Copper(II) Methacrylate Complexes with Imidazole Derivatives—Structural, Spectral and Antitumor Features
Abstract
1. Introduction
2. Results and Discussion
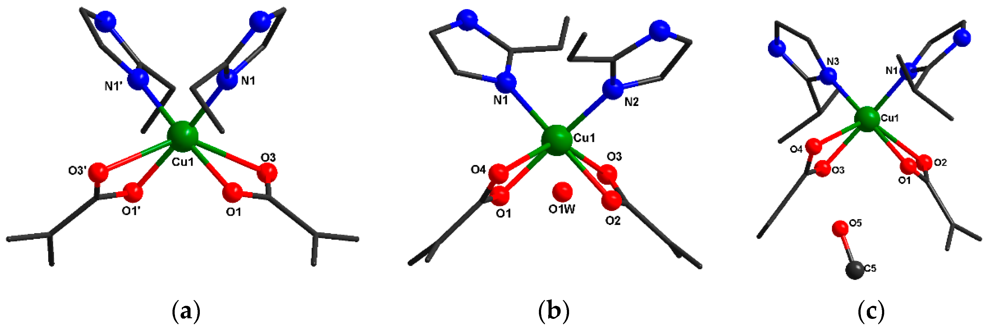
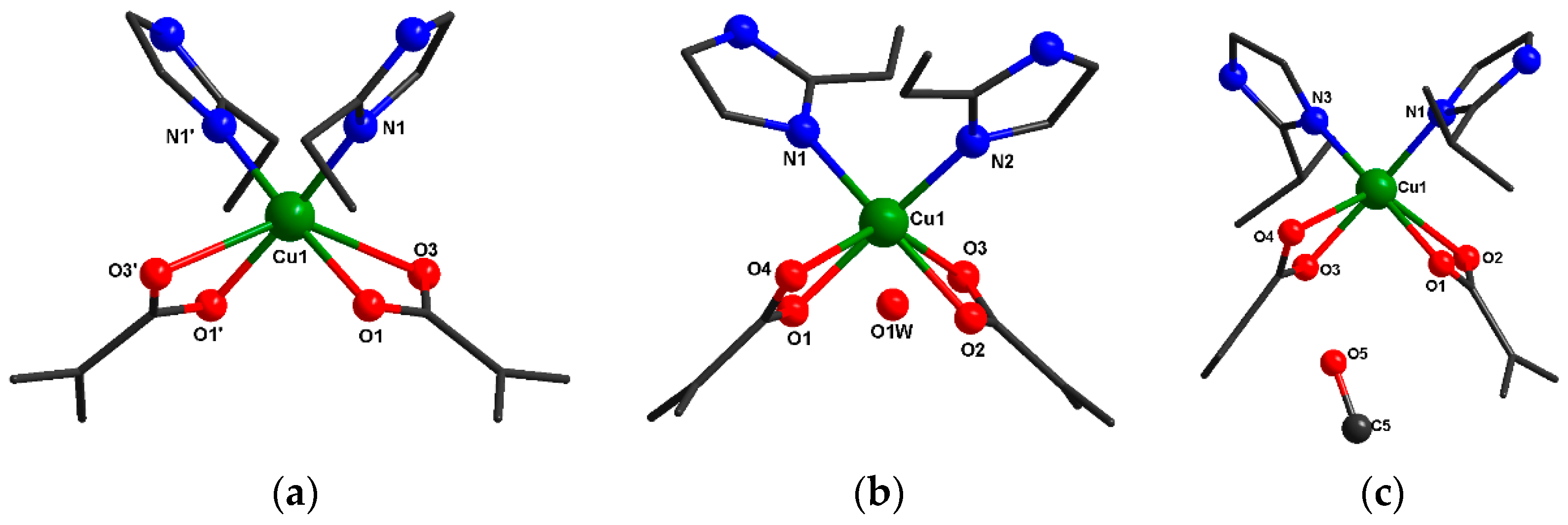
2.1. Description of the X-ray Crystal Structures of the Complexes
2.2. Characterization of Complexes
2.2.1. Fourier Transform Infrared Spectroscopy
2.2.2. Electronic Spectroscopy
2.2.3. Voltammetric Studies
2.2.4. Thermal Behaviour
2.3. Antitumor Assay
3. Materials and Methods
3.1. General Information
3.2. Synthesis of Complexes
3.3. Cell Culture Conditions
3.4. In Vitro Viability
3.5. Statistical Analysis
4. Conclusions
Supplementary Materials
Author Contributions
Funding
Institutional Review Board Statement
Informed Consent Statement
Data Availability Statement
Conflicts of Interest
References
- Selverstone Valentine, J.; Mota de Freitas, D. A unique biological “ligand” for bioinorganic studies. J. Chem. Educ. 1985, 62, 990–997. [Google Scholar] [CrossRef]
- Matoba, Y.; Kihara, S.; Bando, N.; Yoshitsu, H.; Sakaguchi, M.; Kayama, K.; Yanagisawa, S.; Ogura, T.; Sugiyama, M. Catalytic mechanism of the tyrosinase reaction toward the Tyr98 residue in the caddie protein. PLoS Biol. 2018, 16, e3000077. [Google Scholar] [CrossRef]
- Kato, S.; Matsui, T.; Gatsogiannis, C.; Tanaka, Y. Molluscan hemocyanin: Structure, evolution, and physiology. Biophys. Rev. 2018, 10, 191–202. [Google Scholar] [CrossRef] [PubMed]
- Abdul-Ghani, A.-S.; Abu-Hijleh, L.; Qazzaz, M. Effect of bis(acetato)tetrakis(imidazole) copper(II) in delaying the onset and reducing the mortality rate of strychnine- and thiosemicarbazide-induced convulsions. Biol. Trace Elem. Res. 2004, 101, 87–95. [Google Scholar] [CrossRef] [PubMed]
- Abdul-Ghani, A.-S.; Abu-Hijleh, A.-L.; Qazzaz, M.; Muhaisen, A.; Ghani, R.A. Stimulated release of exogenous GABA and glutamate from cerebral cortical synaptosomes and brain slices by bis(acetato)tetrakis(imidazole) copper(II) complex. Biol. Trace Elem. Res. 2005, 108, 205–214. [Google Scholar] [CrossRef] [PubMed]
- Abdul-Ghani, A.-S.; Abu-Hijleh, A.-L.; Nahas, N.; Amin, R. Hypoglycemic effect of copper(II) acetate imidazole complexes. Biol. Trace Elem. Res. 1996, 54, 143–151. [Google Scholar] [CrossRef]
- Tamura, H.; Imai, H.; Kuwahara, J.; Sugiura, Y. A new antitumor complex: Bis(acetato)(bis)imidazole copper(II). J. Am. Chem. Soc. 1987, 109, 6870–6871. [Google Scholar] [CrossRef]
- Abuhijleh, A.; Woods, C. Synthesis, spectroscopic and structural characterization of bis (acetato)tetrakis(imidazole) copper(II): A model complex for DNA binding. Inorg. Chim. Acta 1992, 194, 9–14. [Google Scholar] [CrossRef]
- Bhattacharjee, M.; Boruah, S.R.; Purkayastha, D.; Ganguly, R.; Maiti, D.; Franconetti, A.; Frontera, A.; Kirillov, A.M.; Chowdhury, S.; Roy, S.; et al. Synthesis, characterization, DNA binding ability, in vitro cytotoxicity, electrochemical properties and theoretical studies of copper(II) carboxylate complexes. Inorg. Chim. Acta 2021, 518, 120235. [Google Scholar] [CrossRef]
- Abuhijleh, L. Catalytic activities of the antitumor complex bis(acetato)bis(imidazole) copper(II) and bis(valproato)bis(imidazole) copper(II) for oxidation of organic substrates. Polyhedron 1996, 15, 285–293. [Google Scholar] [CrossRef]
- Premkumar, M.; Kaleeswaran, D.; Kaviyarasan, G.; Prasanth, D.A.; Venkatachalam, G. Mono and dinuclear Cu(II) carboxylate complexes with pyridine and 1-methylimidazole as co-ligands: Synthesis, structure, antibacterial activity and catalytic nitroaldol reactions. Chem. Sel. 2019, 4, 7507–7511. [Google Scholar] [CrossRef]
- Vasile Scaeteanu, G.; Badea, M.; Olar, R. Coordinative Compounds Based on Unsaturated Carboxylate with Versatile Biological Applications. Molecules 2024, 29, 2321. [Google Scholar] [CrossRef] [PubMed]
- Abuhijleh, L. Mononuclear copper(II) salicylate complexes with 1,2-dimethylimidazole and 2-methylimidazole: Synthesis, spectroscopic and crystal structure characterization and their superoxide scavenging activities. J. Mol. Struct. 2010, 980, 201–207. [Google Scholar] [CrossRef]
- Abuhijleh, L.; Woods, C.; Ahmed, I.Y. Synthesis and molecular structure of monomeric copper(II) acetates with 2-methylimidazole and 1,2-dimethylimidazole. Inorg. Chim. Acta 1991, 190, 11–17. [Google Scholar] [CrossRef]
- Batool, S.S.; Harrison, W.; Quratulain, S.; Haider, M.S. Syntheses and crystal structures of mixed-ligand copper(II)-imidazole-carboxylate complexes. J. Coord. Chem. 2018, 71, 1380–1391. [Google Scholar] [CrossRef]
- Peng, X.; Cui, G.-H.; Li, D.-J.; Wu, S.-Z.; Yu, Y.-M. Structure, spectroscopy and theory calculations of mononuclear mixed-ligand copper(II) complex with malonate and 2-propylimidazole, [Cu(mal)(PIM)2(H2O)]. J. Mol. Struct. 2010, 971, 47–52. [Google Scholar] [CrossRef]
- Ni, S.-L.; Zhao, M.-X.; Ge, H.-X. Bis(1H-imidazole-kN3)bis(2-methyl-benzoato-kO)bis(2-methylbenzoic acid- kO)copper(II). Acta Cryst. 2011, E67, m1123–m1124. [Google Scholar] [CrossRef]
- Wang, Y.-Y.; Shi, Q.; Shi, Q.-Z.; Gao, Y.-C.; Zhou, Z.-Y. Syntheses, characterization and crystal structure of copper(II) α,β-unsaturated carboxylate complexes with imidazole. Polyhedron 1999, 18, 2009–2015. [Google Scholar] [CrossRef]
- Hernandez, J.; Avila, M.; Jimenez-Vasquez, H.A.; Duque, J.; Reguera, E. Copper dimer with acetate-2-ethylimidazole as ligands. Synth. React. Inorg. Met.-Org. Chem. 2015, 45, 342–345. [Google Scholar] [CrossRef]
- Wang, Y.Y.; Wang, X.; Shi, Q.; Shi, Q.Z.; Gao, Y.C. Studies on a novel mixed-valence complex of copper (I, II) α-methacrylate with imidazole and aqua. Chinese Chem. Lett. 1999, 10, 187–188. [Google Scholar]
- Wang, Y.Y.; Zhou, L.J.; Shi, Q.; Shi, Q.Z. Novel trinuclear copper(II) complexes with α,β-unsaturated carboxylate complexes with imidazole. Trans. Met. Chem. 2002, 27, 145–148. [Google Scholar] [CrossRef]
- Suresh, E.; Bhadbhade, M. Metal -α,ω-dicarboxylate complexes. II. catena-poly[bis(imidazole-N3)copper(II)-di-μ-adipato(1-)-O1:O6:O6:O1]. Acta Cryst. 1997, C53, 422–425. [Google Scholar] [CrossRef]
- Wan, J.; Ye, S.-J.; Wen, Y.-H.; Zhang, S.-S. Synthesis and structure of tetraploid (imidazole) copper(II) terephtalate, [Cu(Im)4](teph). Chin. J. Chem. 2003, 21, 1458–1460. [Google Scholar] [CrossRef]
- Kong, R.; Sun, G. Targeting copper metabolism: A promising strategy for cancer treatment. Front. Pharmacol. 2023, 14, 1203447. [Google Scholar] [CrossRef]
- Adhikari, S.; Nath, P.; Das, A.; Datta, A.; Baildya, N.; Duttaroy, A.; Pathak, S. A review on metal complexes and its anti-cancer activities: Recent updates from in vivo studies. Biomed. Pharmacother. 2024, 171, 116211. [Google Scholar] [CrossRef]
- Badea, M.; Uivarosi, V.; Olar, R. Improvement in the Pharmacological Profile of Copper Biological Active Complexes by Their Incorporation into Organic or Inorganic Matrix. Molecules 2020, 25, 5830. [Google Scholar] [CrossRef] [PubMed]
- Hernández-Romero, D.; Rosete-Luna, S.; López-Monteon, A.; Chávez-Piña, A.; Pérez-Hernández, N.; Marroquín-Flores, J.; Cruz-Navarro, A.; Pesado-Gómez, G.; Morales-Morales, D.; Colorado-Peralta, R. First-row transition metal compounds containing benzimidazole ligands: An overview of their anticancer and antitumor activity. Coord. Chem. Rev. 2021, 439, 213930. [Google Scholar] [CrossRef]
- Thati, B.; Noble, A.; Creaven, B.S.; Walsh, M.; Kavanagh, K.; Egan, D.A. Apoptotic cell death: A possible key event in mediating the in vitro anti-proliferative effect of a novel copper(II) complex, [Cu(4-Mecdoa)(phen)2] (phen = phenanthroline, 4-Mecdoa = 4-methylcoumarin-6,7-dioxactetate), in human malignant cancer cells. Eur. J. Pharmacol. 2007, 569, 16–28. [Google Scholar] [CrossRef]
- Kellett, A.; O’Connor, M.; McCann, M.; McNamara, M.; Lynch, P.; Rosair, G.; McKee, V.; Creaven, B.; Walsh, M.; McClean, S.; et al. Bis-phenanthroline copper(II) phthalate complexes are potent in vitro antitumour agents with “self-activating” metallo-nuclease and DNA binding properties. Dalton Trans. 2011, 40, 1024–1027. [Google Scholar] [CrossRef] [PubMed]
- Prisecaru, A.; Devereux, M.; Barron, N.; McCann, M.; Colleran, J.; Casey, A.; McKee, V.; Kellett, A. Potent oxidative DNA cleavage by the di-copper cytotoxin: [Cu2(µ-terephtalate)(1,10-phen)4]2+. Chem. Commun. 2012, 48, 6906–6908. [Google Scholar] [CrossRef]
- Olar, R.; Maxim, C.; Badea, M.; Bacalum, M.; Raileanu, M.; Avram, S.; Celan Korošin, N.; Burlanescu, T.; Rostas, A.M. Antiproliferative Copper(II) Complexes Bearing Mixed Chelating Ligands: Structural Characterization, ROS Scavenging, In Silico Studies, and Anti-Melanoma Activity. Pharmaceutics 2022, 14, 1692. [Google Scholar] [CrossRef] [PubMed]
- Vlaicu, I.D.; Borodi, G.; Vasile Scaeţeanu, G.; Chifiriuc, M.C.; Maruţescu, L.; Popa, M.; Stefan, M.; Mercioniu, I.F.; Maurer, M.; Daniliuc, C.G.; et al. X-ray Crystal Structure, Geometric Isomerism, and Antimicrobial Activity of New Copper(II) Carboxylate Complexes with Imidazole Derivatives. Molecules 2018, 23, 3253. [Google Scholar] [CrossRef]
- Vlaicu, I.D.; Olar, R.; Vasile Scăețeanu, G.; Silvestro, L.; Maurer, M.; Stănică, N.; Badea, M. Thermal, spectral and biological investigation of new nickel complexes with imidazole derivatives. J. Therm. Anal. Calorim. 2018, 134, 503–512. [Google Scholar] [CrossRef]
- Fudulu, A.; Olar, R.; Maxim, C.; Vasile Scăețeanu, G.; Bleotu, C.; Matei, L.; Chifiriuc, M.C.; Badea, M. New Cobalt (II) Complexes with Imidazole Derivatives: Antimicrobial Efficiency against Planktonic and Adherent Microbes and In Vitro Cytotoxicity Features. Molecules 2021, 26, 55. [Google Scholar] [CrossRef]
- Vlaicu, I.D.; Constand, M.; Olar, R.; Marinescu, D.; Grecu, M.N.; Lazar, V.; Chifiriuc, M.C.; Badea, M. Thermal stability of new biologic active copper(II) complexes with 5,6-dimethylbenzimidazole. J. Therm. Anal. Calorim. 2013, 113, 1369–1377. [Google Scholar] [CrossRef]
- Morzyk-Ociepa, B.; Różycka-Sokołowska, E.; Michalska, D. Revised crystal and molecular structure, FT-IR spectra and DFT studies of chlorotetrakis(imidazole)copper(II) chloride. J. Mol. Struct. 2012, 1028, 49–56. [Google Scholar] [CrossRef]
- Oldham, C. Carboxylates, squarates and related species. In Comprehensive Coordination Chemistry, 1st ed.; Wilkinson, G., Gillard, R.D., McCleverty, J.A., Eds.; Pergamon Press: Oxford, UK, 1987; pp. 435–460. [Google Scholar]
- Deacon, G.B.; Philips, J.R. Relationships between the carbon-oxygen stretching frequencies of carboxylato complexes and the type of carboxylate coordination. Coord. Chem. Rev. 1980, 33, 227–250. [Google Scholar] [CrossRef]
- Nakamoto, K. Infrared and Raman Spectra of Inorganic and Coordination Compounds, 6th ed.; Wiley: Hoboken, NJ, USA, 2009; pp. 57–62. ISBN 978-0-471-74493-1. [Google Scholar]
- Lever, A.B.P. Inorganic Electronic Spectroscopy, 2nd ed.; Elsevier: Amsterdam, The Netherlands; London, UK; New York, NY, USA, 1984; pp. 481–505. ISBN 0444416994. [Google Scholar]
- Zehra, S.; Tabassum, S.; Arjmand, F. Biochemical pathways of copper complexes: Progress over the past 5 years. Drug Discov. Today 2021, 26, 1086–1096. [Google Scholar] [CrossRef] [PubMed]
- Krasnovskaya, O.; Naumov, A.; Guk, D.; Gorelkin, P.; Erofeev, A.; Beloglazkina, E.; Majouga, A. Copper Coordination Compounds as Biologically Active Agents. Int. J. Mol. Sci. 2020, 21, 3965. [Google Scholar] [CrossRef]
- Abdolmaleki, S.; Aliabadi, A.; Khaksar, S. Riding the metal wave: A review of the latest developments in metal-based anticancer agents. Coord. Chem. Rev. 2024, 501, 215579. [Google Scholar] [CrossRef]
- Kalinowska-Lis, U.; Szabłowska-Gadomska, I.; Lisowska, K.; Ochocki, J.; Małecki, M.; Felczak, A. Cytotoxic and Antimicrobial Properties of Copper(II) Complexes of Pyridine and Benzimidazole Derivatives. Z. Anorg. Allg. Chem. 2017, 643, 993–998. [Google Scholar] [CrossRef]
- Olar, R.; Badea, M.; Bacalum, M.; Raileanu, M.; Ruta, L.L.; Farcasanu, I.C.; Rostas, A.M.; Vlaicu, I.D.; Popa, M.; Chifiriuc, M.C. Antiproliferative and antibacterial properties of biocompatible copper(II) complexes bearing chelating N,N-heterocycle ligands and potential mechanisms of action. Biometals 2021, 34, 1155–1172. [Google Scholar] [CrossRef]
- Ruta, L.L.; Farcasanu, I.C.; Bacalum, M.; Raileanu, M.; Rostas, A.M.; Daniliuc, C.G.; Chifiriuc, M.C.; Marutescu, L.; Popa, M.; Badea, M.; et al. Biological activity of triazolopyrimidine copper(II) complexes modulated by an auxiliary N-N-chelating heterocycle ligands. Molecules 2021, 26, 6772. [Google Scholar] [CrossRef] [PubMed]
- Gałczyńska, K.; Ciepluch, K.; Madej, Ł.; Kurdziel, K.; Maciejewska, B.; Drulis-Kawa, Z.; Węgierek-Ciuk, A.; Lankoff, A.; Arabski, M. Selective cytotoxicity and antifungal properties of copper(II) and cobalt(II) complexes with imidazole-4-acetate anion or 1-allylimidazole. Sci. Rep. 2019, 9, 9777. [Google Scholar] [CrossRef] [PubMed]
- Lewis, A.; McDonald, M.; Scharbach, S.; Hamaway, S.; Plooster, M.; Peters, K.; Fox, K.M.; Cassimeris, L.; Tanski, J.M.; Tyler, L.A. The chemical biology of Cu(II) complexes with imidazole or thiazole containing ligands: Synthesis, crystal structures and comparative biological activity. J. Inorg. Biochem. 2016, 157, 52–61. [Google Scholar] [CrossRef] [PubMed]
- Hussain, A.; AlAjmi, M.F.; Rehman, M.T.; Amir, S.; Husain, F.M.; Alsalme, A.; Siddiqui, M.A.; AlKhedhairy, A.A.; Khan, R.A. Copper(II) complexes as potential anticancer and Nonsteroidal anti-inflammatory agents: In vitro and in vivo studies. Sci. Rep. 2019, 9, 5237. [Google Scholar] [CrossRef] [PubMed]
- Morelli, M.B.; Amantini, C.; Santoni, G.; Pellei, M.; Santini, C.; Cimarelli, C.; Marcantoni, E.; Petrini, M.; Del Bello, F.; Giorgioni, G.; et al. Novel antitumor copper(II) complexes rationally designed to act through synergistic mechanisms of action, due to the presence of an NMDA receptor ligand and copper in the same chemical entity. New J. Chem. 2018, 42, 1187. [Google Scholar] [CrossRef]
- Masuri, S.; Vaňhara, P.; Cabiddu, M.G.; Moráň, L.; Havel, J.; Cadoni, E.; Pivetta, T. Copper(II) Phenanthroline-Based Complexes as Potential AntiCancer Drugs: A Walkthrough on the Mechanisms of Action. Molecules 2022, 27, 49. [Google Scholar] [CrossRef]










| (1) | (2) | (3) | (4) | (5) | Assignments |
|---|---|---|---|---|---|
| - | 3311 m | - | 3441 m | 3450 m | ν(OH) |
| 3173 m 3151 m 3133 m | 3151 m 3129 m | 3140 w 3059 w | 3140 w 3060 w | 3168 m 3155 m 3138 m | ν(CH) + ν(NH) |
| 2960 m 2925 m | 2954 m 2924 m | 2969 w | 2979 w | 2970 m 2924 m | νas(CH2) |
| 2866 m | 2891 m | 2929 w | 2930 w | 2878 m | νs(CH2) |
| 1644 s | 1644 s | 1648 s | 1645 s | 1644 s | ν(C=N) |
| 1577 m | overlapped | 1613 vs | 1605 vs | 1581 m | δ(NH) + ν(C=C) + ν(C=N) |
| 1547 vs | 1590 vs | 1549 vs | 1549 vs | 1547 vs | νas(COO) |
| 1413 m | 1406 m | 1434 m | 1434 m | 1420 m | νs(COO) |
| 1297 s | - | 1260 w | 1260 w | 1294 s | δ(CH2) |
| 1237 s | 1236 m | 1252 w | 1257 w | 1236 m | ν(C−N) + δ(CH) |
| 1166 w | - | 1163 w | 1163 w | 1158 w | ν(C−C) + ν(C−N) + δ(CH) |
| 954 m | 969 m | 962 w | 977 w | 929 m | δ(CH) + δ(Im ring) |
| 861 m | 881 m | 834 w | 873 w | 878 m | π(CH) + δ(Im ring) |
| 749 m | 780 w | 763 w | 768 w | 760 m | π(CH) |
| 631 m | 625 m | 618 w | 618 w | 623 w | δ(COO) |
| Compound | Epc1 * | Epc2 * | Epa1 * | Epa2 * | E1/2 (V) a Cu(I)/Cu(0) | E1/2 (V) b Cu(II)/Cu(I) |
|---|---|---|---|---|---|---|
| Cu(Macr)2·H2O | −0.598 | −0.266 | 0.187 | |||
| (1) | −0.125 | −0.760 | −0.266 | 0.348 | −0.563 | +0.112 |
| (2) | −0.215 | −0.769 | −0.185 | 0.419 | −0.477 | +0.102 |
| (3) | −0.679 | −1.031 | −0.366 | 0.438 | −0.699 | −0.121 |
| (4) | −0.296 | −0.991 | −0.145 | 0.388 | −0.568 | +0.040 |
| (5) | −0.629 | −1.051 | −0.175 | 0.418 | −0.613 | −0.106 |
| Complex | Step | Thermal Effect | Temp./°C | Δmexp/% | Δmcalc/% | Process |
|---|---|---|---|---|---|---|
| [Cu(2-MeIm)2(Macr)2] (1) | 1. | Endothermic | 160 | - | - | melting |
| 2. | Miscellaneous | 160–282 | 41.7 | 41.3 | -2(2-MeIm) | |
| 3. | Exothermic | 282–845 | 38.5 | 38.7 | Macr oxidative degradation | |
| Residue (CuO) | 19.8 | 20.0 | ||||
| [Cu(4-MeIm)2(Macr)2(H2O)] (2) | 1. | Endothermic | 100 | - | - | melting |
| 2. | Miscellaneous | 120–280 | 39.8 | 39.5 | -H2O, -2(4-MeIm) | |
| 3. | Exothermic | 280–900 | 36.5 | 37.1 | Macr oxidative degradation | |
| Residue (CuO) | 19.3 | 19.1 | ||||
| [Cu(2-EtIm)2(Macr)2] (3) | 1. | Endothermic | 120 | - | - | melting |
| 2. | Miscellaneous | 140–290 | 45.5 | 45.1 | -2(2-EtIm) | |
| 3. | Exothermic | 290–900 | 35.7 | 36.2 | Macr oxidative degradation | |
| Residue (CuO) | 18.8 | 18.7 | ||||
| [Cu(2-EtIm)2(Macr)2]·H2O (4) | 1. | Endothermic | 80–125 | 4.2 | 4.1 | -H2O |
| 2. | Endothermic | 133 | - | - | melting | |
| 3. | Miscellaneous | 145–300 | 43.9 | 43.3 | -2(2-EtIm) | |
| Exothermic | 300–900 | 33.9 | 34.7 | Macr oxidative degradation | ||
| Residue (CuO) | 18.0 | 17.9 | ||||
| [Cu(2-iPrIm)2(Macr)2]·CH3OH (5) | 1. | Endothermic | 155 | - | - | melting |
| 2. | Endothermic | 160–190 | 6.7 | 6.6 | -CH3OH | |
| 3. | Endothermic | 190–380 | 45.3 | 45.5 | -2(2-iPrIm) | |
| 4. | Exothermic | 390–900 | 31.6 | 31.6 | Macr oxidative degradation | |
| Residue (CuO) | 16.4 | 16.3 | ||||
Disclaimer/Publisher’s Note: The statements, opinions and data contained in all publications are solely those of the individual author(s) and contributor(s) and not of MDPI and/or the editor(s). MDPI and/or the editor(s) disclaim responsibility for any injury to people or property resulting from any ideas, methods, instructions or products referred to in the content. |
© 2024 by the authors. Licensee MDPI, Basel, Switzerland. This article is an open access article distributed under the terms and conditions of the Creative Commons Attribution (CC BY) license (https://creativecommons.org/licenses/by/4.0/).
Share and Cite
Teodoru, D.V.; Olar, R.; Maxim, C.; Bacalum, M.; Răileanu, M.; Iorgulescu, E.-E.; Vasile Scăețeanu, G.; Badea, M. Copper(II) Methacrylate Complexes with Imidazole Derivatives—Structural, Spectral and Antitumor Features. Molecules 2024, 29, 4010. https://doi.org/10.3390/molecules29174010
Teodoru DV, Olar R, Maxim C, Bacalum M, Răileanu M, Iorgulescu E-E, Vasile Scăețeanu G, Badea M. Copper(II) Methacrylate Complexes with Imidazole Derivatives—Structural, Spectral and Antitumor Features. Molecules. 2024; 29(17):4010. https://doi.org/10.3390/molecules29174010
Chicago/Turabian StyleTeodoru, Dragoș Vlad, Rodica Olar, Cătălin Maxim, Mihaela Bacalum, Mina Răileanu, Emilia-Elena Iorgulescu, Gina Vasile Scăețeanu, and Mihaela Badea. 2024. "Copper(II) Methacrylate Complexes with Imidazole Derivatives—Structural, Spectral and Antitumor Features" Molecules 29, no. 17: 4010. https://doi.org/10.3390/molecules29174010
APA StyleTeodoru, D. V., Olar, R., Maxim, C., Bacalum, M., Răileanu, M., Iorgulescu, E.-E., Vasile Scăețeanu, G., & Badea, M. (2024). Copper(II) Methacrylate Complexes with Imidazole Derivatives—Structural, Spectral and Antitumor Features. Molecules, 29(17), 4010. https://doi.org/10.3390/molecules29174010

