Effects of TiO2 Nanoparticles Synthesized via Microwave Assistance on Adsorption and Photocatalytic Degradation of Ciprofloxacin
Abstract
1. Introduction
2. Results and Discussion
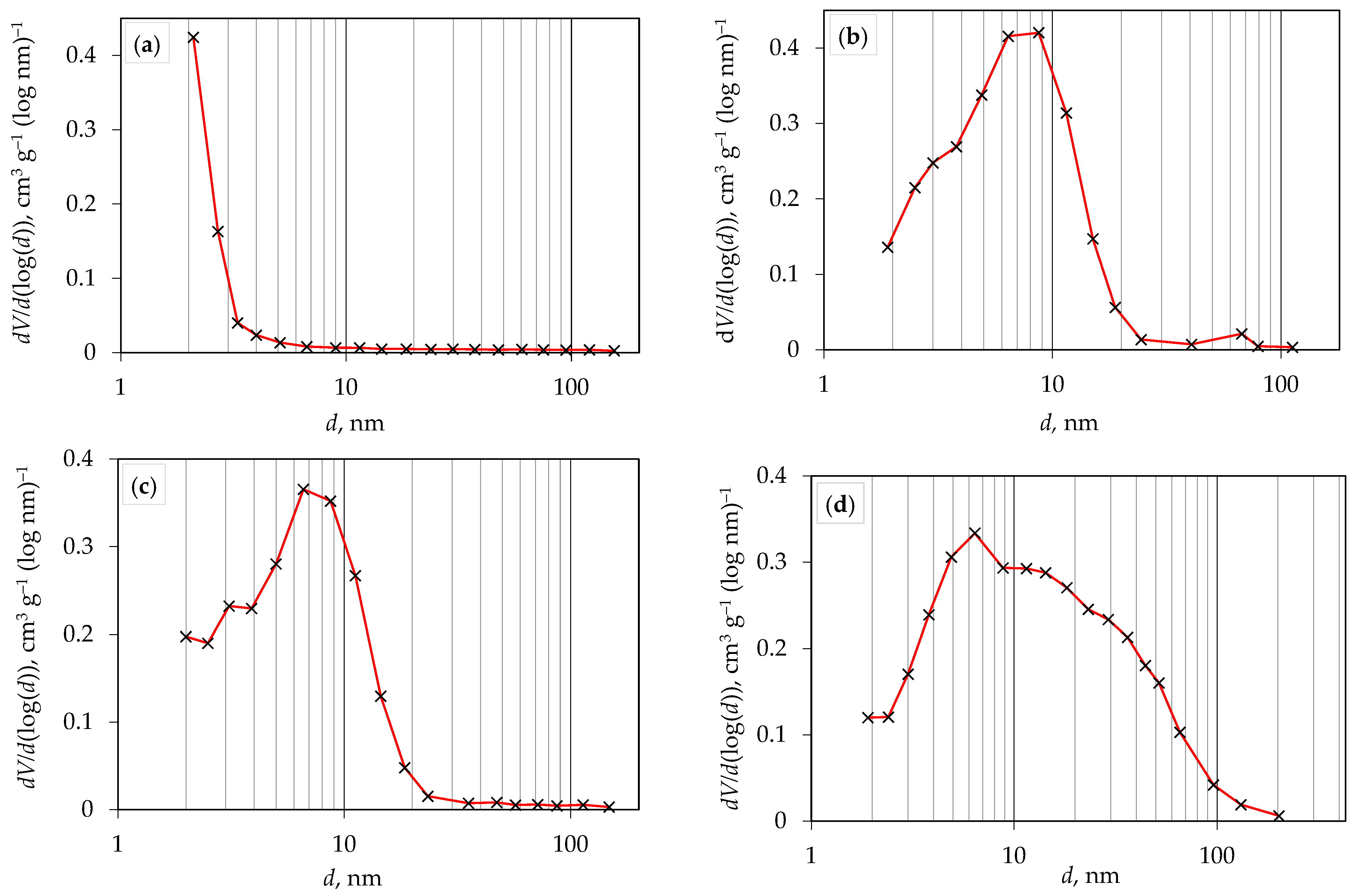
2.1. Characterization of Prepared TiO2 Photocatalyst
2.2. Adsorption of Ciprofloxacin by TiO2 Nanoparticles
2.3. Photocatalytic Degradation Performance of TiO2 Nanoparticles
3. Materials and Methods
3.1. Preparation of TiO2 Nanoparticles
3.2. Characterization of Prepared TiO2 Nanoparticles
3.3. Photolytic, Adsorption, and Photocatalytic Testing
4. Conclusions
- FTIR analysis confirmed the presence of the TiO2 anatase phase (obtained without further calcination).
- XRD analysis revealed a crystalline anatase phase was present in all samples except the one synthesized at 150 °C for 30 min, where an amorphous phase was present.
- DRS analysis determined a shift in the band-gap energy from 3.2 eV to 3.0 eV, which suggests the presence of defects within the samples.
- BET analysis determined that for the TiO2 sample synthesized at 200 °C for 10 min, the specific surface area was the highest at 191.6 m2 g−1. The average pore diameter of this sample was 6.1 nm, corresponding to a mesoporous structure.
- Crystalline TiO2 nanoparticles, without the amorphous phase, with the highest specific surface area (191.6 m2 g−1), the lowest energy band gap (2.90 eV), and the highest photocatalytic activity were obtained for the sample synthesized at 200 °C for 10 min.
- The highest overall (adsorption + photocatalytic oxidation) removal efficiency was obtained for the TiO2 sample synthesized at 200 °C for 10 min (with a CIP-removal efficiency of 97.44% under UVA irradiation). This performance is very close to that of commercially available TiO2 Degussa P25 with an overall removal efficiency of 99.37%.
Supplementary Materials
Author Contributions
Funding
Institutional Review Board Statement
Informed Consent Statement
Data Availability Statement
Conflicts of Interest
References
- Čizmić, M.; Ljubas, D.; Rožman, M.; Ašperger, D.; Ćurković, L.; Babić, S. Photocatalytic Degradation of Azithromycin by Nanostructured TiO2 Film: Kinetics, Degradation Products, and Toxicity. Materials 2019, 12, 873. [Google Scholar] [CrossRef] [PubMed]
- Kanakaraju, D.; Glass, B.D.; Oelgemöller, M. Advanced oxidation process-mediated removal of pharmaceuticals from water: A review. J. Environ. Manag. 2018, 219, 189–207. [Google Scholar] [CrossRef] [PubMed]
- Ziarrusta, H.; Mijangos, L.; Irazola, M.; Prieto, A.; Etxebarria, N.; Anakabe, E.; Olivares, M.; Zuloaga, O. Ciprofloxacin by-products in seawater environment in the presence and absence of gilt-head bream. Chemosphere 2018, 197, 560–568. [Google Scholar] [CrossRef] [PubMed]
- Santos, L.H.M.L.M.; Araújo, A.N.; Fachini, A.; Pena, A.; Delerue-Matos, C.; Montenegro, M.C.B.S.M. Ecotoxicological aspects related to the presence of pharmaceuticals in the aquatic environment. J. Hazard. Mater. 2010, 175, 45–95. [Google Scholar] [CrossRef] [PubMed]
- Khumalo, S.M.; Makhathini, T.P.; Bwapwa, J.K.; Bakare, B.F.; Rathilal, S. The occurrence and fate of antibiotics and nonsteroidal anti-inflammatory drugs in water treatment processes: A review. J. Hazard. Mater. Adv. 2023, 10, 100330. [Google Scholar] [CrossRef]
- Li, S.; Hu, J. Transformation products formation of ciprofloxacin in UVA/LED and UVA/LED/TiO2 systems: Impact of natural organic matter characteristics. Water Res. 2018, 132, 320–330. [Google Scholar] [CrossRef] [PubMed]
- Gahrouei, A.E.; Vakili, S.; Zandifar, A.; Pourebrahimi, S. From wastewater to clean water: Recent advances on the removal of metronidazole, ciprofloxacin, and sulfamethoxazole antibiotics from water through adsorption and advanced oxidation processes (AOPs). Environ. Res. 2024, 252, 119029. [Google Scholar] [CrossRef] [PubMed]
- Parrino, F.; Pomilla, F.R.; Camera-Roda, G.; Loddo, V.; Palmisano, L. Properties of titanium dioxide. In Titanium Dioxide (TiO2) and Its Applications, 1st ed.; Parrino, F., Palmisano, L., Eds.; Elsevier: Amsterdam, The Netherlands, 2021; pp. 13–66. [Google Scholar]
- Chen, X.; Mao, S.S. Titanium Dioxide Nanomaterials: Synthesis, Properties, Modifications, and Applications. Chem. Rev. 2007, 107, 2891–2959. [Google Scholar] [CrossRef]
- Ćurković, L.; Ljubas, D.; Šegota, S.; Bačić, I. Photocatalytic degradation of Lissamine Green B dye by using nanostructured sol–gel TiO2 films. J. Alloy Compd. 2014, 604, 309–316. [Google Scholar] [CrossRef]
- Gabelica, I.; Ćurković, L.; Mandić, V.; Panžić, I.; Ljubas, D.; Zadro, K. Rapid Microwave-Assisted Synthesis of Fe3O4/SiO2/TiO2 Core-2-Layer-Shell Nanocomposite for Photocatalytic Degradation of Ciprofloxacin. Catalysts 2021, 11, 1136. [Google Scholar] [CrossRef]
- Kutuzova, A.; Dontsova, T.; Kwapinski, W. Application of TiO2-Based Photocatalysts to Antibiotics Degradation: Cases of Sulfamethoxazole, Trimethoprim and Ciprofloxacin. Catalysts 2021, 11, 728. [Google Scholar] [CrossRef]
- Sanchez Tobon, C.; Panžić, I.; Bafti, A.; Matijašić, G.; Ljubas, D.; Ćurković, L. Rapid Microwave-Assisted Synthesis of N/TiO2/rGO Nanoparticles for the Photocatalytic Degradation of Pharmaceuticals. Nanomaterials 2022, 12, 3975. [Google Scholar] [CrossRef] [PubMed]
- Malakootian, M.; Nasiri, A.; Amiri Gharaghani, M. Photocatalytic degradation of ciprofloxacin antibiotic by TiO2 nanoparticles immobilized on a glass plate. Chem. Eng. Commun. 2020, 207, 56–72. [Google Scholar] [CrossRef]
- Haider, A.J.; Jameel, Z.N.; Al-Hussaini, I.H.M. Review on: Titanium Dioxide Applications. Energy Proced. 2019, 157, 17–29. [Google Scholar] [CrossRef]
- Gülşen, G.; Naci Inci, M. Thermal optical properties of TiO2 films. Opt. Mater. 2002, 18, 373–381. [Google Scholar] [CrossRef]
- Bai, J.; Zhou, B. Titanium Dioxide Nanomaterials for Sensor Applications. Chem. Rev. 2014, 114, 10131–10176. [Google Scholar] [CrossRef] [PubMed]
- Sun, X.; Wang, C.; Su, D.; Wang, G.; Zhong, Y. Application of Photocatalytic Materials in Sensors. Adv. Mater. Technol. 2020, 5, 1900993. [Google Scholar] [CrossRef]
- Chougala, L.; Yatnatti, M.; Linganagoudar, R.; Kamble, R.; Kadadevarmath, J. A Simple Approach on Synthesis of TiO2 Nanoparticles and its Application in dye Sensitized Solar Cells. J. Nano-Electron. Phys. 2017, 9, 04005-1. [Google Scholar] [CrossRef] [PubMed]
- Wu, H.; Qin, P.; Cao, S.; Luo, G.; Wang, C.; Tu, R.; Shen, Q.; Zhang, L. Large-scale synthesis of size-controlled amorphous and anatase TiO2 via a benzoic acid-assisted sol-gel-hydrothermal process. Ceram. Int. 2024, 50, 21889–21897. [Google Scholar] [CrossRef]
- Awan, A.M.; Khalid, A.; Ahmad, P.; Alharthi, A.I.; Farooq, M.; Khan, A.; Khandaker, M.U.; Aldawood, S.; Alotaibi, M.A.; El-Mansi, A.A.; et al. Defects oriented hydrothermal synthesis of TiO2 and MnTiO2 nanoparticles as photocatalysts for wastewater treatment and antibacterial applications. Heliyon 2024, 10, e25579. [Google Scholar] [CrossRef]
- Zhang, K.; Wang, J.; Ninakanti, R.; Verbruggen, S.W. Solvothermal synthesis of mesoporous TiO2 with tunable surface area, crystal size and surface hydroxylation for efficient photocatalytic acetaldehyde degradation. Chem. Eng. J. 2023, 474, 145188. [Google Scholar] [CrossRef]
- Gupta, D.; Jamwal, D.; Rana, D.; Katoch, A. 26—Microwave synthesized nanocomposites for enhancing oral bioavailability of drugs. In Applications of Nanocomposite Materials in Drug Delivery; Inamuddin, Asiri, A.M., Mohammad, A., Eds.; Woodhead Publishing: Sawston, UK, 2018; pp. 619–632. [Google Scholar]
- Mironyuk, I.; Soltys, L.; Tatarchuk, T.; Savka, K. Methods of Titanium Dioxide Synthesis (Review). Phys. Chem. Solid State 2020, 21, 462–477. [Google Scholar] [CrossRef]
- Trindade, F.; Politi, M.J. Sol-Gel Chemistry—Deals With Sol–Gel Processes. In Nano Design for Smart Gels, 1st ed.; Bacani, R., Trindade, F., Politi, M.J., Triboni, E.R., Eds.; Elsevier: Amsterdam, The Netherlands, 2019; pp. 15–34. [Google Scholar]
- Kappe, C.O. Microwave-Assisted Chemistry. In Comprehensive Medicinal Chemistry II, 2nd ed.; Taylor, J.B., Triggle, D.J., Eds.; Elsevier: Oxford, UK, 2007; pp. 837–860. [Google Scholar]
- Gawande, M.B.; Shelke, S.N.; Zboril, R.; Varma, R.S. Microwave-Assisted Chemistry: Synthetic Applications for Rapid Assembly of Nanomaterials and Organics. Accounts Chem. Res. 2014, 47, 1338–1348. [Google Scholar] [CrossRef] [PubMed]
- Henary, M.; Kananda, C.; Rotolo, L.; Savino, B.; Owens, E.A.; Cravotto, G. Benefits and applications of microwave-assisted synthesis of nitrogen containing heterocycles in medicinal chemistry. RSC Adv. 2020, 10, 14170–14197. [Google Scholar] [CrossRef]
- Nunes, D.; Pimentel, A.; Santos, L.; Barquinha, P.; Pereira, L.; Fortunato, E.; Martins, R. Synthesis, design, and morphology of metal oxide anostructures. In Metal Oxide Nanostructures, 1st ed.; Korotcenkov, A., Ed.; Elsevier: Oxford, UK, 2019; pp. 21–57. [Google Scholar]
- Chia, S.R.; Nomanbhay, S.; Milano, J.; Chew, K.W.; Tan, C.-H.; Khoo, K.S. Microwave-Absorbing Catalysts in Catalytic Reactions of Biofuel Production. Energies 2022, 15, 7984. [Google Scholar] [CrossRef]
- Zhu, X.; Zhang, Y.; Zhou, Y.; Huang, X. Moisture Absorption Characteristics of Nanoparticle-Doped Silicone Rubber and Its Influence Mechanism on Electrical Properties. Polymers 2021, 13, 1474. [Google Scholar] [CrossRef] [PubMed]
- Praveen, P.; Viruthagiri, G.; Mugundan, S.; Shanmugam, N. Structural, optical and morphological analyses of pristine titanium di-oxide nanoparticles-Synthesized via sol-gel route. Spectrochim. Acta A 2013, 117, 622–629. [Google Scholar] [CrossRef] [PubMed]
- Wu, Q.; Huang, F.; Zhao, M.; Xu, J.; Zhou, J.; Wang, Y. Ultra-small yellow defective TiO2 nanoparticles for co-catalyst free photocatalytic hydrogen production. Nano Energy 2016, 24, 63–71. [Google Scholar] [CrossRef]
- Thommes, M.; Kaneko, K.; Neimark, A.V.; Olivier, J.P.; Rodriguez-Reinoso, F.; Rouquerol, J.; Sing, K.S.W. Physisorption of Gases, with Special Reference to the Evaluation of Surface Area and Pore Size Distribution (IUPAC Technical Report). Pure and Applied Chemistry 2015, 87, 1051–1069. [Google Scholar] [CrossRef]
- Lowell, S.; Shields, J.; Thomas, M.A.; Thommes, M. Characterization of Porous Solids and Powders: Surface Area. Porosity and Density; Springer: Dordrecht, The Netherlands, 2004. [Google Scholar]
- Thommes, M.; Cychosz, K.A. Physical adsorption characterization of nanoporous materials: Progress and challenges. Adsorption 2014, 20, 233–250. [Google Scholar] [CrossRef]
- Landers, J.; Gor, G.Y.; Neimark, A.V. Density functional theory methods for characterization of porous materials. Colloid. Surfaces A Physicochem. Eng. Aspects 2013, 437, 3–30. [Google Scholar] [CrossRef]
- Ćurković, L.; Ljubas, D.; Juretić, H. Photocatalytic decolorization kinetics of diazo dye Congo Red aqueous solution by UV/TiO2 nanoparticles. React. Kinet. Mech. Catal. 2010, 99, 201–208. [Google Scholar] [CrossRef]
- Wei, X.; Zhang, R.; Zhang, W.; Yuan, Y.; Lai, B. High-efficiency adsorption of tetracycline by the prepared waste collagen fiber-derived porous biochar. RSC Adv. 2019, 9, 39355–39366. [Google Scholar] [CrossRef] [PubMed]
- Mele, G.; Del Sole, R.; Vasapollo, G.; Garcia-Lopez, E.; Palmisano, L.; Jun, L.; Slota, R.; Dyrda, G. TiO2-based photocatalysts impregnated with metallo-porphyrins employed for degradation of 4-nitrophenol in aqueous solutions: Role of metal and mac-rocycle. Res. Chem. Intermed. 2007, 33, 433–448. [Google Scholar] [CrossRef]
- Sun, W.-J.; Li, J.; Yao, G.-P.; Zhang, F.-X.; Wang, J.-L. Surface-modification of TiO2 with new metalloporphyrins and their photocatalytic activity in the degradation of 4-notrophenol. Appl. Surf. Sci. 2011, 258, 940–945. [Google Scholar] [CrossRef]










| TiO2 Sample | Indirect Band Gap | |
|---|---|---|
| T, °C | t, min | Eg, eV |
| 150 | 30 | 2.78 |
| 200 | 10 | 2.90 |
| 200 | 20 | 2.98 |
| 200 | 30 | 3.0 |
| TiO2 Sample | Specific Surface Area, | Average Pore Diameter, | |
|---|---|---|---|
| T, °C | t, min | ||
| 150 | 30 | 321.9 | 2.0 |
| 200 | 10 | 191.6 | 6.1 |
| 200 | 20 | 181.1 | 5.4 |
| 200 | 30 | 168.5 | 9.1 |
| Degussa P25 [38] | 48.1 [38] | 13.7 [38] | |
| TiO2 Sample | qe,exp, mg g−1 | Kinetic Model | ||||||
|---|---|---|---|---|---|---|---|---|
| Pseudo-First-Order | Pseudo-Second-Order | |||||||
| T, °C | t, min | k1, min−1 | qe,cal, mg g−1 | R2 | k2, g mg−1 min−1 | qe,cal, mg g−1 | R2 | |
| 200 | 10 | 9.89 | 0.0261 | 3.0 | 0.8525 | 0.0226 | 10.29 | 0.9996 |
| 200 | 20 | 9.20 | 0.0328 | 6.9 | 0.9859 | 0.0123 | 9.58 | 0.9987 |
| 200 | 30 | 10.15 | 0.0433 | 2.6 | 0.9629 | 0.0183 | 10.35 | 0.9994 |
| TiO2 Sample | k1, | R2 | |
|---|---|---|---|
| T, °C | t, min | min−1 | |
| 150 | 30 | 0.0116 | 0.9972 |
| 200 | 10 | 0.0219 | 0.9978 |
| 200 | 20 | 0.0411 | 0.9365 |
| 200 | 30 | 0.0317 | 0.9909 |
| Degussa P25 | 0.0951 | 0.9106 | |
| Photolysis | 0.0029 | 0.9968 | |
Disclaimer/Publisher’s Note: The statements, opinions and data contained in all publications are solely those of the individual author(s) and contributor(s) and not of MDPI and/or the editor(s). MDPI and/or the editor(s) disclaim responsibility for any injury to people or property resulting from any ideas, methods, instructions or products referred to in the content. |
© 2024 by the authors. Licensee MDPI, Basel, Switzerland. This article is an open access article distributed under the terms and conditions of the Creative Commons Attribution (CC BY) license (https://creativecommons.org/licenses/by/4.0/).
Share and Cite
Briševac, D.; Gabelica, I.; Ljubas, D.; Bafti, A.; Matijašić, G.; Ćurković, L. Effects of TiO2 Nanoparticles Synthesized via Microwave Assistance on Adsorption and Photocatalytic Degradation of Ciprofloxacin. Molecules 2024, 29, 2935. https://doi.org/10.3390/molecules29122935
Briševac D, Gabelica I, Ljubas D, Bafti A, Matijašić G, Ćurković L. Effects of TiO2 Nanoparticles Synthesized via Microwave Assistance on Adsorption and Photocatalytic Degradation of Ciprofloxacin. Molecules. 2024; 29(12):2935. https://doi.org/10.3390/molecules29122935
Chicago/Turabian StyleBriševac, Debora, Ivana Gabelica, Davor Ljubas, Arijeta Bafti, Gordana Matijašić, and Lidija Ćurković. 2024. "Effects of TiO2 Nanoparticles Synthesized via Microwave Assistance on Adsorption and Photocatalytic Degradation of Ciprofloxacin" Molecules 29, no. 12: 2935. https://doi.org/10.3390/molecules29122935
APA StyleBriševac, D., Gabelica, I., Ljubas, D., Bafti, A., Matijašić, G., & Ćurković, L. (2024). Effects of TiO2 Nanoparticles Synthesized via Microwave Assistance on Adsorption and Photocatalytic Degradation of Ciprofloxacin. Molecules, 29(12), 2935. https://doi.org/10.3390/molecules29122935

