Bio-Sourced Flame Retardants for Textiles: Where We Are and Where We Are Going
Abstract
1. Introduction
2. Classification of Bio-Sourced Flame Retardants or Bio-Sourced Biomasses as Building Blocks for the Design of Flame Retardants
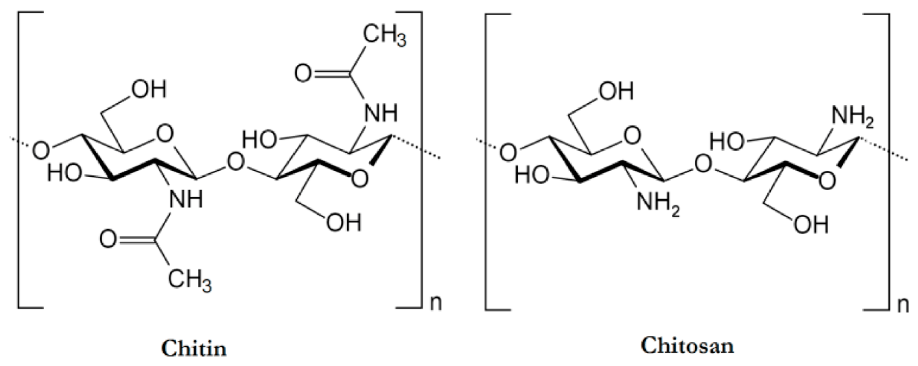
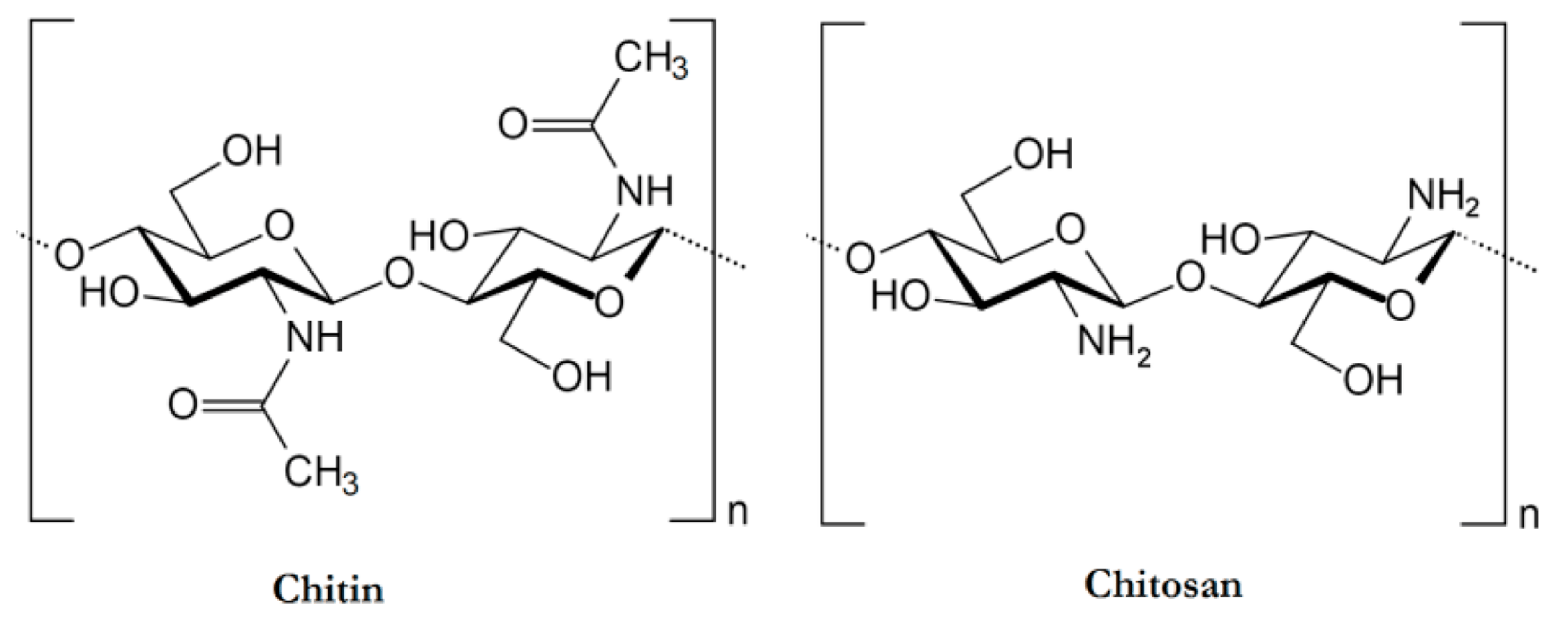
2.1. Saccharide-Based FRs
2.2. Nucleic Acids
2.3. Protein-Based FRs
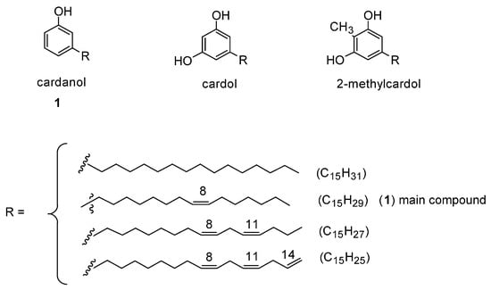
2.4. Vegetable Oil-Based FRs
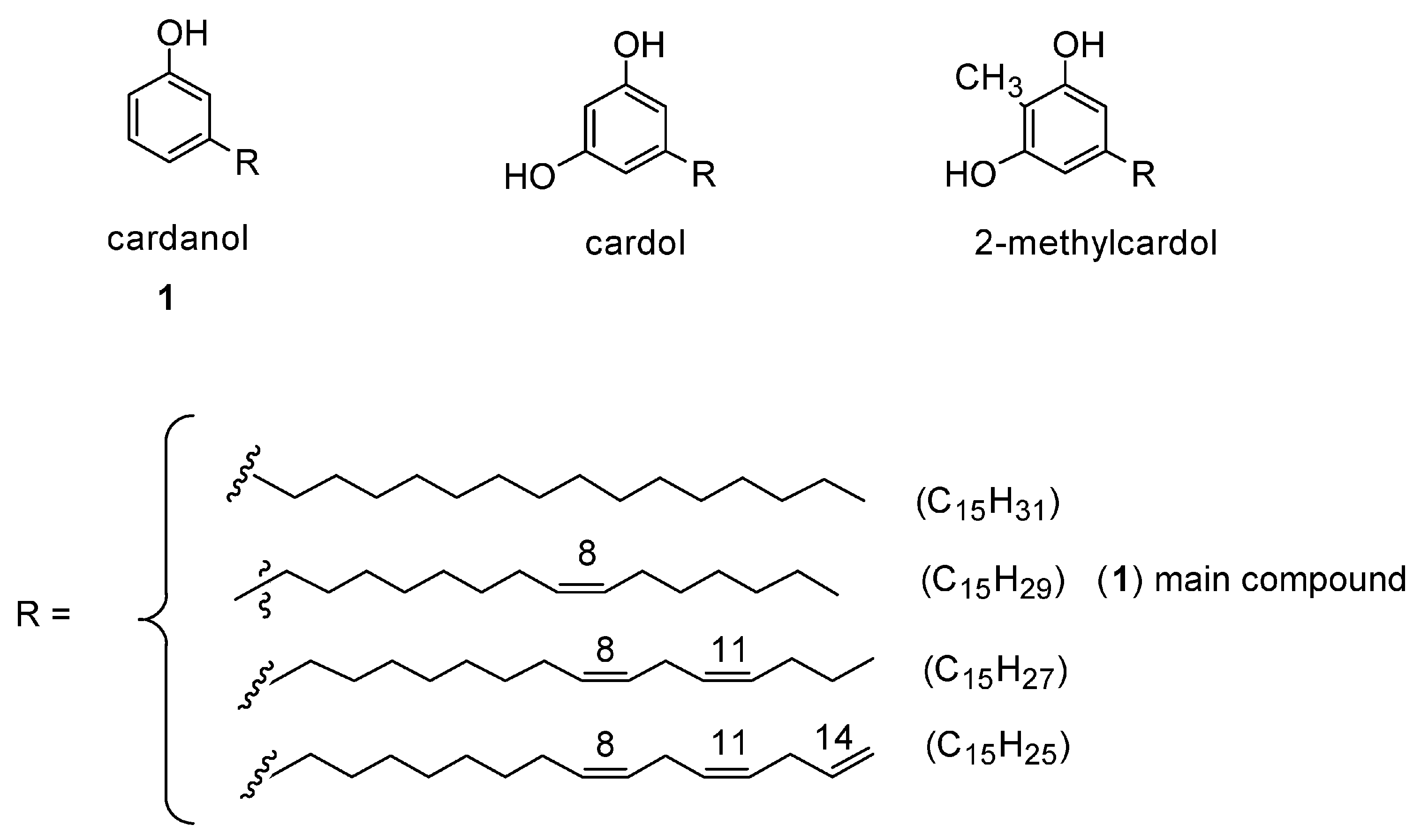
2.5. Bio-Sourced Aromatic FRs
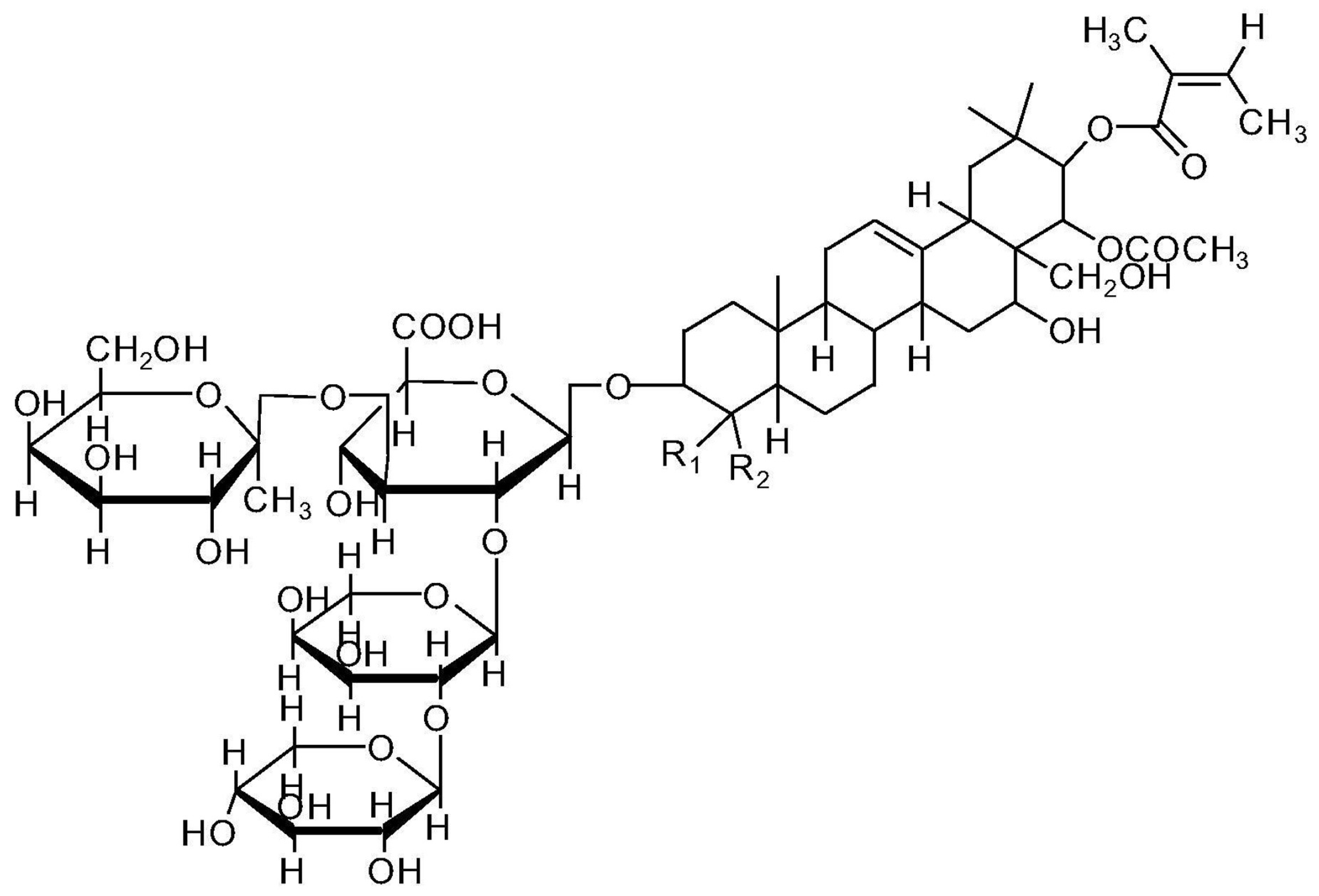
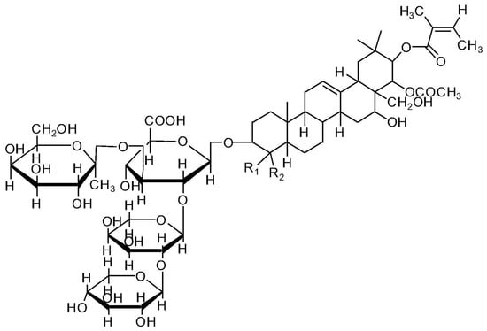
2.6. Phytic Acid and Phytates
3. Bio-Sourced Flame Retardants for Textiles: Recent Outcomes
3.1. Cotton Fabrics
3.2. Wool Fabrics
3.3. Silk Fabrics
3.4. Other Fabrics
4. Current Limitations and Perspective Trends in the Use of Bio-Sourced Flame Retardants
5. Conclusions
Funding
Data Availability Statement
Conflicts of Interest
References
- Wilson, J. Handbook of Textile Design. Principles, Processes and Practice; CRC Press LLC: Boca Raton, FL, USA, 2001. [Google Scholar]
- Senthil Kumar, R. Textiles for Industrial Applications; CRC Press: Boca Raton, FL, USA, 2014. [Google Scholar]
- Sokolov, S.V.; Wagner, P.; Messerschmidt, B. World Fire Statistics; No. 28; International Association of Fire and Rescue Service (CTIF): Berlin, Germany, 2023. [Google Scholar]
- UK Government. Fire Statistics Data Tables. Available online: https://www.gov.uk/government/statistical-data-sets/fire-statistics-data-tables#incidents-attended (accessed on 15 June 2024).
- Vahabi, H.; Saeb, M.R.; Malucelli, G. (Eds.) Analysis of Flame Retardancy in Polymer Science; Elsevier: New York, NY, USA, 2022. [Google Scholar]
- Morgan, A.B. The Future of Flame Retardant Polymers–Unmet Needs and Likely New Approaches. Polym. Rev. 2019, 59, 25–54. [Google Scholar] [CrossRef]
- Morgan, A.B. Nonhalogenated Flame Retardant Handbook, 2nd ed.; Wiley Scrivener Publishing LLC: Hoboken, NJ, USA, 2022. [Google Scholar]
- Kashiwagi, T. Polymer combustion and flammability—Role of the condensed phase. Symp. (Int.) Combust. 1994, 25, 1423–1437. [Google Scholar] [CrossRef]
- Camino, G.; Costa, L.; Luda di Cortemiglia, M.P. Overview of fire retardant mechanisms. Polym. Degrad. Stab. 1991, 33, 131–154. [Google Scholar] [CrossRef]
- Boryniec, S.; Przygocki, W. Polymer combustion processes. 3. Flame retardants for polymeric materials. Prog. Rubber Plast. Recycl. Technol. 2001, 17, 127–148. [Google Scholar] [CrossRef]
- Lazar, S.T.; Kolibaba, T.J.; Grunlan, J.C. Flame-retardant surface treatments. Nat. Rev. Mater. 2020, 5, 259–275. [Google Scholar] [CrossRef]
- Malucelli, G.; Carosio, F.; Alongi, J.; Fina, A.; Frache, A.; Camino, G. Materials engineering for surface-confined flame retardancy. Mater. Sci. Eng. R 2014, 84, 1–20. [Google Scholar] [CrossRef]
- Trovato, V.; Sfameni, S.; Ben Debabis, R.; Rando, G.; Rosace, G.; Malucelli, G.; Plutino, M.R. How to Address Flame-Retardant Technology on Cotton Fabrics by Using Functional Inorganic Sol–Gel Precursors and Nanofillers: Flammability Insights, Research Advances, and Sustainability Challenges. Inorganics 2023, 11, 306. [Google Scholar] [CrossRef]
- Horrocks, A.R. Flame retardant challenges for textiles and fibers: New chemistry versus innovatory solutions. Polym. Degrad. Stab. 2011, 96, 377–392. [Google Scholar] [CrossRef]
- Costes, L.; Laoutid, F.; Brohez, S.; Dubois, P. Bio-based flame retardants: When nature meets fire protection. Mater. Sci. Eng. R 2017, 117, 1–25. [Google Scholar] [CrossRef]
- Bourbigot, S.; Lu, J.; Zhang, T.; Zhang, X.; Liu, Y.; Xu, Y.J.; Li, J.; Xia, Y. Plant-derived Fire Retardants. In Green Fire Retardants for Polymeric Materials; Song, P., Zhang, Y., Wen, X., Eds.; RSC: London, UK, 2024; pp. 4–71. [Google Scholar]
- Malucelli, G.; Zhang, L.; Wang, D.Y.; Zhang, Y. Animal Product-derived Flame Retardants. In Green Fire Retardants for Polymeric Materials; Song, P., Zhang, Y., Wen, X., Eds.; RSC: London, UK, 2024; pp. 72–111. [Google Scholar]
- Bozell, J.J. Feedstocks for the Future–Biorefinery Production of Chemicals from Renewable Carbon. Clean Soil Air Water 2008, 36, 641–647. [Google Scholar] [CrossRef]
- Zhao, C.; Li, Z.; Li, T.; Zhang, Y.; Bryant, D.A.; Zhao, J. High-yield production of extracellular type-I cellulose by the cyanobacterium Synechococcus sp. PCC 7002. Cell Discov. 2001, 1, 15004. [Google Scholar] [CrossRef] [PubMed]
- Illy, N.; Fache, M.; Ménard, R.; Negrell, C.; Caillol, S.; David, G. Phosphorylation of bio-based compounds: The state of the art. Polym. Chem. 2015, 6, 6257–6291. [Google Scholar] [CrossRef]
- Xu, Z.; Gao, M.; Zhao, Q.; Zhang, C.; Zhang, J.; Cheng, M.; Xu, J.; Li, T.; Cheng, C. A new method for preparing permanent flame-retardant lyocell fibre: Preparation of flame-retardant fibres by phosphorylated MTT/lyocell blended fibres. Cellulose 2024, 31, 4565–4580. [Google Scholar] [CrossRef]
- Liu, K.; Lu, Y.; Cheng, Y.; Zhang, G.; Zhang, F. Flame retardancy and mechanism of polymer flame retardant containing P–N bonds for cotton fabrics modified by chemical surface grafting. Cellulose 2024, 31, 3243–3258. [Google Scholar] [CrossRef]
- Mngomezulu, M.E.; John, M.J.; Jacobs, V.; Luyt, A.S. Review on flammability of biofibres and biocomposites. Carbohydr. Polym. 2014, 111, 149–182. [Google Scholar] [CrossRef] [PubMed]
- Zobel, H.F. Molecules to granules: A comprehensive starch review. Starch 1988, 40, 44–50. [Google Scholar] [CrossRef]
- Bertoft, E. Understanding Starch Structure: Recent Progress. Agronomy 2017, 7, 56. [Google Scholar] [CrossRef]
- El Halal, S.L.M.; Kringel, D.H.; da Rosa Zavareze, E.; Guerra Dias, A.R. Methods for extracting cereal starches from different sources: A review. Starch 2019, 71, 1900128. [Google Scholar] [CrossRef]
- Chen, B.; Wu, D.; Wang, T.; Liu, Q.; Jia, D. Porous carbon generation by burning starch-based intumescent flame retardants for supercapacitors. Chem. Eng. J. 2024, 486, 150353. [Google Scholar] [CrossRef]
- Alongi, J.; Han, Z.; Bourbigot, S. Intumescence: Tradition versus novelty. A comprehensive review. Prog. Polym. Sci. 2015, 51, 28–73. [Google Scholar] [CrossRef]
- Sakharov, A.M.; Sakharov, P.A.; Lomakin, S.M.; Zaikov, G.E. Novel Class of Eco-Flame Retardants Based on the Renewable Raw Materials. In Polymer Green Flame Retardants; Papaspyrides, C.D., Kiliaris, P., Eds.; Elsevier: Amsterdam, The Netherlands, 2014; pp. 255–266. [Google Scholar]
- Gómez-de-Miranda-Jiménez-de-Aberasturi, O.; Centeno-Pedrazo, A.; Prieto Fernández, S.; Rodriguez Alonso, R.; Medel, S.; María Cuevas, J.; Monsegue, L.G.; De Wildeman, S.; Klein, D.; Henneken, H.; et al. The future of isosorbide as a fundamental constituent for polycarbonates and polyurethanes. Green Chem. Lett. Rev. 2021, 14, 534–544. [Google Scholar] [CrossRef]
- Martin Del Valle, E.M. Cyclodextrins and their uses: A review. Process Biochem. 2004, 39, 1033–1046. [Google Scholar] [CrossRef]
- Alongi, J.; Poskovic, M.; Visakhm, P.M.; Frache, A.; Malucelli, G. Cyclodextrin nanosponges as novel green flame retardants for PP, LLDPE and PA6. Carbohydr. Polym. 2012, 88, 1387–1394. [Google Scholar] [CrossRef]
- Hu, J. Environmentally sensitive polymer gel and its application in the textiles field. In Shape Memory Polymers and Textiles; Woodhead Publishing Series in Textiles; Woodhead Publishing: Cambridge, UK, 2007; pp. 252–278. [Google Scholar]
- Younes, I.; Rinaudo, M. Chitin and Chitosan Preparation from Marine Sources. Structure, Properties and Applications. Mar. Drugs 2015, 13, 1133–1174. [Google Scholar] [CrossRef] [PubMed]
- Zhang, S.; Liua, X.; Jin, X.; Li, H.; Sun, J.; Gu, X. The novel application of chitosan: Effects of cross-linked chitosan on the fire performance of thermoplastic polyurethane. Carbohydr. Polym. 2018, 189, 313–321. [Google Scholar] [CrossRef]
- Liu, X.; Guo, J.; Tang, W.; Li, H.; Gu, X.; Sun, J.; Zhang, S. Enhancing the flame retardancy of thermoplastic polyurethane by introducing montmorillonite nanosheets modified with phosphorylated chitosan. Compos. Part A 2019, 119, 291–298. [Google Scholar] [CrossRef]
- Liu, X.; Sun, J.; Zhang, S.; Guo, J.; Tang, W.; Li, H.; Gu, X. Effects of carboxymethyl chitosan microencapsulated melamine polyphosphate on the flame retardancy and water resistance of thermoplastic polyurethane. Polym. Degrad. Stab. 2019, 160, 168–176. [Google Scholar] [CrossRef]
- Hassan, M.; Nour, M.; Abdelmonem, Y.; Makhlouf, G.; Abdelkhalik, A. Synergistic effect of chitosan-based flame retardant and modified clay on the flammability properties of LLDPE. Polym. Degrad. Stab. 2016, 133, 8–15. [Google Scholar] [CrossRef]
- Howell, B.A.; Carter, K.E. Thermal stability of phosphinated diethyl tartrate. J. Therm. Anal. Calorim. 2010, 102, 493–498. [Google Scholar] [CrossRef]
- Zhang, X.; Li, C.; Hu, W.; Abdel-Samie, M.A.; Cui, H.; Lin, L. An overview of tea saponin as a surfactant in food applications. Crit. Rev. Food Sci. Nutr. 2023, 1–13. [Google Scholar] [CrossRef]
- Qian, W.; Li, X.Z.; Wu, Z.P.; Liu, Y.X.; Fang, C.C.; Meng, W. Formulation of Intumescent Flame Retardant Coatings Containing Natural-Based Tea Saponin. J. Agric. Food Chem. 2015, 63, 2782–2788. [Google Scholar] [CrossRef] [PubMed]
- Qian, W.; Li, X.; Zhou, j.; Liu, Y.; Wu, Z. High synergistic effects of natural-based tea saponin in intumescent flame-retardant coatings for enhancement of flame retardancy and pyrolysis performance. Prog. Org. Coat. 2019, 127, 408–418. [Google Scholar] [CrossRef]
- Zhu, Z.; Wen, Y.; Yi, J.; Cao, Y.; Liu, F.; McClements, D.J. Comparison of natural and synthetic surfactants at forming and stabilizing nanoemulsions: Tea saponin, Quillaja saponin, and Tween 80. J. Colloid Interface Sci. 2019, 536, 80–87. [Google Scholar] [CrossRef] [PubMed]
- Minchin, S.; Lodge, J. Understanding biochemistry: Structure and function of nucleic acids. Essays Biochem. 2019, 63, 433–456. [Google Scholar] [CrossRef] [PubMed]
- Alongi, J.; Cuttica, F.; Carosio, F. DNA Coatings from Byproducts: A Panacea for the Flame Retardancy of EVA, PP, ABS, PET, and PA6? ACS Sustain. Chem. Eng. 2016, 4, 3544–3551. [Google Scholar] [CrossRef]
- Alongi, J.; Cuttica, F.; Di Blasio, A.; Carosio, F.; Malucelli, G. Intumescent features of nucleic acids and proteins. Thermochim. Acta 2014, 591, 31–39. [Google Scholar] [CrossRef]
- Alongi, J.; Carletto, R.A.; Di Blasio, A.; Carosio, F.; Bosco, F.; Malucelli, G. DNA: A novel, green, natural flame retardant and suppressant for cotton. J. Mater. Chem. A 2013, 1, 4779–4785. [Google Scholar] [CrossRef]
- Wang, Z.; Liu, Y.; Li, J. Preparation of nucleotide-based microsphere and its application in intumescent flame retardant polypropylene. J. Anal. Appl. Pyrolysis 2016, 121, 394–402. [Google Scholar] [CrossRef]
- Li, Y.C.; Yang, Y.H.; Kim, Y.S.; Shields, J.; Davis, R.D. DNA-based nanocomposite biocoatings for fire-retarding polyurethane foam. Green Mater. 2014, 2, 144–152. [Google Scholar] [CrossRef]
- Kokoszka, S.; Debeaufort, F.; Lenart, A.; Voilley, A. Water vapour permeability, thermal and wetting properties of whey protein isolate based edible films. Int. Dairy J. 2010, 20, 53–60. [Google Scholar] [CrossRef]
- Bosco, F.; Carletto, R.A.; Alongi, J.; Marmo, L.; Di Blasio, A.; Malucelli, G. Thermal stability and flame resistance of cotton fabrics treated with whey proteins. Carbohydr. Polym. 2013, 94, 372–377. [Google Scholar] [CrossRef] [PubMed]
- Huppertz, T.; Fox, P.F.; Kelly, A.L. The caseins: Structure, stability, and functionality. In Proteins in Food Processing, 2nd ed.; Yada, R.Y., Ed.; Woodhead Publishing Series in Food Science, Technology and Nutrition; Woodhead Publishing: London, UK, 2018; pp. 49–92. [Google Scholar]
- Xu, F.; Zhong, L.; Zhang, C.; Wang, P.; Zhang, F.; Zhang, G. Novel High-Efficiency Casein-Based P–N-Containing Flame Retardants with Multiple Reactive Groups for Cotton Fabrics. ACS Sustain. Chem. Eng. 2019, 7, 13999–14008. [Google Scholar] [CrossRef]
- Carosio, F.; Di Blasio, A.; Cuttica, F.; Alongi, J.; Malucelli, G. Flame Retardancy of Polyester and Polyester–Cotton Blends Treated with Caseins. Ind. Eng. Chem. Res. 2014, 53, 3917–3923. [Google Scholar] [CrossRef]
- Linder, M.B. Hydrophobins: Proteins that self-assemble at interface. Curr. Opin. Colloid Interface Sci. 2009, 14, 356–363. [Google Scholar] [CrossRef]
- Alongi, J.; Carletto, R.A.; Bosco, F.; Carosio, F.; Di Blasio, A.; Cuttica, F.; Antonucci, V.; Giordano, M.; Malucelli, G. Caseins and hydrophobins as novel green flame retardants for cotton fabrics. Polym. Degrad. Stab. 2014, 99, 111–117. [Google Scholar] [CrossRef]
- Basak, S.; Ali, S.W. Fire-resistant behavior of cellulosic textile material functionalized with biomolecules. In Advances in Functional and Protective Textiles; ul-Islam, S., Singh Butola, B., Eds.; The Textile Institute Book Series; Woodhead Publishing: Manchester, UK, 2020; pp. 63–80. [Google Scholar]
- Miao, S.; Wang, P.; Su, Z.; Zhang, S. Vegetable-oil-based polymers as future polymeric biomaterials. Acta Biomater. 2014, 10, 1692–1704. [Google Scholar] [CrossRef]
- Heinen, M.; Gerbase, A.E.; Petzhold, C.L. Vegetable oil-based rigid polyurethanes and phosphorylated flame-retardants derived from epoxidized soybean oil. Polym. Degrad. Stab. 2024, 108, 76–86. [Google Scholar] [CrossRef]
- Zhang, L.; Zhang, M.; Hu, L.; Zhou, Y. Synthesis of rigid polyurethane foams with castor oil-based flame retardant polyols. Ind. Crops Prod. 2014, 52, 380–388. [Google Scholar] [CrossRef]
- Ganewatta, M.S.; Lokupitiya, H.N.; Tang, C. Lignin biopolymers in the age of controlled polymerization. Polymers 2019, 11, 1176. [Google Scholar] [CrossRef]
- Hu, T.Q. Chemical Modification, Properties, and Usage of Lignin; Springer: Boston, MA, USA, 2002. [Google Scholar]
- Mahmood, Z.; Yameen, M.; Jahangeer, M.; Riaz, M.; Ghaffar, A.; Javid, I. Lignin as Natural Antioxidant Capacity. In Lignin–Trends and Applications; Poletto, M., Ed.; IntechOpen: Rijeka, Croatia, 2018; pp. 181–205. [Google Scholar]
- Fox, S.C.; McDonald, A.G. Chemical and thermal characterization of three lignins and their corresponding lignin esters. BioResources 2010, 5, 990–1009. [Google Scholar] [CrossRef]
- De Chirico, A.; Armanini, M.; Chini, P.; Cioccolo, G.; Provasoli, F.; Audisio, G. Flame retardants for polypropylene based on lignin. Polym. Degrad. Stab. 2003, 79, 139–145. [Google Scholar] [CrossRef]
- Li, J.; Li, B.; Zhang, X.; Su, R. The study of flame retardants on thermal degradation and charring process of manchurian ash lignin in the condensed phase. Polym. Degrad. Stab. 2001, 72, 493–498. [Google Scholar] [CrossRef]
- Lee, J.H.; Jang, D.; Yang, I.; Jo, S.M.; Lee, S. Effect of phosphorylated lignin on flame retardancy of polypropylene-based composites. J. Appl. Polym. Sci. 2022, 139, e52519. [Google Scholar] [CrossRef]
- Gao, C.; Zhou, L.; Yao, S.; Qin, C.; Fatehi, P. Phosphorylated kraft lignin with improved thermal stability. Int. J. Biol. Macromol. 2020, 162, 1642–1652. [Google Scholar] [CrossRef] [PubMed]
- Ferry, L.; Dorez, G.; Taguet, A.; Otazaghine, B.; Lopez-Cuesta, J.M. Chemical modification of lignin by phosphorus molecules to improve the fire behavior of polybutylene succinate. Polym. Degrad. Stab. 2015, 113, 135–143. [Google Scholar] [CrossRef]
- Zhang, Y.; Xiao, R.; Tai, X.; Huang, Q.; Hu, H.; Zhang, R.; Xiao, X.; Tai, Q.; Huang, H.; Hu, Y. Modification of lignin and its application as char agent in intumescent flame-retardant poly (lactic acid). Polym. Eng. Sci. 2012, 52, 2620–2626. [Google Scholar] [CrossRef]
- Menard, R.; Negrell-Guirao, C.; Ferry, L.; Sonnier, R.; David, G. Synthesis of biobased phosphate flame retardants. Pure Appl. Chem. 2014, 86, 1637–1650. [Google Scholar] [CrossRef]
- Wang, X.; Kalali, E.N.; Wang, D.Y. Renewable Cardanol-Based Surfactant Modified Layered Double Hydroxide as a Flame Retardant for Epoxy Resin. ACS Sustain. Chem. Eng. 2015, 3, 3281–3290. [Google Scholar] [CrossRef]
- Vasapollo, G.; Mele, G.; Del Sole, R. Cardanol-Based Materials as Natural Precursors for Olefin Metathesis. Molecules 2011, 16, 6871–6882. [Google Scholar] [CrossRef]
- Bazoti, S.F.; Bonatto, C.; Scapini, T.; Frumi Camargo, A.; Treichel, H.; de Oliveira, D. Recent advances, perspectives and challenges on levulinic acid production from residual biomass. Biofuels Bioprod. Biorefin. 2023, 17, 1068–1084. [Google Scholar] [CrossRef]
- Liu, Y.; Zhang, Y.; Fang, Z. Design, synthesis, and application of novel flame retardants derived from biomass. BioResources 2012, 7, 4914–4925. [Google Scholar] [CrossRef][Green Version]
- Graf, E. Applications of phytic acid. J. Am. Oil Chem. Soc. 1983, 60, 1861–1867. [Google Scholar] [CrossRef]
- Bloot, A.P.M.; Kalschne, D.L.; Amaral, J.A.S.; Baraldi, I.J.; Canan, C. A Review of Phytic Acid Sources, Obtention, and Applications. Food Rev. Int. 2023, 39, 73–92. [Google Scholar] [CrossRef]
- Zhang, T.; Yan, H.; Shen, L.; Fang, Z.; Zhang, X.; Wang, J.; Zhang, B. Chitosan/Phytic Acid Polyelectrolyte Complex: A Green and Renewable Intumescent Flame Retardant System for Ethylene–Vinyl Acetate Copolymer. Ind. Eng. Chem. Res. 2014, 53, 19199–19207. [Google Scholar] [CrossRef]
- Cheng, X.; Shi, L.; Fan, Z.; Yu, Y.; Liu, R. Bio-based coating of phytic acid, chitosan, and biochar for flame-retardant cotton fabrics. Polym. Degrad. Stab. 2022, 199, 109898. [Google Scholar] [CrossRef]
- Song, F.; Liu, T.; Fan, Q.; Li, D.; Ou, R.; Liu, Z.; Wang, Q. Sustainable, high-performance, flame-retardant waterborne wood coatings via phytic acid based green curing agent for melamine-urea-formaldehyde resin. Prog. Org. Coat. 2022, 162, 106597. [Google Scholar] [CrossRef]
- Ren, X.; Song, M.; Jiang, J.; Yu, Z.; Zhang, Y.; Zhu, Y.; Liu, X.; Li, C.; Oguzlu-Baldelli, H.; Jiang, F. Fire-Retardant and Thermal-Insulating Cellulose Nanofibril Aerogel Modified by In Situ Supramolecular Assembly of Melamine and Phytic Acid. Adv. Eng. Mater. 2022, 24, 2101534. [Google Scholar] [CrossRef]
- Li, L.; Qi, P.; Peng, A.; Sun, J.; Cui, Z.; Liu, W.; Li, H.; Gu, X.; Zhang, S. Preparation of durable flame retardant nylon-cotton blend fabrics by 3-glycidyloxypropyl trimethoxy silane associated with polyethyleneimine and phytic acid. Cellulose 2022, 29, 7413–7430. [Google Scholar] [CrossRef]
- Barbalini, M.; Bertolla, L.; Toušek, J.; Malucelli, G. Hybrid Silica-Phytic Acid Coatings: Effect on the Thermal Stability and Flame Retardancy of Cotton. Polymers 2019, 11, 1664. [Google Scholar] [CrossRef]
- Sui, Y.; Dai, X.; Li, P.; Zhang, C. Superior radical scavenging and catalytic carbonization capacities of bioderived assembly modified ammonium polyphosphate as a mono-component intumescent flame retardant for epoxy resin. Eur. Polym. J. 2021, 156, 110601. [Google Scholar] [CrossRef]
- Liao, Y.; Chen, Y.; Zhang, F. A biological reactive flame retardant for flame retardant modification of cotton fabric. Colloids Surf. A Physicochem. Eng. Asp. 2021, 630, 127601. [Google Scholar] [CrossRef]
- Lu, Y.; Zhao, P.; Chen, Y.; Huang, T.; Liu, Y.; Ding, D.; Zhang, G. A bio-based macromolecular phosphorus-containing active cotton flame retardant synthesized from starch. Carbohydr. Polym. 2022, 298, 120076. [Google Scholar] [CrossRef] [PubMed]
- Ma, Z.; Zhang, Z.; Zhao, F.; Wang, Y. A multifunctional coating for cotton fabrics integrating superior performance of flame-retardant and self-cleaning. Adv. Compos. Hybrid Mater. 2022, 5, 2817–2833. [Google Scholar] [CrossRef]
- Zheng, X.T.; Dong, Y.Q.; Liu, X.D.; Xu, Y.L.; Jian, R.K. Fully bio-based flame-retardant cotton fabrics via layer-by-layer self assembly of laccase and phytic acid. J. Clean. Prod. 2022, 350, 131525. [Google Scholar] [CrossRef]
- Lu, Y.; Ding, D.; Liu, Y.; Lu, Y.; Zhang, F.; Zhang, G. A high durable polysaccharide flame retardant based on phosphorus element for cotton fabrics. Polym. Degrad. Stab. 2023, 210, 110313. [Google Scholar] [CrossRef]
- Cui, J.; Kang, M.M.; Zhang, L.; Hu, W.; Shao, Z.B.; Zhu, L. Bioinspired aldehyde-free and durable coatings for antibacterial, UV-resistant and flame-retardant cotton fabrics by the covalent bonding and in-situ coprecipitation. Prog. Org. Coat. 2023, 182, 107635. [Google Scholar] [CrossRef]
- Chen, S.; Liang, F.; Jin, L.; Ji, C.; Xu, N.; Qian, K.; Guo, W. A molecularly engineered fully bio-derived phosphorylated furan-based flame retardant for biomass-based fabrics. Int. J. Biol. Macromol. 2024, 263, 129836. [Google Scholar] [CrossRef] [PubMed]
- Maddalena, L.; Indias, J.M.; Bettotti, P.; Scarpa, M.; Carosio, F. Cellulose nanocrystals polyelectrolyte complexes as flame retardant treatment for cotton fabrics. Polym. Degrad. Stab. 2024, 220, 110646. [Google Scholar] [CrossRef]
- Safdar, F.; Ashraf, M.; Abid, A.; Javid, A.; Iqbal, K. Eco-friendly, efficient and durable flame retardant coating for cotton fabrics using phytic acid/silane hybrid sol. Mater. Chem. Phys. 2024, 311, 128568. [Google Scholar] [CrossRef]
- Petkovska, J.; Mladenovic, N.; Leising, W.; Baidak, A.; Temkov, M.; Mirakovski, D.; Dimova, V.; Jordanov, I. Egg white proteins/lignin-DAP intumescent multilayer nanocoating for flame retardant cotton fabric. Prog. Org. Coat. 2024, 186, 107983. [Google Scholar] [CrossRef]
- Li, M.; Prabhakar, M.N.; Song, J. Effect of synthesized lignin-based flame retardant liquid on the flame retardancy and mechanical properties of cotton textiles. Ind. Crops Prod. 2024, 212, 118283. [Google Scholar] [CrossRef]
- Huang, Y.-Y.; Zhang, L.-P.; Cao, X.; Tian, X.-Y.; Ni, Y.-P. Facile Fabrication of Highly Efficient Chitosan-Based Multifunctional Coating for Cotton Fabrics with Excellent Flame-Retardant and Antibacterial Properties. Polymers 2024, 16, 1409. [Google Scholar] [CrossRef]
- Liu, H.; Li, P.; Xu, Y.J.; Zhu, P.; Liu, Y. Eco-friendly flame-retardant coatings based on γ-ureidopropyltriethoxysilane for cotton fabrics with improved flame retardancy and mechanical properties. Sustain. Mater. Techno. 2024, 39, e00821. [Google Scholar] [CrossRef]
- Cheng, X.W.; Wang, Z.Y.; Jin, W.J.; Guan, J.P. Covalent flame-retardant functionalization of wool fabric using ammonium phytate with improved washing durability. Ind. Crops Prod. 2022, 187, 115332. [Google Scholar] [CrossRef]
- Huang, Y.T.; Jin, W.J.; Guan, J.P.; Cheng, X.W.; Chen, G. Functionalization of silk fabric using phytate urea salt for durable flame retardant performance. Mater. Today Commun. 2021, 28, 102673. [Google Scholar] [CrossRef]
- Cheng, X.W.; Wu, C.; Dong, S.; Shen, J.C.; Guan, J.P. A sustainable and reactive intumescent flame-retardant containing phytate and triazine-trione for durable functional coating of silk fabric. Prog. Org. Coat. 2023, 182, 107630. [Google Scholar] [CrossRef]
- Cheng, X.W.; Song, J.Y.; Dong, S.; Guan, J.P. Construction of a sustainable, reactive and phytate-based intumescent flame-retardant for silk textile. Polym. Degrad. Stab. 2023, 211, 110339. [Google Scholar] [CrossRef]
- Cheng, X.W.; Song, J.Y.; Cui, M.L.; Dong, S.; Guan, J.P. Reactive phytate-based intumescent flame-retardant toward sustainable and durable functional coating of silk fabric. Mater. Today Sustain. 2023, 24, 100528. [Google Scholar] [CrossRef]
- Zhang, L.Y.; Song, W.M.; Li, P.; Wang, J.S.; Liu, Y.; Zhu, P. Green flame-retardant coatings based on iron alginate for polyester fabrics: Thermal stability, flame retardancy and mechanical properties. Polym. Degrad. Stab. 2022, 206, 110207. [Google Scholar] [CrossRef]
- Sun, L.; Yang, C.; Wang, X.; Jin, X.; Li, X.; Liu, X.; Zhu, P.; Dong, C. Bio-based alginate and Si-, P- and N-containing compounds cooperate toward flame-retardant modification of polyester fabrics. Int. J. Biol. Macromol. 2024, 259, 129121. [Google Scholar] [CrossRef]
- Jiang, X.L.; Tang, R.C. Phosphorylation of Kapok Fiber with Phytic Acid for Enhanced Flame Retardancy. Int. J. Mol. Sci. 2022, 23, 14950. [Google Scholar] [CrossRef] [PubMed]
- Smith, D.L.; Vest, N.A.; Rodriguez-Melendez, D.; Palen, B.; Grunlan, J.C. Bio-Sourced Intumescent Nanocoating. Adv. Eng. Mater. 2023, 25, 2200911. [Google Scholar] [CrossRef]
- Liu, J.; Qi, P.; Chen, F.; Zhang, J.; Li, H.; Gu, X.; Sun, J.; Zhang, S. Fully bio-based coating for nylon/cotton blend fabrics with improved flame retardancy and smoke suppression properties. Prog. Org. Coat. 2023, 184, 107884. [Google Scholar] [CrossRef]
- Dong, S.; Huang, Y.T.; Zhang, X.; Cheng, S.S.; Cheng, X.W.; Guan, J.P. Enhancing the Flame Retardancy of Polyester/Cotton Blend Fabrics Using Biobased Urea–Phytate Salt. Materials 2024, 17, 1346. [Google Scholar] [CrossRef] [PubMed]
- Ding, L.; Sun, L.; Yu, J.; Cao, Y.; Liu, X.; Ren, Y.; Li, Y. 0D bio-based carbon dots and 2D MXene hybridization toward fabricating flame-retardant, conductive and sensing cellulose fabrics. Chem. Eng. J. 2024, 488, 150776. [Google Scholar] [CrossRef]
- Standardized Laundering for Textile Texting. Available online: https://www.aatcc.org/laundering/ (accessed on 15 June 2024).
- Richardson, J.J.; Cui, J.; Björnmalm, M.; Braunger, J.A.; Ejima, H.; Caruso, F. Innovation in Layer-by-Layer Assembly. Chem. Rev. 2016, 116, 14828–14867. [Google Scholar] [CrossRef] [PubMed]
- Qiu, X.; Li, Z.; Li, X.; Zhang, Z. Flame retardant coatings prepared using layer by layer assembly: A review. Chem. Eng. J. 2018, 334, 108–122. [Google Scholar] [CrossRef]
- Horrocks, A.R.; Smart, G.; Kandola, B.; Holdsworth, A.; Price, D. Zinc stannate interactions with flame retardants in polyamides; part 1: Synergies with organobromine-containing flame retardants in polyamides 6 (PA6) and 6.6 (PA6.6). Polym. Degrad. Stab. 2012, 97, 2503–2510. [Google Scholar] [CrossRef]
- ISO 105-C10:2006; Textiles—Tests for Colour Fastness. Part C10: Colour Fastness to Washing with Soap or Soap and Soda. ISO: Geneva, Switzerland, 2006.
- Olechowski, A.L.; Eppinger, S.D.; Joglekar, N.; Tomaschek, K. Technology readiness levels: Shortcomings and improvement opportunities. Syst. Eng. 2020, 23, 395–408. [Google Scholar] [CrossRef]























| Type of Bio-Sourced Flame Retardant | Fire-Retardant Mechanism(s) |
|---|---|
| Cellulose | Carbon source Char-former after chemical modification |
| Hemicellulose | Carbon source |
| Starch | Carbon source Char-former after oxidation (i.e., conversion in polyoxoacids) |
| Isosorbide | Carbon source Char-former after chemical modification |
| Cyclodextrins | Carbon source in intumescent systems |
| Chitosan | Carbon source Char-former after chemical modification |
| Tartaric acid | Its P-containing esters are char-formers |
| Tea Saponin | Carbon source Blowing agent |
| Nucleic acids | Intumescent systems with a predominant condensed phase action |
| Whey proteins | Char-formers |
| Caseins | Char-formers |
| Hydrophobins | Char-formers |
| Vegetable oils | Char-formers after chemical modification |
| Lignin | Char-former (alone or in combination with other FRs) Intumescent system after chemical modification with N-containing compounds |
| Phloroglucinol | Surfactant for the modification of layered double hydroxides |
| Cardanol | Surfactant for the modification of layered double hydroxides |
| Levulinic acid | Char-former after chemical modification |
| Phytic acid and phytates | Char-formers Components for intumescent systems |
| Textile Substrate | Type of Bio-Sourced Flame Retardant | Main Outcomes | Ref. |
|---|---|---|---|
| Cotton | Ammonium salt of arginine hexamethylenephosphonic acid |
| [85] |
| Cotton | Ammonium starch phosphate |
| [86] |
| Cotton | Graphite carbon nitride/phosphorylated chitosan (2 or 4 layer-by-layer assemblies) |
| [87] |
| Cotton | Chitosan + biochar/phytic acid (5 layer-by-layer assemblies) |
| [79] |
| Cotton | Laccase/Phytic acid (1 layer-by-layer assembly) |
| [88] |
| Cotton | 2,6-dimethoxy polysaccharide ammonium phosphate |
| [89] |
| Cotton | Zeolitic imidazolate framework-8 modified with chitosan and Zn2+ |
| [90] |
| Cotton | Phosphorylated furan-based FR |
| [91] |
| Cotton | Branched polyethylene imine/cellulose nanocrystals polyelectrolyte complex |
| [92] |
| Cotton | Phytic acid + 3-(2-aminoethylamino)-propyltrimethoxysilane |
| [93] |
| Cotton | Egg white proteins/magnesium lignosulfonate–diammonium phosphate (5 layer-by-layer assemblies) |
| [94] |
| Cotton | Lignin-silica-based liquid + 9,10-Dihydro-9-oxa-10-phosphaphenanthrene-10-oxide |
| [95] |
| Cotton | Chitosan protonated with amino trimethylene phosphonic acid |
| [96] |
| Cotton | Sol-gel coating made of γ-ureidopropyltriethoxysilane and ammonia phytate |
| [97] |
| Wool | Ammonium phytate |
| [98] |
| Silk | Phytate urea salt |
| [99] |
| Silk | Glycidyl phytate isocyanurate |
| [100] |
| Silk | Pentaerythritol phytate ethylenediaminetetraacetic ester |
| [101] |
| Silk | Coating made of phytic acid, triethanolamine, and citric acid |
| [102] |
| Polyester | Sodium alginate and Fe3+ |
| [103] |
| Polyester | Coating made of phosphite, pentamethyldisiloxane, urea, and sodium alginate |
| [104] |
| Kapok | Phytic acid and urea |
| [105] |
| Nylon/Cotton | Chitosan/Phytic acid/Tannic acid layer-by-layer assemblies (15 quad-layers) |
| [106] |
| Nylon/Cotton | Phytic acid and L-cysteine |
| [107] |
| Polyester/Cotton | Phytic acid-urea salt |
| [108] |
| Cotton/Lyocell | MXene and bio-based carbon dots |
| [109] |
Disclaimer/Publisher’s Note: The statements, opinions and data contained in all publications are solely those of the individual author(s) and contributor(s) and not of MDPI and/or the editor(s). MDPI and/or the editor(s) disclaim responsibility for any injury to people or property resulting from any ideas, methods, instructions or products referred to in the content. |
© 2024 by the author. Licensee MDPI, Basel, Switzerland. This article is an open access article distributed under the terms and conditions of the Creative Commons Attribution (CC BY) license (https://creativecommons.org/licenses/by/4.0/).
Share and Cite
Malucelli, G. Bio-Sourced Flame Retardants for Textiles: Where We Are and Where We Are Going. Molecules 2024, 29, 3067. https://doi.org/10.3390/molecules29133067
Malucelli G. Bio-Sourced Flame Retardants for Textiles: Where We Are and Where We Are Going. Molecules. 2024; 29(13):3067. https://doi.org/10.3390/molecules29133067
Chicago/Turabian StyleMalucelli, Giulio. 2024. "Bio-Sourced Flame Retardants for Textiles: Where We Are and Where We Are Going" Molecules 29, no. 13: 3067. https://doi.org/10.3390/molecules29133067
APA StyleMalucelli, G. (2024). Bio-Sourced Flame Retardants for Textiles: Where We Are and Where We Are Going. Molecules, 29(13), 3067. https://doi.org/10.3390/molecules29133067
