine), 24.3 (C, CH2 piperidine), 20.9, 20.8, 20.7, 20.6 (CH3). HRMS [M+H]+ calculated for C26H35N2O9: 519.2343; Found: 519.2354.
1,3,4,6-Tetra-O-acetyl-2-deoxy-2-[(E)-(4-morpholinylbenzylidene)amino]-β-d-glucopyranose (68). From 36, we obtained 68 (42%); M.p.: 182–184 °C; [α]D +120.2°; [α]578 +126.8°; [α]546 +151.4°, [α]436 +350.6° (c 0.5, chloroform); IR (KBr) ν ¯ max/cm−1 2970, 2917, 2876, 2823 (CH aliphatic), 1761, 1752 (C=O), 1638 (C=N), 1610, 1519 (arom.), 1366 (CH2), 1250, 1229 (C-O-C), 1080, 1058, 1035 (C-O), 825 (arom.); 1H NMR (500 MHz, Cl3CD) δ 8.12 (1H, s, CH=), 7.62 (2H, d, J 8.5 Hz, arom), 6.88 (2H, d, J 8.5 Hz, arom), 5.94 (1H, d, J1,2 8.0 Hz, H-1), 5.42 (1H, t, J2,3 = J3,4 10.0 Hz, H-3), 5.14 (1H, t, J3,4 = J4,5 10.0 Hz, H-4), 4.38 (1H, dd, J5,6 4.5 Hz, J6,6′ 12.5 Hz, H-6), 4.13 (1H, dd, J5,6′ 2.0 Hz, J6,6′ 12.5 Hz, H-6′), 3.97 (1H, ddd, J4,5 10.0 Hz, J5,6 4.5 Hz, J5,6′ 2.0 Hz, H-5), 3.86 (4H, t, J 5.0 Hz, CH2O), 3.43 (1H, dd~t, J1,2 8.0 Hz, J2,3 10.0 Hz, H-2), 3.26 (4H, t, J 5.0 Hz, CH2N), 2.10, 2.04, 2.02, 1.88 (4 × 3H, s, CH3); 13C{1H} NMR (125 MHz, Cl3CD) δ 170.7 (C=O), 169.9 (C=O), 169.6 (C=O), 168.8 (C=O), 164.4 (CH=N), 153.4 (C-arom), 130.0 (2 C-arom), 126.6 (C-arom), 114.3 (2 C-arom), 93.3 (C-1), 73.4 (C-2), 73.0, 72.8 (C-3, C-5), 68.1 (C-4), 66.7 (2C, CH2O), 61.9 (C-6), 48.1 (2C, CH2N), 20.8, 20.8, 20.7, 20.5 (CH3). HRMS [M+H]+ calculated for C25H33N2O10: 521.2135; Found: 521.2136; [M2+Na]+ calculated for C42H50N2O18Na: 929.2768. Found: 929.2766.
1,3,4,6,7-Penta-O-acetyl-2-deoxy-2-[(E)-(4-methoxybenzylidene)amino]-β-d-glycero-l-gluco-heptopyranose (69) [17]. (89%). M.p. 187–189 °C; 1H NMR (500 MHz, CDCl3) δ 8.15 (1H, s, CH=N), 7.65 (2H, d, J 8.5 Hz, arom), 6.91 (2H, d, J 8.5 Hz, arom), 5.87 (1H, d, J1,2 8.5 Hz, H-1), 5.42 (1H, t, J2,3 = J3,4 10.0 Hz, H-3), 5.36 (1H, m, H-6), 5.13 (1H, t, J3,4 = J4,5 10.0 Hz, H-4), 4.35 (1H, dd, J6,7 5.0 Hz, J7,7 11.5 Hz, H-7), 4.17 (1H, dd, J6,7 8.0 Hz, J7,7′ 11.5 Hz, H-7′), 4.01 (1H, dd, J4,5 10.0 Hz, J5,6 2.0 Hz, H-5), 3.84 (3H, s, OCH3), 3.46 (1H, dd, J1,2 8.5 Hz, J2,3 9.0, H-2), 2.12, 2.06, 2.02, 2.01, 1.88 (5 × 3H, s, CH3); 13C{1H} NMR (125 MHz, CDCl3) δ 170.5, 170.3, 167.0, 169.5, 168.6 (acetate), 164.3 (N=C), 162.3 (C-arom), 130.3 (2 C-arom) 128.3, 114.1 (2 C-arom), 93.6 (C-1), 73.4 (C-2), 73.0 (C-3), 72.9 (C-5), 67.2 (C-4), 66.8 (C-6), 62.1 (C-7), 55.4 (OCH3), 20.8, 20.7, 20.7, 20.6, 20.5 (CH3). HRMS [M+H]+ calculated for C25H32NO12: 538.1919. Found: 538.1929.
1,3,4,6,7-Penta-O-acetyl-2-deoxy-2-[(E)-(4-nitrobenzylidene)amino]-β-d-glycero-l-gluco-heptopyranose (70). (63%). M.p. 208–210 °C; [α]D −61.4°; [α]578 −64.6°; [α]546 −79.4°; [α]436 −191.2° (c 0.5, chloroform); IR (KBr) ν ¯ max/cm−1 1755 (C=O), 1646 (C=N), 1602, 1522 (arom), 1246, 1221 (C-O-C, ester), 1082, 1062, 1037 (C-O), 835 (arom); 1H NMR (500 MHz, CDCl3) δ 8.31 (1H, s, CH=N), 8.25 (2H, d, J 8.8 Hz, H-arom), 7.08 (2H, d, J 8.8 Hz, H-arom), 5.91 (1H, d, J1,2 9.0 Hz, H-1), 5.44 (1H, t, J2,3 = J3,4 9.0 Hz, H-3), 5.35 (1H, m, J5,6 2.0 Hz, J6,7 5.3 Hz, J6,7′ 7.5 Hz, H-6), 5.13 (1H, t, J3,4 = J4,5 10.0 Hz, H-4), 4.33 (1H, dd, J6,7′ 5.3 Hz, J7,7′ 12.5 Hz, H-7), 4.12 (1H, dd, J6,7′ 8.0 Hz, J7,7′ 12.5 Hz, H-7′), 3.97 (1H, dd, J4,5 10.0 Hz, J5,6 2.0 Hz, H-5), 3.56 (1H, t, J1,2 = J2,3 9.0 Hz, H-2), 2.10, 2.05, 2.02, 2.00, 1.87 (5 × 3H, s, CH3); 13C{1H} NMR (125 MHz, CDCl3) δ 170.5, 170.1, 169.9, 169.3, 168.4 (C=O), 162.8 (N=CH), 149.6, 140.3, 129.3 (2 C-arom), 123.3, (2 C-arom), 93.2 (C-1), 73.0 (C-2), 72.9 (C-3, C-5), 67.0 (C-4), 66.6 (C-6), 62.0 (C-7), 20.7, 20.6, 20.5, 20.4 (2 CH3). Anal. Calcd. for C24H28N2O13: C, 57.73, H, 6.32, N, 5.85. Found: C, 57.52; H, 6.16; N, 5.80. HRMS [M+H]+ calculated for C24H29N2O13: 553.1664. Found: 553.1645.
1,3,4,6,7-Penta-O-acetyl-2-deoxy-2-[(E)-(4-ethylbenzylidene)amino]-β-d-glycero-l-gluco-heptopyranose (71). (54%) M.p. 141–144 °C; [α]D −41.0°; [α]578 −43.0°; [α]546 −52.0°; [α]436 −118.6° (c 0.5, chloroform); IR (KBr) ν ¯ max/cm−1 1750 (C=O), 1644 (C=N), 1610 (arom), 1222 (C-O-C), 1078, 1033 (C-O), 895 and 832 (arom); 1H NMR (500 MHz, CDCl3) δ 8.20 (1H, s, CH=N), 7.63 (2H, d, J 8.0 Hz, H-arom), 7.25 (2H, d, J 8.0 Hz, H-arom), 5.88 (1H, d, J1,2 8.5 Hz, H-1), 5.43 (1H, t, J2,3 = J3,4 9.5 Hz, H-3), 5.36 (1H, m, J6,7 5.5 Hz, J6,7′ 8.0 Hz, H-6), 5.13 (1H, t, J3,4 = J4,5 10.0 Hz, H-4), 4.35 (1H, dd, J6,7′ 5.5 Hz, J7,7′ 12.0 Hz, H-7), 4.17 (1H, dd, J6,7′ 8.0 Hz, J7,7′ 12.0 Hz, H-7′), 4.02 (1H, dd, J4,5 10.0 Hz, J5,6 2.0 Hz, H-5), 3.48 (1H, t, J1,2 = J2,3 9.0 Hz, H-2), 2.68 (1H, c, J 7.5 Hz, CH2), 2.12, 2.06, 2.02, 1.88 (5 × 3H, s, CH3), 2.68 (1H, c, J 7.5 Hz, CH3); 13C{1H} NMR (125 MHz, CDCl3) δ 170.5, 170.2, 170.0, 169.5, 168.5 (C=O), 165.0 (N=CH), 148.3, 132.9, 128.7 (2 C-arom), 128.2, (2 C-arom), 93.5 (C-1), 73.2 (C-2), 73.0 and 72.9 (C-3, C-5), 67.2 (C-4), 66.7 (C-6), 62.1 (C-7), 28.9 (CH2CH3), 20.7, 20.7, 20.6, 20.6, 20.5 (CH3 acetyl), 15.3 (CH2CH3). Anal. Calcd. for C26H33NO11: C, 57.73, H, 6.32, N, 5.85. Found: C, 57.58; H, 6.11; N, 5.92. HRMS [M+H]+ calculated for C26H34NO11: 536.2126. Found: 536.2112.
1,3,4,6,7-Penta-O-acetyl-2-deoxy-2-[(E)-(2,4-dimethylbenzylidene)amino]-β-d-glycero-l-gluco-heptopyranose (72). (48%); 1H NMR (500 MHz, CDCl3) δ 8.50 (1H, s, CH=N), 7.65 (2H, d, J 7.8 Hz, H-arom), 7.06 (2H, d, J 7.8 Hz, H-arom), 7.02 (1H, s, H-arom), 5.91 (1H, d, J1,2 9.0 Hz, H-1), 5.47 (1H, t, J2,3 = J3,4 9.5 Hz, H-3), 5.38 (1H, m, J6,7~J6,7′ 5.5 Hz, H-6), 5.15 (1H, t, J3,4 = J4,5 10.0 Hz, H-4), 4.36 (1H, dd, J6,7′ 5.3 Hz, J7,7′ 11.8 Hz, H-7), 4.33 (1H, dd, J6,7′ 8.0 Hz, J7,7′ 11.8 Hz, H-7′), 4.04 (1H, dd, J4,5 10.0 Hz, J5,6 2.0 Hz, H-5), 3.49 (1H, t, J1,2 = J2,3 9.0 Hz, H-2), 2.46, 2.35 (2xMe, arom), 2.13, 2.08, 2.05, 2.04, 1.92 (5 × 3H, s, CH3). Anal. Calcd. for C26H33NO11: C, 57.73, H, 6.32, N, 5.85. Found: C, 57.61; H, 6.07; N, 5.83. HRMS [M+H]+ calculated for C26H34NO11: 536.2126. Found: 536.2121.
1,3,4,6-Tetra-O-acetyl-2-[(E,E)-cinnamylideneamino]-2-deoxy-β-d-glucopyranose (73). (45%). M.p. 217–218 °C; [α]D +58.8°; [α]578 +62.4°; [α]546 +75.0°; [α]436 +185.2°; [α]365 +530.0° (c 0.5, chloroform); IR (KBr) ν ¯ max/cm−1 2912 (OCH3), 1757 (C=O), 1638 (C=N, arom), 1229 (C-O-C), 1169, 1036 (C-O), 760, 694 (arom); 1H NMR (400 MHz, CDCl3) δ 7.99 (1H, d, J=CH-CH 8.8 Hz, N=CH-CH), 7.49 (2H, d, J 8.4 Hz, H-arom), 7.36 (3H, m, H-arom), 7.03 (1H, d, JCH=CH 16.1 Hz, CH=CH-Ar), 6.86 (1H, dd, JCH=CH 16.1 Hz, JCH-CH 8.8 Hz, CH-CH=CH), 5.99 (1H, d, J1,2 8.1 Hz, H-1), 5.38 (1H, t, J2,3 = J3,4 9.5 Hz, H-3), 5.13 (1H, t, J3,4 = J4,5 9.8 Hz, H-4), 4.37 (1H, dd, J6,6′ 12.4 Hz, J5,6 4.5 Hz, H-6), 4.12 (1H, dd, J6,6′ 12.4 Hz, J5,6′ 2.1 Hz, H-6′), 3.95 (1H, ddd, J4,5 10.1 Hz, J5,6 4.5 Hz, J5,6′ 2.1 Hz, H-5), 3.38 (1H, t, J1,2 = J2,3 9.0 Hz, H-2), 2.10, 2.07, 2.04, 1.96 (4 × 3H, s, CH3); 13C{1H} NMR (100 MHz, CDCl3) δ 170.7, 169.9. 169.6, 168.7 (4C=O), 166.8 (N=C), 143.9 (2C, CH=CH), 135.1, 129.8, 128.9 (C-arom), 127.5 (2 C-arom), 127.3 (C-arom), 93.1 (C-1), 73.2 (C-2), 73.0 (C-5), 72.7 (C-3), 68.0 (C-4), 61.8 (C-6), 20.8, 20.7, 20.7, 20.5 (CH3). Anal. Calcd. for C23H27NO9: C, 59.86, H, 5.90, N, 3.04. Found: C, 59.80, H, 5.94, N, 2.76.
1,3,4,6-Tetra-O-acetyl-2-deoxy-2-[(E,E)-(4-nitrocinnamylidene)amino]-β-d-glucopyranose (74). (73%). M.p. 87–89 °C; [α]D +54.0°; [α]578 +59.8°; [α]546 +71.0°; [α]436 +174.0° (c 0.5, chloroform); IR (KBr) ν ¯ max/cm−1 2955 (OCH3), 1753 (C=O), 1682 (C=N), 1522 (arom), 1219 (C-O-C), 1034 (C-O), 746 (arom); 1H NMR (400 MHz, CDCl3) δ 8.26 (1H, dd, J 9.0 Hz, H-arom), 8.03 (1H, d, J=CH-CH 8.5 Hz, N=CH-CH), 7.63 (2H, dd, J 11.1 Hz, J 2.2 Hz, H-arom), 7.08 (1H, d, JCH=CH 16.1 Hz, CH=CH-Ar), 6.97 (1H, dd, JCH=CH 16.2 Hz, JCH-CH 8.5 Hz, CH-CH=CH), 5.91 (1H, d, J1,2 8.3 Hz, H-1), 5.41 (1H, t, J2,3 = J3,4 9.7 Hz, H-3), 5.14 (1H, t, J3,4 = J4,5 9.8 Hz, H-4), 4.38 (1H, dd, J6,6′ 12.5 Hz, J5,6 4.5 Hz, H-6), 4.13 (1H, dd, J6,6′ 12.4 Hz, J5,6′ 1.9 Hz, H-6′), 3.97 (1H, ddd, J4,5 10.1 Hz, J5,6 4.5 Hz, J5,6′ 2.0 Hz, H-5), 3.43 (1H, dd, J1,2 8.4 Hz, J2,3 9.6 Hz, H-2), 2.10, 2.07, 2.06, 1.97 (4 × 3H, s, CH3); 13C{1H} NMR (100 MHz, CDCl3) δ 170.7, 169.9, 169.5, 168.6 (C=O), 165.7 (C=N), 148.0 (C-arom), 140.6 (CH=CH), 131.3, 129.0, 128.0 (C-arom), 124.2 (CH=CH), 92.9 (C-1), 73.0 (C-2), 72.7 (C-5), 67.8 (C-3), 67.8 (C-4), 61.6 (C-6), 20.8, 20.7, 20.6, 20.5 (CH3). Anal. Calcd. for C23H26N2O11: C, 54.54, H, 5.17, N, 5.53. Found: C, 54.71; H, 5.34; N, 5.38.
1,3,4,6,7-Penta-O-acetyl-2-[(E,E)-cinnamylideneamino]-2-deoxy-β-d-glycero-l-gluco-heptopyranose (75). (50%). M.p. 184–187 °C; [α]D −10.0°; [α]578 −11.0°; [α]546 −14.6°; [α]436 −58.2° (c 0.5, chloroform); IR (KBr) ν ¯ max/cm−1 1750 (C=O), 1636 (C=N), 1433 (C=C, arom), 1215 (C-O-C), 1036 (C-O), 754, 692 (arom); 1H NMR (400 MHz, CDCl3) δ 7.98 (1H, s, CH=N), 7.46 (2H, m, H-arom), 7.37 (3H, m, H-arom), 7.02 (1H, d, JCH=CH 16.0 Hz, CH=CH-Ar), 6.85 (1H, dd, JCH=CH 16.0 Hz, JCH-CH 8.8 Hz, -CH=CH-Ar), 5.64 (1H, d, J1,2 8.8 Hz, H-1), 5.36 (2H, m, J2,3 = J3,4 9.6 Hz, H-3 y 6), 5.13 (1H, t, J3,4 = J4,5 9.7 Hz, H-4), 4.33 (1H, dd, J6,7 5.1 Hz, J7,7′ 11.7 Hz, H-7), 4.15 (1H, dd, J6,7′ 7.9 Hz, J7,7′ 11.5 Hz, H-7′), 3.98 (1H, dd, J5,6 2.0 Hz, J4,5 10.1 Hz, H-5), 3.39 (1H, t, J1,2J2,3 9.0 Hz, H-2), 2.14, 2.11, 1.95 (4 × 3H, s, CH3); 13C{1H} NMR (100 MHz, CDCl3) δ 170.5, 170.2, 169.9, 168.5 (C=O), 166.8 (C=N), 144.0 (2C=C), 135.0 (C-arom), 129.8 (C-arom), 128.9 (C-arom), 127.4 (2 C-arom), 127.2 (C-arom), 93.4 (C-1), 73.2 (C-2), 72.9 (C-3), 72.9 (C-5), 67.1 (C-4), 66.7 (C-6), 62.1 (C-7), 20.6, 20.5, 20.5 (CH3, acetate). Anal. Calcd. for C26H31NO11: C, 58.53, H, 5.86, N, 2.63. Found: C, 58.31, H, 5.89, N, 2.73.
1,3,4,6-Tetra-O-acetyl-2-deoxy-2-[(E)-(1-naphthylmethylene)amino]-β-d-glucopyranose (76). From 50 as an oil (43%). 1H NMR (400 MHz, CDCl3) δ 8.89 (1H, s, CH=N), 8.79 (1H, d, J 8.8 Hz, H-arom), 7.95 (1H, d, J 8.8 Hz, H-arom), 7.90 (1H, d, J 8.4 Hz, H-arom), 7.84 (1H, d, J 7.2 Hz, H-arom), 7.61 (1H, c, J 7.0 Hz, H-arom), 7.53 (1H, c, J 8.3 Hz, H-arom), 6.07 (1H, d, J1,2 8.3 Hz, H-1), 5.58 (1H, t, J2,3 = J3,4 9.8 Hz, H-3), 5.21 (1H, t, J3,4 = J4,5 9.8 Hz, H-4), 4.42 (1H, dd, J6,6′ 12.4 Hz, J5,6 4.4 Hz, H-6), 4.17 (1H, dd, J6,6′ 12.6 Hz, J5,6′ 1.4 Hz, H-6′), 4.04 (1H, ddd, J4,5 10.0 Hz, J5,6 4.0 Hz, J5,6′ 2.1 Hz, H-5), 3.61 (1H, t, J1,2 8.8 Hz, H-2), 2.12, 2.06, 2.02, 1.89 (4 × 3H, s, CH3); 13C{1H} NMR (100 MHz, CDCl3) δ 170.7, 169.9, 169. 6, 168.7 (C=O), 165.1 (C=N), 132.0, 128.7, 127.6, 126.3 (C-arom), 93.1 (C-1), 73.9 (C-2), 73.2 (C-5), 72.8 (C-3), 68.0 (C-4), 61.8 (C-6), 20.7, 20.7, 20.5, 18.4 (CH3). Anal. Calcd. for C25H27NO9: C, 61.85, H, 5.61, N, 2.89. Found: C, 62.03; H, 5.50; N, 2.87.
1,3,4,6-Tetra-O-acetyl-2-deoxy-2-[(E)-(4-methoxy-1-naphthylmethylene)amino]-β-d-glucopyranose (77). From 51 (50%). M.p. 150–152 °C; [α]D +87.2°; [α]578 +91.0°; [α]546 +106.4°; [α]436 +231.0° (c 0.5, chloroform); IR (KBr) ν ¯ max/cm−1 2953 (OCH3), 1753 (C=O), 1640 (C=N), 1514 (arom), 1219 (C-O-C), 1032 (C-O), 765 (arom); 1H NMR (400 MHz, CDCl3) δ 8.88 (1H, d, J 8.5 Hz, H-arom), 8.74 (1H, s, CH=N), 8.32 (1H, d, J 7.6 Hz, H-arom), 7.77 (1H, d, J 8.1 Hz, H-arom), 7.61 (1H, t, J 7.8 Hz, H-arom), 7.53 (1H, t, J 8.0 Hz, H-arom), 6.84 (1H, d, J 8.2 Hz, H-arom), 6.04 (1H, d, J1,2 8.5 Hz, H-1), 5.55 (1H, t, J2,3 = J3,4 9.5 Hz, H-3), 5.20 (1H, t, J3,4 = J4,5 9.8 Hz, H-4), 4.40 (1H, dd, J6,6′ 12.3 Hz, J5,6 4.4 Hz, H-6), 4.16 (1H, dd, J6,6′ 12.3 Hz, J5,6′ 1.8 Hz, H-6′), 4.05 (1H, ddd, J4,5 10.2 Hz, J5,6 4.5 Hz, J5,6′ 2.3 Hz, H-5), 3.53 (1H, dd, J1,2 8.4 Hz, J2,3 9.6 Hz, H-2), 2.12, 2.05, 2.02, 1.87 (4 × 3H, s, CH3); 13C{1H} NMR (100 MHz, CDCl3) δ 170.7, 169.56, 169.0, 160.8 (C=O), 160.8 (C=N), 139.6, 132.5, 127.9, 125.6, 124.5, 123.5, 122.4 (C-arom), 93.3 (C-1), 73.4 (C-2), 72.8 (C-5), 71.7 (C-3), 68.1 (C-4), 61.8 (C-6), 55.9 (OCH3), 21.0, 20.7, 20.7, 20.6 (CH3). Anal. Calcd. for C29H29NO10: C, 60.58, H, 5.67, N, 2.72. Found: C, 60.29, H, 5.67, N, 2.59.
1,3,4,6-Tetra-O-acetyl-2-deoxy-2-[(E)-(4-methoxy-1-naphthylmethylene)amino]-α-d-glucopyranose (78). From 52, a mixture of 77 and 78 was isolated. Crystallization from ethanol gave 78 (32%); 1H NMR (400 MHz, CDCl3) δ 9.01 (1H, d, J 8.1 Hz, H-arom), 8.74 (1H, s, CH=N), 8.31 (1H, d, J 8.1 Hz, H-arom), 7.71 (1H, d, J 8.1 Hz, H-arom), 7.56 (1H, dt, J 7.6 Hz, J 1.5 Hz, H-arom), 7.51 (1H, dt, J 8.1 Hz, J 1.2 Hz, H-arom), 6.83 (1H, d, J 8.1 Hz, H-arom), 6.32 (1H, d, J1,2 3.6 Hz, H-1), 5.70 (1H, t, J2,3 = J3,4 9.8 Hz, H-3), 5.23 (1H, t, J3,4 = J4,5 9.9, H-4), 4.38 (1H, dd, J6,6′ 12.3 Hz, J5,6 4.1 Hz, H-6), 4.29 (1H, ddd, J4,5 10.2 Hz, J5,6 4.0 Hz, J5,6′ 2.1 Hz, H-5), 4.14 (1H, dd, J5,6′ 2.0 Hz, J6,6′ 12.3 Hz, H-6′), 3.73 (1H, dd, J1,2 3.6 Hz, J2,3 10.1 Hz, H-2), 2.25, 2.13, 2.06, 1.88 (4 × 3H, s, CH3); 13C{1H} NMR (100 MHz, CDCl3) δ 170.7, 169.6, 169.0, 160.8 (C=O), 158.3 (CH=N), 139.6, 132.5, 127.9, 125.6, 124.5, 123.5, 122.4 (C-arom), 91.9 (C-1), 71.8 (C-2), 71.3 (C-5), 70.1 (C-3), 68.3 (C-4), 61.9 (C-6), 55.7 (OCH3), 21.0, 20.7, 20.7, 20.6 (4 × CH3). Anal. Calcd. for C29H29NO10: C, 60.58, H, 5.67, N, 2.72. Found: C, 60.81, H, 5.53, N, 2.75.
1,3,4,6-Tetra-O-acetyl-2-deoxy-2-[(E)-(2-naphthylmethylene)amino]-β-d-glucopyranose (79). From 53 (30%); [α]D +86.2°; [α]578 +91.0°; [α]546 +106.4°; [α]436 +224.4°; [α]365 +500.4° (c 0.5, chloroform); ν ¯ max/cm−1 1752 (C=O), 1641 (C=N), 1430 (arom), 1222 (C-O-C), 1024 (C-O); 1H NMR (400 MHz, CDCl3) δ 8.55 (1H, s, CH=N), 8.23 (1H, d, arom), 8.00 (1H, m, arom), 7.90 (3H, m, arom), 7.57 (2H, m, arom), 6.18 (1H, d, J1,2 8.4 Hz, H-1), 5.56 (1H, t, J3,4 = J4,5 9.8 Hz, H-4), 5.06 (1H, t, J2,3 = J3,4 9.6 Hz, H-3), 4.33 (1H, dd, J5,6 3.2 Hz, J4,5 8.0 Hz, H-5), 4.27 (1H, dd, J5,6 4.4 Hz, J6,6′ 12.0 Hz, H-6), 4.06 (1H, d, J6,6′ 11.2 Hz, H-6′), 3.88 (1H, t, J1,2 = J2,3 8.8 Hz, H-2), 2.03, 2.00, 1.98, 1.83 (4 × 3H, s, CH3); 13C{1H} NMR (100 MHz, CDCl3) δ 170.5, 169.8, 169.4, 168.6 (C=O), 165.0 (N=CH), 134.9, 132.9, 132.7, 130.7, 128.5, 127.8, 127.5, 126.5, 123.7 (C-arom), 93.0 (C-1), 73.0 (C-2), 73.0 (C-5), 72.7 (C-3), 67.9 (C-4), 61.7 (C-6), 20.7, 20.6, 20.4 (4 CH3). Anal. Calcd. for C25H27NO9: C, 61.85, H, 5.61, N, 2.89. Found: C, 61.68; H, 5.73; N, 2.95.
1,3,4,6-Tetra-O-acetyl-2-deoxy-2-(E)-(9-phenantrylmethylene)amino]-β-d-glucopyranose (81). From 55 (90%). M.p. 99–100 °C; [α]D +69.6°; [α]578 +74.0°; [α]546 +87.4°; [α]436 +199.8° (c 0.5, chloroform); IR (KBr) ν ¯ max/cm−1 1755 (C=O), 1641 (C=N, arom), 1219 (C-O-C), 1036 (C-O), 752, 601 (arom); 1H NMR (400 MHz, CDCl3) δ 8.96 (1H, dd, J 8.0 Hz, J 1.6 Hz, H-arom), 8.89 (1H, s, H-arom), 8.74 (1H, dd, H-arom), 8.68 (1H, d, J 8.3 Hz, H-arom), 8.09 (1H, s, N=CH), 7.96 (1H, d, J 7.6 Hz, H-arom), 7.68 (4H, m, H-arom), 6.10 (1H, d, J1,2 6.2 Hz, H-1), 5.61 (1H, t, J2,3 = J3,4 9.6 Hz, H-3), 5.23 (1H, t, J3,4 = J4,5 9.8 Hz, H-4), 4.42 (1H, dd, J6,6′ 12.4 Hz, J5,6 4.5 Hz, H-6), 4.18 (1H, dd, J6,6′ 12.4 Hz, J5,6′ 2.1 Hz, H-6′), 4.06 (1H, ddd, J4,5 10.1 Hz, J5,6 4.4 Hz, J5,6′ 2.0 Hz, H-5), 3.63 (1H, dd, J1,2 8.3 Hz, J2,3 9.7 Hz, H-2), 2.11, 2.08, 2.06, 1.90 (4 × 3H, s, CH3); 13C{1H} NMR (100 MHz, DMSO-d6) δ 170.7, 169.9, 169.6, 168.7 (C=O), 165.7 (C=N), 132.5, 131.6, 130.6, 129.7, 127.4, 127.0 (2 C-arom), 125.2, 123.0, 122.6 (C-arom), 93.1 (C-1), 74.0 (C-2), 73.2 (C-5), 72.8 (C-3), 68.0 (C-4), 61.8 (C-6). 20.8 (2 CH3), 20.7 (CH3), 20.5 (2 CH3) Anal. Calcd. for C29H29NO9: C, 65.04, H, 5.46, N, 2.62. Found: C, 64.82, H, 5.57, N, 2.74.
1,3,4,5-Tetra-O-acetyl-2-[(E)-(9-antrylmethylene)amino]-2-deoxy-β-d-glucopyranose (82). From 56 (68%). M.p. 164–167 °C; [α]D +21.2°; [α]578 +21.8°; [α]546 +26.2° (c 0.5, chloroform); IR (KBr) ν ¯ max/cm−1 1753 (C=O), 1651 (C=N, arom), 1217 (C-O-C), 1041 (C-O), 903, 733 (arom); 1H NMR (400 MHz, CDCl3) δ 9.46 (1H, s, CH=N), 8.37 (1H, d, arom), 8.08 (1H, s, arom), 8.03 (1H, d, arom), 7.50 (4H, m, arom), 7.30 (2H, m, arom), 6.14 (1H, d, J1,2 8.1 Hz, H-1), 5.71 (1H, t, J2,3 = J3,4 9.6 Hz, H-3), 5.27 (1H, t, J3,4 = J4,5 9.8 Hz, H-4), 4.45 (1H, dd, J5,6 4.4 Hz, J6,6′ 12.3 Hz, H-6), 4.20 (1H, dd, J5,6′ 1.6 Hz, J6,6′ 12.4 Hz, H-6′), 4.10 (1H, ddd, J4,5 9.8 Hz, J5,6 4.5 Hz, J5,6′ 1.7 Hz, H-5), 3.88 (1H, t, J1,2 = J2,3 9.1 Hz, H-2), 2.14, 2.08, 2.07, 2.03 (4 × 3H, s, CH3); 13C{1H} NMR (100 MHz, CDCl3) δ 170.6, 170.0, 169.8, 169.7 (C=O), 165.6 (N=CH), 138.1, 137.9, 137.8, 137.7, 130.2, 128.1, 127.6, 127.3, 126.8, 123.5, 121.9, 121.6 (C-arom), 93.0 (C-1), 73.2 (C-2), 72.8 (C-5), 72.8 (C-3), 68.3 (C-4), 61.7 (C-6), 20.7, 20.6 (4 CH3). Anal. Calcd. for C29H29NO9: C, 65.04, H, 5.46, N, 2.62; Found: C, 64.79, H, 5.23, N, 2.83.
1,3,4,6-Tetra-O-acetyl-2-deoxy-2-[(E)-(10-methyl-9-antrylmethylene)amino]-β-d-glucopyranose (83). From 57 (92%). M.p. 225–226 °C; [α]D +59.2°; [α]578 +63.8°; [α]546 +80.2° (c 0.5, chloroform); IR (KBr) ν ¯ max/cm−1 2915 (OCH3), 1746 (C=O), 1647 (C=N, arom), 1215 (C-O-C), 1084, 1032 (C-O), 750 (arom); 1H NMR (400 MHz, CDCl3) δ 9.43 (1H, s, C=N), 8.34 (4H, m, H-arom), 7.52 (4H, m, H-arom), 6.13 (1H, d, J1,2 8.3 Hz, H-1), 5.71 (1H, t, J2,3 = J3,4 9.6 Hz, H-3), 5.28 (1H, t, J3,4 = J4,5 9.7 Hz, H-4), 4.45 (1H, dd, J6,6′ 12.5 Hz, J5,6 4.4 Hz, H-6), 4.19 (1H, dd, J6,6′ 12.5 Hz, J5,6′ 1.9 Hz, H-6′), 4.07 (1H, ddd, J4,5 10.1 Hz, J5,6 4.3 Hz, J5,6′ 1.9 Hz, H-5), 3.89 (1H, dd, J1,2 8.5 Hz, J2,3 9.7 Hz, H-2), 2.17, 2.14, 2.08, 2.06 (4 × 3H, s, CH3); 13C{1H} NMR (100 MHz, DMSO-d6) δ 170.7, 170.0, 169.7, 168.6 (C=O), 166.3 (C=N), 134.2, 129.6, 129.4, 126.3, 125.8, 125.4, 125.3, 124.6 (C-arom), 92.9 (C-1), 74.6 (C-2), 73.2 (C-5), 72.8 (C-3), 68.2 (C-4), 61.7 (C-6), 20.8 (2 CH3), 20.7 (2 CH3), 14.6 (CH3). Anal. Calcd. for C30H31NO9: C, 65.56, H, 5.69, N, 2.55; Found: C, 65.03, H, 5.37, N, 2.39.
1,3,4,6,7-Penta-O-acetyl-2-deoxy-2-[(E)-(9-antrylmethylene)amino]-β-d-glycero-l-gluco-heptopyranose (84). From 58 (99%). M.p. 176–177 °C; [α]578 −25.6°; [α]546 −32.6° (c 0.5, chloroform); IR (KBr) ν ¯ max/cm−1 1751 (C=O), 1634 (C=N), 1443 (arom), 1219 (C-O-C), 1035 (C-O), 737 (arom); 1H NMR (400 MHz, CDCl3) δ 9.45 (1H, s, CH=N), 8.53 (1H, s, H-arom), 8.35 (2H, d, J 8.2 Hz, H-arom), 8.02 (2H, d, J 7.7 Hz, H-arom), 7.52 (4H, m, H-arom), 6.06 (1H, d, J1,2 8.3 Hz, H-1), 5.71 (1H, t, J3,4 = J4,5 9.6 Hz, H-4), 5.42 (1H, ddd, J5,6 1.4 Hz, J6,7 5.4 Hz, J6,7′ 7.8 Hz, H-6), 5.25 (1H, t, J2,3 = J3,4 9.7, H-3), 4.39 (1H, dd, J6,7 5.2 Hz, J7,7′ 11.4 Hz, H-7), 4.12 (1H, dd, J6,7′ 7.9 Hz, J7,7′ 11.4 Hz, H-7′), 4.12 (1H, dd, J4,5 10.0 Hz, J5,6 1.4 Hz, H-5), 3.89 (1H, dd, J1,2J2,3 9.0 Hz, H-2), 2.16, 2.14, 2.08, 2.06, 2.03 (4 × 3H, s, CH3); 13C{1H} NMR (100 MHz, CDCl3) δ 170.5, 170.2, 169.6, 168.5 (C=O), 165.7 (C=N), 132.0 (2 C-arom), 131.1, 130.3 (C-arom), 129.2 (2 C-arom), 129.1 (2 C-arom), 127.1, 126.7 (C-arom), 125.4 (2 C-arom), 123.9 (2 C-arom), 93.9 (C-1), 74.5 (C-2), 73.3 (C-3), 73.0 (C-5), 67.5 (C-4), 66.7 (C-6), 62.1 (C-7), 20.7 (3C, CH3, acetate), 20.6 (3C, CH3, acetate). Anal. Calcd. for C32H33NO11: C, 63.26, H, 5.47, N, 2.31. Found: C, 63.53, H, 5.62, N, 2.45. HRMS [M+H]+ calculated for C32H34NO11: 608.2132. Found: 608.2120.
1,3,4,5-Tetra-O-acetyl-2-deoxy-2-[(2-methoxy-1-naphthyl)methylene]amino-β-d-glucopyranose (87). To a solution of 1,3,4,5-tetra-O-acetyl-2-amino-2-deoxy-β-d-glucopyranose hydrochloride (85) (1.3 g, 3.3 mmol) in ethanol (14 mL), anhydrous sodium acetate (0.25 g) dissolved in water (2 mL) and 2-methoxynaphthaldehyde (0.6 g, 3.0 mmol) were added. The solution was heated in a water bath, filtered to remove impurities, and then cooled. The crystalline solid crystallized was filtered and washed with 96% aqueous ethanol to afford the title compound in 21% yield. M.p.: 196–198 °C; [α]D +73.6°; [α]578 +76.4°; [α]546 +90.2° (c 0.5, chloroform); IR (KBr) ν ¯ max/cm−1 1752 (C=O), 1650 (C=N), 1256, 1218 (C-O-C, ester), 1086, 1033 (C-O), 818 (arom); 1H NMR (400 MHz, CDCl3) δ 8.97 (1H, s, N=CH), 8.90 (1H, d, J 8.8 Hz, H-arom), 7.91 (1H, d, J 9.2 Hz, H-arom), 7.49 (1H, t, J 8.6 Hz, H-arom), 7.36 (1H, t, J 7.0 Hz, H-arom), 7.25 (1H, d, J 9.6 Hz, H-arom), 6.10 (1H, d, J1,2 7.6 Hz, H-1), 5.58 (1H, t, J3,4 = J4,5 9.4 Hz, H-4), 5.21 (1H, t, J2,3 = J3,4 9.8 Hz, H-3), 4.41 (1H, dd, J5,6 4.8 Hz, J6,6′ 12.4 Hz, H-6), 4.17 (1H, dd, J5,6′ 2.4 Hz, J6,6′ 12.4 Hz, H-6′), 4.05 (1H, ddd, J4,5 10.0 Hz, J5,6′ 2.4 Hz, H-5), 3.98 (3H, s, OCH3), 3.61 (1H, dd, J1,2 8.6 Hz, J2,3 9.4 Hz, H-2), 2.12, 2.08, 2.06, 1.97 (4 × 3H, s, CH3); 13C{1H} NMR (100 MHz, CDCl3) δ 170.6, 169.9, 169.7, 168.8 (C=O), 163.5 (N=CH), 158.2, 133.3, 131.7, 128.9, 128.2, 128.1, 125.0, 124.1, 116.4, 112.2 (C-arom), 93.2 (C-1), 74.0 (C-2), 73.2 (C-5), 72.8 (C-3), 68.1 (C-4), 61.8 (C-6), 56.3 (OMe), 20.7, 20.4 (4 CH3). Anal. Calcd. for C26H29NO10: C, 60.58, H, 5.67, N, 2.72. Found: C, 60.83; H, 5.78; N, 2.67.
1,3,4,6-Tetra-O-acetyl-2-[(E,E)-cinnamylideneamino]-2-deoxy-α-d-glucopyranose (88). To a suspension of 1,3,4,6-tetra-O-acetyl-2-amino-2-deoxy-α-d-glucopyranose hydrobromide (86) (1.4 g, 3.0 mmol) in 96% aqueous ethanol (14 mL), sodium acetate trihydrate (0.41 g, 3.0 mmol) dissolved in water (2 mL) and pyridine (0.8 mL), and cinnamylidene aldehyde (0.6 mL) were added. The solution was heated in a water bath and filtered to remove impurities, then cooled. The crystalline solid crystallized was collected by filtration and washed with 50% aqueous ethanol to give the title compound in 57% yield. M.p.: 177–179 °C; [α]D +81.8°; [α]578 +87.2°; [α]546 +93.0° (c 0.5, chloroform); IR (KBr) ν ¯ max/cm−1 1747 (C=O), 1635 (C=N), 1251, 1221 (C-O-C, ester), 1027 (C-O); 1H NMR (400 MHz, CDCl3) δ 8.07 (1H, d, JCH=N 8.4 Hz, CH-CH=N), 7.48 (2H, d, J 7.2 Hz, H-arom), 7.38 (3H, m, H-arom), 7.02 (1H, d, JCH=CH-Ar 16.0 Hz, =CH-Ar), 6.88 (1H, dd, JCH-CH=CH 8.8 Hz, JCH-CH=CH 16.0 Hz, N=CH-CH), 6.18 (1H, d, J1,2 3.6 Hz, H-1), 5.61 (1H, t, J2,3 = J3,4 9.8 Hz, H-3), 5.17 (1H, t, J3,4 = J4,5 9.8, H-4), 4.36 (1H, dd, J6,6′ 12.2 Hz, J5,6 4.2 Hz, H-6), 4.24 (1H, d, J4,5 10.0 Hz, H-5), 4.10 (1H, d, J6,6′ 12.0 Hz), 3.60 (1H, dd, J1,2 3.0 Hz, J2,3 10.2 Hz, H-2), 2.22, 2.10, 2.05, 1.95 (4 × 3H, s, CH3); 13C{1H} NMR (100 MHz, CDCl3) δ 170.5, 169.6, 168.9, 167.1 (C=O), 167.1 (C=N), 144.0 (C-arom), 135.0, 129.6, 128.7, 127.4, 127.2 (C-arom), 91.4 (C-1), 71.0 (C-2), 70.9 (C-5), 69.8 (C-3), 68.1 (C-4), 61.7 (C-6), 21.0, 20.6, 20.5, 20.4 (CH3). Anal. Calcd. for C23H27NO9: C, 59.86, H, 5.90, N, 3.04. Found: C, 59.75, H, 5.83, N, 3.06.
2-Acetamido-1,3,4,6,7-penta-O-acetyl-2-deoxy-α-d-glycero-l-gluco-heptopyranose (90). To a suspension of 1,3,4,6,7-penta-O-acetyl-2-amino-2-deoxy-α-d-glycero-l-gluco-heptopyranose hydrobromide (89) [17] (0.51 g, 0.75 mmol) in pyridine (3.0 mL), acetic anhydride (2.9 mL) was added. The mixture was kept under stirring at room temperature for 30 min until complete dissolution. After 12 h in the refrigerator, it was poured into ice-water and a white solid was filtered, washed with cold water and dried under vacuum over silica gel (0.16 g, 33%). M.p. 90–92 °C (lit. [16] m.p. 82–84 °C); IR (KBr) ν ¯ max/cm−1 3257 (NH), 1751, 1661 (C=O), 1227 (C-O-C), 1047, 1012 (C-O); 1H NMR (500 MHz, CDCl3) δ 6.15 (1H, d, J1,2 3.5 Hz, H-1), 5.67 (1H, d, J2,NH 9.0 Hz, NH), 5.20 (1H, t, J2,3J3,4 9.5 Hz, H-3), 5.17 (1H, m, J5,6 2.0 Hz, J6,7 5.0 Hz, J6,7′ 7.0 Hz, H-6), 5.15 (1H, t, J3,4J4,5 10.0 Hz, H-4), 4.47 (1H, td, J1,2 4.0 Hz, J2,NH 9.5 Hz, J2,3 10.5 Hz, H-2), 4.21 (1H, dd, J6,7 5.0 Hz, J7,7′ 11.5 Hz, H-7), 4.10 (1H, dd, J6,7′ 7.0 Hz, J7,7′ 11.5 Hz, H-7′), 4.03 (1H, dd, J5,6 2.0 Hz, J4,5 9.5 Hz, H-5), 2.17, 2.10, 2.02, 2.00, 1.99 (12H, s, OAc), 1.92 (3H, s, NAc); 13C{1H} NMR (125 MHz, CDCl3) δ 171.6, 170.5, 170.3, 169.9, 169.0, 168.4 (C=O), 90.6 (C-1), 70.9 (2C, C-3, C-6), 69.9 (C-5), 66.6 (C-4), 62.1 (C-7), 51.0 (C-2), 23.0, 20.8, 20.6, 20.6, 20.4 (CH3). HRMS [M+H]+ calculated for C19H28NO12: 462.1606. Found: 462.1618.
2-Acetamido-1,3,4,6,7-penta-O-acetyl-2-deoxy-β-d-glycero-l-gluco-heptopyranose (92). The title compound was obtained from 1,3,4,6,7-penta-O-acetyl-2-amino-2-deoxy-β-d-glycero-l-gluco-heptopyranose hydrochloride (91) [17] (0.26 g, 0.4 mmol) with pyridine (1.5 mL) and acetic anhydride (1.0 mL) using the procedure described for 74 (0.07 g, 27%). M.p. 226–228 °C (Lit. [16] m.p. 221–223 °C); IR (KBr) ν ¯ max/cm−1 3354 (NH), 1754, 1667 (C=O), 1220 (C-O-C), 1073, 1034 (C-O); 1H NMR (500 MHz, CDCl3) δ 5.76 (1H, d, J2,NH 9.0 Hz, NH), 5.66 (1H, d, J1,2 9.0 Hz, H-1), 5.24 (1H, ddd, J5,6 2.0 Hz, J6,7 5.0 Hz, J6,7′ 7.5 Hz, H-6), 5.16 (1H, t, J2,3J3,4 9.5 Hz, H-3), 5.11 (1H, t, J3,4J4,5 10.0 Hz, H-4), 4.30 (1H, dd, J6,7 5.0 Hz, J7,7′ 11.5 Hz, H-7), 4.24 (1H, c, J1,2 = J2,NHJ2,3 9.5 Hz, H-2), 4.10 (1H, dd, J6,7′ 8.0 Hz, J7,7′ 11.5 Hz, 1H, H-7′), 3.85 (1H, dd, J5,6 2.0 Hz, J4,5 9.5 Hz, H-5), 2.10, 2.09, 2.02, 2.01 (12H, s, OAc), 1.92 (3H, s, NAc); 13C{1H} NMR (125 MHz, CDCl3) δ 171.1, 170.5, 170.3, 170.1, 169.3, 169.2 (C=O), 92.8 (1C, 1J 120 Hz, C-1), 73.0, 72.6 (C-3, C-5), 66.9, 66.5 (C-4, C-6), 62.2 (C-7), 53.1 (C-2), 23.1, 20.8, 20.6, 20.6, 20.5 (CH3). HRMS [M+H]+ calculated for C19H28NO12: 462.1606; found: 462.1613; [M+Na]+ calculated for C19H27NO12Na: 484.1425; found: 484.1435.; [M+K]+ calculated for C19H27NO12K: 500.1165, found: 500.1174.

4.4.3. Mutarotational Equilibrium in Schiff Bases Derived from 2-Amino-2-deoxyaldoses

Imine samples (~15 mg) were dissolved in DMSO-d6 (0.5 mL) or pyridine-d5 (0.5 mL), and the corresponding 1H NMR spectra were immediately recorded, followed by temporal monitoring until equilibration (as inferred from unaltered 1H and 13C NMR spectra over time).
2-Deoxy-2-[(E)-(3-bromobenzylidene)amino]-α-d-glucopyranose (95). 13C{1H} NMR (100 MHz, DMSO-d6) δ 161.0 (C=N), 138.8, 137.4, 132.3, 127.8 (C-arom), 93.1 (C-1), 75.6 (C-2), 72.7 (C-5), 70.9 (C-3, C-4), 61.5 (C-6).
2-[(E,E)-Cinnamylideneamino]-2-deoxy-α-d-glucopyranose (105). 1H NMR (400 MHz, DMSO-d6) δ 8.06 (1H, d, J=CH-CH 8.7 Hz, N=CH-CH), 7.59 (2H, d, J 7.3 Hz H-arom), 7.36 (3H, m, H-arom), 7.11 (1H, d, JCH=CH 16.1 Hz, CH=CH-Ar), 6.90 (1H, dd, JCH=CH 16.1 Hz, JCH-CH 8.8 Hz, CH-CH=CH), 6.24 (1H, d, JC1,OH 4.2 Hz, C1-OH), 4.91 (2H, m, J1,2JC1,OH 4.0 Hz H-1, C3-OH), 4.71 (1H, d, JC4-OH 5.3 Hz, C4-OH), 4.57 (1H, t, JC6-OH 5.3 Hz, C6-OH), 3.78 (1H, m, H-3), 3.65 (1H, m, H-6), 3.54 (1H, m, H-6′), 3.00 (1H, t, J1,2 3.1 Hz, J2,3 9.7 Hz, H-2); 13C{1H} NMR (100 MHz, DMSO-d6) δ 164.1 (C=N), 141.6 (2C, CH=CH), 136.0, 129.1, 128.6, 127.4 (2 C-arom), 93.2 (C-1), 75.5 (C-2), 72.6 (C-5), 71.1 (C-3, C-4), 61.5 (C-6).
2-Deoxy-2-[(E,E)-(4-nitrocinnamylidene)amino]-α-d-glucopyranose (106). 1H NMR (400 MHz, DMSO-d6) δ 8.21 (2H, d, J 8.7 Hz, H-arom), 8.10 (1H, d, J=CH-CH 8.5 Hz, N=CH-CH), 7.87 (2H, d, J 8.7 Hz, H-arom), 7.25 (1H, d, J 16.1 Hz, CH=CH-Ar), 7.11 (1H, dd, J 8.7 Hz, JCH=CH 16.1 Hz, CH-CH=CH), 6.28 (1H, d, JC1-OH 4.4 Hz, C1-OH), 4.93 (1H, d, J1–2 5.2 Hz, H-1), 4.74 (1H, m, JC3-OH 5.7 Hz, C3-OH), 4.47 (1H, t, JC6-OH 5.8 Hz, C6-OH), 4.13 (1H, c, J4,5J5,6 5.2 Hz, H-5), 3.78 (1H, m, J3,4 9.4 Hz, J2,3 5.3 Hz, H-3), 3.66 (1H, ddd, J6,6′ 11.6 Hz, J5,6 2.2 Hz, JC6-OH 5.4 Hz, H-6), 3.48 (1H, d, JC6-OH 5.9 Hz, H-6′), 3.14 (1H, m, H-4), 3.03 (1H, dd, J1,2 3.5 Hz, J2,3 9.4 Hz, H-2); 13C{1H} NMR (100 MHz, DMSO-d6) δ 163.5 (C=N), 147.4, 142.6 (C-arom), 139.1 (CH=CH), 132.7, 128.4 (C-arom), 124.2 (CH=CH), 93.0 (C-1), 75.6 (C-2), 71.0 (C-3, C-5), 70.4 (C-4), 61.4 (C-6).
2-Desoxi-2-[(E,E)-(2-methoxycinnamylidene)amino]-α-d-glucopyranose (107). 1H NMR (400 MHz, DMSO-d6) δ 8.04 (1H, d, J=CH-CH 8.8 Hz, N=CH-CH), 7.60 (1H, dd, J 7.7 Hz, J 1.2 Hz, H-arom), 7.33 (1H, dt, J 7.7 Hz, J 1.4 Hz, H-arom), 7.26 (1H, d, JCH=CH 16.2 Hz, CH=CH-Ar), 6.97 (1H, t, J 7.5 Hz, H-arom), 6.90 (1H, dd, JCH=CH 16.2 Hz, JCH-CH 8.9 Hz, CH-CH=CH), 6.22 (1H, d, JC1,OH 4.5 Hz, C1-OH), 4.90 (1H, d, JC3-OH 5.4 Hz, C3-OH), 4.88 (1H, t, J1,2 4.0 Hz, H-1), 4.68 (1H, d, JC4-OH 5.7 Hz, C4-OH), 4.46 (1H, t, JC6-OH 5.9 Hz, C6-OH), 3.85 (3H, s, OCH3), 3.76 (1H, m, H-3), 3.66 (1H, t, H-4), 3.63 (1H, dd, H-6), 3.52 (1H, dd, J5,6 6.2 Hz, J6,6′ 12.3 Hz, H-6′), 2.97 (1H, dd, J1,2 3.1 Hz, J2,3 9.7 Hz, H-2); 13C{1H} NMR (100 MHz, DMSO-d6) δ 164.7 (C=N), 136.4 (C-arom), 136.1 (CH=CH), 130.6, 129.2, 127.7, 124.3 (C-arom), 120.9 (CH=CH), 93.2 (C-1), 75.5 (C-2), 72.6 (C-5), 71.1 (C-3), 71.0 (C-4), 61.5 (C-6), 55.8 (OCH3).
2-Desoxi-2-[(E,E)-(4-hydroxy-3-methoxycinnamylidene)amino]-α-d-glucopyranose (108). 13C NMR (50.3 MHz, DMSO-d6) δ 164.2 (C=N), 148.3 (C-arom), 148.2 (C-arom), 141.8 (CH=CH), 127.7, 126.0, 121.6, 115.9 (C-arom), 111.8 (CH=CH), 93.3 (C-1), 75.4 (C-2), 72.7 (C-5), 71.2 (C-3), 71.1 (C-4), 61.5 (C-6), 55.9 (OCH3).
2-Deoxy-2-[(E,E)-(4-nitrocinnamylidene)amino]-β-d-glucopyranose (46). 1H NMR (400 MHz, pyridine-d5) δ 9.06 (1H, d, J 5.8 Hz, H-arom), 8.47 (1H, d, J 8.7 Hz, H-arom), 8.16 (1H, d, J=CH-CH 8.7 Hz, N=CH-CH), 7.32 (1H, dd, J 8.7 Hz, JCH=CH 16.1 Hz, CH-CH=CH), 6.93 (1H, d, J 16.1 Hz, CH=CH-Ar), 6.71 (1H, t, C6-OH), 5.77 (1H, ddt, J1–2JC1-OH 7.3 Hz, H-1), 4.67 (1H, d, J6–6′ 11.8 Hz, J5–6 2.3 Hz, H-6), 4.57 (1H, t, J2–3J3–4 8.8 Hz, H-3), 4.50 (1H, dd, J5–6 5.4 Hz, J6–6′ 11.1 Hz, H-6′), 4.41 (1H, t, J2–3J3–4 9.0 Hz, H-4), 4.20 (1H, ddd, J4–5 8.2 Hz, J5–6 5.6 Hz, J5–6′ 2.5 Hz, H-5), 3.79 (1H, t, J1,2J2,3 8.4 Hz, H-2).
2-Deoxy-2-[(E)-(4-methoxy-1-naphthylmethylene)amino]-β-d-glucopyranose (51). 1H NMR (400 MHz, pyridine-d5) δ 9.69 (1H, dd, J 2.4 Hz, J 6.7 Hz, H-arom), 9.24 (1H, s, CH=N), 8.46 (1H, m, H-arom), 7.93 (1H, d, J 8.1 Hz, H-arom), 7.57 (2H, m, H-arom), 7.28 (1H, sa, OH), 6.85 (1H, d, J 8.1 Hz, H-arom), 5.85 (1H, d, J1,2 7.4 Hz, H-1), 4.72 (1H, dd, J6,6′ 11.6 Hz, J5,6 2.1 Hz, H-6), 4.66 (1H, t, J4,5J3,4 8.2 Hz, H-4), 4.53 (1H, dd, J6,6′ 11.6 Hz, J5,6′ 5.6 Hz, H-6′), 4.46 (1H, t, J3,4J2,3 9.2 Hz, H-3) 4.26 (1H, ddd, J4,5 8.9 Hz, J5,6 2.5 Hz J5,6′ 6.0 Hz, H-5), 3.92 (1H, t, J1,2J2,3 8.4 Hz, H-2), 3.83 (3H, s, OCH3); 13C{1H} NMR (100 MHz, DMSO-d6) δ 163.8 (N=C), 157.9 (C-arom), 133.3 (C-arom), 132.6 (C-arom), 128.2 (C-arom), 126.4 (C-arom), 126.1 (C-arom), 122.9 (C-arom), 124.3 (C-arom), 104.3 (C-arom), 98.1 (C-1), 81.9 (C-2), 79.1 (C-5), 77.1 (C-3), 72.4 (C-4), 63.5 (C-6), 56.0 (OCH3).
2-Deoxy-2-[(E)-(4-methoxy-1-naphthylmethylene)amino]-α-d-glucopyranose (52). 1H NMR (400 MHz, pyridine-d5) δ 9.83 (1H, m, H-arom), 9.22 (1H, s, CH=N), 8.46 (2H, m, H-arom), 7.98 (1H, d, J 8.1 Hz, H-arom), 7.54 (3H, m, H-arom), 7.21 (3H, m, OH), 6.87 (1H, d, J 8.08 Hz, H-arom), 6.40 (1H, t, C6-OH), 5.90 (1H, t, J1,2JC1-OH 2.8 Hz, H-1), 5.21 (1H, t, J2,3J3,4 9.1 Hz, H-3), 5.05 (1H, ddd, J4,5 7.9 Hz, J5,6 5.4 Hz J5,6 2.7 Hz, H-5), 4.68 (1H, dd, J6,6′ 12.9 Hz, J5,6′ 1.4 Hz, H-6′), 4.56 (1H, dd, J6,6′ 11.3 Hz, J5,6 4.9 Hz, H-6), 4.48 (1H, t, J3,4J4,5 9.3 Hz, H-4), 3.96 (1H, dd, J1,2 3.4 Hz, J2,3 9.6 Hz, H-2), 3.83 (3H, s, OCH3); 13C{1H} NMR (100 MHz, DMSO-d6) δ 163.8 (N=C), 157.9 (C-arom), 133.3 (C-arom), 132.6 (C-arom), 128.2 (C-arom), 126.4 (C-arom), 126.1 (C-arom), 122.9 (C-arom), 124.3 (C-arom), 104.3 (C-arom), 95.6 (C-1), 79.0 (C-2), 74.6 (C-5), 73.4 (C-3), 73.2 (C-4), 63.8 (C-6), 56.0 (OCH3).
2-Deoxy-2-[(E)-(2-naphthylmethylene)amino]-β-d-glucopyranose (53). 1H NMR (400 MHz, pyridine-d5) δ 9.08 (1H, d, J 5.0 Hz, H-arom), 8.90 (1H, s, CH=N), 8.32 (1H, dd, J 9.7 Hz, J 1.0 Hz, H-arom), 8.12 (1H, s, H-arom), 7.89 (2H, s, H-arom), 7.50 (2H, m, H-arom), 7.34 (1H, sa, OH), 7.23 (2H, sa, OH), 6.78 (1H, sa, C6-OH), 5.86 (1H, t, J1,2 7.5 Hz, H-1), 4.70 (1H, d, J6,6′ 11.8 Hz, H-6), 4.64 (1H, t, J3,4 = J4,5 9.0 Hz, H-4), 4.50 (1H, dd, J6,OH 5.5 Hz, J6,6′ 11.6 Hz, H-6), 4.45 (1H, t, J2,3 = J3,4 9.1 Hz, H-3), 4.25 (1H, m, J4,5 8.8 Hz, J5,6 2.0 Hz, H-5), 3.96 (1H, t, J1,2J2,3 8.4 Hz, H-2).
2-Deoxy-2-[(E,E)-(4-nitrocinnamylidene)amino]-α-d-glucopyranose (106). 1H NMR (400 MHz, pyridine-d5) δ 8.50 (2H, d, J 8.7 Hz, H-arom), 8.46 (2H, d, J 8.7 Hz, H-arom), 7.59 (1H, d, J=CH-CH 8.7 Hz, N=CH-CH), 7.32 (1H, dd, J 8.7 Hz, JCH=CH 16.0 Hz, CH-CH=CH), 7.00 (1H, d, J 16.1 Hz, CH=CH-Ar), 6.41 (1H, t, JC6-OH 5.7 Hz, C6-OH), 5.83 (1H, t, J1–2 3.2 Hz, H-1), 4.67 (1H, d, J6–6′ 11.8 Hz, J5–6 2.3 Hz, H-6), 4.57 (1H, t, J2–3J3–4 8.8 Hz, H-3), 4.50 (1H, dd, J5–6 5.4 Hz, J6–6′ 11.1 Hz, H-6′), 4.41 (1H, t, J2–3J3–4 9.0 Hz, H-4), 4.20 (1H, ddd, J4–5 8.2 Hz, J5–6 5.6 Hz, J5–6′ 2.5 Hz, H-5), 3.85 (1H,dd, J1,2 3.3 Hz, J2,3 9.6 Hz, H-2).
2-Deoxy-2-[(E)-(2-naphthylmethylene)amino]-α-d-glucopyranose (54). 1H NMR (400 MHz, pyridine-d5) δ 8.87 (1H, s, CH=N), 8.51 (1H, d, J 3.2 Hz, H-arom), 8.34 (1H, d, J 9.6 Hz, H-arom), 8.19 (1H, s, H-arom), 7.88 (2H, m, H-arom), 7.50 (2H, m, arom), 7.26 (2H, sa, OH), 6.48 (1H, t, C6-OH), 5.88 (1H, t, H-1), 5.16 (1H, m, J3,4J2,3 9.9 Hz, H-3), 5.05 (1H, dddd, J5,6 2.3 Hz, J5,6′ 5.4 Hz, J4,5 7.5 Hz, H-5), 4.66 (1H,d, J6,6′ 10.3 Hz, H-6), 4.56 (1H, dd, J6,6′ 11.3 Hz, J5,6 4.5 Hz, H-6′), 4.47 (1H, t, J3,4J4,5 9.1 Hz, H-4), 4.00 (1H, t, J2,3 9.6 Hz, J1,2 3.2 Hz, H-2).

Supplementary Materials

The following supporting information can be downloaded at: https://www.mdpi.com/article/10.3390/molecules29174131/s1: IR, NMR spectra, and computational data mentioned through the entire manuscript.

Author Contributions

E.M.S.P. and E.M. performed most experiments and theoretical analyses. E.M. and J.C.P. conceived the conceptual ideas and manuscript outline. J.C.P. and P.C. drafted the manuscript. E.M., P.C. and J.C.P. reviewed and critically edited the final content. All authors have read and agreed to the published version of the manuscript.

Funding

We are thankful for the financial support from the Junta de Extremadura and Fondo Europeo de Desarrollo Regional (Grant GR21039).

Institutional Review Board Statement

Not applicable.

Data Availability Statement

All data can be obtained from the authors upon reasonable request. This manuscript is part of two Ph.D. theses, by two of us (E.M. and E.M.S.P.) under a Creative Commons Licence, which are available at https://dehesa.unex.es/handle/10662/5152 and https://dialnet.unirioja.es/servlet/tesis?codigo=565, respectively, from institutional repositories. (Accessed on 1 August 2024).

Acknowledgments

We gratefully acknowledge the Servicio de Apoyo a la Investigación (SAIUEX) at the University of Extremadura for analytical and spectroscopic resources, and the computational facilities at the LUSITANIA Supercomputing Centre supported by Cenits and Computaex Foundation. This manuscript is dedicated to the memory of María Dolores Méndez-Cordero. Special thanks go to Pablo Cintas-Feu for designing the TOC graphic artwork.

Conflicts of Interest

The authors declare no conflicts of interest.

References

  1. Lowry, T.H.; Richardson, K.S. Mechanism and Theory in Organic Chemistry, 3rd ed.; Harper & Row: New York, NY, USA, 1987; pp. 702–709. [Google Scholar]
  2. Ahuja, R.; Singhal, N.K.; Ramanujam, B.; Ravikumar, M.; Rao, C.P. Experimental and computational studies of the recognition of amino acids by galactosyl-imine and -amine derivatives: An attempt to understand the lectin−carbohydrate interactions. J. Org. Chem. 2007, 72, 3430–3442. [Google Scholar] [CrossRef] [PubMed]
  3. Mitra, A.; Chinta, J.P.; Rao, C.P. 1-(D-Glucopyranosyl-2′-deoxy-2′-iminomethyl)-2-hydroxybenzene as chemosensor for aromatic amino acids by switch-on fluorescence. Tetrahedron Lett. 2010, 51, 139–142. [Google Scholar] [CrossRef]
  4. Acharya, A.; Ramanujam, B.; Mitra, A.; Rao, C.P. Nanofibers formed through π···π stacking of the complexes of glucosyl-C2-salicyl-imine and phenylalanine: Characterization by microscopy, modeling by molecular mechanics, and interaction by α-helical and β-sheet proteins. ACS Nano 2010, 4, 4061–4073. [Google Scholar] [CrossRef]
  5. Singhal, N.K.; Ramanujam, B.; Mariappanadar, V.; Rao, C.P. Carbohydrate-based switch-on molecular sensor for Cu(II) in buffer: Absorption and fluorescence study of the selective recognition of Cu(II) ions by galactosyl derivatives in HEPES buffer. Org. Lett. 2006, 8, 3525–3528. [Google Scholar] [CrossRef]
  6. Singhal, N.K.; Mitra, A.; Rajsekhar, G.; Shaikh, M.M.; Kumar, M.; Guionneau, P.; Rao, C.P. Role of the orientation of -OH groups in the sensitivity and selectivity of the interaction of M2+ with ribosyl- and galactosyl-imino-conjugates. J. Chem. Soc. Dalton Trans. 2009, 8432–8442. [Google Scholar] [CrossRef] [PubMed]
  7. Kumar, A.; Singhal, N.K.; Ramanujam, B.; Mitra, A.; Rameshwaram, N.R.; Nadimpalli, S.K.; Rao, C.P. C(1)-/C(2)-aromatic-imino-glyco-conjugates: Experimental and computational studies of binding, inhibition and docking aspects towards glycosidases isolated from soybean and jack bean. Glycoconjugate J. 2009, 26, 495–510. [Google Scholar] [CrossRef] [PubMed]
  8. Irvine, J.C.; Hynd, A. VIII.—Synthetical aminoglucosides derived from d-glucosamine. J. Chem. Soc. Trans. 1913, 103, 41–56. [Google Scholar] [CrossRef]
  9. Irvine, J.C.; Earl, J.C. CCLXXXV.-Mutarotation and pseudo-mutarotation of glucosamine and its derivatives. J. Chem. Soc. Trans. 1922, 121, 2370–2376. [Google Scholar] [CrossRef]
  10. Irvine, J.C.; Earl, J.C. CCLXXXVI.-Salicylidene Derivatives of d-Glucosamine. J. Chem. Soc. 1922, 121, 2376–2381. [Google Scholar] [CrossRef][Green Version]
  11. Wacker, O.; Fritz, H. Zur Synthese von d-Glucopyrano-(cis-2′,1′-c)-1,2,3,4-tetrahydro-isochinolinen. Helv. Chim. Acta 1967, 50, 2481–2490. [Google Scholar] [CrossRef]
  12. Panov, V.P.; Trukhmanov, A.K.; Zhbankov, R.G. Anomeric effects in Schiff bases of d-glucosamine with aromatic aldehydes. J. Appl. Spectrosc. 1973, 19, 1666–1668. [Google Scholar] [CrossRef]
  13. Matamoros, E.; Perez, E.M.S.; Light, M.E.; Cintas, P.; Martinez, R.F.; Palacios, J.C. A True Reverse Anomeric Effect Does Exist After All: A Hydrogen Bonding Stereocontrolling Effect in 2-Iminoaldoses. J. Org. Chem. 2024, 89, 7877–7898. [Google Scholar] [CrossRef]
  14. Kuhn, R.; Kirschenlohr, W. 2-Amino-2-desoxy-zucker durch katalytische Halbhydrierung von Amino-, Arylamino- und Benzylamino-nitrilen; d- und l-Glucosamin. Aminozucker-synthesen II. Liebigs Ann. Chem. 1956, 600, 115–125. [Google Scholar] [CrossRef]
  15. Pérez, J.A.G.; Corraliza, R.M.P.; Galán, E.R.; Guillén, M.G. Síntesis de 2-amino-2-desoxi-heptosas por el método del aminonitrilo. An. Quim. 1979, 75, 387–391. [Google Scholar]
  16. Galbis Pérez, J.A.; Areces Bravo, P.; Pizarro Galan, A.M. 2-Amino-2-deoxy-d-glycero-α-l-gluco-heptose hydrochloride: Structural study by 1H-n.m.r. spectroscopy. Carbohydr. Res. 1983, 118, 280–285. [Google Scholar] [CrossRef]
  17. Ávalos, M.; Babiano, R.; Cintas, P.; Jiménez, J.L.; Palacios, J.C.; Fuentes, J. Synthesis of acylated thioureylenedisaccharides. J. Chem. Soc. Perkin Trans. 1 1990, 495–501. [Google Scholar] [CrossRef]
  18. Fujii, S.; Kikuchi, R.; Kushida, H. Formation of Fructosazine. J. Org. Chem. 1966, 31, 2239–2241. [Google Scholar] [CrossRef]
  19. Morgan, W.T.J. Isolierung von d-Galaktose und l-Rhamnose aus dem Hydrolysat des spezifischen Polysaccharids von Bact. dysenteriae (Shiga). Helv. Chim. Acta 1938, 21, 469–477. [Google Scholar] [CrossRef]
  20. Jolles, Z.E.; Morgan, W.T.J. The isolation of small quantities of glucosamine and chondrosamine. Biochem. J. 1940, 34, 1183–1190. [Google Scholar] [CrossRef]
  21. Bock, K.; Pedersen, C. A study of 13CH coupling constants in hexopyranoses. J. Chem. Soc. Perkin Trans. 2 1974, 293–297. [Google Scholar] [CrossRef]
  22. Bock, K.; Pedersen, C. Carbon-13 nuclear magnetic resonance spectroscopy of monosaccharides. Adv. Carbohydr. Chem. Biochem. 1983, 41, 27–66. [Google Scholar]
  23. Bock, K.; Lundt, I.; Pedersen, C. Assignment of anomeric structure to carbohydrates through geminal 13C-H coupling constants. Tetrahedron Lett. 1973, 1037–1040. [Google Scholar] [CrossRef]
  24. Bock, K.; Pedersen, C. A study of 13C-H coupling constants in pentopyranoses and some of their derivatives. Acta Chim. Scand. 1975, 29B, 258–262. [Google Scholar] [CrossRef]
  25. Tvaroska, I.; Taravel, F.R. Carbon-proton coupling constants in the conformational analysis of sugar molecules. Adv. Carbohydr. Chem. Biochem. 1995, 51, 15–61. [Google Scholar] [PubMed]
  26. Bergmann, M.; Zervas, L. Synthesen mit Glucosamin. Berichte Dtsch. Chem. Ges. 1931, 64, 975–980. [Google Scholar] [CrossRef]
  27. Gómez Sánchez, A.; Gómez Guillén, M.; Scheidegger, U. Reactions of 2-amino-2-deoxy-d-glucose with benzoylacetaldehyde and 1-phenyl-1,3-butanedione. Carbohydr. Res. 1967, 3, 486–501. [Google Scholar] [CrossRef]
  28. Micheel, F.; Van de Kamp, F.-P.; Wulff, H. Über die Struktur der Acetobromverbindungen des Glucosamins. Chem. Ber. 1955, 88, 2011–2019. [Google Scholar] [CrossRef]
  29. Inouye, Y.; Onodera, K.; Kitaoka, S.; Ochiai, H. An acyl migration in acetohalogenoglucosamines. J. Am. Chem. Soc. 1957, 79, 4218–4222. [Google Scholar] [CrossRef]
  30. Jones, P.G.; Kirby, A.J.; Komarov, I.V.; Wothers, P.D. A test for the reverse anomeric effect. J. Chem. Soc. Chem. Commun. 1998, 1695–1696. [Google Scholar] [CrossRef]
  31. Pigman, W.; Anet, E.F.L.J. Mutarotations and Actions of Acids and Bases. In The Carbohydrates; Pigman, W., Horton, D., Eds.; Academic Press: New York, NY, USA, 1972; Volume IA, p. 165. [Google Scholar]
  32. Fülöp, F.; Pihlaja, K.; Neuvonen, K.; Bernáth, G.; Argay, G.; Kálmán, A. Ring-chain tautomerism in oxazolidines. J. Org. Chem. 1993, 58, 1967–1969. [Google Scholar] [CrossRef]
  33. Neuvonen, K.; Fülöp, F.; Neuvonen, H.; Koch, A.; Kleinpeter, E.; Pihlaja, K. Substituent influences on the stability of the ring and chain tautomers in 1,3-O,N-heterocyclic systems: Characterization by 13C NMR chemical shifts, PM3 charge densities, and isodesmic reactions. J. Org. Chem. 2001, 66, 4132–4140. [Google Scholar] [CrossRef]
  34. Maireanu, C.; Darabantu, M.; Plé, G.; Berghian, C.; Condamine, E.; Ramondenc, Y.; Silaghi-Dumitrescu, I.; Mager, S. Ring-chain tautomerism and other versatile behaviour of 1,4-diimino- and 1,2-phenylene derivatives of some C-substituted serinols. Tetrahedron 2002, 58, 2681–2693. [Google Scholar] [CrossRef]
  35. Ávalos, M.; Babiano, R.; Cintas, P.; Jiménez, J.L.; Light, M.E.; Palacios, J.C.; Pérez, E.M.S. Chiral N-acyloxazolidines: Synthesis, structure and mechanistic insights. J. Org. Chem. 2008, 73, 661–672. [Google Scholar] [CrossRef] [PubMed]
  36. Martínez, R.F.; Ávalos, M.; Babiano, R.; Cintas, P.; Jiménez, J.L.; Light, M.E.; Palacios, J.C.; Pérez, E.M.S. An efficient and highly diastereoselective synthesis of C-glycosylated 1,3-oxazolidines from N-methyl-d-glucamine. Tetrahedron 2008, 64, 6377–6386. [Google Scholar] [CrossRef]
  37. Matamoros, E.; Cintas, P.; Palacios, J.C. Amphipathic 1,3-oxazolidines from N-alkyl glucamines and benzaldehydes: Stereochemical and mechanistic studies. New J. Chem. 2021, 45, 4365–4386. [Google Scholar] [CrossRef]
  38. Stoddart, J.F. Stereochemistry of Carbohydrates; John Wiley & Sons, Inc.: New York, NY, USA, 1971; Chapter 4. [Google Scholar]
  39. Rao, V.S.R.; Qasba, P.K.; Balaji, P.V.; Chandrasekaran, R. Conformation of Carbohydrates; CRC Press, Inc.: Boca Raton, FL, USA, 1998. [Google Scholar]
  40. Neuhaus, D.; Williamson, M.P. The Nuclear Overhauser Effect in Structural and Conformational Analysis, 2nd ed.; John Wiley & Sons, Inc.: New York, NY, USA, 2000. [Google Scholar]
  41. Gil, R.R.; Navarro-Vázquez, A. Application of the nuclear Overhauser effect to the structural elucidation of natural products. In Modern NMR Approaches to the Structure Elucidation of Natural Products: Volume 2: Data Acquisition and Applications to Compound Classes; Williams, A., Martin, G., Rovnyak, D., Eds.; Royal Society of Chemistry: Cambridge, UK, 2016; pp. 1–38. [Google Scholar]
  42. McLean, A.D.; Chandler, G.S. Contracted Gaussian basis sets for molecular calculations. I. Second row atoms, Z = 11–18. J. Chem. Phys. 1980, 72, 5639–5648. [Google Scholar] [CrossRef]
  43. Krishnan, R.; Binkley, J.S.; Seeger, R.; Pople, J.A. Self-consistent molecular orbital methods. XX. A basis set for correlated wave functions. J. Chem. Phys. 1980, 72, 650–654. [Google Scholar] [CrossRef]
  44. Weigend, F.; Ahlrichs, R. Balanced basis sets of split valence, triple zeta valence and quadruple zeta valence quality for H to Rn: Design and assessment of accuracy. Phys. Chem. Chem. Phys. 2005, 7, 3297–3305. [Google Scholar] [CrossRef]
  45. Becke, A.D. Density-functional thermochemistry. III. The role of exact exchange. J. Chem. Phys. 1993, 98, 5648–5652. [Google Scholar] [CrossRef]
  46. Lee, C.; Yang, W.; Parr, R.G. Development of the Colle-Salvetti correlation-energy formula into a functional of the electron density. Phys. Rev. B 1988, 37, 785–789. [Google Scholar] [CrossRef]
  47. Zhao, Y.; Truhlar, D.G. The M06 suite of density functionals for main group thermochemistry, thermochemical kinetics, noncovalent interactions, excited states, and transition elements: Two new functionals and systematic testing of four M06-class functionals and 12 other functionals. Theor. Chem. Acc. 2008, 120, 215–241. [Google Scholar]
  48. Csonka, G.I.; French, A.D.; Johnson, G.P.; Stortz, C.A. Evaluation of density functionals and basis sets for carbohydrates. J. Chem. Theory Comput. 2009, 5, 679–692. [Google Scholar] [CrossRef]
  49. St. John, P.C.; Kim, Y.; Kim, S.; Paton, R.S. Prediction of organic homolytic bond dissociation enthalpies and near chemical accuracy with sub-second computational cost. Nat. Commun. 2020, 11, 2328. [Google Scholar] [CrossRef]
  50. Turner, J.A.; Adrianov, T.; Zakaria, M.A.; Taylor, M.S. Effects of configuration and substitution on C−H bond dissociation enthalpies in carbohydrate derivatives: A systematic computational study. J. Org. Chem. 2022, 87, 1421–1433. [Google Scholar] [CrossRef]
  51. Marenich, A.V.; Cramer, C.J.; Truhlar, D.G. Universal solvation model based on solute electron density and on a continuum model of the solvent defined by the bulk dielectric constant and atomic surface tensions. J. Phys. Chem. B 2009, 113, 6378–6396. [Google Scholar] [CrossRef] [PubMed]
  52. De la Concepción, J.G.; Martínez, R.F.; Cintas, P.; Babiano, R. Mutarotation of aldoses: Getting a deeper knowledge of a classic equilibrium enabled by computational analyses. Carbohydr. Res. 2020, 490, 107964. [Google Scholar] [CrossRef] [PubMed]
  53. Tvaroska, I.; Bleha, T. Anomeric and exo-anomeric effects in carbohydrate chemistry. Adv. Carbohydr. Chem. Biochem. 1989, 47, 45–123. [Google Scholar]
  54. Kirby, A.J. The Anomeric Effect and Related Stereoelectronic Effects at Oxygen; Springer: Berlin, Germany, 1983. [Google Scholar]
  55. Deslongchamps, P. Stereoelectronic Effects in Organic Chemistry; Pergamon Press: New York, NY, USA, 1983. [Google Scholar]
  56. American Chemical Society. Anomeric Effect: Origin and Consequences; ACS Symposium Series No. 87; Szarek, W.A., Horton, D., Eds.; American Chemical Society: Washington, DC, USA, 1979. [Google Scholar]
  57. Juaristi, E.; Cuevas, G. Recent studies of the anomeric effect. Tetrahedron 1992, 48, 5019–5087. [Google Scholar] [CrossRef]
  58. Juaristi, E.; Cuevas, G. The Anomeric Effect; CRC Press: Boca Raton, FL, USA, 1994. [Google Scholar]
  59. American Chemical Society. The Anomeric Effect and Associated Stereoelectronic Effects; ACS Symposium Series No. 539; Thatcher, G.R.J., Ed.; American Chemical Society: Washington, DC, USA, 1993. [Google Scholar]
  60. Eliel, E.L.; Wilen, S.H. Stereochemistry of Organic Compounds; Wiley-Interscience: New York, NY, USA, 1994; pp. 611–613, 749–752. [Google Scholar]
  61. Wolfe, S.; Rauk, A.; Tel, L.M.; Csizmadia, I.G. A theoretical study of the Edward–Lemieux effect (the anomeric effect). The stereochemical requirements of adjacent electron pairs and polar bonds. J. Chem. Soc. B 1971, 136–145. [Google Scholar] [CrossRef]
  62. Wolfe, S. Gauche effect. Stereochemical consequences of adjacent electron pairs and polar bonds. Acc. Chem. Res. 1972, 5, 102–111. [Google Scholar] [CrossRef]
  63. Juaristi, E. The attractive and repulsive gauche effects. J. Chem. Educ. 1979, 56, 438. [Google Scholar] [CrossRef]
  64. Martinez, K.; Cortes, F.; Leal, I.; Reyna, V.; Quintana, D.; Antúnez, S.; Cuevas, G. Toward the origin of the conformational preference of 2-methoxyoxane, a model useful to study the anomeric effect. ARKIVOC 2003, xi, 132–148. [Google Scholar] [CrossRef]
  65. Dabbagh, H.A.; Naderi, M.; Chermahini, A.N. Linear free energy relationship for the anomeric effect: MP2, DFT and ab initio study of 2-substituted-1,4-dioxanes. Carbohydr. Res. 2011, 346, 1047–1056. [Google Scholar] [CrossRef]
  66. Wang, C.; Chen, Z.; Wu, W.; Mo, Y. How the generalized anomeric effect influences the conformational preference. Chem. Eur. J. 2013, 19, 1436–1444. [Google Scholar] [CrossRef] [PubMed]
  67. Wang, C.; Ying, F.; Wu, W.; Mo, Y. How solvent influences the anomeric effect: Roles of hyperconjugative versus steric interactions on the conformational preference. J. Org. Chem. 2014, 79, 1571–1581. [Google Scholar] [CrossRef] [PubMed]
  68. Mo, Y. Computational evidence that hyperconjugative interactions are not responsible for the anomeric effect. Nat. Chem. 2010, 2, 666–671. [Google Scholar] [CrossRef]
  69. Wang, C.; Ying, F.; Wu, W.; Mo, Y. Sensing or no sensing: Can the anomeric effect be probed by a sensing molecule? J. Am. Chem. Soc. 2011, 133, 13731–13736. [Google Scholar] [CrossRef]
  70. Wiberg, K.B.; Bailey, W.F.; Lambert, K.M.; Stempel, Z.D. The anomeric effect: It’s complicated. J. Org. Chem. 2018, 83, 5242–5255. [Google Scholar] [CrossRef]
  71. Durette, P.L.; Horton, D. Conformational analysis of sugars and their derivatives. Adv. Carbohydr. Chem. 1971, 26, 49–125. [Google Scholar]
  72. Anet, F.A.L. The use of remote deuteration for the determination of coupling constants and conformational equilibria in cyclohexane derivatives. J. Am. Chem. Soc. 1962, 84, 1053–1054. [Google Scholar] [CrossRef]
  73. Franck, R.W. A revision of the value of the anomeric effect. Tetrahedron 1983, 39, 3251–3252. [Google Scholar] [CrossRef]
  74. Glendening, E.D.; Landis, C.R.; Weinhold, F. NBO 6.0: Natural bond orbital analysis program. J. Comput. Chem. 2013, 34, 1429–1437. [Google Scholar] [CrossRef] [PubMed]
  75. Musin, R.N.; Mariam, Y.H. An integrated approach to the study of intramolecular hydrogen bonds in malonaldehyde enol derivatives and naphthazarin: Trend in energetic versus geometrical consequences. J. Phys. Org. Chem. 2006, 19, 425–444. [Google Scholar] [CrossRef]
  76. Gómez-Sánchez, A.; Gómez, M.; Cert, A.; Scheidegger, U. Reacción de aminoazúcares con etoximetilenmalonato de dietilo. Anal. Quím. 1968, 64B, 579–590. [Google Scholar]
  77. Neuberger, A. CLXXXIX. Carbohydrates in protein: The carbohydrate component of crystalline egg albumin. Biochem J. 1938, 32, 1435–1451. [Google Scholar] [CrossRef]
  78. Samoshin, V.V.; Chertkov, V.A.; Gremyachinskiy, D.E.; Dobretsova, E.K.; Shestakova, A.K.; Vatlina, L.P. trans-2-Aminocyclohexanols as pH-triggers for conformationally controlled crowns and podands. Tetrahedron Lett. 2004, 45, 7823–7826. [Google Scholar] [CrossRef]
  79. Samoshin, V.V.; Brazdova, B.; Chertkov, V.A.; Gremyachinskiy, D.E.; Shestakova, A.K.; Dobretsova, E.K.; Vatlina, L.P.; Yuan, J.; Schneider, H.-J. trans-2-Aminocyclohexanols as pH-triggered molecular switches. ARKIVOC 2005, iv, 129–141. [Google Scholar] [CrossRef]
  80. Brazdova, B.; Zhang, N.; Samoshin, V.V.; Guo, X. Trans-2-Aminocyclohexanol as a pH-sensitive conformational switch in lipid amphiphiles. Chem. Commun. 2008, 4774–4776. [Google Scholar] [CrossRef]
  81. Samoshina, N.M.; Liu, X.; Brazdova, B.; Franz, A.H.; Samoshin, V.V.; Guo, X. Fliposomes: pH-sensitive liposomes containing a trans-2-morpholinocyclohexanol-based lipid that performs a conformational flip and triggers an instant cargo release in acidic medium. Pharmaceutics 2011, 3, 379–405. [Google Scholar] [CrossRef]
  82. Liu, X.; Zheng, Y.; Samoshina, N.M.; Franz, A.H.; Guo, X.; Samoshin, V.V. Fliposomes: pH triggered conformational flip of new trans-2-aminocyclohexanol-based amphiphiles causes instant cargo release in liposomes. J. Liposome Res. 2012, 22, 319–328. [Google Scholar] [CrossRef]
  83. Zheng, Y.; Liu, X.; Samoshina, N.M.; Chertkov, V.A.; Franz, A.H.; Guo, X.; Samoshin, V.V. Fliposomes: pH-controlled release from liposomes containing new trans-2-morpholinocyclohexanol-based amphiphiles that perform a conformational flip and trigger an instant cargo release upon acidification. Nat. Prod. Commun. 2012, 7, 353–358. [Google Scholar] [CrossRef] [PubMed]
  84. Zheng, Y.; Liu, X.; Samoshina, N.M.; Samoshin, V.V.; Franz, A.H.; Guo, X. Trans-2-Aminocyclohexanol-based amphiphiles as highly efficient helper lipids for gene delivery by lipoplexes. Biochim. Biophys. Acta 2015, 1848, 3113–3125. [Google Scholar] [CrossRef]
  85. Samoshin, V.V. Fliposomes: Stimuli-triggered conformational flip of novel amphiphiles causes an instant cargo release from liposomes. BioMol. Concepts 2014, 5, 131–141. [Google Scholar] [CrossRef] [PubMed]
  86. Fuentes, J.; Olano, D.; Gash, C.; Pradera, M.A. Stereocontrolled preparation of 2-,3- and 4-isothiocyanato aldopyranose derivatives. Tetrahedron Asymmetry 2000, 11, 2471–2478. [Google Scholar] [CrossRef]
  87. Kuhn, R.; Bister, W. Aminozucker-Synthesen VIII. N-Substituierte d- und l-Glucosamine. Justus Liebigs Ann. Chem. 1957, 602, 217–227. [Google Scholar] [CrossRef]
  88. Stoffyn, P.J.; Jeanloz, R.W. 6-O-Methyl-d-galactosamine Hydrochloride (2-Amino-2-deoxy-6-O-methyl-d-galactose Hydrochloride). J. Am. Chem. Soc. 1958, 80, 5690–5692. [Google Scholar] [CrossRef]
  89. Angelino, N.J.; Bernacki, R.J.; Sharma, M.; Dodson-Simmons, O.; Korytnyk, W. Versatile intermediates in the selective modification of the amino function of 2-amino-2-deoxy-d-mannopyranose and the 3-position of 2-acetamido-2-deoxy-d-mannose: Potential membrane modifiers in neoplastic control. Carbohydr. Res. 1995, 276, 99–115. [Google Scholar] [CrossRef]
  90. Hall, C.R.; Inch, T.D.; Pottage, C.; Williams, N.E.; Campbell, M.M.; Kerr, P.F. Use of carbohydrate derivatives for studies of phosphorus stereochemistry. Part 8. Preparation and some reactions of 1,3,2-oxazaphospholidine-2-ones and -2-thiones derived from 2-deoxy-3,4,6-tri-O-methyl-2-methylamino-d-glucopyranose. J. Chem. Soc. Perkin 1 1983, 1967–1975. [Google Scholar] [CrossRef]
  91. Angyal, S.J. The Composition of Reducing Sugars in Solution. Adv. Carbohydr. Chem. Biochem. 1984, 49, 15–68. [Google Scholar]
  92. Angyal, S.J. The Composition of Reducing Sugars in Solution: Current Aspects. Adv. Carbohydr. Chem. Biochem. 1991, 49, 19–35. [Google Scholar]
  93. Frisch, M.J.; Trucks, G.W.; Schlegel, H.B.; Scuseria, G.E.; Robb, M.A.; Cheeseman, J.R.; Scalmani, G.; Barone, V.; Mennucci, B.; Petersson, G.A.; et al. Gaussian 09; Revision A.1; Gaussian, Inc.: Wallingford, CT, USA, 2009. [Google Scholar]
Chart 1. Structures of compounds 16.
Chart 1. Structures of compounds 16.
Molecules 29 04131 ch001
Scheme 1. Reverse anomeric effect in 2-arylimino aldoses.
Scheme 1. Reverse anomeric effect in 2-arylimino aldoses.
Molecules 29 04131 sch001
Chart 2. Aldehydes used in the preparation of imines.
Chart 2. Aldehydes used in the preparation of imines.
Molecules 29 04131 ch002
Chart 3. Imines from 2 and 6 with substituted benzaldehydes.
Chart 3. Imines from 2 and 6 with substituted benzaldehydes.
Molecules 29 04131 ch003
Scheme 2. Generation of substituted pyrazines from 6 under basic conditions.
Scheme 2. Generation of substituted pyrazines from 6 under basic conditions.
Molecules 29 04131 sch002
Chart 4. Imines synthetized from cinnamylidene aldehydes.
Chart 4. Imines synthetized from cinnamylidene aldehydes.
Molecules 29 04131 ch004
Chart 5. Imines derived from polynuclear arylaldehydes.
Chart 5. Imines derived from polynuclear arylaldehydes.
Molecules 29 04131 ch005
Scheme 3. Formation of α and β-anomers of arylimines from 2.
Scheme 3. Formation of α and β-anomers of arylimines from 2.
Molecules 29 04131 sch003
Chart 6. Per-O-acetyl imines from benzaldehydes and cinnamaldehydes.
Chart 6. Per-O-acetyl imines from benzaldehydes and cinnamaldehydes.
Molecules 29 04131 ch006
Chart 7. Per-O-acetyl imines from polynuclear aryl aldehydes.
Chart 7. Per-O-acetyl imines from polynuclear aryl aldehydes.
Molecules 29 04131 ch007
Scheme 4. Partial anomerization during acetylation of imines.
Scheme 4. Partial anomerization during acetylation of imines.
Molecules 29 04131 sch004
Chart 8. Structures of compounds 8588.
Chart 8. Structures of compounds 8588.
Molecules 29 04131 ch008
Chart 9. Structures of compounds 8992.
Chart 9. Structures of compounds 8992.
Molecules 29 04131 ch009
Scheme 5. Anomeric equilibrium in imines derived from 6.
Scheme 5. Anomeric equilibrium in imines derived from 6.
Molecules 29 04131 sch005
Chart 10. Anomers of imines 3041.
Chart 10. Anomers of imines 3041.
Molecules 29 04131 ch010
Chart 11. Axial anomers of imines 4558.
Chart 11. Axial anomers of imines 4558.
Molecules 29 04131 ch011
Figure 1. Evolution of 54 in DMSO-d6 solution.
Figure 1. Evolution of 54 in DMSO-d6 solution.
Molecules 29 04131 g001
Figure 2. Preferred conformations in solution for imines derived from 2 and 6.
Figure 2. Preferred conformations in solution for imines derived from 2 and 6.
Molecules 29 04131 g002
Figure 3. NOE effects measured for imines 69 and 82.
Figure 3. NOE effects measured for imines 69 and 82.
Molecules 29 04131 g003
Figure 4. Conformational arrangements of benzylidene, naphthalene, phenantrene, and cinnamylidene derivatives (R=H or Ac).
Figure 4. Conformational arrangements of benzylidene, naphthalene, phenantrene, and cinnamylidene derivatives (R=H or Ac).
Molecules 29 04131 g004
Figure 5. Conformational arrangements of anthracene derivatives, around the dihedral angle θN=C-C1-C2.
Figure 5. Conformational arrangements of anthracene derivatives, around the dihedral angle θN=C-C1-C2.
Molecules 29 04131 g005
Figure 6. Conformational profiles of the aryl moiety of 56 and 112 at the M06-2X/6-311G(d,p) level.
Figure 6. Conformational profiles of the aryl moiety of 56 and 112 at the M06-2X/6-311G(d,p) level.
Molecules 29 04131 g006
Figure 7. Optimized structures for the two conformational minima of 56 at the M06-2X/6-311G(d,p) level.
Figure 7. Optimized structures for the two conformational minima of 56 at the M06-2X/6-311G(d,p) level.
Molecules 29 04131 g007
Figure 8. Stable arrangements of hydroxyl groups in structures 30 and 93 at the M06-2X/6-311G(d,p) level.
Figure 8. Stable arrangements of hydroxyl groups in structures 30 and 93 at the M06-2X/6-311G(d,p) level.
Molecules 29 04131 g008
Scheme 6. Acyclic and cyclic structures considered in mutarotational equilibria.
Scheme 6. Acyclic and cyclic structures considered in mutarotational equilibria.
Molecules 29 04131 sch006
Chart 12. Axial and pseudo-equatorial orientations of the N-H bond in 117 and 118.
Chart 12. Axial and pseudo-equatorial orientations of the N-H bond in 117 and 118.
Molecules 29 04131 ch012
Figure 9. Optimized structures of 30, 93 and 117120 computed at the M06-2X/6-311G(d,p) level.
Figure 9. Optimized structures of 30, 93 and 117120 computed at the M06-2X/6-311G(d,p) level.
Molecules 29 04131 g009
Chart 13. Structures of compounds 121 and 122.
Chart 13. Structures of compounds 121 and 122.
Molecules 29 04131 ch013
Figure 10. Optimized calculated structures of some representative α-anomers at the M06-2X/def2-TZVP.
Figure 10. Optimized calculated structures of some representative α-anomers at the M06-2X/def2-TZVP.
Molecules 29 04131 g010
Figure 11. Optimized calculated structures of some representative β-anomers at the M06-2X/def2-TZVP.
Figure 11. Optimized calculated structures of some representative β-anomers at the M06-2X/def2-TZVP.
Molecules 29 04131 g011
Figure 12. Numbering used in the NBO analysis of both anomers of some representative imines.
Figure 12. Numbering used in the NBO analysis of both anomers of some representative imines.
Molecules 29 04131 g012
Scheme 7. Anomer equilibration in heptose enamino derivatives 123 and 124.
Scheme 7. Anomer equilibration in heptose enamino derivatives 123 and 124.
Molecules 29 04131 sch007
Chart 14. Compounds showing attenuated RAE or completely lacking the effect.
Chart 14. Compounds showing attenuated RAE or completely lacking the effect.
Molecules 29 04131 ch014
Scheme 8. Elimination of RAE by protonation.
Scheme 8. Elimination of RAE by protonation.
Molecules 29 04131 sch008
Scheme 9. Ring inversion in aminocyclohexanols through protonation.
Scheme 9. Ring inversion in aminocyclohexanols through protonation.
Molecules 29 04131 sch009
Chart 15. Known d-mannosamine Schiff bases.
Chart 15. Known d-mannosamine Schiff bases.
Molecules 29 04131 ch015
Scheme 10. RAE in unprotected pentoses at equilibrium.
Scheme 10. RAE in unprotected pentoses at equilibrium.
Molecules 29 04131 sch010
Chart 16. Hexose and 2-aminohexose derivatives exhibiting potential RAE.
Chart 16. Hexose and 2-aminohexose derivatives exhibiting potential RAE.
Molecules 29 04131 ch016
Table 1. Temporal percentage variation in β-anomers a.
Table 1. Temporal percentage variation in β-anomers a.
SolventCompoundInitial b2 d10 d15 dEquilibrium
DMSO-d6527.317.250.165.183.6
5413.820.334.044.881.4
57100.010094.792.184.4
Pyridine-d551100.087.884.2---84.2
5215.773.485.381.488.5
5419.069.878.285.584.1
a At room temperature. b Just dissolved.
Table 2. Relative energy minima found for 56 and 112 a.
Table 2. Relative energy minima found for 56 and 112 a.
Gas Phase bDMSO bGas Phase cDMSO c
ΔEΔGθN=C-C1-C2ΔEΔGθN=C-C1-C2ΔEΔGθN=C-C1-C2ΔEΔGθN=C-C1-C2
56Min10.000.0050.60.000.0056.30.000.0052.30.000.0052.6
Min20.500.90126.01.180.57127.50.721.17122.11.120.80123.3
112Min10.000.0043.90.000.0045.70.000.0046.00.000.0049.2
Min20.620.87141.80.35-0.17137.90.570.60140.40.430.02136.4
a In kcal/mol. b M06-2X/6-311G(d,p). c M06-2X/def2-TZVP.
Table 3. Relative energies (kcal/mol) for species involved in mutarotational equilibria of imines 30 and 93 a.
Table 3. Relative energies (kcal/mol) for species involved in mutarotational equilibria of imines 30 and 93 a.
3093115116117e b117a c118e b118a c119e b119a c120e b120a c
Gas phaseΔE0.001.2213.5612.418.517.5110.087.24−2.163.66−2.172.45
ΔG0.000.219.817.9611.289.6711.799.280.345.320.964.63
DMSOΔE0.000.9913.0011.878.006.227.856.44−1.521.38−1.412.48
ΔG0.000.3610.438.9210.758.9210.428.670.894.091.954.64
a M06-2X/6-311G(d,p). b Equatorial NH. c Axial NH.
Table 4. Anomeric stabilization (kcal/mol) of imines from 2 and substituted benzaldehydes a.
Table 4. Anomeric stabilization (kcal/mol) of imines from 2 and substituted benzaldehydes a.
Compound
30313233343536
α b11.218.910.711.912.312.412.1
β b88.881.189.388.187.787.687.9
ΔG°an−1.24−0.87−1.27−1.20−1.18−1.17−1.19
Ean c0.010.38−0.020.050.070.080.06
EanTHP0.691.060.660.730.750.760.74
ΔG°rae1.310.941.341.271.251.241.26
a In DMSO-d6. b In %. c Anomeric stabilization referred to cyclohexanol.
Table 5. Anomeric stabilization (kcal/mol) of imines from 6 and substituted benzaldehydes a.
Table 5. Anomeric stabilization (kcal/mol) of imines from 6 and substituted benzaldehydes a.
Compound
3738394041
α b13.112.310.813.110.3
β b86.987.789.286.989.7
ΔG°an−1.13−1.18−1.26−1.13−1.3
Ean c0.110.07−0.020.11−0.1
EanTHP0.790.750.660.790.6
ΔG°rae1.211.251.301.211.4
a In DMSO-d6. b In %. c Anomeric stabilization referred to cyclohexanol.
Table 6. Anomeric stabilization (kcal/mol) of imines derived from cinnamylidene aldehydes a.
Table 6. Anomeric stabilization (kcal/mol) of imines derived from cinnamylidene aldehydes a.
Compound
454646 c474849
α b11.415.213.17.59.812.7
β b88.684.886.992.591.287.3
ΔG°an−1.23−1.03−1.14−1.51−1.34−1.16
Ean d0.020.220.11−0.26−0.090.09
ΔG°rae1.301.101.211.581.411.23
a In DMSO-d6. b In %. c In pyridine. d Anomeric stabilization referred to cyclohexanol.
Table 7. Anomeric stabilization (kcal/mol) of imines derived from polynuclear aromatic aldehydes a.
Table 7. Anomeric stabilization (kcal/mol) of imines derived from polynuclear aromatic aldehydes a.
Compound
505151 c5353 c555757 c58
α b28.617.616.411.715.210.315.611.410.7
β b71.482.483.688.384.889.784.488.689.3
ΔG°an−0.55−0.93−0.98−1.21−1.03−1.30−1.01−1.23−1.27
Ean d0.700.320.270.040.22−0.050.240.02−0.02
ΔG°rae0.621.001.051.281.101.371.081.301.34
a In DMSO-d6. b In %. c In pyridine. d Anomeric stabilization referred to cyclohexanol.
Table 8. Calculated stability of imine anomers derived from 2 a,b.
Table 8. Calculated stability of imine anomers derived from 2 a,b.
Gas PhaseDMSO
CompoundAnomerΔEΔGΔEΔG[β] c
30α0.000.000.000.0063.0
93β0.58−0.300.16−0.32
105α0.000.000.000.0082.0
45β0.890.150.33−0.91
110α0.000.000.000.0076.9
50β0.59−0.290.15−0.72
110bα−0.340.12−0.040.3173.4
50bβ0.07−0.360.22−0.30
54α0.000.000.000.0073.1
53β0.58−0.010.14−0.36
54bα0.980.790.951.6576.3
53bβ1.630.811.130.95
111α0.33−0.50−0.010.6685.0
55β1.12−0.040.23−0.38
111bα0.000.000.000.0065.3 d
55bβ0.37−0.110.200.66
112α0.000.000.000.0063.4
56β0.57−0.280.09−0.33
a In kcal/mol. b M06-2X/def2-TZVP. c In %. d Percentage of β-anomer (111b against 55).
Table 9. Calculated stability of hydrated imine anomers with five molecules of water a,b.
Table 9. Calculated stability of hydrated imine anomers with five molecules of water a,b.
Gas Phase bDMSO b Water b
ΔEΔGΔEΔG[β] cΔEΔG[β] c
30.5H2Oα−2.41−0.700.111.1787.51.851.8895.8
93.5H2Oβ0.000.000.000.000.000.00
105.5H2Oα−1.86−0.230.382.0796.91.563.1599.5
45.5H2Oβ0.000.000.000.000.000.00
111.5H2Oα−2.24−1.49−1.030.9282.21.112.4398.3
55.5H2Oβ0.000.000.000.000.000.00
112.5H2Oα−2.150.39−0.203.0499.41.000.9683.2
56.5H2Oβ0.000.000.000.000.000.00
a In kcal/mol. b M06-2X/def2-TZVP. c In %.
Table 10. Calculated geometrical parameters for intramolecular H-bonds in compounds 30, 54, 105, 110, 111 and 112 a.
Table 10. Calculated geometrical parameters for intramolecular H-bonds in compounds 30, 54, 105, 110, 111 and 112 a.
D-H···Ad(D-H) bd(H···A) bd(D···A) b<(DHA) cEHB d,e
30Gas phaseO-H···N0.96632.20582.7577115.06−6.46
DMSOO-H···N0.96882.16182.7347116.47−7.10
105Gas phaseO-H···N0.96682.20972.7595114.87−6.42
DMSOO-H···N0.96852.17242.7431116.34−6.86
110Gas phaseO-H···N0.96662.21402.7598114.59−6.40
DMSOO-H···N0.96892.15662.7306116.52−7.22
110bGas phaseO-H···N0.96592.23622.7699113.74−6.14
DMSOO-H···N0.96852.18642.7499115.80−6.67
54Gas phaseO-H···N0.96642.21342.7621114.82−6.34
DMSOO-H···N0.96892.16162.7354166.54−7.08
54bGas phaseO-H···N0.96632.21152.7626115.01−6.33
DMSOO-H···N0.96882.15722.7329116.68−7.16
111Gas phaseO-H···N0.96592.23102.7673113.92−6.21
DMSOO-H···N0.96872.17302.7406116.08−6.93
111bGas phaseO-H···N0.96672.19642.7554115.58−6.52
DMSOO-H···N0.96882.15342.7298116.72−7.25
112Gas phaseO-H···N0.96682.21622.7561114.09−6.50
DMSOO-H···N0.96912.16352.7339116.25−7.13
a M06-2X/def2-TZVP. b In Å. c In degrees. d In kcal/mol. e Equation (9). Reference [75].
Table 11. Anomeric composition (%) at equilibrium for imines and enamines derived from compounds 2 and 6 a.
Table 11. Anomeric composition (%) at equilibrium for imines and enamines derived from compounds 2 and 6 a.
Compound
Anomer123125126127 b128 b133 b134 b
α84.785.070.033.784.875.071.0
β15.315.030.066.315.225.029.0
ΔG°1.01.00.5−0.41.00.70.5
Ean2.32.31.80.82.31.91.8
ΔG°rae−1.0−1.0−0.40.5−1.0−0.6−0.5
a In D2O. b In DMSO-d6.
Table 12. Anomeric composition (%) at equilibrium for aldoses and 2-aminoaldoses a.
Table 12. Anomeric composition (%) at equilibrium for aldoses and 2-aminoaldoses a.
Compound
Anomer2 a2 b6121 a121 b139140 a141 a142143
α63.387.083.048.852.936.339.090.047.631.0
β36.713.017.051.247.163.761.010.052.469.0
ΔG°0.31.10.90.00.1−0.3−0.31.3−0.1−0.5
Ean1.62.42.21.21.30.91.02.61.20.8
ΔG°rae−0.3−1.1−0.90.10.00.40.3−1.20.10.6
a In D2O. b In DMSO-d6.
Disclaimer/Publisher’s Note: The statements, opinions and data contained in all publications are solely those of the individual author(s) and contributor(s) and not of MDPI and/or the editor(s). MDPI and/or the editor(s) disclaim responsibility for any injury to people or property resulting from any ideas, methods, instructions or products referred to in the content.

Share and Cite

MDPI and ACS Style

Pérez, E.M.S.; Matamoros, E.; Cintas, P.; Palacios, J.C. Exploring and Re-Assessing Reverse Anomeric Effect in 2-Iminoaldoses Derived from Mono- and Polynuclear Aromatic Aldehydes. Molecules 2024, 29, 4131. https://doi.org/10.3390/molecules29174131

AMA Style

Pérez EMS, Matamoros E, Cintas P, Palacios JC. Exploring and Re-Assessing Reverse Anomeric Effect in 2-Iminoaldoses Derived from Mono- and Polynuclear Aromatic Aldehydes. Molecules. 2024; 29(17):4131. https://doi.org/10.3390/molecules29174131

Chicago/Turabian Style

Pérez, Esther M. S., Esther Matamoros, Pedro Cintas, and Juan C. Palacios. 2024. "Exploring and Re-Assessing Reverse Anomeric Effect in 2-Iminoaldoses Derived from Mono- and Polynuclear Aromatic Aldehydes" Molecules 29, no. 17: 4131. https://doi.org/10.3390/molecules29174131

APA Style

Pérez, E. M. S., Matamoros, E., Cintas, P., & Palacios, J. C. (2024). Exploring and Re-Assessing Reverse Anomeric Effect in 2-Iminoaldoses Derived from Mono- and Polynuclear Aromatic Aldehydes. Molecules, 29(17), 4131. https://doi.org/10.3390/molecules29174131

Article Metrics

Back to TopTop