Novel Superhard Boron Nitrides, B2N3 and B3N3: Crystal Chemistry and First-Principles Studies
Abstract
1. Introduction
2. Computational Methodology
3. Crystal Chemistry
3.1. Tetragonal and Hexagonal Pentacarbon Allotropes
3.2. New Tetragonal and Hexagonal Boron Nitrides
4. Projections of the Charge Densities
5. Mechanical Properties
6. Energy–Volume Equations of State
7. Dynamic and Thermodynamic Properties
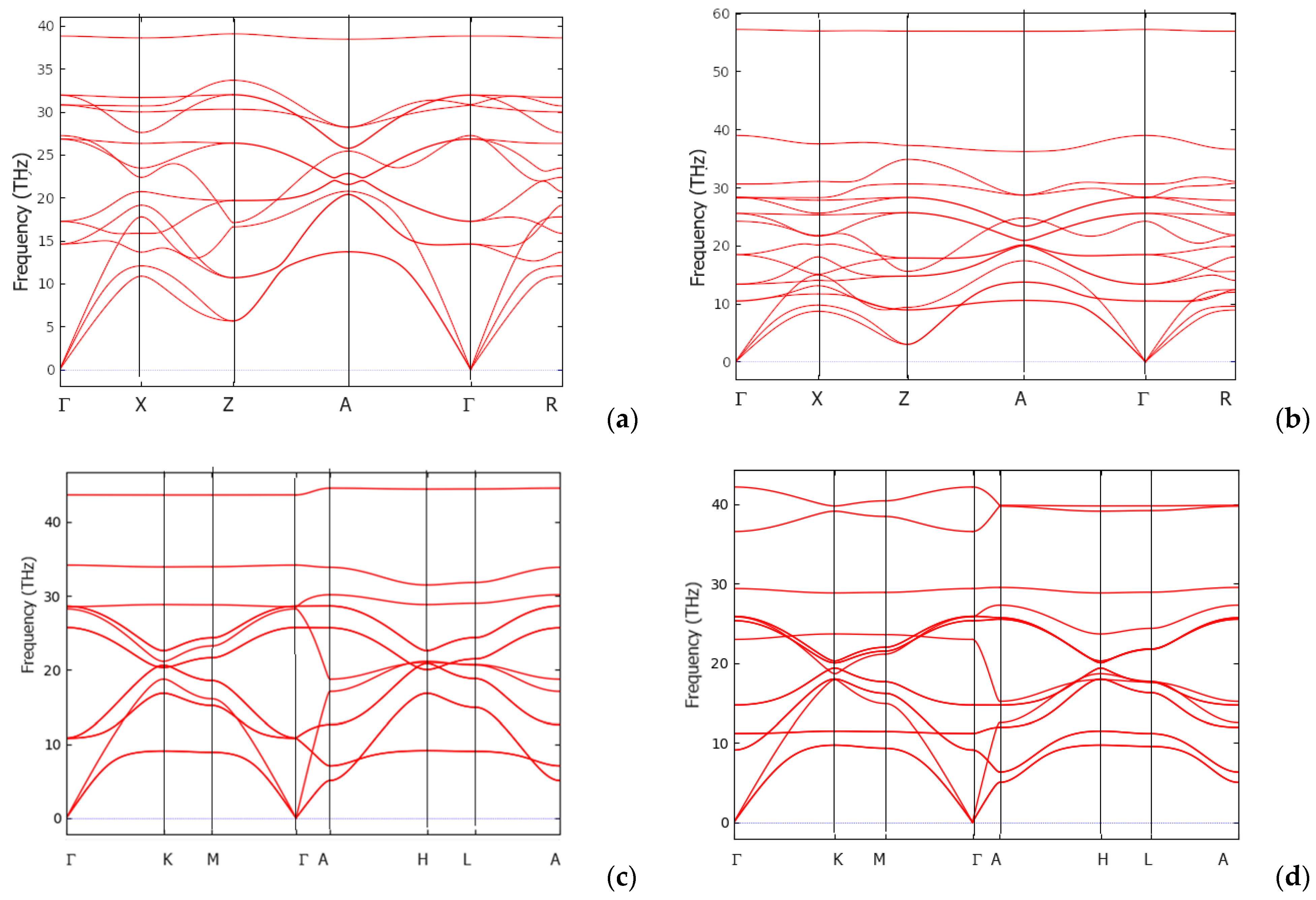
7.1. Phonons Band Structures
7.2. Temperature Dependence of the Heat Capacity
8. Electronic Band Structures
9. Conclusions
Author Contributions
Funding
Institutional Review Board Statement
Informed Consent Statement
Data Availability Statement
Conflicts of Interest
References
- Öhrström, L.; O’Keeffe, M. Network topology approach to new allotropes of the group 14 elements. Z. Kristallogr. 2013, 228, 343–346. [Google Scholar] [CrossRef]
- Matar, S.F.; Eyert, V.; Solozhenko, V.L. Novel ultrahard extended hexagonal C10, C14 and C18 allotropes with mixed sp2/sp3 hybridizations: Crystal chemistry and ab initio investigations. C 2023, 9, 11. [Google Scholar] [CrossRef]
- Solozhenko, V.L.; Matar, S.F. Prediction of novel ultrahard phases in the B–C–N system from first principles: Progress and problems. Materials 2023, 16, 886. [Google Scholar] [CrossRef] [PubMed]
- Glass, C.W.; Oganov, A.R.; Hansen, N. USPEX—Evolutionary crystal structure prediction. Comput. Phys. Commun. 2006, 175, 713–720. [Google Scholar] [CrossRef]
- Zhang, S.; He, J.; Zhao, Z.; Yu, D.; Tian, Y. Discovery of superhard materials via CALYPSO methodology. Chin. Phys. B 2019, 28, 106104. [Google Scholar] [CrossRef]
- Hohenberg, P.; Kohn, W. Inhomogeneous electron gas. Phys. Rev. B 1964, 136, 864–871. [Google Scholar] [CrossRef]
- Kohn, W.; Sham, L.J. Self-consistent equations including exchange and correlation effects. Phys. Rev. A 1965, 140, 1133–1138. [Google Scholar] [CrossRef]
- Lin, S.; Xu, M.; Hao, J.; Wang, X.; Wu, M.; Shi, J.; Cui, W.; Liu, D.; Lei, W.; Li, Y. Prediction of superhard B2N3 with two-dimensional metallicity. J. Mater. Chem. C 2019, 7, 4527. [Google Scholar] [CrossRef]
- Juárez, A.R.; Ortíz-Chi, F.; Pino-Ríos, R.; Cárdenas-Jirón, G.; Villanueva, M.S.; Anota, E.C. The boron nitride B116N124 fullerene: Stability and electronic properties from DFT simulations. Chem. Phys. Lett. 2020, 741, 137097. [Google Scholar] [CrossRef]
- Kurakevych, O.O.; Solozhenko, V.L. Rhombohedral boron subnitride, B13N2, by X-ray powder diffraction. Acta Crystallogr. C 2007, 63, i80–i82. [Google Scholar] [CrossRef]
- Solozhenko, V.L.; Bushlya, V. Mechanical properties of superhard boron subnitride B13N2. J. Superhard Mater. 2017, 39, 422–426. [Google Scholar] [CrossRef]
- Kresse, G.; Furthmüller, J. Efficient iterative schemes for ab initio total-energy calculations using a plane-wave basis set. Phys. Rev. B 1996, 54, 11169. [Google Scholar] [CrossRef]
- Kresse, G.; Joubert, J. From ultrasoft pseudopotentials to the projector augmented wave. Phys. Rev. B 1999, 59, 1758–1775. [Google Scholar] [CrossRef]
- Blöchl, P.E. Projector augmented wave method. Phys. Rev. B 1994, 50, 17953–17979. [Google Scholar] [CrossRef]
- Perdew, J.; Burke, K.; Ernzerhof, M. The Generalized Gradient Approximation made simple. Phys. Rev. Lett. 1996, 77, 3865–3868. [Google Scholar] [CrossRef]
- Ceperley, D.M.; Alder, B.J. Ground state of the electron gas by a stochastic method. Phys. Rev. Lett. 1980, 45, 566–569. [Google Scholar] [CrossRef]
- Press, W.H.; Flannery, B.P.; Teukolsky, S.A.; Vetterling, W.T. Numerical Recipes, 2nd ed.; Cambridge University Press: New York, NY, USA, 1986. [Google Scholar]
- Blöchl, P.; Jepsen, O.; Anderson, O. Improved tetrahedron method for Brillouin-zone integrations. Phys. Rev. B 1994, 49, 16223–16233. [Google Scholar] [CrossRef]
- Methfessel, M.; Paxton, A.T. High-precision sampling for Brillouin-zone integration in metals. Phys. Rev. B 1989, 40, 3616–3621. [Google Scholar] [CrossRef]
- Monkhorst, H.J.; Pack, J.D. Special k-points for Brillouin Zone integration. Phys. Rev. B 1976, 13, 5188–5192. [Google Scholar] [CrossRef]
- Gaillac, R.; Pullumbi, P.; Coudert, F.X. ELATE: An open-source online application for analysis and visualization of elastic tensors. J. Phys. Condens. Matter 2016, 28, 275201. [Google Scholar] [CrossRef] [PubMed]
- Voigt, W. Über die Beziehung zwischen den beiden Elasticitätsconstanten isotroper Körper. Annal. Phys. 1889, 274, 573–587. [Google Scholar] [CrossRef]
- Mazhnik, E.; Oganov, A.R. A model of hardness and fracture toughness of solids. J. Appl. Phys. 2019, 126, 125109. [Google Scholar] [CrossRef]
- Chen, X.Q.; Niu, H.; Li, D.; Li, Y. Modeling hardness of polycrystalline materials and bulk metallic glasses. Intermetallics 2011, 19, 1275–1281. [Google Scholar] [CrossRef]
- Mukhanov, V.A.; Kurakevych, O.O.; Solozhenko, V.L. The interrelation between hardness and compressibility of substances and their structure and thermodynamic properties. J. Superhard Mater. 2008, 30, 368–378. [Google Scholar] [CrossRef]
- Mukhanov, V.A.; Kurakevych, O.O.; Solozhenko, V.L. Hardness of materials at high temperature and high pressure. Philos. Mag. 2009, 89, 2117–2127. [Google Scholar] [CrossRef]
- Lyakhov, A.O.; Oganov, A.R. Evolutionary search for superhard materials: Methodology and applications to forms of carbon and TiO2. Phys. Rev. B 2011, 84, 092103. [Google Scholar] [CrossRef]
- Togo, A.; Tanaka, I. First principles phonon calculations in materials science. Scr. Mater. 2015, 108, 1–5. [Google Scholar] [CrossRef]
- Eyert, V. Basic notions and applications of the augmented spherical wave method. Int. J. Quantum Chem. 2000, 77, 1007–1031. [Google Scholar] [CrossRef]
- Momma, K.; Izumi, F. VESTA3 for three-dimensional visualization of crystal, volumetric and morphology data. J. Appl. Crystallogr. 2011, 44, 1272–1276. [Google Scholar] [CrossRef]
- Matar, S.F.; Solozhenko, V.L. The simplest dense carbon allotrope: Ultra-hard body centered tetragonal C4. J. Solid State Chem. 2022, 314, 123424. [Google Scholar] [CrossRef]
- Shevchenko, A.P.; Shabalin, A.A.; Karpukhin, I.Y.; Blatov, V.A. Topological representations of crystal structures: Generation, analysis and implementation in the TopCryst system. Sci. Technol. Adv. Mater. 2022, 2, 250–265. [Google Scholar] [CrossRef]
- Wei, Q.; Zhang, Q.; Yan, H.; Zhang, M.; Wei, B. A new tetragonal superhard metallic carbon allotrope. J. Alloys Compd. 2018, 769, 347–352. [Google Scholar] [CrossRef]
- Solozhenko, V.L.; Häusermann, D.; Mezouar, M.; Kunz, M. Equation of state of wurtzitic boron nitride to 66 GPa. App. Phys. Lett. 1998, 72, 1691–1693. [Google Scholar] [CrossRef]
- Nagakubo, A.; Ogi, H.; Sumiya, H.; Kusakabe, K.; Hirao, M. Elastic constants of cubic and wurtzite boron nitrides. App. Phys. Lett. 2013, 102, 241909. [Google Scholar] [CrossRef]
- Zhang, J.S.; Bass, J.D.; Taniguchi, T.; Goncharov, A.F.; Chang, Y.-Y.; Jacobsen, S.D. Elasticity of cubic boron nitride under ambient conditions. J. Appl. Phys. 2011, 109, 063521. [Google Scholar] [CrossRef]
- Brookes, C.A. The mechanical properties of cubic boron nitride. In Science of Hard Materials, Proceedings of the International Conference, Rhodes, Greece, 23–28 September 1986; Adam Hilger Ltd.: Accord, MA, USA, 1986; pp. 207–220. [Google Scholar]
- Mukhanov, V.A.; Kurakevych, O.O.; Solozhenko, V.L. Thermodynamic model of hardness: Particular case of boron-rich solids. J. Superhard Mater. 2010, 32, 167–176. [Google Scholar] [CrossRef]
- Solozhenko, V.L.; Matar, S.F. High-pressure phases of boron pnictides BX (X = As, Sb, Bi) with quartz topology from first principles. Crystals 2024, 14, 221. [Google Scholar] [CrossRef]
- Taniguchi, T.; Akaishi, M.; Yamaoka, S. Mechanical properties of polycrystalline translucent cubic boron nitride as characterized by the Vickers indentation method. J. Am. Ceram. Soc. 1996, 79, 547–549. [Google Scholar] [CrossRef]
- Dub, S.; Lytvyn, P.; Strelchuk, V.; Nikolenko, A.; Stubrov, Y.; Petrusha, I.; Taniguchi, T.; Ivakhnenko, S. Vickers hardness of diamond and cBN single crystals: AFM approach. Crystals 2017, 7, 369. [Google Scholar] [CrossRef]
- Birch, F. Finite strain isotherm and velocities for single-crystal and polycrystalline NaCl at high pressures and 300 K. J. Geophys. Res. 1978, 83, 1257–1268. [Google Scholar] [CrossRef]
- Murnaghan, F.D. The compressibility of media under extreme pressures. Proc. Nation. Acad. Sci. USA 1944, 30, 244–247. [Google Scholar] [CrossRef] [PubMed]
- Dove, M.T. Introduction to Lattice Dynamics; Cambridge University Press: New York, NY, USA, 1993. [Google Scholar]
- Solozhenko, V.L.; Gavrichev, K.S. Thermodynamic properties of boron nitride. In Wide Band Gap Electronic Materials; Prelas, M.A., Gielisse, P., Popovici, G., Spitsyn, B.V., Stacy, T., Eds.; Kluwer Academic Publishers: Dordrecht, The Netherlands, 1995; pp. 377–392. [Google Scholar]








| Space Group Topology | tet-C4 I-4m2 (No. 119) dia | tet-C5 P-4m2 (No. 115) 3,4^2T1-CA | 2D C4 P6mm (No. 184) hcb | 3D C5 P-6m2 (No. 187) lon |
|---|---|---|---|---|
| a, Å | 2.527 | 2.480 | 2.461 | 2.487 |
| c, Å | 3.574 | 4.990 | 6.698 | 5.581 |
| Atomic positions | C1a (½, ½, ½) → C1b (0, 0, 0) → C2a (½, 0, ¼) ⌉ → C2b (0, ½, ¾) ⌋ | C1 (1c) (½, ½, ½) C2 (2e) (0, 0, ±z) z = 0.313 C3 (2g) (0, ½, ±z′) z′ = 0.854 | C(4b) (⅓, ⅔, 0) | C1 (2h) (⅓, ⅔, z) z = 0.861 C2 (2i) (⅔, ⅓, z′) z′ = 0.762 C′(2f) (⅔, ⅓, ½) |
| Etotal, eV Ecoh/atom, eV | −36.38 −2.49 | −43.26 −2.05 | −36.87 −2.67 | −42.51 −1.9 |
| Space Group Topology | tet-B2N3 P-4m2 (No. 115) 3,4^2T1-CA | tet-B3N3 P-4m2 (No. 115) 3,4^2T1-CA | h-B2N3 P-6m2 (No. 187) lon | h-B3N3 P-6m2 (No. 187) tfi |
|---|---|---|---|---|
| a, Å | 2.523 | 2.636 | 2.564 | 2.541 |
| c, Å | 4.944 | 6.110 | 5.504 | 7.020 |
| Vcell, Å3 | 31.47 | 42.45 | 31.33 | 39.25 |
| Density, g/cm3 | 3.358 | 2.913 | 3.374 | 3.150 |
| Shortest B–N bond, Å | 1.35 | 1.32 | 1.41 | 1.44 |
| Atomic positions | B1(2g) (0, ½, 0.310) N1 (2e) (0, 0, 0.863) N2 (1c) (½, ½, ½) | B1(2g) (0, ½, 0.353) B2(1a) (0, 0, 0) N1(2e) (0, 0, 0.783) N2(1c) (½, ½, ½) | B (2i) (⅔, ⅓, 0.757) N1(2h) (⅓, ⅔, 0.865) N2(1f) (⅔, ⅓, ½) | B1 (2i) (⅔, ⅓, 0.704) B2 (1c) (⅓, ⅔, 0) N1(2h) (⅓, ⅔, 0.209) N2(1f) (⅔, ⅓, ½) |
| Etotal, eV | −40.76 | −49.43 | −39.78 | −46.42 |
| C11 | C12 | C13 | C33 | C44 | C66 | |
|---|---|---|---|---|---|---|
| tet-C5 | 943 | 9 | 136 | 1194 | 198 | 337 |
| tet-B2N3 | 712 | 57 | 164 | 987 | 82 | 307 |
| tet-B3N3 | 614 | 23 | 126 | 928 | 119 | 161 |
| h-C5 | 920 | 95 | 46 | 1453 | 412 | 333 |
| h-B2N3 | 680 | 137 | 20 | 1416 | 272 | 199 |
| h-B3N3 | 453 | 124 | 139 | 1190 | 165 | 154 |
| HV | B | GV | EV | νV | KIc‡ | |||||
|---|---|---|---|---|---|---|---|---|---|---|
| T * | LO † | MO ‡ | CN § | B0 * | BV | |||||
| GPa | MPa·m½ | |||||||||
| tet-B2N3 #115 | 52 | 51 | 23 | 26 | 357 | 353 | 229 | 566 | 0.233 | 4.5 |
| h-B2N3 #187 | 52 | 49 | 49 | 51 | 359 | 348 | 322 | 738 | 0.146 | 5.5 |
| tet-B3N3 #115 | 45 | 42 | 21 | 26 | 314 | 301 | 205 | 502 | 0.222 | 3.8 |
| h-B3N3 #187 | 49 | 46 | 22 | 25 | 340 | 322 | 210 | 517 | 0.233 | 3.9 |
| w-BN #186 | 54 | 50 | 70 | 64 | 375 [34] | 384 [35] | 858 ** | 0.118 ** | – | |
| c-BN #216 | 55 | 50 | 74 | 69 | 381 [36] | 399 [36] | 890 ** | 0.107 ** | 2.8 [37] | |
| B2N3 | B3N3 | |||
|---|---|---|---|---|
| Tetragonal | Hexagonal | Tetragonal | Hexagonal | |
| B0 (GPa) | 344 | 336 | 300 | 317 |
| B0′ | 3.76 | 3.75 | 3.67 | 3.71 |
| E0/FU (eV) | −40.7 | −39.1 | −49.4 | −46.4 |
| V0/FU (Å3) | 31.5 | 42.5 | 31.3 | 39.3 |
Disclaimer/Publisher’s Note: The statements, opinions and data contained in all publications are solely those of the individual author(s) and contributor(s) and not of MDPI and/or the editor(s). MDPI and/or the editor(s) disclaim responsibility for any injury to people or property resulting from any ideas, methods, instructions or products referred to in the content. |
© 2024 by the authors. Licensee MDPI, Basel, Switzerland. This article is an open access article distributed under the terms and conditions of the Creative Commons Attribution (CC BY) license (https://creativecommons.org/licenses/by/4.0/).
Share and Cite
Matar, S.F.; Solozhenko, V.L. Novel Superhard Boron Nitrides, B2N3 and B3N3: Crystal Chemistry and First-Principles Studies. Molecules 2024, 29, 4052. https://doi.org/10.3390/molecules29174052
Matar SF, Solozhenko VL. Novel Superhard Boron Nitrides, B2N3 and B3N3: Crystal Chemistry and First-Principles Studies. Molecules. 2024; 29(17):4052. https://doi.org/10.3390/molecules29174052
Chicago/Turabian StyleMatar, Samir F., and Vladimir L. Solozhenko. 2024. "Novel Superhard Boron Nitrides, B2N3 and B3N3: Crystal Chemistry and First-Principles Studies" Molecules 29, no. 17: 4052. https://doi.org/10.3390/molecules29174052
APA StyleMatar, S. F., & Solozhenko, V. L. (2024). Novel Superhard Boron Nitrides, B2N3 and B3N3: Crystal Chemistry and First-Principles Studies. Molecules, 29(17), 4052. https://doi.org/10.3390/molecules29174052

