Hydrogen Production from Ammonia Decomposition: A Mini-Review of Metal Oxide-Based Catalysts
Abstract
1. Introduction
2. Single Metal Oxide Supports
2.1. Al2O3 Support
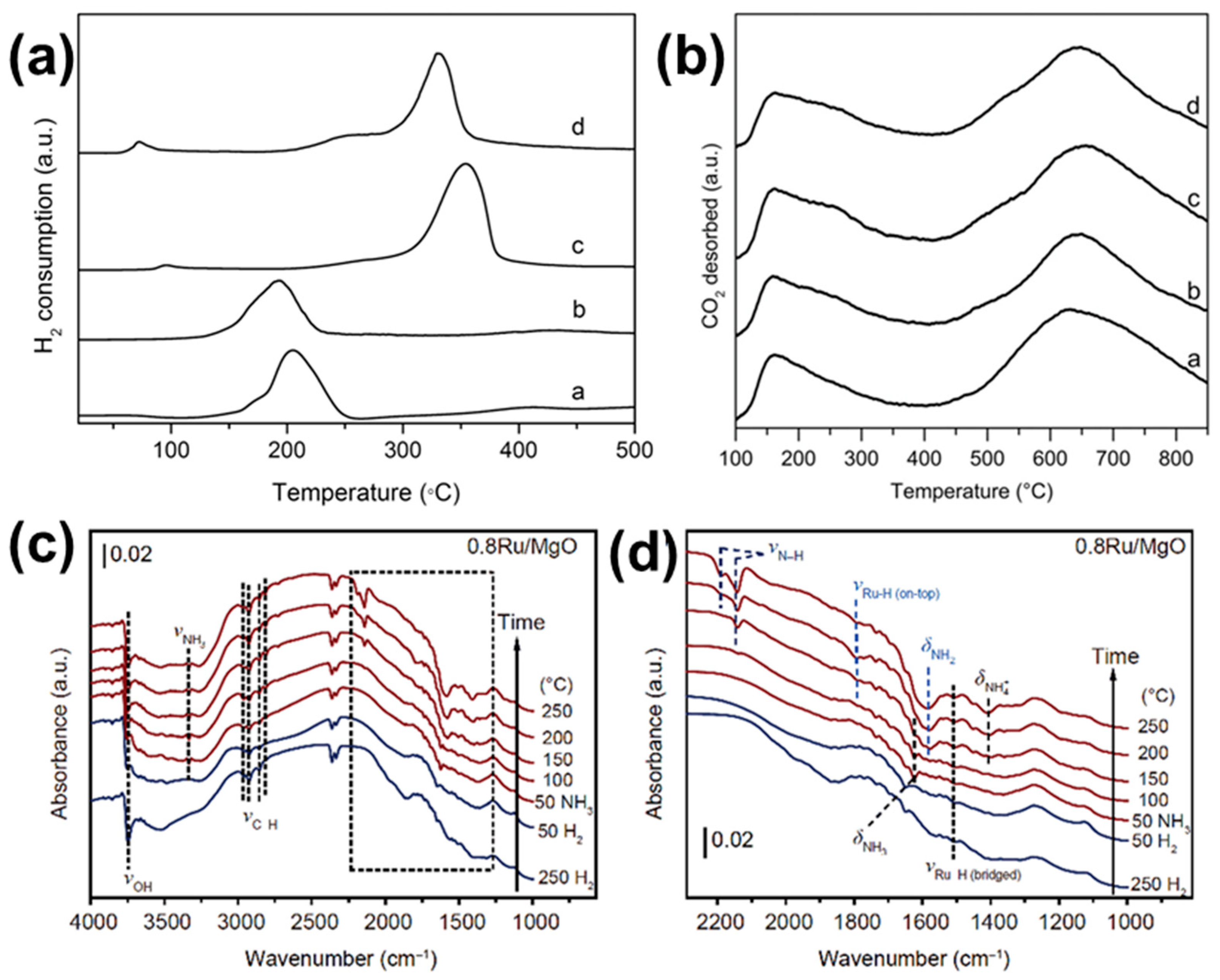
2.2. MgO Support
2.3. Rare Earth Oxide Support
3. Mixed Metal Oxide Supports
3.1. Regulating the Size of Active Site Particles
3.2. Basic Sites on the Surface of Catalyst Supports
3.3. Oxygen Vacancy Defect Sites on Catalyst Carrier Surfaces
3.4. Active Site In Situ Generation
4. Metal Oxides Based on Metal–Organic Frameworks (MOFs)
5. Conclusions and Perspectives
Author Contributions
Funding
Conflicts of Interest
References
- Chen, P.; Xiong, Z.; Luo, J.; Lin, J.; Tan, K.L. Interaction of hydrogen with metal nitrides and imides. Nature 2002, 420, 302–304. [Google Scholar] [CrossRef]
- Zuttel, A. Hydrogen storage methods. Naturwissenschaften 2004, 91, 157–172. [Google Scholar] [CrossRef]
- Gangu, K.K.; Maddila, S.; Mukkamala, S.B.; Jonnalagadda, S.B. Characteristics of MOF, MWCNT and graphene containing materials for hydrogen storage: A review. J. Energy Chem. 2019, 30, 132–144. [Google Scholar] [CrossRef]
- Chen, Z.; Kirlikovali, K.O.; Idrees, K.B.; Wasson, M.C.; Farha, O.K. Porous materials for hydrogen storage. Chem 2022, 8, 693–716. [Google Scholar] [CrossRef]
- Li, G.; Kobayashi, H.; Taylor, J.M.; Ikeda, R.; Kubota, Y.; Kato, K.; Takata, M.; Yamamoto, T.; Toh, S.; Matsumura, S.; et al. Hydrogen storage in Pd nanocrystals covered with a metal–organic framework. Nat. Mater. 2014, 13, 802–806. [Google Scholar] [CrossRef]
- Suresh, K.; Aulakh, D.; Purewal, J.; Siegel, D.J.; Veenstra, M.; Matzger, A.J. Optimizing Hydrogen Storage in MOFs through Engineering of Crystal Morphology and Control of Crystal Size. J. Am. Chem. Soc. 2021, 143, 10727–10734. [Google Scholar] [CrossRef]
- Peng, P.; Anastasopoulou, A.; Brooks, K.; Furukawa, H.; Bowden, M.E.; Long, J.R.; Autrey, T.; Breunig, H. Cost and potential of metal–organic frameworks for hydrogen back-up power supply. Nat. Energy 2022, 7, 448–458. [Google Scholar] [CrossRef]
- Sengupta, D.; Melix, P.; Bose, S.; Duncan, J.; Wang, X.; Mian, M.R.; Kirlikovali, K.O.; Joodaki, F.; Islamoglu, T.; Yildirim, T.; et al. Air-Stable Cu(I) Metal–Organic Framework for Hydrogen Storage. J. Am. Chem. Soc. 2023, 145, 20492–20502. [Google Scholar] [CrossRef]
- Boran, A.; Erkan, S.; Eroglu, I. Hydrogen generation from solid state NaBH4 by using FeCl3 catalyst for portable proton exchange membrane fuel cell applications. Int. J. Hydrogen Energy 2019, 44, 18915–18926. [Google Scholar] [CrossRef]
- Ouyang, L.; Chen, W.; Liu, J.; Felderhoff, M.; Wang, H.; Zhu, M. Enhancing the Regeneration Process of Consumed NaBH4 for Hydrogen Storage. Adv. Energy Mater. 2017, 7, 1700299. [Google Scholar] [CrossRef]
- Kumar, S.; Jain, A.; Miyaoka, H.; Ichikawa, T.; Kojima, Y. Study on the thermal decomposition of NaBH4 catalyzed by ZrCl4. Int. J. Hydrogen Energy 2017, 42, 22432–22437. [Google Scholar] [CrossRef]
- Santos, D.M.F.; Sequeira, C.A.C. Sodium borohydride as a fuel for the future. Renew. Sustain. Energy Rev. 2011, 15, 3980–4001. [Google Scholar] [CrossRef]
- Zhang, M.; Xiao, X.; Luo, B.; Liu, M.; Chen, M.; Chen, L. Superior de/hydrogenation performances of MgH2 catalyzed by 3D flower-like TiO2@C nanostructures. J. Energy Chem. 2020, 46, 191–198. [Google Scholar] [CrossRef]
- Yao, P.; Jiang, Y.; Liu, Y.; Wu, C.; Chou, K.-C.; Lyu, T.; Li, Q. Catalytic effect of Ni@rGO on the hydrogen storage properties of MgH2. J. Magnes. Alloy 2020, 8, 461–471. [Google Scholar] [CrossRef]
- Wang, Y.; Chen, X.; Zhang, H.; Xia, G.; Sun, D.; Yu, X. Heterostructures Built in Metal Hydrides for Advanced Hydrogen Storage Reversibility. Adv. Mater. 2020, 32, 2002647. [Google Scholar] [CrossRef] [PubMed]
- Zhou, C.; Bowman, R.C., Jr.; Fang, Z.Z.; Lu, J.; Xu, L.; Sun, P.; Liu, H.; Wu, H.; Liu, Y. Amorphous TiCu-Based Additives for Improving Hydrogen Storage Properties of Magnesium Hydride. ACS Appl. Mater. Interfaces 2019, 11, 38868–38879. [Google Scholar] [CrossRef] [PubMed]
- Zhou, C.; Fang, Z.Z.; Lu, J.; Zhang, X. Thermodynamic and kinetic destabilization of magnesium hydride using Mg-In solid solution alloys. J. Am. Chem. Soc. 2013, 135, 10982–10985. [Google Scholar] [CrossRef] [PubMed]
- Sun, Q.; Wang, N.; Xu, Q.; Yu, J. Nanopore-Supported Metal Nanocatalysts for Efficient Hydrogen Generation from Liquid-Phase Chemical Hydrogen Storage Materials. Adv. Mater. 2020, 32, 2001818. [Google Scholar] [CrossRef] [PubMed]
- Wu, Y.J.; Wang, C.Y. Insight into the Catalytic Effects of Open Metal Sites in Metal−Organic Frameworks on Hydride Dehydrogenation via Nanoconfinement. ACS Sustain. Chem. Eng. 2019, 7, 16013–16025. [Google Scholar] [CrossRef]
- Bhunya, S.; Zimmerman, P.M.; Paul, A. Unraveling the Crucial Role of Metal-Free Catalysis in Borazine and Polyborazylene Formation in Transition-Metal-Catalyzed Ammonia–Borane Dehydrogenation. ACS Catal. 2015, 5, 3478–3493. [Google Scholar] [CrossRef]
- Wang, Q.; Pan, J.; Guo, J.; Hansen, H.A.; Xie, H.; Jiang, L.; Hua, L.; Li, H.; Guan, Y.; Wang, P.; et al. Ternary ruthenium complex hydrides for ammonia synthesis via the associative mechanism. Nat. Catal. 2021, 4, 959–967. [Google Scholar] [CrossRef]
- Xie, P.; Yao, Y.; Huang, Z.; Liu, Z.; Zhang, J.; Li, T.; Wang, G.; Shahbazian-Yassar, R.; Hu, L.; Wang, C. Highly efficient decomposition of ammonia using high-entropy alloy catalysts. Nat. Commun. 2019, 10, 4011. [Google Scholar] [CrossRef] [PubMed]
- Guo, W.; Vlachos, D.G. Patched bimetallic surfaces are active catalysts for ammonia decomposition. Nat. Commun. 2015, 6, 8619. [Google Scholar] [CrossRef] [PubMed]
- Hansgen, D.A.; Vlachos, D.G.; Chen, J.G. Using first principles to predict bimetallic catalysts for the ammonia decomposition reaction. Nat. Chem. 2010, 2, 484–489. [Google Scholar] [CrossRef] [PubMed]
- Lee, S.A.; Lee, M.G.; Jang, H.W. Catalysts for electrochemical ammonia oxidation: Trend, challenge, and promise. Sci. China Mater. 2022, 65, 3334–3352. [Google Scholar] [CrossRef]
- Zamfirescu, C.; Dincer, I. Using ammonia as a sustainable fuel. J. Power Sources 2008, 185, 459–465. [Google Scholar] [CrossRef]
- Zamfirescu, C.; Dincer, I. Ammonia as a green fuel and hydrogen source for vehicular applications. Fuel Process. Technol. 2009, 90, 729–737. [Google Scholar] [CrossRef]
- Zheng, J.L.; Zhu, Y.H.; Sun, G.T.; Dong, Y.Y.; Zhu, M.Q. Bio-oil gasification for production of the raw gas as ammonia syngas. Fuel 2022, 327, 125029. [Google Scholar] [CrossRef]
- Zheng, J.L.; Zhu, Y.H.; Dong, Y.Y.; Chen, Y.; Zhu, M.Q. Techno-economic analysis and life cycle assessment of industrial production of ammonia via bio-oil conversion. Energy 2023, 280, 128223. [Google Scholar] [CrossRef]
- Mateti, S.; Saranya, L.; Sathikumar, G.; Cai, Q.; Yao, Y.; Chen, Y.I. Nanomaterials enhancing the solid-state storage and decomposition of ammonia. Nanotechnology 2022, 33, 222001. [Google Scholar] [CrossRef]
- Yin, S.F.; Zhang, Q.H.; Xu, B.Q.; Zhu, W.X.; Ng, C.F.; Au, C.T. Investigation on the catalysis of COx-free hydrogen generation from ammonia. J. Catal. 2004, 224, 384–396. [Google Scholar] [CrossRef]
- Yin, S.-F.; Xu, B.-Q.; Ng, C.-F.; Au, C.-T. Nano Ru/CNTs: A highly active and stable catalyst for the generation of COx-free hydrogen in ammonia decomposition. Appl. Catal. B Environ. 2004, 48, 237–241. [Google Scholar] [CrossRef]
- Zhang, H.; Alhamed, Y.A.; Chu, W.; Ye, Z.; AlZahrani, A.; Petrov, L. Controlling Co-support interaction in Co/MWCNTs catalysts and catalytic performance for hydrogen production via NH3 decomposition. Appl. Catal. A Gen. 2013, 464–465, 156–164. [Google Scholar] [CrossRef]
- Zhang, H.; Alhamed, Y.A.; Kojima, Y.; Al-Zahrani, A.A.; Miyaoka, H.; Petrov, L.A. Structure and catalytic properties of Ni/MWCNTs and Ni/AC catalysts for hydrogen production via ammonia decomposition. Int. J. Hydrogen Energy 2014, 39, 277–287. [Google Scholar] [CrossRef]
- Srifa, A.; Okura, K.; Okanishi, T.; Muroyama, H.; Matsui, T.; Eguchi, K. Hydrogen production by ammonia decomposition over Cs-modified Co3Mo3N catalysts. Appl. Catal. B Environ. 2017, 218, 1–8. [Google Scholar] [CrossRef]
- Ogasawara, K.; Nakao, T.; Kishida, K.; Ye, T.-N.; Lu, Y.; Abe, H.; Niwa, Y.; Sasase, M.; Kitano, M.; Hosono, H. Ammonia Decomposition over CaNH-Supported Ni Catalysts via an NH2–-Vacancy-Mediated Mars–van Krevelen Mechanism. ACS Catal. 2021, 11, 11005–11015. [Google Scholar] [CrossRef]
- Lee, Y.; Chang, Y.; Liu, Y.; Chang, Y. Hydrogen production via ammonia decomposition catalyzed by Ni/M–Mo–N (M = Ni, Co) bimetallic nitrides. Int. J. Hydrogen Energy 2022, 47, 32893–32902. [Google Scholar] [CrossRef]
- Huang, C.; Li, H.; Yang, J.; Wang, C.; Hu, F.; Wang, X.; Lu, Z.-H.; Feng, G.; Zhang, R. Ce0.6Zr0.3Y0.1O2 solid solutions-supported Ni-Co bimetal nanocatalysts for NH3 decomposition. Appl. Surf. Sci. 2019, 478, 708–716. [Google Scholar] [CrossRef]
- Wang, Z.; Qu, Y.; Shen, X.; Cai, Z. Ruthenium catalyst supported on Ba modified ZrO2 for ammonia decomposition to COx-free hydrogen. Int. J. Hydrogen Energy 2019, 44, 7300–7307. [Google Scholar] [CrossRef]
- Sima, D.; Wu, H.; Tian, K.; Xie, S.; Foo, J.J.; Li, S.; Wang, D.; Ye, Y.; Zheng, Z.; Liu, Y.-Q. Enhanced low temperature catalytic activity of Ni/Al–Ce0.8Zr0.2O2 for hydrogen production from ammonia decomposition. Int. J. Hydrogen Energy 2020, 45, 9342–9352. [Google Scholar] [CrossRef]
- Karim, W.; Spreafico, C.; Kleibert, A.; Gobrecht, J.; VandeVondele, J.; Ekinci, Y.; van Bokhoven, J.A. Catalyst support effects on hydrogen spillover. Nature 2017, 541, 68–71. [Google Scholar] [CrossRef]
- Gu, Y.; Ma, Y.; Long, Z.; Zhao, S.; Wang, Y.; Zhang, W. One-pot synthesis of supported Ni@Al2O3 catalysts with uniform small-sized Ni for hydrogen generation via ammonia decomposition. Int. J. Hydrogen Energy 2021, 46, 4045–4054. [Google Scholar] [CrossRef]
- Bell, T.E.; Ménard, H.; González Carballo, J.M.; Tooze, R.; Torrente-Murciano, L. Hydrogen production from ammonia decomposition using Co/γ-Al2O3 catalysts—Insights into the effect of synthetic method. Int. J. Hydrogen Energy 2020, 45, 27210–27220. [Google Scholar] [CrossRef]
- Zhang, Z.-S.; Fu, X.-P.; Wang, W.-W.; Jin, Z.; Song, Q.-S.; Jia, C.-J. Promoted porous Co3O4-Al2O3 catalysts for ammonia decomposition. Sci. China Chem. 2018, 61, 1389–1398. [Google Scholar] [CrossRef]
- Henpraserttae, S.; Charojrochkul, S.; Klysubun, W.; Lawtrakul, L.; Toochinda, P. Reduced Temperature Ammonia Decomposition Using Ni/Zr-Doped Al2O3 Catalyst. Catal. Lett. 2018, 148, 1775–1783. [Google Scholar] [CrossRef]
- Fu, E.; Qiu, Y.; Lu, H.; Wang, S.; Liu, L.; Feng, H.; Yang, Y.; Wu, Z.; Xie, Y.; Gong, F.; et al. Enhanced NH3 decomposition for H2 production over bimetallic M(M=Co, Fe, Cu)Ni/Al2O3. Fuel Process. Technol. 2021, 221, 106945. [Google Scholar] [CrossRef]
- Okura, K.; Okanishi, T.; Muroyama, H.; Matsui, T.; Eguchi, K. Promotion effect of rare-earth elements on the catalytic decomposition of ammonia over Ni/Al2O3 catalyst. Appl. Catal. A Gen. 2015, 505, 77–85. [Google Scholar] [CrossRef]
- Ju, X.; Liu, L.; Yu, P.; Guo, J.; Zhang, X.; He, T.; Wu, G.; Chen, P. Mesoporous Ru/MgO prepared by a deposition-precipitation method as highly active catalyst for producing COx-free hydrogen from ammonia decomposition. Appl. Catal. B Environ. 2017, 211, 167–175. [Google Scholar] [CrossRef]
- Ju, X.; Liu, L.; Zhang, X.; Feng, J.; He, T.; Chen, P. Highly Efficient Ru/MgO Catalyst with Surface-Enriched Basic Sites for Production of Hydrogen from Ammonia Decomposition. ChemCatChem 2019, 11, 4161–4170. [Google Scholar] [CrossRef]
- Fang, H.; Wu, S.; Ayvali, T.; Zheng, J.; Fellowes, J.; Ho, P.L.; Leung, K.C.; Large, A.; Held, G.; Kato, R.; et al. Dispersed surface Ru ensembles on MgO(111) for catalytic ammonia decomposition. Nat. Commun. 2023, 14, 647. [Google Scholar] [CrossRef]
- Furusawa, T.; Kuribara, H.; Kimura, K.; Sato, T.; Itoh, N. Development of a Cs-Ru/CeO2 Spherical Catalyst Prepared by Impregnation and Washing Processes for Low-Temperature Decomposition of NH3: Characterization and Kinetic Analysis Results. Ind. Eng. Chem. Res. 2020, 59, 18460–18470. [Google Scholar] [CrossRef]
- Huang, C.; Yu, Y.; Tang, X.; Liu, Z.; Zhang, J.; Ye, C.; Ye, Y.; Zhang, R. Hydrogen generation by ammonia decomposition over Co/CeO2 catalyst: Influence of support morphologies. Appl. Surf. Sci. 2020, 532, 147335. [Google Scholar] [CrossRef]
- Lucentini, I.; Serrano, I.; Soler, L.; Divins, N.J.; Llorca, J. Ammonia decomposition over 3D-printed CeO2 structures loaded with Ni. Appl. Catal. A Gen. 2020, 591, 117382. [Google Scholar] [CrossRef]
- Chen, C.; Fan, X.; Zhou, C.; Lin, L.; Luo, Y.; Au, C.; Cai, G.; Wang, X.; Jiang, L. Hydrogen production from ammonia decomposition over Ni/CeO2 catalyst: Effect of CeO2 morphology. J. Rare Earths 2022, 41, 1014–1021. [Google Scholar] [CrossRef]
- Lucentini, I.; García Colli, G.; Luzi, C.D.; Serrano, I.; Martínez, O.M.; Llorca, J. Catalytic ammonia decomposition over Ni-Ru supported on CeO2 for hydrogen production: Effect of metal loading and kinetic analysis. Appl. Catal. B Environ. 2021, 286, 119896. [Google Scholar] [CrossRef]
- Lucentini, I.; Casanovas, A.; Llorca, J. Catalytic ammonia decomposition for hydrogen production on Ni, Ru and Ni Ru supported on CeO2. Int. J. Hydrogen Energy 2019, 44, 12693–12707. [Google Scholar] [CrossRef]
- Zhou, C.; Wu, K.; Huang, H.; Cao, C.-F.; Luo, Y.; Chen, C.-Q.; Lin, L.; Au, C.; Jiang, L. Spatial Confinement of Electron-Rich Ni Nanoparticles for Efficient Ammonia Decomposition to Hydrogen Production. ACS Catal. 2021, 11, 10345–10350. [Google Scholar] [CrossRef]
- Gong, X.; Gu, Y.Q.; Li, N.; Zhao, H.; Jia, C.J.; Du, Y. Thermally Stable Hierarchical Nanostructures of Ultrathin MoS2 Nanosheet-Coated CeO2 Hollow Spheres as Catalyst for Ammonia Decomposition. Inorg. Chem. 2016, 55, 3992–3999. [Google Scholar] [CrossRef]
- Zhang, X.; Liu, L.; Feng, J.; Ju, X.; Wang, J.; He, T.; Chen, P. Ru Nanoparticles on Pr2O3 as an Efficient Catalyst for Hydrogen Production from Ammonia Decomposition. Catal. Lett. 2021, 152, 1170–1181. [Google Scholar] [CrossRef]
- Zhang, X.; Liu, L.; Feng, J.; Ju, X.; Wang, J.; He, T.; Chen, P. Metal–support interaction-modulated catalytic activity of Ru nanoparticles on Sm2O3 for efficient ammonia decomposition. Catal. Sci. Technol. 2021, 11, 2915–2923. [Google Scholar] [CrossRef]
- Muroyama, H.; Saburi, C.; Matsui, T.; Eguchi, K. Ammonia decomposition over Ni/La2O3 catalyst for on-site generation of hydrogen. Appl. Catal. A Gen. 2012, 443–444, 119–124. [Google Scholar] [CrossRef]
- Karim, A.M.; Prasad, V.; Mpourmpakis, G.; Lonergan, W.W.; Frenkel, A.I.; Chen, J.G.; Vlachos, D.G. Correlating Particle Size and Shape of Supported Ru/γ-Al2O3 Catalysts with NH3 Decomposition Activity. J. Am. Chem. Soc. 2009, 131, 12230–12239. [Google Scholar] [CrossRef]
- Kim, H.B.; Park, E.D. Ammonia decomposition over Ru catalysts supported on alumina with different crystalline phases. Catal. Today 2022, 411–412, 113817. [Google Scholar] [CrossRef]
- Hu, X.-C.; Wang, W.-W.; Si, R.; Ma, C.; Jia, C.-J. Hydrogen production via catalytic decomposition of NH3 using promoted MgO-supported ruthenium catalysts. Sci. China Chem. 2019, 62, 1625–1633. [Google Scholar] [CrossRef]
- Feng, J.; Zhang, X.; Wang, J.; Ju, X.; Liu, L.; Chen, P. Applications of rare earth oxides in catalytic ammonia synthesis and decomposition. Catal. Sci. Technol. 2021, 11, 6330–6343. [Google Scholar] [CrossRef]
- Okura, K.; Okanishi, T.; Muroyama, H.; Matsui, T.; Eguchi, K. Ammonia Decomposition over Nickel Catalysts Supported on Rare-Earth Oxides for the On-Site Generation of Hydrogen. ChemCatChem 2016, 8, 2988–2995. [Google Scholar] [CrossRef]
- Feng, J.; Liu, L.; Ju, X.; Wang, J.; Zhang, X.; He, T.; Chen, P. Highly Dispersed Ruthenium Nanoparticles on Y2O3 as Superior Catalyst for Ammonia Decomposition. ChemCatChem 2021, 13, 1552–1558. [Google Scholar] [CrossRef]
- Huang, C.; Yu, Y.; Yang, J.; Yan, Y.; Wang, D.; Hu, F.; Wang, X.; Zhang, R.; Feng, G. Ru/La2O3 catalyst for ammonia decomposition to hydrogen. Appl. Surf. Sci. 2019, 476, 928–936. [Google Scholar] [CrossRef]
- Zhao, J.; Xu, S.; Wu, H.; You, Z.; Deng, L.; Qiu, X. Metal-support interactions on Ru/CaAlOx catalysts derived from structural reconstruction of Ca-Al layered double hydroxides for ammonia decomposition. Chem. Commun. 2019, 55, 14410–14413. [Google Scholar] [CrossRef]
- Sayas, S.; Morlanés, N.; Katikaneni, S.P.; Harale, A.; Solami, B.; Gascon, J. High pressure ammonia decomposition on Ru–K/CaO catalysts. Catal. Sci. Technol. 2020, 10, 5027–5035. [Google Scholar] [CrossRef]
- Morlanés, N.; Sayas, S.; Shterk, G.; Katikaneni, S.P.; Harale, A.; Solami, B.; Gascon, J. Development of a Ba–CoCe catalyst for the efficient and stable decomposition of ammonia. Catal. Sci. Technol. 2021, 11, 3014–3024. [Google Scholar] [CrossRef]
- Nagaoka, K.; Eboshi, T.; Abe, N.; Miyahara, S.-i.; Honda, K.; Sato, K. Influence of basic dopants on the activity of Ru/Pr6O11 for hydrogen production by ammonia decomposition. Int. J. Hydrogen Energy 2014, 39, 20731–20735. [Google Scholar] [CrossRef]
- Weidenthaler, C.; Schmidt, W.; Leiting, S.; Ternieden, J.; Kostis, A.; Ulucan, T.H.; Budiyanto, E. In-situ Investigations of Co@Al2O3 Ammonia Decomposition Catalysts: The Interaction between Support and Catalyst. ChemCatChem 2022, 14, e202200688. [Google Scholar] [CrossRef]
- Hu, Z.; Mahin, J.; Torrente-Murciano, L. A MOF-templated approach for designing ruthenium–cesium catalysts for hydrogen generation from ammonia. Int. J. Hydrogen Energy 2019, 44, 30108–30118. [Google Scholar] [CrossRef]
- Deng, L.; Lin, H.; Liu, X.; Xu, J.; Zhou, Z.; Xu, M. Nickel nanoparticles derived from the direct thermal reduction of Ni-containing Ca–Al layered double hydroxides for hydrogen generation via ammonia decomposition. Int. J. Hydrogen Energy 2021, 46, 38351–38362. [Google Scholar] [CrossRef]
- Qiu, Y.; Fu, E.; Gong, F.; Xiao, R. Catalyst support effect on ammonia decomposition over Ni/MgAl2O4 towards hydrogen production. Int. J. Hydrogen Energy 2022, 47, 5044–5052. [Google Scholar] [CrossRef]
- Su, Q.; Gu, L.; Yao, Y.; Zhao, J.; Ji, W.; Ding, W.; Au, C.-T. Layered double hydroxides derived Nix(MgyAlzOn) catalysts: Enhanced ammonia decomposition by hydrogen spillover effect. Appl. Catal. B Environ. 2017, 201, 451–460. [Google Scholar] [CrossRef]
- Im, Y.; Muroyama, H.; Matsui, T.; Eguchi, K. Ammonia decomposition over nickel catalysts supported on alkaline earth metal aluminate for H2 production. Int. J. Hydrogen Energy 2020, 45, 26979–26988. [Google Scholar] [CrossRef]
- Yu, Y.; Gan, Y.-M.; Huang, C.; Lu, Z.-H.; Wang, X.; Zhang, R.; Feng, G. Ni/La2O3 and Ni/MgO–La2O3 catalysts for the decomposition of NH3 into hydrogen. Int. J. Hydrogen Energy 2020, 45, 16528–16539. [Google Scholar] [CrossRef]
- Le, T.A.; Kim, Y.; Kim, H.W.; Lee, S.-U.; Kim, J.-R.; Kim, T.-W.; Lee, Y.-J.; Chae, H.-J. Ru-supported lanthania-ceria composite as an efficient catalyst for COx-free H2 production from ammonia decomposition. Appl. Catal. B Environ. 2021, 285, 119831. [Google Scholar] [CrossRef]
- Okura, K.; Miyazaki, K.; Muroyama, H.; Matsui, T.; Eguchi, K. Ammonia decomposition over Ni catalysts supported on perovskite-type oxides for the on-site generation of hydrogen. RSC Adv. 2018, 8, 32102–32110. [Google Scholar] [CrossRef]
- Pinzón, M.; Sánchez-Sánchez, A.; Romero, A.; de la Osa, A.R.; Sánchez, P. Self-combustion Ni and Co-based perovskites as catalyst precursors for ammonia decomposition. Effect of Ce and Mg doping. Fuel 2022, 323, 124384. [Google Scholar] [CrossRef]
- Cao, C.-F.; Wu, K.; Zhou, C.; Yao, Y.-H.; Luo, Y.; Chen, C.-Q.; Lin, L.; Jiang, L. Electronic metal-support interaction enhanced ammonia decomposition efficiency of perovskite oxide supported ruthenium. Chem. Eng. Sci. 2022, 257, 117719. [Google Scholar] [CrossRef]
- Wu, K.; Cao, C.-F.; Zhou, C.; Luo, Y.; Chen, C.-Q.; Lin, L.; Au, C.; Jiang, L. Engineering of Ce3+-O-Ni structures enriched with oxygen vacancies via Zr doping for effective generation of hydrogen from ammonia. Chem. Eng. Sci. 2021, 245, 116818. [Google Scholar] [CrossRef]
- Gu, Y.-Q.; Jin, Z.; Zhang, H.; Xu, R.-J.; Zheng, M.-J.; Guo, Y.-M.; Song, Q.-S.; Jia, C.-J. Transition metal nanoparticles dispersed in an alumina matrix as active and stable catalysts for COx-free hydrogen production from ammonia. J. Mater. Chem. A 2015, 3, 17172–17180. [Google Scholar] [CrossRef]
- Gu, Y.-Q.; Fu, X.-P.; Du, P.-P.; Gu, D.; Jin, Z.; Huang, Y.-Y.; Si, R.; Zheng, L.-Q.; Song, Q.-S.; Jia, C.-J.; et al. In Situ X-ray Diffraction Study of Co–Al Nanocomposites as Catalysts for Ammonia Decomposition. J. Phys. Chem. C 2015, 119, 17102–17110. [Google Scholar] [CrossRef]
- Yan, H.; Xu, Y.-J.; Gu, Y.-Q.; Li, H.; Wang, X.; Jin, Z.; Shi, S.; Si, R.; Jia, C.-J.; Yan, C.-H. Promoted Multimetal Oxide Catalysts for the Generation of Hydrogen via Ammonia Decomposition. J. Phys. Chem. C 2016, 120, 7685–7696. [Google Scholar] [CrossRef]
- Wu, C.P.; Jin, Z.; Xu, K.; Wang, W.W.; Jia, C.J. CoaSmbOx Catalyst with Excellent Catalytic Performance for NH3 Decomposition. Chin. J. Chem. 2021, 39, 2359–2366. [Google Scholar] [CrossRef]
- Hu, X.-C.; Wang, W.-W.; Jin, Z.; Wang, X.; Si, R.; Jia, C.-J. Transition metal nanoparticles supported La-promoted MgO as catalysts for hydrogen production via catalytic decomposition of ammonia. J. Energy Chem. 2019, 38, 41–49. [Google Scholar] [CrossRef]
- Do, Q.C.; Kim, Y.; Le, T.A.; Kim, G.J.; Kim, J.-R.; Kim, T.-W.; Lee, Y.-J.; Chae, H.-J. Facile one-pot synthesis of Ni-based catalysts by cation-anion double hydrolysis method as highly active Ru-free catalysts for green H2 production via NH3 decomposition. Appl. Catal. B Environ. 2022, 307, 121167. [Google Scholar] [CrossRef]
- Tabassum, H.; Mukherjee, S.; Chen, J.; Holiharimanana, D.; Karakalos, S.; Yang, X.; Hwang, S.; Zhang, T.; Lu, B.; Chen, M.; et al. Hydrogen generation via ammonia decomposition on highly efficient and stable Ru-free catalysts: Approaching complete conversion at 450 °C. Energy Environ. Sci. 2022, 15, 4190–4200. [Google Scholar] [CrossRef]
- Li, J.; Wang, W.; Chen, W.; Gong, Q.; Luo, J.; Lin, R.; Xin, H.; Zhang, H.; Wang, D.; Peng, Q.; et al. Sub-nm ruthenium cluster as an efficient and robust catalyst for decomposition and synthesis of ammonia: Break the “size shackles”. Nano Res. 2018, 11, 4774–4785. [Google Scholar] [CrossRef]
- Akarçay, Ö.; Kurtoğlu, S.F.; Uzun, A. Ammonia decomposition on a highly-dispersed carbon-embedded iron catalyst derived from Fe-BTC: Stable and high performance at relatively low temperatures. Int. J. Hydrogen Energy 2020, 45, 28664–28681. [Google Scholar] [CrossRef]










| Catalyst | Active Metal Content/wt % | GHSV /mL gcat−1 h−1 | Ta/°C | NH3 Conversion/% | Tb/°C | H2 Formation Rate | Ref. |
|---|---|---|---|---|---|---|---|
| 7.6Co/Al2O3-carb | 7.6 (Co) | 6000 | 550 | 100 | 500 | 156.4 a | [43] |
| Co-Ni/Al2O3 | 4.72 (Co) 4.91 (Ni) | 30,000 | 700 | 100 | - | - | [46] |
| Ni@Al2O3 | 25 (Ni) | 24,000 | 600 | 93.9 | 450 | 7.8 b | [42] |
| Ru/κ-Al2O3(C300) | 1.3 (Ru) | 60,000 | 450 | 80 | 400 | 42 a | [63] |
| Co@Al2O3-550 | 8 (Co) | 15,000 | 550 | 70 | - | - | [73] |
| K-5%Ru/MgO-DP | 3.5 (Ru) | 36,000 | 475 | 100 | 475 | 40.2 b | [48] |
| Ru/c-MgO | 4.7 (Ru) | 30,000 | 450 | 80.6 | 450 | 27 b | [49] |
| Ru/MgO | 1.7 (Ru) | 60,000 | 450 | 83 | 450 | 36 b | [74] |
| Ru/MgO(111) | 3.1 (Ru) | 60,000 | 450 | 82.2 | 450 | 106.6 a | [50] |
| Ni/La2O3 | 40 (Ni) | 6000 | 550 | 78.9 | - | - | [61] |
| Ru/Cs2O/Pr6O11 | 5 (Ru) 2.5 (Cs) | 3000 | 350 | 93 | - | - | [72] |
| Ni/Y2O3 | 40 (Ni) | 6000 | 500 | 62.2 | - | - | [66] |
| Ru/La2O3-700-i | 4.8 (Ru) | 18,000 | 525 | 90.7 | 450 | 11.7 b | [68] |
| Co/CeO2-3DOM | 5 (Co) | 6000 | 500 | 62 | 500 | 4.2 b | [52] |
| Cs-Ru/CeO2 | 8.92 (Ru) 2.82 (Cs) | 2000 | 300 | 80 | - | - | [51] |
| Ru/Y2O3 | 5 (Ru) | 30,000 | 460 | 97 | 450 | 30.81 a | [67] |
| Ru/Sm2O3-p | 3.8 (Ru) | 30,000 | 450 | 84.6 | 450 | 25.9 b | [60] |
| Ni-Ru/CeO2 | 2.39 (Ni) 0.35 (Ru) | 3660 | 450 | 88.7 | - | - | [55] |
| Ru/Pr2O3 | 5 (Ru) | 30,000 | 450 | 68.2 | 450 | 20.9 b | [59] |
| Ni/CeO2-R | 8.41 (Ni) | 30,000 | 650 | 88 | 550 | 10.46 a | [54] |
| Catalyst | Active Metal Content | GHSV /mL gcat−1 h−1 | Ta/°C | NH3 Conversion/% | Tb/°C | H2 Formation Rate | Ref. |
|---|---|---|---|---|---|---|---|
| La-modified Ni/Al2O3 | 19 (Ni) a | 6000 | 550 | 92 | - | - | [47] |
| (Co,Al)2O4 | 90/10 (Co/Al) b | 18,000 | 600 | 100 | - | - | [86] |
| 90CoAlOx | 90/10 (Co/Al) b | 36,000 | 600 | 100 | - | - | [85] |
| Ni0.5Ce0.1Al0.4Ox | 5/1/4 (Ni/Ce/Al) b | 18,000 | 500 | 90 | 400 | 109 d | [87] |
| Ni/Zr-doped Al2O3 | 20 (Ni) a | 7500 | 550 | 79.8 | 600 | 6.6 d | [45] |
| Ru/CaAlOx | 3.5 (Ru) a | 6000 | 500 | 98.2 | - | - | [69] |
| 20Co/La-MgO(5) | 20 (Co) a | 124,000 | 550 | 62 | 550 | 91 d | [89] |
| Ni1Co9/CZY | 1 (Ni) a 9 (Co) | 6000 | 600 | 100 | - | - | [38] |
| Cs-Ru/Ba-ZrO2 | 3 (Ru) a | 30,000 | 450 | 37.8 | 450 | 12.7 d | [39] |
| Ni/Al-Ce0.8Zr0.2O2 | 8 (Ni) a | 9000 | 640 | 100 | - | - | [40] |
| Ni/MgO-La2O3 | 5 (Ni) a | 30,000 | 650 | 54 | 650 | 1258 c | [79] |
| Ni/Ba-Al-O | 20 (Ni) a | 6000 | 550 | 95 | - | - | [78] |
| Ni/Ce0.85Zr0.15O2 | 9.7 (Ni) a | 30,000 | 600 | 88 | - | - | [84] |
| 0.5%Ba/CoCe (80/20) | 41.4 (Co) a 23.5 (Ce) 0.45 (Ba) | 9000 | 450 | 80 | - | - | [71] |
| Co0.7Sm0.3Ox | 7/3 (Co/Sm) b | 23,000 | 550 | 100 | 500 | 97.2 d | [88] |
| Ru/La0.33Ce0.67 | 1.8(Ru) a | 6000 | 400 | 90 | 400 | 6.2 d | [80] |
| 20Ni/Al1Ce0.05Ox | 19.3 (Ni) a | 6000 | 500 | 100 | 500 | 5.7 d | [90] |
| K-CoNi/MgO-CeO2-SrO | 40 (Co) a 10 (Ni) 2/1/12 (Mg/Ce/Sr) b | 18,000 | 475 | 93 | 450 | 8.26 d | [91] |
| Ni/CaAlOx(NO3−)-R | 24.7 (Ni) a | 6000 | 500 | 89.1 | - | - | [75] |
| Ni/MgAl2O4-LDH | 4.49 (Ni) a | 30,000 | 650 | 100 | 600 | 29.71 d | [76] |
| Ru/La0.8Sr0.2AlO3 | 2.55 (Ru) a | 30,000 | 500 | 71.6 | 500 | 56.46 c | [83] |
| La0.1Mg0.9NiO3 | 1/9/10 (La/Mg/Ni) b | 75,000 | 350 | 72.3 | 350 | 3 d | [82] |
| Catalyst | MOF Precursor | Active Metal Content/wt% | GHSV /mL gcat−1 h−1 | T/°C | NH3 Conversion/% | Ref. |
|---|---|---|---|---|---|---|
| Ru-Cs/MPC-ZrO2 | UiO-66-NH2 | 5 (Ru) 5 (Cs) | 6000 | 400 | 66.7 | [74] |
| Ru-Cs/MgO-MIL | MIL-101(Cr) | 4 (Ru) | 15,000 | 450 | 100 | [92] |
| Fe-BTC@400 | Fe-BTC | 34.7 (Fe) | 6000 | 500 | 73.8 | [93] |
Disclaimer/Publisher’s Note: The statements, opinions and data contained in all publications are solely those of the individual author(s) and contributor(s) and not of MDPI and/or the editor(s). MDPI and/or the editor(s) disclaim responsibility for any injury to people or property resulting from any ideas, methods, instructions or products referred to in the content. |
© 2024 by the authors. Licensee MDPI, Basel, Switzerland. This article is an open access article distributed under the terms and conditions of the Creative Commons Attribution (CC BY) license (https://creativecommons.org/licenses/by/4.0/).
Share and Cite
Xi, S.; Wu, W.; Yao, W.; Han, R.; He, S.; Wang, W.; Zhang, T.; Yu, L. Hydrogen Production from Ammonia Decomposition: A Mini-Review of Metal Oxide-Based Catalysts. Molecules 2024, 29, 3817. https://doi.org/10.3390/molecules29163817
Xi S, Wu W, Yao W, Han R, He S, Wang W, Zhang T, Yu L. Hydrogen Production from Ammonia Decomposition: A Mini-Review of Metal Oxide-Based Catalysts. Molecules. 2024; 29(16):3817. https://doi.org/10.3390/molecules29163817
Chicago/Turabian StyleXi, Senliang, Wenying Wu, Wenhao Yao, Ruodan Han, Sha He, Wenju Wang, Teng Zhang, and Liang Yu. 2024. "Hydrogen Production from Ammonia Decomposition: A Mini-Review of Metal Oxide-Based Catalysts" Molecules 29, no. 16: 3817. https://doi.org/10.3390/molecules29163817
APA StyleXi, S., Wu, W., Yao, W., Han, R., He, S., Wang, W., Zhang, T., & Yu, L. (2024). Hydrogen Production from Ammonia Decomposition: A Mini-Review of Metal Oxide-Based Catalysts. Molecules, 29(16), 3817. https://doi.org/10.3390/molecules29163817

