Next Article in Journal
Fluorescence of Half-Twisted 10-Acyl-1-methyltetrahydrobenzoquinolines
Previous Article in Journal
Research on the Interaction Mechanisms between ScCO2 and Low-Rank/High-Rank Coal with the ReaxFF-MD Force Field
 
 
Font Type:
Arial Georgia Verdana
Font Size:
Aa Aa Aa
Line Spacing:
Column Width:
Background:
Article

Synthesis and Enzymatic Evaluation of a Small Library of Substituted Phenylsulfonamido-Alkyl Sulfamates towards Carbonic Anhydrase II

1
Organic Chemistry, Martin-Luther University Halle-Wittenberg, Kurt-Mothes, Str. 2, D-06120 Halle (Saale), Germany
2
Natural & Medical Sciences Research Center, University of Nizwa, Nizwa 616, Oman
*
Author to whom correspondence should be addressed.
Molecules 2024, 29(13), 3015; https://doi.org/10.3390/molecules29133015
Submission received: 13 May 2024 / Revised: 19 June 2024 / Accepted: 20 June 2024 / Published: 25 June 2024
(This article belongs to the Section Medicinal Chemistry)

Abstract

A small library of 79 substituted phenylsulfonamidoalkyl sulfamates, 1b79b, was synthesized starting from arylsulfonyl chlorides and amino alcohols with different numbers of methylene groups between the hydroxyl and amino moieties yielding intermediates 1a79a, followed by the reaction of the latter with sulfamoyl chloride. All compounds were screened for their inhibitory activity on bovine carbonic anhydrase II. Compounds 1a79a showed no inhibition of the enzyme, in contrast to sulfamates 1b79b. Thus, the inhibitory potential of compounds 1b79b towards this enzyme depends on the substituent and the substitution pattern of the phenyl group as well as the length of the spacer. Bulkier substituents in the para position proved to be better for inhibiting CAII than compounds with the same substituent in the meta or ortho position. For many substitution patterns, compounds with shorter spacer lengths were superior to those with long chain spacers. Compounds with shorter spacer lengths performed better than those with longer chain spacers for a variety of substitution patterns. The most active compound held inhibition constant as low as Ki = 0.67 μM (for 49b) and a tert-butyl substituent in para position and acted as a competitive inhibitor of the enzyme.

Graphical Abstract

1. Introduction

The scientific interest in enzymes from the family of carbonic anhydrases has increased significantly in recent years, as it has been recognized that these enzymes are involved in a large number of metabolic reactions in a wide variety of organisms. Recently, inhibitors of the enzyme CA II have again become the focus of scientific interest [1,2,3,4,5,6,7,8,9,10,11,12,13,14].
Zinc-containing protein CA II (among other CAs) is involved in acid–base homeostasis [15,16,17,18,19,20,21,22,23,24], gluconeogenesis [22,23,24], lipogenesis [25,26,27,28,29,30,31], osteoclast development [32,33,34,35,36,37], and consequently in calcification. Several studies have revealed that CA II promotes the synthesis of calcium carbonate, and—as a result—the addition of a CA inhibitor. For example, acetazolamide (Figure 1) resulted in a notable reduction in calcium carbonate. This indicates that the synthesis of calcium carbonate depends on CA isoenzymes, which are acetazolamide-sensitive. Proton generation in osteoclasts is facilitated by CA II, too. This causes the resorption lacunae to become acidified and eventually dissolve the bone. Additionally, compared to normal artery tissue from the same person, human atheromatous plaques were shown to overexpress CA II. As a consequence, CA II seems highly interesting in future therapies for osteoporosis and atherosclerosis [11].
Furthermore, out of all the organs studied, the mammalian central nervous system (CNS) possesses the greatest number of CA isoforms (at least 9). Isoforms I, VB, VII, VIII, X, XI, XII, and XIV are also found, with hCA II being the most prevalent. Carbonic anhydrase inhibitors have been used therapeutically in a number of brain pathologies because of the broad expression range of CA isoforms in the brain. In epilepsy and idiopathic intracranial hypertension, where acetazolamide [38,39,40,41] is one of the medications now in clinical use, inhibition by CAIs has been shown to be clinically beneficial. Moreover, migraine, neuropathic pain, diabetes-induced blood–brain barrier failure, and amyloid β-induced mitochondrial dysfunction characteristic of Alzheimer’s disease are possible therapeutic uses of CAIs targeting CNS isoforms.
However, the treatment of primary open-angle glaucoma (POAG), a multifactorial optic neuropathy linked to progressive retinal ganglion cell death and visual field loss, is one of the primary uses of CA II inhibitors [42,43,44,45,46,47]. Elevated intraocular pressure is the primary risk factor for POAG, although there are numerous other related variables. Because of the unsatisfactory side effect profile of oral carbonic anhydrase inhibitors, topical CAIs took a long time to develop but have been shown to be a valuable adjunct to the treatment of primary open-angle glaucoma. They work by preventing the ciliary epithelium’s CA II from functioning. As a result, fewer bicarbonate ions are formed, which decreases intraocular pressure and fluid transfer. Inhibitor drugs such as dorzolamide or brinzolamide (Figure 1) have been in use for many years [48,49,50,51,52,53].
Furthermore, the treatment of cerebral oedema has once again become the focus of scientific interest, since brain swelling is a known side effect of some of the new drugs (e.g., lecanemab [54,55,56,57,58,59,60] and donanemab [61,62,63,64]) recently approved for the treatment of Alzheimer’s disease. Treatment of cerebral edema could include intravenous injection of a CA inhibitor.

2. Results

During the last few decades, numerous sulfamates have been described as inhibitors of CAs because the sulfamate group is ideally suited to interact with the central atom zinc in the active site of the enzyme [65,66,67,68,69,70,71,72]. Sulfamates are bio-isosteres to sulfonamides; the latter constitute one of the main classes of CA inhibitors. For several of them, very low inhibition constants in the range 3.1–4.8 nm have been reported [73].
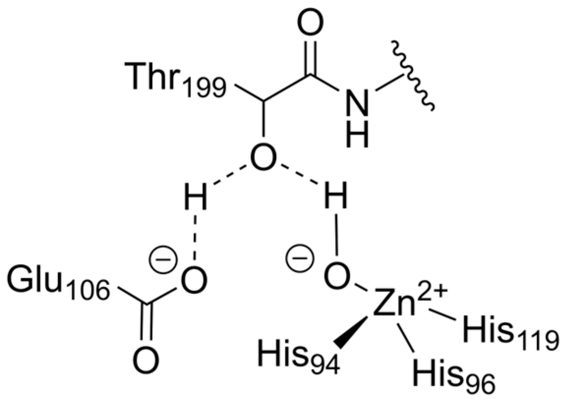
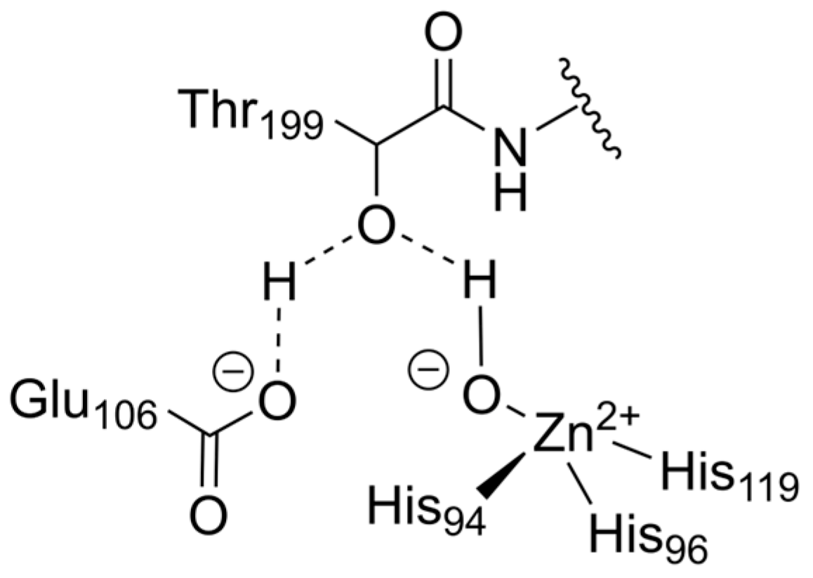
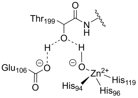
Figure 2 depicts the Zn(II) ion coordination in the CA II active site by three histidine ligands (His94, His96, and His119) and gate-keeping residues (Thr199, Glu106) [73].
Evaluation of literature data on the potential of sulfamates but also our own studies showed, to our surprise, that compounds of structure B (Scheme 1) have not been investigated as CA inhibitors so far [65,66,67,68,69,70,71]. Very recently, we could present results showing that similar compounds derived from enantiomerically pure amino-alcohols might be efficient inhibitors of CA II [72].
Target structure B can be easily synthesized by the reaction of 1,ω-aminoalcohols with arylsulfonyl chlorides, Furthermore, many arylsulfonyl chlorides are commercially available. This makes the synthesis of a small library of compounds immensely easier. Their reaction with corresponding amino alcohols led to type A compounds (Scheme 1), 1a79a. The compounds 1a79a (Figure 3) were reacted with sulfamoyl chloride and triethylamine in dichloromethane, resulting in the desired target compounds of type B, 1b79b. The latter compounds resemble a small library of substituted phenylsulfonamido alkyl sulfamates; they differ in the nature and position of substituents on the aromatic ring (ortho, meta, and para, as well as substituents: hydrogen, methyl, iso-propyl, tert-butyl, cyclohexyl, and adamantyl), and also in terms of the length of the spacer (n = 2 up to 10 methylene groups).
All of compounds 1a79a as well as 1b79b were fully characterized and subjected to biological testing employing bCA II. While no inhibitory activity for this enzyme was observed for compounds 1a79a, compounds 1b79b proved to be inhibitors of this enzyme. The results from the assays are summarized in Table 1 and the figures.
As a result, compounds 12b, 49b, 26b, 30b, 13b, 40b, 50b, 33b, and 34b proved to be the best inhibitors of bCA II in this series of compounds.
With the exception of compounds 1b11b, derivatives with a shorter spacer length (preferably n = 2) show higher inhibitory activity than their longer-chain analogues. Only in group 111 is compound 7 (n = 8) the most active compound.
For the alkyl-substituted compounds 1279, an alkyl substituent in the para position proves to be superior to comparable compounds holding a substituent in the meta or ortho position (Figure 4, Figure 5 and Figure 6).
The large space occupancy of the para substituent alone is only of limited benefit in achieving higher inhibitory activity. For example, compound 12b is significantly better than 1b, and the activity decreases for 33b (with the same chain length of the spacer), while tBu-substituted compound 49b proves to be the strongest inhibitor of the whole series with I = 75.6%. Even bulkier substituents (as in 68b76b and 77b79b) with a cyclohexyl or adamanyl residue again drop significantly and prove to be poorer inhibitors for CA II (Figure 7).
A more detailed illustration of the tBu-substituted derivatives 49b67b can be found in Figure 8.
For tBu-substituted compounds 49b67b, a correlation between the position of the substituent and chain length is depicted (vide supra). As already mentioned, compounds with a para- substituent are superior to those with ortho- or meta-terminal substituents (Figure 7, Figure 8 and Figure 9). At the same time, the dependence on the chain length of the spacer is also evident (Figure 9).
The isopropyl-substituted compounds also prove to be effective with a chain length of n = 2 (compounds 33b and 40b), and a decrease in inhibition can be observed with longer chains (Figure 10).
The same is generally true for the methyl-substituted compounds (Figure 11), although with these, the inhibition force usually increases again with longer chains (from n = 5), whereas for the unsubstituted compounds 1b11b (Figure 12), with the exception of chain lengths 3, 4 and 10–12, a fairly constant inhibition of the enzyme was observed.
Although we carried out many molecular modelling calculations attempting to better rationalize these empirical findings, these calculations were only partially helpful. Figure 13 depicts the calculated modeling scores for some of the compounds. By and large, the calculated scores agree with the measured biological activity (cf. Figure 11).
However, the limitations of calculations (especially for fine-tuning) are due to the fact that the molecules have relatively high degrees of (translational and rotational) freedom within the active site and the active site being relatively large. The calculations, however, confirm our earlier findings that further substitution of the spacer (especially in an α position, adjacent to the sulfonamide) should allow for better orientations of the inhibitor in the enzyme pocket, so that stronger (or weaker) interactions can be expected, depending on the absolute configuration. A depiction of the results of the modeling calculations (for compounds 12b, 26b, 30b, 33b, 40b, and 49b) is shown in the Supplementary Materials File. A depiction of the scores is given in Figure 13.
Some extra measurements gave an insight into the mode of action of the most active compounds, and inhibition constants Ki were determined. The results from these experiments are summarized in Table 2 and depicted as Dixon plots in Figure 14.
As a result, all these compounds acted as efficient inhibitors for CA II with Ki values as low as 0.76 μM (for 12b) or Ki = 0.67 μM (for 49b).
Each of the sulfamates showed inhibitory activity towards bCA II. For every series of substituents, it is noticeable that the inhibitory activity decreases with an increase in the length of the spacer. Furthermore, substituents in the para position proved to be better inhibitors compared to their counterparts holding the substituent either in the ortho or in the meta position. Regarding the type of substituent, methyl and tert-butyl proved to be superior to the other substituents. For a better insight into the differences in the inhibition of the most active compounds, their respective inhibition constants were determined. Again, the para methyl and tert-butyl-substituted compounds with shorter chain lengths proved to be superior, with inhibition constants of Ki = 0.76 µM and 0.67 µM, respectively. With these additional measurements, the tert-butyl substituent proved to be the most active compound. To gain more insight into the advantages of bulkier substituents, another series of cyclohexyl- and adamantyl-substituted compounds was synthesized. However, even with short chain lengths, the inhibitory activity proved to be significantly worse than that of the tert-butyl or even methyl-substituted compounds. In conclusion, compounds with tert-butyl substituents in the para position and chain lengths around n = 2 proved to be the best inhibitors for bCA II in this library of compounds.

3. Conclusions

Starting with arylsulfonyl chlorides and amino alcohols with varying numbers of methylene groups between the hydroxyl and amino moieties (leading to 1a79a), a small library of 79 substituted phenylsulfonamido alkyl sulfamates 1b79b has been synthesized. These substances were tested using carbonic anhydrase II to determine whether they were inhibitive. Sulfamates 1b79b gave inhibition of the enzyme, but compounds 1a79a did not. In conclusion, the substituent, the phenyl group’s substitution pattern, and the spacer’s length all affect how inhibitive compounds 1b79b are of this enzyme. Compounds containing the same substituent in a para position demonstrated superior CAII inhibition than those containing the same substituent in a meta or ortho position. Compounds with shorter spacer lengths performed better than those with longer chain spacers for a variety of substitution patterns. The most active compounds held inhibition constants as low as Ki = 0.67 μM (for 49b) and a tert-butyl substituent in a para position.

4. Experimental Procedure

4.1. General

Starting materials were obtained from local vendors; solvents were dried under the usual conditions; equipment and assays were as previously reported [72]. The absorbance was measured with a 96-well plate reader from BMG Labtech (BMG Labtech, Ortenberg, Germany).1H and 13C NMR spectra of all compounds as well as representative HRMS spectra can be found in the Supplementary Materials File. Chromatography was performed on silica gel; IR spectra were recorded as ATR spectra; UV/vis spectra were measured in MeOH. 1H NMR was measured in DMSO-d6 at 400 MHz; 13C NMR spectra were measured in DMSO-d6 at 101 MHz, if not stated otherwise. MS spectra were taken as ESI-MS in MeOH; for UV–Vis spectra, λmax (log ε) values are reported.

4.2. Syntheses

4.2.1. Preparation of 1a79a (General Procedure A, GPA)

Reaction of the amino-alcohol (1.5 equiv.) in dry CH2Cl2 (15 mL), with dry NEt3 (2 equiv.) and the sulfonyl chloride (1 equiv.) at 22 °C for 3 hours followed by evaporation of the solvents and chromatography gave 1a79a. For long-chain amino-alcohols (n = 8–12), the solvent composition was modified, and a 1:1 mixture of CH2Cl2 and acetonitrile was used instead.

4.2.2. Preparation of 1b79b (General Procedure B, GPB)

Reaction of 1a79a (1 equiv.) in dry CH2Cl2 (6 mL), NEt3 (3 equiv.) with sulfamoyl chloride (3 equiv.) at 22 °C until completion of the reaction followed by evaporation and column chromatography gave 1b79b.

4.2.3. N-(2-Hydroxyethyl)benzene Sulfonamide (1a) [59724-42-4]

Applying GPA: from benzenesulfonyl chloride (500 mg, 2.83 mmol) and 2-amino-ethanol (260 mg, 4.25 mmol): 1a [73,74,75,76,77,78,79,80] (542 mg, 94%); white solid; Rf = 0.07 (petrolether/EtOAc, 2:3); m.p. = 78–79 °C (lit.: [73,74] 79–80 °C); spectral data as previously reported [72].

4.2.4. 2-(Phenylsulfonamido]ethyl Sulfamate (1b)

Applying GPB: from 1a (175 mg, 0.87 mmol): 1b (202 mg, 82%); white solid; Rf = 0.38 (CHCl3/EtOAc, 2:3); m.p. = 71–73 °C; spectral data as previously reported [72].

4.2.5. N-(3-Hydroxypropyl)benzene Sulfonamide (2a) [3351-94-8]

Applying GPA: from benzenesulfonyl chloride (500 mg, 2.83 mmol) and 3-amino-propanol (319 mg, 4.25 mmol): 2a [81,82,83] (594 mg, 97%); oil; Rf = 0.09 (petrolether/EtOAc, 2:3); UV–Vis: 221 nm (4.02); IR: ν = 3500w, 3276m, 2943w, 2881w, 1478w, 1447m, 1309s, 1154vs, 1092s, 1070s, 1007w, 959w, 871w, 754m, 720m, 689s, 586s, 469w cm−1; 1H NMR:δ = 7.81–7.76 (m, 2H, 2-H, 2′-H), 7.66–7.56 (m, 3H, 3-H, 3′-H, 4-H), 7.52 (s, 1H, NH), 4.40 (s, 1H, OH), 3.39–3.32 (m, 2H, 7-H), 2.79 (t, J = 7.3 Hz, 2H, 5-H), 1.57–1.46 (m, 2H, 6-H); 13C NMR:δ = 140.5 (C-1), 132.3 (C-4), 129.2 (C-3), 126.4 (C-2), 58.0 (C-7), 40.0 (C-5), 32.3 (C-6) ppm; MS: m/z = 238.1 (100%, [M + Na]+); anal. calcd. for C9H13NSO3 (215.27): C 50.22, H 6.09, N 6.51; found: C 49.97, H 6.34, N 6.38.

4.2.6. 3-(Phenylsulfonamido]propyl Sulfamate (2b)

Applying GPB: from 2a (200 mg, 0.93 mmol): 2b (241 mg, 88%); white solid; Rf = 0.40 (CHCl3/EtOAc, 2:3); m.p. = 64–66 °C; UV–Vis: 221 nm (3.78); IR: ν = 3344m, 3264m, 3255m, 1449w, 1373s, 1353m, 1311s, 1177s, 1155s, 1113w, 1090m, 1074w, 1052m, 1003m, 950s, 917m, 896m, 886m, 836s, 754m, 727s, 688s, 673m, 627m, 599m, 586s, 562s, 546vs, 503m, 490m, 476w, 441w cm−1; 1H NMR:δ = 7.82–7.77 (m, 2H, 2-H, 2′-H), 7.72–7.58 (m, 4H, 3-H, 3′-H, 4-H, NH), 7.41 (s, 2H, NH2), 4.02 (t, J = 6.3 Hz, 2H, 7-H), 2.85–2.78 (m, 2H, 5-H), 1.76 (dt, J = 13.2, 6.5 Hz, 2H, 6-H) ppm; 13C NMR (126 MHz, DMSO-d6): δ = 140.2 (C-1), 132.4 (C-4), 129.3 (C-3), 126.4 (C-2), 66.5 (C-7), 39.2 (C-5), 28.7 (C-6) ppm; MS: m/z = 316.9 (100%, [M + Na]+); anal. calcd. for C9H14N2S2O5 (294.34): 36.73, H 4.79, N 9.52; found: C 36.50, H 4.98, N 9.36.

4.2.7. N-(4-Hydroxybutyl)benzene Sulfonamide (3a) [842146-77-4]

Applying GPA: from benzenesulfonyl chloride (500 mg, 2.83 mmol) and 4-aminobutanol (378 mg, 4.25 mmol): 3a (621 mg, 96%); oil; Rf = 0.12 (petrolether/EtOAc, 2:3); UV–Vis: 221 nm (4.07); IR: ν = 3506br, 3278br, 2940w, 2872w, 1478w, 1447m, 1318s, 1309s, 1152vs, 1092s, 1055m, 1027w, 999w, 952w, 909w, 867w, 754m, 719m, 688s, 583s, 567s, 483w cm−1; 1H NMR (500 MHz, DMSO-d6): δ = 7.82–7.77 (m, 2H, 2-H, 2′-H), 7.65–7.53 (m, 4H, 3-H, 3′-H, 4-H, NH), 4.37 (t, J = 5.1 Hz, 1H, OH), 3.35–3.30 (m, 2H, 8-H), 2.74 (q, J = 6.0 Hz, 2H, 5-H), 1.44–1.33 (m, 4H, 6-H, 7-H) ppm; 13C NMR (126 MHz, DMSO-d6): δ = 140.6 (C-1), 132.3 (C-4), 129.2 (C-3), 126.4 (C-2), 60.2 (C-8), 42.6 (C-5), 29.5 (C-7), 25.8 (C-6) ppm; MS: m/z = 243.2 (90%, [M-H]); anal. calcd. for C10H15NSO3 (229.29): C 50.22, H 6.09, N 6.51; found: C 49.97, H 6.31, N 6.37.

4.2.8. 4-(Phenylsulfonamido]butyl Sulfamate (3b)

Applying GPB: from 3a (200 mg, 0.87 mmol): 3b (215 mg, 80%); oil; Rf = 0.43 (CHCl3/EtOAc, 2:3); UV–Vis: 221 nm (3.95); IR: ν = 3345m, 3258m, 3257m, 1442w, 1370s, 1350m, 1316s, 1187s, 1157s, 1110w, 1093m, 1072w, 1056m, 1001m, 956s, 914m, 894m, 889m, 840s, 751m, 729s, 685s, 670m, 621m, 595m, 582s, 565s, 544vs, 501m, 496m, 470w, 440w cm−1; 1H NMR:δ = 7.83–7.76 (m, 2H, 2-H, 2′-H), 7.68–7.56 (m, 4H, 3-H, 3′-H, 4-H, NH), 7.38 (s, 2H, NH2), 3.96 (t, J = 6.3 Hz, 2H, 8-H), 2.76 (q, J = 6.6 Hz, 2H, 5-H), 1.66–1.56 (m, 2H, 7-H), 1.49–1.40 (m, 2H, 6-H) ppm; 13C NMR:δ = 140.5 (C-1), 132.4 (C-4), 129.2 (C-3), 126.4 (C-2), 68.6 (C-8), 42.0 (C-5), 25.6 (C-7), 24.7 (C-6) ppm; MS: m/z = 331.1 (100%, [M + Na]+); anal. calcd. for C10H16N2S2O5 (308.37): C 38.95, H 5.23, N 9.08; found: C 38.70, H 5.51, N 8.84.

4.2.9. N-(5-Hydroxypentyl)benzene Sulfonamide (4a) [191529-31-4]

Applying GPA: from benzenesulfonyl chloride (500 mg, 2.83 mmol) and 5-amino-pentanol (438 mg, 4.25 mmol): 4a [84,85] (647 mg, 94%); oil; Rf = 0.12 (petrolether/EtOAc, 2:3); UV–Vis: 221 nm (3.91); IR: ν = 3503w, 3281m, 2937w, 2865w, 1478w, 1447m, 1320s, 1309s, 1153vs, 1092s, 1071s, 1040w, 999w, 880w, 754s, 719m, 689s, 583s, 567s, 464w cm−1; 1H NMR:δ = 7.82–7.76 (m, 2H, 2-H, 2′-H), 7.66–7.56 (m, 3H, 3-H, 3′-H, 4-H), 7.54 (t, J = 5.8 Hz, 1H, NH), 4.30 (t, J = 5.1 Hz, 1H, OH), 3.36–3.28 (m, 2H, 9-H), 2.71 (td, J = 7.0, 5.7 Hz, 2H, 5-H), 1.40–1.27 (m, 4H, 6-H, 8-H), 1.27–1.16 (m, 2H, 7-H) ppm; 13C NMR:δ = 140.6 (C-1), 132.2 (C-4), 129.1 (C-3), 126.4 (C-2), 60.5 (C-9), 42.6 (C-5), 32.0 (C-8), 28.8 (C-6), 22.6 (C-7) ppm; MS: m/z = 243.2 (90%, [M-H]); anal. calcd. for C11H17NSO3 (243.32): C 54.30, H 7.04, N 5.76; found: C 54.11, H 7.23, N 5.43.

4.2.10. 5-(Phenylsulfonamido]pentyl Sulfamate (4b)

Applying GPB: from 4a (200 mg, 0.82 mmol): 4b (250 mg, 94%); oil; Rf = 0.46 (CHCl3/EtOAc, 2:3); UV–Vis: 221 nm (3.91); IR: ν = 3344w, 3307m, 3232w, 2953w, 2933w, 2854w, 1555w, 1469w, 1442w, 1421w, 1399vw, 1363s, 1311s, 1295w, 1276w, 1172s, 1153vs, 1092m, 1078m, 1067w, 1043w, 1025w, 993m, 945m, 922s, 911s, 808m, 766m, 750m, 722s, 693s, 599s, 570s, 553vs, 502m, 482m, 435w cm−1; 1H NMR:δ = 7.82–7.76 (m, 2H, 2-H, 2′-H), 7.67–7.55 (m, 4H, 3-H, 3′-H, 4-H, NH), 7.39–7.35 (m, 2H, NH2), 3.96 (t, J = 6.5 Hz, 2H, 9-H), 2.73 (td, J = 6.7, 5.8 Hz, 2H, 5-H), 1.55 (p, J = 6.7 Hz, 2H, 6-H), 1.44–1.34 (m, 2H, 8-H), 1.33–1.23 (m, 2H, 7-H) ppm; 13C NMR:δ = 140.6 (C-1), 132.2 (C-4), 129.1 (C-3), 126.4 (C-2), 60.5 (C-9), 42.6 (C-5), 32.0 (C-8), 28.8 (C-6), 22.6 (C-7) ppm; MS: m/z = 345.1 (100%, [M + Na]+); anal. calcd. for C11H18N2S2O5 (322.39): C 40.98, H 5.63, N 8.69; found: C 40.72, H 5.87, N 8.57.

4.2.11. N-(6-Hydroxyhexyl)benzene Sulfonamide (5a) [195003-60-2]

Applying GPA: from benzenesulfonyl chloride (500 mg, 2.83 mmol) and 6-amino-hexanol (438 g, 4.25 mmol): 5a (701 mg, 96%); white solid; Rf = 0.14 (petrolether/EtOAc, 2:3); m.p. = 40–42 °C; UV–Vis: 221 nm (3.97); IR: ν = 3506br, 3260br, 2934w, 2860w, 1447m, 1320m, 1309m, 1153vs, 1092m, 1071m, 1025w, 1000w, 754m, 719m, 689s, 584s, 568s, 475w cm−1; 1H NMR (500 MHz, DMSO-d6): δ = 7.81–7.76 (m, 2H, 2-H, 2′-H), 7.65–7.56 (m, 3H, 3-H, 3′-H, 4-H), 7.54 (t, J = 5.8 Hz, 1H, NH), 4.30 (t, J = 5.2 Hz, 1H, OH), 3.36–3.31 (m, 2H, 10-H), 2.72 (td, J = 7.0, 5.7 Hz, 2H, 5-H), 1.38–1.30 (m, 4H, 6-H, 9-H), 1.38–1.14 (m, 4H, 7-H, 8-H) ppm; 13C NMR (126 MHz, DMSO-d6): δ = 140.6 (C-1), 132.2 (C-4), 129.1 (C-3), 126.4 (C-2), 60.6 (C-10), 42.5 (C-5), 32.3 (C-9), 29.0 (C-6), 25.9 (C-8), 25.0 (C-7) ppm; MS: m/z = 280 (100%, [M + Na]+); anal. calcd. for C12H19NSO3 (257.35): C 56.01, H 7.44, N 5.44; found: C 55.76, H 7.69, N 5.21.

4.2.12. 6-(Phenylsulfonamido]hexyl Sulfamate (5b)

Applying GPB: from 5b (230 mg, 0.89 mmol): 5b (202 mg, 67%); white solid; Rf = 0.51 (CHCl3/EtOAc, 2:3); m.p. = 64–66 °C; UV–Vis: 221 nm (3.98); IR: ν = 3346w, 3306m, 3238w, 2955w, 2931w, 2858w, 1554w, 1465w, 1447w, 1421w, 1390vw, 1366s, 1314s, 1291w, 1279w, 1171s, 1155vs, 1095m, 1074m, 1063w, 1046w, 1025w, 993m, 946m, 926s, 912s, 808m, 761m, 751m, 720s, 690s, 598s, 571s, 550vs, 507m, 481m, 436w cm−1; 1H NMR:δ = 7.81–7.77 (m, 2H, 2-H, 2′-H), 7.66–7.53 (m, 4H, 3-H, 3′-H, 4-H, NH), 7.37 (s, 2H, NH2), 3.97 (t, J = 6.5 Hz, 2H, 10-H), 2.77–2.69 (m, 2H, 5-H), 1.56 (p, J = 6.7 Hz, 2H, 9-H), 1.35 (p, J = 6.9 Hz, 2H, 6-H), 1.30–1.17 (m, 4H, 7-H, 8-H) ppm; 13C NMR (126 MHz, DMSO-d6): δ = 140.6 (C-1), 132.3 (C-4), 129.2 (C-3), 126.4 (C-2), 68.9 (C-10), 42.4 (C-5), 28.8 (C-9), 28.2 (C-6), 25.5 (C-8), 24.6 (C-7) ppm; MS: m/z = 359.3 (100%, [M + Na]+); anal. calcd. for C12H20N2S2O5 (336.42): C 42.84, H 5.99, N 8.33; found: C 42.57, H 6.17, N 8.04.

4.2.13. N-(7-Hydroxyheptyl)benzene Sulfonamide (6a) [2773002-10-9]

Applying GPA: from benzenesulfonyl chloride (500 mg, 2.83 mmol) and 7-amino-heptanol (558 mg, 4.25 mmol): 6a (740 mg, 96%); oil; Rf = 0.19 (petrolether/EtOAc, 2:3); UV–Vis: 221 nm (3.97); IR: ν = 3504br, 3282br, 2931m, 2858w, 1447m, 1320m, 1310m, 1153vs, 1093s, 1071m, 1058w, 1025m, 1000w, 755m, 719m, 689s, 584s, 568s, 469w cm−1; 1H NMR (500 MHz, DMSO-d6): δ = 7.81–7.77 (m, 2H, 2-H, 2′-H), 7.65–7.56 (m, 3H, 3-H, 3′-H, 4-H), 7.54 (t, J = 5.7 Hz, 1H, NH), 4.30 (t, J = 5.1 Hz, 1H, OH), 3.37–3.32 (m, 3H, 11-H), 2.72 (q, J = 6.7 Hz, 2H, 5-H), 1.40–1.30 (m, 4H, 6-H, 10-H), 1.23–1.11 (m, 6H, 7-H, 8-H, 9-H) ppm; 13C NMR:δ = 140.7 (C-1), 132.2 (C-4), 129.1 (C-3), 126.4 (C-2), 60.7 (C-11), 42.5 (C-5), 32.4 (C-10), 28.9 (C-7), 28.4 (C-6), 26.0 (C-9), 25.3 (C-8) ppm; MS: m/z = 294.2 (100%, [M + Na]+); anal. calcd. for C13H21NSO3 (271.38): C 57.54, H 7.80, N 5.16; found: C 57.26, H 8.03, N 4.97.

4.2.14. 7-(Phenylsulfonamido]heptyl Sulfamate (6b)

Applying GPB: from 6a (300 mg, 1.11 mmol): 6b (315 mg, 81%); white solid; Rf = 0.60 (CHCl3/EtOAc, 2:3); m.p. = 59–61 °C; UV–Vis: 221 nm (3.99); IR: ν = 3377w, 3273m, 2959w, 2938m, 2924w, 2860w, 1545w, 1477w, 1449m, 1423m, 1397w, 1374s, 1310s, 1291m, 1229vw, 1188s, 1152vs, 1115vw, 1091s, 1063m, 1049w, 1007m, 998m, 969s, 908m, 852vw, 820s, 754m, 722s, 686s, 590s, 567s, 555vs, 524vs, 473w, 448w, 441w cm−1; 1H NMR:δ = 7.81–7.77 (m, 2H, 2-H, 2′-H), 7.66–7.52 (m, 4H, 3-H, 3′-H, 4-H, NH), 7.37 (s, 2H, NH2), 3.98 (t, J = 6.5 Hz, 2H, 11-H), 2.76–2.69 (m, 2H, 5-H), 1.62–1.53 (m, 2H, 10-H), 1.39–1.30 (m, 2H, 6-H), 1.28–1.15 (m, 6H, 7-H, 8-H, 9-H) ppm; 13C NMR:δ = 140.7 (C-1), 132.3 (C-4), 129.2 (C-3), 126.4 (C-2), 68.9 (C-11), 42.5 (C-5), 28.8 (C-10), 28.2 (C-7), 28.0 (C-6), 25.8 (C-9), 24.9 (C-8) ppm; MS: m/z = 373.3 (100%, [M + Na]+); anal. calcd. for C13H22N2S2O5 (350.45): C 44.56, H 6.33, N 7.99; found: C 44.47, H 6.50, N 7.76.

4.2.15. N-(8-Hydroxyoctyl)benzene Sulfonamide (7a) [2771470-62-1]

Applying GPA: from benzenesulfonyl chloride (500 mg, 2.83 mmol) and 8-amino-octanol (617 mg, 4.25 mmol): 7a (566 mg, 70%); white solid; Rf = 0.21 (petrolether/EtOAc, 2:3); m.p. = 59–60 °C; UV–Vis: 221 nm (3.99); IR: ν = 3280m, 2929m, 2854m, 1478w, 1447m, 1428m, 1326s, 1266w, 1158vs, 1092s, 1053m, 1031w, 982w, 905m, 755m, 720m, 687s, 596s, 563s, 530m, 500w, 481w, 455w cm−1; 1H NMR:δ = 7.81–7.76 (m, 2H, 2-H, 2′-H), 7.66–7.56 (m, 3H, 3-H, 3′-H, 4-H), 7.54 (t, J = 5.8 Hz, 1H, NH), 4.30 (t, J = 5.1 Hz, 1H, OH), 3.36 (td, J = 6.5, 5.1 Hz, 2H, 12-H), 2.72 (q, J = 6.7 Hz, 2H, 5-H), 1.42–1.27 (m, 4H, 6-H, 11-H), 1.27–1.09 (m, 8H, 7-H, 8-H, 9-H, 10-H) ppm; 13C NMR (126 MHz, DMSO-d6): δ = 140.7 (C-1), 132.2 (C-4), 129.1 (C-3), 126.4 (C-2), 60.7 (C-12), 42.5 (C-5), 32.5 (C-11), 28.9 (C-9), 28.7 (C-6), 28.5 (C-8), 25.9 (C-7), 25.4 (C-10) ppm; MS: m/z = 308.3 (100%, [M + Na]+); anal. calcd. for C14H23NSO3 (285.40): C 58.92, H 8.12, N 4.91; found: C 58.76, H 8.37, N 4.63.

4.2.16. 8-(Phenylsulfonamido]octyl Sulfamate (7b)

Applying GPB: from 7a (300 mg, 1.05 mmol): 7b (203 mg, 53%); white solid; Rf = 0.64 (CHCl3/EtOAc, 2:3); m.p. = 77–78 °C; UV–Vis: 221 nm (3.95); IR: ν = 3338w, 3267m, 2934w, 2916w, 2856w, 1577w, 1469w, 1450w, 1427w, 1395w, 1381s, 1311m, 1179s, 1158vs, 1116vw, 1092m, 1065w, 1058m, 1039w, 1025vw, 997m, 965s, 931m, 898m, 858m, 821s, 794m, 753s, 726s, 688s, 588vs, 566s, 549s, 526s, 480w, 468w, 440w cm−1; 1H NMR:δ = 7.82–7.76 (m, 2H, 2-H, 2′-H), 7.67–7.56 (m, 3H, 3-H, 3′-H, 4-H), 7.40 (s, 3H, NH, NH2), 3.99 (t, J = 6.5 Hz, 2H, 12-H), 2.72 (t, J = 7.0 Hz, 2H, 5-H), 1.65–1.54 (m, 2H, 11-H), 1.39–1.23 (m, 4H, 6-H, 10-H), 1.23–1.14 (m, 6H, 7-H, 8-H, 9-H) ppm; 13C NMR:δ = 140.7 (C-1), 132.2 (C-4), 129.1 (C-3), 126.4 (C-2), 69.0 (C-12), 42.5 (C-5), 28.9 (C-11), 28.3 (C-9), 28.3 (C-6), 28.3 (C-8), 25.9 (C-7), 24.9 (C-10) ppm; MS: m/z = 387.3 (100%, [M + Na]+); anal. calcd. for C14H24N2S2O5 (364.48): C 46.14, H 6.64, N 7.69; found: C 45.87, H 6.84, N 7.55.

4.2.17. N-(9-Hydroxynonyl)benzene Sulfonamide (8a)

Applying GPA: from benzenesulfonyl chloride (500 mg, 2.83 mmol) and 9-amino-nonanol (676 mg, 4.25 mmol): 8a (745 mg, 88%); white solid; Rf = 0.23 (petrolether/EtOAc, 2:3); m.p. = 40–41 °C; UV–Vis: 221 nm (3.97); IR: ν = 3465br, 3263br, 2930m, 2917w, 2892w, 2849w, 1475w, 1445m, 1433w, 1313s, 1157s, 1094s, 1058s, 1051s, 1036m, 1023w, 974m, 928w, 904m, 878m, 824m, 752m, 726m, 689s, 665m, 595w, 571s, 560vs, 522s, 470w, 460w, 439w cm−1; 1H NMR:δ = 17.81–7.76 (m, 2H, 2-H, 2′-H), 7.66–7.56 (m, 3H, 3-H, 3′-H, 4-H), 7.54 (s, 1H, NH), 4.30 (t, J = 5.1 Hz, 1H, OH), 3.36 (td, J = 6.5, 4.7 Hz, 2H, 13-H), 2.72 (t, J = 7.0 Hz, 2H, 5-H), 1.43–1.28 (m, 4H, 6-H, 12-H), 1.28–1.11 (m, 10H, 7-H, 8-H, 9-H, 10-H, 11-H) ppm; 13C NMR:δ = 140.7 (C-1), 132.2 (C-4), 129.1 (C-3), 126.4 (C-2), 60.7 (C-13), 42.5 (C-5), 32.5 (C-12), 28.9 (C-9), 28.9 (C-10), 28.8 (C-6), 28.5 (C-8), 26.0 (C-7), 25.4 (C-11) ppm; MS: m/z = 322.3 (100%, [M + Na]+); anal. calcd. for C15H25NSO3 (299.43): C 60.17, H 8.42, N 4.68; found: C 59.87, H 8.70, N 4.39.

4.2.18. 9-(Phenylsulfonamido]nonyl Sulfamate (8b)

Applying GPB: from 8a (300 mg, 1.00 mmol): 8b (267 mg, 70%); white solid; Rf = 0.68 (CHCl3/EtOAc, 2:3); m.p. = 82–84 °C; UV–Vis: 221 nm (3.92); IR: ν = 3378w, 3273m, 2937w, 2922m, 2855w, 1545w, 1476w, 1449w, 1424w, 1397w, 1375s, 1309s, 1286w, 1275w, 1188s, 1153vs, 1118vw, 1092m, 1063m, 1033m, 994w, 969s, 910m, 883m, 820s, 776w, 753m, 723s, 686s, 589s, 568s, 555vs, 534m, 524m, 500w, 489m, 465w, 453w cm−1; 1H NMR:δ = 7.81–7.76 (m, 2H, 2-H, 2′-H), 7.66–7.55 (m, 3H, 3-H, 3′-H, 4-H), 7.41 (s, 3H, NH, NH2), 4.00 (t, J = 6.5 Hz, 2H, 13-H), 2.72 (t, J = 7.0 Hz, 2H, 5-H), 1.65–1.56 (m, 2H, 12-H), 1.37–1.27 (m, 4H, 6-H, 11-H), 1.25–1.13 (m, 8H, 7-H, 8-H, 9-H, 10-H) ppm; 13C NMR:δ = 140.7 (C-1), 132.2 (C-4), 129.1 (C-3, C-3′), 126.4 (C-2, C-2′), 69.0 (C-13), 42.5 (C-5), 28.9 (C-6), 28.7 (C-8), 28.4 (C-9), 28.4 (C-10), 28.3 (C-12), 25.9 (C-7), 25.0 (C-11) ppm; MS: m/z = 401.3 (100%, [M + Na]+); anal. calcd. for C15H26N2S2O5 (378.50): C 47.60, H 6.92, N 7.40; found: C 47.40, H 7.11, N 7.06.

4.2.19. N-(10-Hydroxydecyl)benzene Sulfonamide (9a)

Applying GPA: from benzenesulfonyl chloride (220 mg, 1.25 mmol) and 10-amino-decanol (324 mg, 4.25 mmol): 9a (350 mg, 90%); white solid; Rf = 0.28 (petrolether/EtOAc, 2:3); m.p. = 67–69 °C; UV–Vis: 221 nm (3.95); IR: ν = 3416m, 3279m, 2920w, 2889w, 2849m, 1465m, 1447m, 1426m, 1350m, 1318s, 1287w, 1153vs, 1094m, 1059m, 1033w, 1009w, 973w, 909m, 750m, 722s, 684s, 596vs, 581s, 531w, 515m, 429w, 475w cm−1; 1H NMR:δ = 7.80–7.76 (m, 2H, 2-H, 2′-H), 7.66–7.56 (m, 3H, 3-H, 3′-H, 4-H), 7.53 (t, J = 5.8 Hz, 1H, NH), 4.30 (s, 1H, OH), 3.40–3.34 (m, 2H, 15-H), 2.71 (td, J = 7.0, 5.8 Hz, 2H, 5-H), 1.43–1.28 (m, 4H, 6-H, 14-H), 1.27–1.10 (m, 12H, 7-H, 8-H, 9-H, 10-H, 11-H, 12-H) ppm; 13C NMR (126 MHz, DMSO-d6): δ = 140.7 (C-1), 132.2 (C-4), 129.1 (C-3), 126.4 (C-2), 60.7 (C-15), 42.5 (C-5), 32.5 (C-14), 29.0 (C-6), 28.9 (C-8, C-11), 28.8 (C-9), 28.5 (C-10), 26.0 (C-7), 25.5 (C-12) ppm; MS: m/z = 336.4 (100%, [M + Na]+); anal. calcd. for C16H27NSO3 (313.46): C 61.31, H 8.68, N 4.47; found: C 61.07, H 8.95, N 4.24.

4.2.20. 10-(Phenylsulfonamido]decyl Sulfamate (9b)

Applying GPB: from 9a (185 mg, 0.59 mmol): 9b (172 mg, 74%); white solid; Rf = 0.71 (CHCl3/EtOAc, 2:3); m.p. = 89–91 °C; UV–Vis: 221 nm (4.02); IR: ν = 3339w, 3266m, 2962vw, 2933w, 2917m, 2849w, 1576vw, 1470w, 1450w, 1428w, 1395w, 1381s, 1336vw, 1313m, 1308m, 1287w, 1266vw, 1235vw, 1178m, 1159vs, 1118vw, 1093m, 1078w, 1059m, 1042w, 1020w, 990m, 965s, 932m, 918m, 892m, 855w, 822s, 764w, 753m, 725s, 688s, 590s, 567s, 549s, 534s, 511w, 483w, 458w cm−1; 1H NMR:δ = 7.81–7.76 (m, 2H, 2-H, 2′-H), 7.66–7.56 (m, 3H, 3-H, 3′-H, 4-H), 7.53 (t, J = 5.8 Hz, 1H, NH), 7.37 (s, 2H, NH2), 4.00 (t, J = 6.5 Hz, 2H, 15-H), 2.72 (td, J = 7.0, 5.8 Hz, 2H, 5-H), 1.65–1.57 (m, 2H, 14-H), 1.39–1.27 (m, 4H, 6-H, 12-H), 1.27–1.12 (m, 10H, 7-H, 8-H, 9-H, 10-H, 11-H) ppm; 13C NMR:δ = 140.7 (C-1), 132.2 (C-4), 129.1 (C-3), 126.4 (C-2), 69.0 (C-15), 42.5 (C-5), 28.9 (C-6), 28.8 (C-9, C-14), 28.5 (C-8, C-11), 28.3 (C-10), 25.9 (C-7), 25.0 (C-12) ppm; MS: m/z = 415.2 (100%, [M + Na]+); anal. calcd. for C16H28N2S2O5 (392.53): C 48.96, H 7.19, N 7.14; found: C 48.75, H 7.35, N 6.87.

4.2.21. N-(11-Hydroxyundecyl)benzene Sulfonamide (10a)

Applying GPA: from benzenesulfonyl chloride (500 mg, 2.83 mmol) and 11-amino-undecanol (795 mg, 4.25 mmol): 10a (901 mg, 97%); white solid; Rf = 0.33 (petrolether/EtOAc, 2:3); m.p. = 58–59 °C; UV–Vis: 221 nm (3.97); IR: ν = 3464m, 3265m, 2918m, 2848m, 1475m, 1466m, 1445m, 1432w, 1353m, 1314s, 1287w, 1158vs, 1094s, 1052s, 1008m, 928w, 894w, 885m, 819m, 753s, 725s, 689s, 664m, 595m, 560s, 529w, 510m, 493w, 410w cm−1; 1H NMR:δ = 7.81–7.76 (m, 2H, 2-H, 2′-H), 7.66–7.56 (m, 3H, 3-H, 3′-H, 4-H), 7.53 (t, J = 5.8 Hz, 1H, NH), 4.30 (td, J = 5.2, 1.0 Hz, 1H, OH), 3.37 (td, J = 6.5, 5.1 Hz, 2H, 15-H), 2.71 (td, J = 7.0, 5.8 Hz, 2H, 5-H), 1.45–1.28 (m, 4H, 6-H, 14-H), 1.28–1.11 (m, 14H, 7-H, 8-H, 9-H, 10-H, 11-H, 12-H, 13-H) ppm; 13C NMR (126 MHz, DMSO-d6): δ = 140.7 (C-1), 132.2 (C-4), 129.1 (C-3), 126.4 (C-2), 60.7 (C-15), 42.5 (C-5), 32.5 (C-14), 29.0 (C-6), 28.9 (C-12), 28.9 (C-11), 28.9 (C-10), 28.8 (C-9), 28.5 (C-8), 25.9 (C-7), 25.5 (C-13) ppm; MS: m/z = 350.2 (100%, [M + Na]+); anal. calcd. for C17H29NSO3 (327.48): C 62.35, H 8.93, N 4.28; found: C 62.17, H 9.16, N 4.01.

4.2.22. 11-(Phenylsulfonamido]undecyl Sulfamate (10b)

Applying GPB: from 10a (300 mg, 0.92 mmol): 10b (321 mg, 86%); white solid; Rf = 0.74 (CHCl3/EtOAc, 2:3); m.p. = 95–97 °C; UV–Vis: 221 nm (3.99); IR: ν = 3392w, 3269m, 2963w, 2936w, 2917m, 2852w, 1558w, 1476m, 1447w, 1429w, 1395w, 1369s, 1314s, 1258vw, 1183m, 1153s, 1120w, 1093m, 1066m, 1051m, 1028w, 991m, 970s, 928m, 903m, 869w, 824s, 755m, 719s, 690m, 639m, 590s, 565s, 555vs, 530s, 525s, 500w, 470w, 452m, 432m, 413vw, 511w, 483w, 458w cm−1; 1H NMR:δ = 7.82–7.75 (m, 2H, 2-H, 2′-H), 7.67–7.54 (m, 3H, 3-H, 3′-H, 4-H), 7.40 (s, 3H, NH, NH2), 4.00 (t, J = 6.5 Hz, 2H, 15-H), 2.72 (t, J = 6.9 Hz, 2H, 5-H), 1.67–1.57 (m, 2H, 14-H), 1.39–1.11 (m, 16H, 6-H, 7-H, 8-H, 9-H, 10-H, 11-H, 12-H, 13-H) ppm; 13C NMR:δ = 140.7 (C-1), 132.2 (C-4), 129.1 (C-3), 126.4 (C-2), 69.0 (C-15), 42.5 (C-5), 28.9 (C-6), 28.9 (C-9), 28.8 (C-10, C-11, C-13), 28.5 (C-8), 28.3 (C-14), 26.0 (C-12), 25.0 (C-7) ppm; MS: m/z = 429.3 (100%, [M + Na]+); anal. calcd. for C17H30N2S2O5 (406.56): C 50.22, H 7.44, N 6.89; found: C 49.96, H 7.69, N 6.58.

4.2.23. N-(12-Hydroxydodecyl)benzene Sulfonamide (11a)

Applying GPA: from benzenesulfonyl chloride (500 mg, 2.83 mmol) and 12-amino-dodecanol (855 mg, 4.25 mmol): 11a (944 mg, 98%); white solid; Rf = 0.37 (petrolether/EtOAc, 2:3); m.p. = 76–77 °C; UV–Vis: 221 nm (3.95); IR: ν = 3412m, 3350m, 3278s, 2920s, 2848m, 1477m, 1464m, 1447m, 1425w, 1359m, 1320s, 1266w, 1154vs, 1095s, 1064m, 1048s, 1053w, 999m, 909m, 750m, 722s, 684s, 596s, 561s, 530s, 489w, 459m cm−1; 1H NMR:δ = 7.81–7.76 (m, 2H, 2-H, 2′-H), 7.66–7.56 (m, 3H, 3-H, 3′-H, 4-H), 7.53 (t, J = 5.8 Hz, 1H, NH), 4.30 (t, J = 5.1 Hz, 1H, OH), 3.37 (td, J = 6.5, 5.1 Hz, 2H, 16-H), 2.71 (q, J = 6.7 Hz, 2H, 5-H), 1.44–1.28 (m, 4H, 6-H, 15-H), 1.28–1.12 (m, 16H, 7-H, 8-H, 9-H, 10-H, 11-H, 12-H, 13-H, 14-H) ppm; 13C NMR (126 MHz, DMSO-d6): δ = 140.7 (C-1), 132.2 (C-4), 129.1 (C-3), 126.4 (C-2), 60.7 (C-16), 42.5 (C-5), 32.5 (C-15), 29.0 (C-12), 29.0 (C-11), 28.9 (C-9), 28.9 (C-10, C-13), 28.8 (C-6), 28.5 (C-8), 25.9 (C-7), 25.5 (C-14) ppm; MS: m/z = 364.3 (100%, [M + Na]+); anal. calcd. for C18H31NSO3 (341.51): C 63.31, H 9.15, N 4.10; found: C 63.00, H 9.43, N 3.97.

4.2.24. 12-(Phenylsulfonamido]dodecyl Sulfamate (11b)

Applying GPB: from 11a (300 mg, 0.88 mmol): 11b (229 mg, 62%); white solid; Rf = 0.77 (CHCl3/EtOAc, 2:3); m.p. = 102–103 °C; UV–Vis: λmax (log ε) =; 221 nm (3.47); IR: ν = 3338m, 3265m, 2962vw, 2917m, 2849m, 1576w, 1470w, 1450w, 1428w, 1396w, 1381s, 1313s, 1289w, 1178m, 1158vs, 1094m, 1060m, 1043m, 1024vw, 996w, 983m, 964s, 931m, 905m, 880m, 854w, 838m, 821s, 794w, 768w, 753s, 726s, 688s, 589s, 567s, 550s, 535vs, 504w, 482vw, 433m cm−1; 1H NMR:δ = 7.79–7.74 (m, 2H, 2-H, 2′-H), 7.64–7.54 (m, 3H, 3-H, 3′-H, 4-H), 7.51 (t, J = 5.8 Hz, 1H, NH), 7.35 (s, 2H, NH2), 3.98 (t, J = 6.5 Hz, 2H, 16-H), 2.69 (td, J = 7.0, 5.8 Hz, 2H, 5-H), 1.64–1.55 (m, 2H, 15-H), 1.36–1.09 (m, 18H, 6-H, 7-H, 8-H, 9-H, 10-H, 11-H, 12-H, 13-H, 14-H) ppm; 13C NMR:δ = 140.7 (C-1), 132.2 (C-4), 129.1 (C-3), 126.4 (C-2), 69.0 (C-16), 42.5 (C-5), 28.9 (C-9), 28.9 (C-6, C-11, C-12), 28.9 (C-15), 28.5 (C-8), 28.3 (C-13), 26.0 (C-14), 25.1 (C-7) ppm; MS: m/z = 443.4 (100%, [M + Na]+); anal. calcd. for C18H32N2S2O5 (420.58): C 51.40, H 7.67, N 6.66; found: C 51.15, H 7.93, N 6.42.

4.2.25. N-(2-Hydroxyethyl)-4-methylbenzene Sulfonamide (12a) [914083-49-1]

Applying GPA: from 4-methylbenzenesulfonyl chloride (300 mg, 1.57 mmol) and 2-amino-ethanol (144 mg, 2.36 mmol): 12a [86,87,88,89,90,91,92] (315 mg, 93%); white solid; Rf = 0.54 (CHCl3/EtOAc, 2:3); m.p. = 55–57 °C; UV–Vis: 227 nm (3.68); IR: ν = 3497br, 3273br, 2926w, 2881w, 1598w, 1495w, 1424m, 1402m, 1318s, 1305s, 1290m, 1152vs, 1093s, 1055s, 1019w, 948m, 880w, 814s, 706w, 661s, 550s, 462w cm−1; 1H NMR:δ = 7.72–7.64 (m, 2H, 2-H, 2′-H), 7.48 (s, 1H, NH), 7.42–7.37 (m, 2H, 3-H, 3′-H), 4.65 (s, 1H, OH), 3.35 (t, J = 6.7 Hz, 2H, 7-H), 2.76 (t, J = 6.4 Hz, 2H, 6-H), 2.38 (s, 3H, 5-H) ppm; 13C NMR:δ = 142.5 (C-1), 137.7 (C-4), 129.6 (C-3), 126.5 (C-2), 59.9 (C-7), 45.0 (C-6), 20.9 (C-5) ppm; MS: m/z = 238 (80%, [M + Na]+); anal. calcd. for C9H13NSO3 (215.27): C 50.22, H 6.09, N 6.51; found: C 49.87, H 6.30, N 6.33.

4.2.26. 2-[(4-Methylphenyl)sulfonamido]ethyl Sulfamate (12b) [914083-49-1]

Applying GPB: from 12a (250 mg, 1.16 mmol): 12b (330 mg, 96%) [93]; white solid; Rf = 0.49 (CHCl3/EtOAc, 2:3); m.p. = 79–81 °C; UV–Vis: 224 nm (3.91); IR: ν = 3358w, 3332w, 3265m, 1480w, 1448w, 1425w, 1377m, 1366s, 1322s, 1305m, 1238w, 1227w, 1178s, 1160s, 1148s, 1117w, 1098m, 1083s, 1033m, 1011s, 954m, 931s, 913m, 880w, 869w, 818m, 803m, 783s, 769s, 702m, 684s, 659m, 598m, 589m, 574s, 548vs, 529m, 509m, 487m, 471s, 448m, 431w, 411w cm−1; 1H NMR:δ = 7.82 (s, 1H, NH), 7.72–7.65 (m, 2H, 2-H, 2′-H), 7.58–7.46 (m, 2H, NH2), 7.44–7.37 (m, 2H, 3-H, 3′-H), 3.99 (t, J = 5.8 Hz, 2H, 7-H), 3.02 (t, J = 5.8 Hz, 2H, 6-H), 2.39 (s, 3H, 5-H) ppm; 13C NMR:δ = 142.8 (C-4), 137.3 (C-1), 129.7 (C-3), 126.5 (C-2), 67.5 (C-7), 41.5 (C-6), 21.0 (C-5) ppm; MS: m/z = 317.1 (100%, [M + Na]+); anal. calcd. for C9H14N2S2O5 (294.34): C 36.73, H 4.79, N 9.52; found: C 36.41, H 4.97, N 9.35.

4.2.27. N-(3-Hydroxypropyl)-4-methylbenzene Sulfonamide (13a) [13379-98-1]

Applying GPA: from 4-methylbenzenesulfonyl chloride (200 mg, 1.05 mmol) and 3-amino-propanol (118 mg, 1.57 mmol): 13a (225 mg, 94%) [94,95,96,97,98,99]; white solid; Rf = 0.12 (petrolether/EtOAc, 2:3); m.p. = 55–57 °C (lit.: [98] 55–56 °C); UV–Vis: 227 nm (4.14); IR: ν = 3492br, 3274br, 2945w, 2879w, 1598m, 1495w, 1423m, 1318s, 1305s, 1296m, 1185w, 1153vs, 1091s, 1070s, 1019w, 1006w, 959m, 872w, 815s, 706w, 662s, 570w, 550s, 515w cm−1; 1H NMR:δ =7.69–7.64 (m, 2H, 2-H, 2′-H), 7.46–7.35 (m, 3H, 3-H, 3′-H, NH), 4.39 (t, J = 5.1 Hz, 1H, OH), 3.40–3.30 (m, 2H, 8-H), 2.76 (td, J = 7.6, 3.3 Hz, 2H, 6-H), 2.38 (s, 3H, 5-H), 1.50 (p, J = 6.4 Hz, 2H, 7-H) ppm; 13C NMR:δ = 142.5 (C-4), 137.6 (C-1), 129.6 (C-3), 126.5 (C-2), 58.1 (C-8), 40.0 (C-6), 32.3 (C-7), 20.9 (C-5) ppm; MS: m/z = 252.3 (90%, [M + Na]+); anal. calcd. for C10H15NSO3 (229.29): C 52.38, H 6.59, N 6.11; found: C 52.09, H 6.89, N 5.87.

4.2.28. 3-[(4-Methylphenyl)sulfonamido]propyl Sulfamate (13b)

Applying GPB: from 13a (300 mg, 1.31 mmol): 13b (260 mg, 64%); white solid; Rf = 0.49 (CHCl3/EtOAc, 2:3); m.p. = 86–87 °C; UV–Vis: 227 nm (3.72); IR: ν = 3352w, 3317w, 3272w, 2959vw, 2902vw, 1597vw, 1554w, 1472w, 1434vw, 1409w, 1392w, 1362m, 1321m, 1309m, 1292w, 1239vw, 1211vw, 1181m, 1160s, 1122w, 1093m, 1047m, 1020vw, 980w, 956s, 919m, 893w, 854m, 841m, 818m, 799w, 773m, 706w, 667s, 590m, 573m, 547vs, 494m, 476m, 444w, 413vw, 511w, 483w, 458w cm−1; 1H NMR:δ = 7.71–7.64 (m, 2H, 2-H, 2′-H), 7.57–7.35 (m, 5H, 3-H, 3′-H, NH, NH2), 4.02 (t, J = 6.3 Hz, 2H, 8-H), 2.79 (t, J = 7.1 Hz, 2H, 6-H), 2.39 (s, 3H, 5-H), 1.75 (p, J = 6.7 Hz, 2H, 7-H) ppm; 13C NMR (126 MHz, DMSO-d6): δ = 142.7 (C-4), 137.4 (C-1), 129.7 (C-3), 126.5 (C-2), 66.5 (C-8), 39.2 (C-6), 28.7 (C-7), 20.9 (C-5) ppm; MS (ESI, MeOH) m/z = 331.2 (90%, [M + Na]+); anal. calcd. for C10H16N2S2O5 (308.37): C 38.95, H 5.23, N 9.08; found: C 38.77, H 5.54, N 8.78.

4.2.29. N-(4-Hydroxybutyl)-4-methylbenzene Sulfonamide (14a) [78521-69-4]

Applying GPA: from 4-methylbenzenesulfonyl chloride (400 mg, 2.1 mmol) and 4-amino-butanol (318 mg, 3.15 mmol): 14a (477 mg, 93%); white solid; Rf = 0.12 (petrolether/EtOAc, 2:3); m.p. = 50–51 °C (lit.: [100] 50–52 °C); UV–Vis: 227 nm (4.18); IR: ν = 3502br, 3279br, 2940w, 2871w, 1597m, 1475m, 1454m, 1433m, 1314s, 1305s, 1289m, 1150vs, 1121w, 1091s, 1061s, 1027m, 1019w, 941m, 848w, 817s, 753m, 721m, 709m, 662s, 576s, 551s, 484m, 456w cm−1; 1H NMR (500 MHz, DMSO-d6): δ = 7.69–7.65 (m, 2H, 2-H, 2′-H), 7.48–7.43 (m, 1H, NH), 7.40–7.36 (m, 2H, 3-H, 3′-H), 4.36 (t, J = 5.1 Hz, 1H, OH), 3.32 (q, J = 5.5 Hz, 2H, 9-H), 2.73–2.67 (m, 2H, 6-H), 2.37 (s, 3H, 5-H), 1.43–1.32 (m, 4H, 7-H, 8-H) ppm; 13C NMR (126 MHz, DMSO-d6): δ = 142.4 (C-4), 137.7 (C-1), 129.6 (C-3), 126.5 (C-2), 60.2 (C-9), 42.5 (C-6), 29.6 (C-8), 25.8 (C-7), 20.9 (C-5) ppm; MS: m/z = 266.1 (100%, [M + Na]+); anal. calcd. for C11H17NSO3 (243.32): C 54.30, H 7.04, N 5.76; found: C 54.11, H 7.32, N 5.55.

4.2.30. 4-[(4-Methylphenyl)sulfonamido]butyl Sulfamate (14b)

Applying GPB: from 14a (100 mg, 0.41 mmol): 14b (90 mg, 68%); white solid; Rf = 0.52 (CHCl3/EtOAc, 2:3); m.p. = 66–68 °C; UV–Vis: 227 nm (3.81); IR: ν = 3354w, 3314w, 3275w, 2955vw, 2902vw, 1597vw, 1552w, 1474w, 1434vw, 1410w, 1398w, 1362m, 1321m, 1309m, 1294w, 1235vw, 1211vw, 1180m, 1162s, 1120w, 1098m, 1046m, 1020vw, 982w, 957s, 917m, 894w, 854m, 840m, 820m, 799w, 774m, 704w, 665s, 596m, 571m, 547vs, 495m, 473m, 444w, 413vw, 511w cm−1; 1H NMR:δ = 7.70–7.65 (m, 2H, 2-H, 2′-H), 7.52 (t, J = 5.9 Hz, 1H, NH), 7.45–7.36 (m, 4H, 3-H, 3′-H, NH2), 3.96 (t, J = 6.3 Hz, 2H, 9-H), 2.73 (q, J = 6.8 Hz, 2H, 6-H), 2.38 (s, 3H, 5-H), 1.65–1.55 (m, 2H, 8-H), 1.49–1.39 (m, 2H, 7-H) ppm; 13C NMR:δ = 142.6 (C-4), 137.7 (C-1), 129.6 (C-3), 126.5 (C-2, C-2), 68.6 (C-9), 42.0 (C-6), 25.6 (C-8), 25.4 (C-7), 21.0 (C-5) ppm; MS: m/z = 345.1 (100%, [M + Na]+); anal. calcd. for C11H18N2S2O5 (322.39): C 40.98, H 5.63, N 8.69; found: C 40.78, H 5.89, N 8.43.

4.2.31. N-(5-Hydroxypentyl)-4-methylbenzene Sulfonamide (15a) [16780-44-2]

Applying GPA: from 4-methylbenzenesulfonyl chloride (500 mg, 2.62 mmol) and and 5-amino-pentanol (405 mg, 3.93 mmol): 15a (522 mg, 77%) [101,102,103,104,105,106,107,108]; white solid; Rf = 0.11 (petrolether/EtOAc, 2:3); m.p. = 60–61 °C; UV–Vis: 227 nm (3.99); IR: ν = 3456m, 3109br, 2920w, 2862w, 1597m, 1475m, 1454m, 1433m, 1314s, 1305s, 1289m, 1150vs, 1121w, 1091s, 1061s, 1027m, 1019w, 941m, 848w, 817s, 753m, 721m, 709m, 662s, 576s, 551s, 484m, 456w cm−1; 1H NMR:δ = 7.69–7.63 (m, 2H, 2-H, 2′-H), 7.44 (t, J = 5.9 Hz, 1H, NH), 7.41–7.36 (m, 2H, 3-H, 3′-H), 4.30 (t, J = 5.1 Hz, 1H, OH), 3.35–3.29 (m, 2H, 10-H), 2.68 (td, J = 7.0, 5.9 Hz, 2H, 6-H), 2.38 (s, 3H, 5-H), 1.39–1.27 (m, 4H, 7-H, 9-H), 1.27–1.17 (m, 2H, 8-H) ppm; 13C NMR:δ = 142.4 (C-4), 137.7 (C-1), 129.5 (C-3), 126.5 (C-2), 60.5 (C-10), 42.5 (C-6), 32.0 (C-9), 28.8 (C-7), 22.6 (C-8), 20.9 (C-5) ppm; MS: m/z = 280.0 (100%, [M + Na]+); anal. calcd. for C12H19NSO3 (257.35): C 56.01, H 7.44, N 5.44; found: C 55.76, H 7.78, N 5.16.

4.2.32. 5-[(4-Methylphenyl)sulfonamido]pentyl Sulfamate (15b)

Applying GPB: from 15a (200 mg, 0.78 mmol): 15b (232 mg, 89%); white solid; Rf = 0.53 (CHCl3/EtOAc, 2:3); m.p. = 94–95 °C UV–Vis: 227 nm (3.92); IR: ν = 3351w, 3301m, 3250w, 2957vw, 2940w, 2930w, 2852w, 1554w, 1466w, 1422w, 1395vw, 1361s, 1316s, 1301m, 1294w, 1281w, 1177s, 1150vs, 1096m, 1074w, 1063w, 1044w, 1027vw, 1021w, 992m, 965vw, 947m, 915s, 870w, 815s, 810s, 749w, 722w, 708w, 671s, 630w, 598m, 574m, 550vs cm−1; 1H NMR:δ = 7.70–7.63 (m, 2H, 2-H, 2′-H), 7.47 (t, J = 5.9 Hz, 1H, NH), 7.42–7.34 (m, 4H, 3-H, 3′-H, NH2), 3.96 (t, J = 6.4 Hz, 2H, 10-H), 2.70 (q, J = 6.6 Hz, 2H, 6-H), 2.38 (s, 3H, 5-H), 1.55 (p, J = 6.7 Hz, 2H, 9-H), 1.43–1.33 (m, 2H, 7-H), 1.33–1.22 (m, 2H, 8-H) ppm; 13C NMR:δ = 142.5 (C-4), 137.7 (C-1), 129.6 (C-3), 126.5 (C-2), 68.8 (C-10), 42.3 (C-6), 28.5 (C-9), 27.8 (C-7), 22.2 (C-8), 20.9 (C-5) ppm; MS: m/z = 359.4 (100%, [M + Na]+); anal. calcd. for C12H20N2S2O5 (336.42): C 42.84, H 5.99, N 8.33; found: C 42.57, H 6.26, N 8.14.

4.2.33. N-(6-Hydroxyhexyl)-4-methylbenzene Sulfonamide (16a) [385369-83-5]

Applying GPA: from 4-methylbenzenesulfonyl chloride (500 mg, 2.62 mmol) and 6-amino-hexanol (461 mg, 3.93 mmol): 16a (551 mg, 77%) [104,109,110,111,112]; white solid; Rf = 0.15 (petrolether/EtOAc, 2:3); m.p. = 49–51 °C; UV–Vis: 227 nm (4.10); IR: ν = 3423w, 3364w, 3290m, 2936m, 2891w, 2860w, 1589w, 1495w, 1476w, 1422m, 1385w, 1319m, 1303w, 1290w, 1154vs, 1091m, 1067m, 1036m, 983w, 905m, 817s, 734w, 707w, 666s, 573s, 549s, 523m, 484w, 430w cm−1; 1H NMR:δ = 7.70–7.63 (m, 2H, 2-H, 2′-H), 7.47–7.41 (m, 1H, NH), 7.41–7.35 (m, 2H, 3-H, 3′-H), 4.30 (t, J = 5.1 Hz, 1H, OH), 3.38–3.30 (m, 2H, 11-H), 2.73–2.65 (m, 2H, 6-H), 2.37 (s, 3H, 5-H), 1.41–1.27 (m, 4H, 7-H, 10-H), 1.22–1.14 (m, 4H, 8-H, 9-H) ppm; 13C NMR:δ = 142.4 (C-4), 137.8 (C-1), 129.6 (C-3, C-3′), 126.5 (C-2, C-2′), 60.6 (C-11), 42.5 (C-6), 32.4 (C-10), 29.0 (C-7), 25.9 (C-9), 25.0 (C-8), 20.9 (C-5) ppm; MS: m/z = 294 (100%, [M + Na]+); anal. calcd. for C13H21NSO3 (271.38): C 57.54, H 7.80, N 5.16; found: C 57.24, H 8.02, N 4.96.

4.2.34. 6-[(4-Methylphenyl)sulfonamido]hexyl Sulfamate (16b)

Applying GPB: from 16a (200 mg, 0.74 mmol): 16b (206 mg, 80%); white solid; Rf = 0.55 (CHCl3/EtOAc, 2:3); m.p. = 49–50 °C; UV–Vis: 227 nm (4.03); IR: ν = 3350w, 3300m, 3251w, 2959vw, 2939w, 2932w, 2854w, 1556w, 1464w, 1422w, 1391vw, 1363s, 1317s, 1308m, 1291w, 1280w, 1178s, 1151vs, 1094m, 1075w, 1062w, 1043w, 1027vw, 1020w, 992m, 968vw, 945m, 917s, 868w, 817s, 810s, 749w, 722w, 708w, 670s, 634w, 595m, 576m, 549vs, 513m, 487m, 473m cm−1; 1H NMR (500 MHz, DMSO-d6): δ = 7.69–7.64 (m, 2H, 2-H, 2′-H), 7.46 (t, J = 5.8 Hz, 1H, NH), 7.41–7.35 (m, 4H, 3-H, 3′-H, NH2), 3.97 (t, J = 6.5 Hz, 2H, 11-H), 2.70 (q, J = 6.6 Hz, 2H, 6-H), 2.38 (s, 3H, 5-H), 1.59–1.52 (m, 2H, 10-H), 1.35 (p, J = 6.9 Hz, 2H, 7-H), 1.27–1.17 (m, 4H, 8-H, 9-H) ppm; 13C NMR:δ = 142.5 (C-4), 137.7 (C-1), 129.6 (C-3), 126.5 (C-2), 68.9 (C-11), 42.4 (C-6), 28.8 (C-10), 28.2 (C-7), 25.5 (C-9), 24.6 (C-8), 20.9 (C-5) ppm; MS: m/z = 373.7 (100%, [M + Na]+); anal. calcd. for C13H22N2S2O5 (350.45): C 44.56, H 6.33, N 7.99; found: C 44.34, H 6.51, N 7.65.

4.2.35. N-(7-Hydroxyheptyl)-4-methylbenzene Sulfonamide (17a) [1669425-24-4]

Applying GPA: from 4-methylbenzenesulfonyl chloride (500 mg, 2.62 mmol) and 7-amino-heptanol (516 mg, 3.93 mmol): 17a (557 mg, 74%) [113] oil; Rf = 0.19 (petrolether/EtOAc, 2:3); UV–Vis: 227 nm (4.15); IR: ν = 3503w, 3279w, 2930m, 2858w, 1598w, 1495vw, 1429w, 1320m, 1305m, 1289m, 1152vs, 1120w, 1092s, 1056m, 1019w, 814m, 723w, 707m, 660s, 635w, 571m, 549vs, 466w cm−1; 1H NMR:δ = 7.68–7.65 (m, 2H, 2-H, 2′-H), 7.44 (t, J = 5.8 Hz, 1H, NH), 7.40–7.36 (m, 2H, 3-H, 3′-H), 4.30 (t, J = 5.1 Hz, 1H, OH), 3.37–3.34 (m, 2H, 12-H), 2.69 (td, J = 7.0, 5.7 Hz, 2H, 6-H), 2.37 (s, 3H, 5-H), 1.40–1.29 (m, 4H, 7-H, 11-H), 1.25–1.10 (m, 6H, 8-H, 9-H, 10-H) ppm; 13C NMR:δ = 142.4 (C-4), 137.8 (C-1), 129.5 (C-3), 126.5 (C-2), 60.7 (C-12), 42.5 (C-6), 32.4 (C-11), 28.9 (C-7), 28.4 (C-9), 26.1 (C-8), 25.3 (C-10), 20.9 (C-5) ppm; MS: m/z = 308.2 (100%, [M + Na]+); anal. calcd. for C14H23NSO3 (285.40): C 58.92, H 8.12, N 4.91; found: C 58.69, H 8.33, N 4.65.

4.2.36. 7-[(4-Methylphenyl)sulfonamido]heptyl Sulfamate (17b)

Applying GPB: from 17a (200 mg, 0.7 mmol): 17b (94 mg, 37%); white solid; Rf = 0.60 (CHCl3/EtOAc, 2:3); m.p. = 85–86 °C; UV–Vis: 227 nm (4.07); IR: ν = 3351w, 3298m, 3252w, 2960w, 2940w, 2921w, 2853w, 1598vw, 1558w, 1477vw, 1466w, 1457w, 1439w, 1420w, 1392w, 1362s, 1319s, 1308m, 1292w, 1281w, 1180s, 1150vs, 1137m, 1094m, 1080m, 1048w, 1020w, 1009w, 996w, 982vw, 950m, 930s, 904s, 834w, 818s, 798w, 782m, 737w, 723w, 707w, 668s, 597m, 577m, 548vs, 519m, 495m, 474m, 448w, 404vw cm−1; 1H NMR:δ = 7.69–7.64 (m, 2H, 2-H, 2′-H), 7.45 (t, J = 5.8 Hz, 1H, NH), 7.41–7.35 (m, 4H, 3-H, 3′-H, NH2), 3.98 (t, J = 6.5 Hz, 2H, 12-H), 2.69 (q, J = 6.7 Hz, 2H, 6-H), 2.38 (s, 3H, 5-H), 1.62–1.54 (m, 2H, 11-H), 1.38–1.30 (m, 2H, 7-H), 1.30–1.14 (m, 6H, 8-H, 9-H, 10-H) ppm; 13C NMR:δ = 142.4 (C-4), 137.8 (C-1), 129.5 (C-3), 126.5 (C-2), 68.9 (C-12), 42.4 (C-6), 28.8 (C-11), 28.2 (C-7), 28.0 (C-9), 25.9 (C-10), 24.9 (C-8), 20.9 (C-5) ppm; MS: m/z = 387.3 (100%, [M + Na]+); anal. calcd. for C14H24N2S2O5 (364.48): C 46.14, H 6.64, N 7.69; found: C 45.87, H 6.92, N 7.46.

4.2.37. N-(8-Hydroxyoctyl)-4-methylbenzene Sulfonamide (18a) [2772203-84-4]

Applying GPA: from 4-methylbenzenesulfonyl chloride (400 mg, 2.1 mmol) and 8-amino-octanol (457 mg, 3.15 mmol): 18a (442 mg, 70%); white solid; Rf = 0.23 (petrolether/EtOAc, 2:3); m.p. = 87–88 °C; UV–Vis: 227 nm (4.00); IR: ν = 3418w, 3278m, 2933m, 2854m, 1598w, 1478w, 1466w, 1425m, 1384w, 1364w, 1333m, 1324m, 1305m, 1290w, 1157vs, 1109w, 1092m, 1064m, 1052s, 1031w, 1020w, 992w, 982m, 905m, 817s, 733w, 707w, 668s, 571s, 551vs, 530s, 500m, 493m, 465w cm−1; 1H NMR:δ = 7.69–7.65 (m, 2H, -H, 2′-H), 7.44 (t, J = 5.8 Hz, 1H, NH), 7.41–7.36 (m, 2H, 3-H, 3′-H), 4.31 (t, J = 5.2 Hz, 1H, OH), 3.40–3.34 (m, 2H, 13-H), 2.69 (q, J = 6.8 Hz, 2H, 6-H), 2.38 (s, 3H, 5-H), 1.42–1.28 (m, 4H, 7-H, 12-H), 1.26–1.12 (m, 8H, 8-H, 9-H, 10-H, 11-H) ppm; 13C NMR:δ = 142.9 (C-4), 138.3 (C-1), 130.0 (C-3), 127.0 (C-2), 61.2 (C-13), 43.0 (C-6), 33.0 (C-12), 29.4 (C-7), 29.3 (C-9), 29.0 (C-10), 26.4 (C-8), 25.9 (C-11), 21.4 (C-5).ppm; MS: m/z = 322 (100%, [M + Na]+); anal. calcd. for C15H25NSO3 (299.43): C 60.17, H 8.42, N 4.68; found: C 59.87, H 8.69, N 4.55.

4.2.38. 8-[(4-Methylphenyl)sulfonamido]octyl Sulfamate (18b)

Applying GPB: from 18a (200 mg, 0.67 mmol): 18b (140 mg, 55%); white solid; Rf = 0.64 (CHCl3/EtOAc, 2:3); m.p. = 98–100 °C; UV–Vis: 227 nm (4.00); IR: ν = 3344m, 3311m, 3250m, 2944w, 2928w, 2857w, 2844w, 1476w, 1430m, 1362s, 1332w, 1319m, 1309m, 1183m, 1147vs, 1119w, 1095m, 1074w, 1065w, 1054m, 1040w, 963s, 927s, 902m, 818s, 724w, 707w, 666s, 591m, 561s, 550vs, 526m, 511s, 499s, 474m, 405w cm−1; 1H NMR:δ = 7.68–7.63 (m, 2H, 2-H, 2′-H), 7.44 (t, J = 5.9 Hz, 1H, NH), 7.41–7.35 (m, 4H, 3-H, 3′-H. NH2), 3.99 (t, J = 6.5 Hz, 2H, 13-H), 2.69 (td, J = 7.0, 5.8 Hz, 2H, 6-H), 2.38 (s, 3H, 5-H), 1.64–1.55 (m, 2H, 12-H), 1.38–1.31 (m, 2H, 7-H), 1.30–1.12 (m, 8H, 8-H, 9-H, 10-H, 11-H) ppm; 13C NMR:δ = 142.4 (C-4), 137.8 (C-1), 129.5 (C-3), 126.5 (C-2), 69.0 (C-13), 42.4 (C-6), 28.9 (C-12), 28.4 (C-7), 28.3 (C-10), 28.3 (C-9), 25.9 (C-8), 24.9 (C-11), 20.9 (C-5) ppm; MS: m/z = 401.7 (100%, [M + Na]+); anal. calcd. for C15H26N2S2O5 (378.50): C 47.60, H 6.92, N 7.40; found: C 47.37, H 7.19, N 7.38.

4.2.39. N-(2-Hydroxyethyl)-3-methylbenzene Sulfonamide (19a) [1082883-27-9]

Applying GPA: from 3-methylbenzenesulfonyl chloride (500 mg, 2.62 mmol) and 2-amino-ethanol (240 mg, 3.93 mmol): 19a (542 mg, 96%); oil; Rf = 0.1 (petrolether/EtOAc, 2:3); UV–Vis: 224 nm (3.92); IR: ν = 3493w, 3274w, 2927w, 2882w, 1601vw, 1478w, 1425w, 1321s, 1303s, 1220w, 1148vs, 1097m, 1087m, 1054s, 999w, 949m, 866w, 785m, 687s, 580vs, 524m, 492w, 459m, 435w cm−1; 1H NMR:δ = 7.63–7.61 (m, 1H, 6-H), 7.61–7.58 (m, 1H, 2-H), 7.52 (t, J = 5.8 Hz, 1H, NH), 7.50–7.42 (m, 2H, 4-H, 5-H), 4.66 (t, J = 5.6 Hz, 1H, OH), 3.37 (q, J = 6.3 Hz, 2H, 9-H), 2.79 (q, J = 6.2 Hz, 2H, 8-H), 2.39 (s, 3H, 7-H) ppm; 13C NMR:δ = 140.5 (C-1), 138.8 (C-3), 132.9 (C-4), 129.0 (C-5), 126.7 (C-6), 123.6 (C-2), 59.9 (C-9), 45.1 (C-8), 20.8 (C-7) ppm; MS: m/z = 238.4 (40%, [M + Na]+); anal. calcd. for C9H13NSO3 (215.27): C 50.22, H 6.09, N 6.51; found: C 49.97, H 6.34, N 6.27.

4.2.40. 2-[(3-Methylphenyl)sulfonamido]ethyl Sulfamate (19b)

Applying GPB: from 19a (73 mg, 0.4 mmol): 19b (72 mg, 72%); white solid; Rf = 0.52 (CHCl3/EtOAc, 2:3); m.p. = 36–38 °C; UV–Vis: 224 nm (3.65); IR: ν = 3341m, 3259m, 3100w, 2988w, 1566w, 1473w, 1444w, 1421w, 1389w, 1371vs, 1345m, 1325m, 1303s, 1226w, 1174s, 1172s, 1147vs, 1078m, 1062m, 1001m, 951s, 932s, 905m, 879m, 865w, 837s, 791m, 765m, 701s, 683s, 639s, 591s, 571s, 546vs, 504m, 452m, 429w, 544vs, 526m cm−1; 1H NMR:δ = 7.86 (t, J = 5.9 Hz, 1H, NH), 7.64–7.57 (m, 2H, 2-H, 6-H), 7.53–7.44 (m, 4H, 4-H, 5-H, NH2), 3.99 (t, J = 5.7 Hz, 2H, 9-H), 3.04 (q, J = 5.6 Hz, 2H, 8-H), 2.39 (s, 3H, 7-H) ppm; 13C NMR:δ = 140.1 (C-1), 139.0 (C-2), 133.2 (C-4), 129.1 (C-5), 126.7 (C-6), 123.6 (C-3), 67.5 (C-9), 41.6 (C-8), 20.9 (C-7) ppm; MS: m/z = 317.1 (100%, [M + Na]+); anal. calcd. for C9H14N2S2O5 (294.34): C 36.73, H 4.79, N 9.52; found: C 36.55, H 5.00, N 9.35.

4.2.41. N-(3-Hydroxypropyl)-3-methylbenzene Sulfonamide (20a) [1082805-58-0]

Applying GPA: from 3-methylbenzenesulfonyl chloride (500 mg, 2.62 mmol) and 3-amino-propanol (295 mg, 3.93 mmol): 20a (522 mg, 87%) [114] oil; Rf = 0.09 (petrolether/EtOAc, 2:3); UV–Vis: 224 nm (3.91); IR: ν = 3502w, 3276w, 2947w, 2882w, 1477w, 1423w, 1320m, 1303s, 1222w, 1148vs, 1096m, 1085s, 1068m, 1008w, 998w, 959w, 879w, 787m, 688s, 579vs, 524m, 498w, 463m, 434w cm−1; 1H NMR:δ = 7.62–7.56 (m, 2H, 2-H, 6-H), 7.50–7.41 (m, 3H, 4-H, 5-H, NH), 4.40 (t, J = 5.1 Hz, 1H, OH), 3.40–3.35 (m, 2H, 10-H), 2.78 (q, J = 7.0 Hz, 2H, 8-H), 2.39 (s, 3H, 7-H), 1.52 (p, J = 6.4 Hz, 2H, 9-H) ppm; 13C NMR:δ = 140.4 (C-1), 138.8 (C-3), 132.9 (C-4), 129.0 (C-5), 126.7 (C-6), 123.6 (C-2), 58.1 (C-10), 40.0 (C-8), 32.4 (C-9), 20.9 (C-7) ppm; MS: m/z = 252.1 (100%, [M + Na]+); anal. calcd. for C10H15NSO3 (229.29): C 52.38, H 6.59, N 6.11; found: C 52.03, H 6.88, N 5.94.

4.2.42. 3-[(3-Methylphenyl)sulfonamido]propyl Sulfamate (20b)

Applying GPB: from 20a (300 mg, 1.31 mmol): 20b (305 mg, 76%); white solid; Rf = 0.52 (CHCl3/EtOAc, 2:3); m.p. = 73–74 °C; UV–Vis: 224 nm (3.88); IR: ν = 3351m, 3256m, 3108w, 2983w, 2921vw, 1566w, 1473w, 1444w, 1421w, 1399w, 1373vs, 1352m, 1318m, 1303s, 1241w, 1226w, 1218w, 1176s, 1170s, 1147vs, 1113w, 1085m, 1056m, 1004m, 951s, 929s, 905m, 887m, 881m, 865w, 837s, 792m, 759m, 703s, 685s, 638s, 591s, 573s, 545vs, 508m, 486m, 450m, 426w, 548vs, 519m, 495m, 474m, 448w, 404vw cm−1; 1H NMR:δ = 7.67–7.57 (m, 3H, 2-H, 6-H, NH), 7.52–7.37 (m, 4H, 4-H, 5-H, NH2), 4.02 (t, J = 6.3 Hz, 2H, 10-H), 2.81 (t, J = 7.1 Hz, 2H, 8-H), 2.40 (s, 3H, 7-H), 1.76 (p, J = 6.7 Hz, 2H, 9-H) ppm; 13C NMR:δ = 140.2 (C-1), 138.9 (C-3), 133.0 (C-4), 129.1 (C-5), 126.7 (C-6), 123.6 (C-2), 66.5 (C-10), 39.2 (C-8), 28.7 (C-9), 20.8 (C-7) ppm; MS: m/z = 331.3 (100%, [M + Na]+); anal. calcd. for C10H16N2S2O5 (308.37): C 38.95, H 5.23, N 9.08; found: C 38.77, H 5.52, N 8.85.

4.2.43. N-(4-Hydroxybutyl)-3-methylbenzene Sulfonamide (21a) [1082889-69-7]

Applying GPA: from 3-methylbenzenesulfonyl chloride (500 mg, 2.62 mmol) and 4-amino-butanol (351 mg, 3.93 mmol): 21a (589 mg, 92%); oil; Rf = 0.56 (CHCl3/EtOAc, 2:3); UV–Vis: 224 nm (3.90); IR: ν = 3502w, 3279w, 2940w, 2871w, 1598w, 1428w, 1319m, 1305m, 1289m, 1152vs, 1120w, 1091s, 1054m, 1020m, 814m, 706w, 659s, 571m, 549vs, 491w, 469w cm−1; 1H NMR:δ = 7.62–7.56 (m, 2H, 2-H, 6-H), 7.52–7.41 (m, 3H, 4-H, 5-H, NH), 4.35 (t, J = 5.1 Hz, 1H, OH), 3.35–3.29 (m, 2H, 11-H), 2.72 (q, J = 6.7 Hz, 2H, 8-H), 2.39 (s, 3H, 7-H), 1.45–1.31 (m, 4H, 9-H, 10-H) ppm; 13C NMR:δ = 140.5 (C-1), 138.8 (C-3), 132.8 (C-4), 129.0 (C-5), 126.7 (C-6), 123.6 (C-2), 60.2 (C-11), 42.5 (C-8), 29.5 (C-10), 25.8 (C-9), 20.8 (C-7) ppm; MS: m/z = 266.2 (100%, [M + Na]+); anal. calcd. for C11H17NSO3 (243.32): C 54.30, H 7.04, N 5.76; found: C 54.00, H 7.31, N 5.52.

4.2.44. 4-[(3-Methylphenyl)sulfonamido]butyl Sulfamate (21b)

Applying GPB: from 21a (250 mg, 1.03 mmol): 21b (317 mg, 96%); white solid; Rf = 0.55 (CHCl3/EtOAc, 2:3); m.p. = 62–64 °C; UV–Vis: 225 nm (3.84); IR: ν = 3351w, 3272m, 1474w, 1428w, 1375s, 1339w, 1315m, 1303s, 1198w, 1171s, 1153vs, 1097m, 1091m, 1065m, 1014w, 970s, 930m, 897m, 888m, 823m, 793m, 746w, 701s, 697s, 688s, 609m, 594s, 582s, 553s, 525m, 491m, 436w cm−1; 1H NMR:δ = 7.59–7.50 (m, 3H, 4-H, 5-H, NH), 7.49–7.39 (m, 2H, 2-H, 6-H), 7.36 (s, 2H, NH2), 3.94 (t, J = 6.3 Hz, 2H, 11-H), 2.72 (q, J = 6.7 Hz, 2H, 8-H), 2.36 (s, 3H, 7-H), 1.63–1.54 (m, 2H, 10-H), 1.47–1.38 (m, 2H, 9-H) ppm; 13C NMR:δ = 140.5 (C-1), 138.9 (C-3), 132.9 (C-4), 129.1 (C-5), 126.7 (C-6), 123.6 (C-2), 68.6 (C-11), 42.0 (C-8), 25.6 (C-10), 24.7 (C-9), 20.9 (C-7) ppm; MS: m/z = 345.6 (90%, [M + Na]+); anal. calcd. for C11H18N2S2O5 (322.39): C 40.98, H 5.63, N 8.69; found: C 40.76, H 8.92, N 8.38.

4.2.45. N-(5-Hydroxypentyl)-3-methylbenzene Sulfonamide (22a) [1986639-01-3]

Applying GPA: from 3-methylbenzenesulfonyl chloride (500 mg, 2.62 mmol) and 5-amino-pentanol (406 mg, 3.93 mmol): 22a (620 mg, 92%); oil; Rf = 0.13 (petrolether/EtOAc, 2:3); UV–Vis: 224 nm (3.89); IR: ν = 3454w, 3108w, 2954w, 2919w, 2880w, 2862w, 1597vw, 1474w, 1455w, 1437w, 1313s, 1305m, 1289m, 1245w, 1150s, 1122m, 1108w, 1091s, 1061m, 1041w, 1027m, 1019w, 940m, 849w, 817m, 801w, 755m, 721m, 709m, 662s, 636w, 577s, 551vs, 484m, 458w cm−1; 1H NMR:δ = 7.62–7.60 (m, 1H, 6-H), 7.60–7.56 (m, 1H, 2-H), 7.51–7.41 (m, 3H, 4-H, 5-H, NH), 4.31 (t, J = 5.1 Hz, 1H, OH), 3.36–3.30 (m, 2H, 12-H), 2.71 (q, J = 6.5 Hz, 2H, 8-H), 2.39 (s, 3H, 7-H), 1.41–1.29 (m, 4H, 9-H, 11-H), 1.28–1.18 (m, 2H, 10-H) ppm; 13C NMR:δ = 141.0 (C-1), 139.3 (C-3), 133.3 (C-4), 129.5 (C-5), 127.1 (C-6), 124.1 (C-2), 61.0 (C-12), 43.1 (C-8), 32.5 (C-11), 29.4 (C-9), 23.1 (C-10), 21.3 (C-7) ppm; MS: m/z = 280.3 (100%, [M + Na]+); anal. calcd. for C12H19NSO3 (257.35): C 56.01, H 7.44, N 5.44; found: C 55.76, H 7.69, N 5.20.

4.2.46. 5-[(3-Methylphenyl)sulfonamido]pentyl Sulfamate (22b)

Applying GPB: from 22a (300 mg, 1.17 mmol): 22b (378 mg, 96%); white solid; Rf = 0.60 (CHCl3/EtOAc, 2:3); m.p. = 67–68 °C; UV–Vis: 224 nm (3.75); IR: ν = 3371w, 3265m, 2978vw, 2933w, 2867vw, 1536vw, 1475w, 1462w, 1439w, 1423w, 1404w, 1377m, 1358s, 1316m, 1302s, 1281w, 1227w, 1179s, 1150vs, 1138m, 1097w, 1085m, 1061m, 1049m, 1037w, 997w, 976s, 960s, 931m, 911s, 878w, 856w, 823s, 785m, 749m, 713s, 699s, 685s, 598s, 581s, 566s, 551s, 538m, 525s, 489m, 466s, 449w, 448w, 404vw cm−1; 1H NMR:δ = 7.61–7.59 (m, 1H, 6-H), 7.58–7.56 (m, 1H, 2-H), 7.54–7.42 (m, 3H, 4-H, 5-H, NH), 7.37 (s, 2H), 3.96 (t, J = 6.5 Hz, 2H, 12-H), 2.72 (q, J = 6.6 Hz, 2H, 8-H), 2.39 (s, 3H, 7-H), 1.56 (p, J = 6.7 Hz, 2H, 11-H), 1.44–1.35 (m, 2H, 9-H), 1.33–1.25 (m, 2H, 10-H) ppm; 13C NMR:δ = 140.5 (C-1), 138.8 (C-3), 132.9 (C-4), 129.0 (C-5), 126.6 (C-6), 123.6 (C-2), 68.8 (C-12), 42.3 (C-8), 28.5 (C-11), 27.8 (C-9), 22.2 (C-10), 20.8 (C-7) ppm; MS: m/z = 359.1 (100%, [M + Na]+); anal. calcd. for C12H20N2S2O5 (336.42): C 42.84, H 5.99, N 8.33; found: C 42.62, H 6.13, N 8.17.

4.2.47. N-(6-Hydroxyhexyl)-3-methylbenzene Sulfonamide (23a) [1916290-41-9]

Applying GPA: from 3-methylbenzenesulfonyl chloride (500 mg, 2.62 mmol) and 6-amino-hexanol (461 mg, 3.93 mmol): 23a (649 mg, 91%); oil; Rf = 0.15 (petrolether/EtOAc, 2:3); UV–Vis: 224 nm (3.90); IR: ν = 3503w, 3279w, 2933m, 2860w, 1477w, 1428w, 1321m, 1303s, 1221w, 1148vs, 1097m, 1086m, 1072m, 1054m, 882w, 787m, 688s, 591s, 581vs, 525m, 490m, 459w, 453w, 435w cm−1; 1H NMR:δ = 7.61–7.59 (m, 1H, 6-H), 7.59–7.56 (m, 1H, 2-H), 7.50–7.41 (m, 3H, 4-H, 5-H, NH), 4.30 (t, J = 5.2 Hz, 1H, OH), 3.38–3.31 (m, 2H, 13-H), 2.75–2.67 (m, 2H, 8-H), 2.39 (s, 3H, 7-H), 1.40–1.28 (m, 4H, 9-H, 12-H), 1.24–1.13 (m, 4H, 10-H, 11-H) ppm; 13C NMR:δ = 140.6 (C-1), 138.8 (C-3), 132.8 (C-4), 129.0 (C-5), 126.7 (C-6), 123.6 (C-2), 60.6 (C-13), 42.5 (C-8), 32.4 (C-12), 29.0 (C-9), 25.9 (C-10), 25.0 (C-11), 20.8 (C-7) ppm; MS: m/z = 294.4 (100%, [M + Na]+); anal. calcd. for C13H21NSO3 (271.38): C 57.54, H 7.80, N 5.16; found: C 57.26, H 8.01, N 4.97.

4.2.48. 6-[(3-Methylphenyl)sulfonamido]hexyl Sulfamate (23b)

Applying GPB: from 23a (300 mg, 1.11 mmol): 23b (364 mg, 94%); white solid; Rf = 0.64 (CHCl3/EtOAc, 2:3); m.p. = 74–75 °C; UV–Vis: 224 nm (3.84); IR: ν = 3371w, 3261m, 2975vw, 2958vw, 2943w, 2910vw, 2897vw, 2852w, 1556w, 1479w, 1472w, 1455w, 1431w, 1398w, 1369s, 1341w, 1323s, 1308m, 1282w, 1230vw, 1221vw, 1161vs, 1112vw, 1099w, 1086w, 1062w, 1053w, 1042vw, 1007m, 988vw, 963s, 940m, 912m, 881w, 861vw, 818s, 801w, 791w, 720m, 685s, 596vs, 580s, 550m, 529m, 505w, 494m, 457vw, 436w, 404vw cm−1; 1H NMR:δ = 7.62–7.55 (m, 2H, 2-H, 6-H), 7.52–7.42 (m, 3H, 4-H, 5-H), 7.37 (s, 2H, NH2), 3.97 (t, J = 6.5 Hz, 2H, 13-H), 2.72 (q, J = 6.6 Hz, 2H, 8-H), 2.39 (s, 3H, 7-H), 1.56 (p, J = 6.7 Hz, 2H, 12-H), 1.36 (p, J = 6.9 Hz, 2H, 9-H), 1.28–1.18 (m, 4H, 10-H, 11-H) ppm; 13C NMR:δ = 140.5 (C-1), 138.8 (C-3), 132.8 (C-4), 129.0 (C-5), 126.6 (C-6), 123.6 (C-2), 68.9 (C-13), 42.4 (C-8), 28.8 (C-12), 28.2 (C-9), 25.5 (C-10), 24.6 (C-11), 20.8 (C-7) ppm; MS: m/z = 373.3 (100%, [M + Na]+); anal. calcd. for C13H22N2S2O5 (350.45): C 44.56, H 6.33, N 7.99; found: C 44.26, H 6.58, N 8.19.

4.2.49. N-(7-Hydroxyheptyl)-3-methylbenzene Sulfonamide (24a)

Applying GPA: from 3-methylbenzenesulfonyl chloride (500 mg, 2.62 mmol) and 7-amino-heptanol (516 mg, 3.93 mmol): 24a (648 mg, 87%); oil; Rf = 0.19 (petrolether/EtOAc, 2:3); UV–Vis: 224 nm (3.78); IR: ν = 3474m, 3128m, 2930m, 2889w, 2850m, 1483w, 1465m, 1447m, 1402w, 1372w, 1317m, 1309m, 1298m, 1289m, 1222m, 1143vs, 1099s, 1083s, 1072s, 1020m, 1001m, 957m, 906m, 870w, 862w, 835w, 790s, 755w, 709s, 689s, 584vs, 555m, 545m, 524m, 483s, 472m, 439m, 408w cm−1; 1H NMR:δ = 7.61–7.56 (m, 2H, 2-H, 6-H), 7.50–7.41 (m, 3H, 4-H, 5-H, NH), 4.30 (td, J = 5.2, 1.1 Hz, 1H, OH), 3.38–3.33 (m, 2H, 14-H), 2.71 (td, J = 7.0, 5.8 Hz, 2H, 8-H), 2.39 (s, 3H, 7-H), 1.40–1.28 (m, 4H, 9-H, 13-H), 1.26–1.11 (m, 6H, 10-H, 11-H, 12-H) ppm; 13C NMR (126 MHz, DMSO-d6): δ = 140.6 (C-1), 138.8 (C-3), 132.8 (C-4), 129.0 (C-5), 126.6 (C-6), 123.6 (C-2), 60.7 (C-14), 42.5 (C-8), 32.4 (C-13), 28.9 (C-9), 28.4 (C-11), 26.0 (C-12), 25.3 (C-10), 20.8 (C-7) ppm; MS: m/z = 308.1 (100%, [M + Na]+); anal. calcd. for C14H23NSO3 (285.40): C 58.92, H 8.12, N 4.91; found: C 58.78, H 8.34, N 4.65.

4.2.50. 7-[(3-Methylphenyl)sulfonamido]heptyl Sulfamate (24b)

Applying GPB: from 24a (300 mg, 1.05 mmol): 24b (279 mg, 73%) a white waxy solid; Rf = 0.77 (CHCl3/EtOAc, 2:3); m.p. = 55–57 °C; UV–Vis: 224 nm (3.80); IR: ν = 3361w, 3265m, 2961w, 2937w, 2906w, 2895w, 2856w, 1566w, 1477w, 1429m, 1396w, 1370s, 1317s, 1301m, 1226w, 1183s, 1150vs, 1114w, 1096w, 1085m, 1061m, 1049w, 1000m, 972s, 927m, 922m, 904m, 878w, 825s, 783m, 741w, 723w, 702s, 685s, 665m, 597s, 578s, 556vs, 528m, 521m, 495s, 478w, 450w, 429w, 505w, 494m, 457vw, 436w, 404vw cm−1; 1H NMR:δ = 7.62–7.56 (m, 2H, 2-H, 6-H), 7.51–7.42 (m, 3H, 4-H, 5-H, NH), 7.37 (s, 2H, NH2), 3.98 (t, J = 6.5 Hz, 2H, 14-H), 2.72 (td, J = 7.0, 5.8 Hz, 2H, 8-H), 2.39 (s, 3H, 7-H), 1.63–1.54 (m, 2H, 13-H), 1.39–1.15 (m, 8H, 9-H, 10-H, 11-H, 12-H) ppm; 13C NMR (126 MHz, DMSO-d6): δ = 140.6 (C-1), 138.8 (C-3), 132.8 (C-4), 129.0 (C-5), 126.6 (C-6), 123.6 (C-2), 68.9 (C-14), 42.5 (C-8), 28.9 (C-9), 28.2 (C-13), 28.0 (C-11), 25.9 (C-10), 24.9 (C-12), 20.8 (C-7) ppm; MS: m/z = 387.2 (100%, [M + Na]+); anal. calcd. for C14H24N2S2O5 (364.48): C 46.14, H 6.64, N 7.69; found: C 45.97, H 6.90, N 7.47.

4.2.51. N-(8-Hydroxyoctyl)-3-methylbenzene Sulfonamide (25a)

Applying GPA: from 3-methylbenzenesulfonyl chloride (500 mg, 2.62 mmol) and 8-amino-octanol (571 mg, 3.93 mmol): 25a (702 mg, 89%); oil; Rf = 0.25 (petrolether/EtOAc, 2:3); UV–Vis: 224 nm (3.90); IR: ν = 3508w, 3282w, 2928m, 2856m, 1477w, 1458w, 1429w, 1322s, 1303s, 1221w, 1149vs, 1097m, 1086m, 999w, 883w, 786m, 689s, 592s, 581vs, 525m, 492m, 436w cm−1; 1H NMR:δ = 7.61–7.59 (m, 1H, 6-H), 7.59–7.56 (m, 1H, 2-H), 7.50–7.41 (m, 3H, 4-H, 5-H, NH), 4.30 (t, J = 5.1 Hz, 1H, OH), 3.39–3.32 (m, 2H, 15-H), 2.71 (td, J = 7.0, 5.8 Hz, 2H, 8-H), 2.38 (s, 3H, 7-H), 1.42–1.28 (m, 4H, 9-H, 14-H), 1.26–1.11 (m, 8H, 10-H, 11-H, 12-H, 13-H) ppm; 13C NMR:δ = 140.6 (C-1), 138.8 (C-3), 132.8 (C-4), 129.0 (C-5), 126.7 (C-6), 123.6 (C-2), 60.7 (C-15), 42.5 (C-8), 32.5 (C-14), 28.9 (C-9), 28.8 (C-11), 28.6 (C-12), 26.0 (C-10), 25.4 (C-13), 20.8 (C-7) ppm; MS: m/z = 322.1 (100%, [M + Na]+); anal. calcd. for C15H25NSO3 (299.43): C 60.17, H 8.42, N 4.68; found: C 59.87, H 8.70, N 4.45.

4.2.52. 8-[(3-Methylphenyl)sulfonamido]octyl Sulfamate (25b)

Applying GPB: from 25a (300 mg, 1.00 mmol): 25b (284 mg, 75%); white solid; Rf = 0.83 (CHCl3/EtOAc, 2:3); m.p. = 54–56 °C; UV–Vis: 224 nm (3.84); IR: ν = 3369w, 3254m, 2970w, 2938m, 2920m, 2859m, 2853w, 1562w, 1473m, 1458w, 1440m, 1431w, 1397w, 1324s, 1303s, 1217w, 1164s, 1150vs, 1116w, 1099m, 1087m, 1057m, 1053m, 1039w, 994m, 960vs, 920m, 896s, 864w, 849vw, 832m, 800w, 787m, 731w, 701s, 688vs, 602m, 578s, 569s, 524m, 517m, 493s, 478m, 446w, 431w, 415w, 457vw, 436w, 404vw cm−1; 1H NMR:δ = 7.61–7.58 (m, 2H, 6-H), 7.58–7.56 (m, 1H, 2-H), 7.50–7.42 (m, 3H, 4-H, 5-H, NH), 7.37 (s, 2H, NH2), 3.99 (t, J = 6.5 Hz, 2H, 15-H), 2.71 (td, J = 7.0, 5.8 Hz, 2H, 8-H), 2.39 (s, 3H, 7-H), 1.65–1.55 (m, 2H, 14-H), 1.40–1.24 (m, 2H, 9-H, 13-H), 1.23–1.14 (m, 6H, 10-H, 11-H, 12-H) ppm; 13C NMR (126 MHz, DMSO-d6): δ = 140.6 (C-1), 138.8 (C-3), 132.8 (C-4), 129.0 (C-5), 126.6 (C-6), 123.6 (C-2), 69.0 (C-15), 42.5 (C-8), 28.9 (C-14), 28.4 (C-9), 28.3 (C-11), 28.3 (C-12), 25.9 (C-10), 24.9 (C-13), 20.8 (C-7) ppm; MS (ESI, MeOH) m/z = 401.3 (100%, [M + Na]+); anal. calcd. for C15H26N2S2O5 (378.50): C 47.60, H 6.92, N 7.40; found: C 47.36, H 7.17, N 7.15.

4.2.53. N-(2-Hydroxyethyl)-2-methylbenzene Sulfonamide (26a) [19829-14-2]

Applying GPA: from 2-methylbenzenesulfonyl chloride (500 mg, 2.62 mmol) and 2-amino-ethanol (3.93 mg, 3.93 mmol): 26a (420 mg, 74%) [115,116,117]; white solid; Rf = 0.11 (petrolether/EtOAc, 2:3); m.p. = 73–74 °C (lit.: [76,116] 73–75 °C (4)); UV–Vis: 222 nm (3.87); IR: ν = 3452m, 3189m, 3067w, 2959w, 2939w, 2867w, 2687vw, 1592vw, 1459m, 1421m, 1399w, 1381w, 1349w, 1301s, 1285m, 1261m, 1207w, 1154vs, 1133s, 1094s, 1070m, 1059s, 1037m, 995w, 963s, 899w, 880vw, 839m, 803w, 760s, 710m, 687s, 590s, 580vs, 542s, 511m, 491m, 468s, 443w, 415m cm−1; 1H NMR (500 MHz, DMSO-d6): δ = 7.81 (dd, J = 7.9, 1.4 Hz, 1H, 3-H), 7.63–7.58 (m, 1H, 6-H), 7.51 (td, J = 7.5, 1.4 Hz, 1H, 4-H), 7.41–7.35 (m, 2H, 5-H, NH), 4.65 (t, J = 5.5 Hz, 1H, OH), 3.36–3.32 (m, 2H, 9-H), 2.81 (t, J = 6.5 Hz, 2H, 8-H), 2.57 (s, 3H, 7-H) ppm; 13C NMR (126 MHz, DMSO-d6): δ = 138.8 (C-1), 136.5 (C-2), 132.4 (C-4), 132.3 (C-3), 128.3 (C-6), 126.1 (C-5), 59.9 (C-9), 44.7 (C-8), 19.7 (C-7) ppm; MS: m/z = 238.2 (100%, [M + Na]+); anal. calcd. for C9H13NSO3 (215.27): C 50.22, H 6.09, N 6.51; found: C 49.98, H 6.37, N 6.39.

4.2.54. 2-[(2-Methylphenyl)sulfonamido]ethyl Sulfamate (26b)

Applying GPB: from 26a (150 mg, 0.70 mmol): 26b (185 mg, 90%); white solid; Rf = 0.52 (CHCl3/EtOAc, 2:3); m.p. = 70–72 °C; UV–Vis: 270 nm (3.08); IR: ν = 3394w, 3359w, 3311m, 3288m, 3256m, 1566vw, 1539w, 1479vw, 1455w, 1434w, 1417w, 1398w, 1370s, 1358vs, 1320m, 1309vs, 1290m, 1237w, 1190m, 1174s, 1155vs, 1127m, 1112m, 1091w, 1076m, 1026m, 962s, 933s, 909s, 872w, 845w, 803m, 759vs, 753vs, 708m, 691m, 590s, 567m, 548vs, 538s, 526s, 514m, 481m, 467m, 454m, 424m, 410w cm−1; 1H NMR:δ = 7.97 (t, J = 6.0 Hz, 1H, NH), 7.82 (dd, J = 7.8, 1.4 Hz, 1H, 3-H), 7.56–7.46 (m, 3H, 4-H, NH2), 7.44–7.35 (m, 2H, 5-H, 6-H), 3.97 (t, J = 5.8 Hz, 2H, 9-H), 3.08 (q, J = 5.7 Hz, 2H, 8-H), 2.58 (s, 3H, 7-H) ppm; 13C NMR (126 MHz, DMSO-d6): δ = 138.4 (C-1), 136.6 (C-2), 132.6 (C-4), 132.5 (C-3), 128.3 (C-6), 126.2 (C-5), 67.5 (C-9), 41.2 (C-8), 19.8 (C-7) ppm; MS: m/z = 317.2 (100%, [M + Na]+); anal. calcd. for C9H14N2S2O5 (294.34): C 36.73, H 4.79, N 9.52; found: C 36.54, H 4.44, N 9.38.

4.2.55. N-(3-Hydroxypropyl)-2-methylbenzene Sulfonamide (27a) [1082811-80-0]

Applying GPA: from 2-methylbenzenesulfonyl chloride (500 mg, 2.62 mmol) and 3-amino-propanol (240 mg, 3.93 mmol): 27a (420 mg, 74%); oil; Rf = 0.15 (petrolether/EtOAc, 2:3); UV–Vis: 222 nm (3.84); IR: ν = 3498w, 3294w, 2939w, 2882w, 1472w, 1457w, 1311s, 1290m, 1153vs, 1131m, 1065s, 1006w, 957w, 872w, 806w, 759m, 710m, 689m, 591vs, 575s, 541m, 481m, 444w, 425w, 420w cm−1; 1H NMR:δ = 7.79 (dd, J = 7.8, 1.4 Hz, 1H, 3-H), 7.61–7.51 (m, 1H, 6-H), 7.48 (td, J = 7.5, 1.4 Hz, 1H, 4-H), 7.40–7.32 (m, 2H, 5-H, NH), 4.38 (s, 1H, OH), 3.36–3.30 (m, 2H, 10-H), 2.80 (t, J = 7.2 Hz, 2H, 8-H), 2.56 (s, 3H, 7-H), 1.55–1.44 (m, 2H, 9-H) ppm; 13C NMR:δ = 138.7 (C-1), 136.5 (C-2), 132.5 (C-4), 132.3 (C-3), 128.4 (C-6), 126.2 (C-5), 58.1 (C-10), 39.8 (C-8), 32.4 (C-9), 19.8 (C-7) ppm; MS: m/z = 252.2 (100%, [M + Na]+); anal. calcd. for C10H15NSO3 (229.29): C 52.38, H 6.59, N 6.11; found: C 52.04, H 6.80, N 5.96.

4.2.56. 3-[(2-Methylphenyl)sulfonamido]propyl Sulfamate (27b)

Applying GPB: from 27a (300 mg, 1.31 mmol): 27b (328 mg, 81%); white solid; Rf = 0.54 (CHCl3/EtOAc, 2:3); m.p. = 68–70 °C; UV–Vis: 224 nm (3.90); IR: ν = 3314m, 3238m, 3115w, 2942vw, 1570w, 1470w, 1439w, 1418w, 1396w, 1361s, 1315s, 1281w, 1216vw, 1199vw, 1171m, 1155vs, 1134m, 1111m, 1095m, 1066m, 1056w, 1005w, 940s, 886m, 843s, 805w, 763s, 711m, 691s, 643w, 589vs, 574s, 549vs, 543vs, 508m, 486m, 457m, 436w, 415w cm−1; 1H NMR:δ = 7.85–7.77 (m, 1H, 3-H), 7.71 (t, J = 5.8 Hz, 1H, 6-H), 7.56–7.47 (m, 1H, 4-H), 7.44–7.34 (m, 4H, 5-H, NH, NH2), 4.01 (t, J = 6.3 Hz, 2H, 10-H), 2.84 (td, J = 7.2, 5.8 Hz, 2H, 8-H), 2.57 (s, 3H, 7-H), 1.76 (p, J = 6.6 Hz, 2H, 9-H) ppm; 13C NMR (126 MHz, DMSO-d6): δ = 138.5 (C-1), 136.5 (C-2), 132.5 (C-4), 132.4 (C-3), 128.3 (C-6), 126.2 (C-5), 66.5 (C-10), 39.0 (C-8), 28.9 (C-9), 19.8 (C-7) ppm; MS: m/z = 331.3 (100%, [M + Na]+); anal. calcd. for C10H16N2S2O3 (308.37): C 38.95, H 5.23, N 9.08; found: C 38.78, H 5.51, N 8.76.

4.2.57. N-(4-Hydroxybutyl)-2-methylbenzene Sulfonamide (28a) [1082772-69-7]

Applying GPA: from 2-methylbenzenesulfonyl chloride (500 mg, 2.62 mmol) and 4-amino-butanol (351 mg, 3.93 mmol): 28a (546 mg, 86%); oil; Rf = 0.15 (petrolether/EtOAc, 2:3); UV–Vis: 224 nm (3.85); IR: ν = 3502w, 3296w, 2939w, 2872w, 1472w, 1456w, 1311s, 1153vs, 1131m, 1065s, 1034m, 952vw, 867w, 808w, 760m, 711m, 688m, 591vs, 541m, 488m, 451w, 444w cm−1; 1H NMR:δ = 7.80 (dd, J = 7.8, 1.4 Hz, 1H, 3-H), 7.65–7.55 (m, 1H, 6-H), 7.50 (td, J = 7.5, 1.4 Hz, 1H, 4-H), 7.41–7.33 (m, 2H, 5-H, NH), 4.35 (s, 1H, OH), 3.30 (t, J = 6.0 Hz, 2H, 8-H), 2.76 (t, J = 6.7 Hz, 2H, 11-H), 2.57 (s, 3H, 7-H), 1.43–1.29 (m, 4H, 9-H, 10-H) ppm; 13C NMR:δ = 138.8 (C-1), 136.4 (C-2), 132.4 (C-4), 132.3 (C-3), 128.3 (C-6), 126.1 (C-5), 60.2 (C-11), 42.3 (C-8), 29.5 (C-10), 25.9 (C-9), 19.8 (C-7) ppm; MS: m/z = 266.3 (100%, [M + Na]+); anal. calcd. for C11H17NSO3 (243.32): C 54.30, H 7.04, N 5.76; found: C 53.99, H 7.34, N 5.31.

4.2.58. 4-[(2-Methylphenyl)sulfonamido]butyl Sulfamate (28b)

Applying GPB: from 28a (300 mg, 1.23 mmol): 28b (312 mg, 79%); oil; Rf = 0.55 (CHCl3/EtOAc, 2:3); UV–Vis: 224 nm (3.72); IR: ν = 3317m, 3240m, 3112w, 2940vw, 1574w, 1471w, 1438w, 1417w, 1393w, 1360s, 1317s, 1280w, 1214vw, 1198vw, 1170m, 1154vs, 1130m, 1110m, 1096m, 1068m, 1050w, 1001w, 945s, 884m, 845s, 801w, 760s, 711m, 690s, 646w, 590vs, 572s, 548vs, 543vs, 508m, 484m, 456m, 433w, 415w cm−1; 1H NMR:δ = 7.82–7.78 (m, 1H, 3-H), 7.66 (t, J = 5.9 Hz, 1H, 6-H), 7.51 (td, J = 7.5, 1.4 Hz, 1H, 4-H), 7.42–7.35 (m, 4H, 5-H, NH, NH2), 3.95 (t, J = 6.4 Hz, 2H, 11-H), 2.79 (q, J = 6.7 Hz, 2H, 8-H), 2.57 (s, 3H, 7-H), 1.64–1.55 (m, 2H, 10-H), 1.50–1.39 (m, 2H, 9-H) ppm; 13C NMR:δ = 139.2 (C-1), 136.9 (C-2), 132.9 (C-4), 132.8 (C-3), 128.7 (C-6), 126.6 (C-5), 69.0 (C-11), 42.2 (C-8), 26.0 (C-10), 26.0 (C-9), 20.2 (C-7) ppm; MS: m/z = 345.3 (100%, [M + Na]+); anal. calcd. for C11H18N2S2O5 (322.39): C 40.98, H 5.63, N 8.69; found: C 40.77, H 5.90, N 8.41.

4.2.59. N-(5-Hydroxypentyl)-2-methylbenzene Sulfonamide (29a) [1965509-68-5]

Applying GPA: from 2-methylbenzenesulfonyl chloride (500 mg, 2.62 mmol) and 5-amino-pentanol (406 mg, 3.93 mmol): 29a (396 mg, 59%); oil; Rf = 0.17 (petrolether/EtOAc, 2:3); UV–Vis: 222 nm (3.87); IR: ν = 3501w, 3295w, 2937w, 2864w, 1472w, 1457w, 1313s, 1154vs, 1131m, 1066m, 1046m, 1039m, 877w, 806w, 760m, 733w, 711m, 688m, 592vs, 541m, 488m, 423w, 418w cm−1; 1H NMR:δ = 7.80 (dd, J = 7.8, 1.4 Hz, 1H, 3-H), 7.62–7.56 (m, 1H, 6-H), 7.50 (td, J = 7.5, 1.4 Hz, 1H, 4-H), 7.41–7.33 (m, 2H, 5-H, NH), 4.30 (t, J = 5.1 Hz, 1H, OH), 3.30 (td, J = 6.4, 5.1 Hz, 2H, 12-H), 2.74 (td, J = 7.0, 5.5 Hz, 2H, 8-H), 2.57 (s, 3H, 7-H), 1.39–1.25 (m, 4H, 9-H, 11-H), 1.25–1.15 (m, 2H, 10-H) ppm; 13C NMR (126 MHz, DMSO-d6): δ = 138.9 (C-1), 136.4 (C-2), 132.4 (C-4), 132.2 (C-3), 128.3 (C-6), 126.1 (C-5), 60.5 (C-12), 42.3 (C-8), 31.9 (C-11), 29.0 (C-9), 22.5 (C-10), 19.8 (C-7) ppm; MS: m/z = 280.2 (100%, [M + Na]+); anal. calcd. for C12H19NSO3 (257.35): C 56.01, H 7.44, N 5.44; found: C 55.76, H 7.69, N 5.16.

4.2.60. 5-[(2-Methylphenyl)sulfonamido]pentyl Sulfamate (29b)

Applying GPB: from 29a (300 mg, 1.17 mmol): 29b (282 mg, 72%); oil; Rf = 0.64 (CHCl3/EtOAc, 2:3); UV–Vis: 224 nm (4.02); IR: ν = 3277w, 2941w, 2868vw, 1567w, 1472w, 1458w, 1360m, 1312s, 1177s, 1154vs, 1130m, 1082m, 1066m, 1048w, 1034w, 919s, 813m, 761m, 729w, 710m, 689m, 592s, 551s, 542s, 494m, 480m cm−1; 1H NMR:δ = 7.83–7.78 (m, 1H, 3-H), 7.62 (t, J = 5.9 Hz, 1H, 6-H), 7.51 (td, J = 7.5, 1.4 Hz, 1H, 4-H), 7.42–7.34 (m, 4H, NH, 5-H, NH2), 3.94 (t, J = 6.5 Hz, 2H, 12-H), 2.76 (q, J = 6.8 Hz, 2H, 8-H), 2.57 (s, 3H, 7-H), 1.57–1.48 (m, 2H, 11-H), 1.42–1.33 (m, 2H, 9-H), 1.33–1.22 (m, 2H, 10-H) ppm; 13C NMR:δ = 138.8 (C-1), 136.4 (C-2), 132.5 (C-4), 132.3 (C-3), 128.3 (C-6), 126.2 (C-5), 68.8 (C-12), 42.0 (C-8), 28.6 (C-11), 27.8 (C-9), 22.2 (C-10), 19.8 (C-7) ppm; MS: m/z = 359.4 (100%, [M + Na]+); anal. calcd. for C12H20N2S2O5 (336.42): C 42.84, H 5.99, N 8.33; found: C 42.56, H 6.23, N 8.04.

4.2.61. N-(6-Hydroxyhexyl)-2-methylbenzene Sulfonamide (30a) [1914655-85-8]

Applying GPA: from 2-methylbenzenesulfonyl chloride (500 mg, 2.62 mmol) and 6-amino-hexanol (461 mg, 3.93 mmol): 30a (666 mg, 94%); oil; Rf = 0.19 (petrolether/EtOAc, 2:3); UV–Vis: 223 nm (3.97); IR: ν = 3503w, 3296w, 2934m, 2860w, 1471w, 1458w, 1314s, 1154vs, 1131m, 1066m, 807w, 759m, 728w, 711m, 688m, 592vs, 541m, 490m cm−1; 1H NMR:δ = 7.80 (dd, J = 7.8, 1.4 Hz, 1H, 3-H), 7.59 (t, J = 5.7 Hz, 1H, 6-H), 7.50 (td, J = 7.5, 1.4 Hz, 1H, 4-H), 7.41–7.33 (m, 2H, 5-H, NH), 4.29 (t, J = 5.1 Hz, 1H, OH), 3.36–3.29 (m, 2H, 13-H), 2.75 (td, J = 7.1, 5.8 Hz, 2H, 8-H), 2.57 (s, 3H, 7-H), 1.38–1.26 (m, 4H, 9-H, 12-H), 1.21–1.10 (m, 4H, 10-H, 11-H) ppm; 13C NMR:δ = 138.9 (C-1), 136.4 (C-2), 132.4 (C-4), 132.2 (C-3), 128.3 (C-6), 126.1 (C-5), 60.6 (C-13), 42.2 (C-8), 32.3 (C-12), 29.1 (C-9), 25.9 (C-10), 25.0 (C-11), 19.8 (C-7) ppm; MS: m/z = 294.2 (100%, [M + Na]+); anal. calcd. for C13H21NSO3 (271.38): C 57.54, H 7.80, N 5.16; found: C 76.26, H 8.03, N 4.76.

4.2.62. 6-[(2-Methylphenyl)sulfonamido]hexyl Sulfamate (30b)

Applying GPB: from 30a (300 mg, 1.11 mmol): 30b (333 mg, 86%); oil; Rf = 0.71 (CHCl3/EtOAc, 2:3); UV–Vis: 223 nm (3.05); IR: ν = 3277w, 3113vw, 2938w, 2863w, 1564w, 1471w, 1459w, 1360s, 1312s, 1177s, 1154vs, 1131m, 1082m, 1066m, 1048w, 922s, 807m, 761m, 726w, 710m, 689m, 592s, 551s, 543s, 492m cm−1; 1H NMR:δ = 7.80 (dd, J = 7.8, 1.4 Hz, 1H, 3-H), 7.60 (t, J = 5.8 Hz, 1H, 6-H), 7.50 (td, J = 7.4, 1.4 Hz, 1H, 4-H), 7.41–7.34 (m, 4H, 5-H, NH, NH2), 3.96 (t, J = 6.5 Hz, 2H, 13-H), 2.76 (q, J = 6.6 Hz, 2H, 8-H), 2.57 (s, 3H, 7-H), 1.59–1.47 (m, 2H, 12-H), 1.40–1.28 (m, 2H, 9-H), 1.26–1.15 (m, 4H, 10-H, 11-H) ppm; 13C NMR:δ = 139.3 (C-1), 136.9 (C-2), 132.9 (C-4), 132.7 (C-3), 128.8 (C-6), 126.6 (C-5), 69.3 (C-13), 42.6 (C-8), 29.4 (C-12), 28.6 (C-9), 25.9 (C-10), 25.0 (C-11), 20.2 (C-7) ppm; MS: m/z = 373.4 (100%, [M + Na]+); anal. calcd. for C13H22N2S2O5 (350.45): C 44.56, H 6.33, N 7.99; found: C 44.31, H 6.68, N 7.69.

4.2.63. N-(7-Hydroxyheptyl)-2-methylbenzene Sulfonamide (31a)

Applying GPA: from 2-methylbenzenesulfonyl chloride (500 mg, 2.62 mmol) and 7-amino-heptanol (516 mg, 3.93 mmol): 31a (394 mg, 53%); oil; Rf = 0.20 (petrolether/EtOAc, 2:3); UV–Vis: 223 nm (3.90); IR: ν = 3504w, 3295w, 3064vw, 2931m, 2858w, 1458w, 1314s, 1154vs, 1131m, 1066m, 871w, 806w, 760m, 725w, 711m, 688m, 592vs, 541m, 491m, 419vw cm−1; 1H NMR:δ = 7.80 (dd, J = 7.8, 1.4 Hz, 1H, 3-H), 7.62–7.56 (m, 1H, 6-H), 7.50 (td, J = 7.5, 1.4 Hz, 1H, 4-H), 7.40–7.33 (m, 2H, 5, NH), 4.30 (t, J = 5.1 Hz, 1H, OH), 3.37–3.31 (m, 2H, 14-H), 2.78–2.70 (m, 2H, 8-H), 2.57 (s, 3H, 7-H), 1.40–1.26 (m, 4H, 9-H, 13-H), 1.23–1.07 (m, 6H, 10-H, 11-H, 12-H) ppm; 13C NMR (126 MHz, DMSO-d6): δ = 138.9 (C-1), 136.4 (C-2), 132.4 (C-4), 132.2 (C-3), 128.3 (C-6), 126.1 (C-5), 60.7 (C-14), 42.2 (C-8), 32.4 (C-13), 29.0 (C-9), 28.4 (C-11), 26.0 (C-10), 25.3 (C-12), 19.8 (C-7) ppm; MS: m/z = 308.3 (100%, [M + Na]+); anal. calcd. for C14H23NSO3 (285.40): C 58.92, H 8.12, N 4.91; found: C 58.76, H 8.34, N 4.78.

4.2.64. 7-[(2-Methylphenyl)sulfonamido]heptyl Sulfamate (31b)

Applying GPB: from 31a (300 mg, 1.05 mmol): 31b (294 mg, 77%); oil; Rf = 0.74 (SiO2 CHCl3/EtOAc, 2:3); UV–Vis: 269 nm (3.16); IR: ν = 3504w, 3295w, 3064vw, 2931m, 2858w, 1458w, 1314s, 1154vs, 1131m, 1066m, 871w, 806w, 760m, 725w, 711m, 688m, 592vs, 541m, 491m, 419vw cm−1; 1H NMR (500 MHz, DMSO-d6): δ = 7.80 (dd, J = 7.8, 1.4 Hz, 1H, 3-H), 7.60 (t, J = 5.8 Hz, 1H, 6-H), 7.50 (td, J = 7.5, 1.4 Hz, 1H, 4-H), 7.41–7.34 (m, 4H, 5-H, NH, NH2), 3.98 (t, J = 6.5 Hz, 2H, 14-H), 2.75 (td, J = 7.0, 5.8 Hz, 2H, 8-H), 2.57 (s, 3H, 7-H), 1.60–1.53 (m, 2H, 13-H), 1.37–1.28 (m, 2H, 9-H), 1.27–1.20 (m, 2H, 12-H), 1.19–1.13 (m, 4H, 10-H, 11-H) ppm; 13C NMR:δ = 138.9 (C-1), 136.4 (C-2), 132.4 (C-4), 132.3 (C-3), 128.3 (C-6), 126.1 (C-5), 68.9 (C-14), 42.2 (C-8), 28.9 (C-13), 28.2 (C-9), 27.9 (C-11), 25.8 (C-12), 24.9 (C-10), 19.8 (C-7) ppm; MS: m/z = 387.4 (100%, [M + Na]+); anal. calcd. for C14H24N2S2O5 (364.48): C 46.14, H 6.64, N 7.69; found: C 45.96, H 6.90, N 7.36.

4.2.65. N-(8-Hydroxyoctyl)-2-methylbenzene Sulfonamide (32a)

Applying GPA: from 2-methylbenzenesulfonyl chloride (500 mg, 2.62 mmol) and 8-amino-octanol (571 mg, 3.93 mmol): 32a (766 mg, 98%); oil; Rf = 0.24 (petrolether/EtOAc, 2:3); UV–Vis: 223 nm (3.91); IR: ν = 3504w, 3295w, 2929m, 2856m, 1458m, 1315s, 1154vs, 1131m, 1066m, 876vw, 807w, 759m, 723w, 711m, 688m, 592vs, 541m, 489m cm−1; 1H NMR:δ = 7.80 (dd, J = 7.8, 1.4 Hz, 1H, 3-H), 7.62–7.55 (m, 1H, 6-H), 7.50 (td, J = 7.5, 1.4 Hz, 1H, 4-H), 7.41–7.34 (m, 2H, 5-H, NH), 4.29 (t, J = 5.1 Hz, 1H, OH), 3.35 (td, J = 6.6, 5.0 Hz, 2H, 15-H), 2.74 (t, J = 7.0 Hz, 2H, 8-H), 2.57 (s, 3H, 7-H), 1.41–1.26 (m, 4H, 9-H, 14-H), 1.25–1.07 (m, 8H, 10-H, 11-H, 12-H, 13-H) ppm; 13C NMR:δ = 139.4 (C-1), 136.9 (C-2), 132.9 (C-4), 132.7 (C-3), 128.8 (C-6), 126.6 (C-5), 61.2 (C-15), 42.7 (C-8), 32.9 (C-14), 29.4 (C-9), 29.2 (C-11), 29.0 (C-12), 26.3 (C-10), 25.8 (C-13), 20.2 (C-7) ppm; MS: m/z = 322.1 (100%, [M + Na]+); anal. calcd. for C15H25NSO3 (299.43): C 60.17, H 8.42, N 4.68; found: C 59.84, H 8.66, N 4.32.

4.2.66. 8-[(2-Methylphenyl)sulfonamido]octyl Sulfamate (32b)

Applying GPB: from 32a (300 mg, 1.00 mmol): 32b (283 mg, 75%); oil; Rf = 0.76 (CHCl3/EtOAc, 2:3); UV–Vis: 270 nm (3.16); IR: ν = 3280w, 3114vw, 2931w, 2857w, 1563w, 1460w, 1361m, 1314m, 1178s, 1154vs, 1131m, 1066m, 1048w, 924s, 807w, 761m, 723w, 711m, 689m, 593s, 551s, 542s, 491m cm−1; 1H NMR (500 MHz, DMSO-d6): δ = 7.80 (dd, J = 7.8, 1.4 Hz, 1H, 3-H), 7.59 (t, J = 5.7 Hz, 1H, 6-H), 7.50 (td, J = 7.5, 1.4 Hz, 1H, 4-H), 7.40–7.34 (m, 4H, 5-H, NH, NH2), 3.99 (t, J = 6.5 Hz, 2H, 15-H), 2.75 (td, J = 7.0, 5.8 Hz, 2H, 8-H), 2.57 (s, 3H, 7-H), 1.62–1.54 (m, 2H, 14-H), 1.36–1.22 (m, 4H, 9-H, 13-H), 1.21–1.09 (m, 6H, 10-H, 11-H, 12-H) ppm; 13C NMR:δ = 138.9 (C-1), 136.4 (C-2), 132.4 (C-4), 132.3 (C-3), 128.3 (C-6), 126.1 (C-5), 69.0 (C-15), 42.2 (C-8), 29.0 (C-14), 28.3 (C-9), 28.3 (C-11), 28.3 (C-12), 25.8 (C-13), 24.9 (C-10), 19.8 (C-7) ppm; MS: m/z = 401.3 (100%, [M + Na]+); anal. calcd. for C15H26N2S2O5 (378.50): C 47.60, H 6.92, N 7.40; found: C 47.42, H 7.18, N 7.20.

4.2.67. N-(2-Hydroxyethyl)-4-isopropylbenzene Sulfonamide (33a) [117867-88-6]

Applying GPA: from 4-isopropylbenzenesulfonyl chloride (500 mg, 2.29 mmol) and 2-amino-ethanol (209 mg, 3.43 mmol): 33a (441 mg, 79%) [115,116,117] oil; Rf = 0.16 (petrolether/EtOAc, 2:3); UV–Vis: 228 nm (4.08); IR: ν = 3516m, 3168w, 2955m, 2891w, 2870w, 1599w, 1494w, 1464w, 1453w, 1433w, 1411m, 1354vw, 1323s, 1282w, 1261w, 1211w, 1187w, 1158vs, 1107w, 1090m, 1070m, 1051s, 1018w, 956s, 905w, 851w, 845w, 824m, 777s, 738m, 724m, 646m, 632w, 580s, 562s, 532w, 496w, 484w, 462m, 451w cm−1; 1H NMR:δ = 7.73–7.69 (m, 2H, 2-H, 2′-H), 7.53–7.43 (m, 3H, 3H-, 3′-H, NH), 4.66 (s, 1H, OH), 3.37 (t, J = 6.4 Hz, 2H, 8-H), 2.97 (hept, J = 6.9 Hz, 1H, 5-H), 2.77 (t, J = 6.4 Hz, 2H, 7-H), 1.22 (d, J = 6.9 Hz, 6H, 6-H, 6′-H) ppm; 13C NMR:δ = 153.0 (C-4), 138.0 (C-1), 127.0 (C-2), 126.6 (C-3), 59.9 (C-8), 45.1 (C-7), 33.3 (C-5), 23.5 (C-6) ppm; MS: m/z = 266.2 (100%, [M + Na]+); anal. calcd. for C11H17NSO3 (243.32): C 54.30, H 7.04, N 5.76; found: C 54.03, H 7.28, N 5.44.

4.2.68. 2-[(4-Isopropylphenyl)sulfonamido]ethyl Sulfamate (33b)

Applying GPB: from 33a (300 mg, 1.23 mmol): 33b (241 mg, 61%); white solid; Rf = 0.59 (CHCl3/EtOAc, 2:3); m.p. = 81–82 °C; UV–Vis: 228 nm (4.03); IR: ν = 3276m, 2963w, 1598w, 1559w, 1411w, 1364s, 1319s, 1284w, 1179s, 1157vs, 1091m, 1054w, 1015m, 924s, 832m, 775m, 753m, 649s, 632w, 549s, 488w, 436w cm−1; 1H NMR:δ = 7.83 (t, J = 6.0 Hz, 1H, NH), 7.76–7.70 (m, 2H, 2-H, 2′-H), 7.53–7.44 (m, 4H, 3-H, 3′-H, NH2), 4.01 (t, J = 5.7 Hz, 2H, 8-H), 3.03 (q, J = 5.4 Hz, 2H, 7-H), 3.00–2.92 (m, 1H, 5-H), 1.22 (d, J = 6.9 Hz, 6H, 6-H, 6′-H) ppm; 13C NMR:δ = 153.3 (C-4), 137.7 (C-1), 127.2 (C-2), 126.6 (C-3), 67.6 (C-8), 41.6 (C-7), 33.4 (C-5), 23.5 (C-6) ppm; MS: m/z = 345.2 (100%, [M + Na]+); anal. calcd. for C11H18N2S2O5 (322.39): C 40.98, H 5.63, N 8.69; found: C 40.71, H 5.98, N 8.43.

4.2.69. N-(3-Hydroxypropyl)-4-isopropylbenzene Sulfonamide (34a) [920113-99-1]

Applying GPA: from 4-isopropylbenzenesulfonyl chloride (500 mg, 2.29 mmol) and 3-amino-propanol (258 mg, 3.43 mmol): 34a (558 mg, 95%); oil; Rf = 0.16 (petrolether/EtOAc, 2:3); UV–Vis: 228 nm (4.22); IR: ν = 3501w, 3278w, 2962w, 2874w, 1598w, 1464w, 1410m, 1386w, 1364w, 1317s, 1283m, 1156vs, 1091s, 1053s, 1016w, 1008w, 959w, 833m, 774m, 648s, 632m, 579s, 565s, 486w cm−1; 1H NMR:δ = 7.73–7.68 (m, 2H, 2-H, 2′-H), 7.48–7.40 (m, 3H, 3-H, 3′-H, NH), 4.40 (t, J = 5.1 Hz, 1H, OH), 3.37 (td, J = 6.2, 5.0 Hz, 2H, 9-H), 2.97 (hept, J = 7.0 Hz, 1H, 5-H), 2.77 (td, J = 7.3, 5.8 Hz, 2H, 7-H), 1.57–1.49 (m, 2H, 8-H), 1.22 (d, J = 6.9 Hz, 6H, 6-H, 6′-H) ppm; 13C NMR:δ = 153.0 (C-4), 137.9 (C-1), 127.0 (C-2), 126.6 (C-3), 58.1 (C-9), 40.0 (C-7), 33.3 (C-5), 32.4 (C-8), 23.5 (C-6) ppm; MS: m/z = 280.1 (100%, [M + Na]+); anal. calcd. for C12H19NSO3 (257.35): C 56.01, H 7.44, N 5.44; found: C 55.76, H 7.62, N 5.18.

4.2.70. 3-[(4-Isopropylphenyl)sulfonamido]propyl Sulfamate (34b)

Applying GPB: from 34a (200 mg, 0.78 mmol): 34b (226 mg, 86%); white solid; Rf = 0.60 (CHCl3/EtOAc, 2:3); m.p. = 83–84 °C; UV–Vis: 228 nm (4.11); IR: ν = 3359m, 3285m, 3262m, 2963w, 1599w, 1565w, 1474w, 1468w, 1435m, 1402m, 1372vs, 1337w, 1311s, 1283m, 1255w, 1176s, 1157vs, 1111w, 1091m, 1068m, 1054m, 1039m, 1017w, 943s, 920s, 887m, 835s, 827s, 774m, 756m, 733w, 676s, 635m, 596m, 579s, 561s, 546vs, 520s, 486m, 426m cm−1; 1H NMR:δ = 7.73–7.68 (m, 2H, 2-H, 2′-H), 7.60 (t, J = 5.9 Hz, 1H, NH), 7.49–7.44 (m, 2H, 3-H, 3′-H), 7.41 (s, 2H, NH2), 4.03 (t, J = 6.3 Hz, 2H, 9-H), 2.98 (hept, J = 7.0 Hz, 1H, 5-H), 2.81 (td, J = 7.1, 5.8 Hz, 2H, 7-H), 1.77 (p, J = 6.7 Hz, 2H, 8-H), 1.22 (d, J = 6.9 Hz, 6H, 6-H, 6′-H) ppm; 13C NMR:δ = 153.2 (C-4), 137.7 (C-1), 127.3 (C-2), 126.6 (C-3), 66.5 (C-9), 39.2 (C-7), 33.3 (C-5), 28.8 (C-8), 23.5 (C-6) ppm; MS: m/z = 359.3 (100%, [M + Na]+); anal. calcd. for C12H20N2S2O5 (336.42): C 42.84, H 5.99, N 8.33; found: C 42.67, H 6.20, N 8.02.

4.2.71. N-(4-Hydroxybutyl)-4-isopropylbenzene Sulfonamide (35a) [1082772-50-6]

Applying GPA: from 4-isopropylbenzenesulfonyl chloride (500 mg, 2.29 mmol) and 4-amino-butanol (306 mg, 3.43 mmol): 35a (540 mg, 87%); oil; Rf = 0.14 (petrolether/EtOAc, 2:3); UV–Vis: 228 nm (4.32); IR: ν = 3501w, 3281w, 2961m, 2871w, 1598w, 1463w, 1410m, 1386w, 1364w, 1318s, 1283w, 1156vs, 1091s, 1053s, 1017w, 991vw, 833m, 773w, 735w, 648s, 632m, 581s, 565s, 488w, 471w cm−1; 1H NMR:δ = 7.72–7.68 (m, 2H, 2-H, 2′-H), 7.48–7.43 (m, 3H, 3-H, 3′-H, NH), 4.39–4.31 (m, 1H, OH), 3.37–3.27 (m, 2H, 10-H), 2.97 (hept, J = 6.9 Hz, 1H, 5-H), 2.75–2.67 (m, 2H, 7-H), 1.44–1.31 (m, 4H, 8-H, 9-H), 1.22 (d, J = 6.9 Hz, 6H, 6-H, 6′-H) ppm; 13C NMR:δ = 152.9 (C-4), 138.1 (C-1), 127.0 (C-2), 126.6 (C-3), 60.2 (C-10), 42.5 (C-7), 33.3 (C-5), 29.5 (C-9), 25.8 (C-8), 23.5 (C-6) ppm; MS: m/z = 294.3 (100%, [M + Na]+); anal. calcd. for C13H21NSO3 (271.38): C 57.54, H 7.80, N 5.16; found: C 57.21, H 8.04, N 4.87.

4.2.72. 4-[(4-Isopropylphenyl)sulfonamido]butyl Sulfamate (35b)

Applying GPB: from 35a (200 mg, 0.74 mmol): 35b (233 mg, 90%); white solid; Rf = 0.61 (CHCl3/EtOAc, 2:3); m.p. = 95–97 °C; UV–Vis: 228 nm (4.16); IR: ν = 3356m, 3286m, 3262m, 2965w, 2879w, 1558w, 1481w, 1476w, 1431w, 1409w, 1398w, 1384w, 1366s, 1337m, 1320s, 1284w, 1203w, 1175s, 1157vs, 1143m, 1093m, 1063m, 1047w, 969s, 942w, 922s, 901s, 840m, 824s, 773m, 750w, 732w, 666s, 632m, 588s, 580s, 552vs, 513m, 505m, 415w cm−1; 1H NMR:δ = 7.73–7.68 (m, 2H, 2-H, 2′-H), 7.53 (t, J = 5.9 Hz, 1H, NH), 7.48–7.43 (m, 2H, 3-H, 3′-H), 7.38 (s, 2H, NH2), 3.96 (t, J = 6.3 Hz, 2H, 10-H), 2.98 (hept, J = 6.9 Hz, 1H, 5-H), 2.75 (td, J = 6.9, 6.0 Hz, 2H, 7-H), 1.66–1.56 (m, 2H, 9-H), 1.50–1.41 (m, 2H, 8-H), 1.22 (d, J = 6.9 Hz, 6H, 6-H, 6′-H) ppm; 13C NMR (126 MHz, DMSO-d6): δ = 153.0 (C-4), 138.0 (C-1), 127.1 (C-2), 126.6 (C-3), 68.5 (C-10), 42.0 (C-7), 33.3 (C-5), 25.6 (C-8), 25.4 (C-9), 23.5 (6) ppm; MS: m/z = 373.3 (100%, [M + Na]+); anal. calcd. for C13H22N2S2O5 (350.45): C 44.56, H 6.33, N 7.99; found: C 44.27, H 6.68, N 7.65.

4.2.73. N-(5-Hydroxypentyl)-4-isopropylbenzene Sulfonamide (36a) [1925596-35-5]

Applying GPA: from 4-isopropylbenzenesulfonyl chloride (500 mg, 2.29 mmol) and 5-amino-pentanol (354 mg, 3.43 mmol): 36a (604 mg, 93%); oil; Rf = 0.18 (petrolether/EtOAc, 2:3); UV–Vis: 228 nm (4.42); IR: ν = 3503w, 3278w, 2960w, 2936m, 2869w, 1598w, 1460w, 1410m, 1386w, 1364w, 1318s, 1283w, 1156vs, 1091s, 1053m, 1016w, 833m, 774w, 733w, 648s, 632m, 581s, 565s cm−1; 1H NMR:δ = 7.72–7.67 (m, 2H, 2-H, 2′-H), 7.48–7.42 (m, 3H, 3-H, 3′-H, NH), 4.30 (t, J = 5.1 Hz, 1H, OH), 3.35–3.29 (m, 2H, 11-H), 2.97 (hept, J = 7.0 Hz, 1H, 5-H), 2.70 (td, J = 6.8, 6.0 Hz, 2H, 7-H), 1.40–1.27 (m, 4H, 8-H, 10-H), 1.27–1.16 (m, 8H, 6-H, 6′-H, 9-H) ppm; 13C NMR:δ = 152.9 (C-4), 138.1 (C-1), 127.0 (C-2), 126.6 (C-3), 60.5 (C-11), 42.6 (C-7), 33.3 (C-5), 32.0 (C-10), 28.9 (C-8), 23.5 (C-6), 22.6 (C-9) ppm; MS: m/z = 308.1 (100%, [M + Na]+); anal. calcd. for C14H23NSO3 (285.40): C 58.92, H 8.12, N 4.91; found: C 58.76, H 8.47, N 4.59.

4.2.74. 5-[(4-Isopropylphenyl)sulfonamido]pentyl Sulfamate (36b)

Applying GPB: from 36a (200 mg, 0.7 mmol): 36b (227 mg, 89%); white solid; Rf = 0.66 (CHCl3/EtOAc, 2:3); m.p. = 95–97 °C; UV–Vis: 228 nm (4.14); IR: ν = 3350w, 3280m, 2963w, 2946w, 2869w, 2859vw, 1475vw, 1432w, 1407w, 1400w, 1386w, 1366s, 1328s, 1310m, 1286w, 1191w, 1174m, 1157vs, 1142m, 1112w, 1094m, 1068w, 1058w, 1038m, 963s, 922m, 900m, 843w, 825s, 771w, 737w, 733w, 661s, 632m, 584s, 552vs, 525m, 517m, 501w, 444w cm−1; 1H NMR:δ = 7.72–7.68 (m, 2H, 2-H, 2′-H), 7.51–7.43 (m, 3H, 3-H, 3′-H, NH), 7.37 (s, 2H, NH2), 3.96 (t, J = 6.5 Hz, 2H, 11-H), 2.97 (hept, J = 7.0 Hz, 1H, 5-H), 2.72 (q, J = 6.5 Hz, 2H, 7-H), 1.55 (p, J = 6.7 Hz, 2H, 10-H), 1.43–1.34 (m, 2H, 8-H), 1.34–1.26 (m, 2H, 9-H), 1.22 (d, J = 6.9 Hz, 6H, 6-H, 6′-H) ppm; 13C NMR:δ = 153.0 (C-4), 138.0 (C-1), 127.1 (C-2), 126.6 (C-3), 68.8 (C-11), 42.3 (C-7), 28.5 (C-10), 27.8 (C-8), 23.5 (C-6), 22.2 (C-9) ppm; MS: m/z = 387.3 (100%, [M + Na]+); anal. calcd. for C14H24N2S2O5 (364.48): C 46.14, H 6.64, N 7.69; found: C 45.84, H 6.99, N 7.44.

4.2.75. N-(6-Hydroxyhexyl)-4-isopropylbenzene Sulfonamide (37a) [1912844-40-6]

Applying GPA: from 4-isopropylbenzenesulfonyl chloride (500 mg, 2.29 mmol) and 6-amino-hexanol (402 mg, 3.43 mmol): 37a (612 mg, 89%); oil; Rf = 0.20 (petrolether/EtOAc, 2:3); UV–Vis: 228 nm (4.08); IR: ν = 3505w, 3282w, 2960w, 2933m, 2864w, 1598w, 1462w, 1410m, 1386w, 1364w, 1319s, 1283w, 1157vs, 1092s, 1073m, 1053m, 1016w, 891vw, 833m, 773w, 727w, 649s, 633m, 581s, 565s, 493w, 456w cm−1; 1H NMR:δ = 7.73–7.68 (m, 2H, 2-H, 2′-H), 7.48–7.43 (m, 3H, 3-H, 3′-H, NH), 4.32–4.27 (m, 1H, OH), 3.34 (td, J = 6.3, 2.9 Hz, 2H, 12-H), 2.97 (hept, J = 6.9 Hz, 1H, 5-H), 2.71 (td, J = 7.0, 5.9 Hz, 2H, 7-H), 1.38–1.29 (m, 4H, 8-H, 11-H), 1.22 (d, J = 6.9 Hz, 6H, 6-H, 6′-H), 1.20–1.15 (m, 4H, 9-H, 10-H) ppm; 13C NMR:δ = 152.9 (C-4), 138.2 (C-1), 127.0 (C-2), 126.6 (C-3), 60.6 (C-12), 42.5 (C-7), 33.3 (C-5), 32.3 (C-11), 29.0 (C-8), 25.9 (C-10), 25.0 (C-9), 23.5 (C-6) ppm; MS: m/z = 322.1 (100%, [M + Na]+); anal. calcd. for C15H25NSO3 (299.43): C 60.17, H 8.42, N 4.68; found: C 59.76, H 8.72, N 4.43.

4.2.76. 6-[(4-Isopropylphenyl)sulfonamido]hexyl Sulfamate (37b)

Applying GPB: from 37a (300 mg, 1.00 mmol): 37b (260 mg, 69%); white solid; Rf = 0.72 (CHCl3/EtOAc, 2:3); m.p. = 102–103 °C; UV–Vis: 228 nm (4.19); IR: ν = 3384w, 3278m, 2962m, 2933w, 2860w, 1600w, 1544w, 1477w, 1469w, 1420m, 1396w, 1374s, 1320s, 1312s, 1283w, 1179s, 1157vs, 1146s, 1112w, 1092m, 1065m, 1054m, 1003s, 977s, 951w, 924m, 907m, 873m, 845w, 830m, 814s, 802s, 774m, 757w, 697s, 647m, 633m, 579s, 564s, 551vs, 537s, 505m, 484w, 456w cm−1; 1H NMR:δ = 7.72–7.67 (m, 2H, 2-H, 2′-H), 7.49–7.43 (m, 3H, 3-H, 3′-H, NH), 7.37 (s, 2H, NH2), 3.97 (t, J = 6.5 Hz, 2H, 12-H), 2.97 (hept, J = 6.9 Hz, 1H, 5-H), 2.71 (q, J = 6.7 Hz, 2H, 7-H), 1.56 (p, J = 6.6 Hz, 2H, 11-H), 1.35 (p, J = 6.8 Hz, 2H, 8-H), 1.28–1.19 (m, 10H, 6-H, 6′-H, 9-H, 10-H) ppm; 13C NMR:δ = 153.0 (C-4), 138.1 (C-1), 127.0 (C-2), 126.6 (C-3), 68.9 (C-12), 42.4 (C-7), 33.3 (C-5), 28.8 (C-11), 28.2 (C-8), 25.5 (C-10), 24.6 (C-9), 23.5 (C-6) ppm; MS: m/z = 401.2 (100%, [M + Na]+); anal. calcd. for C15H26N2S2O5 (378.50): C 47.60, H 6.92, N 7.40; found: C 47.36, H 7.20, N 7.05.

4.2.77. N-(7-Hydroxyheptyl)-4-isopropylbenzene Sulfonamide (38a)

Applying GPA: from 4-isopropylbenzenesulfonyl chloride (500 mg, 2.29 mmol) and 7-amino-heptanol (450 mg, 3.43 mmol): 38a (658 mg, 92%); oil; Rf = 0.26 (petrolether/EtOAc, 2:3); UV–Vis: 228 nm (4.11); IR: ν = 3503w, 3281w, 2960w, 2931m, 2859m, 1598w, 1495vw, 1463w, 1410m, 1386w, 1364w, 1319s, 1283w, 1157vs, 1092s, 1053m, 1016w, 891vw, 833m, 773w, 724w, 648s, 633m, 581s, 565s, 493w, 485w cm−1; 1H NMR:δ = 7.70–7.66 (m, 2H, 2-H, 2′-H), 7.45–7.40 (m, 3H, 3-H, 3′-H, NH), 3.97 (s, 1H, OH), 3.33 (t, J = 6.6 Hz, 2H, 13-H), 2.94 (hept, J = 6.9 Hz, 1H, 5-H), 2.69 (td, J = 7.0, 5.9 Hz, 2H, 7-H), 1.39–1.27 (m, 4H, 8-H, 12-H), 1.19 (d, J = 6.9 Hz, 6H, 6-H, 6′-H), 1.17–1.10 (m, 6H, 9-H, 10-H, 11-H) ppm; 13C NMR (126 MHz, DMSO-d6): δ = 152.9 (C-4), 138.2 (C-1), 127.0 (C-2), 126.6 (C-3), 60.7 (C-13), 42.5 (C-7), 33.3 (C-5), 32.4 (C-12), 28.9 (C-8), 28.4 (C-10), 26.1 (C-9), 25.3 (C-11), 23.5 (C-6) ppm; MS: m/z = 336.2 (100%, [M + Na]+); anal. calcd. for C16H27NSO3 (313.46): C 61.31, H 8.68, N 4.47; found: C 61.00, H 8.95, N 4.18.

4.2.78. 7-[(4-Isopropylphenyl)sulfonamido]heptyl Sulfamate (38b)

Applying GPB: from 38a (200 mg, 0.67 mmol): 38b (230 mg, 90%); white solid; Rf = 0.75 (CHCl3/EtOAc, 2:3); m.p. = 70–72 °C; UV–Vis: 228 nm (4.10); IR: ν = 3382w, 3274m, 2966w, 2921m, 2911w, 2852w, 1605w, 1543w, 1475w, 1467w, 1420m, 1392w, 1376vs, 1320s, 1281w, 1181s, 1159s, 1110w, 1090m, 1065w, 1056m, 1040m, 1018w, 1000m, 978s, 945w, 926m, 892m, 852w, 843w, 831m, 815s, 776m, 762w, 733m, 698s, 645m, 639w, 580s, 566s, 551vs, 530s, 510m, 486w, 477w, 445w cm−1; 1H NMR:δ = 7.72–7.68 (m, 2H, 2-H, 2′-H), 7.48–7.43 (m, 3H, 3-H, 3′-H, NH), 7.37 (s, 2H, NH2), 3.98 (t, J = 6.5 Hz, 2H, 13-H), 2.97 (hept, J = 6.9 Hz, 1H, 5-H), 2.71 (q, J = 6.8 Hz, 2H, 7-H), 1.63–1.53 (m, 2H, 12-H), 1.38–1.31 (m, 2H, 8-H), 1.22 (d, J = 6.9 Hz, 6H, 6-H, 6′-H), 1.30–1.14 (m, 6H, 9-H, 10-H, 11-H) ppm; 13C NMR (126 MHz, DMSO-d6): δ = 153.0 (C-4), 138.1 (C-1), 127.0 (C-2), 126.6 (C-3), 68.9 (C-13), 42.5 (C-7), 33.3 (C-5), 28.9 (C-12), 28.2 (C-8), 28.0 (C-10), 25.8 (C-11), 24.9 (C-9), 23.5 (C-6) ppm; MS: m/z = 415.3 (100%, [M + Na]+); anal. calcd. for C16H28N2S2O5 (392.53): C 48.96, H 7.19, N 7.14; found: C 48.73, H 7.41, N 6.87.

4.2.79. N-(8-Hydroxyoctyl)-4-isopropylbenzene Sulfonamide (39a)

Applying GPA: from 4-isopropylbenzenesulfonyl chloride (500 mg, 2.29 mmol) and 8-amino-octanol (498 mg, 3.43 mmol): 39a (721 mg, 96%); oil; Rf = 0.28 (petrolether/EtOAc, 2:3); UV–Vis: 228 nm (4.23); IR: ν = 3500w, 3281w, 2929m, 2857m, 1599w, 1463w, 1410w, 1364w, 1320m, 1283m, 1158s, 1092m, 1053m, 1017w, 924w, 892w, 833m, 809w, 773w, 722m, 649m, 582w, 566m, 514w, 488w cm−1; 1H NMR (500 MHz, DMSO-d6): δ = 7.71–7.68 (m, 2H, 2-H, 2′-H), 7.47–7.43 (m, 3H, 3-H, 3′-H, NH), 4.30 (t, J = 5.1 Hz, 1H, OH), 3.36 (td, J = 6.5, 5.1 Hz, 2H, 14-H), 2.97 (hept, J = 6.9 Hz, 1H, 5-H), 2.71 (td, J = 7.0, 5.8 Hz, 2H, 7-H), 1.41–1.29 (m, 4H, 8-H, 13-H), 1.21 (d, J = 6.9 Hz, 6H, 6-H, 6′-H), 1.20–1.11 (m, 8H, 9-H, 10-H, 11-H, 12-H) ppm; 13C NMR (126 MHz, DMSO-d6): δ = 152.9 (C-4), 138.2 (C-1), 127.0 (C-2), 126.6 (C-3), 60.7 (C-14), 42.5 (C-7), 33.3 (C-5), 32.5 (C-13), 28.9 (C-8), 28.8 (C-12), 28.6 (C-9), 25.9 (C-11), 25.4 (C-10), 23.5 (C-6) ppm; MS: m/z = 350.2 (100%, [M + Na]+); anal. calcd. for C17H29NSO3 (327.48): C 62.35, H 8.93, N 4.28; found: C 62.03, H 9.22, N 3.93.

4.2.80. 8-[(4-Isopropylphenyl)sulfonamido]octyl Sulfamate (39b)

Applying GPB: from 39a (200 mg, 0.61 mmol): 39b (220 mg, 89%); white solid; Rf = 0.80 (CHCl3/EtOAc, 2:3); m.p. = 69–70 °C; UV–Vis: 229 nm (4.08); IR: ν = 3385w, 3278m, 2961w, 2929m, 2915w, 2853w, 1600w, 1543w, 1477w, 1468w, 1419m, 1396w, 1376vs, 1319s, 1283w, 1182s, 1158s, 1112w, 1093m, 1069w, 1055m, 1038m, 1016w, 1001m, 977s, 945w, 925m, 894m, 858w, 845w, 830m, 814s, 775m, 762w, 731m, 699s, 648m, 633w, 582s, 564s, 550vs, 532s, 513m, 485w, 477w, 443w cm−1; 1H NMR:δ = 7.72–7.66 (m, 2H, 2-H, 2′-H), 7.47–7.43 (m, 3H, 3-H, 3′-H, NH), 7.37 (s, 2H, NH2), 3.99 (t, J = 6.5 Hz, 2H, 14-H), 2.97 (hept, J = 6.9 Hz, 1H, 5-H), 2.75–2.66 (m, 2H, 7-H), 1.64–1.54 (m, 2H, 13-H), 1.40–1.11 (m, 10H, 8-H, 9-H, 10-H, 11-H, 12-H), 1.22 (d, J = 6.9 Hz, 6H, 6-H, 6′-H) ppm; 13C NMR (126 MHz, DMSO-d6): δ = 153.0 (C-4), 138.2 (C-1), 127.0 (C-2), 126.6 (C-3), 69.0 (C-14), 42.5 (C-7), 33.3 (C-5), 28.9 (C-13), 28.4 (C-11), 28.3 (C-8), 28.3 (C-10), 25.9 (C-9), 24.9 (C-12), 23.5 (C-6) ppm; MS: m/z = 429.4 (100%, [M + Na]+); anal. calcd. for C17H30N2S2O5 (406.56): C 50.22, H 7.44, N 6.89; found: C 49.93, H 7.71, N 6.65.

4.2.81. N-(2-Hydroxyethyl)-3-isopropylbenzene Sulfonamide (40a)

Applying GPA: from 3-isopropylbenzenesulfonyl chloride (500 mg, 2.29 mmol) and 2-amino-ethanol (209 mg, 3.43 mmol): 40a (548 mg, 98%); oil; Rf = 0.16 (petrolether/EtOAc, 2:3); UV–Vis: 222 nm (3.94); IR: ν = 3492w, 3275w, 2962w, 2874w, 1478w, 1461w, 1428m, 1386w, 1365w, 1323s, 1306s, 1217w, 1156vs, 1144s, 1090m, 1052m, 998vw, 949m, 902w, 798m, 695s, 623m, 586vs, 564m, 542m, 517m, 470m, 460w cm−1; 1H NMR:δ = 7.69–7.66 (m, 1H, 5-H), 7.64–7.60 (m, 1H, 6-H), 7.55 (t, J = 5.9 Hz, 1H, NH), 7.53–7.48 (m, 2H, 2-H, 4-H), 4.67 (t, J = 5.6 Hz, 1H, OH), 3.38 (td, J = 6.3, 5.5 Hz, 2H, 10-H), 2.98 (hept, J = 6.9 Hz, 1H, 7-H), 2.80 (q, J = 6.2 Hz, 2H, 9-H), 1.22 (d, J = 6.9 Hz, 6H, 8-H, 8′-H) ppm; 13C NMR (126 MHz, DMSO-d6): δ = 149.6 (C-3), 140.7 (C-1), 130.4 (C-4), 129.1 (C-5), 124.1 (C-2), 124.0 (C-6), 59.9 (C-10), 45.1 (C-9), 33.3 (C-7), 23.6 (C-8) ppm; MS: m/z = 266.2 (100%, [M + Na]+); anal. calcd. for C11H17NSO3 (243.32): C 54.30, H 7.04, N 5.76; found: C 53.99, H 7.36, N 5.41.

4.2.82. 2-[(3-Isopropylphenyl)sulfonamido]ethyl Sulfamate (40b)

Applying GPB: from 40a (200 mg, 0.82 mmol): 40b (238 mg, 90%); oil; Rf = 0.64 (CHCl3/EtOAc, 2:3); UV–Vis: 269 nm (2.95); IR: ν = 3275m, 2963w, 2873vw, 1558w, 1479w, 1461w, 1430w, 1364s, 1325s, 1307s, 1179s, 1157vs, 1101m, 1091m, 1070w, 1021m, 998w, 924s, 798m, 757m, 694s, 624m, 585vs, 549s, 491w, 445w, 432w cm−1; 1H NMR:δ = 7.88 (t, J = 6.0 Hz, 1H, NH), 7.69–7.66 (m, 1H, 5-H), 7.63 (dt, J = 6.7, 2.0 Hz, 1H, 6-H), 7.56–7.47 (m, 4H, 2-H, 4-H, NH2), 4.01 (t, J = 5.7 Hz, 2H, 10-H), 3.05 (q, J = 5.0, 4.3 Hz, 2H, 9-H), 3.03–2.94 (m, 1H, 7-H), 1.23 (d, J = 6.9 Hz, 6H, 8-H, 8′-H) ppm; 13C NMR (126 MHz, DMSO-d6): δ = 149.7 (C-3), 140.3 (C-1), 130.6 (C-4), 129.3 (C-5), 124.1 (C-2), 124.0 (C-6), 67.6 (C-10), 41.6 (C-9), 33.3 (C-7), 23.6 (C-8) ppm; MS: m/z = 345.3 (100%, [M + Na]+); anal. calcd. for C11H18N2S2O5 (322.39): C 40.98, H 5.63, N 8.69; found: C 40.66, H 6.01, N 8.40.

4.2.83. N-(3-Hydroxypropyl)-3-isopropylbenzene Sulfonamide (41a)

Applying GPA: from 3-isopropylbenzenesulfonyl chloride (500 mg, 2.29 mmol) and 3-amino-propanol (258 mg, 3.43 mmol): 41a (562 mg, 95%); oil; Rf = 0.16 (petrolether/EtOAc, 2:3); UV–Vis: 222 nm (3.91); IR: ν = 3496w, 3279w, 2962m, 2875w, 1478w, 1462w, 1426m, 1386w, 1365w, 1323m, 1305s, 1217w, 1156vs, 1144s, 1084m, 1068s, 1008w, 998w, 960w, 904w, 871w, 799m, 696s, 623m, 587vs, 530m, 488w cm−1; 1H NMR:δ = 7.67–7.64 (m, 1H, 5-H), 7.62–7.58 (m, 1H, 6-H), 7.54–7.45 (m, 3H, 2-H, 4-H, NH), 4.39 (t, J = 5.1 Hz, 1H, OH), 3.36 (td, J = 6.3, 5.0 Hz, 2H, 11-H), 2.99 (hept, J = 6.9 Hz, 1H, 7-H), 2.79 (td, J = 7.1, 5.2 Hz, 2H, 9-H), 1.57–1.47 (m, 2H, 10-H), 1.23 (d, J = 6.9 Hz, 6H, 8-H, 8′-H) ppm; 13C NMR:δ = 149.6 (C-3), 140.5 (C-1), 130.4 (C-4), 129.1 (C-5), 124.1 (C-2), 124.0 (C-6), 58.1 (C-11), 40.0 (C-9), 33.3 (C-7), 32.3 (C-10), 23.6 (C-8) ppm; MS: m/z = 280.2 (100%, [M + Na]+); anal. calcd. for C12H19NSO3 (257.35): C 56.01, H 7.44, N 5.44; found: C 55.71, H 7.73, N 5.18.

4.2.84. 3-[(3-Isopropylphenyl)sulfonamido]propyl Sulfamate (41b)

Applying GPB: from 41a (200 mg, 0.78 mmol): 41b (176 mg, 67%); oil; Rf = 0.64 (CHCl3/EtOAc, 2:3); UV–Vis: 269 nm (2.90); IR: ν = 3273m, 2964w, 2874w, 1560w, 1478w, 1464w, 1427w, 1364s, 1324s, 1306s, 1217w, 1177s, 1156vs, 1145s, 1090m, 1070w, 1051w, 940s, 824w, 798m, 738w, 695s, 623m, 585vs, 550s, 494m cm−1; 1H NMR:δ = 7.69–7.63 (m, 2H, 5-H, NH), 7.63–7.59 (m, 1H, 6-H), 7.56–7.49 (m, 2H, 2-H, 4-H), 7.41 (s, 2H, NH2), 4.03 (t, J = 6.3 Hz, 2H, 11-H), 3.00 (hept, J = 6.9 Hz, 1H, 7-H), 2.83 (q, J = 6.7 Hz, 2H, 9-H), 1.80–1.72 (m, 2H, 10-H), 1.23 (d, J = 6.9 Hz, 6H, 8-H, 8′-H) ppm; 13C NMR (126 MHz, DMSO-d6): δ = 149.7 (C-3), 140.3 (C-1), 130.5 (C-4), 129.2 (C-5), 124.1 (C-2), 124.0 (C-6), 66.5 (C-11), 39.2 (C-9), 33.3 (C-7), 28.7 (C-10), 23.6 (C-8) ppm; MS: m/z = 359.3 (100%, [M + Na]+); anal. calcd. for C12H20N2S2O5 (336.42): C 42.84, H 5.99, N 8.33; found: C 42.57, H 6.21, N 8.02.

4.2.85. N-(4-Hydroxybutyl)-3-isopropylbenzene Sulfonamide (42a)

Applying GPA: from 3-isopropylbenzenesulfonyl chloride (500 mg, 2.29 mmol) and 4-amino-butanol (306 mg, 3.43 mmol): 42a (593 mg, 95%); oil; Rf = 0.18 (petrolether/EtOAc, 2:3); UV–Vis: 223 nm (3.91); IR: ν = 3500w, 3277w, 2961w, 2871w, 1478w, 1462w, 1427m, 1386w, 1365w, 1323m, 1305s, 1217w, 1156s, 1144s, 1087m, 1067m, 1054m, 1034w, 998w, 904w, 866vw, 798m, 737w, 696s, 623m, 587vs, 564m, 517m, 493w, 477w, 464w cm−1; 1H NMR:δ = 7.66–7.64 (m, 1H, 5-H), 7.62–7.58 (m, 1H, 6-H), 7.54–7.47 (m, 3H, 2-H, 4-H, NH), 4.35 (t, J = 5.1 Hz, 1H, OH), 3.35–3.28 (m, 2H, 12-H), 2.99 (hept, J = 6.9 Hz, 1H, 7-H), 2.78–2.69 (m, 2H, 9-H), 1.44–1.31 (m, 4H, 10-H, 11-H), 1.22 (d, J = 6.9 Hz, 6H, 8-H, 8′-H) ppm; 13C NMR (126 MHz, DMSO-d6): δ = 149.6 (C-3), 140.7 (C-1), 130.3 (C-4), 129.1 (C-5), 124.0 (C-2), 124.0 (C-6), 60.2 (C-12), 42.5 (C-9), 33.3 (C-7), 29.5 (C-11), 25.8 (C-10), 23.6 (C-8) ppm; MS: m/z = 294.3 (100%, [M + Na]+); anal. calcd. for C13H21NSO3 (271.38): C 57.54, H 7.80, N 5.16; found: C 57.27, H 8.05, N 4.92.

4.2.86. 4-[(3-Isopropylphenyl)sulfonamido]butyl Sulfamate (42b)

Applying GPB: from 42a (200 mg, 0.68 mmol): 42b (240 mg, 93%); oil; Rf = 0.64 (CHCl3/EtOAc, 2:3); UV–Vis: 269 nm (3.01); IR: ν = 3274m, 2963w, 2874w, 1562w, 1478w, 1463w, 1452w, 1428w, 1364m, 1324s, 1306s, 1268w, 1217vw, 1178s, 1156vs, 1145s, 1089m, 1069m, 1051w, 997w, 922s, 800m, 735w, 696s, 626m, 587vs, 551s cm−1; 1H NMR:δ = 7.67–7.64 (m, 1H, 5-H), 7.63–7.56 (m, 2H, 6-H, NH), 7.55–7.48 (m, 2H, 2-H, 4-H), 7.38 (s, 2H, NH2), 3.95 (t, J = 6.3 Hz, 2H, 12-H), 2.99 (hept, J = 6.9 Hz, 1H, 7-H), 2.81–2.72 (m, 2H, 9-H), 1.66–1.55 (m, 2H, 11-H), 1.49–1.39 (m, 2H, 10-H), 1.23 (d, J = 7.0 Hz, 6H, 8-H, 8′-H) ppm; 13C NMR (126 MHz, DMSO-d6): δ = 149.6 (C-3), 140.6 (C-1), 130.4 (C-4), 129.2 (C-5), 124.0 (C-2), 123.9 (C-6), 68.5 (C-12), 42.0 (C-9), 33.3 (C-7), 25.6 (C-10), 25.4 (C-11), 23.6 (C-8) ppm; MS: m/z = 373.3 (100%, [M + Na]+); anal. calcd. for C13H22N2S2O5 (350.45): C 44.56, H 6.33, N 7.99; found: C 44.18, H 6.67, N 7.68.

4.2.87. N-(5-Hydroxypentyl)-3-isopropylbenzene Sulfonamide (43a)

Applying GPA: from 3-isopropylbenzenesulfonyl chloride (500 mg, 2.29 mmol) and 5-amino-pentanol (354 mg, 3.43 mmol): 43a (611 mg, 94%); oil; Rf = 0.20 (petrolether/EtOAc, 2:3; UV–Vis: 223 nm (4.03); IR: ν = 3503w, 3279w, 2960w, 2936w, 2868w, 1478w, 1460w, 1427w, 1386w, 1365w, 1323m, 1305s, 1217w, 1156s, 1144s, 1087m, 1069m, 1050m, 998w, 905w, 799m, 730w, 696s, 623m, 587vs, 564m, 526m, 500m, 469w, 465w, 458w, 449w cm−1; 1H NMR:δ = 7.66–7.64 (m, 1H, 5-H), 7.62–7.58 (m, 1H, 6-H), 7.53–7.47 (m, 3H, 2-H, 4-H, NH), 4.30 (t, J = 5.1 Hz, 1H, OH), 3.34–3.29 (m, 2H, 13-H), 2.99 (hept, J = 6.9 Hz, 1H, 7-H), 2.77–2.67 (m, 2H, 9-H), 1.39–1.27 (m, 4H, 10-H, 12-H), 1.22 (d, J = 6.9 Hz, 8H, 8-H, 8′-H, 11-H) ppm; 13C NMR:δ = 149.6 (C-3), 140.7 (C-1), 130.3 (C-4), 129.1 (C-5), 124.0 (C-2), 124.0 (C-6), 60.5 (C-13), 42.6 (C-9), 33.3 (C-7), 32.0 (C-12), 28.8 (C-10), 23.6 (C-8), 22.6 (C-11) ppm; MS: m/z = 308.1 (100%, [M + Na]+); anal. calcd. for C14H23NSO3 (285.40): C 58.92, H 8.12, N 4.91; found: C 58.66, H 8.32, N 4.63.

4.2.88. 5-[(3-Isopropylphenyl)sulfonamido]pentyl Sulfamate (43b)

Applying GPB: from 43a (200 mg, 0.70 mmol): 43b (160 mg, 63%); oil; Rf = 0.65 (CHCl3/EtOAc, 2:3); UV–Vis: 269 nm (2.99); IR: ν = 3275m, 2962w, 2871w, 1561w, 1478w, 1463w, 1428w, 1363s, 1323s, 1305s, 1217vw, 1176s, 1156vs, 1089m, 1070m, 1032w, 998w, 919s, 816m, 799m, 769w, 728w, 696s, 624m, 587vs, 551s cm−1; 1H NMR:δ = 7.66–7.64 (m, 1H, 5-H), 7.63–7.57 (m, 1H, 6-H), 7.56–7.47 (m, 3H, 2-H, 4-H, NH), 7.37 (s, 2H, NH2), 3.95 (t, J = 6.5 Hz, 2H, 13-H), 2.99 (hept, J = 7.0 Hz, 1H, 7-H), 2.73 (q, J = 6.6 Hz, 2H, 9-H), 1.55 (p, J = 6.7 Hz, 2H, 12-H), 1.43–1.34 (m, 2H, 10-H), 1.33–1.26 (m, 2H, 11-H), 1.23 (d, J = 6.9 Hz, 6H, 8-H, 8′-H) ppm; 13C NMR:δ = 149.6 (C-3), 140.6 (C-1), 130.4 (C-4), 129.2 (C-5), 124.0 (C-2), 124.0 (C-6), 68.8 (C-13), 42.3 (C-9), 33.3 (C-7), 28.5 (C-12), 27.8 (C-10), 23.6 (C-8), 22.2 (C-11) ppm; MS: m/z = 387.4 (100%, [M + Na]+); anal. calcd. for C14H24N2S2O5 (364.48): C 46.14, H 6.64, N 7.69; found: C 45.86, H 6.98, N 7.41.

4.2.89. N-(6-Hydroxyhexyl)-3-isopropylbenzene Sulfonamide (44a)

Applying GPA: from 3-isopropylbenzenesulfonyl chloride (500 mg, 2.29 mmol) and 6-amino-hexanol (402 mg, 3.43 mmol): 44a (658 mg, 96%); oil; Rf = 0.24 (petrolether/EtOAc, 2:3); UV–Vis: 223 nm (3.88); IR: ν 3502w, 3281w, 2960w, 2933m, 2863w, 1598vw, 1478w, 1462w, 1427w, 1386w, 1365w, 1323m, 1305s, 1217vw, 1156s, 1144s, 1087m, 1069m, 1051m, 999w, 904w, 798m, 726w, 696s, 624m, 587vs, 563m, 529m, 454w cm−1; 1H NMR:δ = 7.66–7.64 (m, 1H, 5-H), 7.62–7.57 (m, 1H, 6-H), 7.53–7.46 (m, 3H, 2-H, 4-H, NH), 4.29 (t, J = 5.1 Hz, 1H, OH), 3.33 (td, J = 6.5, 5.1 Hz, 2H, 14-H), 2.99 (hept, J = 6.9 Hz, 1H, 7-H), 2.77–2.69 (m, 2H, 9-H), 1.38–1.28 (m, 4H, 10-H, 13-H), 1.22 (d, J = 6.9 Hz, 6H, 8-H, 8′-H), 1.21–1.14 (m, 4H, 11-H, 12-H) ppm; 13C NMR:δ = 149.5 (C-3), 140.7 (C-1), 130.3 (C-4), 129.1 (C-5), 124.0 (C-2), 124.0 (C-6), 60.6 (C-14), 42.5 (C-9), 33.3 (C-7), 32.3 (C-13), 29.0 (C-10), 25.9 (C-12), 25.0 (C-11), 23.6 (C-8) ppm; MS: m/z = 322.1 (100%, [M + Na]+); anal. calcd. for C15H25NSO3 (299.43): C 60.17, H 8.42, N 4.68; found: C 59.84, H 8.76, N 4.37.

4.2.90. 6-[(3-Isopropylphenyl)sulfonamido]hexyl Sulfamate (44b)

Applying GPB: from 44a (300 mg, 1.00 mmol): 44b (260 mg, 69%); oil; Rf = 0.66 (CHCl3/EtOAc, 2:3); UV–Vis: 269 nm (2.99); IR: ν = 3276m, 2961w, 2866w, 1561w, 1478w, 1463w, 1428w, 1363s, 1323s, 1306s, 1217vw, 1177s, 1156vs, 1145s, 1088m, 1069m, 1050w, 922s, 799m, 725w, 696s, 624m, 587vs, 551s cm−1; 1H NMR:δ = 7.66–7.64 (m, 1H, 5-H), 7.63–7.58 (m, 1H, 6-H), 7.54–7.47 (m, 3H, 2-H, 4-H, NH), 7.37 (s, 2H, NH2), 3.97 (t, J = 6.5 Hz, 2H, 14-H), 2.99 (hept, J = 6.9 Hz, 1H, 7-H), 2.77–2.69 (m, 2H, 9-H), 1.55 (p, J = 6.7 Hz, 2H, 13-H), 1.34 (p, J = 7.0 Hz, 2H, 10-H), 1.22 (d, J = 6.9 Hz, 10H, 8-H, 8′-H, 11-H, 12-H) ppm; 13C NMR:δ = 149.6 (C-3), 140.7 (C-1), 130.4 (C-4), 129.1 (C-5), 124.0 (C-2), 124.0 (C-6), 68.9 (C-14), 42.4 (C-9), 33.3 (C-7), 28.8 (C-13), 28.2 (C-10), 25.5 (C-12), 24.6 (C-11), 23.6 (C-8) ppm; MS: m/z = 401.4 (100%, [M + Na]+); anal. calcd. for C15H26N2S2O5 (378.50): C 47.60, H 6.92, N 7.40; found: C 47.29, H 7.18, N 7.35.

4.2.91. N-(7-Hydroxyheptyl)-3-isopropylbenzene Sulfonamide (45a)

Applying GPA: from 3-isopropylbenzenesulfonyl chloride (500 mg, 2.29 mmol), and 7-amino-heptanol (450 mg, 3.43 mmol): 45a (667 mg, 93%); oil; Rf = 0.23 (petrolether/EtOAc, 2:3); UV–Vis: 223 nm (3.99); IR: ν = 3504w, 3280w, 2960w, 2930m, 2859w, 1478w, 1462w, 1427w, 1385w, 1365w, 1324m, 1306s, 1217vw, 1157s, 1144s, 1088m, 1069m, 999w, 904w, 798m, 696s, 624m, 587vs, 564m, 527m, 462w cm−1; 1H NMR:δ = 7.66–7.64 (m, 1H, 2-H), 7.63–7.57 (m, 1H, 6-H), 7.52–7.46 (m, 3H, 4-H, 5-H, NH), 4.29 (t, J = 5.1 Hz, 1H, OH), 3.37–3.32 (m, 2H, 15-H), 2.98 (hept, J = 6.9 Hz, 1H, 7-H), 2.72 (q, J = 6.9 Hz, 2H, 9-H), 1.40–1.27 (m, 4H, 10-H, 14-H), 1.22 (d, J = 6.9 Hz, 6H, 8-H, 8′-H), 1.20–1.11 (m, 6H, 11-H, 12-H, 13-H) ppm; 13C NMR:δ = 149.5 (C-3), 140.8 (C-1), 130.3 (C-4), 129.1 (C-5), 124.0 (C-2), 124.0 (C-6), 60.7 (C-15), 42.5 (C-9), 33.3 (C-7), 32.4 (C-14), 28.9 (C-10), 28.4 (C-12), 26.0 (C-11), 25.3 (C-13), 23.6 (C-8) ppm; MS: m/z = 336.3 (100%, [M + Na]+); anal. calcd. for C16H27N2S2O5 (313.46): C 61.31, H 8.68, N 4.47; found: C 61.07, H 8.97, N 4.29.

4.2.92. 7-[(3-Isopropylphenyl)sulfonamido]heptyl Sulfamate (45b)

Applying GPB: from 45a (200 mg, 0.67 mmol): 45b (227 mg, 90%); oil; Rf = 0.68 (CHCl3/EtOAc, 2:3); UV–Vis: 269 nm (2.93); IR: ν = 3276m, 2961w, 2933w, 2862w, 1561w, 1478w, 1464w, 1428w, 1363s, 1323s, 1306s, 1217vw, 1178s, 1157vs, 1145s, 1089m, 1069m, 1052w, 997w, 923s, 799m, 724w, 696s, 624m, 587vs, 551s cm−1; 1H NMR:δ = 7.66–7.64 (m, 1H, 5-H), 7.62–7.58 (m, 1H, 6-H), 7.53–7.47 (m, 3H, 2-H, 4-H, NH), 7.37 (s, 2H, NH2), 3.98 (t, J = 6.5 Hz, 2H, 15-H), 2.99 (hept, J = 6.9 Hz, 1H, 7-H), 2.76–2.69 (m, 2H, 9-H), 1.63–1.52 (m, 2H, 14-H), 1.39–1.28 (m, 2H, 10-H), 1.23 (d, J = 6.9 Hz, 6H, 8-H, 8′-H), 1.29–1.13 (m, 6H, 11-H, 12-H, 13-H) ppm; 13C NMR:δ = 149.6 (C-3), 140.7 (C-1), 130.3 (C-4), 129.1 (C-5), 124.0 (C-2), 124.0 (C-6), 68.9 (C-15), 42.5 (C-9), 33.3 (C-7), 28.8 (C-14), 28.2 (C-11), 28.0 (C-10), 25.8 (C-13), 24.9 (C-12), 23.6 (C-8) ppm; MS: m/z = 415.4 (100%, [M + Na]+); anal. calcd. for C16H28N2S2O5 (392.53): C 48.96, H 7.19, N 7.14; found: C 48.75, H 7.34, N 6.86.

4.2.93. N-(8-Hydroxyoctyl)-3-isopropylbenzene Sulfonamide (46a)

Applying GPA: from 3-isopropylbenzenesulfonyl chloride (500 mg, 2.29 mmol) and 8-amino-octanol (498 mg, 3.43 mmol): 46a (649 mg, 87%); oil; Rf = 0.30 (petrolether/EtOAc, 2:3; UV–Vis: 223 nm (3.88); IR: ν = 3504vw, 3281w, 2960w, 2929m, 2857m, 1478w, 1462w, 1428w, 1385w, 1365w, 1324m, 1306m, 1217vw, 1157s, 1144s, 1088m, 1069m, 1051m, 998vw, 904w, 798m, 722w, 696s, 624m, 587vs, 564m, 511m, 456w cm−1; 1H NMR (500 MHz, DMSO-d6): δ = 7.66–7.64 (m, 1H, 2-H), 7.62–7.58 (m, 1H, 6-H), 7.52–7.47 (m, 3H, 4-H, 5-H, NH), 4.29 (td, J = 5.2, 0.8 Hz, 1H, OH), 3.35 (td, J = 6.6, 5.1 Hz, 2H, 16-H), 2.99 (hept, J = 6.9 Hz, 1H, 7-H), 2.72 (td, J = 7.0, 5.8 Hz, 2H, 9-H), 1.41–1.28 (m, 4H, 10-H, 15-H), 1.22 (d, J = 6.9 Hz, 6H, 8-H, 8′-H), 1.20–1.11 (m, 8H, 11-H, 12-H, 13-H, 14-H) ppm; 13C NMR (126 MHz, DMSO-d6): δ = 149.5 (C-3), 140.8 (C-1), 130.3 (C-4), 129.1 (C-5), 124.0 (C-2), 124.0 (C-6), 60.7 (C-16), 42.5 (C-9), 33.3 (C-7), 32.5 (C-15), 28.9 (C-10), 28.8 (C-12), 28.6 (C-13), 25.9 (C-11), 25.4 (C-14), 23.6 (C-8) ppm; MS: m/z = 350.3 (100%, [M + Na]+); anal. calcd. for C17H29NSO3 (327.48): C 62.35, H 8.93, N 4.28; found: C 62.17, H 9.20, N 3.97.

4.2.94. 8-[(3-Isopropylphenyl)sulfonamido]octyl Sulfamate (46b)

Applying GPB: from 46a (500 mg, 2.29 mmol): 46b (196 mg, 79%); oil; Rf = 0.73 (CHCl3/EtOAc, 2:3); UV–Vis: 268 nm (3.00); IR: ν = 3276m, 2961w, 2930m, 2859w, 1561w, 1478w, 1464w, 1428w, 1363s, 1324m, 1306s, 1217vw, 1178s, 1157vs, 1145s, 1089m, 1070m, 1051w, 998w, 922s, 799m, 723w, 696s, 624m, 587vs, 552s, 461w cm−1; 1H NMR:δ = 7.66–7.64 (m, 1H, 5-H), 7.61–7.58 (m, 1H, 6-H), 7.53–7.48 (m, 3H, 2-H, 4-H, NH), 7.37 (s, 2H, NH2), 3.99 (t, J = 6.5 Hz, 2H, 17-H), 2.99 (hept, J = 6.9 Hz, 1H, 7-H), 2.73 (td, J = 7.0, 5.8 Hz, 2H, 9-H), 1.63–1.55 (m, 2H, 16-H), 1.38–1.10 (m, 10H, 10-H, 11-H, 12-H, 13-H, 14-H), 1.23 (d, J = 6.9 Hz, 6H, 8-H, 8′-H) ppm; 13C NMR:δ = 149.6 (C-3), 140.7 (C-1), 130.3 (C-4), 129.1 (C-5), 124.0 (C-2), 124.0 (C-6), 69.0 (C-17), 42.5 (C-9), 33.3 (C-7), 28.8 (C-16), 28.4 (C-13), 28.3 (C-10), 28.3 (C-12), 25.9 (C-11), 24.9 (C-14), 23.6 (C-8) ppm; MS: m/z = 429.5 (100%, [M + Na]+); anal. calcd. for C17H30N2S2O5 (406.56): C 50.22, H 7.44, N 6.89; found: C 49.97, H 7.70, N 6.54.

4.2.95. N-(7-Hydroxyheptyl)-2-isopropylbenzene Sulfonamide (47a)

Applying GPA: from 2-isopropylbenzenesulfonyl chloride (500 mg, 2.29 mmol) and 7-amino-heptanol (450 mg, 3.43 mmol): 47a (634 mg, 88%); oil; Rf = 0.32 (petrolether/EtOAc, 2:3); UV–Vis: 224 nm (4.02); IR: ν = 3502w, 3292w, 2931m, 2859m, 1474m, 1461w, 1444m, 1385w, 1363w, 1316s, 1204w, 1148vs, 1115m, 1056s, 1031m, 878w, 763s, 725w, 686m, 595vs, 565s, 545s, 462w, 448w cm−1; 1H NMR:δ = 7.80–7.76 (m, 1H, 3-H), 7.66 (t, J = 5.7 Hz, 1H, NH), 7.60–7.53 (m, 2H, 6-H, 4-H), 7.33 (ddd, J = 8.0, 5.7, 2.9 Hz, 1H, 5-H), 4.29 (t, J = 5.1 Hz, 1H, OH), 3.85 (hept, J = 6.8 Hz, 1H, 7-H), 3.35 (td, J = 6.5, 5.2 Hz, 2H, 15-H), 2.79 (td, J = 7.0, 5.7 Hz, 2H, 9-H), 1.40–1.30 (m, 4H, 10-H, 14-H), 1.25–1.11 (m, 12H, 8-H, 8′-H, 11-H, 12-H, 13-H) ppm; 13C NMR:δ = 147.7 (C-2), 138.1 (C-1), 132.5 (C-4), 128.0 (C-6), 127.9 (C-4), 125.8 (C-5), 60.7 (C-15), 42.4 (C-9), 32.4 (C-14), 29.2 (C-10), 28.4 (C-12), 28.3 (C-7), 26.0 (C-11), 25.3 (C-13), 23.9 (C-8, C-8′) ppm; MS: m/z = 336.3 (100%, [M + Na]+); anal. calcd. for C16H27NSO3 (313.46): C 61.31, H 8.68, N 4.47; found: C 61.07, H 9.02, N 4.16.

4.2.96. 7-[(2-Isopropylphenyl)sulfonamido]heptyl Sulfamate (47b)

Applying GPB: from 47a (200 mg, 0.64 mmol): 47b (131 mg, 52%); oil; Rf = 0.76 (CHCl3/EtOAc, 2:3); UV–Vis: 224 nm (4.04); IR: ν = 3283m, 2933w, 2862w, 1593vw, 1570w, 1474w, 1444w, 1361s, 1315s, 1202w, 1179s, 1162s, 1148vs, 1115m, 1083m, 1071m, 1056m, 1031w, 924s, 815m, 764s, 724w, 687m, 596s, 563s, 550vs, 444w cm−1; 1H NMR:δ = 7.80–7.75 (m, 1H, 3-H), 7.68 (t, J = 5.7 Hz, 1H, NH), 7.61–7.54 (m, 2H, 4-H, 6-H), 7.37 (s, 2H, NH2), 7.34 (ddd, J = 7.9, 5.9, 2.8 Hz, 1H, 5-H), 3.98 (t, J = 6.5 Hz, 2H, 15-H), 3.84 (hept, J = 6.9 Hz, 1H, 7-H), 2.79 (td, J = 7.0, 5.7 Hz, 2H, 9-H), 1.63–1.52 (m, 2H, 14-H), 1.42–1.31 (m, 2H, 10-H), 1.21 (d, J = 6.8 Hz, 6H, 8-H, 8′-H), 1.31–1.13 (m, 6H, 11-H, 12-H, 13-H) ppm; 13C NMR:δ = 147.7 (C-2), 138.1 (C-1), 132.6 (C-4), 128.0 (C-3), 127.9 (C-6), 125.8 (C-5), 68.9 (C-15), 42.3 (C-9), 29.1 (C-10), 28.3 (C-7), 28.2 (C-14), 28.0 (C-12), 25.8 (C-11), 24.9 (C-13), 23.9 (C-8) ppm; MS: m/z = 415.6 (100%, [M + Na]+); anal. calcd. for C16H28N2S2O5 (392.53): C 48.96, H 7.19, N 7.14; found: C 48.75, H 7.37, N 6.87.

4.2.97. N-(8-Hydroxyoctyl)-2-isopropylbenzene Sulfonamide (48a)

Applying GPA: from 2-isopropylbenzenesulfonyl chloride (500 mg, 2.29 mmol) and 8-amino-octanol (498 mg, 3.43 mmol): 48a (720 mg, 96%); oil; Rf = 0.34 (petrolether/EtOAc, 2:3); UV–Vis: 224 nm (3.90); IR: ν = 3498w, 3294w, 2929m, 2856m, 1474m, 1444m, 1385w, 1363w, 1316s, 1204w, 1148vs, 1115m, 1080m, 1071m, 1056s, 1031m, 890w, 763s, 723w, 686m, 595vs, 565vs, 545s, 450w, 419vw cm−1; 1H NMR:δ = 7.80–7.75 (m, 1H, 3-H), 7.66 (s, 1H, NH), 7.60–7.54 (m, 2H, 4-H, 6-H), 7.33 (ddd, J = 8.0, 5.8, 2.8 Hz, 1H, 5-H), 4.30 (t, J = 5.2 Hz, 1H, OH), 3.84 (hept, J = 6.8 Hz, 1H, 7-H), 3.38–3.33 (m, 2H, 16-H), 2.78 (t, J = 7.1 Hz, 2H, 9-H), 1.41–1.29 (m, 4H, 10-H, 15-H), 1.21 (d, J = 6.8 Hz, 6H, 8-H, 8′-H), 1.18–1.12 (m, 8H, 11-H, 12-H, 13-H, 14-H) ppm; 13C NMR:δ = 147.7 (C-2), 138.1 (C-1), 132.5 (C-4), 128.0 (C-3), 127.9 (C-6), 125.8 (C-5), 60.7 (C-16), 42.4 (C-9), 32.5 (C-15), 29.2 (C-13), 28.8 (C-10), 28.5 (C-12), 28.3 (C-7), 25.9 (C-11), 25.4 (C-14) 23.9 (C-8) ppm; MS: m/z = 350.3 (100%, [M + Na]+); anal. calcd. for C17H29NSO3 (327.48): C 62.35, H 8.93, N 4.28; found: C 62.6, H 9.24, N 3.96.

4.2.98. 8-[(2-Isopropylphenyl)sulfonamido]octyl Sulfamate (48b)

Applying GPB: from 47a (200 mg, 0.61 mmol): 47b (202 mg, 82%); oil; Rf = 0.82 (CHCl3/EtOAc, 2:3); UV–Vis: 224 nm (3.86); IR: ν = 3285w, 2931m, 2858w, 1593vw, 1570w, 1474w, 1444w, 1362s, 1315s, 1202w, 1179s, 1161s, 1149vs, 1115m, 1056m, 1031w, 925s, 819w, 764s, 724w, 687m, 596s, 564s, 550s, 450w, 446w cm−1; 1H NMR:δ = 7.80–7.75 (m, 1H, 3-H), 7.67 (t, J = 5.7 Hz, 1H, NH), 7.60–7.54 (m, 2H, 4-H, 6-H), 7.37 (s, 2H, NH2), 7.34 (ddd, J = 7.9, 5.9, 2.8 Hz, 1H, 5-H), 3.99 (t, J = 6.5 Hz, 2H, 16-H), 3.84 (hept, J = 6.8 Hz, 1H, 7-H), 2.79 (td, J = 7.0, 5.7 Hz, 2H, 9-H), 1.63–1.55 (m, 2H, 15-H), 1.39–1.31 (m, 2H, 10-H), 1.30–1.24 (m, 2H, 14-H), 1.21 (d, J = 6.8 Hz, 6H, 8-H, 8′-H), 1.22–1.14 (m, 6H, 11-H, 12-H, 13-H) ppm; 13C NMR (126 MHz, DMSO-d6): δ = 147.7 (C-2), 138.1 (C-1), 132.5 (C-4), 128.0 (C-3), 127.9 (C-6), 125.8 (C-5), 69.0 (C-16), 42.3 (C-9), 29.2 (C-15), 28.4 (C-10), 28.3 (C-7, C-13), 28.3 (C-12), 25.9 (C-11), 24.9 (C-14), 23.9 (C-8) ppm; MS: m/z = 429.6 (100%, [M + Na]+); anal. calcd. for C17H30N2S2O5 (406.56): C 50.22, H 7.44, N 6.89; found: C 49.96, H 7.70, N 6.55.

4.2.99. 4-(tert-Butyl)-N-(2-hydroxyethyl)benzene Sulfonamide (49a) [477483-08-2]

Applying GPA: from 4-(tert-butyl)benzenesulfonyl chloride (500 mg, 2.15 mmol) and 2-amino-ethanol (197 mg, 3.22 mmol): 49a (435 mg, 79%); white solid; Rf = 0.20 (petrolether/EtOAc, 2:3); m.p. = 75–77 °C; UV–Vis: 228 nm (4.10); IR: ν = 3522w, 3162w, 3072vw, 2952w, 2903w, 2891w, 2868w, 1596w, 1463w, 1450w, 1432w, 1400w, 1364w, 1354vw, 1325s, 1308m, 1291w, 1261w, 1207vw, 1198w, 1161vs, 1115m, 1087m, 1071m, 1057s, 1016w, 955m, 905w, 844w, 831vw, 823m, 763s, 726m, 624s, 580vs, 550s, 515vw, 498vw, 473w, 457w, 421w, 411w cm−1; 1H NMR:δ = 7.75–7.70 (m, 2H, 2-H, 2′-H), 7.63–7.58 (m, 2H, 3-H, 3′-H), 7.50 (s, 1H, NH), 4.66 (t, J = 5.5 Hz, 1H, OH), 3.37 (q, J = 6.0 Hz, 2H, 8-H), 2.77 (t, J = 6.4 Hz, 2H, 7-H), 1.30 (s, 9H, 6-H, 6′-H, 6′-H) ppm; 13C NMR:δ = 155.2 (C-4), 137.7 (C-1), 126.4 (C-2), 125.9 (C-3), 59.9 (C-8), 45.1 (C-7), 34.8 (C-5), 30.8 (C-6) ppm; MS: m/z = 280.4 (100%, [M + Na]+); anal. calcd. for C12H19NSO3 (257.35): C 56.01, H 7.44, N 5.44; found: C 55.76, H 7.72, N 5.16.

4.2.100. 2-[(4-(tert-Butyl)phenyl)sulfonamido]ethyl Sulfamate (49b)

Applying GPB: from 49a (200 mg, 0.78 mmol): 49b (228 mg, 87%); white solid; Rf = 0.60 (CHCl3/EtOAc, 2:3); m.p. = 92–93 °C; UV–Vis: 228 nm (4.02); IR: ν = 3392w, 3292m, 3267m, 3075vw, 2951w, 2902w, 2865w, 1596w, 1542w, 1462w, 1445m, 1434w, 1401w, 1375s, 1325s, 1309m, 1292w, 1268w, 1228vw, 1197w, 1181s, 1159s, 1115m, 1088s, 1021m, 954s, 923s, 853s, 841s, 833m, 786m, 773m, 751m, 656m, 621m, 601vs, 578m, 549vs, 487m, 461w, 427w, 413w cm−1; 1H NMR:δ = 7.84 (t, J = 6.0 Hz, 1H, NH), 7.77–7.71 (m, 2H, 2-H, 2′-H), 7.64–7.60 (m, 2H, 3-H, 3′-H), 7.50 (s, 2H, NH2), 4.01 (t, J = 5.7 Hz, 2H, 8-H), 3.03 (q, J = 5.6 Hz, 2H, 7-H), 1.31 (s, 9H, 6-H, 6′-H, 6′-H) ppm; 13C NMR (126 MHz, DMSO-d6): δ = 155.9 (C-1), 137.8 (C-4), 126.8 (C-2), 126.5 (C-3), 68.0 (C-8), 42.0 (C-7), 35.3 (C-5), 31.3 (C-6) ppm; MS: m/z = 359.4 (100%, [M + Na]+); anal. calcd. for C12H20N2S2O5 (336.42): C 42.84, H 5.99, N 8.33; found: C 42.55, H 6.25, N 8.03.

4.2.101. 4-(tert-Butyl)-N-(3-hydroxypentyl)benzene Sulfonamide (50a) [1017436-75-7]

Applying GPA: from 4-(tert-butyl)benzenesulfonyl chloride (500 mg, 2.15 mmol) and 3-amino-propanol (242 mg, 3.22 mmol): 50a (530 mg, 91%); white solid; Rf = 0.20 (petrolether/EtOAc, 2:3); m.p. = 63–65 °C; UV–Vis: 228 nm (4.15); IR: ν = 3311m, 3241m, 2963m, 2870w, 1597w, 1472w, 1426m, 1402m, 1363w, 1334m, 1313s, 1292m, 1270w, 1203w, 1160vs, 1112m, 1088m, 1069m, 1027m, 1008m, 960m, 908w, 847w, 834m, 826m, 756s, 704m, 625s, 578vs, 550s, 512m, 487m, 475w, 461w cm−1; 1H NMR:δ = 7.73–7.68 (m, 2H, 2-H, 2′-H), 7.63–7.58 (m, 2H, 3-H, 3′-H), 7.43 (s, 1H, NH), 4.40 (s, 1H, OH), 3.37 (td, J = 6.2, 2.8 Hz, 2H, 9-H), 2.77 (t, J = 7.3 Hz, 2H, 7-H), 1.58–1.49 (m, 2H, 8-H), 1.30 (s, 9H, 6-H, 6′-H, 6′-H) ppm; 13C NMR:δ = 155.2 (C-4), 137.6 (C-1), 126.4 (C-2), 126.0 (C-3), 58.1 (C-9), 40.0 (C-7), 34.8 (C-5), 32.4 (C-8), 30.8 (C-6) ppm; MS: m/z = 294.1 (100%, [M + Na]+); anal. calcd. for C13H21NSO3 (271.38): C 57.54, H 7.80, N 5.16; found: C 57.21, H 8.03, N 5.96.

4.2.102. 3-[(4-(tert-Butyl)phenyl)sulfonamido]propyl Sulfamate (50b)

Applying GPB: from 50a (200 mg, 0.74 mmol): 50b (251 mg, 97%); white solid; Rf = 0.61 (CHCl3/EtOAc, 2:3); m.p. = 85–86 °C; UV–Vis: 228 nm (4.18); IR: ν = 3338w, 3293w, 3252m, 3121vw, 2964w, 2906w, 2870vw, 1597w, 1571w, 1476w, 1463w, 1437w, 1421vw, 1401w, 1373s, 1363s, 1329m, 1318s, 1294m, 1270w, 1242vw, 1169s, 1156vs, 1133w, 1111m, 1085m, 1060w, 1016vw, 982s, 949s, 891m, 877w, 839m, 827s, 757s, 678m, 631m, 595m, 589m, 573s, 564s, 548vs, 501w, 491m, 463w, 413vw cm−1; 1H NMR:δ = 7.74–7.69 (m, 2H, 2-H, 2′-H), 7.64–7.58 (m, 3H, 3-H, 3′-H, NH), 7.41 (s, 2H, NH2), 4.03 (td, J = 6.7, 5.0 Hz, 2H, 9-H), 2.81 (td, J = 7.1, 5.8 Hz, 2H, 7-H), 1.78 (p, J = 6.7 Hz, 2H, 8-H), 1.31 (s, 9H, 6-H, 6′-H, 6′-H) ppm; 13C NMR (126 MHz, DMSO-d6): δ = 155.4 (C-4), 137.4 (C-1), 126.3 (C-2), 126.1 (C-3), 66.5 (C-9), 39.2 (C-7), 34.8 (C-5), 30.8 (C-6), 28.8 (C-8) ppm; MS: m/z = 373.4 (100%, [M + Na]+); anal. calcd. for C13H22N2S2O5 (350.45): C 44.56, H 6.33, N 7.99; found: C 44.21, H 6.65, N 7.68.

4.2.103. 4-(tert-Butyl)-N-(4-hydroxybutyl)benzene Sulfonamide (51a) [1082935-75-8]

Applying GPA: from 4-(tert-butyl)benzenesulfonyl chloride (500 mg, 2.15 mmol) and 4-amino-butanol (287 mg, 3.22 mmol): 51a (518 mg, 84%) [118]; white solid; Rf = 0.20 (petrolether/EtOAc, 2:3); m.p. = 58–60 °C; UV–Vis: 228 nm (4.15); IR: ν = 3452w, 3248w, 3115w, 2962w, 2944m, 2867w, 1594w, 1471w, 1463w, 1435w, 1400w, 1364w, 1316s, 1291m, 1267w, 1197w, 1154s, 1111m, 1084m, 1065m, 1038m, 1018w, 988w, 909w, 839m, 753m, 735w, 685w, 627s, 581vs, 549s, 514w, 489w, 472w, 464w cm−1; 1H NMR:δ = 7.73–7.68 (m, 2H, 2-H, 2′-H), 7.62–7.58 (m, 2H, 3-H, 3′-H), 7.47 (s, 1H, NH), 4.35 (s, 1H, OH), 3.35–3.29 (m, 2H, 10-H), 2.75–2.69 (m, 2H, 7-H), 1.44–1.33 (m, 4H, 8-H, 9-H), 1.30 (s, 9H, 6-H, 6′-H, 6′-H) ppm; 13C NMR:δ = 155.1 (C-4), 137.8 (C-1), 126.3 (C-2), 125.9 (C-3), 60.2 (C-10), 42.5 (C-7), 34.8 (C-5), 30.8 (C-6), 29.5 (C-9), 25.8 (C-8) ppm; MS: m/z = 308.3 (100%, [M + Na]+); anal. calcd. for C14H23NSO3 (285.40): C 58.92, H 8.12, N 4.91; found: C 59.76, H 8.32, N 4.67.

4.2.104. 4-[(4-(tert-Butyl)phenyl)sulfonamido]butyl Sulfamate (51b)

Applying GPB: from 51a (200 mg, 0.7 mmol): 51b (218 mg, 85%); white solid; Rf = 0.63 (CHCl3/EtOAc, 2:3); m.p. = 100–102 °C; UV–Vis: 228 nm (4.12); IR: ν = 3358m, 3288m, 3262w, 2965w, 1597vw, 1558w, 1483vw, 1476w, 1427w, 1399w, 1383w, 1368s, 1338m, 1321s, 1310m, 1292w, 1269w, 1205w, 1176s, 1158vs, 1122w, 1114m, 1108m, 1089m, 1065m, 1044w, 970s, 941w, 919s, 902s, 838m, 826s, 809w, 754m, 750m, 660s, 628s, 580s, 552vs, 533m, 514w, 507m, 413w cm−1; 1H NMR:δ = 7.74–7.68 (m, 2H, 2-H, 2′-H), 7.63–7.58 (m, 2H, 3-H, 3′-H), 7.54 (t, J = 5.9 Hz, 1H, NH), 7.38 (s, 2H, NH2), 3.96 (t, J = 6.3 Hz, 2H, 10-H), 2.79–2.71 (m, 2H, 7-H), 1.66–1.56 (m, 2H, 9-H), 1.50–1.40 (m, 2H, 8-H), 1.30 (s, 9H, 6-H, 6′-H, 6′-H) ppm; 13C NMR (126 MHz, DMSO-d6): δ = 155.2 (C-4), 137.7 (C-1), 126.3 (C-2), 126.0 (C-3), 68.5 (C-10), 42.0 (C-7), 34.8 (C-5), 30.8 (C-6), 25.6 (C-9), 25.4 (C-8) ppm; MS: m/z = 387.4 (100%, [M + Na]+); anal. calcd. for C14H24N2S2O5 (364.48): C 46.14, H 6.64, N 7.69; found: C 45.86, H 6.98, N 7.42.

4.2.105. 4-(tert-Butyl)-N-(5-hydroxypentyl)benzene Sulfonamide (52a) [1925550-01-1]

Applying GPA: from 4-(tert-butyl)benzenesulfonyl chloride (500 mg, 2.15 mmol) and 5-amino-pentanol (332 mg, 3.22 mmol): 52a (603 mg, 93%); white solid; Rf = 0.20 (petrolether/EtOAc, 2:3); m.p. = 53–54 °C; UV–Vis: 228 nm (4.02); IR: ν = 3286m, 2933m, 2863w, 1597w, 1473w, 1462w, 1424m, 1399w, 1362w, 1331m, 1318s, 1292m, 1268w, 1199w, 1158s, 1112m, 1088m, 1048s, 1016w, 887m, 843m, 826m, 755m, 735w, 689m, 638m, 630s, 573vs, 552s, 525m, 502w cm−1; 1H NMR (500 MHz, DMSO-d6): δ = 7.72–7.68 (m, 2H, 2-H, 2′-H), 7.62–7.58 (m, 2H, 3-H, 3′-H), 7.46 (t, J = 5.7 Hz, 1H, NH), 4.30 (t, J = 5.1 Hz, 1H, OH), 3.34–3.29 (m, 2H, 11-H), 2.73–2.68 (m, 2H, 7-H), 1.39–1.31 (m, 4H, 8-H, 10-H), 1.30 (s, 9H, 6-H, 6′-H, 6′-H), 1.26–1.15 (m, 2H, 9-H) ppm; 13C NMR:δ = 155.2 (C-4), 137.8 (C-1), 126.3 (C-2), 125.9 (C-3), 60.5 (C-11), 42.6 (C-7), 34.8 (C-5), 32.0 (C-10), 30.8 (C-6), 28.9 (C-8), 22.6 (C-9) ppm; MS: m/z = 322.4 (100%, [M + Na]+); anal. calcd. for C15H25NSO3 (299.43): C 60.17, H 8.42, N 4.68; found: C 59.87, H 8.70, N 4.39.

4.2.106. 5-[(4-(tert-Butyl)phenyl)sulfonamido]pentyl Sulfamate (52b)

Applying GPB: from 52a (500 mg, 2.15 mmol): 52b (196 mg, 78%); white solid; Rf = 0.65 (CHCl3/EtOAc, 2:3); m.p. = 88–89 °C; UV–Vis: 228 nm (4.17); IR: ν = 3356m, 3278m, 3254m, 2968w, 2954w, 2860w, 1597w, 1557w, 1475w, 1463w, 1427w, 1398w, 1363s, 1326s, 1311m, 1292w, 1269w, 1175s, 1156vs, 1124w, 1111m, 1089m, 1068w, 1032m, 1000m, 965s, 918s, 900s, 852w, 840m, 821s, 775m, 754m, 738w, 627s, 579vs, 552vs, 533s, 520m, 501m, 443w, 412w cm−1; 1H NMR:δ = 7.73–7.68 (m, 2H, 2-H, 2′-H), 7.63–7.57 (m, 2H, 3-H, 3′-H), 7.49 (t, J = 5.9 Hz, 1H, NH), 7.37 (s, 2H, NH2), 3.96 (t, J = 6.4 Hz, 2H, 11-H), 2.72 (q, J = 6.6 Hz, 2H, 7-H), 1.55 (p, J = 6.7 Hz, 2H, 10-H), 1.44–1.35 (m, 2H, 8-H), 1.30 (s, 11H, 6-H, 6′-H, 6′-H, 9-H) ppm; 13C NMR:δ = 155.2 (C-4), 137.7 (C-1), 126.3 (C-2), 126.0 (C-3), 68.8 (C-11), 42.3 (C-7), 34.8 (C-5), 30.8 (C-6), 28.5 (C-8), 27.8 (C-10), 22.2 (C-9) ppm; MS: m/z = 401.6 (100%, [M + Na]+); anal. calcd. for C15H26N2S2O5 (378.50): C 47.60, H 6.92, N 7.40; found: C 47.32, H 7.24, N 7.09.

4.2.107. 4-(tert-Butyl)-N-(6-hydroxyhexyl)benzene Sulfonamide (53a) [1787706-38-0]

Applying GPA: from 4-(tert-butyl)benzenesulfonyl chloride (500 mg, 2.15 mmol) and 6-amino-hexanol (378 mg, 3.22 mmol): 53a (635 mg, 94%) [119,120]; white solid; Rf = 0.45 (petrolether/EtOAc 1: 1); m.p. = 53–54 °C; UV–Vis: 229 nm (4.21); IR: ν = 3504br, 3281br, 2935m, 2864w, 1596w, 1475w, 1462w, 1398w, 1365w, 1321s, 1269w, 1198w, 1157vs, 1112s, 1087s, 1056m, 1026w, 1014w, 835m, 754m, 726w, 734w, 626s, 581s, 549s, 455w cm−1; 1H NMR (500 MHz, DMSO-d6): δ = 7.72–7.68 (m, 2H, 2-H, 2′-H), 7.62–7.58 (m, 2H, 3-H, 3′-H), 7.49–7.44 (m, 1H, NH), 4.29 (t, J = 5.1 Hz, 1H, OH), 3.36–3.32 (m, 2H, 12-H), 2.71 (td, J = 7.2, 3.7 Hz, 2H, 7-H), 1.37–1.31 (m, 4H, 8-H, 11-H), 1.30 (s, 9H, 6-H, 6′-H, 6′-H), 1.22–1.13 (m, 4H, 9-H, 10-H) ppm; 13C NMR:δ = 155.2 (C-4), 137.8 (C-1), 126.3 (C-2), 125.9 (C-3), 60.6 (C-12), 42.5 (C-7), 34.8 (C-5), 32.3 (C-11), 30.8 (C-6), 29.0 (C-8), 25.9 (C-10), 25.0 (C-9) ppm; MS: m/z = 336.2 (100%, [M + Na]+); anal. calcd. for C16H27NSO3 (313.46): C 61.31, H 8.68, N 4.47; found: C 59.97, H 8.98, N 4.16.

4.2.108. 6-[(4-(tert-Butyl)phenyl)sulfonamido]hexyl Sulfamate (53b)

Applying GPB: from 53a (196 mg, 0.62 mmol): 53b (152 mg, 62%); white solid; Rf = 0.69 (CHCl3/EtOAc, 2:3); m.p. = 89–90 °C; UV–Vis: 228 nm (4.12); IR: ν = 3364w, 3292m, 3253m, 2964w, 2952w, 2941w, 2863w, 1596w, 1571w, 1481w, 1427w, 1399w, 1364s, 1338m, 1323s, 1308m, 1293w, 1285w, 1270w, 1158vs, 1110m, 1088m, 1062m, 1023m, 1011w, 963m, 942m, 897m, 884m, 826s, 805w, 755m, 733w, 658s, 633m, 577s, 568s, 552m, 536m, 528m, 504w cm−1; 1H NMR:δ = 7.70–7.65 (m, 2H, 2-H, 2′-H), 7.60–7.55 (m, 2H, 3-H, 3′-H), 7.45 (t, J = 5.9 Hz, 1H, NH), 7.34 (s, 2H, NH2), 3.94 (t, J = 6.5 Hz, 2H, 12-H), 2.69 (q, J = 6.7 Hz, 2H, 7-H), 1.57–1.48 (m, 2H, 11-H), 1.37–1.29 (m, 2H, 8-H), 1.28 (s, 9H, 6-H, 6′-H, 6′-H), 1.25–1.17 (m, 4H, 9-H, 10-H) ppm; 13C NMR (126 MHz, DMSO-d6): δ = 155.2 (C-4), 137.8 (C-1), 126.3 (C-2), 125.9 (C-3), 68.9 (C-12), 42.4 (C-7), 34.8 (C-5), 30.8 (C-6), 28.8 (C-11), 28.1 (C-8), 25.5 (C-10), 24.6 (C-9) ppm; MS: m/z = 415.6 (100%, [M + Na]+); anal. calcd. for C16H28N2S2O5 (392.53): C 48.96, H 7.19, N 7.14; found: C 48.71, H 7.32, N 6.91.

4.2.109. 4-(tert-Butyl)-N-(7-hydroxyheptyl)benzene Sulfonamide (54a)

Applying GPA: from 4-(tert-butyl)benzenesulfonyl chloride (500 mg, 2.15 mmol) and 7-amino-heptanol (423 mg, 3.22 mmol): 54a (688 mg, 98%); white solid; Rf = 0.27 (petrolether/EtOAc, 2:3); m.p. = 51–52 °C; UV–Vis: 228 nm (4.20); IR: ν = 3296w, 3248m, 2927m, 2856m, 1597w, 1475w, 1464w, 1436w, 1401m, 1364w, 1319s, 1292m, 1269w, 1202w, 1156s, 1113m, 1089m, 1059s, 1030m, 1015w, 1006w, 891w, 843w, 831m, 758m, 695m, 627m, 573vs, 551s, 524w, 509w cm−1; 1H NMR:δ = 7.73–7.68 (m, 2H, 2-H, 2′-H), 7.62–7.57 (m, 2H, 3-H, 3′-H), 7.49–7.43 (m, 1H, NH), 4.29 (t, J = 5.1 Hz, 1H, OH), 3.34 (td, J = 6.8, 5.3 Hz, 2H, 13-H), 2.71 (q, J = 6.4 Hz, 2H, 7-H), 1.40–1.31 (m, 4H, 8-H, 12-H), 1.30 (s, 9H, 6-H, 6′-H, 6′-H), 1.23–1.13 (m, 6H, 9-H, 10-H, 11-H) ppm; 13C NMR (126 MHz, DMSO-d6): δ = 155.1 (C-4), 137.8 (C-1), 126.3 (C-2), 125.9 (C-3), 60.6 (C-13), 42.5 (C-7), 34.8 (C-5), 32.4 (C-12), 30.8 (C-6), 28.9 (C-8), 28.4 (C-10), 26.0 (C-9), 25.3 (C-11) ppm; MS: m/z = 350.1 (100%, [M + Na]+); anal. calcd. for C17H29NSO3 (327.48): C 62.35, H 8.93, N 4.28; found: C 62.06, H 4.55, N 3.96.

4.2.110. 7-[(4-(tert-Butyl)phenyl)sulfonamido]heptyl Sulfamate (54b)

Applying GPB: from 54a (300 mg, 0.92 mmol): 54b (269 mg, 72%); white solid; Rf = 0.75 (CHCl3/EtOAc, 2:3); m.p. = 95–96 °C; UV–Vis: 228 nm (4.10); IR: ν = 3337w, 3248m, 3125vw, 2953w, 2931m, 2856w, 1596w, 1572w, 1476w, 1463w, 1432w, 1397w, 1373s, 1366s, 1324s, 1315s, 1311s, 1291m, 1269w, 1202vw, 1169s, 1158vs, 1121w, 1111m, 1088m, 1074w, 1057m, 1047w, 1015w, 1000m, 972m, 949s, 895m, 854vw, 833m, 824s, 775w, 760s, 726m, 699s, 626m, 590m, 575vs, 564s, 550s, 535m, 529m, 517m, 502w, 477w, 411vw cm−1; 1H NMR:δ = 7.72–7.68 (m, 2H, 2-H, 2′-H), 7.62–7.58 (m, 2H, 3-H, 3′-H), 7.47 (t, J = 5.8 Hz, 1H, NH), 7.37 (s, 2H, NH2), 3.98 (t, J = 6.5 Hz, 2H, 13-H), 2.71 (td, J = 7.0, 5.9 Hz, 2H, 7-H), 1.63–1.54 (m, 2H, 12-H), 1.30 (s, 9H, 6-H, 6′-H, 6′-H), 1.39–1.16 (m, 8H, 8-H, 9-H, 10-H, 11-H) ppm; 13C NMR (126 MHz, DMSO-d6): δ = 155.2 (C-4), 137.8 (C-1), 126.3 (C-2), 125.9 (C-3), 68.9 (C-13), 42.5 (C-7), 34.8 (C-5), 30.8 (C-6), 28.9 (C-8), 28.2 (C-12), 28.0 (C-10), 25.8 (C-11), 24.9 (C-9) ppm; MS: m/z = 429.2 (100%, [M + Na]+); anal. calcd. for C17H30N2S2O5 (406.56): C 50.22, H 7.44, N 6.89; found: C 49.96, H 7.77, N 6.53.

4.2.111. 4-(tert-Butyl)-N-(8-hydroxyoctyl)benzene Sulfonamide (55a)

Applying GPA: from 4-(tert-butyl)benzenesulfonyl chloride (500 mg, 2.15 mmol) and 8-amino-octanol (468 mg, 3.22 mmol): 55a (653 mg, 89%); white solid; Rf = 0.30 (petrolether/EtOAc, 2:3); m.p. = 69–71 °C; UV–Vis: 228 nm (4.13); IR: ν = 3263m, 2927m, 2854m, 1597w, 1479w, 1467w, 1428m, 1401w, 1363w, 1325s, 1292m, 1270w, 1202w, 1156vs, 1122w, 1111m, 1088m, 1057m, 1046m, 1016w, 999w, 950vw, 896w, 881w, 841w, 827m, 757s, 736w, 723w, 675m, 634m, 575vs, 550s, 535w, 525w, 511m cm−1; 1H NMR:δ = 7.72–7.68 (m, 2H, 2-H, 2′-H), 7.62–7.58 (m, 2H, 3-H, 3′-H), 7.48–7.43 (m, 1H), 4.30 (t, J = 5.2 Hz, 1H), 3.35 (td, J = 6.6, 5.1 Hz, 2H, 14-H), 2.71 (q, J = 6.5 Hz, 2H, 7-H), 1.41–1.32 (m, 4H, 8-H, 13-H), 1.30 (s, 9H, 6-H, 6′-H, 6′-H), 1.26–1.12 (m, 8H, 9-H, 10-H, 11-H, 12-H) ppm; 13C NMR (126 MHz, DMSO-d6): δ = 155.1 (C-4), 137.8 (C-1), 126.3 (C-2), 125.9 (C-3), 60.7 (C-14), 42.5 (C-7), 34.8 (C-5), 32.5 (C-13), 30.8 (C-6), 28.9 (C-8), 28.7 (C-11), 28.6 (C-10), 25.9 (C-9), 25.4 (C-12) ppm; MS: m/z = 364.4 (100%, [M + Na]+); anal. calcd. for C18H31NSO3 (341.51): C 63.31, H 9.15, N 4.10; found: C 63.11, H 4.40, N 3.86.

4.2.112. 8-[(4-(tert-Butyl)phenyl)sulfonamido]octyl Sulfamate (55b)

Applying GPB: from 55a (200 mg, 0.59 mmol): 55b (240 mg, 98%); white solid; Rf = 0.79 (CHCl3/EtOAc, 2:3); m.p. = 79–81 °C; UV–Vis: 228 nm (4.10); IR: ν = 3334w, 3256m, 2950w, 293m, 2856w, 1596w, 1476w, 1463w, 1432w, 1392w, 1370s, 1360s, 1328s, 1314s, 1312s, 1285m, 1285w, 1169s, 1154vs, 1120w, 1110m, 1090m, 1060m, 1041w, 1011w, 1005m, 970m, 949s, 891m, 830m, 825s, 778w, 762s, 732m, 698s, 626m, 591m, 576vs, 562s, 555s, 531m, 530m, 514m cm−1; 1H NMR:δ = 7.72–7.68 (m, 2H, 2-H, 2′-H), 7.62–7.58 (m, 2H, 3-H, 3′-H), 7.46 (t, J = 5.8 Hz, 1H, NH), 7.37 (s, 2H, NH2), 3.99 (t, J = 6.5 Hz, 2H, 14-H), 2.71 (td, J = 7.0, 5.8 Hz, 2H, 7-H), 1.59 (dt, J = 8.2, 6.5 Hz, 2H, 13-H), 1.39–1.24 (m, 4H, 8-H, 12-H), 1.30 (s, 9H, 6-H, 6′-H, 6′-H), 1.26–1.12 (m, 6H, 9-H, 10-H, 11-H) ppm; 13C NMR:δ = 155.2 (C-4), 137.8 (C-1), 126.3 (C-2), 125.9 (C-3), 68.9 (C-14), 42.5 (C-7), 34.8 (C-5), 30.8 (C-6), 28.9 (C-13), 28.4 (C-11), 28.3 (C-8), 28.3 (C-10), 25.9 (C-12), 24.9 (C-9) ppm; MS: m/z = 443.8 (100%, [M + Na]+); anal. calcd. for C18H32N2S2O5 (420.58): C 51.40, H 7.67, N 6.66; found: C 51.17, H 7.90, N 6.38.

4.2.113. 4-(tert-Butyl)-N-(9-hydroxynonyl)benzene Sulfonamide (56a)

Applying GPA: from 4-(tert-butyl)benzenesulfonyl chloride (500 mg, 2.15 mmol) and 9-amino-nonanol (513 mg, 3.22 mmol): 56a (636 mg, 83%); white solid; Rf = 0.78 (CHCl3/EtOAc, 2:3); m.p. = 69–70 °C; UV–Vis: 228 nm (4.07); IR: ν = 3459vw, 3285m, 2963w, 2925m, 2856m, 1598w, 1484vw, 1471m, 1438w, 1400w, 1363w, 1323vs, 1294m, 1270w, 1243vw, 1199vw, 1154vs, 1120w, 1110m, 1090s, 1072s, 1045m, 1037m, 1013m, 973w, 902w, 863m, 836m, 820m, 776w, 754m, 723w, 681m, 627m, 574vs, 551s, 534m, 521m, 473vw, 461w, 438w cm−1; 1H NMR:δ = 7.73–7.67 (m, 2H, 2-H, 2′-H), 7.62–7.57 (m, 2H, 3-H, 3′-H), 7.46 (t, J = 5.8 Hz, 1H, NH), 4.29 (td, J = 5.2, 1.0 Hz, 1H, OH), 3.36 (td, J = 6.6, 5.1 Hz, 2H, 15-H), 2.71 (td, J = 7.0, 5.8 Hz, 2H, 7-H), 1.43–1.35 (m, 2H, 14-H), 1.35–1.31 (m, 2H, 8-H), 1.30 (s, 9H, 6-H, 6′-H, 6′-H), 1.27–1.11 (m, 10H, 9-H, 10-H, 11-H, 12-H, 13-H) ppm; 13C NMR:δ = 155.1 (C-4), 137.8 (C-1), 126.3 (C-2), 125.9 (C-3), 60.7 (C-15), 42.5 (C-7), 34.8 (C-5), 32.5 (C-14), 30.8 (C-6), 28.9 (C-8), 28.9 (C-12), 28.8 (C-10), 28.5 (C-11), 26.0 (C-9), 25.4 (C-13) ppm; MS: m/z = 378.1 (100%, [M + Na]+); anal. calcd. for C19H33NSO3 (355.54): C 64.19, H 9.36, N 3.94; found: C 63.76, H 9.51, N 3.68.

4.2.114. 9-[(4-(tert-Butyl)phenyl)sulfonamido]nonyl Sulfamate (56b)

Applying GPB: from 56a (200 mg, 0.56 mmol): 56b (187 mg, 76%); white solid; Rf = 0.88 (CHCl3/EtOAc, 2:3); m.p. = 106–107 °C; UV–Vis: 228 nm (4.06); IR: ν = 3358w, 3270m, 3124vw, 2963w, 2918w, 2853w, 1597w, 1571w, 1475w, 1466w, 1432w, 1397w, 1376s, 1314s, 1295m, 1272w, 1201vw, 1181m, 1157vs, 1111m, 1090m, 1062w, 1033m, 1015vw, 991w, 968m, 933m, 904w, 882w, 837w, 818s, 778vw, 758m, 733vw, 721w, 692m, 628w, 590m, 576s, 566s, 551m, 537m, 529w, 513w, 484m, 456vw, 411vw cm−1; 1H NMR:δ = 7.72–7.68 (m, 2H, 2-H, 2′-H), 7.62–7.58 (m, 2H, 3-H, 3′-H), 7.46 (t, J = 5.8 Hz, 1H, NH), 7.37 (s, 2H, NH2), 3.99 (t, J = 6.5 Hz, 2H, 15-H), 2.71 (td, J = 7.0, 5.8 Hz, 2H, 7-H), 1.65–1.55 (m, 2H, 14-H), 1.39–1.25 (m, 4H, 8-H, 13-H), 1.30 (s, 9H, 6-H, 6′-H, 6′-H), 1.26–1.12 (m, 8H, 9-H, 10-H, 11-H, 12-H) ppm; 13C NMR:δ = 155.16 (C-4), 137.82 (C-1), 126.31 (C-2), 125.92 (C-3), 68.96 (C-15), 42.48 (C-7), 34.78 (C-5), 30.80 (C-6), 28.92 (C-14), 28.71 (C-8), 28.43 (C-10), 28.39 (C-12), 28.29 (C-11), 25.94 (C-9), 25.01 (C-13) ppm; MS: m/z = 457.1 (100%, [M + Na]+); anal. calcd. for C19H34N2S2O5 (434.61): C 52.51, H 7.89, N 6.45; found: C 52.31, H 8.02, N 6.15.

4.2.115. 4-(tert-Butyl)-N-(10-hydroxydecyl)benzene Sulfonamide (57a)

Applying GPA: from 4-(tert-butyl)benzenesulfonyl chloride (300 mg, 1.29 mmol) and 10-amino-decanol (335 mg, 1.93 mmol): 57a (415 mg, 87%); white solid; Rf = 0.77 (CHCl3/EtOAc, 2:3); m.p. = 75–76 °C; UV–Vis: 228 nm (4.13); IR: ν = 3497w, 3131w, 2961w, 2915s, 2876w, 2849m, 1596w, 1476w, 1465m, 1447w, 1441w, 1398m, 1363w, 1317s, 1289m, 1267w, 1198w, 1154vs, 1110s, 1091m, 1074s, 1043w, 1031w, 1020m, 915m, 843m, 826m, 756m, 721w, 635s, 580vs, 554m, 521m, 505w, 468m cm−1; 1H NMR:δ = 7.72–7.68 (m, 2H, 2-H, 2′-H), 7.62–7.57 (m, 2H, 3-H, 3′-H), 7.46 (t, J = 5.7 Hz, 1H, NH), 4.30 (td, J = 5.2, 1.0 Hz, 1H, OH), 3.36 (td, J = 6.5, 5.1 Hz, 2H, 16-H), 2.74–2.67 (m, 2H, 7-H), 1.43–1.35 (m, 2H, 15-H), 1.36–1.26 (m, 2H, 8-H), 1.30 (s, 9H, 6-H, 6′-H, 6′-H), 1.27–1.11 (m, 12H, 9-H, 10-H, 11-H, 12-H, 13-H, 14-H) ppm; 13C NMR:δ = 155.1 (C-4), 137.9 (C-1), 126.3 (C-2), 125.9 (C-3), 60.7 (C-16), 42.5 (C-7), 34.8 (C-5), 32.5 (C-15), 30.8 (C-6), 29.0 (C-8), 28.9 (C-10, C-13), 28.8 (C-11), 28.5 (C-12), 26.0 (C-9), 25.5 (C-14) ppm; MS: m/z = 457.1 (100%, [M + Na]+); anal. calcd. for C20H35NSO3 (369.56): C 65.00, H 9.55, N 3.79; found: C 64.76, H 9.76, N 3.46.

4.2.116. 10-[(4-(tert-Butyl)phenyl)sulfonamido]decyl Sulfamate (57b)

Applying GPB: from 57a (180 mg, 0.48 mmol): 57b (140 mg, 64%); white solid; Rf = 0.87 (CHCl3/EtOAc, 2:3); m.p. = 92–93 °C; UV–Vis: 228 nm (4.11); IR: ν = 3354w, 3294w, 3264m, 2920m, 2852m, 1475w, 1466w, 1433w, 1393w, 1366s, 1319s, 1292w, 1158vs, 1113m, 1089m, 1055m, 1025w, 937m, 895w, 835m, 824m, 756m, 721w, 670m, 628m, 578s, 552s, 532m cm −1; 1H NMR:δ = 7.72–7.67 (m, 2H, 2-H, 2′-H), 7.62–7.57 (m, 2H, 3-H, 3′-H), 7.45 (t, J = 5.8 Hz, 1H, NH), 7.37 (s, 2H, NH2), 4.00 (t, J = 6.5 Hz, 2H, 16-H), 2.74–2.67 (m, 2H, 7-H), 1.61 (p, J = 6.6 Hz, 2H, 15-H), 1.37–1.26 (m, 2H, 8-H), 1.30 (s, 9H, 6-H, 6′-H, 6′-H), 1.27–1.11 (m, 12H, 9-H, 10-H, 11-H, 12-H, 13-H, 14-H) ppm; 13C NMR:δ = 155.2 (C-4), 137.8 (C-1), 126.3 (C-2, 2′), 125.9 (C-3, 3′), 69.0 (C-16), 42.5 (C-7), 34.8 (C-5), 30.8 (C-6, 6′, 6′), 28.9 (C-8), 28.8 (C-11), 28.8 (C-15), 28.5 (C-10), 28.5 (C-13), 28.3 (C-12), 26.0 (C-14), 25.0 (C-9) ppm; MS: m/z = 457.1 (100%, [M + Na]+); anal. calcd. for C20H36N2S2O5 (448.64): C 53.54, H 8.09, N 6.24; found: C 53.34, H 8.37, N 5.99.

4.2.117. 3-(tert-Butyl)-N-(2-hydroxyethyl)benzene Sulfonamide (58a)

Applying GPA: from 3-(tert-butyl)benzenesulfonyl chloride (500 mg, 2.15 mmol) and 2-amino-ethanol (197 mg, 3.22 mmol): 58a (522 mg, 94%); oil; Rf = 0.20 (petrolether/EtOAc, 2:3); UV–Vis: 224 nm (4.04); IR: ν = 3500w, 3276w, 2962w, 2872w, 1481m, 1460w, 1416m, 1398w, 1366w, 1325m, 1307s, 1267w, 1205vw, 1156vs, 1125m, 1096m, 1057m, 998vw, 949m, 896w, 865w, 796m, 775w, 696s, 678m, 625m, 586vs, 545m, 534m, 524m, 481w, 456w cm−1; 1H NMR:δ = 7.82–7.80 (m, 1H, 2-H), 7.67 (ddd, J = 7.8, 2.0, 1.1 Hz, 1H, 6-H), 7.62 (ddd, J = 7.8, 1.8, 1.1 Hz, 1H, 4-H), 7.58 (s, 1, NH), 7.51 (td, J = 7.8, 0.5 Hz, 1H, 5-H), 4.67 (t, J = 5.5 Hz, 1H, OH), 3.37 (q, J = 6.1 Hz, 2H, 10-H), 2.79 (t, J = 6.4 Hz, 2H, 9-H), 1.31 (s, 9H, 8-H, 8′-H, 8′-H) ppm; 13C NMR:δ = 151.9 (C-3), 140.4 (C-1), 129.3 (C-4), 128.9 (C-5), 123.7 (C-2), 122.9 (C-6), 59.9 (C-10), 45.1 (C-9), 34.7 (C-7), 30.9 (C-8) ppm; MS: m/z = 280.3 (100%, [M + Na]+); anal. calcd. for C12H19NSO3 (257.35): C 56.01, H 7.44, N 5.44; found: C 55.76, H 7.69, N 55.16.

4.2.118. 2-[(3-(tert-Butyl)phenyl)sulfonamido]ethyl Sulfamate (58b)

Applying GPB: from 58a (200 mg, 0.78 mmol): 58b (194 mg, 74%); oil; Rf = 0.68 (CHCl3/EtOAc, 2:3); UV–Vis: 224 nm (4.02); IR: ν = 3276w, 2963w, 2871w, 1560w, 1482w, 1460w, 1417w, 1365s, 1326m, 1309m, 1288w, 1267w, 1179s, 1156vs, 1125m, 1097m, 1021m, 998w, 925s, 867w, 797w, 775m, 753m, 695m, 678m, 626m, 585s, 549s, 493w, 434w cm−1; 1H NMR:δ = 7.94–7.87 (m, 1H, NH), 7.81–7.78 (m, 1H, 2-H), 7.73–7.67 (m, 1H, 6-H), 7.65–7.61 (m, 1H, 4-H), 7.56–7.47 (m, 3H, 5-H, NH2), 4.00 (t, J = 5.7 Hz, 2H, 10-H), 3.08–2.99 (m, 2H, 9-H), 1.32 (s, 9H, 8-H, 8′-H, 8′-H) ppm; 13C NMR:δ = 152.1 (3), 140.0 (1), 129.6 (4), 129.0 (5), 123.7 (2), 122.8 (6), 67.5 (10), 41.5 (9), 34.7 (7), 30.9 (8, 8′, 8′) ppm; MS: m/z = 359.6 (100%, [M + Na]+); anal. calcd. for C12H20N2S2O5 (336.42): C 42.84, H 5.99, N 8.33; found: C 42.63, H 6.24, N 8.01.

4.2.119. 3-(tert-Butyl)-N-(3-hydroxypropyl)benzene Sulfonamide (59a)

Applying GPA: from 3-(tert-butyl)benzenesulfonyl chloride (500 mg, 2.15 mmol) and 3-amino-propanol (242 mg, 3.22 mmol): 59a (572 mg, 98%); oil; Rf = 0.23 (petrolether/EtOAc, 2:3); UV–Vis: 224 nm (4.15); IR: ν = 3501w, 3276w, 2961m, 2873w, 1481m, 1460w, 1416w, 1398w, 1366w, 1324m, 1307s, 1267w, 1178w, 1155vs, 1125m, 1084m, 1069m, 1008w, 998w, 960w, 876w, 798m, 774m, 696s, 678m, 625m, 586vs, 534m, 491m, 460w cm−1; 1H NMR:δ = 7.79 (td, J = 1.9, 0.5 Hz, 1H, 2-H), 7.67 (ddd, J = 7.8, 2.0, 1.1 Hz, 1H, 6-H), 7.61 (ddd, J = 7.7, 1.8, 1.2 Hz, 1H, 4-H), 7.52 (td, J = 7.5, 1.8 Hz, 2H, 5-H, NH), 4.39 (t, J = 5.1 Hz, 1H, OH), 3.36 (td, J = 6.2, 4.5 Hz, 2H, 11-H), 2.79 (td, J = 7.5, 3.6 Hz, 2H, 9-H), 1.55–1.46 (m, 2H, 10-H), 1.31 (s, 9H, 8-H, 8′-H, 8′-H) ppm; 13C NMR:δ = 151.9 (C-3), 140.3 (C-1), 129.3 (C-4), 128.9 (C-5), 123.7 (C-2), 122.9 (C-6), 58.0 (C-11), 40.0 (C-9), 34.7 (C-7), 32.3 (C-10), 30.9 (C-8) ppm; MS: m/z = 294.1 (100%, [M + Na]+); anal. calcd. for C13H21NSO3 (271.38): C 57.54, H 7.80, N 5.16; found: C 57.16, H 8.03, N 4.91.

4.2.120. 3-[(3-(tert-Butyl)phenyl)sulfonamido]propyl Sulfamate (59b)

Applying GPB: from 59a (500 mg, 2.15 mmol): 59b (212 mg, 82%); oil; Rf = 0.68 (CHCl3/EtOAc, 2:3); UV–Vis: 224 nm (3.85); IR: ν = 3274w, 2964w, 1482w, 1417w, 1364s, 1325m, 1308m, 1177s, 1156vs, 1125m, 1096m, 939m, 798m, 772m, 696m, 678m, 625m, 585s, 550s, 536m, 496m cm−1; 1H NMR:δ = 7.79 (t, J = 1.9 Hz, 1H, 2-H), 7.72–7.59 (m, 3H, 4-H, 6-H, NH), 7.53 (t, J = 7.8 Hz, 1H, 5-H), 7.41 (s, 2H, NH2), 4.02 (t, J = 6.3 Hz, 2H, 11-H), 2.81 (t, J = 7.2 Hz, 2H, 9-H), 1.75 (p, J = 6.7 Hz, 2H, 10-H), 1.31 (s, 9H, 8-H, 8′-H, 8′-H) ppm; 13C NMR:δ = 152.1 (C-3), 140.1 (C-1), 129.5 (C-4), 129.0 (C-5), 123.7 (C-2), 122.8 (C-6), 66.5 (C-11), 39.2 (C-9), 34.7 (C-7), 30.9 (C-8), 28.7 (C-10) ppm; MS: m/z = 373.5 (100%, [M + Na]+); anal. calcd. for C13H22N2S2O5 (350.45): C 44.56, H 6.33, N 7.99; found: C 44.16, H 6.68, N 7.51.

4.2.121. 3-(tert-Butyl)-N-(4-hydroxybutyl)benzene Sulfonamide (60a)

Applying GPA: from 3-(tert-butyl)benzenesulfonyl chloride (500 mg, 2.15 mmol) and 4-amino-butanol (287 mg, 3.22 mmol): 60a (589 mg, 96%); oil; Rf = 0.20 (petrolether/EtOAc, 2:3); UV–Vis: 224 nm (3.90); IR: ν = 3499w, 3280w, 2959m, 2870w, 1481m, 1460w, 1416w, 1398w, 1366w, 1324m, 1307m, 1267w, 1156vs, 1125m, 1088m, 1056m, 1034w, 998w, 872w, 797m, 773w, 696s, 678m, 626m, 586vs, 535m, 520m, 496w, 464w cm−1; 1H NMR:δ = 7.81–7.78 (m, 1H, 2-H), 7.66 (ddd, J = 7.8, 2.0, 1.1 Hz, 1H, 6-H), 7.61 (ddd, J = 7.8, 1.8, 1.1 Hz, 1H, 4-H), 7.56–7.48 (m, 2H, 5-H, NH), 4.35 (s, 1H, OH), 3.37–3.27 (m, 2H, 12-H), 2.77–2.70 (m, 2H, 9-H), 1.43–1.32 (m, 4H, 10-H, 11-H), 1.31 (s, 9H, 8-H, 8′-H, 8′-H) ppm; 13C NMR:δ = 151.9 (C-3), 140.5 (C-1), 129.2 (C-4), 128.9 (C-5), 123.7 (C-2), 122.9 (C-6), 60.2 (C-12), 42.5 (C-9), 34.7 (C-7), 30.9 (C-8), 29.5 (C-11), 25.7 (C-10) ppm; MS: m/z = 308.4 (100%, [M + Na]+); anal. calcd. for C14H23NSO3 (285.40): C 58.92, H 8.12, N 4.91; found: C 58.68, H 8.33, N 4.78.

4.2.122. 4-[(3-(tert-Butyl)phenyl)sulfonamido]butyl Sulfamate (60b)

Applying GPB: from 60a (183 mg, 0.64 mmol): 60b (206 mg, 88%); oil; Rf = 0.69 (CHCl3/EtOAc, 2:3); UV–Vis: 225 nm (3.85); IR: ν = 3276w, 2962w, 2872w, 1481w, 1460w, 1438w, 1415w, 1366m, 1329m, 1308m, 1287w, 1266w, 1180m, 1157vs, 1125m, 1098m, 1089m, 1068m, 1010w, 996w, 923m, 865w, 799m, 778m, 741w, 698s, 677s, 631m, 588vs, 552s, 535m, 458vw cm−1; 1H NMR:δ = 7.78 (t, J = 1.9 Hz, 1H, 2-H), 7.74–7.58 (m, 3H, 4-H, 6-H, NH), 7.52 (t, J = 7.7 Hz, 1H, 5-H), 7.38 (s, 2H, NH2), 3.95 (t, J = 6.3 Hz, 2H, 12-H), 2.76 (q, J = 6.6 Hz, 2H, 9-H), 1.66–1.56 (m, 2H, 11-H), 1.48–1.39 (m, 2H, 10-H), 1.32 (s, 9H, 8-H, 8′-H, 8′-H) ppm; 13C NMR:δ = 152.0 (C-3), 140.4 (C-1), 129.3 (C-4), 129.0 (C-5), 123.7 (C-6), 122.8 (C-2), 34.7 (C-7), 30.9 (C-8), 25.6 (C-11), 25.4 (C-10) ppm; MS: m/z = 387.1 (100%, [M + Na]+); anal. calcd. for C14H24N2S2O5 (364.48): C 46.14, H 6.64, N 7.69; found: C 45.85, H 6.99, N 7.41.

4.2.123. 3-(tert-Butyl)-N-(5-hydroxypentyl)benzene Sulfonamide (61a)

Applying GPA: from 3-(tert-butyl)benzenesulfonyl chloride (500 mg, 2.15 mmol) and 5-amino-pentanol (332 mg, 3.22 mmol): 61a (610 mg, 95%); oil; Rf = 0.23 (petrolether/EtOAc, 2:3); UV–Vis: 224 nm (3.90); IR: ν = 3503w, 3278w, 2939m, 2868w, 1481m, 1459w, 1416w, 1398w, 1366w, 1325m, 1307m, 1267w, 1156vs, 1125m, 1087m, 1040m, 998w, 898w, 797w, 774w, 697s, 678m, 626m, 586vs, 534m, 501w, 478w, 461w cm−1; 1H NMR:δ = 7.79 (td, J = 1.9, 0.5 Hz, 1H, 2-H), 7.66 (ddd, J = 7.8, 2.0, 1.1 Hz, 1H, 6-H), 7.61 (ddd, J = 7.7, 1.8, 1.2 Hz, 1H, 4-H), 7.55–7.48 (m, 2H, 5-H, NH), 4.30 (t, J = 5.1 Hz, 1H, OH), 3.35–3.27 (m, 2H, 13-H), 2.72 (q, J = 6.2 Hz, 2H, 9-H), 1.38–1.31 (m, 4H, 10-H, 12-H), 1.31 (s, 9H, 8-H, 8′-H, 8′-H), 1.26–1.17 (m, 2H, 11-H) ppm; 13C NMR (126 MHz, DMSO-d6): δ = 151.9 (C-3), 140.5 (C-1), 129.2 (C-4), 128.9 (C-5), 123.7 (C-2), 122.8 (C-6), 60.5 (C-13), 42.6 (C-9), 34.7 (C-7), 32.0 (C-12), 30.9 (C-8), 28.8 (C-10), 22.6 (C-11) ppm; MS: m/z = 322.3 (100%, [M + Na]+); anal. calcd. for C15H25NSO3 (299.43): C 60.17, H 8.42, N 4.68; found: C 59.86, H 8.85, N 4.32.

4.2.124. 5-[(3-(tert-Butyl)phenyl)sulfonamido]pentyl Sulfamate (61b)

Applying GPB: from 61a (200 mg, 0.67 mmol): 61b (150 mg, 59%); oil; Rf = 0.69 (CHCl3/EtOAc, 2:3); UV–Vis: 224 nm (4.15); IR: ν = 3420w, 3368w, 3287m, 2920m, 2859w, 2869w, 1478w, 1410m, 1388w, 1332m, 1315w, 1299w, 1152vs, 1078m, 1062m, 1013m, 963w, 900m, 817s, 735w, 701w, 668s, 570s, 552s, 516m, 464w, 415w cm−1; 1H NMR:δ = 7.91–7.83 (m, 2H, 2-H, NH), 7.66 (dd, J = 8.1, 1.4 Hz, 1H, 6-H), 7.52 (ddd, J = 8.1, 7.2, 1.5 Hz, 1H, 4-H), 7.43–7.40 (m, 1H, 5-H), 7.39–7.37 (m, 2H, NH2), 3.99 (t, J = 6.5 Hz, 2H, 13-H), 2.86–2.78 (m, 2H, 9-H), 1.65–1.55 (m, 2H, 12-H), 1.51 (s, 9H, 8-H, 8′-H, 8′-H), 1.49–1.45 (m, 2H, 10-H), 1.41–1.30 (m, 2H, 11-H) ppm; 13C NMR:δ = 148.9 (C-3), 140.6 (C-1), 131.8 (C-4), 129.4 (C-5), 129.0 (C-2), 126.4 (C-6), 68.9 (C-13), 42.6 (C-9), 36.7 (C-7), 31.8 (C-8), 28.7 (C-12), 27.9 (C-10), 22.3 (C-11) ppm; MS: m/z = 401.6 (100%, [M + Na]+); anal. calcd. for C15H26N2S2O5 (378.50): C 47.60, H 6.92, N 7.40; found: C 47.38, H 7.17, N 7.36.

4.2.125. 3-(tert-Butyl)-N-(6-hydroxyhexyl)benzene Sulfonamide (62a)

Applying GPA: from 3-(tert-butyl)benzenesulfonyl chloride (500 mg, 2.15 mmol) and 6-amino-hexanol (378 mg, 3.22 mmol): 62a (621 mg, 92%); oil; Rf = 0.25 (petrolether/EtOAc, 2:3); UV–Vis: 225 nm (3.94); IR: ν = 3505vw, 3278w, 2935m, 2864w, 1597vw, 1481w, 1460w, 1416w, 1397w, 1366w, 1325m, 1307m, 1287w, 1267w, 1156vs, 1125m, 1097m, 1086m, 1073m, 1055m, 899w, 869w, 797m, 773w, 697s, 678m, 626m, 587vs, 534m, 500w, 469w, 457w, 445w cm−1; 1H NMR:δ = 7.80–7.78 (m, 1H, 2-H), 7.66 (ddd, J = 7.8, 2.0, 1.1 Hz, 1H, 6-H), 7.60 (ddd, J = 7.7, 1.8, 1.2 Hz, 1H, 4-H), 7.55–7.48 (m, 2H, 5-H, NH), 4.29 (t, J = 5.1 Hz, 1H, OH), 3.36–3.30 (m, 2H, 14-H), 2.72 (td, J = 7.0, 5.7 Hz, 2H, 9-H), 1.37–1.32 (m, 4H, 10-H, 13-H), 1.31 (s, 9H, 8-H, 8′-H, 8′-H), 1.22–1.12 (m, 4H, 11-H, 12-H) ppm; 13C NMR:δ = 151.9 (C-3), 140.5 (C-1), 129.2 (C-4), 128.9 (C-5), 123.7 (C-2), 122.8 (C-6), 60.6 (C-14), 42.5 (C-9), 34.7 (C-7), 32.3 (C-13), 30.9 (C-8), 28.9 (C-10), 25.9 (C-11), 25.0 (C-12) ppm; MS: m/z = 336.2 (100%, [M + Na]+); anal. calcd. for C16H27NSO3 (313.46): C 61.31, H 8.68, N 4.47; found: C 61.07, H 9.01, N 4.15.

4.2.126. 6-[(3-(tert-Butyl)phenyl)sulfonamido]hexyl Sulfamate (62b)

Applying GPB: from 62a (200 mg, 0.64 mmol): 62b (160 mg, 64%); oil; Rf = 0.73 (CHCl3/EtOAc, 2:3); UV–Vis: 225 nm (3.84); IR: ν = 3276w, 2960w, 2867w, 1561vw, 1481w, 1462w, 1417w, 1364s, 1325m, 1307m, 1267w, 1177s, 1156vs, 1125m, 1098m, 1088m, 923s, 798m, 773w, 725w, 697m, 678m, 626m, 587vs, 551s, 535m, 465w cm−1; 1H NMR:δ = 7.80–7.78 (m, 1H, 2-H), 7.67 (ddd, J = 7.8, 2.1, 1.2 Hz, 1H, 6-H), 7.62–7.58 (m, 1H, 4-H), 7.57–7.48 (m, 2H, 5-H, NH), 7.36 (s, 2H, NH2), 3.96 (t, J = 6.5 Hz, 2H, 14-H), 2.73 (q, J = 6.6 Hz, 2H, 9-H), 1.60–1.50 (m, 2H, 13-H), 1.39–1.28 (m, 2H, 10-H), 1.31 (s, 9H, 8-H, 8′-H, 8′-H), 1.27–1.17 (m, 4H, 11-H, 12-H) ppm; 13C NMR (126 MHz, DMSO-d6): δ = 151.9 (C-3), 140.5 (C-1), 129.2 (C-4), 128.9 (C-5), 123.7 (C-2), 122.8 (C-6), 68.9 (C-14), 42.4 (C-9), 34.7 (C-7), 30.9 (C-8), 28.8 (C-13), 28.2 (C-10), 25.5 (C-12), 24.6 (C-11) ppm; MS: m/z = 415.6 (100%, [M + Na]+); anal. calcd. for C16H28N2S2O5 (392.53): C 48.96, H 7.19, N 7.14; found: C 48.71, H 7.32, N 6.84.

4.2.127. 3-(tert-Butyl)-N-(7-hydroxyheptyl)benzene Sulfonamide (63a)

Applying GPA: from 3-(tert-butyl)benzenesulfonyl chloride (500 mg, 2.15 mmol) and 7-amino-heptanol (422 mg, 3.22 mmol): 63a (635 mg, 90%); oil; Rf = 0.25 (petrolether/EtOAc, 2:3); UV–Vis: 225 nm (4.00); IR: ν = 3503vw, 3279w, 2932m, 2860w, 1481w, 1461w, 1416w, 1397w, 1366w, 1325m, 1308m, 1267w, 1156vs, 1125m, 1098m, 1087m, 1056m, 999w, 897w, 797w, 773w, 724w, 697s, 678m, 626m, 587vs, 534m, 500w, 461w, 445w cm−1; 1H NMR:δ = 7.80–7.77 (m, 1H, 2-H), 7.66 (ddd, J = 7.8, 2.0, 1.1 Hz, 1H, 6-H), 7.60 (ddd, J = 7.7, 1.8, 1.1 Hz, 1H, 4-H), 7.55–7.47 (m, 2H, 5-H, NH), 4.29 (t, J = 5.1 Hz, 1H, OH), 3.40–3.31 (m, 2H, 15-H), 2.76–2.68 (m, 2H, 9-H), 1.40–1.32 (m, 4H, 10-H, 14-H), 1.31 (s, 9H, 8-H, 8′-H, 8′-H), 1.24–1.09 (m, 6H, 11-H, 12-H, 13-H) ppm; 13C NMR (126 MHz, DMSO-d6): δ = 151.8 (C-3), 140.5 (C-1), 129.2 (C-4), 128.9 (C-5), 123.7 (C-2), 122.8 (C-6), 60.7 (C-15), 42.5 (C-9), 34.7 (C-7), 32.4 (C-14), 30.9 (C-8), 28.8 (C-10), 28.4 (C-12), 26.0 (C-11), 25.3 (C-13) ppm; MS: m/z = 350.3 (100%, [M + Na]+); anal. calcd. for C17H29NSO3 (327.48): C 62.35, H 8.93, N 4.28; found: C 62.03, H 9.21, N 3.96.

4.2.128. 7-[(3-(tert-Butyl)phenyl)sulfonamido]heptyl Sulfamate (63b)

Applying GPB: from 63a (200 mg, 0.61 mmol): 63b (134 mg, 54%); oil; Rf = 0.78 (CHCl3/EtOAc, 2:3); UV–Vis: 225 nm (4.10); IR: ν = 3277w, 2937w, 2862w, 1562w, 1481w, 1417w, 1364s, 1325m, 1307m, 1267w, 1177s, 1156vs, 1125m, 1098m, 1088m, 923s, 799m, 773m, 724w, 697m, 678m, 626m, 587vs, 551s, 495w, 460w, 443vw cm−1; 1H NMR:δ = 7.79 (td, J = 1.9, 0.5 Hz, 1H, 2-H), 7.67 (ddd, J = 7.8, 2.0, 1.1 Hz, 1H, 6-H), 7.60 (ddd, J = 7.7, 1.8, 1.2 Hz, 1H, 4-H), 7.56–7.49 (m, 2H, 5-H, NH), 7.37 (s, 2H, NH2), 3.98 (t, J = 6.5 Hz, 2H, 15-H), 2.73 (td, J = 6.9, 5.8 Hz, 2H, 9-H), 1.61–1.53 (m, 2H, 14-H), 1.31 (s, 9H, 8-H, 8′-H, 8′-H), 1.35–1.28 (m, 2H, 10-H), 1.27–1.14 (m, 6H, 11-H, 12-H, 13-H) ppm; 13C NMR:δ = 151.9 (C-3), 140.5 (C-1), 129.2 (C-4), 128.9 (C-5), 123.7 (C-2), 122.8 (C-6), 68.9 (C-15), 42.5 (C-9), 34.7 (C-7), 30.9 (C-8), 28.8 (C-14), 28.2 (C-11), 28.0 (C-10), 25.8 (C-13), 24.9 (C-12) ppm; MS: m/z = 429.7 (100%, [M + Na]+); anal. calcd. for C17H30N2S2O5 (406.56): C 50.22, H 7.44, N 6.89; found: C 49.96, H 7.79, N 6.65.

4.2.129. 3-(tert-Butyl)-N-(8-hydroxyoctyl)benzene Sulfonamide (64a)

Applying GPA: from 3-(tert-butyl)benzenesulfonyl chloride (500 mg, 2.15 mmol) and 8-amino-octanol (468 mg, 3.22 mmol): 64a (703 mg, 96%); oil; Rf = 0.30 (petrolether/EtOAc, 2:3); UV–Vis: 225 nm (3.92); IR: ν = 3503vw, 3279w, 2930m, 2857m, 1481w, 1461w, 1416w, 1397w, 1366w, 1325m, 1308m, 1267w, 1157vs, 1125m, 1098m, 1086m, 998vw, 898w, 797m, 774w, 722w, 697s, 678m, 626m, 587vs, 534m, 515m cm−1; 1H NMR:δ = 7.79 (td, J = 1.9, 0.5 Hz, 1H, 2-H), 7.66 (ddd, J = 7.8, 2.0, 1.1 Hz, 1H, 6-H), 7.60 (ddd, J = 7.7, 1.8, 1.1 Hz, 1H, 4-H), 7.54–7.48 (m, 2H, 5-H, NH), 4.29 (t, J = 5.1 Hz, 1H, OH), 3.38–3.33 (m, 2H, 16-H), 2.72 (td, J = 6.9, 2.7 Hz, 2H, 9-H), 1.41–1.32 (m, 4H, 10-H, 15-H), 1.31 (s, 9H, 8-H, 8′-H, 8′-H), 1.25–1.09 (m, 8H, 11-H, 12-H, 13-H, 14-H) ppm; 13C NMR:δ = 151.9 (C-3), 140.6 (C-1), 129.2 (C-4), 128.9 (C-5), 123.7 (C-2), 122.9 (C-6), 60.7 (C-16), 42.5 (C-9), 34.7 (C-7), 32.5 (C-15), 30.9 (C-8), 28.8 (C-10), 28.8 (C-12), 28.6 (C-13), 25.9 (C-11), 25.4 (C-14) ppm; MS: m/z = 364.4 (100%, [M + Na]+); anal. calcd. for C18H31NSO3 (341.51): C 63.31, H 9.15, N 4.10; found: C 63.07, H 9.42, N 3.91.

4.2.130. 8-[(3-(tert-Butyl)phenyl)sulfonamido]octyl Sulfamate (64b)

Applying GPB: from 64a (200 mg, 0.59 mmol): 64b (221 mg, 90%); white solid; Rf = 0.83 (CHCl3/EtOAc, 2:3); m.p. = 57–59 °C; UV–Vis: 225 nm (3.99); IR: ν = 3364w, 3279m, 2967w, 2928m, 2858w, 1558w, 1481w, 1475w, 1466w, 1428w, 1399w, 1378s, 1322m, 1310s, 1289m, 1270w, 1178s, 1170s, 1158vs, 1127m, 1099w, 1070w, 1057m, 1037m, 999w, 959vs, 909s, 896s, 820s, 793m, 775m, 761w, 725m, 706m, 692vs, 667m, 628m, 621m, 588vs, 554s, 535s, 510s, 485m cm−1; 1H NMR:δ = 7.79 (td, J = 1.9, 0.5 Hz, 1H, 2-H), 7.67 (ddd, J = 7.8, 2.0, 1.1 Hz, 1H, 6-H), 7.60 (ddd, J = 7.7, 1.8, 1.2 Hz, 1H, 4-H), 7.56–7.48 (m, 2H, 5-H, NH), 7.37 (s, 2H, NH2), 3.99 (t, J = 6.5 Hz, 2H, 16-H), 2.72 (td, J = 7.0, 5.8 Hz, 2H, 9-H), 1.63–1.54 (m, 2H, 15-H), 1.36–1.21 (m, 4H, 10-H, 14-H), 1.31 (s, 9H, 8-H, 8′-H, 8′-H), 1.22–1.11 (m, 6H, 11-H, 12-H, 13-H) ppm; 13C NMR (126 MHz, DMSO-d6): δ = 151.9 (C-3), 140.5 (C-1), 129.2 (C-4), 128.9 (C-5), 123.7 (C-2), 122.8 (C-6), 68.9 (C-16), 42.5 (C-9), 34.7 (C-7), 30.9 (C-8), 28.8 (C-15), 28.4 (C-13), 28.3 (C-10), 28.3 (C-12), 25.9 (C-11), 24.9 (C-14) ppm; MS: m/z = 443.8 (100%, [M + Na]+); anal. calcd. for C18H32N2S2O5 (420.58): C 51.40, H 7.67, N 6.66; found: C 51.17, H 7.96, N 6.45.

4.2.131. 2-(tert-Butyl)-N-(5-hydroxypentyl)benzene Sulfonamide (65a)

Applying GPA: from 2-(tert-butyl)benzenesulfonyl chloride (330 mg, 1.42 mmol) and 5-amino-pentanol (219 mg, 2.13 mmol): 65a (352 mg, 83%); oil; Rf = 0.23 (petrolether/EtOAc, 2:3); UV–Vis: 221 nm (3.83); IR: ν = 3493vw, 3294w, 3060vw, 2938m, 2867w, 1463w, 1432w, 1400w, 1366w, 1314s, 1260w, 1243w, 1199vw, 1175w, 1152vs, 1128m, 1111m, 1082m, 1057m, 1044m, 934vw, 874vw, 841vw, 760m, 734m, 662m, 592vs, 546s, 475w, 434vw cm−1; 1H NMR (500 MHz, DMSO-d6): δ = 7.89 (dd, J = 8.0, 1.5 Hz, 1H, 3-H), 7.83 (t, J = 5.6 Hz, 1H, NH), 7.66 (dd, J = 8.2, 1.4 Hz, 1H, 6-H), 7.51 (td, J = 7.6, 1.5 Hz, 1H, 4-H), 7.40 (td, J = 7.6, 1.4 Hz, 1H, 5-H), 4.32 (t, J = 5.1 Hz, 1H, OH), 3.36 (td, J = 6.4, 5.0 Hz, 2H, 13-H), 2.81 (q, J = 6.6 Hz, 2H, 9-H), 1.53–1.50 (m, 9H, 8-H, 8′-H, 8′-H), 1.48–1.25 (m, 6H, 10-H, 11-H, 12-H) ppm; 13C NMR (126 MHz, DMSO-d6): δ = 148.9 (C-2), 140.7 (C-1), 131.7 (C-4), 129.4 (C-3), 128.9 (C-6), 126.4 (C-5), 60.5 (C-13), 42.8 (C-9), 36.7 (C-7), 32.0 (C-12), 31.8 (C-8), 29.1 (C-10), 22.6 (C-11) ppm; MS: m/z = 322.3 (100%, [M + Na]+); anal. calcd. for C15H25NSO3 (299.43): C 60.17, H 8.42, N 4.68; found: C 59.82, H 8.69, N 4.32.

4.2.132. 5-[(2-(tert-Butyl)phenyl)sulfonamido]pentyl Sulfamate (65b)

Applying GPB: from 65a (120 mg, 0.4 mmol): 65b (88 mg, 58%); oil; Rf = 0.66 (CHCl3/EtOAc, 2:3); UV–Vis: 221 nm (3.98); IR: ν = 3283w, 2941w, 2867w, 1566w, 1464w, 1432w, 1362s, 1313s, 1260w, 1243w, 1176s, 1152vs, 1128m, 1111m, 1083w, 1059w, 923s, 839w, 822w, 761s, 733m, 662m, 593vs, 550vs cm−1; 1H NMR:δ = 7.80–7.77 (m, 1H, 6-H), 7.67 (ddd, J = 7.8, 2.0, 1.1 Hz, 1H, 3-H), 7.60 (ddd, J = 7.7, 1.8, 1.2 Hz, 1H, 5-H), 7.56 (t, J = 5.9 Hz, 1H, NH), 7.52 (t, J = 7.8 Hz, 1H, 4-H), 7.37 (s, 2H, NH2), 3.95 (t, J = 6.5 Hz, 2H, 13-H), 2.73 (q, J = 6.6 Hz, 2H, 9-H), 1.58–1.50 (m, 2H, 12-H), 1.42–1.33 (m, 2H, 10-H), 1.31 (s, 9H, 8-H, 8′-H, 8′-H), 1.34–1.22 (m, 2H, 11-H) ppm; 13C NMR:δ = 151.9 (C-2), 140.4 (C-1), 129.3 (C-4), 128.9 (C-3), 123.7 (C-6), 122.8 (C-5), 68.8 (C-13), 42.3 (C-9), 34.7 (C-7), 30.9 (C-8), 28.4 (C-12), 27.8 (C-10), 22.2 (C-11) ppm; MS: m/z = 401.6 (100%, [M + Na]+); anal. calcd. for C15H26N2S2O5 (378.50): C 47.60, H 6.92, N 7.40; found: C 47.26, H 7.17, N 7.13.

4.2.133. 2-(tert-Butyl)-N-(6-hydroxyhexyl)benzene Sulfonamide (66a)

Applying GPA: from 2-(tert-butyl)benzenesulfonyl chloride (330 mg, 1.42 mmol) and 6-amino-hexanol (249 mg, 2.13 mmol): 66a (419 mg, 94%); oil; Rf = 0.30 (petrolether/EtOAc, 2:3); UV–Vis: 221 nm (3.78); IR: ν = 3497vw, 3295w, 2934m, 2863w, 1463w, 1432w, 1400w, 1366w, 1314s, 1260w, 1242w, 1199vw, 1175w, 1152vs, 1128m, 1111m, 1056m, 842vw, 760m, 734m, 662m, 592vs, 546m, 476w cm −1; 1H NMR:δ = 7.89 (dd, J = 8.0, 1.5 Hz, 1H, 3-H), 7.82 (t, J = 5.8 Hz, 1H, NH), 7.66 (dd, J = 8.1, 1.3 Hz, 1H, 6-H), 7.51 (ddd, J = 8.0, 7.2, 1.5 Hz, 1H, 4-H), 7.43–7.37 (m, 1H, 5-H), 4.31 (t, J = 5.2 Hz, 1H, OH), 3.36 (td, J = 6.5, 5.2 Hz, 2H, 14-H), 2.81 (td, J = 7.1, 5.8 Hz, 2H, 9-H), 1.51 (s, 9H, 8-H, 8′-H, 8′-H), 1.48–1.33 (m, 4H, 10-H, 13-H), 1.31–1.19 (m, 4H, 11-H, 12-H) ppm; 13C NMR (126 MHz, DMSO-d6): δ = 148.8 (C-2), 140.7 (C-1), 131.7 (C-4), 129.4 (C-3), 128.9 (C-6), 126.4 (C-5), 60.6 (C-14), 42.8 (C-9), 36.7 (C-7), 32.4 (C-13), 31.8 (C-8), 29.3 (C-10), 26.0 (C-12), 25.1 (C-11) ppm; MS: m/z = 336.3 (100%, [M + Na]+); anal. calcd. for C16H27NSO3 (313.46): C 61.31, H 8.68, N 4.47; found: C 61.04, H 8.94, N 4.11.

4.2.134. 6-[(2-(tert-Butyl)phenyl)sulfonamido]hexyl Sulfamate (66b)

Applying GPB: from 66a (120 mg, 0.38 mmol): 66b (141 mg, 94%); oil; Rf = 0.70 (CHCl3/EtOAc, 2:3); UV–Vis: 221 nm (4.00); IR: ν = 3283w, 2941w, 2867w, 1566w, 1464w, 1432w, 1362s, 1313s, 1260w, 1243w, 1176s, 1152vs, 1128m, 1111m, 1083w, 1059w, 923s, 839w, 822w, 761s, 733m, 662m, 593vs, 550vs cm −1; 1H NMR:δ = 7.89 (dd, J = 8.0, 1.5 Hz, 1H, 3-H), 7.84 (t, J = 5.8 Hz, 1H, NH), 7.66 (dd, J = 8.1, 1.4 Hz, 1H, 6-H), 7.51 (ddd, J = 7.9, 7.2, 1.5 Hz, 1H, 4-H), 7.44–7.39 (m, 1H, 5-H), 7.38 (s, 2H, NH2), 3.99 (t, J = 6.5 Hz, 2H, 14-H), 2.81 (td, J = 7.0, 5.8 Hz, 2H, 9-H), 1.64–1.54 (m, 2H, 13-H), 1.51 (s, 9H, 8-H, 8′-H, 8′-H), 1.49–1.41 (m, 2H, 10-H), 1.33–1.25 (m, 4H, 11-H, 12-H) ppm; 13C NMR:δ = 148.9 (C-2), 140.7 (C-1), 131.8 (C-4), 129.4 (C-3), 129.0 (C-6), 126.4 (C-5), 68.9 (C-14), 42.7 (C-9), 36.7 (C-7), 31.8 (C-8), 29.1 (C-13), 28.2 (C-10), 25.6 (C-12), 24.6 (C-11) ppm; MS: m/z = 415.6 (100%, [M + Na]+); anal. calcd. for C16H28N2S2O5 (392.53): C 48.96, H 7.19, N 7.14; found: C 48.75, H 7.43, N 6.87.

4.2.135. 2-(tert-Butyl)-N-(7-hydroxyheptyl)benzene Sulfonamide (67a)

Applying GPA: from 2-(tert-butyl)benzenesulfonyl chloride (330 mg, 1.42 mmol) and 7-amino-heptanol (279 mg, 2.13 mmol): 67a (411 mg, 89%); oil; Rf = 0.34 (petrolether/EtOAc, 2:3); UV–Vis: 221 nm (4.03); IR: ν = 3496vw, 3295w, 2931m, 2859w, 1463w, 1432w, 1400w, 1366w, 1315s, 1260w, 1242w, 1199vw, 1175vw, 1152s, 1128m, 1111m, 1057m, 866vw, 840vw, 760m, 734m, 662m, 593vs, 547m, 477w, 428vw cm−1; 1H NMR:δ = 7.90 (dt, J = 8.0, 1.3 Hz, 1H, 3-H), 7.82 (s, 1H, NH), 7.66 (dt, J = 8.1, 1.3 Hz, 1H, 6-H), 7.54–7.47 (m, 1H, 4-H), 7.44–7.37 (m, 1H, 5-H), 4.23 (s, 1H, OH), 3.40–3.33 (m, 2H, 15-H), 2.85–2.76 (m, 2H, 9-H), 1.56–1.48 (m, 9H, 8-H, 8′-H, 8′-H), 1.47–1.33 (m, 4H, 10-H, 14-H), 1.30–1.16 (m, 6H, 11-H, 12-H, 13-H) ppm; 13C NMR (126 MHz, DMSO-d6): δ = 148.8 (C-2), 140.7 (C-1), 131.7 (C-4), 129.5 (C-3), 128.9 (C-6), 126.4 (C-5), 60.7 (C-15), 42.7 (C-9), 36.7 (C-7), 32.4 (C-14), 31.8 (C-8), 29.2 (C-10), 28.5 (C-12), 26.1 (C-11), 25.4 (C-13) ppm; MS: m/z = 350.3 (100%, [M + Na]+); anal. calcd. for C17H29NSO3 (327.48): C 62.35, H 8.93, N 4.28; found: C 62.02, H 9.25, N 3.96.

4.2.136. 7-[(2-(tert-Butyl)phenyl)sulfonamido]heptyl Sulfamate (67b)

Applying GPB: from 67a (150 mg, 0.46 mmol): 67b (165 mg, 89%); oil; Rf = 0.76 (CHCl3/EtOAc, 2:3); UV–Vis: 221 nm (3.87); IR: ν = 3283w, 2936w, 2862w, 1566w, 1464w, 1432w, 1362s, 1314s, 1177s, 1152vs, 1128m, 1111m, 1083w, 1058w, 1000w, 924s, 838w, 814w, 762s, 734m, 662m, 593vs, 550vs, 500m cm−1; 1H NMR:δ = 7.89 (dd, J = 8.0, 1.5 Hz, 1H, 3-H), 7.83 (t, J = 5.8 Hz, 1H, NH), 7.66 (dd, J = 8.1, 1.3 Hz, 1H, 6-H), 7.51 (td, J = 8.1, 7.7, 1.5 Hz, 1H, 4-H), 7.44–7.38 (m, 1H, 5-H), 7.37 (s, 2H, NH2), 3.99 (t, J = 6.5 Hz, 2H, 15-H), 2.81 (td, J = 7.0, 5.8 Hz, 2H, 9-H), 1.64–1.55 (m, 2H, 14-H), 1.51 (s, 9H, 8-H, 8′-H, 8′-H), 1.48–1.39 (m, 2H, 10-H), 1.35–1.21 (m, 6H, 11-H, 12-H, 13-H) ppm; 13C NMR:δ = 148.8 (C-2), 140.7 (C-1), 131.8 (C-4), 129.5 (C-3), 129.0 (C-6), 126.4 (C-5), 69.0 (C-15), 42.7 (C-9), 36.7 (C-7), 31.8 (C-8), 29.1 (C-14), 28.2 (C-11), 28.0 (C-10), 25.9 (C-13), 25.0 (C-12) ppm; MS: m/z = 429.6 (100%, [M + Na]+); anal. calcd. for C17H30N2S2O5 (406.56): C 50.22, H 7.44, N 6.89; found: C 49.94, H 7.76, N 6.53.

4.2.137. 4-Cyclohexyl-N-(2-hydroxyethyl)benzene Sulfonamide (68a) [919974-61-1]

Applying GPA: from 4-cyclohexylbenzenesulfonyl chloride (500 mg, 1.93 mmol) and 2-amino-ethanol (177 mg, 2.90 mmol): 68a (453 mg, 83%); oil; Rf = 0.56 (CHCl3/EtOAc, 2:3); UV–Vis: 229 nm (4.19); IR: ν = 3514vw, 3264w, 3146w, 2920m, 2848m, 1597w, 1496vw, 1483vw, 1461w, 1451m, 1427w, 1409w, 1348w, 1319s, 1278w, 1260w, 1216vw, 1188w, 1156s, 1134w, 1093s, 1059m, 1036m, 1018w, 996w, 953m, 890w, 864vw, 842w, 826s, 802w, 782vw, 731w, 701s, 631w, 597s, 574vs, 527m, 504w, 491w, 479w, 458m cm−1; 1H NMR:δ = 7.72–7.68 (m, 2H, 2-H, 2′-H), 7.51–7.46 (m, 1H, NH), 7.45–7.40 (m, 2H, 3-H, 3′-H), 4.66 (t, J = 5.6 Hz, 1H, OH), 3.37 (q, J = 6.3 Hz, 2H, 10-H), 2.77 (q, J = 5.9 Hz, 2H, 9-H), 2.64–2.55 (m, 1H, 5-H), 1.84–1.74 (m, 4H, 6-Ha, 6′-Ha, 7-Ha, 7′-Ha), 1.74–1.66 (m, 1H, 8-Ha), 1.50–1.30 (m, 4H, 6-Hb, 6′-Hb, 7-Hb, 7′-Hb), 1.30–1.17 (m, 1H, 8-Hb) ppm; 13C NMR:δ = 152.1 (C-4), 138.0 (C-1), 127.4 (C-2), 126.6 (C-3), 59.9 (C-10), 45.1 (C-9), 43.6 (C-5), 33.5 (C-6), 26.2 (C-7), 25.4 (C-8) ppm; MS: m/z = 305.9 (90%, [M + Na]+); anal. calcd. for C14H21NSO3 (283.39): C 59.34, H 7.47, N 4.94; found: C 59.11, H 7.85, N 4.65.

4.2.138. 2-[(4-Cyclohexylphenyl)sulfonamido]ethyl Sulfamate (68b)

Applying GPB: from 68a (200 mg, 0.71 mmol): 68b (232 mg, 91%); white solid; Rf = 0.77 (CHCl3/EtOAc, 2:3); m.p. = 109–110 °C; UV–Vis: 229 nm (4.28); IR: ν = 3358m, 3256w, 2922m, 2849w, 1599w, 1549w, 1462w, 1452w, 1412m, 1363s, 1314s, 1279w, 1252vw, 1181s, 1154vs, 1095m, 1078w, 1010m, 998m, 957s, 903m, 828m, 781m, 748s, 723m, 702s, 634w, 610s, 563s, 549vs, 525m, 501m, 465m, 449m cm−1; 1H NMR:δ = 7.82 (t, J = 6.0 Hz, 1H, NH), 7.73–7.69 (m, 2H, 2-H, 2′-H), 7.50 (s, 2H, NH2), 7.47–7.42 (m, 2H, 3-H, 3′-H), 4.00 (t, J = 5.7 Hz, 2H, 10-H), 3.03 (q, J = 5.8 Hz, 2H, 9-H), 2.64–2.55 (m, 1H, 5-H), 1.84–1.76 (m, 4H, 6-Ha, 6′-Ha, 7-Ha, 7′-Ha), 1.75–1.67 (m, 1H, 8-Ha), 1.49–1.30 (m, 5H, 6-Hb, 6′-Hb, 7-Hb, 7′-Hb), 1.30–1.18 (m, 1H, 8-Hb) ppm; 13C NMR:δ = 152.4 (C-1), 137.7 (C-4), 127.5 (C-2), 126.6 (C-3), 67.6 (C-10), 43.6 (C-5), 41.5 (C-9), 33.5 (C-6), 26.2 (C-7), 25.4 (C-8) ppm; MS: m/z = 385.5 (100%, [M + Na]+); anal. calcd. for C14H22N2S2O5 (362.46): C 46.39, H 6.12, N 7.73; found: C 46.16, H 6.38, N 7.41.

4.2.139. 4-Cyclohexyl-N-(3-hydroxypropyl)benzene Sulfonamide (69a) [919974-63-3]

Applying GPA: from 4-cyclohexylbenzenesulfonyl chloride (500 mg, 1.93 mmol) and 3-amino-propanol (218 mg, 2.90 mmol): 69a (470 mg, 82%); white solid; Rf = 0.53 (CHCl3/EtOAc, 2:3); m.p. = 78–79 °C; UV–Vis: 229 nm (4.13); IR: ν = 3471w, 3167w, 2929m, 2851m, 1598w, 1494vw, 1472w, 1463w, 1448w, 1424w, 1407w, 1375vw, 1351vw, 1310s, 1283w, 1230vw, 1185w, 1157vs, 1096m, 1075s, 1005m, 964m, 943w, 876m, 853w, 838w, 827m, 803w, 781w, 740m, 698m, 595vs, 574s, 507m, 481w, 455w cm−1; 1H NMR:δ = 7.72–7.66 (m, 2H, 2-H, 2′-H), 7.47–7.37 (m, 3H, NH, 3-H, 3′-H), 4.39 (t, J = 5.1 Hz, 1H, OH), 3.39–3.33 (m, 2H, 11-H), 2.80–2.72 (m, 2H, 9-H), 2.59 (td, J = 9.4, 4.7 Hz, 1H, 5-H), 1.83–1.75 (m, 4H, 6-Ha, 6′-Ha, 7-Ha, 7′-Ha), 1.74–1.67 (m, 1H, 8-Ha), 1.52 (dt, J = 13.3, 6.3 Hz, 2H, 10-H), 1.48–1.31 (m, 4H, 6-Hb, 6′-Hb, 7-Hb, 7′-Hb), 1.29–1.18 (m, 1H, 8-Hb) ppm; 13C NMR:δ = 152.1 (C-4), 137.9 (C-1), 127.4 (C-2), 126.6 (C-3), 58.1 (C-11), 43.6 (C-5), 40.0 (C-9), 33.5 (C-6), 32.4 (C-10), 26.2 (C-7), 25.4 (C-8) ppm; MS: m/z = 319.9 (90%, [M + Na]+); anal. calcd. for C15H23NSO3 (297.41): C 60.58, H 7.80, N 4.71; found: C 60.44, H 8.02, N 4.54.

4.2.140. 3-[(4-Cyclohexylphenyl)sulfonamido]propyl Sulfamate (69b)

Applying GPB: from 69a (200 mg, 0.67 mmol): 69b (210 mg, 83%); white solid; Rf = 0.74 (CHCl3/EtOAc, 2:3); m.p. = 113–114 °C; UV–Vis: 229 nm (4.27); IR: ν = 3351w, 3283m, 2929m, 2851w, 1598w, 1567w, 1474w, 1438w, 1403w, 1371vs, 1323m, 1307s, 1281w, 1256w, 1177vs, 1152vs, 1093m, 1070m, 1039m, 999w, 944s, 921m, 888m, 836s, 824s, 778w, 756m, 729m, 706s, 654m, 630m, 599s, 593s, 568vs, 548s, 527m, 515m, 506m, 486w, 428w cm−1; 1H NMR:δ = 7.74–7.67 (m, 2H, 2-H, 2′-H), 7.57–7.36 (m, 5H, 3-H, 3′-H, NH2, NH), 4.02 (t, J = 6.3 Hz, 2H, 11-H), 2.80 (t, J = 7.1 Hz, 2H, 9-H), 2.64–2.55 (m, 1H, 5-H), 1.84–1.67 (m, 7H, 6-Ha, 6′-Ha, 7-Ha, 7′-Ha, 8-Ha, 10-H), 1.49–1.31 (m, 4H, 6-Hb, 6′-Hb, 7-Hb, 7′-Hb), 1.29–1.18 (m, 1H, 8-Hb) ppm; 13C NMR:δ = 152.2 (C-1), 137.7 (C-4), 127.5 (C-2), 126.6 (C-3), 66.5 (C-11), 43.5 (C-5), 39.2 (C-9), 33.5 (C-6), 28.8 (C-10), 26.2 (C-7), 25.4 (C-8) ppm; MS: m/z = 399.5 (100%, [M + Na]+); anal. calcd. for C15H24N2S2O5 (376.49): C 47.85, H 6.43, N 7.44; found: C 47.57, H 6.61, N 7.21.

4.2.141. 4-Cyclohexyl-N-(4-hydroxybutyl)benzene Sulfonamide (70a) [1976415-75-4]

Applying GPA: from 4-cyclohexylbenzenesulfonyl chloride (500 mg, 1.93 mmol) and 4-amino-butanol (258 mg, 2.90 mmol): 70a (487 mg, 81%); white solid; Rf = 0.50 (CHCl3/EtOAc, 2:3); m.p. = 58–60 °C; UV–Vis: 229 nm (4.17); IR: ν = 3477m, 3101w, 2950w, 2922m, 2849m, 1446m, 1429w, 1396w, 1312s, 1257w, 1150vs, 1097m, 1081m, 1030s, 994m, 941m, 916w, 821m, 812w, 786s, 771m, 735m, 694w, 601s, 570vs, 537m, 508w, 485w, 438w, 490m, 476w, 441w cm−1; 1H NMR:δ = 7.71–7.66 (m, 2H, 2-H, 2′-H), 7.48–7.40 (m, 3H, NH, 3-H, 3′-H), 4.34 (s, 1H, OH), 3.33–3.28 (m, 2H, 12-H), 2.71 (t, J = 6.5 Hz, 2H, 9-H), 2.63–2.54 (m, 1H, 5-H), 1.83–1.75 (m, 4H, 6-Ha, 6′-Ha, 7-Ha, 7′-Ha), 1.75–1.66 (m, 1H, 8-Ha), 1.47–1.30 (m, 8H, 6-Hb, 6′-Hb, 7-Hb, 7′-Hb, 10-H, 11-H), 1.29–1.20 (m, 1H, 8-Hb) ppm; 13C NMR:δ = 152.0 (C-1), 138.1 (C-4), 127.4 (C-2), 126.5 (C-3), 60.2 (C-12), 43.6 (C-5), 42.5 (C-9), 33.5 (C-6), 29.5 (C-11), 26.2 (C-7), 25.8 (C-10), 25.4 (C-8) ppm; MS: m/z = 334.3 (100%, [M + Na]+); anal. calcd. for C16H25NSO3 (311.44): C 61.71, H 8.09, N 4.50; found: C 61.53, H 8.24, N 4.16.

4.2.142. 4-[(4-Cyclohexylphenyl)sulfonamido]butyl Sulfamate (70b)

Applying GPB: from 70a (200 mg, 0.64 mmol): 70b (224 mg, 89%); white solid; Rf = 0.69 (CHCl3/EtOAc, 2:3); m.p. = 103–105 °C; UV–Vis: 229 nm (4.25); IR: ν = 3365w, 3308w, 3266w, 2923m, 2850w, 1598w, 1543w, 1466w, 1453w, 1411m, 1388w, 1366s, 1315s, 1279w, 1272w, 1180m, 1157s, 1132m, 1095m, 1065w, 1051m, 1019m, 997w, 958m, 921m, 872w, 827m, 790s, 737m, 710s, 656m, 631m, 597m, 588m, 571s, 550vs, 532m, 508w, 503w, 489w, 478w, 453wa cm−1; 1H NMR:δ = 7.73–7.67 (m, 2H, 2-H, 2′-H), 7.53 (t, J = 5.9 Hz, 1H, NH), 7.46–7.41 (m, 2H, 3-H, 3′-H), 7.38 (s, 2H, NH2), 3.96 (t, J = 6.3 Hz, 2H, 12-H), 2.75 (q, J = 6.7 Hz, 2H, 9-H), 2.64–2.55 (m, 1H, 5-H), 1.84–1.76 (m, 4H, 6-Ha, 6′-Ha, 7-Ha, 7′-Ha), 1.75–1.67 (m, 1H, 8-Ha), 1.66–1.56 (m, 2H, 11-H), 1.51–1.31 (m, 6H, 6-Hb, 6′-Hb, 7-Hb, 7′-Hb, 10-H), 1.30–1.17 (m, 1H, 8-Hb) ppm; 13C NMR:δ = 152.1 (C-1), 138.0 (C-4), 127.4 (C-2), 126.5 (C-3), 68.5 (C-12), 43.6 (C-5), 42.0 (C-9), 33.5 (C-6), 26.2 (C-7), 25.6 (C-10), 25.4 (C-8, C-11) ppm; MS: m/z = 413.7 (100%, [M + Na]+); anal. calcd. for C16H26N2S2O5 (390.51): C 49.21, H 6.71, N 7.17; found: C 48,97, H 6.97, N 6.86.

4.2.143. 4-Cyclohexyl-N-(5-hydroxypentyl)benzene Sulfonamide (71a)

Applying GPA: from 4-cyclohexylbenzenesulfonyl chloride (500 mg, 1.93 mmol) and 5-amino-pentanol (299 mg, 2.90 mmol): 71a (520 mg, 83%); oil; Rf = 0.49 (CHCl3/EtOAc, 2:3); UV–Vis: 229 nm (4.20); IR: ν = 3498vw, 3280w, 2924m, 2852m, 1598w, 1495vw, 1448m, 1410w, 1314s, 1283w, 1188vw, 1153vs, 1093s, 1040m, 999w, 920vw, 894w, 868w, 826m, 781w, 732w, 699s, 594s, 574s, 506m, 443vw, 508w, 485w, 438w, 490m, 476w, 441w cm−1; 1H NMR:δ = 7.71–7.66 (m, 2H, 2-H, 2′-H), 7.46–7.40 (m, 3H, 3-H, 3′-H, NH), 4.30 (t, J = 5.1 Hz, 1H, OH), 3.34–3.28 (m, 2H, 13-H), 2.70 (td, J = 7.0, 3.2 Hz, 2H, 9-H), 2.63–2.54 (m, 1H, 5-H), 1.83–1.76 (m, 4H, 6-Ha, 6′-Ha, 7-Ha, 7′-Ha), 1.74–1.66 (m, 1H, 8-Ha), 1.48–1.15 (m, 11H, 6-Hb, 6′-Hb, 7-Hb, 7′-Hb, 8-Hb, 10-H, 11-H, 12-H) ppm; 13C NMR (126 MHz, DMSO-d6): δ = 152.0 (C-4), 138.1 (C-1), 127.4 (C-3), 126.5 (C-2), 60.5 (C-13), 43.6 (C-5), 42.6 (C-9), 33.5 (C-6), 32.0 (C-12), 28.9 (C-10), 26.2 (C-7), 25.4 (C-8), 22.6 (C-11) ppm; MS: m/z = 348.4 (100%, [M + Na]+); anal. calcd. for C17H27NSO3 (325.47): C 62.74, H 8.36, N 4.30; found: C 62.51, H 8.63, N 4.17.

4.2.144. 5-[(4-Cyclohexylphenyl)sulfonamido]pentyl Sulfamate (71b)

Applying GPB: from 71a (200 mg, 0.61 mmol): 71b (240 mg, 96%); white solid; Rf = 0.62 (CHCl3/EtOAc, 2:3); m.p. = 112–114 °C; UV–Vis: 229 nm (3.95); IR: ν = 3343w, 3277m, 3240w, 2934m, 2867w, 2848w, 1599w, 1471w, 1449w, 1444w, 1433w, 1404w, 1371s, 1356m, 1309s, 1278w, 1179s, 1154vs, 1093m, 1077w, 1052m, 968s, 920s, 886m, 866w, 821vs, 782w, 777w, 731w, 703s, 661m, 631m, 599s, 584m, 571vs, 558s, 537s, 521m, 504m, 478w cm−1; 1H NMR:δ = 7.71–7.67 (m, 2H, 2-H, 2′-H), 7.48 (t, J = 5.9 Hz, 1H, NH), 7.46–7.41 (m, 2H, 3-H, 3′-H), 7.37 (s, 2H, NH2), 3.96 (t, J = 6.5 Hz, 2H, 13-H), 2.72 (q, J = 6.6 Hz, 2H, 9-H), 2.64–2.55 (m, 1H, 5-H), 1.83–1.76 (m, 4H, 6-Ha, 6′-Ha, 7-Ha, 7′-Ha), 1.75–1.67 (m, 1H, 8-Ha), 1.60–1.51 (m, 2H, 12-H), 1.49–1.34 (m, 6H, 6-Hb, 6′-Hb, 7-Hb, 7′-Hb, 10-H), 1.34–1.21 (m, 3H, 8-Hb, 11-H) ppm; 13C NMR:δ = 152.1 (C-1), 138.0 (C-4), 127.4 (C-2), 126.5 (C-3), 68.8 (C-13), 43.5 (C-5), 42.3 (C-9), 33.5 (C-6), 28.5 (C-12), 27.8 (C-10), 26.2 (C-7), 25.4 (C-8), 22.2 (C-11) ppm; MS: m/z = 427.8 (100%, [M + Na]+); anal. calcd. for C17H28N2S2O5 (404.54): C 50.47, H 6.98, N 6.92; found: C 50.10, H 7.13, N 6.76.

4.2.145. 4-Cyclohexyl-N-(6-hydroxyhexyl)benzene Sulfonamide (72a)

Applying GPA: from 4-cyclohexylbenzenesulfonyl chloride (500 mg, 1.93 mmol) and 6-amino-hexanol (340 mg, 2.90 mmol): 72a (589 mg, 90%); white solid; Rf = 0.48 (CHCl3/EtOAc, 2:3); m.p. = 87–88 °C; UV–Vis: 229 nm (4.14); IR: ν = 3424w, 3365vw, 3261m, 2963vw, 2926m, 2855m, 1599w, 1479w, 1475w, 1462vw, 1451w, 1429m, 1411w, 1358w, 1316s, 1279w, 1187w, 1157s, 1103w, 1092m, 1063m, 1035m, 1016w, 996w, 984vw, 904w, 878w, 865vw, 844w, 827m, 800w, 780w, 735m, 709s, 679m, 598s, 571vs, 534m, 513w, 505w, 497m cm−1; 1H NMR:δ = 7.71–7.66 (m, 2H, 2-H, 2′-H), 7.47–7.39 (m, 3H, NH, 3-H, 3′-H), 4.29 (s, 1H, OH), 3.36–3.29 (m, 2H, 14-H), 2.75–2.66 (m, 2H, 9-H), 2.63–2.55 (m, 1H, 5-H), 1.82–1.75 (m, 4H, 6-Ha, 6′-Ha, 7-Ha, 7′-Ha), 1.74–1.67 (m, 1H, 8-Ha), 1.48–1.29 (m, 8H, 6-Hb, 6′-Hb, 7-Hb, 7′-Hb, 10-H, 13-H), 1.28–1.21 (m, 1H, 8-Hb), 1.21–1.14 (m, 4H, 11-H, 12-H) ppm; 13C NMR:δ = 152.0 (C-4), 138.1 (C-1), 127.4 (C-3), 126.5 (C-2), 60.6 (C-14), 43.6 (C-5), 42.5 (C-9), 33.5 (C-6), 32.3 (C-13), 29.0 (C-10), 26.2 (C-7), 25.9 (C-12), 25.4 (C-8), 25.0 (C-11) ppm; MS: m/z = 361.9 (100%, [M + Na]+); anal. calcd. for C18H29NSO3 (339.49): C 63.68, H 8.61, N 4.13; found: C 63.58, H 8.83, N 3.97.

4.2.146. 6-[(4-Cyclohexylphenyl)sulfonamido]hexyl Sulfamate (72b)

Applying GPB: from 72a (200 mg, 0.6 mmol): 72b (186 mg, 75%); white solid; Rf = 0.63 (CHCl3/EtOAc, 2:3); m.p. = 86–88 °C; UV–Vis: 229 nm (3.81); IR: ν = 3370w, 3280m, 2929w, 2854w, 1558w, 1456w, 1356s, 1173vs, 1156s, 1094w, 995s, 922s, 828w, 770vs, 700w, 595m, 571m, 550vs, 493m cm−1; 1H NMR:δ = 7.71–7.66 (m, 2H, 2-H, 2′-H), 7.48–7.41 (m, 3H, NH, 3-H, 3′-H), 7.37 (s, 2H, NH2), 3.97 (t, J = 6.5 Hz, 2H, 14-H), 2.71 (q, J = 6.6 Hz, 2H, 9-H), 2.59 (ddd, J = 11.5, 8.4, 2.8 Hz, 1H, 5-H), 1.84–1.75 (m, 4H, 6-Ha, 6′-Ha, 7-Ha, 7′-Ha), 1.75–1.66 (m, 1H, 8-Ha), 1.55 (p, J = 6.7 Hz, 2H, 13-H), 1.48–1.30 (m, 6H, 6-Hb, 6′-Hb, 7-Hb, 7′-Hb, 10-H), 1.29–1.17 (m, 5H, 8-Hb, 11-H, 12-H); 13C NMR:δ = 152.3 (C-1), 138.2 (C-4), 127.5 (C-2), 126.7 (C-3), 69.1 (C-14), 43.7 (C-9), 42.5 (C-5), 33.7 (C-6), 29.0 (C-13), 28.3 (C-10), 26.3 (C-7), 25.6 (C-8), 24.7 (C-11) ppm; MS: m/z = 441.1 (100%, [M + Na]+), 419.1 (95%, [M + H]+); anal. calcd. for C18H30N2S2O5 (418.57): C 51.65, H 7.22, N 6.69; found: C 51.24, H 7.60, N 6.33.

4.2.147. 4-Cyclohexyl-N-(7-hydroxyheptyl)benzene Sulfonamide (73a)

Applying GPA: from 4-cyclohexylbenzenesulfonyl chloride (500 mg, 1.93 mmol) and 7-amino-heptanol (380 mg, 2.90 mmol): 73a (592 mg, 87%); white solid; Rf = 0.47 (CHCl3/EtOAc, 2:3); m.p. = 67–68 °C; UV–Vis: 229 nm (4.15); IR: ν = 3272m, 2923m, 2852m, 1599w, 1474w, 1463w, 1449w, 1429m, 1409w, 1318s, 1281w, 1186w, 1156vs, 1093m, 1058m, 1034m, 999w, 894w, 867w, 847w, 823m, 780w, 707s, 665m, 632m, 598s, 570vs, 543w, 529m, 506w cm−1; 1H NMR:δ = 7.71–7.66 (m, 2H, 2-H, 2′-H), 7.46–7.40 (m, 3H, NH, 3H-, 3′-H), 4.29 (t, J = 5.1 Hz, 1H, OH), 3.35 (td, J = 6.7, 5.1 Hz, 2H, 15-H), 2.70 (t, J = 7.1 Hz, 2H, 9-H), 2.63–2.54 (m, 1H, 5-H), 1.84–1.75 (m, 4H, 6-Ha, 6′-Ha, 7-Ha, 7′-Ha), 1.74–1.66 (m, 1H, 8-Ha), 1.48–1.26 (m, 8H, 6-Hb, 6′-Hb, 7-Hb, 7′-Hb, 10-H, 14-H), 1.26–1.11 (m, 7H, 8-Hb, 11-H, 12-H, 13-H) ppm; 13C NMR:δ = 152.0 (C-1), 138.2 (C-4), 127.3 (C-2), 126.5 (C-3), 60.7 (C-15), 43.5 (C-5), 42.5 (C-9), 33.5 (C-6), 32.4 (C-14), 28.9 (C-10), 28.4 (C-11), 26.2 (C-7), 26.0 (C-13), 25.4 (C-8), 25.3 (C-12) ppm; MS: m/z = 375.8 (100%, [M + Na]+); anal. calcd. for C19H31NSO3 (353.52): C 64.55, H 8.84, N 3.96; found: C 64.12, H 9.12, N 3.64.

4.2.148. 7-[(4-Cyclohexylphenyl)sulfonamido]heptyl Sulfamate (73b)

Applying GPB: from 73a (200 mg, 0.57 mmol): 73b (201 mg, 82%); white solid; Rf = 0.61 (CHCl3/EtOAc, 2:3); m.p. = 102–103 °C; UV–Vis: 229 nm (4.18); IR: ν = 3345m, 3273m, 3244w, 2928m, 2857w, 1598w, 1562vw, 1474w, 1452w, 1430w, 1411vw, 1394w, 1375s, 1309s, 1281w, 1177s, 1153vs, 1107w, 1093m, 1077vw, 1062m, 1049w, 1006w, 997m, 972s, 923m, 899m, 867vw, 835w, 813s, 781w, 731m, 708s, 668m, 598m, 590m, 568s, 550s, 532m, 515m, 507w cm−1; 1H NMR:δ = 7.71–7.66 (m, 2H, 2-H, 2′-H), 7.47–7.40 (m, 3H, 3-H, 3′-H, NH), 7.37 (s, 2H, NH2), 3.98 (t, J = 6.5 Hz, 2H, 15-H), 2.71 (q, J = 6.6 Hz, 2H, 9-H), 2.63–2.54 (m, 1H, 5-H), 1.84–1.75 (m, 4H, 6-Ha, 6′-Ha, 7-Ha, 7′-Ha), 1.74–1.67 (m, 1H, 8-Ha), 1.63–1.53 (m, 2H, 14-H), 1.48–1.30 (m, 6H, 6-Hb, 6′-Hb, 7-Hb, 7-Hb, 10-H), 1.29–1.15 (m, 7H, 8-Hb, 11-H, 12-H, 13-H) ppm; 13C NMR:δ = 152.1 (C-1), 138.1 (C-4), 127.4 (C-2), 126.6 (C-3), 69.0 (C-15), 43.6 (C-9), 42.5 (C-5), 33.6 (C-6), 28.9 (C-14), 28.2 (C-11), 28.0 (C-10), 26.2 (C-7), 25.9 (C-13), 25.5 (C-8), 24.9 (C-12) ppm; MS: m/z = 455.8 (100%, [M + Na]+); anal. calcd. for C19H32N2S2O5 (432.59): C 52.75, H 7.46, N 6.48; found: C 52.45, H 7.88, N 6.13.

4.2.149. 4-Cyclohexyl-N-(8-hydroxyoctyl)benzene Sulfonamide (74a)

Applying GPA: from 4-cyclohexylbenzenesulfonyl chloride (500 mg, 1.93 mmol) and 8-amino-octanol (421 mg, 2.90 mmol): 74a (618 mg, 87%); white solid; Rf = 0.45 (CHCl3/EtOAc, 2:3); UV–Vis: 229 nm (4.16); IR: ν = 3277m, 2924s, 2851m, 1599w, 1495vw, 1478w, 1466w, 1449w, 1427m, 1409w, 1318s, 1280w, 1185w, 1157vs, 1133w, 1094m, 1052s, 1016w, 997w, 982w, 901m, 883w, 866w, 849w, 823m, 780w, 755m, 733m, 706s, 651m, 632m, 598s, 570vs, 531m, 507m, 470w cm−1; 1H NMR (500 MHz, DMSO-d6): δ = 7.71–7.67 (m, 2H, 2-H, 2′-H), 7.46–7.42 (m, 2H, 3-H, 3′-H), 7.42–7.41 (m, 1H, NH), 4.29 (t, J = 5.2 Hz, 1H, OH), 3.36 (td, J = 6.6, 5.1 Hz, 2H, 16-H), 2.70 (q, J = 6.6 Hz, 2H, 9-H), 4.31–4.28 (m, 1H, 5-H), 1.83–1.75 (m, 4H, 6-Ha, 6′-Ha, 7-Ha, 7′-Ha), 1.74–1.67 (m, 1H, 8-Ha), 1.47–1.28 (m, 8H, 6-Hb, 6′-Hb, 7-Hb, 7′-Hb, 10-H, 15-H), 1.27–1.10 (m, 9H, 8-Hb, 11-H, 12-H, 13-H, 14-H) ppm; 13C NMR (126 MHz, DMSO-d6): δ = 152.0 (C-4), 138.2 (C-1), 127.3 (C-2), 126.5 (C-2), 60.7 (C-16), 43.5 (C-5), 42.5 (C-9), 33.5 (C-6), 32.5 (C-15), 28.9 (C-10), 28.8 (C-14), 28.6 (C-11), 26.2 (C-7), 25.9 (C-13), 25.4 (C-8), 25.4 (C-12) ppm; MS: m/z = 390.3 (100%, [M + Na]+); anal. calcd. for C20H33NSO3 (367.55): C 65.36, H 9.05, N 3.81; found: C 65.06, H 9.37, N 3.56.

4.2.150. 8-[(4-Cyclohexylphenyl)sulfonamido]octyl Sulfamate (74b)

Applying GPB: from 74a (200 mg, 0.54 mmol): 74b (226 mg, 93%); white solid; Rf = 0.68 (CHCl3/EtOAc, 2:3); m.p. = 91–93 °C; UV–Vis: 229 nm (4.11); IR: ν = 3367w, 3299w, 3274w, 2953w, 2922m, 2851m, 1598w, 1544w, 1475w, 1463w, 1453w, 1409m, 1396w, 1372s, 1316s, 1183m, 1157s, 1149s, 1106w, 1093m, 1069w, 1057m, 1039m, 1016w, 1004m, 996m, 981s, 944w, 935m, 887m, 857w, 827m, 813s, 782w, 763w, 730m, 712s, 659m, 632w, 589m, 575s, 555vs, 528s, 507m, 481w cm−1; 1H NMR:δ = 7.71–7.66 (m, 2H, 2-H, 2′-H), 7.47–7.40 (m, 3H, 3-H, 3′-H, NH), 7.37 (s, 2H, NH2), 3.99 (t, J = 6.5 Hz, 2H, 16-H), 2.74–2.67 (m, 2H, 9-H), 2.64–2.55 (m, 1H, 5-H), 1.83–1.74 (m, 4H, 6-Ha, 6′-Ha, 7-Ha, 7′-Ha), 1.74–1.67 (m, 1H, 8-Ha), 1.64–1.55 (m, 2H, 15-H), 1.49–1.12 (m, 15H, 6-Hb, 6′-Hb, 7-Hb, 7′-Hb, 8-Hb, 10-H, 11-H, 12-H, 13-H, 14-H) ppm; 13C NMR:δ = 152.0 (C-1), 138.2 (C-4), 127.4 (C-2), 126.5 (C-3), 69.0 (C-16), 43.6 (C-5), 42.5 (C-9), 33.6 (C-6), 28.9 (C-15), 28.4 (C-10), 28.3 (C-13), 28.3 (C-12), 26.2 (C-7), 25.9 (C-11), 25.4 (C-8), 25.0 (C-14) ppm; MS: m/z = 469.9 (100%, [M + Na]+); anal. calcd. for C20H34N2S2O5 (446.62): C 53.79, H 7.67, N 6.27; found: C 53.35, H 7.96, N 5.98.

4.2.151. 4-Cyclohexyl-N-(9-hydroxynonyl)benzene Sulfonamide (75a)

Applying GPA: from 4-cyclohexylbenzenesulfonyl chloride (500 mg, 1.93 mmol) and 9-amino-nonanol (462 mg, 2.90 mmol): 75a (723 mg, 98%); white solid; Rf = 0.84 (CHCl3/EtOAc, 2:3); m.p. = 55–57 °C; UV–Vis: 229 nm (4.11); IR: ν = 3279m, 2922s, 2851m, 1599w, 1475w, 1467w, 1448w, 1426m, 1409w, 1318s, 1281w, 1269w, 1186w, 1157vs, 1095m, 1054m, 1036m, 1016w, 998w, 974w, 902w, 883w, 851vw, 822m, 780w, 733m, 706s, 654m, 632m, 599s, 569vs, 529m, 508w, 472vw, 460vw cm−1; 1H NMR:δ = 7.70–7.66 (m, 2H, 2-H, 2′-H), 7.46–7.40 (m, 3H, NH, 3-H, 3′-H), 4.30 (td, J = 5.1, 1.1 Hz, 1H, OH), 3.36 (td, J = 6.5, 5.1 Hz, 2H, 17-H), 2.71 (q, J = 6.7 Hz, 2H, 9-H), 2.63–2.55 (m, 1H, 5-H), 1.83–1.75 (m, 4H, 6-Ha, 6′-Ha, 7-Ha, 7′-Ha), 1.74–1.67 (m, 1H, 8-Ha), 1.48–1.27 (m, 6H, 7-Hb, 7′-Hb, 8-Hb, 10-H, 16-H), 1.26–1.11 (m, 11H, 6-Hb, 6′-Hb, 11-H, 12-H, 13-H, 14-H, 15-H) ppm; 13C NMR:δ = 152.0 (C-4), 138.2 (C-1), 127.3 (C-2), 126.5 (C-3), 60.7 (C-17), 43.6 (C-5), 42.5 (C-9), 33.6 (C-6), 32.5 (C-16), 28.9 (C-10, C-14), 28.8 (C-12), 28.5 (C-13), 26.2 (C-7), 26.0 (C-11), 25.5 (C-8), 25.4 (C-15) ppm; MS: m/z = 457.1 (100%, [M + Na]+); anal. calcd. for C21H35NSO3 (381.58): C 54.76, H 7.88, N 6.08; found: C 54.31, H 8.06, N 5.76.

4.2.152. 9-[(4-Cyclohexylphenyl)sulfonamido]nonyl Sulfamate (75b)

Applying GPB: from 75a (200 mg, 0.52 mmol): 75b (190 mg, 79%); white solid; Rf = 0.87 (CHCl3/EtOAc, 2:3); m.p. = 88–89 °C; UV–Vis: 230 nm (4.04); IR: ν = 3379w, 3278m, 2962w, 2924m, 2855m, 1600w, 1542w, 1477w, 1461vw, 1451w, 1424m, 1399w, 1376s, 1326w, 1310s, 1281w, 1214vw, 1186s, 1154vs, 1118w, 1094m, 1078vw, 1060m, 1034m, 993w, 967s, 907s, 885m, 866w, 819vs, 781w, 734w, 704s, 652m, 631m, 598m, 587m, 573s, 555vs, 534m, 524m, 505m, 483m, 454vw cm−1; 1H NMR:δ = 7.68–7.63 (m, 2H, 2-H, 2′-H), 7.44–7.38 (m, 3H, NH, 3-H, 3′-H), 7.34 (s, 2H, NH2), 3.97 (t, J = 6.5 Hz, 2H, 17-H), 2.68 (q, J = 6.7 Hz, 2H, 9-H), 2.61–2.52 (m, 1H, 5-H), 1.82–1.72 (m, 4H, 6-Ha, 6′-Ha, 7-Ha, 7′-Ha), 1.72–1.63 (m, 1H, 8-Ha), 1.62–1.54 (m, 2H, 16-H), 1.46–1.08 (m, 17H, 6-Hb, 6′-Hb, 7-Hb, 7′-Hb, 8-Hb, 10-H, 11-H, 12-H, 13-H, 14-H, 15-H) ppm; 13C NMR:δ = 152.0 (C-4), 138.2 (C-1), 127.4 (C-2), 126.5 (C-3), 69.0 (C-17), 43.6 (C-5), 42.5 (C-9), 33.6 (C-6), 28.9 (C-16), 28.7 (C-10), 28.4 (C-12), 28.4 (C-14), 28.3 (C-13), 26.2 (C-7), 25.9 (C-11), 25.4 (C-8), 25.0 (C-15) ppm; MS: m/z = 457.1 (100%, [M + Na]+); anal. calcd. for C21H36N2S2O5 (460.65): C 54.76, H 7.88, N 6.08; found: C 54.35, H 8.01, N 5.74.

4.2.153. 4-Cyclohexyl-N-(10-hydroxydecyl)benzene Sulfonamide (76a)

Applying GPA: from 4-cyclohexylbenzenesulfonyl chloride (450 mg, 1.74 mmol) and 10-amino-decanol (452 mg, 2.61 mmol): 76a (625 mg, 91%); white solid; Rf = 0.82 (CHCl3/EtOAc, 2:3); m.p. = 71–72 °C; UV–Vis: 229 nm (4.17); IR: ν = 3494w, 3130w, 2915s, 2877w, 2849s, 1598w, 1476w, 1466w, 1448m, 1440m, 1408w, 1397w, 1346w, 1310s, 1288w, 1267w, 1188w, 1150vs, 1114m, 1095m, 1074s, 1043w, 1031w, 1020m, 999w, 973w, 914m, 876w, 865vw, 840w, 825m, 781w, 734w, 720m, 701s, 606vs, 575s, 523m, 505w, 468m cm−1; 1H NMR:δ = 7.70–7.66 (m, 2H, 2-H, 2′-H), 7.46–7.39 (m, 3H, NH, 3-H, 3′-H), 4.30 (t, J = 5.1 Hz, 1H, OH), 3.36 (td, J = 6.6, 5.2 Hz, 2H, 18-H), 2.74–2.67 (m, 2H, 9-H), 2.64–2.54 (m, 1H, 5-H), 1.84–1.75 (m, 4H, 6-Ha, 6′-Ha, 7-Ha, 7′-Ha), 1.74–1.67 (m, 1H, 8-Ha), 1.47–1.27 (m, 8H, 6-Hb, 6′-Hb, 7-Hb, 7′-Hb, 10-H, 17-H), 1.27–1.09 (m, 13H, 8-Hb, 11-H, 12-H, 13-H, 14-H, 15-H, 16-H) ppm;´13C NMR:δ = 152.0 (C-4), 138.2 (C-1), 127.3 (C-2), 126.6 (C-3), 60.7 (C-18), 43.6 (C-5), 42.5 (C-9), 33.6 (C-6), 32.5 (C-17), 29.0 (C-10), 28.9 (C-12), 28.9 (C-15), 28.8 (C-13), 28.5 (C-14), 26.2 (C-7), 26.0 (C-11), 25.5 (C-16), 25.4 (C-8) ppm; MS: m/z = 457.1 (100%, [M + Na]+); anal. calcd. for C22H37NSO3 (395.60): C 66.79, H 9.43, N 3.54; found: C 66.25, H 9.81, N 3.16.

4.2.154. 10-[(4-Cyclohexylphenyl)sulfonamido]decyl Sulfamate (76b)

Applying GPB: from 76a (180 mg, 0.46 mmol): 76b (161 mg, 75%); white solid; Rf = 0.9 (CHCl3/EtOAc, 2:3); m.p. = 100–101 °C; UV–Vis: 229 nm (4.33); IR: ν = 3369w, 3298w, 3275w, 2953w, 2919m, 2849m, 1598w, 1543w, 1475w, 1464w, 1454w, 1409w, 1396w, 1373s, 1317s, 1183m, 1157s, 1150s, 1093m, 1060w, 1052m, 1037w, 1021m, 1001m, 978m, 937m, 915w, 882m, 845w, 827m, 815s, 798m, 782w, 763w, 731m, 713s, 661m, 632w, 591m, 575s, 555vs, 530m, 504w, 476w, 471w, 417w cm−1; 1H NMR:δ = 7.71–7.66 (m, 2H, 2-H, 2′-H), 7.46–7.40 (m, 3H, NH, 3-H, 3′-H), 7.37 (s, 2H, NH2), 4.00 (t, J = 6.5 Hz, 2H, 18-H), 2.71 (q, J = 6.7 Hz, 2H, 9-H), 2.63–2.54 (m, 1H, 5-H), 1.83–1.75 (m, 4H, 6-Ha, 6′-Ha, 7-Ha, 7′-Ha), 1.74–1.67 (m, 1H, 8-Ha), 1.61 (p, J = 6.5 Hz, 2H, 17-H), 1.48–1.37 (m, 3H, 8-Hb, 10-H), 1.36–1.12 (m, 16H, 6-Hb, 6′-Hb, 7-Hb, 7′-Hb, 11-H, 12-H, 13-H, 14-H, 15-H, 16-H) ppm; 13C NMR:δ = 152.0 (C-4), 138.2 (C-1), 127.4 (C-2), 126.5 (C-3), 69.0 (C-18), 43.6 (C-5), 42.5 (C-9), 33.6 (C-6), 28.9 (C-10), 28.8 (C-13), 28.8 (C-17), 28.5 (C-12), 28.5 (C-15), 28.3 (C-14), 26.2 (C-7), 26.0 (C-11), 25.4 (C-8), 25.1 (C-16) ppm; MS: m/z = 457.1 (100%, [M + Na]+); anal. calcd. for C22H38N2S2O5 (474.68): C 55.67, H 8.07, N 5.90; found: C 55.25, H 8.41, N 5.65.

4.2.155. 4-(Adamantan-1-yl)-N-(8-hydroxyoctyl)benzene Sulfonamide (77a)

Applying GPA: from 4-(adamantan-1-yl)benzenesulfonyl chloride (300 mg, 0.96 mmol) and 8-amino-octanol (212 mg, 1.45 mmol): 77a (363 mg, 90%); white solid; Rf = 0.70 (CHCl3/EtOAc, 2:3); m.p. = 101–102 °C; UV–Vis: 231 nm (4.15); IR: ν = 3463w, 3147w, 2917s, 2903m, 2849m, 1477w, 1465w, 1447w, 1399w, 1381w, 1367w, 1360w, 1345w, 1316s, 1304m, 1291m, 1158s, 1095m, 1085m, 1058m, 1029m, 1014w, 975w, 957w, 951w, 939m, 846w, 832w, 806m, 774w, 742m, 721w, 683m, 674m, 599s, 579vs, 534m, 483m cm−1; 1H NMR:δ = 7.73–7.69 (m, 2H, 2-H, 2′-H), 7.58–7.54 (m, 2H, 3-H, 3′-H), 7.44 (t, J = 5.8 Hz, 1H, NH), 4.29 (td, J = 5.1, 1.0 Hz, 1H, OH), 3.35 (td, J = 6.6, 5.2 Hz, 2H, 22-H), 2.74–2.66 (m, 2H, 15-H), 2.10–2.03 (m, 3H, 7-H, 9-H, 11-H), 1.88 (d, J = 3.0 Hz, 6H, 6-H, 12-H, 13-H), 1.79–1.69 (m, 6H, 8-H, 10-H, 14-H), 1.42–1.27 (m, 4H, 16-H, 21-H), 1.26–1.10 (m, 8H, 17-H, 18-H, 19-H, 20-H) ppm; 13C NMR:δ = 155.2 (C-4), 137.8 (C-1), 126.4 (C-2), 125.5 (C-3), 60.7 (C-22), 42.5 (C-15), 42.2 (C-12, C-6, C-13), 36.2 (C-5), 36.0 (C-10, C-8, C-14), 32.5 (C-21), 28.9 (C-16), 28.8 (C-18), 28.6 (C-19), 28.2 (C-7, C-9, C-11), 25.9 (C-17), 25.4 (C-20) ppm; MS: m/z = 457.1 (100%, [M + Na]+); anal. calcd. for C24H37NSO3 (419.62): C 68.70, H 8.89, N 3.34; found: C 68.47, H 9.19, N 2.96.

4.2.156. 8-[(4-(Adamantan-1-yl)phenyl)sulfonamido]octyl Sulfamate (77b)

Applying GPB: from 77a (190 mg, 0.42 mmol): 77b (147 mg, 66%); white solid; Rf = 0.87 (CHCl3/EtOAc, 2:3); m.p. = 85–86 °C; UV–Vis: 231 nm (4.20); IR: ν = 3360w, 3254m, 2929m, 2899s, 2847m, 1568w, 1448m, 1398w, 1361m, 1344w, 1316vs, 1293m, 1183m, 1145vs, 1111w, 1092s, 1076m, 1065m, 1044w, 1031w, 1013m, 999w, 982w, 976w, 964m, 953m, 933s, 906m, 898m, 877m, 861w, 837w, 795s, 773w, 756m, 744s, 730w, 721m, 694s, 665w, 633w, 595s, 575vs, 551vs, 537m, 526m, 505w, 480m, 473m cm−1; 1H NMR:δ = 7.73–7.68 (m, 2H, 2-H, 2′-H), 7.59–7.54 (m, 2H, 3-H, 3′-H), 7.45 (t, J = 5.9 Hz, 1H, NH), 7.37 (s, 2H, NH2), 3.99 (t, J = 6.5 Hz, 2H, 22-H), 2.71 (q, J = 6.7 Hz, 2H, 15-H), 2.07 (p, J = 3.1 Hz, 3H, 7-H, 9-H, 11-H), 1.88 (d, J = 2.9 Hz, 6H, 6-H, 12-H, 13-H), 1.79–1.69 (m, 6H, 8-H, 10-H, 14-H), 1.64–1.55 (m, 2H, 21-H), 1.37–1.25 (m, 2H, 16-H), 1.23–1.13 (m, 8H, 17-H, 18-H, 19-H, 20-H) ppm; 13C NMR:δ = 155.2 (C-4), 137.8 (C-1), 126.4 (C-2), 125.5 (C-3), 69.0 (C-22), 42.5 (C-15), 42.2 (C-6, C-12, C-13), 36.2 (C-5), 36.0 (C-8, C-10, C-14), 28.9 (C-21), 28.4 (C-19), 28.3 (C-16), 28.3 (C-18), 28.2 (C-7, C-9, C-11), 25.9 (C-17), 25.0 (C-20) ppm; MS: m/z = 457.1 (100%, [M + Na]+); anal. calcd. for C24H38N2S2O5 (498.70): C 57.80, H 7.68, N 5.62; found: C 57.64, H 7.43, N 5.45.

4.2.157. 4-(Adamantan-1-yl)-N-(9-hydroxynonyl)benzene Sulfonamide (78a)

Applying GPA: from 4-(adamantan-1-yl)benzenesulfonyl chloride (150 mg, 0.48 mmol) and 9-amino-nonanol (115 mg, 0.72 mmol): 78a (201 mg, 96%); white solid; Rf = 0.72 (CHCl3/EtOAc, 2:3); m.p. = 84–85 °C; UV–Vis: 231 nm (4.28); IR: ν = 3503vw, 3281w, 2903s, 2849m, 1597w, 1496vw, 1449m, 1400w, 1319s, 1293m, 1157vs, 1094m, 1031m, 1014w, 976w, 839w, 806m, 752m, 741m, 674s, 596vs, 576s, 475w cm−1; 1H NMR:δ = 7.71 (d, J = 8.6 Hz, 2H, 2-H, 2′-H), 7.56 (d, J = 8.6 Hz, 2H, 3-H, 3′-H), 7.44 (t, J = 5.8 Hz, 1H, NH), 4.29 (t, J = 5.1 Hz, 1H, OH), 3.40–3.33 (m, 2H, 23-H), 2.71 (q, J = 6.8 Hz, 2H, 15-H), 2.07 (s, 3H, 7-H, 9-H, 11-H), 1.88 (d, J = 2.7 Hz, 6H, 6-H, 12-H, 13-H), 1.79–1.69 (m, 6H, 8-H, 10-H, 14-H), 1.43–1.35 (m, 2H, 22-H), 1.34–1.27 (m, 2H, 16-H), 1.27–1.10 (m, 10H, 17-H, 18-H, 19-H, 20-H, 21-H) ppm; 13C NMR:δ = 155.2 (C-4), 137.9 (C-1), 126.4 (C-2), 125.5 (C-3), 60.7 (C-23), 42.5 (C-15), 42.2 (C-6, C-12, C-13), 36.2 (C-5), 36.0 (C-8, C-10, C-14), 32.5 (C-22), 28.9 (C-16, C-18), 28.9 (C-20), 28.5 (C-19), 28.2 (C-7, C-9, C-11), 26.0 (C-17), 25.5 (C-21) ppm; MS: m/z = 457.1 (100%, [M + Na]+); anal. calcd. for C25H39NSO3 (433.65): C 69.24, H 9.07, N 3.23; found: C 68.97, H 9.33, N 2.95.

4.2.158. 9-[(4-(Adamantan-1-yl)phenyl)sulfonamido]nonyl Sulfamate (78b)

Applying GPB: from 78a (110 mg, 0.25 mmol): 78b (110 mg, 84%); white solid; Rf = 0.92 (CHCl3/EtOAc, 2:3); m.p. = 94–96 °C; UV–Vis: 231 nm (4.19); IR: ν = 3347w, 3269w, 2922m, 2903m, 2850m, 1429w, 1401w, 1370m, 1317s, 1297m, 1176m, 1156vs, 1117w, 1103w, 1093w, 1076w, 1059w, 1033w, 1013w, 963m, 926m, 879w, 848w, 839w, 823m, 805m, 775w, 747m, 729w, 697m, 648w, 598s, 572s, 564s, 534w, 522w, 513w, 484w cm−1; 1H NMR:δ = 7.71 (d, J = 8.2 Hz, 2H, 2-H, 2′-H), 7.57 (d, J = 8.2 Hz, 2H, 3-H, 3′-H), 7.44 (t, J = 5.9 Hz, 1H, NH), 7.37 (s, 2H, NH2), 3.99 (t, J = 6.5 Hz, 2H, 23-H), 2.71 (q, J = 6.7 Hz, 2H, 15-H), 2.07 (s, 3H, 7-H, 9-H, 11-H), 1.88 (d, J = 2.9 Hz, 6H, 6-H, 12-H, 13-H), 1.74 (s, 6H, 8-H, 10-H, 14-H), 1.60 (p, J = 6.7 Hz, 2H, 22-H), 1.37–1.27 (m, 4H, 16-H, 21-H), 1.27–1.11 (m, 8H, 17-H, 18-H, 19-H, 20-H) ppm; 13C NMR:δ = 155.7 (C-4), 138.3 (C-1), 126.8 (C-2), 126.0 (C-3), 69.4 (C-23), 42.9 (C-15), 42.7 (C-6, C-12, C-13), 36.6 (C-5), 36.5 (C-8, C-10, C-14), 29.4 (C-22), 29.2 (C-16), 28.9 (C-18), 28.9 (C-20), 28.8 (C-19), 26.4 (C-17), 25.5 (C-21) ppm; MS: m/z = 457.1 (100%, [M + Na]+); anal. calcd. for C25H40N2S2O5 (512.72): C 58.56, H 7.86, N 5.46; found: C 58.27, H 8.05, N 5.16.

4.2.159. 4-(Adamantan-1-yl)-N-(10-hydroxydecyl)benzene Sulfonamide (79a)

Applying GPA: from 4-(adamantan-1-yl)benzenesulfonyl chloride (300 mg, 0.97 mmol) and 10-amino-decanol (251 mg, 1.45 mmol): 79a (377 mg, 87%); white solid; Rf = 0.74 (CHCl3/EtOAc, 2:3); m.p. = 76–79 °C; UV–Vis: 231 nm (4.20); IR: ν = 3496vw, 3282w, 2903s, 2849s, 1597w, 1449m, 1400w, 1369w, 1320s, 1293m, 1157vs, 1094m, 1056m, 1031m, 1014w, 976w, 881vw, 839w, 806m, 740m, 721w, 674s, 596vs, 577s, 495w, 487w, 476w, 451vw cm−1; 1H NMR:δ = 7.73–7.68 (m, 2H, 2-H, 2′-H), 7.59–7.53 (m, 2H, 3-H, 3′-H), 7.44 (t, J = 5.8 Hz, 1H, NH), 4.30 (t, J = 5.1 Hz, 1H, OH), 3.36 (td, J = 6.5, 5.2 Hz, 2H, 24-H), 2.71 (q, J = 6.6 Hz, 2H, 15-H), 2.09–2.03 (m, 3H, 7-H, 9-H, 11-H), 1.88 (d, J = 3.0 Hz, 6H, 6-H, 12-H, 13-H), 1.73 (d, J = 4.4 Hz, 6H, 8-H, 10-H, 14-H), 1.43–1.34 (m, 2H, 23-H), 1.34–1.26 (m, 2H, 16-H), 1.26–1.09 (m, 12H, 17-H, 18-H, 19-H, 20-H, 21-H, 22-H) ppm; 13C NMR:δ = 155.2 (C-4), 137.9 (C-1), 126.4 (C-2), 125.5 (C-3), 60.7 (C-24), 42.5 (C-15), 42.2 (C-6, C-12, C-13), 36.2 (C-5), 36.0 (C-8, C-10, C-14), 32.5 (C-23), 29.0 (C-16), 28.9 (C-19), 28.9 (C-21), 28.8 (C-20), 28.5 (C-18), 28.2 (C-7, C-9, C-11), 26.0 (C-17), 25.5 (C-22) ppm; MS: m/z = 457.1 (100%, [M + Na]+); anal. calcd. for C26H41NSO3 (447.68): C 69.76, H 9.23, N 3.13; found: C 69.41, H 9.55, N 2.94.

4.2.160. 10-[(4-(Adamantan-1-yl)phenyl)sulfonamido]decyl Sulfamate (79b)

Applying GPB: from 79a (170 mg, 0.38 mmol): 79b (92 mg, 46%); white solid; Rf = 0.85 (CHCl3/EtOAc, 2:3); m.p. = 87–89 °C; UV–Vis: 231 nm (4.18); IR: ν = 3291w, 2919m, 2903m, 2850m, 1597vw, 1567vw, 1563vw, 1471w, 1450w, 1426w, 1400w, 1366m, 1322s, 1294m, 1179m, 1158vs, 1119w, 1103w, 1093m, 1064w, 1051w, 1031w, 1014w, 954m, 936m, 880w, 831m, 805m, 775w, 762w, 747m, 731w, 722w, 682m, 628w, 597s, 572s, 561s, 523w, 474w cm−1; 1H NMR:δ = 7.74–7.69 (m, 2H, 2-H, 2′-H), 7.59–7.54 (m, 2H, 3-H, 3′-H), 7.44 (t, J = 5.8 Hz, 1H, NH), 7.37 (s, 2H, NH2), 4.00 (t, J = 6.5 Hz, 2H, 24-H), 2.71 (q, J = 6.6 Hz, 2H, 15-H), 2.07 (p, J = 3.1 Hz, 3H, 7-H, 9-H, 11-H), 1.88 (d, J = 2.9 Hz, 6H, 6-H, 12-H, 13-H), 1.80–1.68 (m, 6H, 8-H, 10-H, 14-H), 1.61 (p, J = 6.6 Hz, 2H, 23-H), 1.36–1.27 (m, 4H, 16-H, 22-H), 1.27–1.11 (m,10H, 17-H, 18-H, 19-H, 20-H, 21-H) ppm; 13C NMR:δ = 155.6 (C-4), 138.3 (C-1), 126.8 (C-2), 126.0 (C-3), 69.4 (C-24), 42.9 (C-15), 42.7 (C-6, C-12, C-13), 36.6 (C-5), 36.5 (C-8, C-10, C-14), 29.4 (C-16), 29.3 (C-19), 29.3 (C-23), 29.0 (C-18), 28.9 (C-21), 28.8 (C-20), 28.6 (C-7, C-9, C-11), 26.4 (C-17), 25.5 (C-22) ppm; MS: m/z = 457.1 (100%, [M + Na]+); anal. calcd. for C26H42N2S2O5 (526.75): C 59.29, H 8.04, N 5.32; found: C 58.97, H 8.31, N 5.03.

4.3. Molecular Modeling

For the molecular docking studies, MOE 2020 software (2020 0901) was employed. The enzyme structure, obtained from the PDB Database (PDB ID: 3HS4), was prepared using the QuickPrep tool (version 2020). Ligands were deprotonated to align with the crystal structure of the co-crystallized ligand. Docking utilized a pharmacophore model focusing on the interaction between the sulfonamide group and the zinc ion. Ligands were initially positioned with the Triangle Matcher algorithm, producing 30 poses, which were scored with the London dG scoring function. The top five poses underwent refinement with a rigid receptor model and were rescored using the GBVI/WSA dG method. The best pose was assessed by comparing it to the expected logical structure and interactions. The docking protocol was validated by successfully redocking the co-crystallized ligand, acetazolamide.

4.4. Enzymatic Assay

The enzymatic assays have been performed with carbonic anhydrase II (bCAII, ≥3000 W-A units/mg from bovine erythrocytes) from Sigma (Taufkirchen, Germany) using a BMG Labtech Spectrostar Omega apparatus (BMG Labtech, Ortenberg, Germany) measuring λ = 415 nm. Conditions have been described previously [72]. Ki and Ki′ values were determined from Lineweaver–Burk, Dixon and Cornish Bowden plots, respectively.

Supplementary Materials

The following supporting information can be downloaded at: https://www.mdpi.com/article/10.3390/molecules29133015/s1, page 1 to page 53: 1H and 13C NMR spectra of all compounds; page 54 to page 58: representative HRMS spectra; page 59 to page 64: 2D and 3D depiction (docking calculations).

Author Contributions

Conceptualization, R.C.; validation, T.C.D., N.V.H., A.A.-H. and R.C.; investigation: T.C.D., N.V.H., A.A.-H. and R.C.; writing—original draft preparation, R.C. and T.C.D.; writing—review and editing, T.C.D., N.V.H., A.A.-H. and R.C. All authors have read and agreed to the published version of the manuscript.

Funding

This research received no external funding.

Institutional Review Board Statement

Not applicable.

Informed Consent Statement

Not applicable.

Data Availability Statement

The data presented in this study are available on request from the corresponding author.

Acknowledgments

We like to thank D. Ströhl, S. Ludwig and Y. Schiller for numerous NMR spectra and M. Schneider and Th. Schmidt for taking the MS spectra as well as measuring IR, UV–Vis spectra and M. Schneider for performing the micro-analysis.

Conflicts of Interest

The authors declare no conflicts of interest.

References

  1. Angeli, A.; Supuran, C.T. Click chemistry approaches for developing carbonic anhydrase inhibitors and their applications. J. Enzyme Inhib. Med. Chem. 2023, 38, 2166503. [Google Scholar] [CrossRef]
  2. Beatriz Vermelho, A.; Rodrigues, G.C.; Nocentini, A.; Mansoldo, F.R.P.; Supuran, C.T. Discovery of novel drugs for Chagas disease: Is carbonic anhydrase a target for antiprotozoal drugs. Expert Opin. Drug Discov. 2022, 17, 1147–1158. [Google Scholar] [CrossRef]
  3. Di Fiore, A.; Supuran, C.T.; Scaloni, A.; De Simone, G. Post-translational modifications in tumor-associated carbonic anhydrases. Amino Acids 2022, 54, 543–558. [Google Scholar] [CrossRef]
  4. Giovannuzzi, S.; Nikitjuka, A.; Pereira Resende, B.R.; Smietana, M.; Nocentini, A.; Supuran, C.T.; Winum, J.-Y. Boron-containing carbonic anhydrases inhibitors. Bioorg. Chem. 2024, 143, 106976. [Google Scholar] [CrossRef] [PubMed]
  5. Nerella, S.G.; Singh, P.; Arifuddin, M.; Supuran, C.T. Anticancer carbonic anhydrase inhibitors: A patent and literature update 2018–2022. Expert Opin. Ther. Pat. 2022, 32, 833–847. [Google Scholar] [CrossRef] [PubMed]
  6. Nerella, S.G.; Singh, P.; Thacker, P.S.; Arifuddin, M.; Supuran, C.T. PET radiotracers and fluorescent probes for imaging human carbonic anhydrase IX and XII in hypoxic tumors. Bioorg. Chem. 2023, 133, 106399. [Google Scholar] [CrossRef] [PubMed]
  7. Poggetti, V.; Salerno, S.; Baglini, E.; Barresi, E.; Da Settimo, F.; Taliani, S. Carbonic Anhydrase Activators for Neurodegeneration: An Overview. Molecules 2022, 27, 2544. [Google Scholar] [CrossRef] [PubMed]
  8. Queen, A.; Bhutto, H.N.; Yousuf, M.; Syed, M.A.; Hassan, I.M. Carbonic anhydrase IX: A tumor acidification switch in heterogeneity and chemokine regulation. Semin. Cancer Biol. 2022, 86 Pt 3, 899–913. [Google Scholar] [CrossRef]
  9. Supuran, C.T. Anti-obesity carbonic anhydrase inhibitors: Challenges and opportunities. J. Enzyme Inhib. Med. Chem. 2022, 37, 2478–2488. [Google Scholar] [CrossRef]
  10. Supuran, C.T. Carbonic Anhydrase Inhibitors from Marine Natural Products. Mar. Drugs 2022, 20, 721. [Google Scholar] [CrossRef]
  11. Supuran, C.T. A simple yet multifaceted 90 years old, evergreen enzyme: Carbonic anhydrase, its inhibition and activation. Bioorg. Med. Chem. Lett. 2023, 93, 129411. [Google Scholar] [CrossRef]
  12. Supuran, C.T. Latest advances in specific inhibition of tumor-associated carbonic anhydrases. Future Med. Chem. 2023, 15, 5–7. [Google Scholar] [CrossRef] [PubMed]
  13. Supuran, C.T. An overview of novel antimicrobial carbonic anhydrase inhibitors. Expert Opin. Ther. Targets 2023, 27, 897–910. [Google Scholar] [CrossRef]
  14. Supuran, C.T. Targeting carbonic anhydrases for the management of hypoxic metastatic tumors. Expert Opin. Ther. Pat. 2023, 33, 701–720. [Google Scholar] [CrossRef]
  15. Aspatwar, A.; Tolvanen, M.E.E.; Barker, H.; Syrjanen, L.; Valanne, S.; Purmonen, S.; Abdul, W.; Sly, W.S.; Parkkila, S. Carbonic anhydrases in metazoan model organisms: Molecules, mechanisms, and physiology. Physiol. Rev. 2022, 102, 1327–1383. [Google Scholar] [CrossRef]
  16. Lee, S.-K.; Boron, W.F.; Occhipinti, R. Potential Novel Role of Membrane-Associated Carbonic Anhydrases in the Kidney. Int. J. Mol. Sci. 2023, 24, 4251. [Google Scholar] [CrossRef]
  17. Mangiacotti, M.; Fumagalli, M.; Casali, C.; Biggiogera, M.; Forneris, F.; Sacchi, R. Carbonic anhydrase IV in lizard chemical signals. Sci. Rep. 2023, 13, 14164. [Google Scholar] [CrossRef]
  18. Nava, V.E.; Khosla, R.; Shin, S.; Mordini, F.E.; Bandyopadhyay, B.C. Enhanced carbonic anhydrase expression with calcification and fibrosis in bronchial cartilage during COPD. Acta Histochem. 2022, 124, 151834. [Google Scholar] [CrossRef]
  19. Sufian, A.M.; Zamanova, S.; Shabana, A.M.; Kemp, B.; Mondal, U.K.; Supuran, C.T.; Ilies, M.A. Expression Dynamics of CA IX Epitope in Cancer Cells under Intermittent Hypoxia Correlates with Extracellular pH Drop and Cell Killing by Ureido-Sulfonamide CA IX Inhibitors. Int. J. Mol. Sci. 2023, 24, 4595. [Google Scholar] [CrossRef]
  20. Venkateswaran, G.; McDonald, P.C.; Chafe, S.C.; Brown, W.S.; Gerbec, Z.J.; Awrey, S.J.; Parker, S.J.; Dedhar, S. A carbonic anhydrase IX/SLC1A5 axis regulates glutamine metabolism dependent ferroptosis in hypoxic tumor cells. Mol. Cancer Ther. 2023, 22, 1228–1241. [Google Scholar] [CrossRef]
  21. Yadav, P.R.; Hussain Basha, S.; Satyanarayana, S.D.V.; Pindi, P.K. Microsecond simulation analysis of carbonic anhydrase—II in complex with (+)-cathechin revealed molecular interactions responsible for its amelioration effect on fluoride toxicity. J. Biomol. Struct. Dyn. 2022, 40, 7469–7482. [Google Scholar] [CrossRef] [PubMed]
  22. Gamal, M.A.; Fahim, S.H.; Giovannuzzi, S.; Fouad, M.A.; Bonardi, A.; Gratteri, P.; Supuran, C.T.; Hassan, G.S. Probing benzenesulfonamide-thiazolidinone hybrids as multitarget directed ligands for efficient control of type 2 diabetes mellitus through targeting the enzymes: α-glucosidase and carbonic anhydrase II. Eur. J. Med. Chem. 2024, 271, 116434. [Google Scholar] [CrossRef]
  23. Langella, E.; Esposito, D.; Monti, S.M.; Supuran, C.T.; De Simone, G.; Alterio, V. A Combined in Silico and Structural Study Opens New Perspectives on Aliphatic Sulfonamides, a Still Poorly Investigated Class of CA Inhibitors. Biology 2023, 12, 281. [Google Scholar] [CrossRef]
  24. Wang, C.-Y.; Xuan, D.T.M.; Ye, P.-H.; Li, C.-Y.; Anuraga, G.; Ta, H.D.K.; Lai, M.-D.; Hsu, H.-P. Synergistic suppressive effects on triple-negative breast cancer by the combination of JTC-801 and sodium oxamate. Am. J. Cancer Res. 2023, 13, 4661–4677. [Google Scholar]
  25. De Simone, G.; Di Fiore, A.; Supuran, C.T. Are carbonic anhydrase inhibitors suitable for obtaining antiobesity drugs? Curr. Pharm. Des. 2008, 14, 655–660. [Google Scholar]
  26. De Simone, G.; Supuran, C.T. Antiobesity carbonic anhydrase inhibitors. Curr. Top. Med. Chem. 2007, 7, 879–884. [Google Scholar] [CrossRef]
  27. Hazen, S.A.; Waheed, A.; Sly, W.S.; LaNoue, K.F.; Lynch, C.J. Differentiation-dependent expression of CA V and the role of carbonic anhydrase isoenzymes in pyruvate carboxylation in adipocytes. FASEB J. 1996, 10, 481–490. [Google Scholar] [CrossRef]
  28. Innocenti, A.; Vullo, D.; Scozzafava, A.; Casey, J.R.; Supuran, C. Carbonic anhydrase inhibitors. Interaction of isozymes I, II, IV, V, and IX with carboxylates. Bioorg. Med. Chem. Lett. 2005, 15, 573–578. [Google Scholar] [CrossRef] [PubMed]
  29. Lynch, C.; Fox, H.; Hazen, S.A.; Stanley, B.A.; Dodgson, S.; LaNoue, K.F. Role of hepatic carbonic anhydrase in de novo lipogenesis. Biochem. J. 1995, 310, 197–202. [Google Scholar] [CrossRef]
  30. Supuran, C.T. Carbonic anhydrases: Novel therapeutic applications for inhibitors and activators. Nat. Rev. Drug Discov. 2008, 7, 168–181. [Google Scholar] [CrossRef]
  31. Supuran, C.T. Carbonic anhydrase inhibitors as emerging drugs for the treatment of obesity. Expert Opin. Emerg. Drugs 2012, 17, 11–15. [Google Scholar] [CrossRef] [PubMed]
  32. Ghorai, S.; Pulya, S.; Ghosh, K.; Panda, P.; Ghosh, B.; Gayen, S. Structure-activity relationship of human carbonic anhydrase-II inhibitors: Detailed insight for future development as anti-glaucoma agents. Bioorg. Chem. 2020, 95, 103557. [Google Scholar] [CrossRef] [PubMed]
  33. Hall, T.J.; Higgins, W.; Tardif, C.; Chambers, T.J. A comparison of the effects of inhibitors of carbonic anhydrase on osteoclastic bone resorption and purified carbonic anhydrase isozyme II. Calcif. Tissue Int. 1991, 49, 328–332. [Google Scholar] [CrossRef] [PubMed]
  34. Lehenkari, P.; Hentunen, T.A.; Laitala-Leinonen, T.; Tuukkanen, J.; Vaananen, H.K. Carbonic anhydrase II plays a major role in osteoclast differentiation and bone resorption by effecting the steady state intracellular pH and Ca2+. Exp. Cell Res. 1998, 242, 128–137. [Google Scholar] [CrossRef] [PubMed]
  35. Oksala, N.; Levula, M.; Pelto-Huikko, M.; Kytoemaeki, L.; Soini, J.T.; Salenius, J.; Kaehoenen, M.; Karhunen, P.J.; Laaksonen, R.; Parkkila, S.; et al. Carbonic anhydrases II and XII are up-regulated in osteoclast-like cells in advanced human atherosclerotic plaques-Tampere Vascular Study. Ann. Med. 2010, 42, 360–370. [Google Scholar] [CrossRef] [PubMed]
  36. Riihonen, R.; Supuran, C.T.; Parkkila, S.; Pastorekova, S.; Vaeaenaenen, H.K.; Laitala-Leinonen, T. Membrane-bound carbonic anhydrases in osteoclasts. Bone 2007, 40, 1021–1031. [Google Scholar] [CrossRef] [PubMed]
  37. Sly, W.S.; Hewett-Emmett, D.; Whyte, M.P.; Yu, Y.S.; Tashian, R.E. Carbonic anhydrase II deficiency identified as the primary defect in the autosomal recessive syndrome of osteopetrosis with renal tubular acidosis and cerebral calcification. Proc. Natl. Acad. Sci. USA 1983, 80, 2752–2756. [Google Scholar] [CrossRef] [PubMed]
  38. Shukralla, A.A.; Dolan, E.; Delanty, N. Acetazolamide: Old drug, new evidence? Epilepsia Open 2022, 7, 378–392. [Google Scholar] [CrossRef] [PubMed]
  39. Supuran, C.T. Acetazolamide for the treatment of idiopathic intracranial hypertension. Expert Rev. Neurother. 2015, 15, 851–856. [Google Scholar] [CrossRef]
  40. Supuran, C.T. Carbonic anhydrase inhibition and the management of neuropathic pain. Expert Rev. Neurother. 2016, 16, 961–968. [Google Scholar] [CrossRef]
  41. Vagal, A.S.; Leach, J.L.; Fernandez-Ulloa, M.; Zuccarello, M. The acetazolamide challenge: Techniques and applications in the evaluation of chronic cerebral ischemia. AJNR Am. J. Neuroradiol. 2009, 30, 876–884. [Google Scholar] [CrossRef]
  42. Holmstrom, S.; Buchholz, P.; Walt, J.; Wickstrom, J.; Aagren, M. Analytic review of bimatoprost, latanoprost and travoprost in primary open angle glaucoma. Curr. Med. Res. Opin. 2005, 21, 1875–1883. [Google Scholar] [CrossRef]
  43. Kwon, Y.H.; Fingert, J.H.; Kuehn, M.H.; Alward, W.L.M. Mechanisms of disease: Primary open-angle glaucoma. N. Engl. J. Med. 2009, 360, 1113–1124. [Google Scholar] [CrossRef]
  44. Pasquale, L.R. Vascular and autonomic dysregulation in primary open-angle glaucoma. Curr. Opin. Ophthalmol. 2016, 27, 94–101. [Google Scholar] [CrossRef]
  45. Ray, K.; Mookherjee, S. Molecular complexity of primary open angle glaucoma: Current concepts. J. Genet. 2009, 88, 451–467. [Google Scholar] [CrossRef]
  46. Vass, C.; Hirn, C.; Sycha, T.; Findl, O.; Bauer, P.; Schmetterer, L. Medical interventions for primary open angle glaucoma and ocular hypertension. Cochrane Database Syst. Rev. 2007, 2007, CD003167. [Google Scholar] [CrossRef]
  47. Weinreb, R.N.; Khaw, P.T. Primary open-angle glaucoma. Lancet 2004, 363, 1711–1720. [Google Scholar] [CrossRef] [PubMed]
  48. Cvetkovic, R.S.; Perry, C.M. Brinzolamide: A review of its use in the management of primary open-angle glaucoma and ocular hypertension. Drugs Aging 2003, 20, 919–947. [Google Scholar] [CrossRef] [PubMed]
  49. Galassi, F.; Sodi, A.; Renieri, G.; Ucci, F.; Pieri, B.; Harris, A.; Siesky, B. Effects of timolol and dorzolamide on retrobulbar hemodynamics in patients with newly diagnosed primary open-angle glaucoma. Ophthalmologica 2002, 216, 123–128. [Google Scholar] [CrossRef] [PubMed]
  50. Harris, A.; Jonescu-Cuypers, C.P.; Kagemann, L.; Nowacki, E.A.; Garzozi, H.; Cole, C.; Martin, B. Effect of dorzolamide timolol combination versus timolol 0.5% on ocular bloodflow in patients with primary open-angle glaucoma. Am. J. Ophthalmol. 2001, 132, 490–495. [Google Scholar] [CrossRef]
  51. Li, T.; Lindsley, K.; Rouse, B.; Hong, H.; Shi, Q.; Friedman, D.S.; Wormald, R.; Dickersin, K. Comparative Effectiveness of First-Line Medications for Primary Open-Angle Glaucoma: A Systematic Review and Network Meta-analysis. Ophthalmology 2016, 123, 129–140. [Google Scholar] [CrossRef] [PubMed]
  52. Schmidt, K.G.; von Rückmann, A.; Pillunat, L.E. Topical carbonic anhydrase inhibition increases ocular pulse amplitude in high tension primary open angle glaucoma. Br. J. Ophthalmol. 1998, 82, 758–762. [Google Scholar] [CrossRef]
  53. Zanon-Moreno, V.; Garcia-Medina, J.J.; Gallego-Pinazo, R.; Vinuesa-Silva, I.; Moreno-Nadal, M.A.; Pinazo-Duran, M.D. Antioxidant status modifications by topical administration of dorzolamide in primary open-angle glaucoma. Eur. J. Ophthalmol. 2009, 19, 565–571. [Google Scholar] [CrossRef] [PubMed]
  54. Hoy, S.M. Lecanemab: First Approval. Drugs 2023, 83, 359–365. [Google Scholar] [CrossRef] [PubMed]
  55. Huang, L.-K.; Kuan, Y.-C.; Lin, H.-W.; Hu, C.-J. Clinical trials of new drugs for Alzheimer disease: A 2020–2023 update. J. Biomed. Sci. 2023, 30, 83. [Google Scholar] [CrossRef] [PubMed]
  56. Kaur, U.; Reddy, J.; Tiwari, A.; Chakrabarti, S.; Chakrabarti, S.S. Lecanemab: More Questions Than Answers! Clin. Drug Investig. 2024, 44, 1–10. [Google Scholar] [CrossRef] [PubMed]
  57. Knopman, D.S.; Hershey, L. Implications of the Approval of Lecanemab for Alzheimer Disease Patient Care: Incremental Step or Paradigm Shift. Neurology 2023, 101, 610–620. [Google Scholar] [CrossRef]
  58. Kurkinen, M. Lecanemab (Leqembi) is not the right drug for patients with Alzheimer’s disease. Adv. Clin. Exp. Med. 2023, 32, 943–947. [Google Scholar] [CrossRef] [PubMed]
  59. Schiller, E.R.; Silverglate, B.D.; Grossberg, G.T. Profiling lecanemab as a treatment option for Alzheimer′s disease. Expert Rev. Neurother. 2024, 24, 433–441. [Google Scholar] [CrossRef]
  60. Terao, I.; Kodama, W. Comparative efficacy, tolerability and acceptability of donanemab, lecanemab, aducanumab and lithium on cognitive function in mild cognitive impairment and Alzheimer′s disease: A systematic review and network meta-analysis. Ageing Res. Rev. 2024, 94, 102203. [Google Scholar] [CrossRef]
  61. Doggrell, S.A. Still grasping at straws: Donanemab in Alzheimer’s disease. Expert Opin. Investig. Drugs 2021, 30, 797–801. [Google Scholar] [CrossRef] [PubMed]
  62. Gueorguieva, I.; Willis, B.A.; Chua, L.; Chow, K.; Ernest, C.S.; Shcherbinin, S.; Ardayfio, P.; Mullins, G.R.; Sims, J.R. Donanemab Population Pharmacokinetics, Amyloid Plaque Reduction, and Safety in Participants with Alzheimer′s Disease. Clin. Pharmacol. Ther. 2023, 113, 1258–1267. [Google Scholar] [CrossRef] [PubMed]
  63. Mintun, M.A.; Lo, A.C.; Evans, C.D.; Wessels, A.M.; Ardayfio, P.A.; Andersen, S.W.; Shcherbinin, S.; Sparks, J.; Sims, J.R.; Brys, M.; et al. Donanemab in early Alzheimer’s disease. N. Engl. J. Med. 2021, 384, 1691–1704. [Google Scholar] [CrossRef] [PubMed]
  64. Sims, J.R.; Zimmer, J.A.; Evans, C.D.; Lu, M.; Ardayfio, P.; Sparks, J.D.; Wessels, A.M.; Shcherbinin, S.; Wang, H.; Nery, E.S.M.; et al. Donanemab in early symptomatic alzheimer disease: The TRAILBLAZER-ALZ 2 randomized clinical trial. JAMA J. Am. Med. Assoc. 2023, 330, 512–527. [Google Scholar] [CrossRef] [PubMed]
  65. Scozzafava, A.; Mastrolorenzo, A.; Supuran, C.T. Carbonic anhydrase inhibitors and activators and their use in therapy. Expert Opin. Ther. Pat. 2006, 16, 1627–1664. [Google Scholar] [CrossRef]
  66. Supuran, C.T. Novel carbonic anhydrase inhibitors. Future Med. Chem. 2021, 13, 1935–1937. [Google Scholar] [CrossRef] [PubMed]
  67. Thiry, A.; Dogne, J.-M.; Supuran, C.T.; Masereel, B. Anticonvulsant sulfonamides/sulfamates/sulfamides with carbonic anhydrase inhibitory activity: Drug design and mechanism of action. Curr. Pharm. Des. 2008, 14, 661–671. [Google Scholar] [PubMed]
  68. Winum, J.-Y.; Scozzafava, A.; Montero, J.-L.; Supuran, C.T. Therapeutic applications of sulfamates. Expert Opin. Ther. Pat. 2004, 14, 1273–1308. [Google Scholar] [CrossRef]
  69. Winum, J.-Y.; Scozzafava, A.; Montero, J.-L.; Supuran, C.T. Sulfamates and their therapeutic potential. Med. Res. Rev. 2005, 25, 186–228. [Google Scholar] [CrossRef] [PubMed]
  70. Winum, J.-Y.; Scozzafava, A.; Montero, J.-L.; Supuran, C.T. The sulfamide motif in the design of enzyme inhibitors. Expert Opin. Ther. Pat. 2006, 16, 27–47. [Google Scholar] [CrossRef]
  71. Zaraei, S.-O.; Abduelkarem, A.R.; Anbar, H.S.; Kobeissi, S.; Mohammad, M.; Ossama, A.; El-Gamal, M.I. Sulfamates in drug design and discovery: Pre-clinical and clinical investigations. Eur. J. Med. Chem. 2019, 179, 257–271. [Google Scholar] [CrossRef] [PubMed]
  72. Denner, T.C.; Klett, E.L.; Heise, N.V.; Csuk, R. Stereochemistry matters: Inhibition of carbonic anhydrase II by amino acid derived sulfamates depends on their absolute configuration. Eur. J. Med. Chem. Rep. 2024, 11, 100162. [Google Scholar] [CrossRef]
  73. Winum, J.-Y.; Cecchi, A.; Montero, J.-L.; Innocenti, A.; Scozzafava, A.; Suppuran, C.T. Carbonic anhydrase: Inhibitors and synthesis of cytosolic/tumor-associated carbonic anhydrase isoenzymes I, II, and IX with boron-containing sulfonamides, sulfamides and sulfamates. Toward agents for boron neutron capture therapy of hypoxic tumors. Bioorg. Med. Chem. 2005, 15, 3302–3306. [Google Scholar] [CrossRef] [PubMed]
  74. Aslan, H.G.; Ozcan, S.; Karacan, N. The antibacterial activity of some sulfonamides and sulfonyl hydrazones, and 2D-QSAR study of a series of sulfonyl hydrazones. Spectrochim. Acta Part A 2012, 98, 329–336. [Google Scholar] [CrossRef] [PubMed]
  75. Dujols, F.; Marty, L.; Mulliez, M. Phospholidines incorporating a β N-sulfonylaminoalcohol moiety: First observed selectivity of phosphorus heterocycle aminolysis in the presence of water. Org. Biomol. Chem. 2005, 3, 227–232. [Google Scholar] [CrossRef] [PubMed]
  76. Kretov, A.E.; Tikhonova, G.V. N-Arylsulfonamide derivatives of monoethanolamine. Zh. Obshch. Khim. 1959, 29, 412–415. [Google Scholar]
  77. Papaioannou, M.; Schleich, S.; Roell, D.; Schubert, U.; Tanner, T.; Claessens, F.; Matusch, R.; Baniahmad, A. NBBS isolated from Pygeum africanum bark exhibits androgen antagonistic activity, inhibits AR nuclear translocation and prostate cancer cell growth. Investig. New Drugs 2010, 28, 729–743. [Google Scholar] [CrossRef] [PubMed]
  78. Slotta, K.H.; Behnisch, R. Reaction of primary and secondary amino alcohols and amino phenols with arylsulfonyl chlorides. J. Prakt. Chem. 1932, 135, 225. [Google Scholar] [CrossRef]
  79. Trost, B.M.; Xu, S.; Sharif, E.U. New Catalytic Asymmetric Formation of Oxygen Heterocycles Bearing Nucleoside Bases at the Anomeric Carbon. J. Am. Chem. Soc. 2019, 141, 10199–10204. [Google Scholar] [CrossRef]
  80. Zhong, H.; Ding, T.; Guo, Q.; Tian, Z.; Yu, P.; Jiang, X. Accessing chiral 2,2-disubstituted morpholines via organocatalytic enantioselective chlorocycloetherification. Org. Chem. Front. 2022, 9, 4372–4378. [Google Scholar] [CrossRef]
  81. Augstein, J.; Austin, W.C.; Boscott, R.J.; Green, S.M.; Worthing, C.R. Some cardiovascular effects of a series of aryloxyalkylamines. I. J. Med. Chem. 1965, 8, 356–367. [Google Scholar] [CrossRef]
  82. Kang, H.H.; Rho, H.S.; Kim, D.H.; Oh, S.-G. Metal oxide in aqueous organic solution promoted chemoselective N-sulfonylation of hydrophilic amino alcohols. Tetrahedron Lett. 2003, 44, 7225–7227. [Google Scholar] [CrossRef]
  83. MaGee, D.I.; Ramaseshan, M.; Leach, J.D. Synthesis of cyclic and acyclic imides, sulfonimides, and N-carbobenzyloxyamides by ketene trapping. Can. J. Chem. 1995, 73, 2111–2118. [Google Scholar] [CrossRef]
  84. Hosaka, T.; Torisawa, Y.; Nakagawa, M. An efficient protocol for the selective reduction of benzenesulfonyllactam to benzenesulfonyl cyclic amine. Tetrahedron Lett. 1997, 38, 3535–3538. [Google Scholar] [CrossRef]
  85. Schafroth, M.A.; Rummelt, S.M.; Sarlah, D.; Carreira, E.M. Enantioselective Iridium-Catalyzed Allylic Cyclizations. Org. Lett. 2017, 19, 3235–3238. [Google Scholar] [CrossRef] [PubMed]
  86. Bandini, M.; Monari, M.; Romaniello, A.; Tragni, M. Gold-Catalyzed Direct Activation of Allylic Alcohols in the Stereoselective Synthesis of Functionalized 2-Vinyl-Morpholines. Chem.—Eur. J. 2010, 16, 14272–14277. [Google Scholar] [CrossRef]
  87. Chinnakali, K.; Poornachandran, M.; Raghunathan, R.; Fun, H.K. 2-[N-(Prop-2-ynyl)-N-tosylamino]ethanol. Acta Crystallogr. Sect. E Struct. Rep. Online 2007, 63, o980. [Google Scholar] [CrossRef]
  88. Elliott, L.D.; Wrigglesworth, J.W.; Cox, B.; Lloyd-Jones, G.C.; Booker-Milburn, K.I. 2,2-Difunctionalization of Alkenes via Pd(II)-Catalyzed Aza-Wacker Reactions. Org. Lett. 2011, 13, 728–731. [Google Scholar] [CrossRef]
  89. Fukudome, Y.; Naito, H.; Hata, T.; Urabe, H. Copper-Catalyzed 1,2-Double Amination of 1-Halo-1-alkynes. Concise Synthesis of Protected Tetrahydropyrazines and Related Heterocyclic Compounds. J. Am. Chem. Soc. 2008, 130, 1820–1821. [Google Scholar] [CrossRef]
  90. Gharpure, S.J.; Prasad, J.V.K. Stereoselective Synthesis of C-Substituted Morpholine Derivatives using Reductive Etherification Reaction: Total Synthesis of Chelonin C. J. Org. Chem. 2011, 76, 10325–10331. [Google Scholar] [CrossRef]
  91. Jafarpour, M.; Rezaeifard, A.; Aliabadi, M. Catalytic activity of silica gel in the synthesis of sulfonamides under mild and solvent-free conditions. Appl. Catal. A 2009, 358, 49–53. [Google Scholar] [CrossRef]
  92. Venning, A.R.O.; Kwiatkowski, M.R.; Roque Pena, J.E.; Lainhart, B.C.; Guruparan, A.A.; Alexanian, E.J. Palladium-Catalyzed Carbocyclizations of Unactivated Alkyl Bromides with Alkenes Involving Auto-tandem Catalysis. J. Am. Chem. Soc. 2017, 139, 11595–11600. [Google Scholar] [CrossRef] [PubMed]
  93. Toumieux, S.; Compain, P.; Martin, O.R.; Selkti, M. New Aspects of Catalytic Intramolecular C-H Amination: Unexpected Formation of a Seven-Membered Ring in Nitrogen-Containing Systems. Org. Lett. 2006, 8, 4493–4496. [Google Scholar] [CrossRef] [PubMed]
  94. Bailey, T.R.; Garigipati, R.S.; Morton, J.A.; Weinreb, S.M. Total synthesis of anhydrocannabisativene. J. Am. Chem. Soc. 1984, 106, 3240–3245. [Google Scholar] [CrossRef]
  95. Comito, R.J.; Finelli, F.G.; MacMillan, D.W.C. Enantioselective Intramolecular Aldehyde α-Alkylation with Simple Olefins: Direct Access to Homo-Ene Products. J. Am. Chem. Soc. 2013, 135, 9358–9361. [Google Scholar] [CrossRef] [PubMed]
  96. Nan, A.; David, L.; Tintas, M.; Lar, C.; Grosu, I. Synthesis, stereochemistry and ring-chain tautomerism of some new bis(1,3-perhydrooxazin-2-yl)benzene derivatives. Lett. Org. Chem. 2011, 8, 16–21. [Google Scholar] [CrossRef]
  97. Shi, Q.; Liao, Z.; Liu, Z.; Wen, J.; Li, C.; He, J.; Deng, J.; Cen, S.; Cao, T.; Zhou, J.; et al. Divergent synthesis of benzazepines and bridged polycycloalkanones via dearomative rearrangement. Nat. Commun. 2022, 13, 4402. [Google Scholar] [CrossRef]
  98. Vaughan, W.R.; Klonowski, R.S. Potential anticancer agents. VI. N-(3-Hydroxypropyl)benzaldimine and related compounds. J. Org. Chem. 1961, 26, 145–148. [Google Scholar] [CrossRef]
  99. Williams, J.T.; Bahia, P.S.; Snaith, J.S. Synthesis of 3,4-Disubstituted Piperidines by Carbonyl Ene and Prins Cyclizations: A Switch in Diastereoselectivity between Lewis and Bronsted Acid Catalysts. Org. Lett. 2002, 4, 3727–3730. [Google Scholar] [CrossRef]
  100. Henry, J.R.; Marcin, L.R.; McIntosh, M.C.; Scola, P.M.; Harris, G.D., Jr.; Weinreb, S.M. Mitsunobu reactions of N-alkyl and N-acyl sulfonamides—An efficient route to protected amines. Tetrahedron Lett. 1989, 30, 5709–5712. [Google Scholar] [CrossRef]
  101. Babu, B.P.; Endo, Y.; Baeckvall, J.-E. Biomimetic Aerobic Oxidation of Amino Alcohols to Lactams. Chem.—Eur. J. 2012, 18, 11524–11527. [Google Scholar] [CrossRef] [PubMed]
  102. Barton, D.H.R.; Britten-Kelly, M.R.; Ferreira, D. Reactions of relevance to the chemistry of aminoglycoside antibiotics. Part 9. New reagents for amination of the ethylenic linkage. J. Chem. Soc. Perkin Trans. 1978, 1, 1682–1692. [Google Scholar] [CrossRef]
  103. Fischer, P.; Morris, M.; Mueller-Bunz, H.; Evans, P. Synthesis and Structural Elucidation of 1,2-Disubstituted 3-Fluoropiperidines. Eur. J. Org. Chem. 2020, 2020, 1165–1176. [Google Scholar] [CrossRef]
  104. He, L.; Yu, J.; Zhang, J.; Yu, X.-Q. α-Amidation of Cyclic Ethers Catalyzed by Simple Copper Salt and a Mild and Efficient Preparation Method for α,π-Amino Alcohols. Org. Lett. 2007, 9, 2277–2280, Erratum in Org. Lett. 2013, 15, 6113–6114. [Google Scholar] [CrossRef] [PubMed]
  105. Ikeuchi, K.; Murasawa, K.; Ohara, K.; Yamada, H. p-Methylbenzyl Group: Oxidative Removal and Orthogonal Alcohol Deprotection. Org. Lett. 2019, 21, 6638–6642. [Google Scholar] [CrossRef] [PubMed]
  106. Jiang, D.; Xu, Z.; Jia, Y. Mg(ClO4)2-Catalyzed intramolecular allylic amination: Application to the total synthesis of demethoxyfumitremorgin C. Tetrahedron 2012, 68, 4225–4232. [Google Scholar] [CrossRef]
  107. Katagiri, N.; Muto, M.; Nomura, M.; Higashikawa, T.; Kaneko, C. Synthesis of carbocyclic nucleosides from 2-azabicyclo[2.2.1]hept-5-en-3-ones: Sodium borohydride mediated carbon-nitrogen bond cleavage of five- and six-membered lactams. Chem. Pharm. Bull. 1991, 39, 1112–1122. [Google Scholar] [CrossRef]
  108. Zhou, B.; Zhang, Y.-Q.; Zhang, K.; Yang, M.-Y.; Chen, Y.-B.; Li, Y.; Peng, Q.; Zhu, S.-F.; Zhou, Q.-L.; Ye, L.-W. Stereoselective synthesis of medium lactams enabled by metal-free hydroalkoxylation/stereospecific [1,3]-rearrangement. Nat. Commun. 2019, 10, 3234. [Google Scholar] [CrossRef] [PubMed]
  109. Chen, J.; Wang, J.; Tu, T. Ruthenium-Pincer-Catalyzed Hydrogenation of Lactams to Amino Alcohols. Chem.—Asian J. 2018, 13, 2559–2565. [Google Scholar] [CrossRef]
  110. van der Heijden, G.; Kraakman, J.; Biemolt, J.; Ruijter, E.; Orru, R.V.A. Metal-free one-pot α-carboxylation of primary alcohols. Org. Biomol. Chem. 2016, 14, 9716–9719. [Google Scholar] [CrossRef]
  111. Yu, B.; Zou, S.; Huang, H. Palladium-Catalyzed Ring-Closing Reaction for the Synthesis of Saturated N-Heterocycles with Aminodienes and N,O-Acetals. J. Org. Chem. 2021, 86, 7849–7863. [Google Scholar] [CrossRef] [PubMed]
  112. Zhou, S.; Lv, K.; Fu, R.; Zhu, C.; Bao, X. Nickel/Photoredox Dual Catalytic Cross-Coupling of Alkyl and Amidyl Radicals to Construct C(sp3)-N Bonds. ACS Catal. 2021, 11, 5026–5034. [Google Scholar] [CrossRef]
  113. Dong, K.; Fang, X.; Jackstell, R.; Beller, M. A novel rhodium-catalyzed domino-hydroformylation-reaction for the synthesis of sulphonamides. Chem. Commun. 2015, 51, 5059–5062. [Google Scholar] [CrossRef] [PubMed]
  114. Lorton, C.; Saleh, N.; Voituriez, A. Phosphine-Catalyzed Synthesis of Chiral N-Heterocycles through (Asymmetric) P(III)/P(V) Redox Cycling. Eur. J. Org. Chem. 2021, 2021, 3340–3344. [Google Scholar] [CrossRef]
  115. Butkiene, R.; Mockute, D. Behavior of saccharin, N-methylsaccharin and N-ethanolsaccharin on nickel cathodes and during nickel electrodeposition. Chemija 1996, 1, 65–70. [Google Scholar]
  116. Kretov, A.E.; Tikhonova, G.V. Preparation of N-(β-hydroxyethyl)arenesulfonamides with ethylene oxide. Ukr. Khem. Zh. 1959, 25, 615–618. [Google Scholar]
  117. Motskute, D.; Bernotene, G.; Butkene, R. The behavior of saccharin and its N-derivatives during electrodeposition of the iron metals from acidic electrolytes. Russ. J. Electrochem. (Transl. Elektrokhimiya) 1996, 32, 1360–1364. [Google Scholar]
  118. Zhang, Z.-X.; Liu, L.-G.; Liu, Y.-X.; Lin, J.; Lu, X.; Ye, L.-W.; Zhou, B. Organocatalytic intramolecular (4 + 2) annulation of enals with ynamides: Atroposelective synthesis of axially chiral 7-aryl indolines. Chem. Sci. 2023, 14, 5918–5924. [Google Scholar] [CrossRef] [PubMed]
  119. Chinn, A.J.; Sedillo, K.; Doyle, A.G. Phosphine/Photoredox Catalyzed Anti-Markovnikov Hydroamination of Olefins with Primary Sulfonamides via α-Scission from Phosphoranyl Radicals. J. Am. Chem. Soc. 2021, 143, 18331–18338. [Google Scholar] [CrossRef]
  120. Modak, A.; Pinter, E.N.; Cook, S.P. Copper-Catalyzed, N-Directed Csp3-H Trifluoromethylthiolation (-SCF3) and Trifluoromethylselenation (-SeCF3). J. Am. Chem. Soc. 2019, 141, 18405–18410. [Google Scholar] [CrossRef]
Figure 1. Structures of established CA inhibitors acetazolamide, dorzolamide, and brinzolamide.
Figure 1. Structures of established CA inhibitors acetazolamide, dorzolamide, and brinzolamide.
Molecules 29 03015 g001
Figure 2. Zn(II) ion coordination in the CA II active site.
Figure 2. Zn(II) ion coordination in the CA II active site.
Molecules 29 03015 g002
Scheme 1. Synthesis of target sulfamates (structure B) from arylsulfonylchlorides via precursors A; (a) CH2Cl2, NEt3, 20 °C 3–24 h; (b) CH2Cl2, NEt3, sulfamoyl chloride, 0 °C → 20 °C, 3–24 h.
Scheme 1. Synthesis of target sulfamates (structure B) from arylsulfonylchlorides via precursors A; (a) CH2Cl2, NEt3, 20 °C 3–24 h; (b) CH2Cl2, NEt3, sulfamoyl chloride, 0 °C → 20 °C, 3–24 h.
Molecules 29 03015 sch001
Figure 3. Structure of compounds 1a79a and 79b79b.
Figure 3. Structure of compounds 1a79a and 79b79b.
Molecules 29 03015 g003
Figure 4. Inhibition (in %) of ortho-substituted compounds 26b32b (methyl), 47b48b (iso-propyl) and 65b67b (tert-butyl), respectively.
Figure 4. Inhibition (in %) of ortho-substituted compounds 26b32b (methyl), 47b48b (iso-propyl) and 65b67b (tert-butyl), respectively.
Molecules 29 03015 g004
Figure 5. Inhibition (in %) of meta-substituted compounds 19b25b (methyl), 40b46b (iso-propyl), and 58b64b (tert-butyl), respectively.
Figure 5. Inhibition (in %) of meta-substituted compounds 19b25b (methyl), 40b46b (iso-propyl), and 58b64b (tert-butyl), respectively.
Molecules 29 03015 g005
Figure 6. Inhibition (in %) of para-substituted compounds 12b18b (methyl), 33b39b (iso-propyl), and 49b57b (tert-butyl), respectively.
Figure 6. Inhibition (in %) of para-substituted compounds 12b18b (methyl), 33b39b (iso-propyl), and 49b57b (tert-butyl), respectively.
Molecules 29 03015 g006
Figure 7. Inhibition (in %) of compounds holding the bulkiest substituents in the para position (tbutyl (orange), cyclohexyl (green), adamantyl (violet)).
Figure 7. Inhibition (in %) of compounds holding the bulkiest substituents in the para position (tbutyl (orange), cyclohexyl (green), adamantyl (violet)).
Molecules 29 03015 g007
Figure 8. Inhibition (in %) of tbutyl-substituted compounds 49b67b.
Figure 8. Inhibition (in %) of tbutyl-substituted compounds 49b67b.
Molecules 29 03015 g008
Figure 9. Inhibition (in %) of tbutyl-substituted compounds depends on position of the tBu group and on the chain length of the alkyl spacer.
Figure 9. Inhibition (in %) of tbutyl-substituted compounds depends on position of the tBu group and on the chain length of the alkyl spacer.
Molecules 29 03015 g009
Figure 10. Inhibition (in %) of isopropyl-substituted compounds.
Figure 10. Inhibition (in %) of isopropyl-substituted compounds.
Molecules 29 03015 g010
Figure 11. Inhibition (in %) of methyl-substituted compounds 12b32b.
Figure 11. Inhibition (in %) of methyl-substituted compounds 12b32b.
Molecules 29 03015 g011
Figure 12. Inhibition (in %) of unsubstituted compounds 1b11b.
Figure 12. Inhibition (in %) of unsubstituted compounds 1b11b.
Molecules 29 03015 g012
Figure 13. Modeling scores of the methyl-substituted compounds 12b32b.
Figure 13. Modeling scores of the methyl-substituted compounds 12b32b.
Molecules 29 03015 g013
Figure 14. Dixon plots for compounds 12b, 26b, 30b, 33b, 40b, and 49b, respectively. The concentration of the inhibitor: for 12b: 0.1, 03, 0.5 μM; for 26b: 0.1, 0.3, 0.5 μM; for 30b: 0.1, 0.3 0.5 μM; for 33b: 0.2, 0.4, 0.6 μM; for 40b: 0.1, 0.3, 0.5 μM; for 49b: 0.2, 0.3, 0.4 μM.
Figure 14. Dixon plots for compounds 12b, 26b, 30b, 33b, 40b, and 49b, respectively. The concentration of the inhibitor: for 12b: 0.1, 03, 0.5 μM; for 26b: 0.1, 0.3, 0.5 μM; for 30b: 0.1, 0.3 0.5 μM; for 33b: 0.2, 0.4, 0.6 μM; for 40b: 0.1, 0.3, 0.5 μM; for 49b: 0.2, 0.3, 0.4 μM.
Molecules 29 03015 g014aMolecules 29 03015 g014b
Table 1. Inhibition (I in %) of bCA II by compounds 1b79b (at 1 μM concentration of the inhibitor); acetazolamide (AAZ) was used as a positive standard. All experiments were performed in triplicate with three technical replicas.
Table 1. Inhibition (I in %) of bCA II by compounds 1b79b (at 1 μM concentration of the inhibitor); acetazolamide (AAZ) was used as a positive standard. All experiments were performed in triplicate with three technical replicas.
Cmp.Inhibition
[%]
Cmp.Inhibition
[%]
Cmp.Inhibition
[%]
AAZ99.2 ± 0.22750.0 ± 0.85428.4 ± 0.4
159.2 ± 0.82837.9 ± 0.75521.3 ± 1
239.9 ± 0.42957.2 ± 0.75610.0 ± 0.6
332.2 ± 0.33068.1 ± 0.35720.6 ± 0.6
451.8 ± 0.73155.6 ± 0.75854.0 ± 0.9
556.0 ± 0.53256.2 ± 0.85953.9 ± 0.3
656.0 ± 0.83363.2 ± 0.46043.3 ± 0.6
760.2 ± 0.73460.3 ± 0.96139.2 ± 0.1
855.4 ± 0.73543.7 ± 0.46241.7 ± 0.8
910.7 ± 0.43640.8 ± 0.66333.3 ± 0.3
107.2 ± 0.93745.9 ± 0.76416.0 ± 0.4
115.9 ± 0.93830.3 ± 0.16556.2 ± 0.8
1275.8 ± 0.63928.1 ± 0.56634.5 ± 0.4
1363.8 ± 0.84063.7 ± 0.16727.5 ± 0.3
1442.9 ± 0.14150.1 ± 0.96852.1 ± 1.2
1558.9 ± 0.24235.3 ± 0.56943.1 ± 1.5
1640.3 ± 0.74344.4 ± 0.37034.7 ± 2.5
1742.8 ± 0.54445.5 ± 0.77118.6 ± 1.0
1854.7 ± 0.64537 ± 0.3728.6 ± 0.6
1959.5 ± 0.14629.5 ± 0.97314.8 ± 0.4
2048.4 ± 0.14738.4 ± 0.27414.2 ± 1.1
2132.2 ± 0.64834.2 ± 0.77532.1 ± 0.8
2249.1 ± 0.24975.6 ± 0.47619.7 ± 1.6
2351.8 ± 0.75063.4 ± 0.67732.6 ± 0.4
2427.1 ± 0.95144.9 ± 0.47836.1 ± 1.8
2538.8 ± 0.15235.9 ± 0.47940.1 ± 0.8
2669.1 ± 0.75329.1 ± 0.9
Table 2. Inhibition constants (Ki) for the most active compounds 12b, 26b, 30b, 33b, 40b, and 49b and CA II.
Table 2. Inhibition constants (Ki) for the most active compounds 12b, 26b, 30b, 33b, 40b, and 49b and CA II.
Cmp12b26b30b33b40b49b
Ki [μM]0.76 ± 0.03 1.1 ± 0.031.58 ± 0.020.84 ± 0.021.64 ± 0.030.67 ± 0.05
Disclaimer/Publisher’s Note: The statements, opinions and data contained in all publications are solely those of the individual author(s) and contributor(s) and not of MDPI and/or the editor(s). MDPI and/or the editor(s) disclaim responsibility for any injury to people or property resulting from any ideas, methods, instructions or products referred to in the content.

Share and Cite

MDPI and ACS Style

Denner, T.C.; Heise, N.V.; Al-Harrasi, A.; Csuk, R. Synthesis and Enzymatic Evaluation of a Small Library of Substituted Phenylsulfonamido-Alkyl Sulfamates towards Carbonic Anhydrase II. Molecules 2024, 29, 3015. https://doi.org/10.3390/molecules29133015

AMA Style

Denner TC, Heise NV, Al-Harrasi A, Csuk R. Synthesis and Enzymatic Evaluation of a Small Library of Substituted Phenylsulfonamido-Alkyl Sulfamates towards Carbonic Anhydrase II. Molecules. 2024; 29(13):3015. https://doi.org/10.3390/molecules29133015

Chicago/Turabian Style

Denner, Toni C., Niels V. Heise, Ahmed Al-Harrasi, and René Csuk. 2024. "Synthesis and Enzymatic Evaluation of a Small Library of Substituted Phenylsulfonamido-Alkyl Sulfamates towards Carbonic Anhydrase II" Molecules 29, no. 13: 3015. https://doi.org/10.3390/molecules29133015

APA Style

Denner, T. C., Heise, N. V., Al-Harrasi, A., & Csuk, R. (2024). Synthesis and Enzymatic Evaluation of a Small Library of Substituted Phenylsulfonamido-Alkyl Sulfamates towards Carbonic Anhydrase II. Molecules, 29(13), 3015. https://doi.org/10.3390/molecules29133015

Article Metrics

Back to TopTop