Abstract
In recent years, researchers have often encountered the significance of the aberrant metabolism of tumor cells in the pathogenesis of malignant neoplasms. This phenomenon, known as the Warburg effect, provides a number of advantages in the survival of neoplastic cells, and its application is considered a potential strategy in the search for antitumor agents. With the aim of developing a promising platform for designing antitumor therapeutics, we synthesized a library of conjugates of 3,5-bis(arylidene)-4-piperidone and sesquiterpene lactones. To gain insight into the determinants of the biological activity of the prepared compounds, we showed that the conjugates of 3,5-bis(arylidene)-4-piperidone and sesquiterpene lactones, which are cytotoxic agents, demonstrate selective activity toward a number of tumor cell lines with glycolysis-inhibiting ability. Moreover, the results of molecular and in silico screening allowed us to identify these compounds as potential inhibitors of the pyruvate kinase M2 oncoprotein, which is the rate-determining enzyme of glycolysis. Thus, the results of our work indicate that the synthesized conjugates of 3,5-bis(arylidene)-4-piperidone and sesquiterpene lactones can be considered a promising platform for designing selective cytotoxic agents against the glycolysis process, which opens new possibilities for researchers involved in the search for antitumor therapeutics among compounds containing piperidone platforms.
1. Introduction
Cancer is the second leading cause of death worldwide and the leading cause of death in humans before the age of 85 years [1,2,3]. In spite of continuous efforts in biomedical chemistry and tangible accomplishments in cancer treatment, morbidity and mortality rates are still very high, mainly due to numerous side effects resulting from chemotherapeutic medication [4,5,6]. Therefore, the development of less toxic for healthy microenvironments and more efficient strategies for malignant neoplasm treatment is still a frontier of contemporary research programs in the search for promising antitumor agents.
One of the promising medicinal agents is curcumin, a highly active component of turmeric extract with an endless range of therapeutic properties, such as antioxidant, antitumor, antimicrobial, neuroprotective, and other types of activity [7,8,9]. However, the achievement of the therapeutic effect of curcumin is confined by a number of considerable drawbacks due to its low solubility in water, fast metabolic degradation, instability, and low bioavailability [10,11,12,13], which considerably limits its further pharmaceutical application and provides no possibility to convert this compound into a successful clinical drug. Therefore, significant attention has been paid to designing curcumin analogs by modifying their chemical structures to overcome the considerable drawbacks of curcumin and improve their pharmacological properties [14]. To date, a large number of studies have shed light on the high potential of bioactive piperidone molecules structurally related to curcumin as antitumor agents [15,16,17,18]. Piperidones are easily amenable to various chemical modifications, which makes this class of compounds promising as basic platforms for creating hybrid structures. A promising direction for creating such hybrids is the introduction of natural products into their composition [19,20,21].
Natural compounds have been the main sources of efficient drugs to design therapeutic strategies for the treatment of malignant neoplasms for many centuries. In particular, sesquiterpene lactones, which are a group of secondary metabolites obtained from the Asteráceae family [22], exhibit antitumor potential according to numerous reports [23,24,25]. Thus, a wide spectrum of biological activities has been convincingly demonstrated for costunolide [26,27,28], a sesquiterpene lactone isolated from the roots of Saussureacostus, dehydrocostuslactone [29,30] from the roots of Saussurealappa, alantolactone [31,32,33] from the roots of Inula helenium, and many others [34,35]. Owing to their participation in the modulation of different intracellular signaling pathways responsible for tumor growth and progression, these molecules can amplify the therapeutic potential and thus open new possibilities to improve chemotherapeutic treatment in the nearest future.
Thus, considering the factors mentioned above to search for compounds with higher antitumor activity and specificity toward tumor cells, we performed the purposeful synthesis of new curcumin analogs, including conjugates of 3,5-bisarylidene-4-piperidone and modified sesquiterpene lactones, namely isoalantolactone (1, Figure 1), alantolactone (2, Figure 1), and dehydrocostus lactone (3, Figure 1). We also studied the possible mechanisms of their action using in vitro and in silico molecular screening methods.
Figure 1.
Molecular structures of natural sesquiterpene lactones: isoalantolactone (1), alantolactone (2), and dehydrocostus lactone (3).
Thus, to date, the therapeutic potential of isoalantolactone has been convincingly demonstrated in the treatment of bladder [36] and endometrial cancer [37], colorectal carcinoma [38], liver cancer [39], breast cancer [40], etc. [41,42], due to its influence on a wide range of signaling pathways and pathological cascades that play a critical role in the progression of malignant neoplasms. Similarly well-known is the fact that alantolactone can exert an antitumor effect by targeting the pathways of apoptosis via Wnt/β-Catenin signaling [43], Nrf2 signaling pathway [44], and by regulating p38MAPK, NF-kB [45], and MAPK-JNK/c-Jun [46] pathways. The ability of dehydrocoslactone to suppress cancer progression by inhibiting migration [47], proliferation, epithelial–mesynchemic transition [48], sub-G1 cell cycle arrest, DNA damage, and loss of mitochondrial membrane potential [49] has been widely described.
2. Results and Discussion
2.1. Chemistry
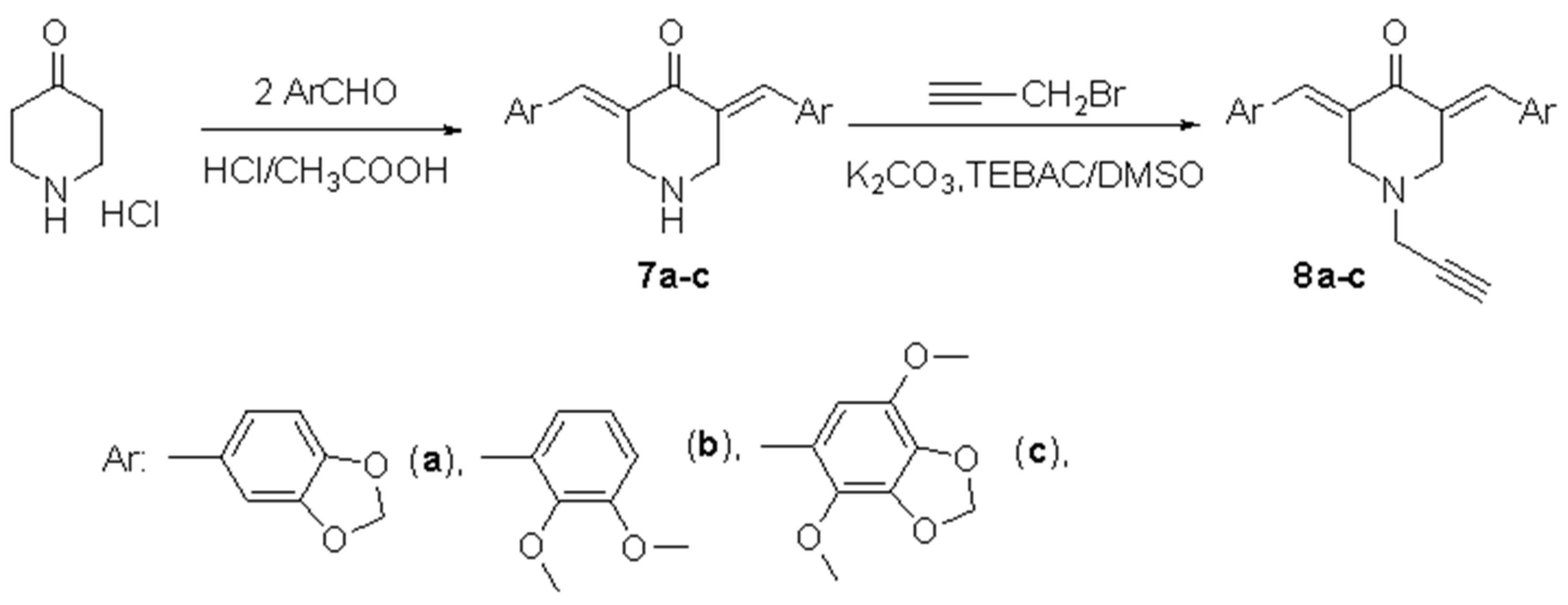
To solve the task of designing hybrid molecular systems via the conjugation of 3,5-bis(arylidene)-4-piperidones and sesquiterpene lactones (1–3), we used the click-chemistry methodology proposed by Professor Sharpless, which is widely used for preparing biologically active conjugates [50,51] and was previously used by us to construct hybrid molecules [52,53,54]. This approach was used because it is simple and efficient, and it is based on the [2+3] cycloaddition reaction, leading to the formation of 1,2,3-triazole hydrophilic linker that combines 3,5-bis(arylidene)-4-piperidones and sesquiterpene lactones into a single molecular system and serves as an important pharmacophore involved in binding to the target [55]. To implement the click-chemistry methodology, one should first introduce terminal acetylene bonds and N3 groups into the molecules selected for conjugation. To introduce N3 groups into sesquiterpene lactones 1–3, we performed a nucleophilic addition reaction of 2-azidoethylamine at the terminal double bond located in the lactone ring. The reaction was performed in EtOH for 48 h. The yields of the azide blocks (4–6) were about 80% (Scheme 1).
Scheme 1.
By introducing an azide group into sesquiterpene lactones 1–3, compounds 4–6 were synthesized.
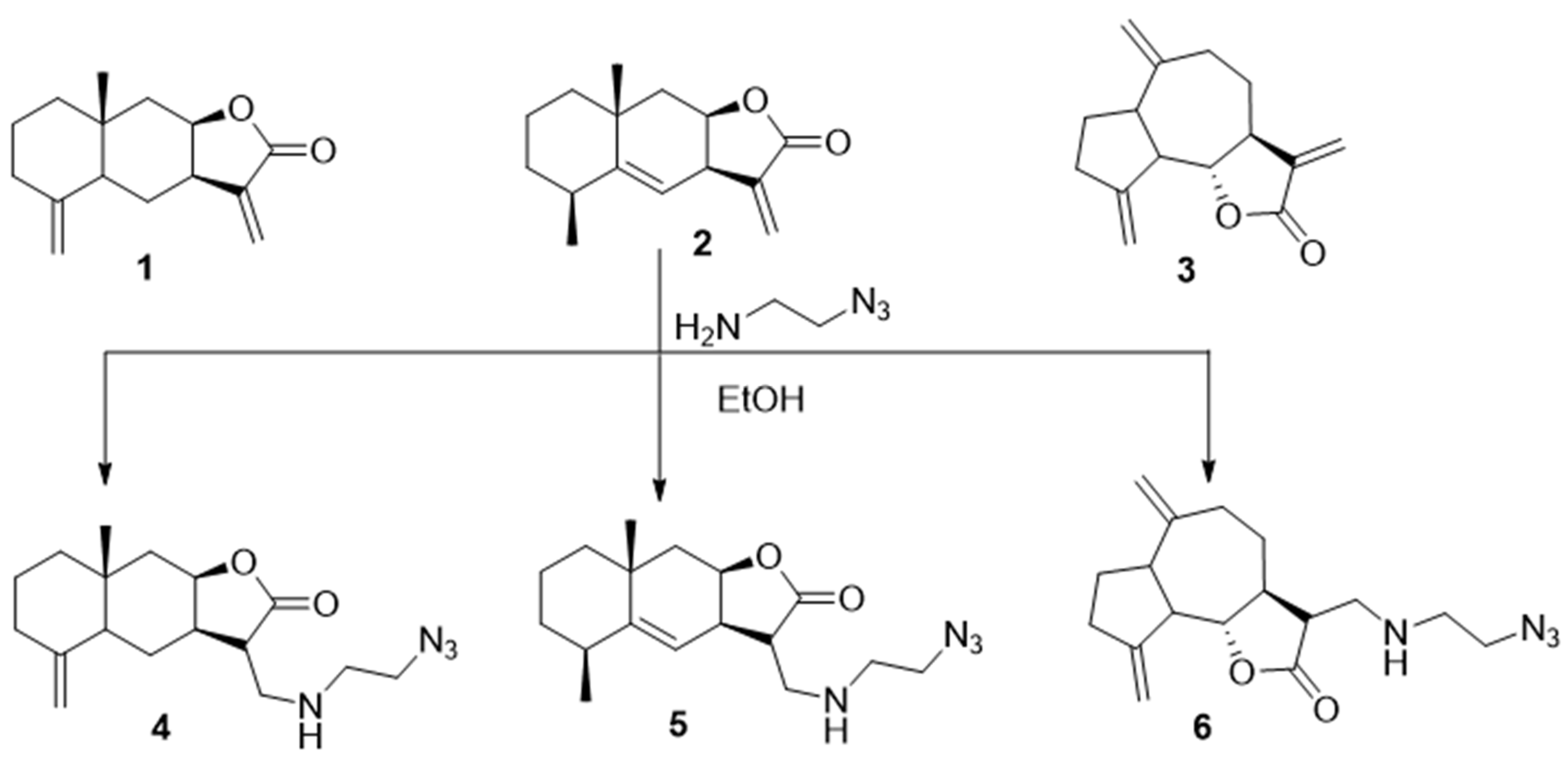
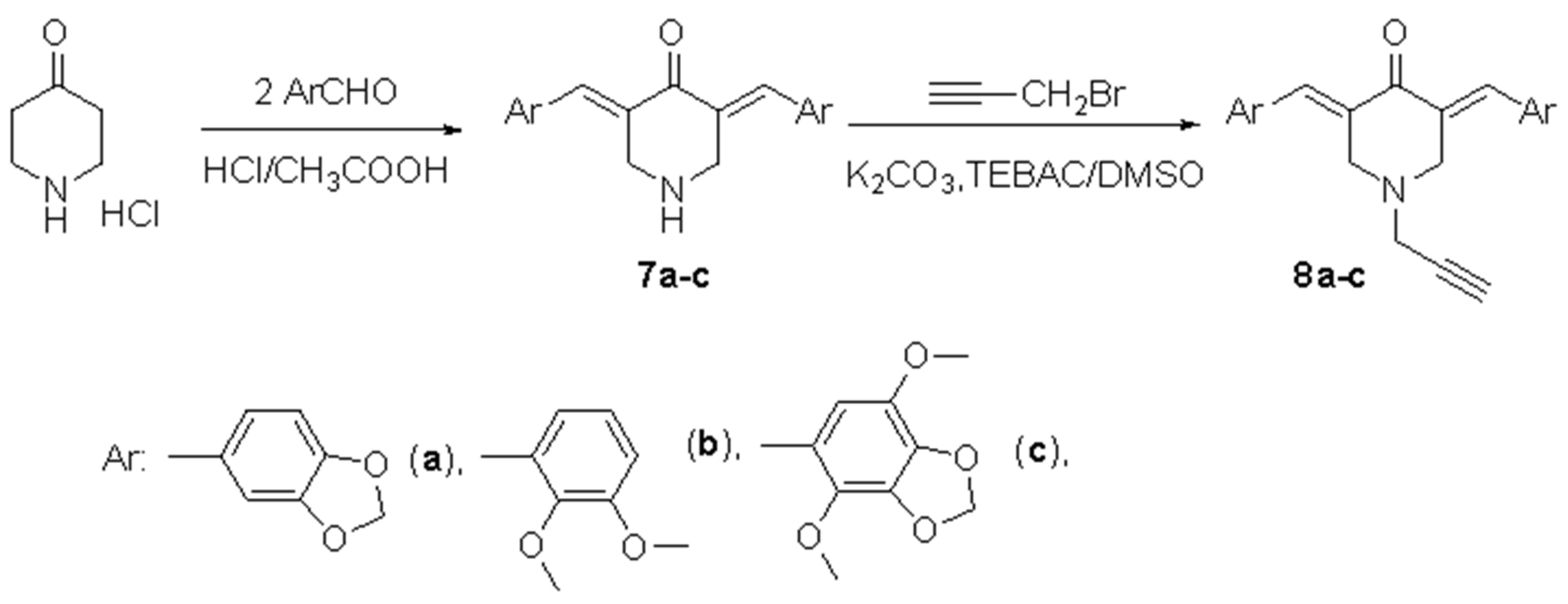
To synthesize the acetylene fragment, we used 3,5-bis(benzylidene)-4-piperidones 7a–c, which were obtained by the previously described procedure [56] (Scheme 2). Using propargyl bromide as an alkylating agent in the presence of K2CO3 and using DMSO as a solvent, we performed the N-alkylation of 3,5-bis(benzylidene)-4-piperidones 7a–c. The yields of compounds 8a–c were 82–95%. Azide (4–6) and acetylene (8a–c) compounds were isolated in individual states using column chromatography and were characterized using spectral methods (NMR and IR, detail in Supplementary Materials).
Scheme 2.
Synthesis of N-propargyl-3,5-bis(arylidene)piperidin-4-ones (8a–c).
The final stage of designing the molecular systems consisted of the conjugation of acetylene blocks 8a–c with azide blocks 4–6 using CuBr as a catalyst. We used similar conditions previously for designing biologically hybrid active compounds based on natural substrates [52,53,54]. Target hybrid compounds (9a–c–11a–c) were isolated in 57–65% yields using column chromatography and characterized by spectral methods (Scheme 3).
Scheme 3.
Conjugation of azides 4–6 with N-propargyl-3,5-bis(arylidene)piperidin-4-ones (8a–c).
2.2. Biological Evaluation
2.2.1. Conjugates of Sesquiterpene Lactones and 3,5-Bis(arylidene)piperidin-4-ones Decrease Vitality of Tumor Cells
Initially, all studied compounds were tested for cytotoxicity against the human cells of tumor origin, including epithelial cells of breast adenocarcinoma MCF-7, neuroblastomes SH-SY5Y and IMR-32, human cervical adenocarcinoma HeLa, and conditionally normal culture of fibroblasts WI-38 obtained from fetal lung tissue.
The structural analogs considered as reference ligands were Arglabine, a sesquiterpene lactone isolated from Artemisia glabella and used in clinical practice as an antitumor and radiosensitizing agent [57], and curcumin, whose therapeutic potential as a modulator of carcinogenesis is widely described in the literature [58].
As shown in Table 1, the initial sesquiterpene lactones 1–3 and piperidones 7a–c exhibit moderate cytotoxic activity toward the cell lines used, which agrees well with the known literature data [59,60,61] and confirms the reliability of the obtained results.
Table 1.
Cytotoxicity profiles of the prepared compounds.
In a study of the cytotoxic profile of conjugates 9a–11c containing the above piperidones and sesquiterpene lactones in their structure for a series of tumor cells, we revealed that these compounds retained high cytotoxicity toward cell lines obtained from different human solid malignancies, including two morphologically and biochemically different cell types of neuroblastomes SH-SY5Y and IMR-32, human cervical adenocarcinoma HeLa, and mammary duct adenocarcinoma MCF-7. So, the IC50 values of cytotoxic effect for the most toxic compound 11b containing fragments of 3 and 7b ranged from 6.07 ± 0.06 µM to 8.07 ± 0.02 µM, which is higher than the toxicity of the initial dehydrocostus lactone 3 (in IMR-32) and 3,5-bis(arylidene)piperidin-4-one 7b (in HeLa and IMR-32). It should be noted that the cytotoxicity of the synthesized compounds in most cases exceeded that of the reference ligands.
The results obtained for the normal cell line, WI-38, are of special interest. In contrast to the initial piperidones, the cytotoxicity of the synthesized conjugates toward WI-38 was considerably lower compared with that of the tumor cell lines. We calculated the selectivity indexes of each molecule, and Table 1 shows values equal to or greater than 3. Thus, the calculation of the selectivity index showed that it reached 7 for compound 11b, whereas the IC50 value of the cytotoxic effect in WI-38 for 7b—one of the pharmacophoric fragments of this conjugate—was in the submicromolar range. Selective action was reached because of the chemical modification of the initial piperidones by sesquiterpene lactones.
Thus, these results indicate the useful therapeutic window of the obtained conjugates and allow one to make intriguing assumptions regarding the design of agents specific to tumor cells. They also attract interest in further studying the mechanism of their action.
2.2.2. Conjugates of Sesquiterpene Lactones and 3,5-Bis(arylidene)piperidin-4-ones Behave as Negative Regulators of Aerobic Glycolysis in Cells of Human Cervical Carcinoma
The metabolic profile of tumor cells differs from that of normal cells due to intense aerobic glycolysis, known as the Warburg effect [62,63]. This modification of metabolic patterns causes invasive behavior in tumors, including proliferation, metastasis, immunosuppression, drug resistance, and recurrence [64,65]. Thus, Liu and coauthors revealed a direct correlation between the Warburg effect and the progression of triple-negative breast cancer [66]. Glycolysis is also the dominant energy metabolism in epithelial ovarian carcinoma [67], lung cancer [68,69], colorectal carcinoma [70,71], brain tumors [72], and others. To date, convincing data have been accumulated, proving that targeting this reprogrammed metabolism in neoplastic cells can have a wide spectrum of positive results for the treatment of malignant neoplasms. In particular, a recent study by Jin et al. showed that dihydroartemisinin, which is an inhibitor of the allosteric glycolytic enzyme pyruvate kinase M2, amplifies the antitumor effects of photodynamic therapy in esophageal cancer cells [73]. In spite of the fact that glycolysis inhibitors are not allowed in clinical practice till now, changes in the energetic metabolism of tumor cells are the subject of intense studies by many research teams, which enables one to consider it as a promising and efficient approach to cancer treatment.
In our study, to assess metabolic changes under the action of the prepared compounds at a concentration of 100 µM, we measured the acidification rate of the extracellular medium by human cervical adenocarcinoma HeLa cells using a glycolysis stress test. As shown in Table 2, the treatment of cells with the studied compounds considerably decreased the rate of extracellular acidification of the medium by cells, thereby reducing the glycolytic activity of tumor cells.
Table 2.
Parameters of the glycolytic function of the HeLa cell line under the action of the studied compounds.
The most promising glycolysis inhibition profile was demonstrated for conjugate 11b, containing 7b and 3 fragments. Thus, compound 11b reliably decreased the extracellular acidification rate in terms of glycolysis (by 34.30%), glycolytic capacity (by 56.40%), and glycolytic reserve (91.79%), which indicates the ability of this compound to drastically disturb the glycolytic metabolism of tumor cells, thus initiating a series of fatal events in neoplastic cells.
It should be noted that the parameters of glycolytic function calculated for cells treated with sesquiterpene lactones 1–3 (Table 2) showed no considerable difference from those for control samples, whereas glycolytic capacity and glycolytic reserve considerably decreased under the action of the initial piperidones 7a–c.
Figure 2 provides representative images of the kinetic curves showing the change in the external cell acidification rate of the medium by HeLa cells, illustrating the actions of compounds 3 and 7b, as well as their conjugate 11b. Thus, based on the noted features, the obtained results allow us to suppose the key contribution of the piperidone platform to the emergence of glycolysis-inhibiting properties; however, modification with lactones seems to amplify this effect.
Figure 2.
External cell acidification rate of the medium (ECAR) by HeLa cells measured in glycolysis stress test using a Seahorse XF-96 cell metabolism analyzer. (a) Kinetic curves for changes in external cell acidification rate of the medium by HeLa cells after sequential injection of the studied compounds (100 µM), glucose (10 mM), oligomycin (1 µM), and 2-deoxyglucose (2-DG) (50 µM). (b) Glycolytic function parameters: glycolysis represents the difference between the highest ECAR value before oligomycin injection and the last ECAR measurement after injection of the studied compounds; glycolytic capacity is calculated as the largest ECAR value after oligomycin injection minus the last ECAR measurement after injection of the studied compounds; glycolytic reserve is the difference between glycolytic capacity and glycolysis. The data are presented as Mean ± SEM, n = 3. *, ***, and ****—p < 0.05, p < 0.001, and p < 0.0001, respectively, in comparison with control (by 1-way ANOVA with Dunnett’s test).
2.2.3. Determination of Allosteric Glycolytic Enzymes Binding Affinities of Compounds by Molecular Docking Analysis
To elucidate the molecular background of the glycolysis-inhibiting action of the studied compounds, we performed a molecular docking analysis for modeling the affinity of compounds binding to key enzymes of this process: hexokinase, phosphofructokinase, and pyruvate kinase M2.
The obtained docking scores for each compound in the binding sites of the rate-limiting enzymes of the glycolytic pathway are presented in Table 3. Thus, the study of molecular docking showed a larger binding affinity between the synthesized conjugates and pyruvate kinase M2, an enzyme that catalyzes the reaction in the final stage of the glycolytic pathway, transforming phosphoenolpyruvate into pyruvate. This is evidenced by the lowest values of binding affinity ranging from −8.4 to −9.9, thus indicating the formation of strong interactions with the target. It is interesting that the binding affinities of these potential inhibitors surpassed those of the positive control of phenylalanine.
Table 3.
The binding affinities of the synthesized compounds against hexokinase 2, 6-phosphofructo-2-kinase, and pyruvate kinase M2.
It should also be noted that the initial piperidones showed the values of the estimated free energy of binding to hexokinase 2 and 6-phosphofructo-2-kinase similar to those of reference agents and, therefore, lower than for the synthesized conjugates (Table 3). This fact enables us to assume that the modification of the piperidone platform by sesquiterpene lactones hampers the entrance of the compounds into the binding sites of these enzymes.
In a detailed study of the mechanism of interaction of the studied compounds with PKM2, the docking of compounds showed that all synthesized conjugates exhibited good theoretical binding affinity to the target protein through the phosphoenolpyruvate (PEP)-binding site of this enzyme (Figure 3) via hydrogen bonding (Table 4) and hydrophobic (Table 5) and electrostatic (Table 6) interactions.
Figure 3.
Representative image of the PKM2 protein–ligand complexes based on the example of 7b, reflecting the binding site of the ligand in the crystal structure of the enzyme. The yellow sticks represent compound 7b. The blue sticks represent the PKM2 structure.
Table 4, Table 5 and Table 6 display the details of the interaction between the compounds and amino acid residues of the PEP-binding site of PKM2. Thus, it was revealed that all studied compounds produced hydrogen bonds of the conventional type (Table 4), mainly with the amino acids Arg73 and Lys270. It is of interest that, except for the initial lactones, both piperidones and their conjugates produce additional hydrogen bonds of the carbon type, while the structural features of 11a, 11b, and 11c enable these compounds to interact with amino acids Asn75 and Asp296 via π-donor hydrogen bonds and salt bridges, thus improving the inhibition profile of the compound.
Table 4.
Assessment of hydrogen bonding of the studied compounds in the PEP-binding site of PKM2.
The analysis of hydrogen bonding of the synthesized compounds with the PEP-binding site of PKM2 revealed that both the initial piperidones and their conjugates mainly formed π-alkyl and alkyl types of bonds (Table 5); Pro53, Ala366, Ala293, and Lys367 are typical amino acids that produce this kind of interaction with the majority of the docked ligands. Furthermore, compounds 9a,b, 10a,b, and 11b showed amide-π stacked, π–π stacked, or π-sigma interactions with His78, Tyr83, Tyr175, and Gly298 amino acid residues, which amplified the PKM2-inhibiting action of these compounds.
Table 5.
Assessment of the hydrophobic interactions of the studied compounds in the PEP-binding site of PKM2.
The assessment of electrostatic interactions for the synthesized compounds with the PEP-binding site of PKM2 showed the presence of the maximum number of bonds of this kind for compound 11b (Table 6), which contributed considerably to the most preferable bond energy equal to −9.9 kcal/mol. In addition to hydrogen bonding and hydrophobic interactions, 11b actively forms π-cation and attractive charge bonds, thus producing the most stable ligand–target complex in terms of orientation and conformation.
Table 6.
Assessment of electrostatic interactions of the synthesized compounds in the PEP-binding site of PKM2.
Two-dimensional representations of the favorable binding modes of conjugates 7b and 3–11b and their initial fragments are demonstrated in Figure 4. It is seen that 11b displays a much wider spectrum of docking interaction patterns against the PEP-binding site of PKM2, which causes a much lower binding affinity of enzyme −9.9 at docking scores of −6.1 and −7.9 for dehydrocostus lactone 3 and 3,5-bis(arylidene)piperidin-4-one 7b, respectively.
Figure 4.
(A–C) Docking poses of 3, 7b, and 11b with target protein by pyruvate kinase M2 (PDB ID: 6V74). Nitrogen and oxygen atoms are marked blue and red, respectively.
As a whole, the above results allow us to assume that modulation of glycolytic function by the studied derivatives may be caused by the presence of unique sites in their structures for binding to pyruvate kinase M2, which directly affects the activity of this enzyme and, therefore, the glycolysis process at large.
Thus, the obtained data on the selective interaction of the synthesized conjugates (but not the initial 3,5-bis(arylidene)piperidin-4-ones) with pyruvate kinase M2 led to the formulation of a hypothesis on the possible contribution of this phenomenon to the selectivity of the cytotoxic action of compounds, which was revealed in the study of their effect on the survival of cells of both tumor and normal origin. To date, it is well established that the second isoform of pyruvate kinase, which is a highly specific tumor protein, participates in the development of malignant neoplasms and, therefore, this enzyme refers to the class of metabolic oncomarkers [74]. It is of interest that there is no PKM2 in healthy adult organisms, but instead, three others are in operation (mainly PKM1). So, the blood serum samples of patients with primary prostate cancer exhibit a direct correlation between the increased expression of subtype 2 of pyruvate kinase and bone metastasis [75,76]. Analysis of tissues obtained from patients with stomach cancer and glioblastoma revealed an increase in the content of this enzyme associated with low survivability [77,78], which emphasizes the clinical significance of PKM2—an enzyme that supports the divergent biosynthetic and energetic needs of tumor cells—in the pathogenesis of different types of malignant neoplasms. Moreover, it was convincingly proven that the inhibition of PKM2 in the therapy of triple-negative breast cancer has no negative effect on normal tissues, which supports colossal interest in revealing the inhibitors of this enzyme [79]. Therefore, the decrease in cytotoxic activity of the synthesized derivatives toward normal cells can be caused by their structural features, allowing a direct influence on pyruvate kinase M2 without affecting other key enzymes of glycolysis universally expressed in normal tissues.
3. Materials and Methods
3.1. Reagents and Materials
All commercial reagents were used as purchased without further purification; all solvents used in the reactions were freshly distilled from appropriate drying agents before use. Analytical TLC was performed on Merck silica gel 60 F254 plates (Darmstadt, Germany), visualized under UV light (λmax = 254 nm) or by staining with iodine vapor. Column chromatography was carried out using Merck silica gel (Kieselgel 60, 0.063–0.200 mm, Darmstadt, Germany). The 1H, and 13C spectra were recorded on a Bruker Avance 400 spectrometer operating at 400.1 and 100.6, respectively. The chemical shifts (δ) are reported in ppm using residual (1H) or deuterated (13C) solvent signals as an internal standard rel. to TMS. The 13C NMR spectra were registered using the JMODECHO mode; the signals for the C-atom bearing odd and even numbers of H-atoms have opposite polarities. IR spectra were recorded in film or KBr pellets on a Fourier-spectrometer “Magna-IR750” (Nicolet, Glendale, WI, USA), with a resolution of 2 cm−1 and 128 scans. Analytical data (C, H, and N content) were obtained using a Carlo Erba model 1106 microanalyzer. High-resolution mass spectra (HRMS) were recorded on a Bruker micro TOF II instrument using electrospray ionization (ESI). The measurements were performed in a positive ion mode (interface capillary voltage: 4500 V); the mass ranged from m/z 50 to 3000; external or internal calibration was carried out using ESI Tuning Mix, Agilent (Waldbronn, Germany). A syringe injection was used for solutions in MeCN (flow rate 4 μL/min). N2 was applied as a dry gas; the interface temperature was set at 180 or 200 °C. HRMS were recorded at the Department of Structural Studies of Zelinsky Institute of Organic Chemistry, Moscow.
Isoalantolactone 1, alantolactone 2 [80], and dehydrocostus lactone 3 [81] were isolated from plant substrates according to previously reported procedures.
3.2. General Procedure for the Synthesis of Azides 4–6 [52]
To a solution of appropriate lactone (1 mmol, 1.0 eq) in EtOH (8 mL), 1-amino-2-azidoethane (2 mmol, 2.0 eq) was added. The mixture was stirred for 48 h at room temperature. After EtOH evaporation, the residue was dissolved in CH2Cl2 (10 mL). The solvent was removed in vacuo, affording azide 4 as a pale-yellow powder. In the case of azides 5, 6, the solvent was evaporated to afford azides (quant) as a viscous yellow oil, which were used for the next step without further purification.

- (3S,3aR,8aR,9aR)-3-(((2-azidoethyl)amino)methyl)-8a-methyl-5-methylenedecahydronaphtho[2,3-b]furan-2(3H)-one (4), Pale-yellow powder (83%), m.p. 101–102 °C. 1H NMR (400 MHz, CDCl3) δ 4.79 (1H, br.s, H-14a), 4.51 (1H, br.s, H-9), 4.47 (1H, br.s, H-14b), 3.43 (2H, t, J = 5.6 Hz, H2-17), 3.38 (1H, br.s, NH), 3.06 (1H, dd, J = 11.6 Hz, J = 6.8 Hz, H-15a), 2.95–2.75 (4H, m, H-15b, H2-16, H-8), 2.52 (1H, ddd, J = 12.7 Hz, J = 6.0 Hz, J = 2.0 Hz, H-11), 2.33 (1H, d, J = 12.4 Hz, H-2a), 2.18 (1H, d, J = 15.4 Hz, H-10a), 2.04–1.96 (1H, m, H-2b), 1.80 (1H, d, J = 12.1 Hz, H-6a), 1.70–1.45 (6H, m, H-1, H-4, H-7a, H-10b), 1.28–1.22 (2H, m, H-6b, H-7b), and 0.82 (3H, s, H3-13). 13C NMR (100 MHz, CDCl3) δ 177.85 (C-12), 149.13 (C-3), 106.33 (C-14), 78.20 (C-9), 51.06 (C-17), 48.63 (C-15), 47.42 (C-11), 46.33 (C-4), 44.92 (C-16), 42.07 (C-6), 41.23 (C-10), 38.90 (C-4), 36.59 (C-2), 34.65 (C-5), 22.52 (C-7), 20.91 (C-1), and 17.66 (C-13). IR (KBr) vmax 2932, 2866, 2096 (N3), 1747 (C=O), 1643, 1447, 1297, 1158, 963, and 894 cm−1. HRMS (ESI): m/z calcd. for C17H27N4O2 [M + H]+ 319.2129, found 319.2135. Anal. Calc. for C17H26N4O2 × 0.1 CH2Cl2: C, 62.83; H, 8.08; N, 17.14%. Found: C, 62.85; H, 8.02; N, 17.20%.

- (3S,3aR,5S,8aR,9aR)-3-(((2-Azidoethyl)amino)methyl)-5,8a-dimethyl-3,3a,6,7,8,8a,9,9aoctahydronaphtho[2,3-b]furan-2(5H)-one (5), Yellow oil (85%). 1H NMR (400 MHz, CDCl3) δ 5.15 (1H, d, J = 2.8 Hz, H-7), 4.76 (1H, m, H-9), 3.44 (2H, d, J = 5.6 Hz, H2-17), 3.16–3.13 (1H, m, H-8), 3.02–2.78 (5H, m, H-11, H2-15, H2-16), 2.50–2.47 (1H, m, H-3), 2.11 (1H, dd, J = 14.6 Hz, J = 3.1 Hz, H-10a), 1.87–1.76 (1H, m, H-2a), 1.61–1.42 (6H, m, H-1, H-2b, H-6, H-10b), 1.23 (3H, s, H3-13), and 1.12 (3H, d, J = 7.6 Hz, H3-14). 13C NMR (100 MHz, CDCl3) δ 177.12 (C-12), 150.10 (C-4), 114.58 (C-7), 76.69 (C-9), 50.44 (C-17), 47.93 (C-15), 45.54 (C-16), 45.02 (C-11), 42.04 (C-10), 41.50 (C-6), 37.77 (C-3), 36.92 (C-8), 32.31 (C-5), 32.15 (C-2), 27.99 (C-13), 22.32 (C-14), and 16.18 (C-1). IR (KBr) νmax 2929, 2101, 1762, 1457, 1340, 1180, 1151, 1039, and 733 cm−1. Anal. Calc. for C17H26N4O2·0.15 CH2Cl2: C, 62.20; H, 8.00; N, 16.92%. Found: C, 62.68; H, 8.03; N, 16.80%.

- (3R,3aS,9bS)-3-(((2-Azidoethyl)amino)methyl)-6,9-dimethylenedecahydroazuleno[4,5-b]furan-2(9bH)-one (6), Yellow oil (82%). 1H NMR (400 MHz, CDCl3) δ 5.30 (1H, s, H-13a), 5.17 (1H, s, H-13b), 4.87 (1H, s, H-14a), 4.76 (1H, s, H-14b), 3.96 (1H, t, J = 9.1 Hz, H-2), 3.37 (2H, t, J = 5.6 Hz, H2-17), 2.97 (1H, dd, J = 12.1 Hz, J = 3.8 Hz, H-15a), 2.89–2.81 (4H, m, H-1, H-7, H-12, H-15b), 2.51–2.45 (3H, m, H-5a, H-9), 2.39–2.34 (2H, m, H2-16), 2.15–1.85 (5H, m, H-3, H-4a, H-5b, H-8), and 1.39–1.24 (1H, m, H-4b). 13C NMR (100 MHz, CDCl3) δ 177.51 (C-11), 151.56 (C-10), 149.65 (C-6), 111.64 (C-13), 108.85 (C-14), 85.62 (C-2), 51.64 (C-12), 50.96 (C-17), 48.82 (C-15), 47.30 (C-1), 47.11 (C-16), 46.74 (C-7), 44.57 (C-3), 37.46 (C-9), 32.40 (C-5), 32.33 (C-4), and 29.95 (C-8). IR (KBr) νmax 2929, 2100, 1767, 1456, 1340, 1176, 1004, and 894 cm−1. Anal. Calc. for C17H24N4O2·0.1 CH2Cl2: C, 63.22; H, 7.51; N, 17.24%. Found: C, 63.15; H, 7.42; N, 17.09%.
3.3. General Procedure for the Synthesis of 3,5-Bis(arylidene)piperidin-4-ones (7a–c)
Piperidin-4-one hydrochloride (3.7 mmol, 1.0 eq) and appropriate aryl aldehyde (7.4 mmol, 2 eq) were mixed in glacial acetic acid (10 mL). Dry hydrogen chloride gas bubbled through the solution for 20 min. The reaction mixture was stirred for 2 h and was allowed to stay at room temperature overnight. After that, the acetic acid was evaporated, and the residue was treated with a saturated solution of sodium bicarbonate (7 g) in water (20 mL). The precipitate obtained was filtered off, washed with water (3 × 20 mL), and dried under vacuum. The resulting compounds 7a–c were used for further interactions without additional purification.
Spectral data and melting points of the known compounds 7a [82] and 7b [83] fit well the literature data.

- (3E,5E)-3,5-Bis((4,7-dimethoxybenzo[d][1,3]dioxol-5-yl)methylene)piperidin-4-one (7c), Yellow-green crystals (95%), m.p. 163–164 °C. 1H NMR (400 MHz, DMSO-d6) δ 7.68 (2H, s, H-7, H-7′), 6.52 (2H, s, H-13, H-13′), 6.09 (4H, s, H-15, H-15′), 3.92 (4H, s, H-2, H-6), and 3.88 and 3.83 (12H, both s, H3-14, H3-14′, H3-16, H3-16′). 13C NMR (100 MHz, DMSO-d6) δ 187.77 (C-4), 138.89 (C-11, C-11′), 138.81 (C-10, C-10′), 138.32 (C-12, C-12′), 137.71 (C-9, C-9′), 135.48 (C-7, C-7′), 129.18 (C-3, C-5), 121.25 (C-8, C-8′), 109.87 (C-13, C-13′), 102.58 (C-15, C-15′), 60.64 (C-14, C-14′), 57.07 (C-16, C-16′), and 48.08 (C-2, C-6). IR (KBr) vmax 2945, 2840, 1631, 1589, 1492, 1456, 1358, 1237, 1141, 1068, 958, and 521 cm−1. HRMS (ESI): m/z calcd. for C25H26NO9 [M + H]+ 484.1602, found 484.1614. Anal. Calc. for C25H25NO9 × 0.35 H2O: C, 61.31; H, 5.29; N, 2.86%. Found: C, 61.23; H, 5.48; N, 2.88%.
3.4. General Procedure for the Synthesis of N-Propargyl-3,5-bis(arylidene)piperidin-4-ones (8a–c)
To a stirred mixture of 3,5-bis(arylidene)piperidin-4-one (0.01 mol, 1.0 eq) and potassium carbonate (0.04 mol, 4.0 eq) in DMSO (15 mL), propargyl bromide (0.012 mol, 1.2 eq) was added. The solution obtained was stirred at room temperature for 5 min and then benzyl triethyl ammonium chloride (10 mg) was added. The resulting mixture was stirred for 2 h (TLC monitoring), and then water (100 mL) was added. The precipitate obtained was filtered off, washed on the filter with water, dried in air, and stored in vacuo over P2O5. Analytical grade samples 8a–c were obtained via column chromatography with SiO2 using gradient systems of CH2Cl2–MeOH solvents (50:0→50:1).

- (3E,5E)-3,5-Bis(benzo[d][1,3]dioxol-5-ylmethylene)-1-(prop-2-yn-1-yl)piperidin-4-one (8a), Yellow crystals (82%), m.p. > 192 °C (decomp.). 1H NMR (400 MHz, CDCl3) δ 7.76 (2H, s, H-7, H-7′), 6.97 (2H, d, J = 8.0 Hz, H-12, H-12′), 6.91 (2H, s, H-9, H-9′), 6.90 (2H, d, J = 8.0 Hz, H-13, H-13′), 6.05 (4H, s H-14, H-14′), 3.93 (4H, s, H-2, H-6), 3.58 (2H, d, J = 1.8 Hz, H2-15), and 2.41 (1H, t, J = 1.8 Hz, H-17). 13C NMR (100 MHz, CDCl3) δ 186.16 (C-4), 148.42 (C-11, C-11′), 147.83 (C-10, C-10′), 136.70 (C-7, C-7′), 130.93 (C-8, C-8′), 129.19 (C-3, C-5), 125.95 (C-13, C-13′), 109.92 (C-12, C-12′), 108.55 (C-9, C-9′), 101.41 (C-14, C-14′), 77.12 (C-16), 74.89 (C-17), 53.22 (C-2, C-6), and 46.33 (C-15). HRMS (ESI): m/z calcd. for C24H20NO5 [M + H]+ 402.1336, found 402.1346. Anal. Calc. for C24H19NO5× 0.5 H2O: C, 70.23; H, 4.91; N, 3.41%. Found: C, 70.06; H, 4.81; N, 3.55%.

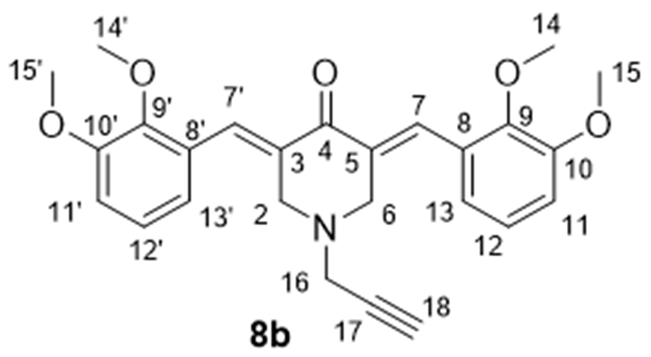
- 3,5-Bis((E)-2,3-dimethoxybenzylidene)-1-(prop-2-yn-1-yl)piperidin-4-one (8b), Yellow crystals (87%), m.p. 60–61 °C. 1H NMR (400 MHz, CDCl3) δ 8.07 (2H, s, H-7, H-7′), 7.11 (2H, t, J = 8.0 Hz, H-12, H-12′), 6.97 (2H, d, J = 8.0 Hz, H-11, H-11′), 6.87 (2H, d, J = 8.0 Hz, H-13, H-13′), 3.90 (6H, s, H3-15, H3-15′), 3.83 (10H, br.s, H3-14, H3-14′, H-2, H-6), 3.47 (2H, d, J = 1.6 Hz, H2-16), and 2.31 (1H, t, J = 1.6 Hz, H-18). 13C NMR (100 MHz, CDCl3) δ 186.26 (C-4), 152.79 (C-9, C-9′), 148.39 (C-10, C-10′), 133.43 (C-8, C-8′), 132.58 (C-7, C-7′), 129.41 (C-3, C-5), 123.61 (C-13, C-13′), 121.85 (C-12, C-12′), 113.12 (C-11, C-11′), 77.41 (C-17), 74.43 (C-18), 61.27 (C-16, C-16′), 55.72 (C-15, C-15′), 53.41 (C-2, C-6), and 46.13 (C-16). HRMS (ESI): m/z calcd. for C26H28NO5 [M + H]+ 434.1962, found 434.1971. Anal. Calc. for C26H27NO5 × 1.5 H2O: C, 68.54; H, 6.68; N, 3.04%. Found: C, 68.59; H, 6.31; N, 3.10%.

- (3E,5E)-3,5-Bis((4,7-dimethoxybenzo[d][1,3]dioxol-5-yl)methylene)-1-(prop-2-yn-1-yl)piperidin-4-one (8c), Yellow crystals (95%), m.p. 167–168 °C. 1H NMR (400 MHz, CDCl3) δ 7.96 (2H, s, H-7, H-7′), 6.43 (2H, s, H-13, H-13′), 6.04 (4H, s, H-15, H-15′), 3.93 and 3.87 (12H, both s, H3-14, H3-14′, H3-16, H3-16′), 3.82 (4H, s, H-2, H-6), 3.49 (2H, d, J = 2.0 Hz, H2-17), and 2.31 (1H, t, J = 2.0 Hz, H-19). 13C NMR (100 MHz, CDCl3) δ 186.20 (C-4), 138.60 (C-11, C-11′), 138.57 (C-10, C-10′), 138.04 (C-12, C-12′), 137.89 (C-9, C-9′), 132.40 (C-3, C-5), 132.24 (C-7, C-7′), 121.44 (C-8, C-8′), 109.41 (C-13, C-13′), 101.92 (C-15, C-15′), 77.52 (C-18), 74.14 (C-19), 60.40 (C-14, C-14′), 56.92 (C-16, C-16′), 53.65 (C-2, C-6), and 46.25 (C-17). HRMS (ESI): m/z calcd. for C28H28NO9 [M + H]+ 522.1759, found 522.1765. Anal. Calc. for C28H27NO9 × 0.25 H2O: C, 63.93; H, 5.27; N, 2.66%. Found: C, 63.90; H, 5.29; N, 2.57%.
3.5. General Procedure for the “Click”-Reactions
To a stirred mixture of azide (0.2 mmol, 1.0 eq) and the corresponding alkyne (0.21 mmol, 1.05 eq.) in CH2Cl2 (5 mL), copper(I) bromide (0.01 mmol, 5 mol.%) and DIPEA (0.02 mmol, 10 mol.%) were added. The solution obtained was stirred at room temperature for 24 h (TLC monitoring). The solvent was removed in vacuo, and the remaining crude product was purified via column chromatography (dichloromethane/ethanol, 100:0.2 to 100:5) to afford the corresponding product as a viscous yellow oil.

- (3E,5E)-3,5-bis(benzo[d][1,3]dioxol-5-ylmethylene)-1-((1-(2-((((3S,3aR,8aR,9aR)-8a-methyl-5-methylene-2-oxododecahydronaphtho[2,3-b]furan-3-yl)methyl)amino)ethyl)-1H-1,2,3-triazol-4-yl)methyl)piperidin-4-one (9a), Yellow oil (68%). 1H NMR (400 MHz, CDCl3) δ 7.63 (2H, s, H-26, H-26′), 7.52 (1H, s, H-18), 6.88 (2H, d, J = 8.0 Hz, H-32, H-32′), 6.82–6.77 (4H, m, H-28, H-28′, H-31, H-31′), 5.97 (4H, s, H2-33, H2-33′), 4.72 (1H, s, H-14a), 4.38–4.35 (4H, m, H-9, H-14b, H2-17), 3.86–3.82 (6H, m, H2-20, H2-21, H2-25), 3.10–3.06 (1H, m, H-8), 2.99–2.95 (2H, m, H2-16), 2.78–2.73 and 2.70–2.63 (2H, both m, H2-15), 2.41–2.35 (1H, m, H-11), 2.28–2.25 (1H, m, H-2a), 2.10 (1H, d, J = 15.4 Hz, H-10a), 1.96–1.92 (1H, m, H-2b), 1.71 (1H, d, J = 12.0 Hz, H-6a), 1.55–1.42 (5H, m, H-1, H-4, H-7a, H-10b), 1.22–1.05 (2H, m, H-6b, H-7b), and 0.74 (3H, s, H3-13). 13C NMR (100 MHz, CDCl3) δ 186.72 (C-23), 177.69 (C-12), 148.93 (C-3), 148.21 (C-30, C-30′), 147.66 (C-29, C-29′), 143.86 (C-19), 135.84 (C-26, C-26′), 131.35 (C-27, C-27′), 129.02 (C-22, C-24), 125.67 (C-32, C-32′), 123.14 (C-18), 109.77 (C-31, C-31′), 108.34 (C-28, C-28′), 106.22 (C-14), 101.27 (C-33, C-33′), 78.05 (C-9), 54.33 (C-21, C-25), 52.25 (C-20), 49.76 (C-17), 48.92 (C-15), 47.02 (C-11), 46.10 (C-4), 44.63 (C-16), 41.86 (C-6), 41.08 (C-10), 38.70 (C-8), 36.41 (C-2), 34.47 (C-5), 22.37 (C-7), 20.75 (C-1), and 17.51 (C-13). IR (film) vmax 2930, 1761 (C=O), 1596, 1504, 1489, 1446, 1263, 1235, 1039, 931, and 756 cm−1. HRMS (ESI): m/z calcd. for C41H46N5O7 [M + H]+: 720.3397, found 720.3395.

- (3E,5E)-3,5-bis(2,3-dimethoxybenzylidene)-1-((1-(2-((((3S,3aR,8aR,9aR)-8a-methyl-5-methylene-2-oxododecahydronaphtho[2,3-b]furan-3-yl)methyl)amino)ethyl)-1H-1,2,3-triazol-4-yl)methyl)piperidin-4-one (9b), Yellow oil (62%). 1H NMR (400 MHz, CDCl3) δ 8.05 (2H, s, H-26, H-26′), 7.47 (1H, s, H-18), 7.08 (2H, t, J = 7.6 Hz, H-31, H-31′), 6.96 (2H, d, J = 8.0 Hz, H-30, H-30′), 6.81 (2H, d, J = 7.6 Hz, H-32, H-32′), 4.76 (1H, s, H-14a), 4.48–4.37 (4H, m, H-9, H-14b, H2-17), 3.90–3.82 (18H, m, H3-33, H3-33′, H3-34, H3-34′, H2-20, H2-21, H2-25), 3.10–3.05 (1H, m, H-8), 3.05–2.99 (2H, m, H2-16), 2.88–2.83 and 2.79–2.69 (2H, both m, H2-15), 2.50–2.40 (1H, m, H-2a), 2.33–2.30 (1H, m, H-11), 2.16 (1H, d, J = 15.6 Hz, H-10a), 2.00–1.95 (1H, m, H-2b), 1.75 (1H, d, J = 12.0 Hz, H-6a), 1.65–1.46 (5H, m, H-1, H-4, H-7a, H-10b), 1.30–1.15 (2H, m, H-6b, H-7b), and 0.80 (3H, s, H3-13). 13C NMR (100 MHz, CDCl3) δ 187.17 (C-23), 177.87 (C-12), 152.74 (C-3), 149.08 (C-28, C-28′), 148.24 (C-29, C-29′), 144.02 (C-19), 133.61 (C-22, C-24), 132.88 (C-26, C-26′), 129.44 (C-27, C-27′), 123.82 (C-30, C-30′), 123.30 (C-18), 122.01 (C-30, C-30′), 113.37 (C-32, C-32′), 106.49 (C-14), 78.47 (C-9), 61.28 (C-33, C-33′), 55.89 (C-34, C-34′), 54.37 (C-21, C-25), 51.61 (C-20), 49.60 (C-17), 49.09 (C-15), 46.38 (C-11), 46.24 (C-4), 44.91 (C-16), 42.17 (C-6), 41.35 (C-10), 38.98 (C-8), 36.70 (C-2), 34.47 (C-5), 22.67 (C-7), 21.06 (C-1), and 17.81 (C-13). IR (film) vmax 2934, 1762 (C=O), 1576, 1477, 1278, 1223, 1076, 1004, and 753 cm−1. HRMS (ESI): m/z calcd. for C43H54N5O7 [M + H]+: 752.4023, found 752.4015.

- (3E,5E)-3,5-bis((4,7-dimethoxybenzo[d][1,3]dioxol-5-yl)methylene)-1-((1-(2-((((3S,3aR,8aR,9aR)-8a-methyl-5-methylene-2-oxododecahydronaphtho[2,3-b]furan-3-yl)methyl)amino)ethyl)-1H-1,2,3-triazol-4-yl)methyl)piperidin-4-one (9c), Yellow oil (64%). 1H NMR (400 MHz, CDCl3) δ 7.96 (2H, s, H-26, H-26′), 7.50 (1H, s, H-18), 6.38 (2H, s, H-32, H-32′), 6.03 (4H, s, H-34, H-34′), 4.76 (1H, s, H-14a), 4.48–4.38 (4H, m, H-9, H-14b, H2-17), 3.94 (6H, s, H3-33, H3-33′), 3.90 (6H, s, H3-35, H3-35′), 3.83 (2H, s H2-20), 3.80 (4H, s, H2-21, H2-25), 3.15-3.12 (1H, m, H-8), 3.02-3.00 (2H, m, H2-16), 2.84–2.82 and 2.75–2.70 (2H, both m, H2-15), 2.45–2.43 (1H, m, H-2a), 2.33–2.30 (1H, m, H-11), 2.15 (1H, d, J = 15.2 Hz, H-10a), 2.01–1.93 (1H, m, H-2b), 1.75 (1H, d, J = 12.0 Hz, H-6a), 1.60–1.45 (5H, m, H-1, H-4, H-7a, H-10b), 1.30–1.15 (2H, m, H-6b, H-7b), and 0.79 (3H, s, H3-13). 13C NMR (100 MHz, CDCl3) δ 186.65 (C-23), 177.86 (C-12), 149.08 (C-3), 143.79 (C-19), 138.62 (C-30, C-30′), 138.47 (C-29, C-29′), 138.05 (C-31, C-31′), 137.79 (C-28, C-28′), 132.15 (C-26, C-26′), 131.97 (C-22, C-24), 123.45 (C-18), 121.28 (C-27, C-27′), 109.29 (C-32, C-32′), 106.32 (C-14), 101.90 (C-34, C-34′), 78.26 (C-9), 60.33 (C-33, C-33′), 56.94 (C-35, C-35′), 54.41 (C-21, C-25), 51.65 (C-20), 49.75 (C-17), 49.01 (C-15), 47.06 (C-11), 46.24 (C-4), 44.80 (C-16), 42.02 (C-6), 41.21 (C-10), 38.86 (C-8), 36.55 (C-2), 34.61 (C-5), 22.51 (C-7), 20.91 (C-1), and 17.64 (C-13). IR (film) vmax 2931, 1762 (C=O), 1599, 1493, 1456, 1242, 1143, 1067, 963, and 755 cm−1. HRMS (ESI): m/z calcd. for C45H54N5O11 [M + H]+: 840.3820, found 840.3807.

- (3E,5E)-3,5-bis(benzo[d][1,3]dioxol-5-ylmethylene)-1-((1-(2-((((3S,3aR,5S,8aR,9aR)-5,8a-dimethyl-2-oxo-2,3,3a,5,6,7,8,8a,9,9a-decahydronaphtho[2,3-b]furan-3-yl)methyl)amino)ethyl)-1H-1,2,3-triazol-4-yl)methyl)piperidin-4-one (10a), Yellow oil (62%). 1H NMR (400 MHz, CDCl3) δ 7.69 (2H, s, H-26, H-26′), 7.55 (1H, s, H-18), 6.93–6.85 (6H, m, H-28, H-28′, H-31, H-31′, H-32, H-32′), 6.01 (4H, s, H-33, H-33′), 5.05 (1H, br.s, H-7), 4.72 (1H, br.s, H-9), 4.43–4.39 (2H, m, H2-17), 3.91 (2H, s, H2-20), 3.87 (4H, s, H2-21, H2-25), 3.13–2.88 (5H, m, H2-16, H2-15, H-8), 2.76–2.70 (1H, m, H-11), 2.45–2.44 (1H, m, H-3), 2.09 (1H, dd, J = 14.8 Hz, J = 2.8 Hz, H-10a), 1.81–1.75 (1H, m, H-2a), 1.60–1.43 (6H, m, H-1, H-2b, H-6, H-10b), 1.21 (3H, s, H3-13), and 1.10 (3H, d, J = 7.4 Hz, H3-14). 13C NMR (100 MHz, CDCl3) δ 186.91 (C-23), 177.66 (C-12), 151.16 (C-4), 148.33 (C-30, C-30′), 147.78 (C-29, C-29′), 144.04 (C-19), 136.05 (C-26, C-26′), 131.43 (C-27, C-27′), 129.17 (C-22, C-24), 125.72 (C-32, C-32′), 123.25 (C-18), 114.58 (C-7), 109.91 (C-31, C-31′), 108.47 (C-28, C-28′), 101.36 (C-33, C-33′), 77.29 (C-9), 54.48 (C-21, C-25), 52.40 (C-20), 49.85 (C-17), 48.98 (C-15), 46.04 (C-16), 45.43 (C-11), 42.48 (C-10), 42.00 (C-6), 38.30 (C-3), 37.46 (C-8), 32.86 (C-5), 32.64 (C-2), 28.49 (C-13), 22.80 (C-14), and 16.65 (C-1). IR (film) vmax 2927, 1758 (C=O), 1596, 1503, 1489, 1446, 1234, 1038, 929, and 734 cm−1. HRMS (ESI): m/z calcd. for C41H46N5O7 [M + H]+: 720.3397, found 720.3380.

- (3E,5E)-3,5-bis(2,3-dimethoxybenzylidene)-1-((1-(2-((((3S,3aR,5S,8aR,9aR)-5,8a-dimethyl-2-oxo-2,3,3a,5,6,7,8,8a,9,9a-decahydronaphtho[2,3-b]furan-3-yl)methyl)amino)ethyl)-1H-1,2,3-triazol-4-yl)methyl)piperidin-4-one (10b), Yellow oil (59%). 1H NMR (400 MHz, CDCl3) δ 8.03 (2H, s, H-26, H-26′), 7.44 (1H, s, H-18), 7.06 (2H, t, J = 7.9 Hz, H-31, H-31′), 6.95 (2H, d, J = 7.9 Hz, H-30, H-30′), 6.80 (2H, d, J = 7.6 Hz, H-32, H-32′), 5.06 (1H, s, H-7), 4.73 (1H, s, H-9), 4.35–4.33 (2H, m, H2-17), 3.89–3.80 (18H, m, H3-33, H3-33′, H3-34, H3-34′, H2-20, H2-21, H2-25), 3.07 (2H, br.s, H2-16), 3.02–2.91 (3H, m, H2-15, H-8), 2.74 (1H, br.s, H-11), 2.48–2.43 (1H, m, H-3), 2.09 (1H, dd, J = 14.7 Hz, J = 2.9 Hz, H-10a), 1.86–1.76 (1H, m, H-2a), 1.60–1.48 (6H, m, H-1, H-2b, H-6, H-10b), 1.21 (3H, s, H3-13), and 1.10 (3H, d, J = 7.4 Hz, H3-14). 13C NMR (100 MHz, CDCl3) δ 187.06 (C-23), 177.66 (C-12), 152.70 (C-28, C-28′), 151.09 (C-4), 148.22 (C-29, C-29′), 144.09 (C-19), 133.67 (C-27, C-27′), 132.43 (C-26, C-26′), 129.33 (C-22, C-24), 123.70 (C-18), 123.62 (C-32, C-32′), 121.83 (C-31, C-31′), 114.63 (C-7), 113.13 (C-30, C-30′), 77.31 (C-9), 61.10 (C-33, C-33′), 55.69 (C-34, C-34′), 54.31 (C-21, C-25), 51.58 (C-20), 49.70 (C-17), 49.01 (C-15), 45.98 (C-16), 45.49 (C-11), 42.50 (C-10), 42.01 (C-6), 38.29 (C-3), 37.44 (C-8), 32.86 (C-5), 32.64 (C-2), 28.50 (C-13), 22.81 (C-14), and 16.65 (C-1). IR (film) vmax 2930, 1759 (C=O), 1576, 1477, 1263, 1224, 1076, 1006, and 753 cm−1. HRMS (ESI): m/z calcd. for C43H54N5O7 [M + H]+: 752.4023, found 752.4018.

- (3E,5E)-3,5-bis((4,7-dimethoxybenzo[d][1,3]dioxol-5-yl)methylene)-1-((1-(2-((((3S,3aR,5S,8aR,9aR)-5,8a-dimethyl-2-oxo-2,3,3a,5,6,7,8,8a,9,9a-decahydronaphtho[2,3-b]furan-3-yl)methyl)amino)ethyl)-1H-1,2,3-triazol-4-yl)methyl)piperidin-4-one (10c), Yellow oil (65%). 1H NMR (400 MHz, CDCl3) δ 7.93 (2H, s, H-26, H-26′), 7.50 (1H, s, H-18), 6.36 (2H, s, H-32, H-32′), 6.00 (4H, s, H-34, H-34′), 5.04 (1H, br.s, H-7), 4.72 (1H, br.s, H-9), 4.40–4.31 (2H, m, H2-17), 3.91–3.77 (18H, m, H3-33, H3-33′, H3-35, H3-35′, H2-20, H2-21, H2-25), 3.10–3.00 (3H, m, H2-16, H-8), 2.98–2.90 (2H, m, H2-15), 2.73–2.71 (1H, m, H-11), 2.43–2.41 (1H, m, H-3), 2.09–1.99 (1H, m, H-10a), 1.84–1.75 (1H, m, H-2a), 1.59–1.42 (6H, m, H-1, H-2b, H-6, H-10b), 1.19 (3H, s, H3-13), and 1.08 (3H, d, J = 7.4 Hz, H3-14). 13C NMR (100 MHz, CDCl3) δ 186.66 (C-23), 177.72 (C-12), 151.09 (C-4), 143.71 (C-19), 138.56 (C-30, C-30′), 138.42 (C-29, C-29′), 138.00 (C-28, C-28′), 132.05 (C-26, C-26′), 131.96 (C-22, C-24), 123.39 (C-18), 121.22 (C-27, C-27′), 114.58 (C-7), 109.24 (C-32, C-32′), 101.85 (C-34, C-34′), 101.36 (C-33, C-33′), 77.29 (C-9), 60.27 (C-33, C-33′), 56.87 (C-35, C-35′), 54.39 (C-21, C-25), 51.66 (C-20), 49.79 (C-17), 48.93 (C-15), 45.98 (C-16), 45.39 (C-11), 42.44 (C-10), 41.96 (C-6), 38.26 (C-3), 37.42 (C-8), 32.81 (C-5), 32.60 (C-2), 28.44 (C-13), 18.19 (C-14), and 16.61 (C-1). IR (film) vmax 2931, 1760 (C=O), 1600, 1495, 1456, 1245, 1143, 1067, and 736 cm−1. HRMS (ESI): m/z calcd. for C45H54N5O11 [M + H]+: 840.3820, found 840.3822.

- (3E,5E)-3,5-bis(benzo[d][1,3]dioxol-5-ylmethylene)-1-((1-(2-((((3R,3aS)-6,9-dimethylene-2-oxododecahydroazuleno[4,5-b]furan-3-yl)methyl)amino)ethyl)-1H-1,2,3-triazol-4-yl)methyl)piperidin-4-one (11a), Yellow oil (62%). 1H NMR (400 MHz, CDCl3) δ 7.72 (2H, s, H-26, H-26′), 7.57 (1H, s, H-18), 6.95–6.87 (6H, m, H-28, H-28′, H-31, H-31′, H-32, H-32′), 6.03 (4H, s, H-33, H-33′), 5.15 (1H, s, H-13a), 5.04 (1H, s, H-13b), 4.87 (1H, s, H-14a), 4.77 (1H, s, H-14b), 4.44–4.42 (2H, m, H2-17), 3.96–3.90 (7H, m, H-2, H2-20, H2-21, H2-25), 3.12–3.11 (2H, m, H2-16), 2.90–2.78 (4H, m, H2-15, H-12, H-7), 2.51–2.43 (3H, m, H-1, H-9), 2.37–2.35 (1H, m, H-5a,), 2.23–2.15 (1H, m, H-4a), 2.04–1.83 (4H, m, H-3, H-5b, H-8), and 1.34–1.24 (1H, m, H-4b). 13C NMR (100 MHz, CDCl3) δ 186.96 (C-23), 177.44 (C-11), 151.51 (C-10), 149.54 (C-6), 148.41 (C-30, C-30′), 147.83 (C-29, C-29′), 143.87 (C-19), 136.43 (C-26, C-26′), 131.10 (C-27, C-27′), 129.15 (C-22, C-24), 125.87 (C-32, C-32′), 123.47 (C-18), 111.88 (C-13), 109.97 (C-31, C-31′), 109.06 (C-14), 108.54 (C-28, C-28′), 101.49 (C-33, C-33′), 85.73 (C-2), 54.37 (C-21, C-25), 52.24 (C-20), 51.67 (C-12), 49.60 (C-17), 48.96 (C-15), 46.97 (C-1), 46.86 (C-7), 46.80 (C-3), 44.82 (C-16), 37.39 (C-9), 32.39 (C-5), 32.34 (C-4), and 30.03 (C-8). IR (film) vmax 2934, 1762 (C=O), 1576, 1477, 1263, 1223, 1076, 1004, and 753 cm−1. HRMS (ESI): m/z calcd. for C41H44N5O7 [M + H]+: 718.3240, found 718.3227.

- (3E,5E)-3,5-bis(2,3-dimethoxybenzylidene)-1-((1-(2-((((3R,3aS)-6,9-dimethylene-2-oxododecahydroazuleno[4,5-b]furan-3-yl)methyl)amino)ethyl)-1H-1,2,3-triazol-4-yl)methyl)piperidin-4-one (11b), Yellow oil (59%). 1H NMR (400 MHz, CDCl3) δ 8.06 (2H, s, H-26, H-26′), 7.46 (1H, s, H-18), 7.09–7.07 (2H, m, H-31, H-31′), 6.96 (2H, d, J = 7.6 Hz, H-30, H-30′), 6.82–6.81 (2H, m, H-32, H-32′), 5.17 (1H, s, H-13a), 5.05 (1H, s, H-13b), 4.87 (1H, s, H-14a), 4.77 (1H, s, H-14b), 4.34 (2H, br.s, H2-17), 3.91–3.85 (19H, m, H3-33, H3-33′, H3-34, H3-34′, H-2, H2-20, H2-21, H2-25), 3.03 (2H, br.s, H2-16), 2.87–2.77 (4H, m, H2-15, H-12, H-7), 2.52–2.44 (3H, m, H-1, H-9), 2.35 (1H, br.s, H-5a), 2.19 (1H, br.s, H-4a), 2.02–1.86 (4H, m, H-3, H-5b, H-8), and 1.29–1.27 (1H, m, H-4b). 13C NMR (100 MHz, CDCl3) δ 187.17 (C-23), 177.66 (C-11), 152.83 (C-28, C-28′), 151.76 (C-10), 149.76 (C-6), 148.35 (C-29, C-29′), 144.15 (C-19), 133.78 (C-27, C-27′), 132.59 (C-26, C-26′), 129.45 (C-22, C-24), 123.81 (C-32, C-32′), 123.33 (C-18), 121.99 (C-31, C-31′), 113.28 (C-30, C-30′), 111.87 (C-13), 109.05 (C-14), 85.77 (C-2), 61.27 (C-33, C-33′), 55.84 (C-34, C-34′), 54.45 (C-21, C-25), 51.81 (C-12), 51.67 (C-20), 49.93 (C-17), 49.17 (C-15), 47.39 (C-1), 46.94 (C-7), 46.81 (C-16), 44.85 (C-3), 37.55 (C-9), 32.54 (C-5), 32.50 (C-4), and 30.14 (C-8). IR (film) vmax 2933, 1764 (C=O), 1575, 1476, 1455, 1263, 1224, 1075, 1004, and 753 cm−1. HRMS (ESI): m/z calcd. for C43H52N5O7 [M + H]+: 750.3866, found 750.3855.

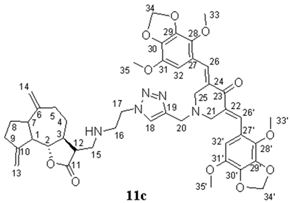
- (3E,5E)-3,5-bis((4,7-dimethoxybenzo[d][1,3]dioxol-5-yl)methylene)-1-((1-(2-((((3R,3aS)-6,9-dimethylene-2-oxododecahydroazuleno[4,5-b]furan-3-yl)methyl)amino)ethyl)-1H-1,2,3-triazol-4-yl)methyl)piperidin-4-one (11c), Yellow oil (57%). 1H NMR (400 MHz, CDCl3) δ 7.92 (2H, s, H-26, H-26′), 7.46 (1H, s, H-18), 6.35 (2H, s, H-32, H-32′), 5.99 (4H, s, H-34, H-34′), 5.12 (1H, s, H-13a), 4.99 (1H, s, H-13b), 4.83 (1H, s, H-14a), 4.73 (1H, s, H-14b), 4.32 (2H, br.s, H2-17), 3.90–3.77 (19H, m, H-33, H-33′, H-35, H-35′, H-2, H2-20, H2-21, H2-25), 2.99–2.82 (6H, m, H2-16, H2-15, H-12, H-7), 2.48–2.40 (3H, m, H-1, H-9), 2.27–1.80 (6H, m, H-5a, H-4a, H-3, H-5b, H-8), and 1.27–1.22 (1H, m, H-4b). 13C NMR (100 MHz, CDCl3) δ 186.56 (C-23), 177.42 (C-11), 151.51 (C-10), 149.54 (C-6), 143.67 (C-19), 138.49 (C-30, C-30′), 138.35 (C-29, C-29′), 137.91 (C-31, C-31′), 137.69 (C-28, C-28′), 131.96 (C-22, C-24), 131.90 (C-26, C-26′), 123.26 (C-18), 121.18 (C-27, C-27′), 111.63 (C-13), 109.14 (C-32, C-32′), 108.88 (C-14), 101.82 (C-34, C-34′), 85.52 (C-2), 60.25 (C-33, C-33′), 56.80 (C-35, C-35′), 54.34 (C-21, C-25), 51.60 (C-20), 51.56 (C-12), 49.78 (C-17), 49.00 (C-15), 47.15 (C-1), 47.01(C-16), 46.71 (C-7), 44.63 (C-3), 37.33 (C-9), 32.29 (C-5), 32.24 (C-4), and 29.90 (C-8). IR (film) vmax 2937, 1763 (C=O), 1599, 1495, 1456, 1193, 1066, and 755 cm−1. HRMS (ESI): m/z calcd. for C45H52N5O11 [M + H]+: 838.3663, found 838.3661.
3.6. Cell Culture
Cells of tumor origin—epithelial cells of breast adenocarcinoma MCF-7, neuroblastomes SH-SY5Y and IMR-32, human cervical adenocarcinoma HeLa, and conditionally normal fibroblast culture WI-38 obtained from fetal lung tissue—were cultivated in a wet chamber using DMEM supplemented with 10% fetal calf serum and penicillin as an antibiotic at 37 °C and 5% CO2. After 75% of confluence was reached, the cells were trypsinized using a physiological buffer salt solution containing 0.25% trypsin. Next, the cells were transferred to 96-well culture plates at a density of 10,000/well and incubated for 24 h to attach to the plate surface.
3.7. Assessment of Cells Vitality
Cell vitality was assessed by the MTT test. The cells were treated with solutions of the studied compounds at different concentrations (ranging from 0.1 to 100 µM) for 24 h. After incubation, 3-(4,5-dimethylthiazol-2-yl)-2,5-diphenyl-2H-tetrazolium bromide (MTT) was added to all wells in an amount equal to 10% of the nutrition medium volume and incubated for 2 h at 37 °C. Next, the nutrition medium was carefully abstracted, and the resultant formazane crystals indicating cell vitality were dissolved by the addition of dimethyl sulfoxide. Finally, the optical density was measured using a CytationTM3 plate analyzer (BioTek Instruments Inc., Winooski, VT, USA) at a wavelength of 555 nm.
3.8. Measuring Glycolytic Function in Cells
Glycolytic function in HeLa cells of tumor origin (human cervical adenocarcinoma) was assessed by glycolysis stress test using a Seahorse XFe96 (Agilent Technologies, Santa Clara, CA, USA) cell metabolism analyzer according to the protocol of Agilent Technologies (Santa Clara, CA, USA).
Briefly, HeLa cells that amounted to 30,000/well were seeded in a 96-well plate and cultured in Dulbecco’s Modified Eagle’s Medium supplemented with 10% fetal calf serum and penicillin at 37 °C in a humidified atmosphere with 5% CO2 for 24 h. After incubation, the cells were washed twice with Agilent Seahorse XF assay media containing DMEM and incubated for 1 h at 37 °C. Next, the plate with cells was placed in the cell metabolism analyzer and the external cell acidification rate of medium (ECAR) was measured during prescribed time intervals at the initial level and after automatic sequential injections of the following studied compounds/solvent (port A): 10 mM glucose (port B), 1 µM oligomycin (port C), and 25 mM 2-deoxyglucose (port D). The ECAR values for each group were a combination of three independent assays.
3.9. Molecular Docking
Structures of hexokinase 2,6-phosphofructo-2-kinase, and human pyruvate kinase M2 were obtained from a protein data bank (PDB) (www.rcsb.org (on 1 February 2024)), with PDB ID 2NZT [84,85], 1K6M [86], and 6V74 [87], respectively. The structure of target proteins was prepared for molecular docking procedure using the AutoDockVinapackage software (version 1.1.2, Molecular Graphics Laboratory, The Scripps Research Institute, LaJolla, CA, USA) and UCSF Chimera 1.17.3 (Resource for Biocomputing, Visualization, and Informatics from the University of California, San Francisco, CA, USA) by removing various ligands, non-key waters, and other non-key small molecules, as well as by adding H atoms and charge sand missing side chains.
The 3D structures of the ligand molecules were obtained by the ChemDrawUltra 12.0 software. Structure minimization for all ligands was performed using the UCSF Chimera software.
To validate the reference, molecules (2-Deoxy-glucose-6-phosphate for hexokinase 2 and L-phenylalanine for pyruvate kinase M2) were redocked in accordance with the parameters used in the specific experiment. The compounds were docked to the selected cavities of the enzymes with ten iterations for each specific docking. The docking procedure was considered to be successful when the obtained results had an RMSD parameter below 1.
Subsequent treatment and analysis of results and image production were performed using the Biovia Discovery Studio Viewer 2021 software (Biovia, SanDiego, CA, USA).
4. Conclusions
In conclusion, in this work, we have synthesized previously unknown hybrid molecular systems composed of 3,5-bis(arylidene)-4-piperidone and sesquiterpene lactones using click-chemistry methodology. We have shown that, as cytotoxic agents show selective action toward tumor cells, the conjugates of 3,5-bis(arylidene)piperidin-4-ones and sesquiterpene lactones display a modulating action on glucose metabolism, which is caused by their glycolysis-inhibiting ability. Using molecular in silico screening, the obtained compounds were identified as potential inhibitors of the allosteric glycolytic enzyme, pyruvate kinase M2 oncoprotein.
Our study is one of the first to demonstrate the mechanism of action of compounds based on the piperidone platform associated with the reprogramming of the metabolic state of tumor cells by the inhibition of PKM2. At the same time, this study expands the understanding of the antitumor potential of compounds with such a structure and provides the foundation for the further analysis of compounds containing piperidone fragments in their structure in terms of efficiency against the key enzymes of the glycolysis process.
Thus, the obtained results indicate that conjugates of 3,5-bis(arylidene)piperidin-4-ones and sesquiterpene lactones can be considered promising platforms for designing selective antitumor agents targeted against the glycolysis process.
Supplementary Materials
The following supporting information can be downloaded at: https://www.mdpi.com/article/10.3390/molecules29122765/s1, 1H, 13C NMR and HRMS spectra for all novel compounds 4, 7c, 8a–c, 9a–c, 10a–c, 11a–c.
Author Contributions
Conceptualization, M.E.N. and V.K.B.; methodology, M.E.N., Y.R.A., N.S.N., I.A.S., O.I.A., E.V.S. (E. V. Sharova), and E.V.S. (E. V. Smirnova); data curation, V.K.B. and M.E.N.; software, Y.R.A. and A.V.S.; validation, V.K.B. and M.E.N.; formal analysis, O.I.A., N.A., and R.K.; funding acquisition, V.K.B. and D.O.; writing—original draft preparation, V.K.B. and M.E.N.; writing—review and editing, V.K.B. and M.E.N.; supervision, V.K.B. and M.E.N.; project administration, V.K.B. All authors have read and agreed to the published version of the manuscript.
Funding
The study of cytotoxic activity was funded by the Non-Profit Joint-Stock Company “Korkyt Ata Kyzylorda University” (Grant No. 06-09-23).
Institutional Review Board Statement
Not applicable.
Informed Consent Statement
Not applicable.
Data Availability Statement
All studied compounds can be found from the corresponding author V. K. Brel.
Acknowledgments
The authors would like to acknowledge the “Centre for Collective Use of IPAC RAS” (IPAC research topic FFSG-2024-0021) for providing the opportunity to conduct biological experiments. Synthesis of all compounds, elemental analysis, and recording of NMR spectra were supported by the Ministry of Science and Higher Education of the Russian Federation using the scientific equipment of the Center for molecular composition studies of INEOS RAS.
Conflicts of Interest
The authors declare no conflicts of interest.
References
- Siegel, R.L.; Miller, K.D.; Wagle, N.S.; Jemal, A. Cancer statistics, 2023. CA Cancer J. Clin. 2023, 73, 17–48. [Google Scholar] [CrossRef] [PubMed]
- Siegel, R.L.; Giaquinto, A.N.; Jemal, A. Cancer statistics, 2024. CA Cancer J. Clin. 2024, 74, 12–49. [Google Scholar] [CrossRef]
- Sung, H.; Ferlay, J.; Siegel, R.L.; Laversanne, M.; Soerjomataram, I.; Jemal, A.; Bray, F. Global Cancer Statistics 2020: GLOBOCAN Estimates of Incidence and Mortality Worldwide for 36 Cancers in 185 Countries. CA Cancer J. Clin. 2021, 71, 209–249. [Google Scholar] [CrossRef] [PubMed]
- Saadet, E.D.; Tek, I. Evaluation of chemotherapy-induced cutaneous side effects in cancer patients. Int. J. Dermatol. 2022, 61, 1519–1526. [Google Scholar] [CrossRef] [PubMed]
- Schirrmacher, V. From chemotherapy to biological therapy: A review of novel concepts to reduce the side effects of systemic cancer treatment (Review). Int. J. Oncol. 2019, 54, 407–419. [Google Scholar] [CrossRef] [PubMed]
- Di Nardo, P.; Lisanti, C.; Garutti, M.; Buriolla, S.; Alberti, M.; Mazzeo, R.; Puglisi, F. Chemotherapy in patients with early breast cancer: Clinical overview and management of long-term side effects. Expert. Opin. Drug Saf. 2022, 21, 1341–1355. [Google Scholar] [CrossRef] [PubMed]
- Yavarpour-Bali, H.; Ghasemi-Kasman, M.; Pirzadeh, M. Curcumin-loaded nanoparticles: A novel therapeutic strategy in treatment of central nervous system disorders. Int. J. Nanomed. 2019, 14, 4449–4460. [Google Scholar] [CrossRef] [PubMed]
- Wong, S.C.; Kamarudin, M.N.A.; Naidu, R. Anticancer Mechanism of Curcumin on Human Glioblastoma. Nutrients 2021, 13, 950. [Google Scholar] [CrossRef] [PubMed]
- Joshi, P.; Joshi, S.; Semwal, D.; Bisht, A.; Paliwal, S.; Dwivedi, J.; Sharma, S. Curcumin: An Insight into Molecular Pathways Involved in Anticancer Activity. Mini Rev. Med. Chem. 2021, 21, 2420–2457. [Google Scholar] [CrossRef]
- Mohanty, C.; Sahoo, S.K. The in vitro stability and in vivo pharmacokinetics of curcumin prepared as an aqueous nanoparticulate formulation. Biomaterials 2010, 31, 6597–6611. [Google Scholar] [CrossRef]
- Jurenka, J.S. Anti-inflammatory properties of curcumin, a major constituent of Curcuma longa: A review of preclinical and clinical research. Altern. Med. Rev. 2009, 14, 141–153. [Google Scholar] [PubMed]
- Gordon, O.N.; Luis, P.B.; Sintim, H.O.; Schneider, C. Unraveling curcumin degradation: Autoxidation proceeds through spiroepoxide and vinylether intermediates en route to the main bicyclopentadione. J. Biol. Chem. 2015, 290, 4817–4828. [Google Scholar] [CrossRef] [PubMed]
- Shehzad, A.; Wahid, F.; Lee, Y.S. Curcumin in cancer chemoprevention: Molecular targets, pharmacokinetics, bioavailability, and clinical trials. Arch. Pharm. 2010, 343, 489–499. [Google Scholar] [CrossRef] [PubMed]
- Tomeh, M.A.; Hadianamrei, R.; Zhao, X. A Review of Curcumin and Its Derivatives as Anticancer Agents. Int. J. Mol. Sci. 2019, 20, 1033. [Google Scholar] [CrossRef] [PubMed]
- Razali, N.S.C.; Lam, K.W.; Rajab, N.F.; AR, A.J.; Kamaluddin, N.F.; Chan, K.M. Curcumin piperidone derivatives induce anti-proliferative and anti-migratory effects in LN-18 human glioblastoma cells. Sci. Rep. 2022, 12, 13131. [Google Scholar] [CrossRef] [PubMed]
- Razali, N.S.C.; Lam, K.W.; Rajab, N.F.; Jamal, A.R.A.; Kamaludin, N.F.; Chan, K.M. Curcumin piperidone derivatives induce caspase-dependent apoptosis and suppress miRNA-21 expression in LN-18 human glioblastoma cells. Genes Environ. 2024, 46, 4. [Google Scholar] [CrossRef] [PubMed]
- Olivera, A.; Moore, T.W.; Hu, F.; Brown, A.P.; Sun, A.; Liotta, D.C.; Snyder, J.P.; Yoon, Y.; Shim, H.; Marcus, A.I.; et al. Inhibition of the NF-kappaB signaling pathway by the curcumin analog, 3,5-Bis(2-pyridinylmethylidene)-4-piperidone (EF31): Anti-inflammatory and anti-cancer properties. Int. Immunopharmacol. 2012, 12, 368–377. [Google Scholar] [CrossRef] [PubMed]
- Schmitt, F.; Subramaniam, D.; Anant, S.; Padhye, S.; Begemann, G.; Schobert, R.; Biersack, B. Halogenated Bis(methoxybenzylidene)-4-piperidone Curcuminoids with Improved Anticancer Activity. ChemMedChem 2018, 13, 1115–1123. [Google Scholar] [CrossRef] [PubMed]
- Hazafa, A.; Rehman, K.U.; Jahan, N.; Jabeen, Z. The Role of Polyphenol (Flavonoids) Compounds in the Treatment of Cancer Cells. Nutr. Cancer 2020, 72, 386–397. [Google Scholar] [CrossRef]
- Rahman, H.S. Preclinical Drug Discovery in Colorectal Cancer: A Focus on Natural Compounds. Curr. Drug Targets 2021, 22, 977–997. [Google Scholar] [CrossRef]
- Shafabakhsh, R.; Asemi, Z. Quercetin: A natural compound for ovarian cancer treatment. J. Ovarian. Res. 2019, 12, 55. [Google Scholar] [CrossRef]
- Zhu, Z.; Turak, A.; Aisa, H.A. Sesquiterpene lactones from Artemisia mongolica. Phytochemistry 2022, 199, 113158. [Google Scholar] [CrossRef] [PubMed]
- Laurella, L.C.; Mirakian, N.T.; Garcia, M.N.; Grasso, D.H.; Sulsen, V.P.; Papademetrio, D.L. Sesquiterpene Lactones as Promising Candidates for Cancer Therapy: Focus on Pancreatic Cancer. Molecules 2022, 27, 3492. [Google Scholar] [CrossRef] [PubMed]
- Kreuger, M.R.; Grootjans, S.; Biavatti, M.W.; Vandenabeele, P.; D’Herde, K. Sesquiterpene lactones as drugs with multiple targets in cancer treatment: Focus on parthenolide. Anticancer Drugs 2012, 23, 883–896. [Google Scholar] [CrossRef] [PubMed]
- Cheikh, I.A.; El-Baba, C.; Youssef, A.; Saliba, N.A.; Ghantous, A.; Darwiche, N. Lessons learned from the discovery and development of the sesquiterpene lactones in cancer therapy and prevention. Expert. Opin. Drug Discov. 2022, 17, 1377–1405. [Google Scholar] [CrossRef]
- Kim, D.Y.; Choi, B.Y. Costunolide-A Bioactive Sesquiterpene Lactone with Diverse Therapeutic Potential. Int. J. Mol. Sci. 2019, 20, 2926. [Google Scholar] [CrossRef] [PubMed]
- Huang, H.; Park, S.; Zhang, H.; Park, S.; Kwon, W.; Kim, E.; Zhang, X.; Jang, S.; Yoon, D.; Choi, S.K.; et al. Targeting AKT with costunolide suppresses the growth of colorectal cancer cells and induces apoptosis in vitro and in vivo. J. Exp. Clin. Cancer Res. 2021, 40, 114. [Google Scholar] [CrossRef]
- Wei, M.; Li, J.; Qiu, J.; Yan, Y.; Wang, H.; Wu, Z.; Liu, Y.; Shen, X.; Su, C.; Guo, Q.; et al. Costunolide induces apoptosis and inhibits migration and invasion in H1299 lung cancer cells. Oncol. Rep. 2020, 43, 1986–1994. [Google Scholar] [CrossRef] [PubMed]
- Yang, G.; Sheng, B.; Li, R.; Xu, Q.; Zhang, L.; Lu, Z. Dehydrocostus Lactone Induces Apoptosis and Cell Cycle Arrest through Regulation of JAK2/STAT3/PLK1 Signaling Pathway in Human Esophageal Squamous Cell Carcinoma Cells. Anticancer Agents Med. Chem. 2022, 22, 1742–1752. [Google Scholar] [CrossRef]
- Peng, Y.; Zhou, T.; Wang, S.; Bahetjan, Y.; Li, X.; Yang, X. Dehydrocostus lactone inhibits the proliferation of esophageal cancer cells in vivo and in vitro through ROS-mediated apoptosis and autophagy. Food Chem. Toxicol. 2022, 170, 113453. [Google Scholar] [CrossRef]
- Babaei, G.; Gholizadeh-Ghaleh Aziz, S.; Rajabi Bazl, M.; Khadem Ansari, M.H. A comprehensive review of anticancer mechanisms of action of Alantolactone. Biomed. Pharmacother. 2021, 136, 111231. [Google Scholar] [CrossRef] [PubMed]
- Cai, Y.; Gao, K.; Peng, B.; Xu, Z.; Peng, J.; Li, J.; Chen, X.; Zeng, S.; Hu, K.; Yan, Y. Alantolactone: A Natural Plant Extract as a Potential Therapeutic Agent for Cancer. Front. Pharmacol. 2021, 12, 781033. [Google Scholar] [CrossRef] [PubMed]
- Hu, Y.; Wen, Q.; Cai, Y.; Liu, Y.; Ma, W.; Li, Q.; Song, F.; Guo, Y.; Zhu, L.; Ge, J.; et al. Alantolactone induces concurrent apoptosis and GSDME-dependent pyroptosis of anaplastic thyroid cancer through ROS mitochondria-dependent caspase pathway. Phytomedicine 2023, 108, 154528. [Google Scholar] [CrossRef] [PubMed]
- Sztiller-Sikorska, M.; Czyz, M. Parthenolide as Cooperating Agent for Anti-Cancer Treatment of Various Malignancies. Pharmaceuticals 2020, 13, 194. [Google Scholar] [CrossRef] [PubMed]
- Nguyen, N.H.; Nguyen, M.T.; Little, P.J.; Do, A.T.; Tran, P.T.; Vo, X.N.; Do, B.H. Vernolide-A and Vernodaline: Sesquiterpene Lactones with Cytotoxicity against Cancer. J. Environ. Pathol. Toxicol. Oncol. 2020, 39, 299–308. [Google Scholar] [CrossRef] [PubMed]
- Lv, X.; Lin, Y.; Zhu, X.; Cai, X. Isoalantolactone suppresses gallbladder cancer progression via inhibiting the ERK signalling pathway. Pharm. Biol. 2023, 61, 556–567. [Google Scholar] [CrossRef] [PubMed]
- Hu, F.; Yang, P. Isoalantolactone exerts anticancer effects on human HEC-1-B endometrial cancer cells via induction of ROS mediated apoptosis and inhibition of MEK/ERK signalling pathway. Acta Biochim. Pol. 2022, 69, 453–458. [Google Scholar] [CrossRef] [PubMed]
- Li, J.; Zhu, P.; Chen, Y.; Zhang, S.; Zhang, Z.; Zhang, Z.; Wang, Y.; Jiang, X.; Lin, K.; Wu, W.; et al. Isoalantolactone Induces Cell Cycle Arrest, Apoptosis and Autophagy in Colorectal Cancer Cells. Front. Pharmacol. 2022, 13, 903599. [Google Scholar] [CrossRef] [PubMed]
- Wu, Z.C.; Hui, X.G.; Huo, L.; Sun, D.X.; Peng, W.; Zhang, Y.; Li, X.B.; Ma, T.; Li, W.H.; Liang, J.; et al. Antiproliferative effects of isoalantolactone in human liver cancer cells are mediated through caspase-dependent apoptosis, ROS generation, suppression of cell migration and invasion and targeting Ras/Raf/MEK signalling pathway. Acta Biochim. Pol. 2022, 69, 299–304. [Google Scholar] [CrossRef]
- Li, Z.; Qin, B.; Qi, X.; Mao, J.; Wu, D. Isoalantolactone induces apoptosis in human breast cancer cells via ROS-mediated mitochondrial pathway and downregulation of SIRT1. Arch. Pharm. Res. 2016, 39, 1441–1453. [Google Scholar] [CrossRef]
- Huang, H.; Li, P.; Ye, X.; Zhang, F.; Lin, Q.; Wu, K.; Chen, W. Isoalantolactone Increases the Sensitivity of Prostate Cancer Cells to Cisplatin Treatment by Inducing Oxidative Stress. Front. Cell Dev. Biol. 2021, 9, 632779. [Google Scholar] [CrossRef]
- Chun, J. Isoalantolactone Suppresses Glycolysis and Resensitizes Cisplatin-Based Chemotherapy in Cisplatin-Resistant Ovarian Cancer Cells. Int. J. Mol. Sci. 2023, 24, 12397. [Google Scholar] [CrossRef]
- Wang, Z.; Hu, Q.; Chen, H.; Shi, L.; He, M.; Liu, H.; Li, T.; Lu, M.; Deng, M.; Luo, G. Inhibition of Growth of Esophageal Cancer by Alantolactone via Wnt/beta- Catenin Signaling. Anticancer Agents Med. Chem. 2021, 21, 2525–2535. [Google Scholar] [CrossRef] [PubMed]
- Nasirzadeh, M.; Atari Hajipirloo, S.; Gholizadeh-Ghaleh Aziz, S.; Rasmi, Y.; Babaei, G.; Alipour, S. Alantolactone triggers oxeiptosis in human ovarian cancer cells via Nrf2 signaling pathway. Biochem. Biophys. Rep. 2023, 35, 101537. [Google Scholar] [CrossRef]
- He, Y.; Cao, X.; Kong, Y.; Wang, S.; Xia, Y.; Bi, R.; Liu, J. Apoptosis-promoting and migration-suppressing effect of alantolactone on gastric cancer cell lines BGC-823 and SGC-7901 via regulating p38MAPK and NF-kappaB pathways. Hum. Exp. Toxicol. 2019, 38, 1132–1144. [Google Scholar] [CrossRef]
- Ren, Y.; Lv, C.; Zhang, J.; Zhang, B.; Yue, B.; Luo, X.; Yu, Z.; Wang, H.; Ren, J.; Wang, Z.; et al. Alantolactone exhibits antiproliferative and apoptosis-promoting properties in colon cancer model via activation of the MAPK-JNK/c-Jun signaling pathway. Mol. Cell Biochem. 2021, 476, 4387–4403. [Google Scholar] [CrossRef]
- Kim, E.J.; Hong, J.E.; Lim, S.S.; Kwon, G.T.; Kim, J.; Kim, J.S.; Lee, K.W.; Park, J.H. The hexane extract of Saussurea lappa and its active principle, dehydrocostus lactone, inhibit prostate cancer cell migration. J. Med. Food 2012, 15, 24–32. [Google Scholar] [CrossRef] [PubMed]
- Wan, M.; Dai, J.; Gan, A.; Wang, J.; Lin, F.; Zhang, X.; Lv, X.; Wu, B.; Yan, T.; Jia, Y. A network pharmacology approach to investigate dehydrocostus lactone inhibits the proliferation and epithelial-mesenchymal transition of human gastric cancer cells via regulating the PI3K/Akt and extracellular signal-regulated kinases/mitogen-activated protein kinase signalling pathways. J. Pharm. Pharmacol. 2023, 75, 1344–1356. [Google Scholar] [PubMed]
- Long, H.Y.; Huang, Q.X.; Yu, Y.Y.; Zhang, Z.B.; Yao, Z.W.; Chen, H.B.; Feng, J.W. Dehydrocostus lactone inhibits in vitro gastrinoma cancer cell growth through apoptosis induction, sub-G1 cell cycle arrest, DNA damage and loss of mitochondrial membrane potential. Arch. Med. Sci. 2019, 15, 765–773. [Google Scholar] [CrossRef]
- Guo, H.Y.; Chen, Z.A.; Shen, Q.K.; Quan, Z.S. Application of triazoles in the structural modification of natural products. J. Enzyme. Inhib. Med. Chem. 2021, 36, 1115–1144. [Google Scholar] [CrossRef]
- Kolb, H.C.; Sharpless, K.B. The growing impact of click chemistry on drug discovery. Drug Discov. Today 2003, 8, 1128–1137. [Google Scholar] [CrossRef] [PubMed]
- Neganova, M.E.; Smirnova, E.V.; Sharova, E.V.; Artyushin, O.I.; Aleksandrova, Y.R.; Yandulova, E.Y.; Nikolaeva, N.S.; Brel, V.K. Design of Conjugates Based on Sesquiterpene Lactones with Polyalkoxybenzenes by “Click” Chemistry to Create Potential Anticancer Agents. Molecules 2022, 27, 8411. [Google Scholar] [CrossRef] [PubMed]
- Sokolova, A.S.; Yarovaya, O.I.; Artyushin, O.I.; Sharova, E.V.; Baev, D.S.; Mordvinova, E.D.; Shcherbakov, D.N.; Shnaider, T.A.; Nikitina, T.V.; Esaulkova, I.L.; et al. Design, synthesis and antiviral evaluation of novel conjugates of the 1,7,7-trimethylbicyclo[2.2.1]heptane scaffold and saturated N-heterocycles via 1,2,3-triazole linker. Arch. Pharm. 2024, 357, e2300549. [Google Scholar] [CrossRef] [PubMed]
- Artyushin, O.I.; Moiseeva, A.A.; Zarubaev, V.V.; Slita, A.V.; Galochkina, A.V.; Muryleva, A.A.; Borisevich, S.S.; Yarovaya, O.I.; Salakhutdinov, N.F.; Brel, V.K. Synthesis of Camphecene and Cytisine Conjugates Using Click Chemistry Methodology and Study of Their Antiviral Activity. Chem. Biodivers 2019, 16, e1900340. [Google Scholar] [CrossRef] [PubMed]
- Hou, J.; Liu, X.; Shen, J.; Zhao, G.; Wang, P.G. The impact of click chemistry in medicinal chemistry. Expert Opin. Drug Discov. 2012, 7, 489–501. [Google Scholar] [CrossRef] [PubMed]
- Jha, A.; Duffield, K.M.; Ness, M.R.; Ravoori, S.; Andrews, G.; Bhullar, K.S.; Rupasinghe, H.P.; Balzarini, J. Curcumin-inspired cytotoxic 3,5-bis(arylmethylene)-1-(N-(ortho-substituted aryl)maleamoyl)-4-piperidones: A novel group of topoisomerase II alpha inhibitors. Bioorg. Med. Chem. 2015, 23, 6404–6417. [Google Scholar] [CrossRef]
- Adekenov, S.; Spiwok, V.; Beutler, J.; Maslova, O.; Rakhimov, K. Cytotoxicity and Antitumor Activity of Arglabin and its Derivatives. Open Access Maced. J. Med. Sci. 2023, 11, 412–420. [Google Scholar] [CrossRef] [PubMed]
- Giordano, A.; Tommonaro, G. Curcumin and Cancer. Nutrients 2019, 11, 2376. [Google Scholar] [CrossRef] [PubMed]
- Liu, J.; Liu, M.; Wang, S.; He, Y.; Huo, Y.; Yang, Z.; Cao, X. Alantolactone induces apoptosis and suppresses migration in MCF-7 human breast cancer cells via the p38 MAPK, NF-kappaB and Nrf2 signaling pathways. Int. J. Mol. Med. 2018, 42, 1847–1856. [Google Scholar]
- Sun, X.; Xu, H.; Dai, T.; Xie, L.; Zhao, Q.; Hao, X.; Sun, Y.; Wang, X.; Jiang, N.; Sang, M. Alantolactone inhibits cervical cancer progression by downregulating BMI1. Sci. Rep. 2021, 11, 9251. [Google Scholar] [CrossRef]
- Kemboi, D.; Langat, M.K.; Siwe-Noundou, X.; Tshiwawa, T.; Krause, R.W.M.; Davison, C.; Smit, C.J.; de la Mare, J.A.; Tembu, V.J. 13-amino derivatives of dehydrocostus lactone display greatly enhanced selective toxicity against breast cancer cells and improved binding energies to protein kinases in silico. PLoS ONE 2022, 17, e0271389. [Google Scholar] [CrossRef] [PubMed]
- Liberti, M.V.; Locasale, J.W. The Warburg Effect: How Does it Benefit Cancer Cells? Trends Biochem. Sci. 2016, 41, 211–218. [Google Scholar] [CrossRef] [PubMed]
- Vaupel, P.; Multhoff, G. Revisiting the Warburg effect: Historical dogma versus current understanding. J. Physiol. 2021, 599, 1745–1757. [Google Scholar] [CrossRef]
- Zhang, Y.; Zhai, Z.; Duan, J.; Wang, X.; Zhong, J.; Wu, L.; Li, A.; Cao, M.; Wu, Y.; Shi, H.; et al. Lactate: The Mediator of Metabolism and Immunosuppression. Front. Endocrinol. 2022, 13, 901495. [Google Scholar] [CrossRef]
- Icard, P.; Shulman, S.; Farhat, D.; Steyaert, J.M.; Alifano, M.; Lincet, H. How the Warburg effect supports aggressiveness and drug resistance of cancer cells? Drug Resist. Updat. 2018, 38, 1–11. [Google Scholar] [CrossRef] [PubMed]
- Liu, S.; Li, Y.; Yuan, M.; Song, Q.; Liu, M. Correlation between the Warburg effect and progression of triple-negative breast cancer. Front. Oncol. 2022, 12, 1060495. [Google Scholar] [CrossRef] [PubMed]
- Nantasupha, C.; Thonusin, C.; Charoenkwan, K.; Chattipakorn, S.; Chattipakorn, N. Metabolic reprogramming in epithelial ovarian cancer. Am. J. Transl. Res. 2021, 13, 9950–9973. [Google Scholar] [PubMed]
- Duan, W.; Liu, W.; Xia, S.; Zhou, Y.; Tang, M.; Xu, M.; Lin, M.; Li, X.; Wang, Q. Warburg effect enhanced by AKR1B10 promotes acquired resistance to pemetrexed in lung cancer-derived brain metastasis. J. Transl. Med. 2023, 21, 547. [Google Scholar] [CrossRef] [PubMed]
- Yan, F.; Teng, Y.; Li, X.; Zhong, Y.; Li, C.; Yan, F.; He, X. Hypoxia promotes non-small cell lung cancer cell stemness, migration, and invasion via promoting glycolysis by lactylation of SOX9. Cancer Biol. Ther. 2024, 25, 2304161. [Google Scholar] [CrossRef]
- Li, Y.; Ma, H. circRNA PLOD2 promotes tumorigenesis and Warburg effect in colon cancer by the miR-513a-5p/SIX1/LDHA axis. Cell Cycle 2022, 21, 2484–2498. [Google Scholar] [CrossRef]
- Zhong, X.; He, X.; Wang, Y.; Hu, Z.; Huang, H.; Zhao, S.; Wei, P.; Li, D. Warburg effect in colorectal cancer: The emerging roles in tumor microenvironment and therapeutic implications. J. Hematol. Oncol. 2022, 15, 160. [Google Scholar] [CrossRef] [PubMed]
- Ma, S.; Lee, H.; Jo, W.Y.; Byun, Y.H.; Shin, K.W.; Choi, S.; Oh, H.; Park, C.K.; Park, H.P. The Warburg effect in patients with brain tumors: A comprehensive analysis of clinical significance. J. Neurooncol. 2023, 165, 219–226. [Google Scholar] [CrossRef] [PubMed]
- Jin, M.; Shi, L.; Wang, L.; Zhang, D.; Li, Y. Dihydroartemisinin enhances the anti-tumour effect of photodynamic therapy by targeting PKM2-mediated glycolysis in oesophageal cancer cell. J. Enzyme. Inhib. Med. Chem. 2024, 39, 2296695. [Google Scholar] [CrossRef]
- Zhu, S.; Guo, Y.; Zhang, X.; Liu, H.; Yin, M.; Chen, X.; Peng, C. Pyruvate kinase M2 (PKM2) in cancer and cancer therapeutics. Cancer Lett. 2021, 503, 240–248. [Google Scholar] [CrossRef] [PubMed]
- Dai, J.; Escara-Wilke, J.; Keller, J.M.; Jung, Y.; Taichman, R.S.; Pienta, K.J.; Keller, E.T. Primary prostate cancer educates bone stroma through exosomal pyruvate kinase M2 to promote bone metastasis. J. Exp. Med. 2019, 216, 2883–2899. [Google Scholar] [CrossRef] [PubMed]
- Guo, W.; Zhang, Z.; Li, G.; Lai, X.; Gu, R.; Xu, W.; Chen, H.; Xing, Z.; Chen, L.; Qian, J.; et al. Pyruvate Kinase M2 Promotes Prostate Cancer Metastasis Through Regulating ERK1/2-COX-2 Signaling. Front. Oncol. 2020, 10, 544288. [Google Scholar] [CrossRef] [PubMed]
- Li, H.; Xu, H.; Xing, R.; Pan, Y.; Li, W.; Cui, J.; Lu, Y. Pyruvate kinase M2 contributes to cell growth in gastric cancer via aerobic glycolysis. Pathol. Res. Pract. 2019, 215, 152409. [Google Scholar] [CrossRef] [PubMed]
- Yavuz, B.B.; Kilinc, F.; Kanyilmaz, G.; Aktan, M. Pyruvate kinase M2 (PKM-2) expression and prognostic significance in glioblastoma patients. J. Neurooncol. 2023, 165, 527–533. [Google Scholar] [CrossRef]
- Sun, X.; Wang, M.; Wang, M.; Yu, X.; Guo, J.; Sun, T.; Li, X.; Yao, L.; Dong, H.; Xu, Y. Metabolic Reprogramming in Triple-Negative Breast Cancer. Front. Oncol. 2020, 10, 428. [Google Scholar] [CrossRef]
- Semakov, A.V.; Klochkov, S.G. Methods of preparative isolation of isoalantholactone and alantholactone from elecampane root. Chem. Plant Raw Mater. 2020, 3, 145–154. [Google Scholar] [CrossRef]
- Semakov, A.V.; Anikina, L.V.; Klochkov, S.G. Synthesis and cytotoxic activity of the products of addition of thiophenol to sesquiterpene lactones. Russ. J. Bioorg. Chem. 2021, 47, 906–917. [Google Scholar] [CrossRef]
- Gregory, M.; Dandavati, A.; Lee, M.; Tzou, S.; Savagian, M.; Brien, K.A.; Satam, V.; Patil, P.; Lee, M. Synthesis, cytotoxicity, and structure–activity insight of NH- and N-methyl-3,5-bis-(arylidenyl)-4-piperidones. Med. Chem. Res. 2013, 22, 5588–5597. [Google Scholar]
- Aditama, R.; Eryanti, Y.; Mujahidin, D.; Syah, Y.M.; Hertadi, R. Determination of activities of human carbonic anhydrase II inhibitors from curcumin analogs. Trop. J. Pharm. Res. 2017, 16, 849–854. [Google Scholar] [CrossRef]
- Tanbin, S.; Ahmad Fuad, F.A.; Abdul Hamid, A.A. Virtual Screening for Potential Inhibitors of Human Hexokinase II for the Development of Anti-Dengue Therapeutics. BioTech 2020, 10, 1. [Google Scholar] [CrossRef] [PubMed]
- Nawaz, M.H.; Ferreira, J.C.; Nedyalkova, L.; Zhu, H.; Carrasco-Lopez, C.; Kirmizialtin, S.; Rabeh, W.M. The catalytic inactivation of the N-half of human hexokinase 2 and structural and biochemical characterization of its mitochondrial conformation. Biosci. Rep. 2018, 38, BSR20171666. [Google Scholar] [CrossRef] [PubMed]
- Lee, Y.H.; Li, Y.; Uyeda, K.; Hasemann, C.A. Tissue-specific structure/function differentiation of the liver isoform of 6-phosphofructo-2-kinase/fructose-2,6-bisphosphatase. J. Biol. Chem. 2003, 278, 523–530. [Google Scholar] [CrossRef]
- Nandi, S.; Dey, M. Biochemical and structural insights into how amino acids regulate pyruvate kinase muscle isoform 2. J. Biol. Chem. 2020, 295, 5390–5403. [Google Scholar] [CrossRef]
Disclaimer/Publisher’s Note: The statements, opinions and data contained in all publications are solely those of the individual author(s) and contributor(s) and not of MDPI and/or the editor(s). MDPI and/or the editor(s) disclaim responsibility for any injury to people or property resulting from any ideas, methods, instructions or products referred to in the content. |
© 2024 by the authors. Licensee MDPI, Basel, Switzerland. This article is an open access article distributed under the terms and conditions of the Creative Commons Attribution (CC BY) license (https://creativecommons.org/licenses/by/4.0/).






