Thermodynamic Studies of Complexes in Cu(II)/Uridine-5′-Diphosphoglucuronic Acid System
Abstract
1. Introduction
2. Results and Discussion
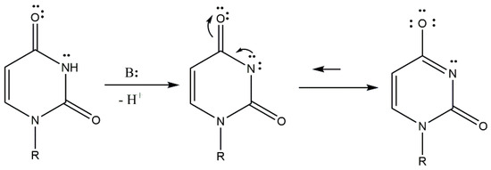
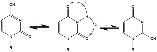
2.1. Protonation of the Ligand
| Species | logβ [33] | logKe | Reaction |
|---|---|---|---|
| (UDP-GluA)H | 8.66(2); 9.40 [33] | 8.66 | (UDP-GluA)4− + H+ ⇌ (UDP-GluA)H3− |
| (UDP-GluA)H2 | 11.67(4); 12.79 [33] | 3.01 | (UDP-GluA)H3− + H+ ⇌ (UDP-GluA)H22− |
| (UDP-GluA)H3 | 13.85(5); 14.19 [33] | 2.17 | (UDP-GluA)H22− + H+ ⇌ (UDP-GluA)H3− |
2.2. Binary System of Copper (II) Ion/Uridine-5′-Diphosphoglucuronic Acid
2.3. Spectroscopic Studies
2.3.1. UV-Vis and EPR Spectroscopy
2.3.2. CD Spectroscopy
2.3.3. NMR Spectroscopy
2.3.4. Cytotoxicity and Metabolic Activity Tests
3. Materials and Methods
3.1. Materials
3.2. Potentiometric Studies
3.3. UV-Vis Spectroscopy
3.4. EPR Spectroscopy
3.5. NMR Spectroscopy
3.6. CD Spectroscopy
3.7. Cell Line and Cell Culture
3.8. MTT Assay
4. Conclusions
Author Contributions
Funding
Institutional Review Board Statement
Informed Consent Statement
Data Availability Statement
Conflicts of Interest
Abbreviations
References
- Varki, A. Biological role of glycans. Glycobiology 2017, 27, 3–49. [Google Scholar] [CrossRef] [PubMed]
- Fuster, M.M.; Esko, J.D. The Sweet and Sour of Cancer: Glycans as Novel Therapeutic Targets. Nat. Rev. Cancer 2005, 5, 526–542. [Google Scholar] [CrossRef] [PubMed]
- Dube, D.H.; Bertozzi, C.R. Glycans in cancer and inflammation—Potential for therapeutics and diagnostics. Nat. Rev. Drug Discov. 2005, 4, 477–488. [Google Scholar] [CrossRef] [PubMed]
- Schachter, H. Biosynthetic controls that determine the branching and microheterogeneity of protein-bound oligosaccharides. Biochem. Cell Biol. 1986, 64, 163–181. [Google Scholar] [CrossRef] [PubMed]
- Dennis, J.W.; Nabi, I.R.; Demetriou, M. Metabolism, Cell Surface Organization, and Disease. Cell 2009, 139, 1229–1241. [Google Scholar] [CrossRef] [PubMed]
- Brewer, C.F.; Miceli, M.C.; Baum, L.G. Clusters, bundles, arrays, and lattices: Novel mechanisms for lectin–saccharide- mediated cellular interactions. Curr. Opin. Struct. Biol. 2002, 12, 616–623. [Google Scholar] [CrossRef] [PubMed]
- Angelova, M.; Asenova, S.; Nedkova, V.; Koleva-Kolarova, R. Copper in the human organism. Tarika J. Sci. 2011, 9, 88–98. [Google Scholar]
- Osredkar, J.; Sustar, N. Copper and Zinc, Biological Role and Significance of Copper/Zinc Imbalance. J. Clin. Toxicol. 2011, 3, 1–18. [Google Scholar] [CrossRef]
- Hoffmann, S.K.; Goslar, J.; Bregier-Jarzebowska, R.; Gasowska, A.; Zalewska, A.; Lomozik, L. Copper(II) ions interactions in the system with triamines and ATP. J. Inorg. Biochem. 2017, 177, 89–100. [Google Scholar] [CrossRef] [PubMed]
- Horodyjewska, A.; Popiolek, L.; Kocot, J. The many “faces” of copper in medicine and treatment. Biometals 2014, 27, 611–621. [Google Scholar] [CrossRef] [PubMed]
- Hung, Y.H.; Bush, A.I.; Cherny, R.A. Copper in the brain and Alzheimer’s disease. J. Biol. Inorg. Chem. 2010, 15, 61–76. [Google Scholar] [CrossRef] [PubMed]
- Bagheri, S.; Squitti, R.; Haertle, T.; Siotto, M.; Saboury, A.A. Role of Copper in the Onset of Alzheimer’s Disease Compared to Other Metals. Front. Aging Neurosci. 2018, 9, 446. [Google Scholar] [CrossRef] [PubMed]
- Kaczkowski, J. Podstawy Biochemii, 15th ed.; Wydawnictwo Naukowe PWN: Warszawa, Poland, 2017; pp. 173–215. [Google Scholar]
- Belmont, P.; Constant, J.F.; Demeunynck, M. Nucleic acid conformation diversity: From structure to function and regulation. R. Soc. Chem. 2001, 30, 70–81. [Google Scholar] [CrossRef]
- Lomozik, L.; Jastrzab, R. Interference of Copper(II) ions with Non-covalent Interactions in Uridine or Uridine 5′-Monophosphate Systems with Adenosine, Cytidine, Thymidine and their Monophosphates in Aqueous Solution. J. Solut. Chem. 2007, 36, 357–374. [Google Scholar] [CrossRef]
- Saenger, W. Structure and Function of Nucleosides and Nucleotides. Angew. Chem. Int. Ed. Engl. 1973, 12, 591–601. [Google Scholar] [CrossRef] [PubMed]
- Yamamoto, T.; Koyama, H.; Kurajoh, M.; Shoji, T.; Tsutsumi, Z.; Moriwaki, Y. Biochemistry of uridine in plasma. Clin. Chim. Acta 2011, 412, 1712–1724. [Google Scholar] [CrossRef] [PubMed]
- Dobolyi, A.; Juhasz, G.; Kovacs, Z.; Kardos, J. Uridine Function in the Central Nervous System. Curr. Top. Med. Chem. 2011, 11, 1058–1067. [Google Scholar] [CrossRef] [PubMed]
- Cansev, M. Uridine and cytidine in the brain: Their transport and utilization. Brain Res. Rev. 2006, 52, 389–397. [Google Scholar] [CrossRef]
- Berg, J.M.; Tymoczko, J.L.; Stryer, L. Biochemistry, 5th ed.; W.H. Freeman and Company: New York, NY, USA, 2002; pp. 865–870. [Google Scholar]
- Zhang, N.; Yin, Y.; Xu, J.S.; Chen, W.S. 5-Fluorouracil: Mechanisms of Resistance and Reversal Strategies. Molecules 2008, 13, 1551–1569. [Google Scholar] [CrossRef] [PubMed]
- Lomozik, L.; Jastrzab, R.; Gasowska, A. Interactions in binary and ternary systems including Cu(II), uridine, uridine-5′-monophosphate or diamine. Polyhedron 2000, 19, 1145–1154. [Google Scholar] [CrossRef]
- Wojnarowska, Z.; Paluch, M.; Wlodarczyk, P.; Dulski, M.; Wrzalik, R.; Roland, C.M. Tracking of Proton Transfer Reaction in Supercooled RNA Nucleoside. J. Pchysical Chem. Lett. 2012, 3, 2288–2292. [Google Scholar] [CrossRef] [PubMed]
- Fedeles, B.I.; Li, D.; Singh, V. Structural Insights into Tautomeric Dynamics in Nucleic Acids and in Antiviral Nucleoside Analogs. Front. Mol. Biosci. 2022, 8, 823253. [Google Scholar] [CrossRef] [PubMed]
- Singh, V.; Fedeles, B.I.; Essigmann, J.M. Role of Tautomerism in RNA Biochemistry. RNA 2015, 21, 1–13. [Google Scholar] [CrossRef] [PubMed]
- Vina, I.; Linde, R.; Patetko, A.; Sejmonows, P. Glucuronic acid from fermented beverages: Biochemical functions in humans and its role in health protection. IJRRAS 2013, 14, 217–230. [Google Scholar]
- Dutton, G.J. Glucuronic Acid Free and Combined; Academic Press: New York, NY, USA; London, UK, 1966; pp. 1–631. [Google Scholar]
- Jastrzab, R.; Nowak, M.; Skrobanska, M.; Zabiszak, M. Complexation copper(II) or magnesium ions with D-glucuronic acid—Potentiometric, spectral and theoretical studies. J. Coord. Chem. 2016, 69, 2174–2181. [Google Scholar] [CrossRef]
- Vina, I.; Sejmonows, P.; Linde, R.; Patetko, A. Glucuronic acid containing fermented functional beverages produced by natural yeasts and bacteria associations. IJRRAS 2013, 14, 17–25. [Google Scholar]
- Richel, A.; Laurent, P.; Wathelet, B.; Wathelet, J.; Paquot, M. Microwave-assisted synthesis of D-glucuronic acid derivatives using cost-effective solid acid catalysts. Tetrahedron Lett. 2010, 51, 1356–1360. [Google Scholar] [CrossRef]
- Ferrari, E.; Grandi, R.; Lazzari, S.; Saladini, M. Hg(II)-coordination by sugar-acids: Role of the hydroxyl groups. J. Inorg. Biochem. 2005, 99, 2381–2386. [Google Scholar] [CrossRef] [PubMed]
- Capiello, M.; Giuliani, L.; Rane, A.; Pacifici, G.M. Uridine-5′-diphosphoglucuronic acid (UDPGlcUA)in the human fetal liver, kidney and placenta. Eur. J. Drug Pharmacokinet. 2000, 25, 161–163. [Google Scholar] [CrossRef] [PubMed]
- Hauser, S.C.; Ziurys, J.C.; Gollan, J.L. A membrane transporter mediates access of uridine 5′-diphosphoglucuronic acid from the cytosol into the endoplasmic reticulum of rat hepatocytes: Implications for glucuronidation reactions. Biochem. Biophys. Acta 1988, 967, 149–157. [Google Scholar] [CrossRef] [PubMed]
- Jastrzab, R.; Lomozik, L. Coordination mode in the binary systems of copper(II)/O-phospho-L-serine. J. Coord. Chem. 2009, 62, 710–720. [Google Scholar] [CrossRef]
- Glasoe, P.K.; Long, F.A. Use of glass electrodes to measure acidities in deuterium oxide. J. Phys. Chem. 1960, 64, 188–190. [Google Scholar] [CrossRef]
- Garribba, E.; Lodyga-Chruscinska, E.; Sanna, D.; Micera, G. Oxovanadium(IV) binding to ligands containing donor sites of biological relevance. Inorganica Chim. Acta 2001, 322, 87–98. [Google Scholar] [CrossRef]
- Kacprzak, K.; Grajewski, J.; Gawronski, J. Indicator displacement sensor for efficient determination of α-hydroxydicarboxilic acids and their chiral discrimination. Tetrahedron Asymmetry 2006, 17, 1332–1336. [Google Scholar] [CrossRef]
- Hoffmann, M.; Grajewski, J.; Gawronski, J. Extending the applications of circular dichroism in structure elucidation: Aqueous environment breaks the symmetry of tartrate dianion. New J. Chem. 2010, 34, 2020–2026. [Google Scholar] [CrossRef]










| Species | logβ | logKe | Reaction |
|---|---|---|---|
| Cu(UDP-GluA)H2 | 15.61(3) | 3.94 | Cu2+ + (UDP-GluA)H2 ⇌ Cu(UDP-GluA)H2 |
| Cu(UDP-GluA)H | 12.52(2) | 3.86 | Cu2+ + (UDP-GluA)H ⇌ Cu(UDP-GluA)H |
| Cu(UDP-GluA)(OH) | −0.78(2) | 12.98 | Cu2+ + (UDP-GluA) + H2O ⇌ Cu(UDP-GluA)(OH) + H+ |
| Cu(UDP-GluA)(OH)3 | −20.87(3) | 7.45 | Cu(UDP-GluA)(OH) + 2H2O ⇌ Cu(UDP-GluA)(OH)3 + 2H+ |
| Species | pH | gǁ | Aǁ [cm−1] | λmax [nm] | ε [M−1cm1] | Abs. | Chromophore | Proposed Mode of Coordination |
|---|---|---|---|---|---|---|---|---|
| Cu(UDP-GluA)H2 | 2.5 | 2.39 | 136 × 10−4 | 810 | 23 | 0.023 | {1O} | ![]() |
| Cu(UDP-GluA)H | 5.0 | 2.37 | 145 × 10−4 | 800 | 30 | 0.030 | {1O} | ![]() |
| Cu(UDP-GluA)(OH) | 8.0 | - | - | 710 | 93 | 0.093 | {1N, 2O} | ![]() |
| Cu(UDP-GluA)(OH)3 | 10.5 | - | - | 690 | 112 | 0.112 | {1N, 3O} | ![]() |
| pH | 2.5 | 5.0 | 8.0 | 10.5 |
|---|---|---|---|---|
| Δε (nm) | 2.98 (272) | 2.91 (267) | 2.85 (267) | 4.21 (262) |
| −0.95 (239) | −0.85 (239) | −0.70 (239) | −0.98 (237) | |
| −1.01 (224) | −1.11 (228) | −0.19 (227) | −1.94 (227) | |
| −1.15 (219) | −0.50 (219) | −2.70 (218) |
| System | pH | (UDP-GluA) | ||||
|---|---|---|---|---|---|---|
| C2 | C4 | C6′ | P1 | P2 | ||
| Cu(UDP-GluA)H | 5.0 | 0.06 | −0.03 | 0.20 | - | 7.93 |
| Cu(UDP-GluA)(OH) | 8.0 | −0.05 | −0.91 | 0.07 | 0.16 | 4.50 |
| Species | 24 h | 72 h |
|---|---|---|
| (UDP-GluA) pH5 | 0.317 ± 0.006 | 0.781 ± 0.005 |
| Cu(UDP-GluA) pH5 | 0.377 ± 0.005 | 0.116 ± 0.005 |
| (UDP-GluA) pH8 | 0.295 ± 0.004 | n.d. * |
| Cu(UDP-GluA) pH8 | 1.719 ± 0.01 | 0.094 ± 0.004 |
Disclaimer/Publisher’s Note: The statements, opinions and data contained in all publications are solely those of the individual author(s) and contributor(s) and not of MDPI and/or the editor(s). MDPI and/or the editor(s) disclaim responsibility for any injury to people or property resulting from any ideas, methods, instructions or products referred to in the content. |
© 2024 by the authors. Licensee MDPI, Basel, Switzerland. This article is an open access article distributed under the terms and conditions of the Creative Commons Attribution (CC BY) license (https://creativecommons.org/licenses/by/4.0/).
Share and Cite
Stachowiak, K.; Zabiszak, M.; Grajewski, J.; Teubert, A.; Bajek, A.; Jastrzab, R. Thermodynamic Studies of Complexes in Cu(II)/Uridine-5′-Diphosphoglucuronic Acid System. Molecules 2024, 29, 3695. https://doi.org/10.3390/molecules29153695
Stachowiak K, Zabiszak M, Grajewski J, Teubert A, Bajek A, Jastrzab R. Thermodynamic Studies of Complexes in Cu(II)/Uridine-5′-Diphosphoglucuronic Acid System. Molecules. 2024; 29(15):3695. https://doi.org/10.3390/molecules29153695
Chicago/Turabian StyleStachowiak, Klaudia, Michal Zabiszak, Jakub Grajewski, Anna Teubert, Anna Bajek, and Renata Jastrzab. 2024. "Thermodynamic Studies of Complexes in Cu(II)/Uridine-5′-Diphosphoglucuronic Acid System" Molecules 29, no. 15: 3695. https://doi.org/10.3390/molecules29153695
APA StyleStachowiak, K., Zabiszak, M., Grajewski, J., Teubert, A., Bajek, A., & Jastrzab, R. (2024). Thermodynamic Studies of Complexes in Cu(II)/Uridine-5′-Diphosphoglucuronic Acid System. Molecules, 29(15), 3695. https://doi.org/10.3390/molecules29153695





