Structure–Glass Transition Relationships in Non-Isocyanate Polyhydroxyurethanes
Abstract
1. Introduction
2. Results
2.1. Structure—Hydrogen Bonding
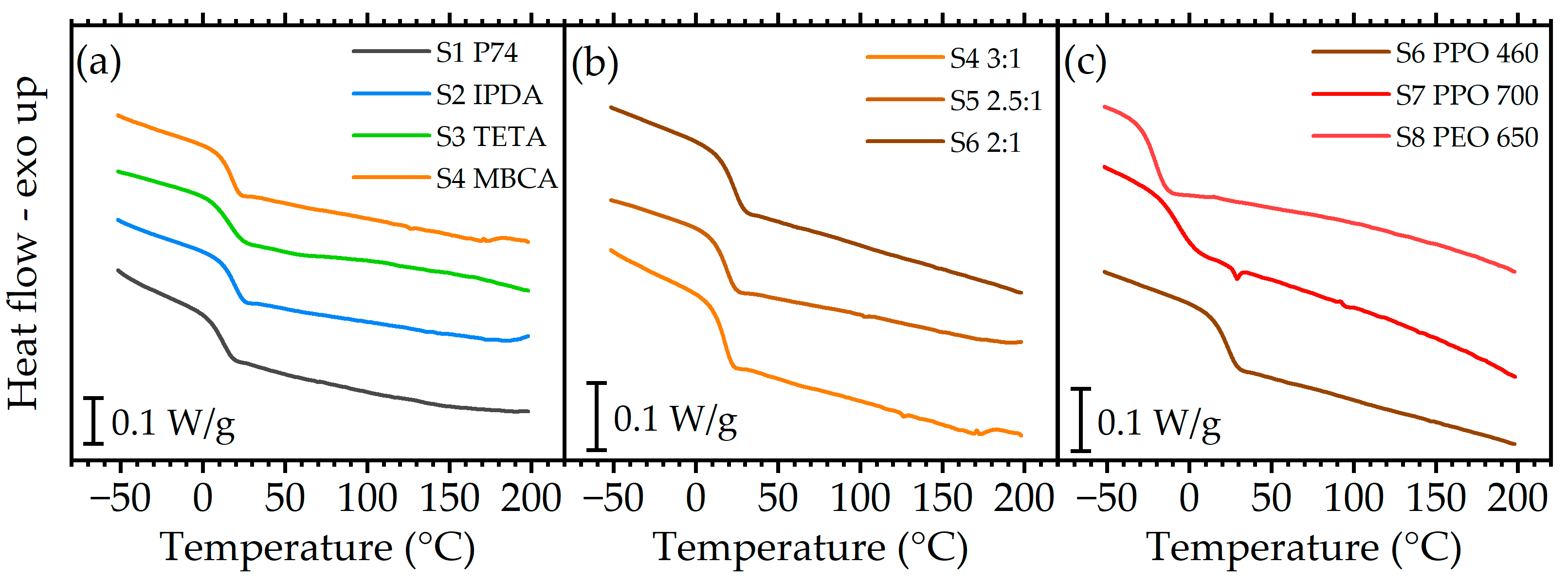
2.2. Thermal Glass Transition
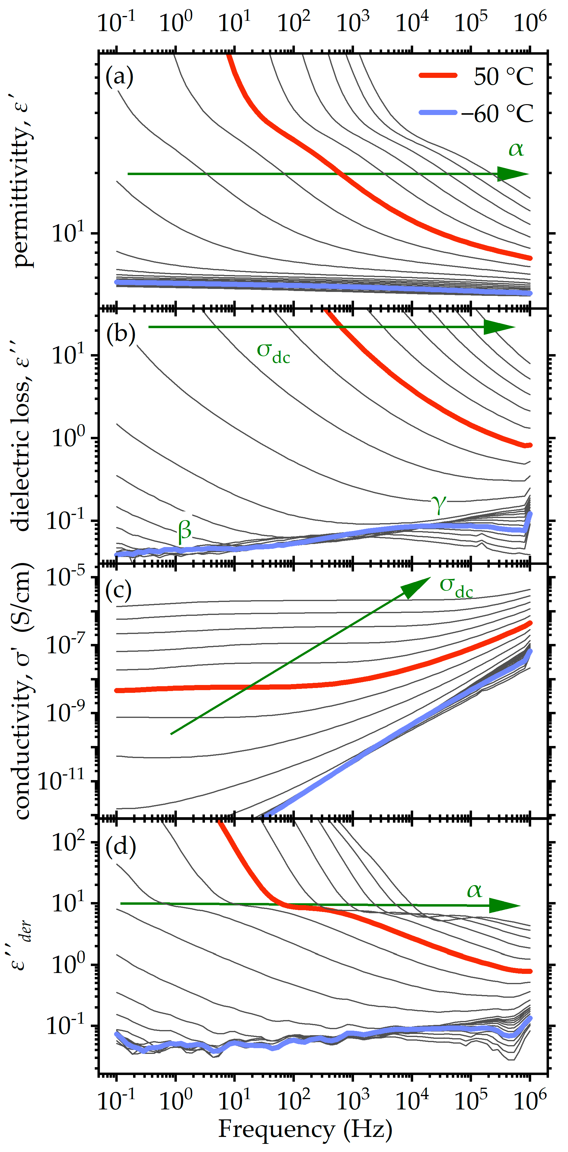
2.3. Overview of Dielectric Spectra

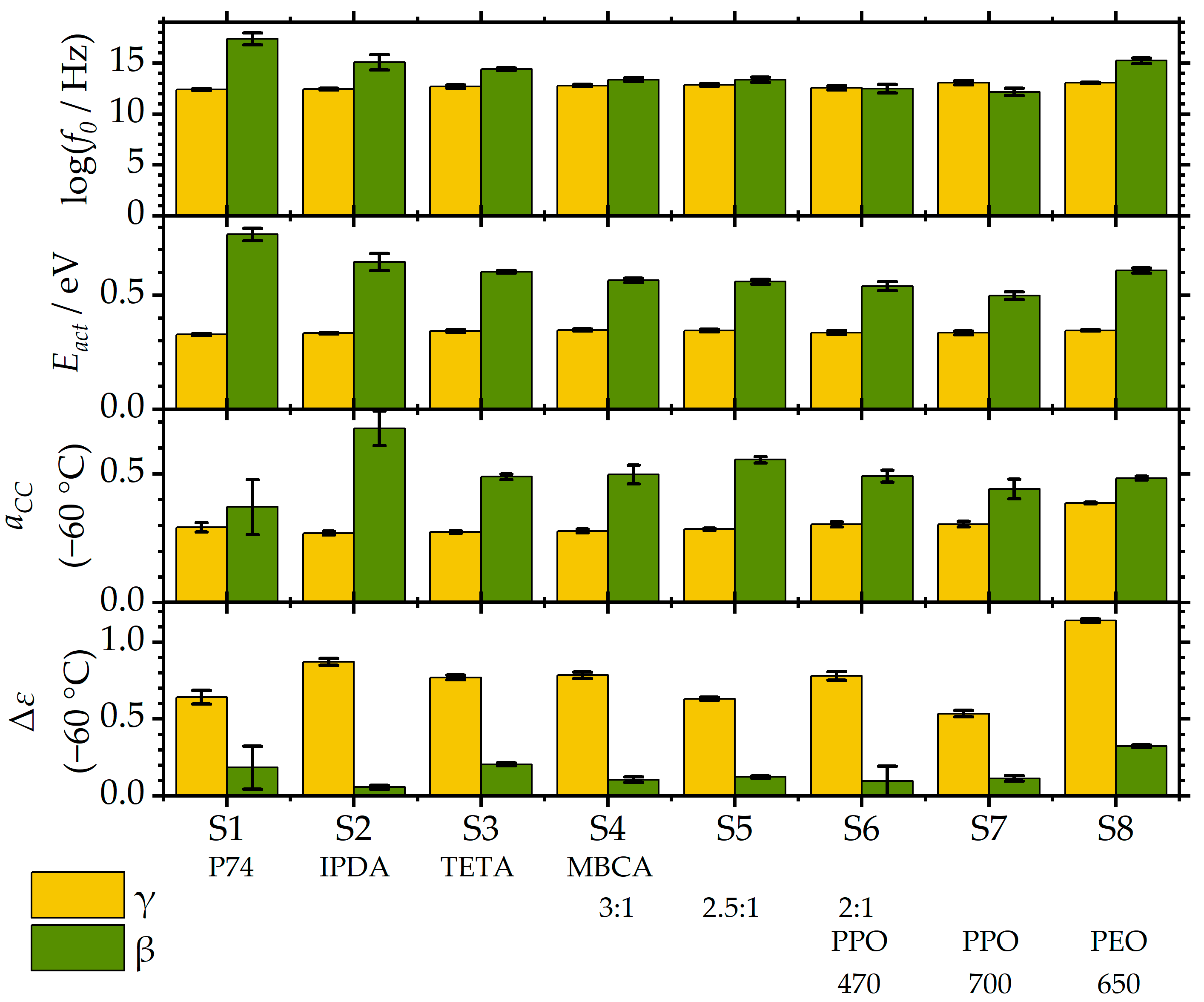
2.4. Local Mobility—β and γ Relaxations
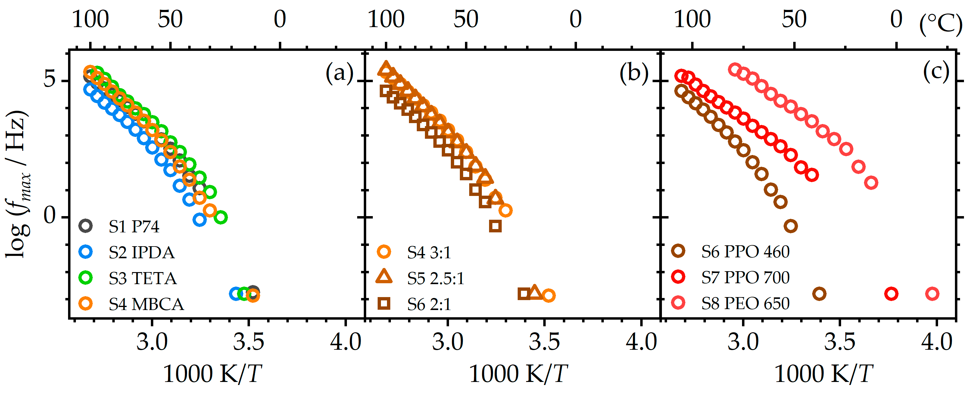
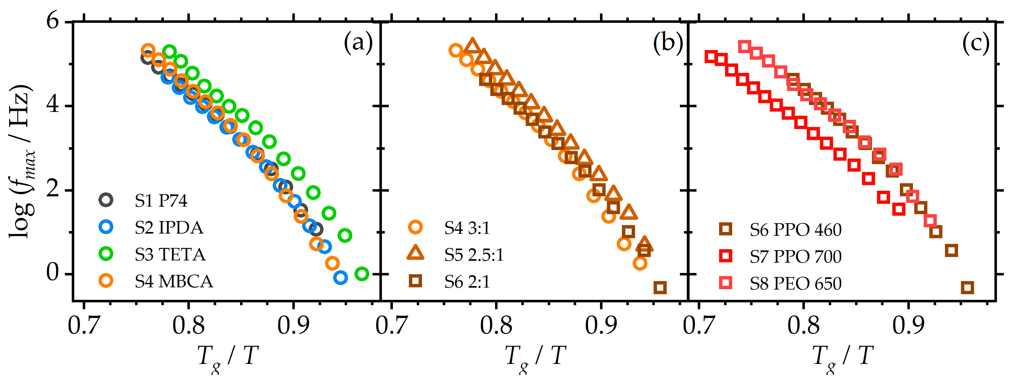
2.5. Dynamic Glass Transition—α Relaxation
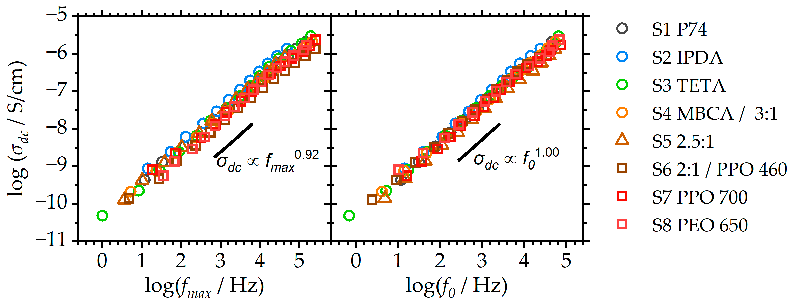
2.6. dc Conductivity Coupling with Molecular Mobility
3. Discussion
4. Materials and Methods
4.1. Materials
4.2. Synthesis
4.3. Fourier Transform Infrared Spectroscopy (FTIR)
4.4. Differential Scanning Calorimetry (DSC)
4.5. Broadband Dielectric Spectroscopy (BDS)
5. Conclusions
Author Contributions
Funding
Institutional Review Board Statement
Informed Consent Statement
Data Availability Statement
Acknowledgments
Conflicts of Interest
References
- Prisacariu, C. Polyurethane Elastomers: From Morphology to Mechanical Aspects; Springer: Vienna, Austria, 2011; ISBN 978-3-7091-0513-9. [Google Scholar]
- Das, A.; Mahanwar, P. A Brief Discussion on Advances in Polyurethane Applications. Adv. Ind. Eng. Polym. Res. 2020, 3, 93–101. [Google Scholar] [CrossRef]
- Munn, A. Hazards of Isocyanates. Ann. Occup. Hyg. 1965, 8, 163–169. [Google Scholar] [CrossRef]
- Kathalewar, M.S.; Joshi, P.B.; Sabnis, A.S.; Malshe, V.C. Non-Isocyanate Polyurethanes: From Chemistry to Applications. RSC Adv. 2013, 3, 4110–4129. [Google Scholar] [CrossRef]
- Rayung, M.; Ghani, N.A.; Hasanudin, N. A Review on Vegetable Oil-Based Non Isocyanate Polyurethane: Towards a Greener and Sustainable Production Route. RSC Adv. 2024, 14, 9273–9299. [Google Scholar] [CrossRef] [PubMed]
- Chattopadhyay, D.K.; Webster, D.C. Thermal Stability and Flame Retardancy of Polyurethanes. Prog. Polym. Sci. 2009, 34, 1068–1133. [Google Scholar] [CrossRef]
- Willocq, B.; Odent, J.; Dubois, P.; Raquez, J.-M. Advances in Intrinsic Self-Healing Polyurethanes and Related Composites. RSC Adv. 2020, 10, 13766–13782. [Google Scholar] [CrossRef] [PubMed]
- Gomez-Lopez, A.; Panchireddy, S.; Grignard, B.; Calvo, I.; Jerome, C.; Detrembleur, C.; Sardon, H. Poly(Hydroxyurethane) Adhesives and Coatings: State-of-the-Art and Future Directions. ACS Sustain. Chem. Eng. 2021, 9, 9541–9562. [Google Scholar] [CrossRef]
- Guan, J.; Song, Y.; Lin, Y.; Yin, X.; Zuo, M.; Zhao, Y.; Tao, X.; Zheng, Q. Progress in Study of Non-Isocyanate Polyurethane. Ind. Eng. Chem. Res. 2011, 50, 6517–6527. [Google Scholar] [CrossRef]
- Gomez-Lopez, A.; Elizalde, F.; Calvo, I.; Sardon, H. Trends in Non-Isocyanate Polyurethane (NIPU) Development. Chem. Commun. 2021, 57, 12254–12265. [Google Scholar] [CrossRef]
- Rokicki, G.; Parzuchowski, P.G.; Mazurek, M. Non-Isocyanate Polyurethanes: Synthesis, Properties, and Applications. Polym. Adv. Technol. 2015, 26, 707–761. [Google Scholar] [CrossRef]
- Suryawanshi, Y.; Sanap, P.; Wani, V. Advances in the Synthesis of Non-Isocyanate Polyurethanes. Polym. Bull. 2019, 76, 3233–3246. [Google Scholar] [CrossRef]
- Kotanen, S.; Wirtanen, T.; Mahlberg, R.; Anghelescu-Hakala, A.; Harjunalanen, T.; Willberg-Keyrilainen, P.; Laaksonen, T.; Sarlin, E. Cyclic Carbonates as Building Blocks for Non-Isocyanate Polyurethanes. J. Appl. Polym. Sci. 2023, 140, e53964. [Google Scholar] [CrossRef]
- Cornille, A.; Auvergne, R.; Figovsky, O.; Boutevin, B.; Caillol, S. A Perspective Approach to Sustainable Routes for Non-Isocyanate Polyurethanes. Eur. Polym. J. 2017, 87, 535–552. [Google Scholar] [CrossRef]
- Carré, C.; Ecochard, Y.; Caillol, S.; Avérous, L. From the Synthesis of Biobased Cyclic Carbonate to Polyhydroxyurethanes: A Promising Route towards Renewable Non-Isocyanate Polyurethanes. ChemSusChem 2019, 12, 3410–3430. [Google Scholar] [CrossRef]
- Błażek, K.; Datta, J. Renewable Natural Resources as Green Alternative Substrates to Obtain Bio-Based Non-Isocyanate Polyurethanes-Review. Crit. Rev. Environ. Sci. Technol. 2019, 49, 173–211. [Google Scholar] [CrossRef]
- Maisonneuve, L.; Lamarzelle, O.; Rix, E.; Grau, E.; Cramail, H. Isocyanate-Free Routes to Polyurethanes and Poly(Hydroxy Urethane)s. Chem. Rev. 2015, 115, 12407–12439. [Google Scholar] [CrossRef]
- Koberstein, J.T.; Russell, T.P. Simultaneous SAXS-DSC Study of Multiple Endothermic Behavior in Polyether-Based Polyurethane Block Copolymers. Macromolecules 1986, 19, 714–720. [Google Scholar] [CrossRef]
- Koberstein, J.T.; Galambos, A.F. Multiple Melting in Segmented Polyurethane Block Copolymers. Macromolecules 1992, 25, 5618–5624. [Google Scholar] [CrossRef]
- Leung, L.M.; Koberstein, J.T. DSC Annealing Study of Microphase Separation and Multiple Endothermic Behavior in Polyether-Based Polyurethane Block Copolymers. Macromolecules 1986, 19, 706–713. [Google Scholar] [CrossRef]
- Koberstein, J.T.; Stein, R.S. Small-Angle X-ray Scattering Studies of Microdomain Structure in Segmented Polyurethane Elastomers. J. Polym. Sci. Polym. Phys. Ed. 1983, 21, 1439–1472. [Google Scholar] [CrossRef]
- Leung, L.M.; Koberstein, J.T. Small-Angle Scattering Analysis of Hard-Microdomain Structure and Microphase Mixing in Polyurethane Elastomers. J. Polym. Sci. Polym. Phys. Ed. 1985, 23, 1883–1913. [Google Scholar] [CrossRef]
- Koberstein, J.T.; Leung, L.M. Compression-Molded Polyurethane Block Copolymers. 2. Evaluation of Microphase Compositions. Macromolecules 1992, 25, 6205–6213. [Google Scholar] [CrossRef]
- Koberstein, J.T.; Gancarz, I.; Clarke, T.C. The Effects of Morphological Transitions on Hydrogen Bonding in Polyurethanes: Preliminary Results of Simultaneous DSC–FTIR Experiments. J. Polym. Sci. B Polym. Phys. 1986, 24, 2487–2498. [Google Scholar] [CrossRef]
- Koberstein, J.T.; Galambos, A.F.; Leung, L.M. Compression-Molded Polyurethane Block Copolymers. 1. Microdomain Morphology and Thermomechanical Properties. Macromolecules 1992, 25, 6195–6204. [Google Scholar] [CrossRef]
- Tao, H.; Meuse, C.W.; Yang, X.; Macknight, W.J.; Hsu, S.L. A Spectroscopic Analysis of Phase Separation Behavior of Polyurethane in Restricted Geometry: Chain Rigidity Effects. Macromolecules 2000, 27, 7146–7151. [Google Scholar] [CrossRef][Green Version]
- Kripotou, S.; Pissis, P.; Savelyev, Y.; Robota, L.; Travinskaya, T. Polymer Dynamics in Polyurethane/Clay Nanocomposites Studied by Dielectric and Thermal Techniques. J. Macromol. Sci. Part B 2010, 49, 86–110. [Google Scholar] [CrossRef]
- Hernandez, R.; Weksler, J.; Padsalgikar, A.; Runt, J. Microstructural Organization of Three-Phase Polydimethylsiloxane-Based Segmented Polyurethanes. Macromolecules 2007, 40, 5441–5449. [Google Scholar] [CrossRef]
- Pongkitwitoon, S.; Hernández, R.; Weksler, J.; Padsalgikar, A.; Choi, T.; Runt, J. Temperature Dependent Microphase Mixing of Model Polyurethanes with Different Intersegment Compatibilities. Polymer 2009, 50, 6305–6311. [Google Scholar] [CrossRef]
- Fragiadakis, D.; Runt, J. Molecular Dynamics of Segmented Polyurethane Copolymers: Influence of Soft Segment Composition. Macromolecules 2013, 46, 4184–4190. [Google Scholar] [CrossRef]
- Fragiadakis, D.; Dou, S.; Colby, R.H.; Runt, J. Molecular Mobility, Ion Mobility, and Mobile Ion Concentration in Poly (Ethylene Oxide)-Based Polyurethane Ionomers. Macromolecules 2008, 41, 5723–5728. [Google Scholar] [CrossRef]
- Łukaszewska, I.; Bukowczan, A.; Raftopoulos, K.N.; Pielichowski, K. Examining the Water–Polymer Interactions in Non-Isocyanate Polyurethane/Polyhedral Oligomeric Silsesquioxane Hybrid Hydrogels. Polymers 2023, 16, 57. [Google Scholar] [CrossRef]
- Łukaszewska, I.; Bukowczan, A.; Raftopoulos, K.N.; Pielichowski, K. Water-Polymer Interactions and Mechanisms of Water-Driven Glass Transition Decrease in Non-Isocyanate Polyhydroxyurethanes with Varying Hydration Sites. Polymer 2024, 302, 127060. [Google Scholar] [CrossRef]
- Raftopoulos, K.N.; Łukaszewska, I.; Bujalance Calduch, C.; Stachak, P.; Lalik, S.; Hebda, E.; Marzec, M.; Pielichowski, K. Hydration and Glass Transition of Hybrid Non-Isocyanate Polyurethanes with POSS Inclusions. Polymer 2022, 253, 125010. [Google Scholar] [CrossRef]
- Vallance, M.; Yeung, A.S.; Cooper, S.L. A Dielectric Study of the Glass Transition Region in Segmented Polyether-Urethane Copolymers. Colloid Polym. Sci. 1983, 261, 541–554. [Google Scholar] [CrossRef]
- He, Y.; Zhang, X.; Runt, J. The Role of Diisocyanate Structure on Microphase Separation of Solution Polymerized Polyureas. Polymer 2014, 55, 906–913. [Google Scholar] [CrossRef]
- Pangon, A.; Dillon, G.P.; Runt, J. Influence of Mixed Soft Segments on Microphase Separation of Polyurea Elastomers. Polymer 2014, 55, 1837–1844. [Google Scholar] [CrossRef]
- Fragiadakis, D.; Dou, S.; Colby, R.H.; Runt, J. Molecular Mobility and Li (+) Conduction in Polyester Copolymer Ionomers Based on Poly(Ethylene Oxide). J. Chem. Phys. 2009, 130, 64907. [Google Scholar] [CrossRef]
- Castagna, A.M.; Fragiadakis, D.; Lee, H.; Choi, T.; Runt, J. The Role of Hard Segment Content on the Molecular Dynamics of Poly(Tetramethylene Oxide)-Based Polyurethane Copolymers. Macromolecules 2011, 44, 7831–7836. [Google Scholar] [CrossRef]
- Vatalis, A.S.; Kanapitsas, A.; Delides, C.G.; Viras, K.; Pissis, P. Phase Behavior and Molecular Mobility in Polyurethane/Styrene–Acrylonitrile Blends. J. Appl. Polym. Sci. 2001, 80, 1071–1084. [Google Scholar] [CrossRef]
- Koutsoumpis, S.; Raftopoulos, K.N.; Oguz, O.; Papadakis, C.M.; Menceloglu, Y.Z.; Pissis, P. Dynamic Glass Transition of the Rigid Amorphous Fraction in Polyurethane-Urea/SiO2 Nanocomposites. Soft Matter 2017, 13, 4580–4590. [Google Scholar] [CrossRef]
- Raftopoulos, K.N.; Janowski, B.; Apekis, L.; Pissis, P.; Pielichowski, K. Polyurethane- POSS Organic-Inorganic Hybrid Materials. The Effect of Soft Segment Length and Nanoparticle Content on the Molecular Dynamics. Mod. Polym. Mater. Environ. Appl. 2010, 4, 81–90. [Google Scholar]
- Raftopoulos, K.N.; Jancia, M.; Aravopoulou, D.; Hebda, E.; Pielichowski, K.; Pissis, P. POSS along the Hard Segments of Polyurethane. Phase Separation and Molecular Dynamics. Macromolecules 2013, 46, 7378–7386. [Google Scholar] [CrossRef]
- Savelyev, Y.V.; Akhranovich, E.R.; Grekov, A.P.; Privalko, E.G.; Korskanov, V.V.; Shtompel, V.I.; Privalko, V.P.; Pissis, P.; Kanapitsas, A. Influence of Chain Extenders and Chain End Groups on Properties of Segmented Polyurethanes. II. Dielectric Study. Polymer 1998, 39, 3425–3429. [Google Scholar] [CrossRef]
- Kanapitsas, A.; Pissis, P. Dielectric Relaxation Spectroscopy in Crosslinked Polyurethanes Based on Polymer Polyols. Eur. Polym. J. 2000, 36, 1241–1250. [Google Scholar] [CrossRef]
- Georgoussis, G.; Kyritsis, A.; Pissis, P.; Savelyev, Y.u.V.; Akhranovich, E.R.; Privalko, E.G.; Privalko, V.P. Dielectric Studies of Molecular Mobility and Microphase Separation in Segmented Polyurethanes. Eur. Polym. J. 1999, 35, 2007–2017. [Google Scholar] [CrossRef]
- Georgoussis, G.; Kanapitsas, A.; Pissis, P.; Savelyev, Y.V.; Veselov, V.Y.; Privalko, E.G. Structure-Property Relationships in Segmented Polyurethanes with Metal Chelates in the Main Chain. Eur. Polym. J. 2000, 36, 1113–1126. [Google Scholar] [CrossRef]
- Raftopoulos, K.N.; Janowski, B.; Apekis, L.; Pielichowski, K.; Pissis, P. Molecular Mobility and Crystallinity in Polytetramethylene Ether Glycol in the Bulk and as Soft Component in Polyurethanes. Eur. Polym. J. 2011, 47, 2120–2133. [Google Scholar] [CrossRef]
- Pissis, P.; Apekis, L.; Christodoulides, C.; Niaounakis, M.; Kyritsis, A.; Nedbal, J. Water effects in polyurethane block copolymers. J. Polym. Sci. Part B Polym. Phys. 1996, 34, 1529–1539. [Google Scholar] [CrossRef]
- Apekis, L.; Pissis, P.; Christodoulides, C.; Spathis, G.; Niaounakis, M.; Kontou, E.; Schlosser, E.; Schönhals, A.; Goering, H. Physical and Chemical Network Effects in Polyurethane Elastomers. In Physics of Polymer Networks; Wartewig, S., Helmis, G., Eds.; Springer: Berlin/Heidelberg, Germany, 1992; Volume 90, pp. 144–150. [Google Scholar]
- Kanapitsas, A.; Pissis, P.; Gomez Ribelles, J.L.; Monleon Pradas, M.; Privalko, E.G.; Privalko, V.P. Molecular Mobility and Hydration Properties of Segmented Polyurethanes with Varying Structure of Soft- and Hard-Chain Segments. J. Appl. Polym. Sci. 1999, 71, 1209–1221. [Google Scholar] [CrossRef]
- Kanapitsas, A.; Pissis, P. Molecular Mobility and Hydration Properties in Polyurethane and Styrene-Acrylonitrile Blends. In Proceedings of the 10th International Symposium on Electrets (ISE 10), Athens, Greece, 22–24 September 1999; pp. 485–488. [Google Scholar] [CrossRef]
- Kanapitsas, A.; Lebedev, E.; Slisenko, O.; Grigoryeva, O.; Pissis, P. Thermoplastic Apparent Interpenetrating Polymer Networks of Polyurethane and Styrene/Acrylic Acid Block Copolymer: Structure–Property Relationships. J. Appl. Polym. Sci. 2006, 101, 1021–1035. [Google Scholar] [CrossRef]
- Fox, T. Influence of Diluent and of Copolymer Composition on the Glass Temperature of a Polymer System. Bull. Am. Phys. Soc. 1956, 1, 123–132. [Google Scholar]
- Couchman, P.R.; Karasz, F.E. A Classical Thermodynamic Discussion of the Effect of Composition on Glass-Transition Temperatures. Macromolecules 1978, 11, 117–119. [Google Scholar] [CrossRef]
- Gordon, M.; Taylor, J.S. Ideal Copolymers and the Second-Order Transitions of Synthetic Rubbers. i. Non-Crystalline Copolymers. J. Appl. Chem. 1952, 2, 493–500. [Google Scholar] [CrossRef]
- Łukaszewska, I.; Lalik, S.; Bukowczan, A.; Marzec, M.; Pielichowski, K.; Raftopoulos, K.N. Tailoring the Physical Properties of Non-Isocyanate Polyurethanes by Introducing Secondary Amino Groups along Their Main Chain. J. Mol. Liq. 2023, 391, 123263. [Google Scholar] [CrossRef]
- Łukaszewska, I.; Bukowczan, A.; Raftopoulos, K.N.; Pielichowski, K. ‘Spider-like’ POSS in NIPU Webs: Enhanced Thermal Stability and Unique Swelling Behavior. J. Polym. Res. 2023, 30, 456. [Google Scholar] [CrossRef]
- Branca, C.; D’Angelo, G.; Crupi, C.; Khouzami, K.; Rifici, S.; Ruello, G.; Wanderlingh, U. Role of the OH and NH Vibrational Groups in Polysaccharide-Nanocomposite Interactions: A FTIR-ATR Study on Chitosan and Chitosan/Clay Films. Polymer 2016, 99, 614–622. [Google Scholar] [CrossRef]
- Romanova, V.; Begishev, V.; Karmanov, V.; Kondyurin, A.; Maitz, M.F. Fourier Transform Raman and Fourier Transform Infrared Spectra of Cross-linked Polyurethaneurea Films Synthesized from Solutions. J. Raman Spectrosc. 2002, 33, 769–777. [Google Scholar] [CrossRef]
- Schneider, B.; Štokr, J.; Schmidt, P.; Mihailov, M.; Dirlikov, S.; Peeva, N. Stretching and Deformation Vibrations of CH2, C(CH3) and O(CH3) Groups of Poly (Methyl Methacrylate). Polymer 1979, 20, 705–712. [Google Scholar] [CrossRef]
- Rehman, A.; Resul, M.F.M.G.; Eze, V.C.; Harvey, A. A Kinetic Study of Zn Halide/TBAB-Catalysed Fixation of CO2 with Styrene Oxide in Propylene Carbonate. Green Process. Synth. 2019, 8, 719–729. [Google Scholar] [CrossRef]
- Shen, Z.; Zheng, L.; Li, C.; Liu, G.; Xiao, Y.; Wu, S.; Liu, J.; Zhang, B. A Comparison of Non-Isocyanate and HDI-Based Poly (Ether Urethane): Structure and Properties. Polymer 2019, 175, 186–194. [Google Scholar] [CrossRef]
- Ishihara, H.; Kimura, I.; Saito, K.; Ono, H. Infrared Studies on Segmented Polyurethane-Urea Elastomers. J. Macromol. Sci. Part B 1974, 10, 591–618. [Google Scholar] [CrossRef]
- Zhang, Z.P.; Rong, M.Z.; Zhang, M.Q.; Yuan, C. Alkoxyamine with Reduced Homolysis Temperature and Its Application in Repeated Autonomous Self-Healing of Stiff Polymers. Polym. Chem. 2013, 4, 4648. [Google Scholar] [CrossRef]
- Koutsoumpis, S.; Ozimek, J.; Raftopoulos, K.N.; Hebda, E.; Klonos, P.; Papadakis, C.M.; Pielichowski, K.; Pissis, P. Polyurethanes with POSS Pendent on Flexible Hard Segments: Morphology and Glass Transition. Polymer 2018, 147, 225–236. [Google Scholar] [CrossRef]
- Bukowczan, A.; Hebda, E.; Czajkowski, M.; Pielichowski, K. The Synthesis and Properties of Liquid Crystalline Polyurethanes, Chemically Modified by Polyhedral Oligomericsilsesquioxanes. Molecules 2019, 24, 4013. [Google Scholar] [CrossRef]
- Mao, H.I.; Chen, C.W.; Yan, H.C.; Rwei, S.P. Synthesis and Characteristics of Nonisocyanate Polyurethane Composed of Bio-Based Dimer Diamine for Supercritical CO2 Foaming Applications. J. Appl. Polym. Sci. 2022, 139, e52841. [Google Scholar] [CrossRef]
- Breul, K.; Seiffert, S. Amphiphilic Poly (Ether Urethanes) Carrying Associative Terpyridine Side Groups with Controlled Spacing. Polym. Chem. 2021, 12, 2305–2316. [Google Scholar] [CrossRef]
- Jiang, K.; Chen, W.; Liu, X.; Wang, Y.; Han, D.; Zhang, Q. Effect of Bio-Based Polyols and Chain Extender on the Microphase Separation Structure, Mechanical Properties and Morphology of Rigid Polyurethane Foams. Eur. Polym. J. 2022, 179, 111572. [Google Scholar] [CrossRef]
- Eom, Y.; Kim, S.M.; Lee, M.; Jeon, H.; Park, J.; Lee, E.S.; Hwang, S.Y.; Park, J.; Oh, D.X. Mechano-Responsive Hydrogen-Bonding Array of Thermoplastic Polyurethane Elastomer Captures Both Strength and Self-Healing. Nat. Commun. 2021, 12, 1–11. [Google Scholar] [CrossRef]
- Zeng, Y.; Chen, Y.; Sha, D.; Wu, Y.; Qiu, R.; Liu, W. Highly Stretchable Fatty Acid Chain-Dangled Thermoplastic Polyurethane Elastomers Enabled by H-Bonds and Molecular Chain Entanglements. ACS Sustain. Chem. Eng. 2022, 10, 11524–11532. [Google Scholar] [CrossRef]
- Johari, G.P.; Hallbrucker, A.; Mayer, E. Calorimetric Relaxation and Glass Transition in Poly (Propylene Glycols) and Its Monomer. J. Polym. Sci. Part B Polym. Phys. 1988, 26, 1923–1930. [Google Scholar] [CrossRef]
- Vrandečić, N.S.; Erceg, M.; Jakić, M.; Klarić, I. Kinetic Analysis of Thermal Degradation of Poly (Ethylene Glycol) and Poly (Ethylene Oxide)s of Different Molecular Weight. Thermochim. Acta 2010, 498, 71–80. [Google Scholar] [CrossRef]
- Raftopoulos, K.N.; Pandis, C.h.; Apekis, L.; Pissis, P.; Janowski, B.; Pielichowski, K.; Jaczewska, J. Polyurethane–POSS Hybrids: Molecular Dynamics Studies. Polymer 2010, 51, 709–718. [Google Scholar] [CrossRef]
- Kosma, S.; Raftopoulos, K.; Pissis, P.; Strachota, A.; Matějka, L.; Ribot, F.; Nedbal, J. Molecular Mobility of Stannoxane Modified Epoxy Resins. JNPN 2007, 3/4, 144–156. [Google Scholar]
- Kyritsis, A.; Raftopoulos, K.; Abdel Rehim, M.; Said Shabaan, S.; Ghoneim, A.; Turky, G. Structure and Molecular Dynamics of Hyperbranched Polymeric Systems with Urethane and Urea Linkages. Polymer 2009, 50, 4039–4047. [Google Scholar] [CrossRef]
- Wübbenhorst, M.; van Turnhout, J. Analysis of Complex Dielectric Spectra. I. One-Dimensional Derivative Techniques and Three-Dimensional Modelling. J. Non-Cryst. Solids 2002, 305, 40–49. [Google Scholar] [CrossRef]
- Okrasa, L.; Zigon, M.; Zagar, E.; Czech, P.; Boiteux, G. Molecular Dynamics of Linear and Hyperbranched Polyurethanes and Their Blends. J. Non-Cryst. Solids 2005, 351, 2753–2758. [Google Scholar] [CrossRef]
- Kremer, F.; Schönhals, A. Broadband Dielectric Spectroscopy; Springer: Berlin/Heidelberg, Germany 2003; ISBN 9783642561207. [Google Scholar]
- Takeuchi, A.; Kato, H.; Inoue, A. Vogel–Fulcher–Tammann Plot for Viscosity Scaled with Temperature Interval between Actual and Ideal Glass Transitions for Metallic Glasses in Liquid and Supercooled Liquid States. Intermetallics 2010, 18, 406–411. [Google Scholar] [CrossRef]
- Mano, J.F.; Gómez Ribelles, J.L.; Alves, N.M.; Salmerón Sanchez, M. Glass Transition Dynamics and Structural Relaxation of PLLA Studied by DSC: Influence of Crystallinity. Polymer 2005, 46, 8258–8265. [Google Scholar] [CrossRef]
- Ma, Q.; Wang, Y.; Gu, Y.; Zhao, N.; Luo, S.; Wang, L.; Hu, Y.; Fang, J. Correlation between Fragility and Free Volume Void Size at Glass Transition Temperature. AIP Adv. 2022, 12, 015207. [Google Scholar] [CrossRef]
- Mayhew, E.J.; Neal, C.H.; Lee, S.-Y.; Schmidt, S.J. Glass Transition Prediction Strategies Based on the Couchman-Karasz Equation in Model Confectionary Systems. J. Food Eng. 2017, 214, 287–302. [Google Scholar] [CrossRef]
- Penzel, E.; Rieger, J.; Schneider, H.A. The Glass Transition Temperature of Random Copolymers: 1. Experimental Data and the Gordon-Taylor Equation. Polymer 1997, 38, 325–337. [Google Scholar] [CrossRef]
- White, R.P.; Lipson, J.E.G. Polymer Free Volume and Its Connection to the Glass Transition. Macromolecules 2016, 49, 3987–4007. [Google Scholar] [CrossRef]
- Liu, X.; Li, Y.; Xing, X.; Zhang, G.; Jing, X. Fully Recyclable and High Performance Phenolic Resin Based on Dynamic Urethane Bonds and Its Application in Self-Repairable Composites. Polymer 2021, 229, 124022. [Google Scholar] [CrossRef]
- Bakkali-Hassani, C.; Berne, D.; Ladmiral, V.; Caillol, S. Transcarbamoylation in Polyurethanes: Underestimated Exchange Reactions? Macromolecules 2022, 55, 7974–7991. [Google Scholar] [CrossRef]
- Havriliak, S.; Negami, S. A Complex Plane Analysis of α-Dispersions in Some Polymer Systems. J. Polym. Sci. Part C: Polym. Symp. 1966, 14, 99–117. [Google Scholar] [CrossRef]
- Havriliak, S.; Negami, S. A Complex Plane Representation of Dielectric and Mechanical Relaxation Processes in Some Polymers. Polymer 1967, 8, 161–210. [Google Scholar] [CrossRef]
- Cole, K.S.; Cole, R.H. Dispersion and Absorption in Dielectrics I. Alternating Current Characteristics. J. Chem. Phys. 1941, 9, 341–351. [Google Scholar] [CrossRef]
- Diaz-Calleja, R. Comment on the Maximum in the Loss Permittivity for the Havriliak-Negami Equation. Macromolecules 2000, 33, 8924. [Google Scholar] [CrossRef]














| Code | Characteristic Amine (CA) | Polyether CC (P-CC) | Molar Fraction (P-CC:CA) | Group(s) | Tg (°C) (±1.0 °C) | ΔcP (J/gK) (±0.05 J/gK) |
|---|---|---|---|---|---|---|
| S1 | Priamine 1074![]() | PPO Mw ~460 g/mol![]() | 3:1 | I | 10.8 | 0.63 |
| S2 | IPDA![]() | 18.0 | 0.56 | |||
| S3 | TETA![]() | 14.6 | 0.59 | |||
| S4 | MBCA![]() | I and II | 15.9 | 0.57 | ||
| S5 | 2.5:1 | II | 16.9 | 0.51 | ||
| S6 | 2:1 | II and III | 14.1 | 0.57 | ||
| S7 | PPO Mw ~700 g/mol![]() | III | −7.6 | 0.57 | ||
| S8 | PEO Mw ~650 g/mol![]() | −21.7 | 0.67 |
| Code. | (CA) | (P-CC) | Molar Fraction P-CC:CA | Group | α Relaxation | ||
|---|---|---|---|---|---|---|---|
| Δε | a | b | |||||
| S1 | P74 | PPO 460 | 3:1 | I | 30.9 ± 0.2 | 0.68 ± 0.01 | 0.55 ± 0.02 |
| S2 | IPDA | 40.9 ± 0.4 | 0.63 ± 0.01 | 0.71 ± 0.02 | |||
| S3 | TETA | 26.1 ± 0.2 | 0.60 ± 0.01 | 0.64 ± 0.02 | |||
| S4 | MBCA | I, II | 27.5 ± 0.2 | 0.67 ± 0.01 | 0.54 ± 0.02 | ||
| S5 | 2.5:1 | II | 20.7 ± 0.2 | 0.65 ± 0.01 | 0.53 ± 0.02 | ||
| S6 | 2:1 | II, III | 32.4 ± 0.7 | 0.64 ± 0.02 | 0.67 ± 0.03 | ||
| S7 | PPO 700 | III | 20.5 ± 0.3 | 0.66 ± 0.03 | 0.53 ± 0.05 | ||
| S8 | PEO 650 | 20.2 ± 0.8 | 0.79 ± 0.03 | 0.30 ± 0.04 | |||
Disclaimer/Publisher’s Note: The statements, opinions and data contained in all publications are solely those of the individual author(s) and contributor(s) and not of MDPI and/or the editor(s). MDPI and/or the editor(s) disclaim responsibility for any injury to people or property resulting from any ideas, methods, instructions or products referred to in the content. |
© 2024 by the authors. Licensee MDPI, Basel, Switzerland. This article is an open access article distributed under the terms and conditions of the Creative Commons Attribution (CC BY) license (https://creativecommons.org/licenses/by/4.0/).
Share and Cite
Raftopoulos, K.N.; Łukaszewska, I.; Lalik, S.; Zając, P.; Bukowczan, A.; Hebda, E.; Marzec, M.; Pielichowski, K. Structure–Glass Transition Relationships in Non-Isocyanate Polyhydroxyurethanes. Molecules 2024, 29, 4057. https://doi.org/10.3390/molecules29174057
Raftopoulos KN, Łukaszewska I, Lalik S, Zając P, Bukowczan A, Hebda E, Marzec M, Pielichowski K. Structure–Glass Transition Relationships in Non-Isocyanate Polyhydroxyurethanes. Molecules. 2024; 29(17):4057. https://doi.org/10.3390/molecules29174057
Chicago/Turabian StyleRaftopoulos, Konstantinos N., Izabela Łukaszewska, Sebastian Lalik, Paulina Zając, Artur Bukowczan, Edyta Hebda, Monika Marzec, and Krzysztof Pielichowski. 2024. "Structure–Glass Transition Relationships in Non-Isocyanate Polyhydroxyurethanes" Molecules 29, no. 17: 4057. https://doi.org/10.3390/molecules29174057
APA StyleRaftopoulos, K. N., Łukaszewska, I., Lalik, S., Zając, P., Bukowczan, A., Hebda, E., Marzec, M., & Pielichowski, K. (2024). Structure–Glass Transition Relationships in Non-Isocyanate Polyhydroxyurethanes. Molecules, 29(17), 4057. https://doi.org/10.3390/molecules29174057








