Transformation of Terpenoids and Steroids Using Actinomycetes of the Genus Rhodococcus
Abstract
1. Introduction
2. Using the Biochemical Potential of Whole Bacterial Cells
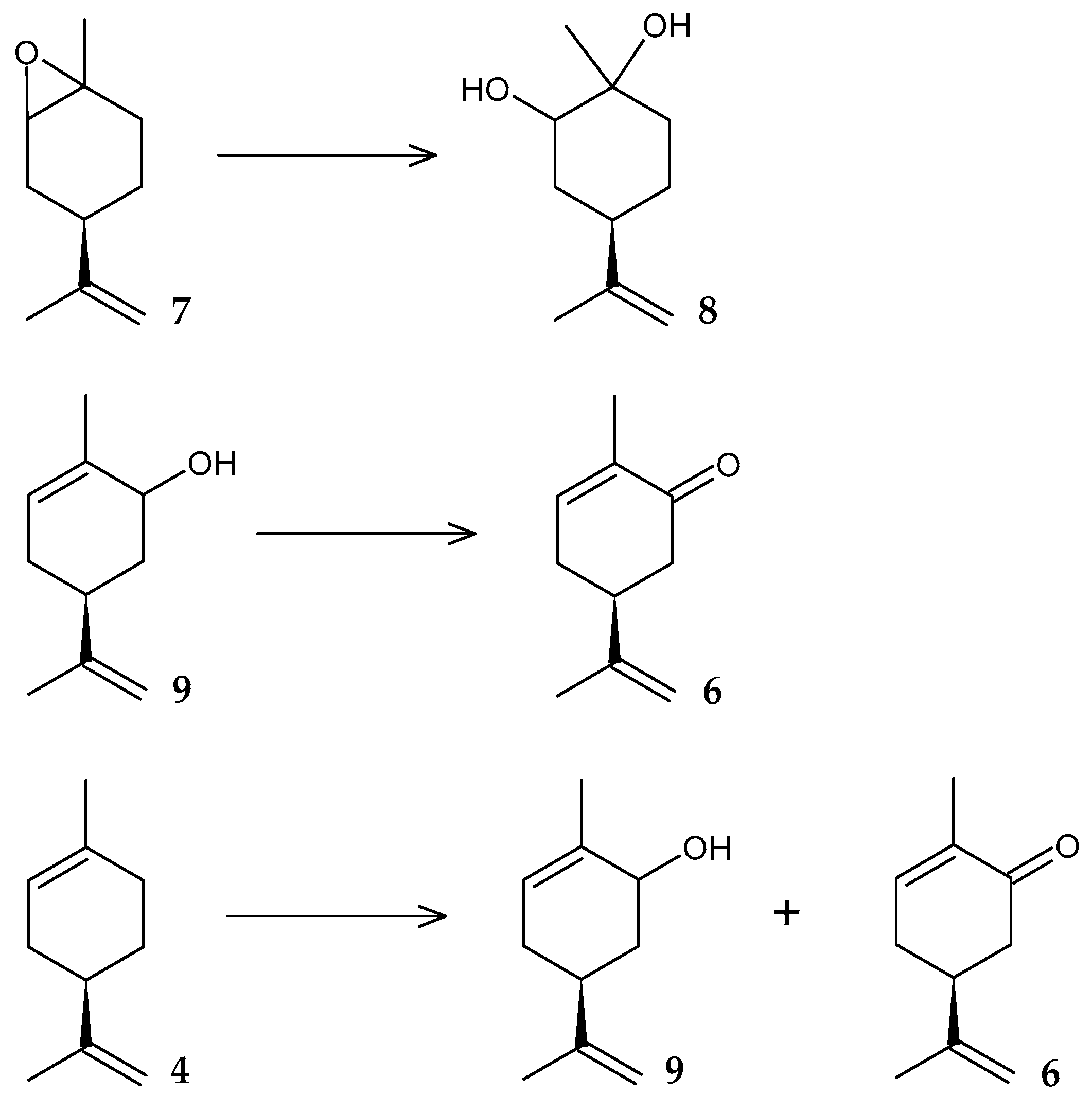
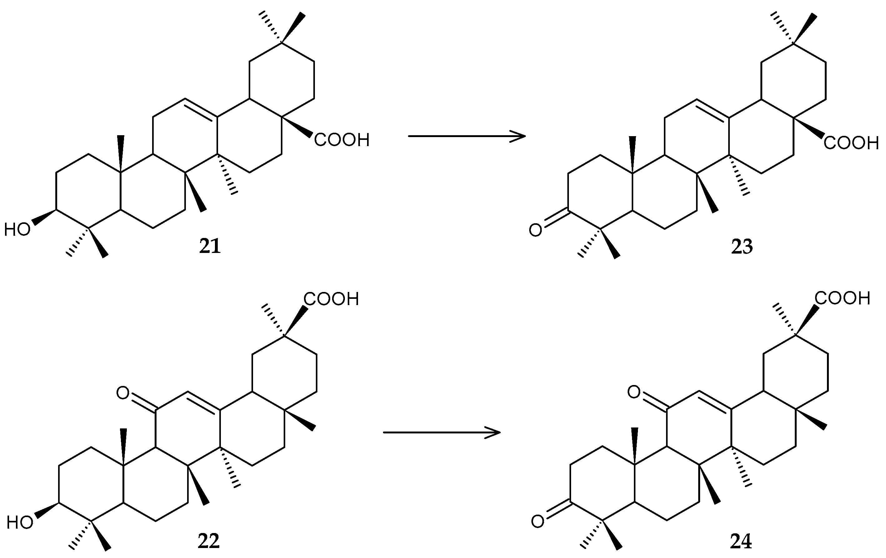
2.1. Transformation of Terpene Compounds
2.2. Transformation of Steroid Compounds
3. Using Bacterial Enzymes
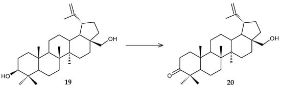
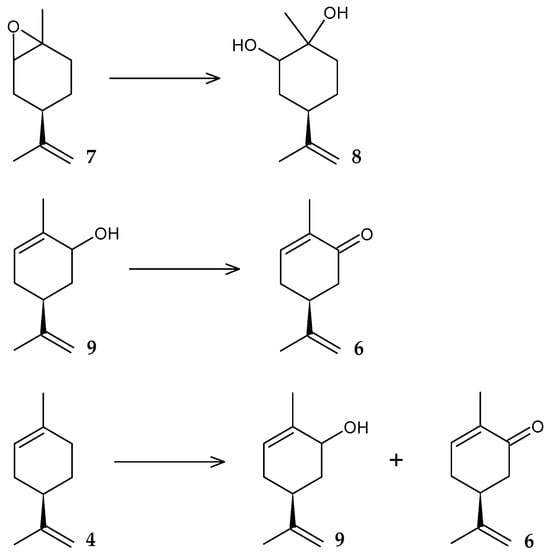
3.1. Transformation of Terpene Compounds
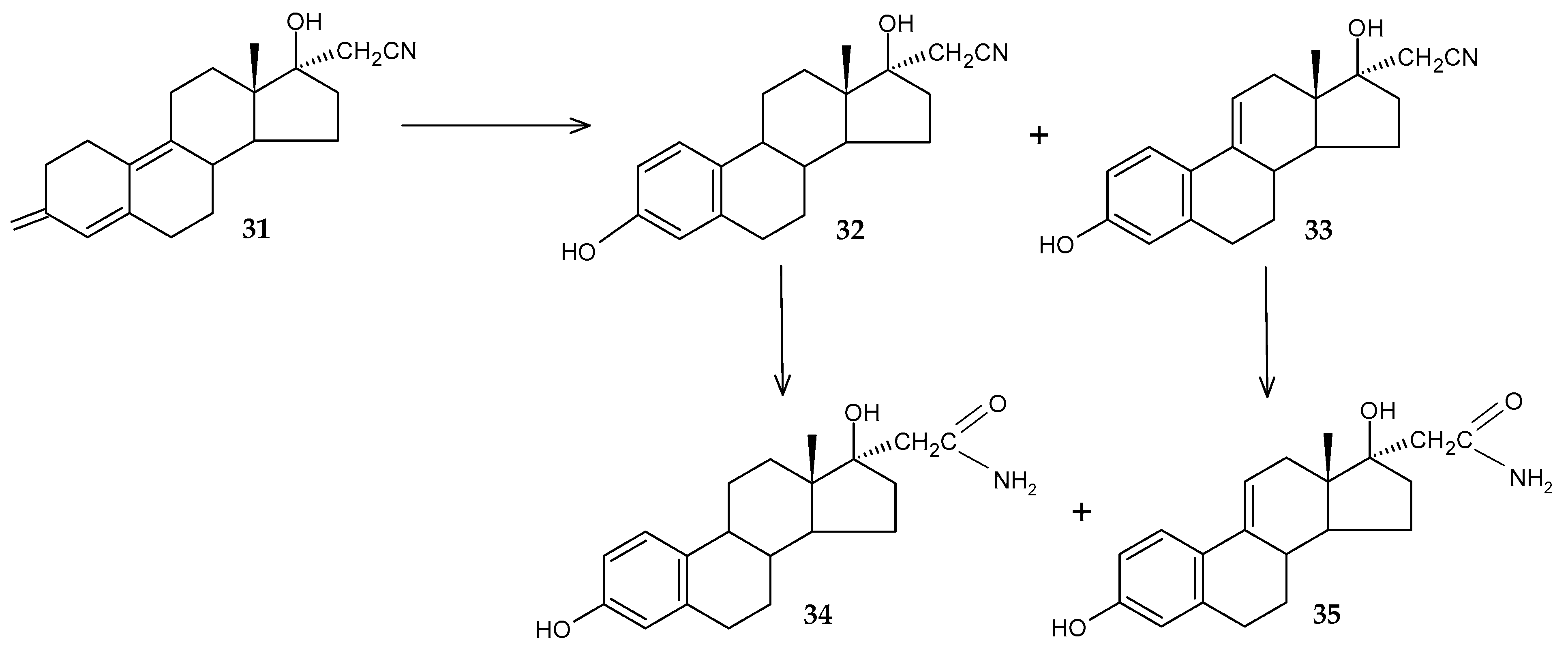
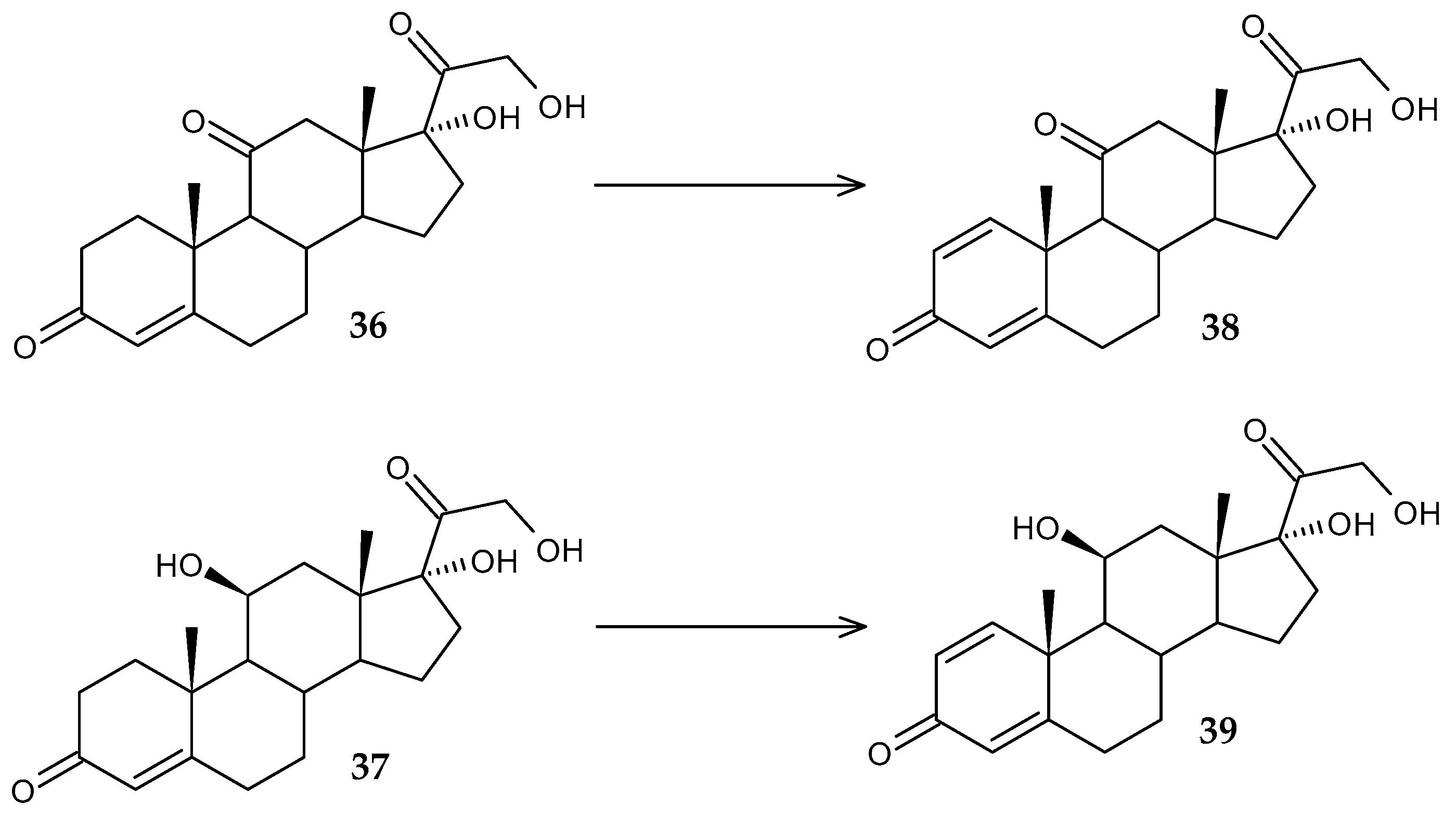
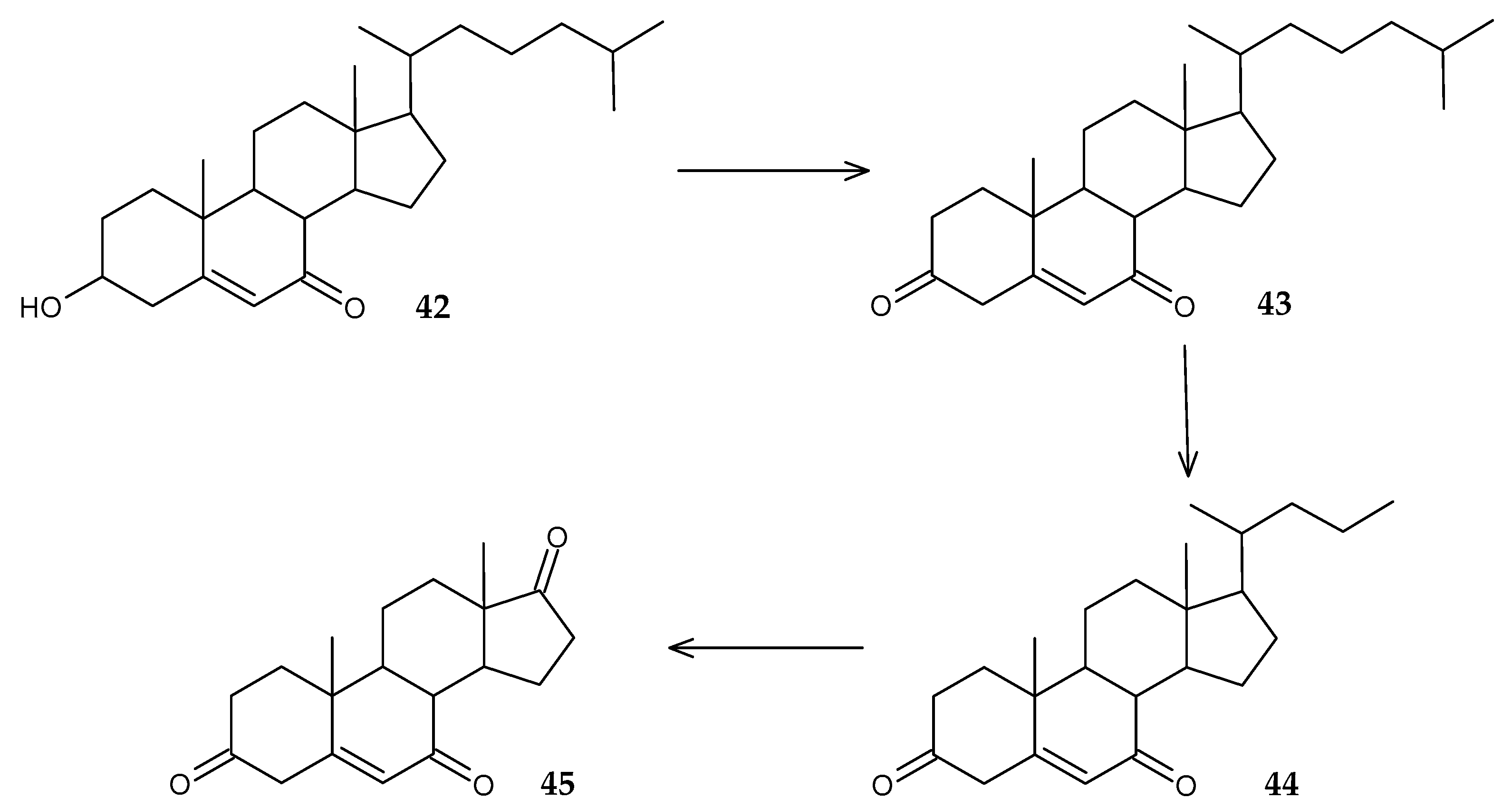
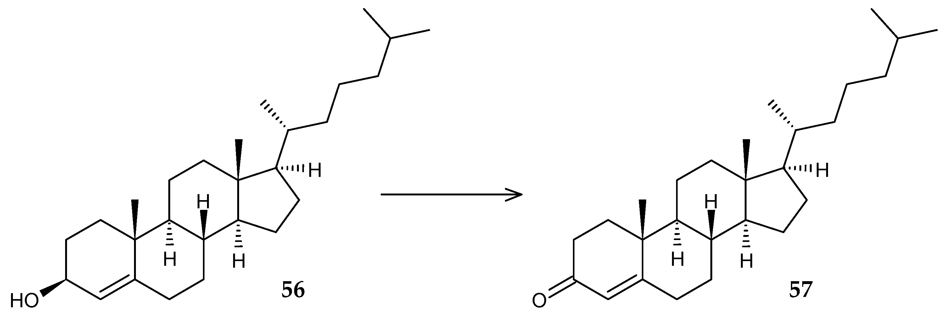
3.2. Transformation of Steroid Compounds
4. Conclusions
Author Contributions
Funding
Data Availability Statement
Acknowledgments
Conflicts of Interest
References
- Lewin, G.R.; Carlos, C.; Chevrette, M.G.; Horn, H.A.; McDonald, B.R.; Stankey, R.J.; Fox, B.G.; Currie, C.R. Evolution and Ecology of Actinobacteria and Their Bioenergy Applications. Annu. Rev. Microbiol. 2016, 70, 235. [Google Scholar] [CrossRef] [PubMed]
- Anteneh, Y.S.; Franco, C.M.M. Whole Cell Actinobacteria as Biocatalysts. Front. Microbiol. 2019, 10, 77. [Google Scholar] [CrossRef] [PubMed]
- Mukhtar, S.; Zaheer, A.; Aiysha, D.; Abdulla Malik, K.; Mehnaz, S. Actinomycetes: A Source of Industrially Important Enzymes. J. Proteom. Bioinform. 2017, 10, 316–319. [Google Scholar] [CrossRef]
- Bérdy, J. Bioactive Microbial Metabolites. J. Antibiot. 2005, 58, 1–26. [Google Scholar] [CrossRef] [PubMed]
- Busch, H.; Hagedoorn, P.L.; Hanefeld, U. Rhodococcus as a Versatile Biocatalyst in Organic Synthesis. Int. J. Mol. Sci. 2019, 20, 4787. [Google Scholar] [CrossRef]
- Krivoruchko, A.; Kuyukina, M.; Ivshina, I. Advanced Rhodococcus Biocatalysts for Environmental Biotechnologies. Catalysts 2019, 9, 236. [Google Scholar] [CrossRef]
- Kylosova, T.I.; Elkin, A.A.; Grishko, V.V.; Ivshina, I.B. Biotransformation of Prochiral Sulfides into (R)-Sulfoxides Using Immobilized Gordonia terrae IEGM 136 Cells. J. Mol. Catal. B Enzym. 2016, 123, 8–13. [Google Scholar] [CrossRef]
- Tarasova, E.V.; Grishko, V.V.; Ivshina, I.B. Cell Adaptations of Rhodococcus rhodochrous IEGM 66 to Betulin Biotransformation. Process Biochem. 2017, 52, 1–9. [Google Scholar] [CrossRef]
- Cheremnykh, K.M.; Luchnikova, N.A.; Grishko, V.V.; Ivshina, I.B. Bioconversion of Ecotoxic Dehydroabietic Acid Using Rhodococcus Actinobacteria. J. Hazard. Mater. 2018, 346, 103–112. [Google Scholar] [CrossRef]
- Luchnikova, N.A.; Grishko, V.V.; Ivshina, I.B. Biotransformation of Oleanane and Ursane Triterpenic Acids. Molecules 2020, 25, 5526. [Google Scholar] [CrossRef]
- Ivshina, I.B.; Luchnikova, N.A.; Maltseva, P.Y.; Ilyina, I.V.; Volcho, K.P.; Gatilov, Y.V.; Korchagina, D.V.; Kostrikina, N.A.; Sorokin, V.V.; Mulyukin, A.L.; et al. Biotransformation of (–)-Isopulegol by Rhodococcus rhodochrous. Pharmaceuticals 2022, 15, 964. [Google Scholar] [CrossRef] [PubMed]
- Larkin, M.J.; Kulakov, L.A.; Allen, C.C.R. Biodegradation by Members of the Genus Rhodococcus: Biochemistry, Physiology, and Genetic Adaptation. Adv. Appl. Microbiol. 2006, 59, 1–29. [Google Scholar] [CrossRef] [PubMed]
- Martínková, L.; Uhnáková, B.; Pátek, M.; Nešvera, J.; Křen, V. Biodegradation Potential of the Genus Rhodococcus. Environ. Int. 2009, 35, 162–177. [Google Scholar] [CrossRef]
- Kim, D.; Choi, K.Y.; Yoo, M.; Zylstra, G.J.; Kim, E. Biotechnological Potential of Rhodococcus Biodegradative Pathways. J. Microbiol. Biotechnol. 2018, 28, 1037–1051. [Google Scholar] [CrossRef] [PubMed]
- Cappelletti, M.; Presentato, A.; Piacenza, E.; Firrincieli, A.; Turner, R.J.; Zannoni, D. Biotechnology of Rhodococcus for the Production of Valuable Compounds. Appl. Microbiol. Biotechnol. 2020, 104, 8567–8594. [Google Scholar] [CrossRef] [PubMed]
- Ivshina, I.; Bazhutin, G.; Tyumina, E. Rhodococcus Strains as a Good Biotool for Neutralizing Pharmaceutical Pollutants and Obtaining Therapeutically Valuable Products: Through the Past into the Future. Front. Microbiol. 2022, 13, 967127. [Google Scholar] [CrossRef] [PubMed]
- Broekman, M. Applications of Steroid in Clinical Practice. Ann. Clin. Trials Vaccines Res. 2023, 13, 7–10. [Google Scholar]
- Ericson-Neilsen, W.; Kaye, A.D. Steroids: Pharmacology, Complications, and Practice Delivery Issues. Ochsner J. 2014, 14, 203–207. [Google Scholar] [PubMed]
- Arici, C.; Mergen, B.; Yildiz-Tas, A.; Bahar-Tokman, H.; Tokuc, E.; Ozturk-Bakar, Y.; Kutlubay, Z.; Sahin, A. Randomized Double-Blind Trial of Wipes Containing Terpinen-4-ol and Hyaluronate versus Baby Shampoo in Seborrheic Blepharitis Patients. Eye 2022, 36, 869–876. [Google Scholar] [CrossRef]
- Hermann, C.; Lang, S.; Popp, T.; Hafner, S.; Steinritz, D.; Rump, A.; Port, M.; Eder, S. Bardoxolone-Methyl (CDDO-Me) Impairs Tumor Growth and Induces Radiosensitization of Oral Squamous Cell Carcinoma Cells. Front. Pharmacol. 2021, 11, 607580. [Google Scholar] [CrossRef]
- Alavinezhad, A.; Khazdair, M.R.; Boskabady, M.H. Possible Therapeutic Effect of Carvacrol on Asthmatic Patients: A Randomized, Double Blind, Placebo-controlled, Phase II Clinical Trial. Phyther. Res. 2018, 32, 151–159. [Google Scholar] [CrossRef] [PubMed]
- Feng, J.; Wu, Q.; Zhu, D.; Ma, Y. Biotransformation Enables Innovations toward Green Synthesis of Steroidal Pharmaceuticals. ChemSusChem 2022, 15, e202102399. [Google Scholar] [CrossRef] [PubMed]
- Aminudin, N.I.; Ridzuan, M.; Susanti, D.; Zainal Abidin, Z.A. Biotransformation of Sesquiterpenoids: A Recent Insight. J. Asian Nat. Prod. Res. 2022, 24, 103–145. [Google Scholar] [CrossRef] [PubMed]
- de Carvalho, C.C.C.R.; da Fonseca, M.M.R. Biotransformations. In Comprehensive Biotechnology, 2nd ed.; Elsevier: Amsterdam, The Netherlands, 2011; Volume 2, pp. 451–460. [Google Scholar] [CrossRef]
- Yang, W.; Chen, X.; Li, Y.; Guo, S.; Wang, Z.; Yu, X. Advances in Pharmacological Activities of Terpenoids. Nat. Prod. Commun. 2020, 15, 1–13. [Google Scholar] [CrossRef]
- Moss, G.P.; Smith, P.A.S.; Tavernier, D. Glossary of Class Names of Organic Compounds and Reactive Intermediates Based on Structure (IUPAC Recommendations 1995). Pure Appl. Chem. 1995, 67, 1307–1375. [Google Scholar] [CrossRef]
- Tetali, S.D. Terpenes and Isoprenoids: A Wealth of Compounds for Global Use. Planta 2019, 249, 1–8. [Google Scholar] [CrossRef] [PubMed]
- Carocho, M.; Heleno, S.A.; Barros, L. Natural Secondary Metabolites: From Nature, Through Science, to Industry; Springer Nature: Berlin, Germany, 2023; ISBN 9783031185878. [Google Scholar]
- Mewalal, R.; Rai, D.K.; Kainer, D.; Chen, F.; Külheim, C.; Peter, G.F.; Tuskan, G.A. Plant-Derived Terpenes: A Feedstock for Specialty Biofuels. Trends Biotechnol. 2017, 35, 227–240. [Google Scholar] [CrossRef] [PubMed]
- Hegazy, M.E.F.; Mohamed, T.A.; ElShamy, A.I.; Mohamed, A.E.H.H.; Mahalel, U.A.; Reda, E.H.; Shaheen, A.M.; Tawfik, W.A.; Shahat, A.A.; Shams, K.A.; et al. Microbial Biotransformation as a Tool for Drug Development Based on Natural Products from Mevalonic Acid Pathway: A Review. J. Adv. Res. 2015, 6, 17–33. [Google Scholar] [CrossRef] [PubMed]
- Williams, D.R.; Trudgill, P.W.; Taylor, D.G. Metabolism of 1,8-Cineole by a Rhodococcus Species: Ring Cleavage Reactions. Microbiology 1989, 135, 1957–1967. [Google Scholar] [CrossRef][Green Version]
- Duetz, W.A.; Fjallman, A.H.; Ren, S.; Jourdat, C.; Witholt, B. Biotransformation of D-Limonene to (+)-Trans-Carveol by Toluene-Grown Rhodococcus opacus PWD4 Cells. Appl. Environ. Microbiol. 2001, 67, 2829–2832. [Google Scholar] [CrossRef]
- van der Werf, M.J.; de Bont, J.A.M. Screening for Microorganisms Converting Limonene into Carvone. Stud. Org. Chem. 1998, 53, 231–234. [Google Scholar] [CrossRef]
- De Carvalho, C.C.C.R.; Van Keulen, F.; Da Fonseca, M.M.R. Biotransformation of Limonene-1,2-epoxide to Limonene-1,2-diol by Rhodococcus erythropolis Cells: An Introductory Approach to Selective Hydrolysis and Product Separation. Food Technol. Biotechnol. 2000, 38, 181–185. [Google Scholar]
- De Carvalho, C.C.C.R.; Da Fonseca, M.M.R. Maintenance of Cell Viability in the Biotransformation of (–)-Carveol with Whole Cells of Rhodococcus erythropolis. J. Mol. Catal. B Enzym. 2002, 19–20, 389–398. [Google Scholar] [CrossRef]
- De Carvalho, C.C.C.R.; Da Fonseca, M.M.R. Towards the Bio-Production of trans-Carveol and Carvone from Limonene: Induction after Cell Growth on Limonene and Toluene. Tetrahedron Asymmetry 2003, 14, 3925–3931. [Google Scholar] [CrossRef]
- Yagi, S.; Mohammed, A.B.A.; Tzanova, T.; Schohn, H.; Abdelgadir, H.; Stefanucci, A.; Mollica, A.; Zengin, G. Chemical Profile, Antiproliferative, Antioxidant, and Enzyme Inhibition Activities and Docking Studies of Cymbopogon schoenanthus (L.) Spreng. and Cymbopogon nervatus (Hochst.) Chiov. from Sudan. J. Food Biochem. 2019, 44, e13107. [Google Scholar] [CrossRef] [PubMed]
- Ambrosio, C.M.S.; Diaz-Arenas, G.L.; Agudelo, L.P.A.; Stashenko, E.; Contreras-Castillo, C.J.; da Gloria, E.M. Chemical Composition and Antibacterial and Antioxidant Activity of a Citrus Essential Oil and Its Fractions. Molecules 2021, 26, 2888. [Google Scholar] [CrossRef] [PubMed]
- Chatterjee, T. Biotransformation of Geraniol by Rhodococcus sp. Strain GR3. Biotechnol. Appl. Biochem. 2004, 39, 303–306. [Google Scholar] [CrossRef] [PubMed]
- Masuda, T.; Odaka, Y.; Ogawa, N.; Nakamoto, K.; Kuninaga, H. Identification of Geranic Acid, a Tyrosinase Inhibitor in Lemongrass (Cymbopogon citratus). J. Agric. Food Chem. 2008, 56, 597–601. [Google Scholar] [CrossRef]
- Pan, S.; Li, W.; Qin, Y.; Yang, Z.; Liu, Y.; Shi, Z.; Qu, C.; Luo, C.; Yang, X. Discovery of Novel Potential Aphid Repellents: Geranic Acid Esters Containing Substituted Aromatic Rings. Molecules 2022, 27, 5949. [Google Scholar] [CrossRef]
- Thompson, M.L.; Marriott, R.; Dowle, A.; Grogan, G. Biotransformation of β-Myrcene to Geraniol by a Strain of Rhodococcus erythropolis Isolated by Selective Enrichment from Hop Plants. Appl. Microbiol. Biotechnol. 2010, 85, 721–730. [Google Scholar] [CrossRef]
- Fajdek-Bieda, A.; Pawlińska, J.; Wróblewska, A.; Łuś, A. Evaluation of the Antimicrobial Activity of Geraniol and Selected Geraniol Transformation Products against Gram-Positive Bacteria. Molecules 2024, 29, 950. [Google Scholar] [CrossRef]
- Mączka, W.; Wińska, K.; Grabarczyk, M. One Hundred Faces of Geraniol. Molecules 2020, 25, 3303. [Google Scholar] [CrossRef]
- Ivanova, K.M.; Grishko, V.V.; Ivshina, I.B. Highly Efficient Biodegradation of Ecotoxic Dehydroabietic Acid by Resting Cells of Rhodococcus rhodochrous IEGM 107. Microbiology 2022, 91, 364–377. [Google Scholar] [CrossRef]
- Grishko, V.V.; Tarasova, E.V.; Ivshina, I.B. Biotransformation of Betulin to Betulone by Growing and Resting Cells of the Actinobacterium Rhodococcus rhodochrous IEGM 66. Process Biochem. 2013, 48, 1640–1644. [Google Scholar] [CrossRef]
- Luchnikova, N.A.; Tarasova, E.V.; Grishko, V.V.; Ivshina, I.B. Rhodococcus rhodochrous IEGM 1360, an Effective Biocatalyst of C3 Oxidative Transformation of Oleanane Triterpenoids. Microbiology 2023, 92, 204–214. [Google Scholar] [CrossRef] [PubMed]
- Savluchinske-Feio, S.; Gigante, B.; Carlos Roseiro, J.; Marcelo-Curto, M.J. Antimicrobial Activity of Diterpene Resin Acid Derivatives. J. Microbiol. Methods 1999, 35, 201–206. [Google Scholar] [CrossRef] [PubMed]
- Dehaen, W.; Mashentseva, A.A.; Seitembetov, T.S. Allobetulin and Its Derivatives: Synthesis and Biological Activity. Molecules 2011, 16, 2443–2466. [Google Scholar] [CrossRef] [PubMed]
- Giner-Larza, E.M.; Máez, S.; Recio, M.C.; Giner, R.M.; Prieto, J.M.; Cerdá-Nicolás, M.; Ríos, J.L. Oleanonic Acid, a 3-Oxotriterpene from Pistacia, Inhibits Leukotriene Synthesis and Has Anti-Inflammatory Activity. Eur. J. Pharmacol. 2001, 428, 137–143. [Google Scholar] [CrossRef] [PubMed]
- Iqbal Choudhary, M.; Ali Siddiqui, Z.; Ahmed Nawaz, S. Microbial Transformation of 18β-Glycyrrhetinic Acid by Cunninghamella elegans and Fusarium lini, and Lipoxygenase Inhibitory Activity of Transformed Products. Nat. Prod. Res. 2009, 23, 507–513. [Google Scholar] [CrossRef]
- Huang, D.; Ding, Y.; Li, Y.; Zhang, W.; Fang, W.; Chen, X. Anti-Tumor Activity of a 3-Oxo Derivative of Oleanolic Acid. Cancer Lett. 2006, 233, 289–296. [Google Scholar] [CrossRef]
- Wu, S.B.; Bao, Q.Y.; Wang, W.X.; Zhao, Y.; Xia, G.; Zhao, Z.; Zeng, H.; Hu, J.F. Cytotoxic Triterpenoids and Steroids from the Bark of Melia azedarach. Planta Med. 2011, 77, 922–928. [Google Scholar] [CrossRef] [PubMed]
- Irungu, B.N.; Orwa, J.A.; Gruhnojic, A.; Fitzpatrick, P.A.; Landberg, G.; Kimani, F.; Midiwo, J.; Erdélyi, M.; Yenesew, A. Constituents of the Roots and Leaves of Ekebergia capensis and Their Potential Antiplasmodial and Cytotoxic Activities. Molecules 2014, 19, 14235–14246. [Google Scholar] [CrossRef] [PubMed]
- Begum, S.; Ayub, A.; Shaheen Siddiqui, B.; Fayyaz, S.; Kazi, F. Nematicidal Triterpenoids from Lantana camara. Chem. Biodivers. 2015, 12, 1435–1442. [Google Scholar] [CrossRef] [PubMed]
- Funari, C.S.; de Almeida, L.; Passalaqua, T.G.; Martinez, I.; Ambrosio, D.L.; Cicarelli, R.M.B.; Silva, D.H.S.; Graminha, M.A.S. Oleanonic Acid from Lippia lupulina (Verbenaceae) Shows Strong in vitro Antileishmanial and Antitrypanosomal Activity. Acta Amaz. 2016, 46, 411–416. [Google Scholar] [CrossRef]
- Florez, H.; Singh, S. Bioinformatic Study to Discover Natural Molecules with Activity against COVID-19. F1000Research 2020, 9, 1203. [Google Scholar] [CrossRef]
- Luchnikova, N.A.; Grishko, V.V.; Kostrikina, N.A.; Sorokin, V.V.; Mulyukin, A.L.; Ivshina, I.B. Biotransformation of Oleanolic Acid Using Rhodococcus rhodochrous IEGM 757. Catalysts 2022, 12, 1352. [Google Scholar] [CrossRef]
- Russel, C.A. Organic Chemistry: Natural Products, Steroids; Russell, C.A., Roberts, G.K., Eds.; RSC Publishing: Cambridge, UK, 2005. [Google Scholar]
- Chiang, Y.R.; Wei, S.T.S.; Wang, P.H.; Wu, P.H.; Yu, C.P. Microbial Degradation of Steroid Sex Hormones: Implications for Environmental and Ecological Studies. Microb. Biotechnol. 2020, 13, 926–949. [Google Scholar] [CrossRef] [PubMed]
- Olivera, E.R.; Luengo, J.M. Steroids as Environmental Compounds Recalcitrant to Degradation: Genetic Mechanisms of Bacterial Biodegradation Pathways. Genes 2019, 10, 512. [Google Scholar] [CrossRef] [PubMed]
- Datcheva, V.K.; Voishvillo, N.E.; Kamernitskii, A.V.; Vlahov, R.J.; Reshetova, I.G. Synthesis of 9a-Hydroxysteroids by a Rhodococcus sp. Steroids 1989, 54, 271–286. [Google Scholar] [CrossRef]
- Angelova, B.; Mutafov, S.; Avramova, T.; Dimova, I.; Boyadjieva, L. 9α-Hydroxylation of 4-Androstene-3,17-dione by Resting Rhodococcus sp. Cells. Process Biochem. 1996, 31, 179–184. [Google Scholar] [CrossRef]
- Mutafov, S.; Angelova, B.; Avramova, T.; Boyadjieva, L.; Dimova, I. The Inducibility of 9α-Steroid Hydroxylating Activity in Resting Rhodococcus sp. Cells. Process Biochem. 1997, 32, 585–589. [Google Scholar] [CrossRef]
- Angelova, B.; Fernandes, P.; Cruz, A.; Pinheiro, H.M.; Mutafov, S.; Cabral, J.M.S. Hydroxylation of Androstenedione by Resting Rhodococcus sp. Cells in Organic Media. Enzym. Microb. Technol. 2005, 37, 718–722. [Google Scholar] [CrossRef]
- Avramova, T.; Spassova, D.; Mutafov, S.; Momchilova, S.; Boyadjieva, L.; Damyanova, B.; Angelova, B. Effect of Tween 80 on 9α-Steroid Hydroxylating Activity and Ultrastructural Characteristics of Rhodococcus sp. Cells. World J. Microbiol. Biotechnol. 2010, 26, 1009–1014. [Google Scholar] [CrossRef]
- Mutafova, B.; Momchilova, S.; Pomakova, D.; Avramova, T.; Mutafov, S. Enhanced Cell Surface Hydrophobicity Favors the 9α-Hydroxylation of Androstenedione by Resting Rhodococcus sp. Cells. Eng. Life Sci. 2018, 18, 949–954. [Google Scholar] [CrossRef] [PubMed]
- Rodina, N.V.; Andryushina, V.A.; Stytsenko, T.S.; Turova, T.P.; Baslerov, R.V.; Panteleeva, A.N.; Voishvillo, N.E. Introduction of a 9α-Hydroxy Group into Androst-4-ene-3,17-dione Using a New Actinobacterium Strain. Appl. Biochem. Microbiol. 2009, 45, 439–445. [Google Scholar] [CrossRef]
- Andryushina, V.A.; Rodina, N.V.; Stytsenko, T.S.; Huy, L.D.; Druzhinina, A.V.; Yaderetz, V.V.; Voishvillo, N.E. Conversion of Soybean Sterols into 3,17-Diketosteroids Using Actinobacteria Mycobacterium neoaurum, Pimelobacter simplex, and Rhodococcus erythropolis. Appl. Biochem. Microbiol. 2011, 47, 270–273. [Google Scholar] [CrossRef]
- Sallam, L.A.; El-Abyad, M.S.; El-Refai, A.M.H.; El-Menofi, H.A.; Adham, N.Z. Bioconversion of 19-Nortestosterone by Rhodococcus sp. DSM 92-344. I: Optimization of Transformation Parameters. Process Biochem. 1995, 30, 25–34. [Google Scholar] [CrossRef]
- El-Refai, A.M.H.; El-Abyad, M.S.; Sallam, L.A.; El-Menofi, H.A.; Adham, N.Z. Bioconversion of 19-Nortestosterone by Rhodococcus sp. DSM 92-344. II: Utilization of Cell-Free-Extract and Immobilization Techniques. Process Biochem. 1995, 30, 35–39. [Google Scholar] [CrossRef]
- Kaufmann, G.; Dautzenberg, H.; Henkel, H.; Müller, G.; Schäfer, T.; Undeutsch, B.; Oettel, M. Nitrile Hydratase from Rhodococcus erythropolis: Metabolization of Steroidal Compounds with a Nitrile Group. Steroids 1999, 64, 535–540. [Google Scholar] [CrossRef]
- Costa, S.; Zappaterra, F.; Summa, D.; Semeraro, B.; Fantin, G. Δ1-Dehydrogenation and C20 Reduction of Cortisone and Hydrocortisone Catalyzed by Rhodococcus Strains. Molecules 2020, 25, 2192. [Google Scholar] [CrossRef]
- Zappaterra, F.; Costa, S.; Summa, D.; Bertolasi, V.; Semeraro, B.; Pedrini, P.; Buzzi, R.; Vertuani, S. Biotransformation of Cortisone with Rhodococcus rhodnii: Synthesis of New Steroids. Molecules 2021, 26, 1352. [Google Scholar] [CrossRef] [PubMed]
- Ghosh, S.; Khare, S.K. Biodegradation of 7-Ketocholesterol by Rhodococcus erythropolis MTCC 3951: Process Optimization and Enzymatic Insights. Chem. Phys. Lipids 2017, 207, 253–259. [Google Scholar] [CrossRef] [PubMed]
- Hao, P.; Lv, Z.; Pan, H.; Zhang, J.; Wang, L.; Zhu, Y.; Basang, W.; Gao, Y. Characterization and Low-Temperature Biodegradation Mechanism of 17β-Estradiol-Degrading Bacterial Strain Rhodococcus sp. RCBS9. Environ. Res. 2024, 240, 117513. [Google Scholar] [CrossRef]
- Van Der Werf, M.J.; Swarts, H.J.; De Bont, J.A.M. Rhodococcus erythropolis DCL14 Contains a Novel Degradation Pathway for Limonene. Appl. Environ. Microbiol. 1999, 65, 2092–2102. [Google Scholar] [CrossRef] [PubMed]
- Van Der Werf, M.J.; Orru, R.V.A.; Overkamp, K.M.; Swarts, H.J.; Osprian, I.; Steinreiber, A.; De Bont, J.A.M.; Faber, K. Substrate Specificity and Stereospecificity of Limonene-1,2-epoxide Hydrolase from Rhodococcus erythropolis DCL14; an Enzyme Showing Sequential and Enantioconvergent Substrate Conversion. Appl. Microbiol. Biotechnol. 1999, 52, 380–385. [Google Scholar] [CrossRef]
- Barbirato, F.; Verdoes, J.C.; De Bont, J.A.M.; Van Der Werf, M.J. The Rhodococcus erythropolis DCL14 Limonene-1,2-epoxide Hydrolase Gene Encodes an Enzyme Belonging to a Novel Class of Epoxide Hydrolases. FEBS Lett. 1998, 438, 293–296. [Google Scholar] [CrossRef] [PubMed]
- Van Der Werf, M.J.; Van Der Ven, C.; Barbirato, F.; Eppink, M.H.M.; De Bont, J.A.M.; Van Berkel, W.J.H. Stereoselective Carveol Dehydrogenase from Rhodococcus erythropolis DCL14. A Novel Nicotinoprotein Belonging to the Short Chain Dehydrogenase/Reductase Superfamily. J. Biol. Chem. 1999, 274, 26296–26304. [Google Scholar] [CrossRef] [PubMed]
- Jakubovska, J.; Meškys, R. Characterization of 1,8-Cineole Degradation Encoding Operon from Rhodococcus sp. TMP1. Chemija 2016, 27, 84–91. [Google Scholar]
- Giang, P.D.; Churchman, L.R.; Stok, J.E.; Soo, R.M.; De Voss, J.J. CYP108N12 Initiates p-Cymene Biodegradation in Rhodococcus globerulus. Arch. Biochem. Biophys. 2022, 730, 109410. [Google Scholar] [CrossRef]
- Giang, P.D.; Churchman, L.R.; Buczynski, J.B.; Bell, S.G.; Stok, J.E.; De Voss, J.J. CYP108N14: A Monoterpene Monooxygenase from Rhodococcus globerulus. Arch. Biochem. Biophys. 2024, 752, 109852. [Google Scholar] [CrossRef]
- Donova, M.V. Current Trends and Perspectives in Microbial Bioconversions of Steroids. In Microbial Steroids: Methods and Protocols; Barreiro, C., Barredo, J.-L., Eds.; Springer US: New York, NY, USA, 2023; pp. 3–21. ISBN 978-1-0716-3384-7. [Google Scholar]
- Miyamoto, M.; Matsumoto, J.; Iwaya, T.; Itagaki, E. Bacterial Steroid Monooxygenase Catalyzing the Baeyer-Villiger Oxidation of C21-Ketosteroids from Rhodococcus rhodochrous: The Isolation and Characterization. Biochim. Biophys. Acta (BBA)-Protein Struct. Mol. 1995, 1251, 115–124. [Google Scholar] [CrossRef]
- Fernández de las Heras, L.; Mascaraque, V.; García Fernández, E.; Navarro-Llorens, J.M.; Perera, J.; Drzyzga, O. ChoG Is the Main Inducible Extracellular Cholesterol Oxidase of Rhodococcus sp. Strain CECT3014. Microbiol. Res. 2011, 166, 403–418. [Google Scholar] [CrossRef]
- Fernández De Las Heras, L.; Perera, J.; Navarro Llorens, J.M. Cholesterol to Cholestenone Oxidation by ChoG, the Main Extracellular Cholesterol Oxidase of Rhodococcus ruber Strain Chol-4. J. Steroid Biochem. Mol. Biol. 2014, 139, 33–44. [Google Scholar] [CrossRef]
- Kumar, S.; Bala, M.; Raghava, G.P.S.; Mayilraj, S. Draft Genome Sequence of Rhodococcus triatomae Strain BKS 15-14. Genome Announc. 2013, 1, e00129-13. [Google Scholar] [CrossRef]
- Kreit, J.; Germain, P.; Lefebvre, G. Extracellular Cholesterol Oxidase from Rhodococcus sp. Cells. J. Biotechnol. 1992, 24, 177–188. [Google Scholar] [CrossRef]
- Baldanta, S.; Navarro Llorens, J.M.; Guevara, G. Further Studies on the 3-Ketosteroid 9α-Hydroxylase of Rhodococcus ruber Chol-4, a Rieske Oxygenase of the Steroid Degradation Pathway. Microorganisms 2021, 9, 1171. [Google Scholar] [CrossRef]
- Iida, M.; Tsuyuki, K.I.; Kitazawa, S.; Iizuka, H. Production of 20-Carboxy-pregna-1,4-dien-3-one from Sterols by Mutants of Rhodococcus sp. J. Ferment. Technol. 1987, 65, 525–529. [Google Scholar] [CrossRef]
- Van Der Geize, R.; Hessels, G.I.; Van Gerwen, R.; Van Der Meijden, P.; Dijkhuizen, L. Unmarked Gene Deletion Mutagenesis of KstD, Encoding 3-Ketosteroid Δ1-Dehydrogenase, in Rhodococcus erythropolis SQ1 Using SacB as Counter-Selectable Marker. FEMS Microbiol. Lett. 2001, 205, 197–202. [Google Scholar] [CrossRef]
- Shi, S.C.; You, Z.N.; Zhou, K.; Chen, Q.; Pan, J.; Qian, X.L.; Xu, J.H.; Li, C.X. Efficient Synthesis of 12-Oxochenodeoxycholic Acid Using a 12α-Hydroxysteroid Dehydrogenase from Rhodococcus ruber. Adv. Synth. Catal. 2019, 361, 4661–4668. [Google Scholar] [CrossRef]
- Ye, X.; Wang, H.; Kan, J.; Li, J.; Huang, T.; Xiong, G.; Hu, Z. A Novel 17β-Hydroxysteroid Dehydrogenase in Rhodococcus sp. P14 for Transforming 17β-Estradiol to Estrone. Chem. Biol. Interact. 2017, 276, 105–112. [Google Scholar] [CrossRef]
- Ye, X.; Peng, T.; Feng, J.; Yang, Q.; Pratush, A.; Xiong, G.; Huang, T.; Hu, Z. A Novel Dehydrogenase 17β-HSDx from Rhodococcus sp. P14 with Potential Application in Bioremediation of Steroids Contaminated Environment. J. Hazard. Mater. 2019, 362, 170–177. [Google Scholar] [CrossRef]
- Ke, X.; Ding, G.J.; Ma, B.X.; Liu, Z.Q.; Zhang, J.F.; Zheng, Y.G. Characterization of a Novel CYP51 from Rhodococcus triatomae and Its NADH-Ferredoxin Reductase-Coupled Application in Lanosterol 14α-Demethylation. Process Biochem. 2017, 62, 59–68. [Google Scholar] [CrossRef]
- Venkataraman, H.; te Poele, E.M.; Rosłoniec, K.Z.; Vermeulen, N.; Commandeur, J.N.M.; van der Geize, R.; Dijkhuizen, L. Biosynthesis of a Steroid Metabolite by an Engineered Rhodococcus erythropolis Strain Expressing a Mutant Cytochrome P450 BM3 Enzyme. Appl. Microbiol. Biotechnol. 2015, 99, 4713–4721. [Google Scholar] [CrossRef]
- Guevara, G.; Flores, Y.O.; De Las Heras, L.F.; Perera, J.; Navarro Llorens, J.M. Metabolic Engineering of Rhodococcus ruber Chol-4: A Cell Factory for Testosterone Production. PLoS ONE 2019, 14, e0220492. [Google Scholar] [CrossRef]
- Tian, K.; Meng, Q.; Li, S.; Chang, M.; Meng, F.; Yu, Y.; Li, H.; Qiu, Q.; Shao, J.; Huo, H. Mechanism of 17β-Estradiol Degradation by Rhodococcus equi via the 4,5-Seco Pathway and Its Key Genes. Environ. Pollut. 2022, 312, 120021. [Google Scholar] [CrossRef] [PubMed]
- Dembitsky, V.M. Biological Activity and Structural Diversity of Steroids Containing Aromatic Rings, Phosphate Groups, or Halogen Atoms. Molecules 2023, 28, 5549. [Google Scholar] [CrossRef] [PubMed]





























| Substrate | Strain | Type of Catalyst | Type of Reaction | Derivatives | Reference |
|---|---|---|---|---|---|
| Terpenoids | |||||
| 1,8-Cineole | Rhodococcus sp. C1 | Native cells | Hydroxylation, oxidation | 6-endo-Hydroxycineol, 6-oxocyneol | [31] |
| R. josii TMP1 | Enzyme P450cin (gene cinA1) | Oxidation | 6-Oxocineol | [81] | |
| Limonene | R. opacus PWD4 | Native cells | Hydroxylation, oxidation | (+)-trans-Carveol, (+)-carvone | [32,36] |
| R. erythropolis DCL14 | Native cells | Oxidation | Limonene oxide, p-menth-7-ene-l,2-diol | [33] | |
| R. erythropolis DCL14 | Enzymes limonene 1,2-monooxygenase, limonene-1,2-epoxide hydrolase | Oxidation, epoxidation | Limonene-1,2-diol | [77,78] | |
| R. globerulus JDV-SF1993 | Enzymes CYP108N12, CYP108N14 | Hydroxylation | Perillyl alcohol | [82,83] | |
| Limonene- 1,2-epoxide | R. erythropolis DCL14 | Native cells | Hydrolysis | Limonene-1,2-diol | [34] |
| Enzyme limonene-1,2-epoxide hydrolase (gene limA) | Hydrolysis | Limonene-1,2-diol, hydroxy-2-oxolimonene, 3-isopropenyl-6-oxoheptanoate | [79] | ||
| Carveol | R. erythropolis DCL14 | Native cells | Oxidation | Carvone | [35] |
| Enzyme carveol dehydrogenase - CDH (gene limC) | Oxidation | Carvone | [80] | ||
| Geraniol | Rhodococcus sp. GR3 | Native cells | Oxidation | Geranic acid | [39] |
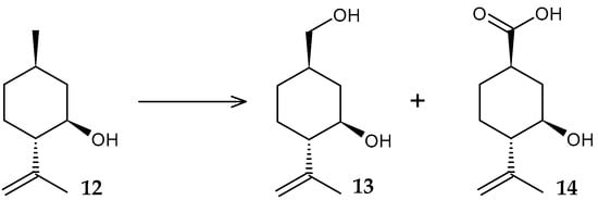
| (−)-Isopulegol | R. rhodochrous IEGM 1362 | Native cells | Hydroxylation, carboxylation | 10-Hydroxy-(−)-isopulegol, 10-carboxy-(−)-isopulegol | [11] |
| β-Myrcene | R. erythropolis MLT1 | Resting cells | Dehydrogenation | Geraniol | [42] |
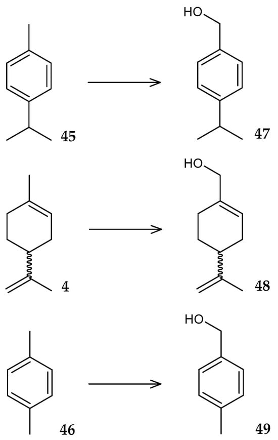
| p-Cymene | R. globerulus JDV-SF1993 | Enzymes CYP108N12, CYP108N14 | Hydroxylation | 4-Isopropylbenzyl alcohol | [82,83] |
| p-Xylene | R. globerulus JDV-SF1993 | Enzyme CYP108N12 | Hydroxylation | p-Tolylmethanol | [82] |
| (S)-α-Terpineol | R. globerulus JDV-SF1993 | Enzyme CYP108N14 | Hydroxylation | (S)-7-Hydroxyterpineol | [83] |
| (S)-4-Terpineol | R. globerulus JDV-SF1993 | Enzyme CYP108N14 | Hydroxylation | (S)-7-Hydroxy-4-terpineol | [83] |
| Dehydroabietic acid | R. rhodochrous IEGM 107 | Resting cells | Oxidation, hydroxylation | 7-Oxo-dehydroabietic acid, 11,12-dihydroxy-7-oxo-abieta-8,13-dien-18-oic acid | [45] |
| Betulin | R. rhodochrous IEGM 66 | Native cells, resting cells | Oxidation | Betulone | [46] |
| Oleanolic acid | R. rhodochrous IEGM 1360 | Resting cells | Oxidation | 3-Oxo-oleanolic acid | [47] |
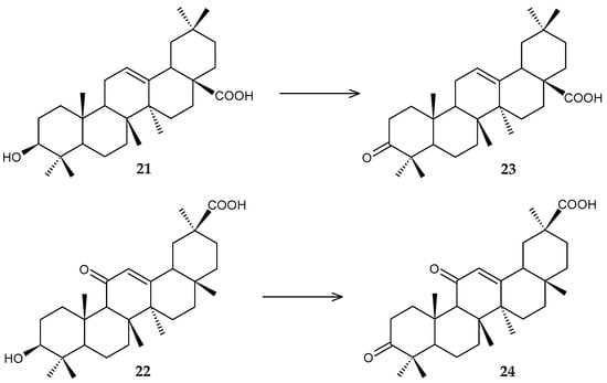
| R. rhodochrous IEGM 757 | Native cells | Hydroxylation, carboxylation | 3β,5α,22α-Trihydroxyolean-12-ene-23,28-dioic acid | [58] | |
| Glycyrretinic acid | R. rhodochrous IEGM 1360 | Resting cells | Oxidation | 3-Oxo-glycyrretinic acid | [47] |
| Steroids | |||||
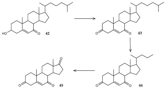
| Androst-4-ene- 3,17-dione | Rhodococcus sp. | Native cells | Hydroxylation | 9α-Hydroxy-4-androstene-3,17-dione | [62] |
| Rhodococcus sp. IOC-77 | [63,64,65,66,67] | ||||
| R. erythropolis Ac-1740 | [68,69] | ||||
| R. erythropolis RG1-UV29 | Mutant strain (deletion of gene KstD, UV irradiation) | Hydroxylation | 9α-Hydroxy-4-androstene-3,17-dione | [92] | |
| R. ruber Chol-4 | Mutant strain (insertion of gene 17β-hsd, deletion of genes KshB, KstD1,2,3) | Dehydrogenation | Testosterone | [88] | |
| 19-Nortestosterone | Rhodococcus sp. DSM 92-344 | Native cells | Aromatization | Estrone, estradiol | [70,71] |
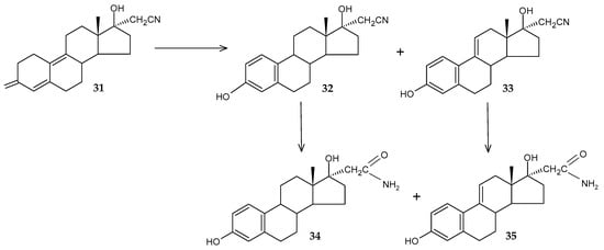
| Dienogest | R. erythropolis FZB 53 | Native cells | Aromatization, amination | 17α-Acetamide-estradiol, 17α-acetamide-9(11)-dehydroestradiol | [72] |
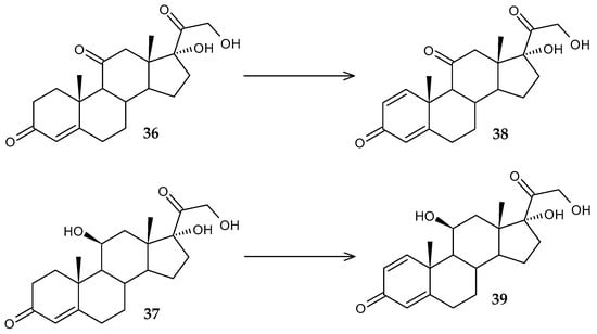
| Cortisone | R. coprophilus DSM 43347 | Native cells | Dehydrogenation | Prednisone | [73] |
| R. rhodnii DSM 43960 | Native cells | Hydroxylation, methylation | 1,9β,17,21-Tetrahydroxy-4-methyl-19-nor-9β-pregna-1,3,5(10)-trien-11,20-dione, 1,9β,17,20β,21-pentahydroxy-4-methyl-19-nor-9β-pregna-1,3,5(10)-trien-11-one | [74] | |
| Hydrocortisone | R. coprophilus DSM 43347 | Native cells | Dehydrogenation | Prednisolone | [73] |
| 7-Ketocholesterol | R. erythropolis MTCC 3951 | Native cells | Oxidation, dehydrogenation | 4-Cholesten-3,7-dione, chol-5-en-3,7-dione, androsta-4-ene-3,7,17-trione | [75] |
| 17β-Estradiol | Rhodococcus sp. RSBS9 | Native cells | ND * | ND * | [76] |
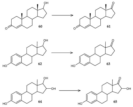
| Rhodococcus sp. P14 | Enzyme 17β-hydroxysteroid dehydrogenase (gene 17β-HSD) | Dehydrogenation | Estrone | [94] | |
| R. equi DSSKP-R-001 | Enzyme short-chain dehydrogenase (gene hsd17b14), flavin-binding monooxygenase (gene At1g12200) | Dehydrogenation, hydroxylation | Estrone, 4-hydroxyestrone | [99] | |
| Estriol | Rhodococcus sp. P14 | Enzyme short-chain 17β-hydroxysteroid dehydrogenase (gene 17β-HSDx) | Dehydrogenation | 16-Hydroxyestrone | [94] |
| Testosterone | Rhodococcus sp. P14 | Enzyme short-chain 17β-hydroxysteroid dehydrogenase (gene 17β-HSDx) | Dehydrogenation | Androst-4-en-3,17-dione | [94] |
| Progesterone | R.rhodochrous | Enzyme steroid monooxygenase | Oxidation | Testosterone acetate | [85] |
| Cholesterol | R. erythropolis | Enzyme extracellular cholesterol oxidase (gene ChoG) | Oxidation | 3-Keto-Δ4-cholesterol | [86] |
| R. ruber | [87] | ||||
| R. triatomae | [88] | ||||
| Rhodococcus sp. | [89] | ||||
| Rhodococcus sp. MIL 1038 | Mutant strain (biochemical mutagenesis by NTG) | Hydroxylation, oxidation, carboxylation, carbon cycle decomposition | 7aβ-Methyl-1β-[1,5-dimethyl-6-hydroxyl-hexyl]-5-oxo-3aα-hexa-4-indanepropionic acid | [91] | |
| Cholic acid | R. ruber | Enzyme 12α-hydroxysteroid dehydrogenase (gene Rr12α-HSDH) | Dehydrogenation | 12-Oxochenodeoxycholic acid | [93] |
| Lanosterol | R. triatomae BKS 15-14 | Enzyme CYP51 (gene RtCYP51) | Demethylation | 14α-Dimethyllanosterol | [96] |
| Norandrostenedione | R. erythropolis RG9 | Mutant strain (insertion of CYP450 BM3 mutant M02 enzyme genes) | Hydroxylation | 16β-Hydroxy-norandrostenedione | [97] |
Disclaimer/Publisher’s Note: The statements, opinions and data contained in all publications are solely those of the individual author(s) and contributor(s) and not of MDPI and/or the editor(s). MDPI and/or the editor(s) disclaim responsibility for any injury to people or property resulting from any ideas, methods, instructions or products referred to in the content. |
© 2024 by the authors. Licensee MDPI, Basel, Switzerland. This article is an open access article distributed under the terms and conditions of the Creative Commons Attribution (CC BY) license (https://creativecommons.org/licenses/by/4.0/).
Share and Cite
Maltseva, P.Y.; Plotnitskaya, N.A.; Ivshina, I.B. Transformation of Terpenoids and Steroids Using Actinomycetes of the Genus Rhodococcus. Molecules 2024, 29, 3378. https://doi.org/10.3390/molecules29143378
Maltseva PY, Plotnitskaya NA, Ivshina IB. Transformation of Terpenoids and Steroids Using Actinomycetes of the Genus Rhodococcus. Molecules. 2024; 29(14):3378. https://doi.org/10.3390/molecules29143378
Chicago/Turabian StyleMaltseva, Polina Yu., Natalia A. Plotnitskaya, and Irina B. Ivshina. 2024. "Transformation of Terpenoids and Steroids Using Actinomycetes of the Genus Rhodococcus" Molecules 29, no. 14: 3378. https://doi.org/10.3390/molecules29143378
APA StyleMaltseva, P. Y., Plotnitskaya, N. A., & Ivshina, I. B. (2024). Transformation of Terpenoids and Steroids Using Actinomycetes of the Genus Rhodococcus. Molecules, 29(14), 3378. https://doi.org/10.3390/molecules29143378

