Photocatalytic Degradation of Naproxen: Intermediates and Total Reaction Mechanism
Abstract
1. Introduction
2. Results and Discussion
2.1. Naproxen Adsorption Studies
2.2. Investigation of NPX Photochemical and Photocatalytic Degradation by HPLC and TOC
2.3. UV–Vis Spectroscopy Studies
2.4. IR Spectroscopy Studies about Photocatalytic Degradation of NPX and Intermediate Compounds
2.5. Studies on pH on NPX Photocatalytic Degradation
2.6. 1H NMR Studies on NPX Photocatalytic Degradation
2.7. Studies on Photochemical and Photocatalytic Degradation of NPX Using HPLC, HPLC-MS, and Direct MS
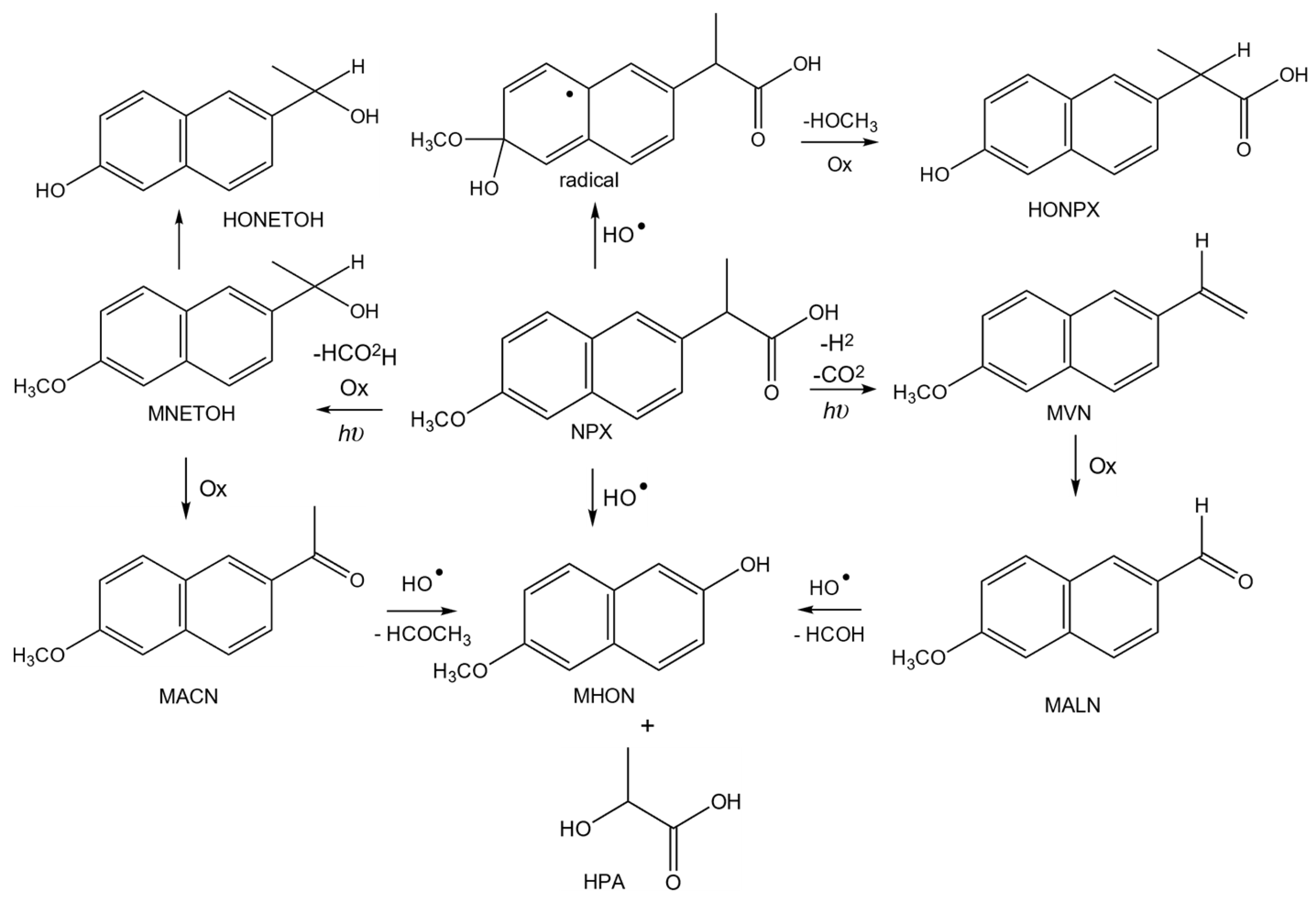
2.8. Intermediates and Total Degradation Mechanisms for NPX
3. Materials and Methods
3.1. Materials
3.2. Photocatalytic Reactor System
3.3. Adsorption Experiments
3.4. Photochemical and Photocatalytic Degradation Experiments
3.5. Product Studies
3.6. Analytical Methods
4. Conclusions
Supplementary Materials
Author Contributions
Funding
Institutional Review Board Statement
Informed Consent Statement
Data Availability Statement
Acknowledgments
Conflicts of Interest
References
- Patel, M.; Kumar, R.; Kishor, K.; Mlsna, T.; Pittman, C.U.; Mohan, D. Pharmaceuticals of Emerging Concern in Aquatic Systems: Chemistry, Occurrence, Effects, and Removal Methods. Chem. Rev. 2019, 119, 3510–3673. [Google Scholar] [CrossRef] [PubMed]
- de Oliveira, M.; Frihling, B.E.F.; Velasques, J.; Filho, F.J.C.M.; Cavalheri, P.S.; Migliolo, L. Pharmaceuticals Residues and Xenobiotics Contaminants: Occurrence, Analytical Techniques and Sustainable Alternatives for Wastewater Treatment. Sci. Total Environ. 2020, 705, 135568. [Google Scholar] [CrossRef] [PubMed]
- Bermúdez, L.A.; Pascual, J.M.; Martínez, M.d.M.M.; Poyatos Capilla, J.M. Effectiveness of Advanced Oxidation Processes in Wastewater Treatment: State of the Art. Water 2021, 13, 2094. [Google Scholar] [CrossRef]
- Pérez-Alvarez, I.; Islas-Flores, H.; Gómez-Oliván, L.M.; Barceló, D.; López De Alda, M.; Pérez Solsona, S.; Sánchez-Aceves, L.; SanJuan-Reyes, N.; Galar-Martínez, M. Determination of Metals and Pharmaceutical Compounds Released in Hospital Wastewater from Toluca, Mexico, and Evaluation of Their Toxic Impact. Environ. Pollut. 2018, 240, 330–341. [Google Scholar] [CrossRef] [PubMed]
- Obimakinde, S.; Fatoki, O.; Opeolu, B.; Olatunji, O. Veterinary Pharmaceuticals in Aqueous Systems and Associated Effects: An Update. Environ. Sci. Pollut. Res. 2017, 24, 3274–3297. [Google Scholar] [CrossRef] [PubMed]
- Sodré, F.F.; Dutra, P.M.; Dos Santos, V.P. Pharmaceuticals and Personal Care Products as Emerging Micropollutants in Brazilian Surface Waters: A Preliminary Snapshot on Environmental Contamination and Risks. Eclet. Quim. 2018, 43, 22. [Google Scholar] [CrossRef]
- Fu, Q.; Malchi, T.; Carter, L.J.; Li, H.; Gan, J.; Chefetz, B. Pharmaceutical and Personal Care Proucts: From Wastewater Treatment into Agro-Foo Systems. Environ. Sci. Technol. 2019, 53, 14083–14090. [Google Scholar] [CrossRef] [PubMed]
- Salimi, M.; Esrafili, A.; Gholami, M.; Jonidi Jafari, A.; Rezaei Kalantary, R.; Farzadkia, M.; Kermani, M.; Sobhi, H.R. Contaminants of Emerging Concern: A Review of New Approach in AOP Technologies. Environ. Monit. Assess. 2017, 189, 414. [Google Scholar] [CrossRef]
- Félix-Cañedo, T.E.; Durán-Álvarez, J.C.; Jiménez-Cisneros, B. The Occurrence and Distribution of a Group of Organic Micropollutants in Mexico City’s Water Sources. Sci. Total Environ. 2013, 454–455, 109–118. [Google Scholar] [CrossRef]
- Robledo Zacarías, V.H.; Velázquez Machuca, M.A.; Montañez Soto, J.L.; Pimentel Equihua, J.L.; Vallejo Cardona, A.A.; López Calvillo, M.D.; Venegas González, J. Hidroquímica y Contaminates Emergentes En Aguas Residuales Urbano Industriales de Morelia, Michoacán, México. Rev. Int. Contam. Ambient. 2017, 33, 221–235. [Google Scholar] [CrossRef]
- Prado, B.; Rodríguez-Varela, M.; Castro-Gutiérrez, J.A. Chapter 11—Occurrence of Pharmaceutical Residues in Marine Sediments. In Estuarine and Coastal Sciences Series, Pharmaceuticals in Marine and Coastal Environments; Elsevier: Amsterdam, The Netherlands, 2021; Volume 1, pp. 351–377. ISBN 9780081029718. [Google Scholar]
- Biel-Maeso, M.; Corada-Fernández, C.; Lara-Martín, P.A. Monitoring the Occurrence of Pharmaceuticals in Soils Irrigated with Reclaimed Wastewater. Environ. Pollut. 2018, 235, 312–321. [Google Scholar] [CrossRef] [PubMed]
- CONAGUA Indicadores de La Calidad Del Agua Superficial y Subterránea. Available online: https://files.conagua.gob.mx/Ica20/Contenido/Documentos/PresentaciondeIndicadoresdelaCalidaddelAgua.pdf (accessed on 14 March 2023).
- Jallouli, N.; Elghniji, K.; Hentati, O.; Ribeiro, A.R.; Silva, A.M.T.; Ksibi, M. UV and Solar Photo-Degradation of Naproxen: TiO2 Catalyst Effect, Reaction Kinetics, Products Identification and Toxicity Assessment. J. Hazard. Mater. 2016, 304, 329–336. [Google Scholar] [CrossRef] [PubMed]
- Sandoval-González, A.; Robles, I.; Pineda-Arellano, C.A.; Martínez-Sánchez, C. Removal of Anti-Inflammatory Drugs Using Activated Carbon from Agro-Industrial Origin: Current Advances in Kinetics, Isotherms, and Thermodynamic Studies. J. Iran. Chem. Soc. 2022, 19, 4017–4033. [Google Scholar] [CrossRef]
- Méndez-Arriaga, F.; Esplugas, S.; Giménez, J. Photocatalytic Degradation of Non-Steroidal Anti-Inflammatory Drugs with TiO2 and Simulated Solar Irradiation. Water Res. 2008, 42, 585–594. [Google Scholar] [CrossRef] [PubMed]
- Runkel, R.; Chaplin, M.; Boost, G.; Segre, E.; Forchielli, E. Absorption, Distribution, Metabolism, and Excretion of Naproxen in Various Laboratory Animals and Human Subjects. J. Pharm. Sci. 1972, 61, 703–708. [Google Scholar] [CrossRef] [PubMed]
- DellaGreca, M.; Brigante, M.; Isidori, M.; Nardelli, A.; Previtera, L.; Rubino, M.; Temussi, F. Phototransformation and Ecotoxicity of the Drug Naproxen-Na. Environ. Chem. Lett. 2003, 1, 237–241. [Google Scholar] [CrossRef]
- Regmi, C.; Kshetri, Y.K.; Pandey, R.P.; Lee, S.W. Visible-Light-Driven S and W Co-Doped Dendritic BiVO4 for Efficient Photocatalytic Degradation of Naproxen and Its Mechanistic Analysis. Mol. Catal. 2018, 453, 149–160. [Google Scholar] [CrossRef]
- Taoufik, N.; Boumya, W.; Achak, M.; Sillanpää, M.; Barka, N. Comparative Overview of Advanced Oxidation Processes and Biological Approaches for the Removal Pharmaceuticals. J. Environ. Manag. 2021, 288, 112404. [Google Scholar] [CrossRef] [PubMed]
- Mansouri, F.; Chouchene, K.; Roche, N.; Ksibi, M. Removal of Pharmaceuticals from Water by Adsorption and Advanced Oxidation Processes: State of the Art and Trends. Appl. Sci. 2021, 11, 6659. [Google Scholar] [CrossRef]
- Isidori, M.; Lavorgna, M.; Nardelli, A.; Parrella, A.; Previtera, L.; Rubino, M. Ecotoxicity of Naproxen and Its Phototransformation Products. Sci. Total Environ. 2005, 348, 93–101. [Google Scholar] [CrossRef]
- Mafa, P.J.; Malefane, M.E.; Idris, A.O.; Liu, D.; Gui, J.; Mamba, B.B.; Kuvarega, A.T. Multi-Elemental Doped g-C3N4 with Enhanced Visible Light Photocatalytic Activity: Insight into Naproxen Degradation, Kinetics, Effect of Electrolytes, and Mechanism. Sep. Purif. Technol. 2022, 282, 120089. [Google Scholar] [CrossRef]
- González Peña, O.I.; López Zavala, M.A.; Cabral Ruelas, H. Pharmaceuticals Market, Consumption Trends and Disease Incidence Are Not Driving the Pharmaceutical Research on Water and Wastewater. Int. J. Environ. Res. Public Health 2021, 18, 2532. [Google Scholar] [CrossRef] [PubMed]
- Dey, S.; Bano, F.; Malik, A. Pharmaceuticals and Personal Care Product (PPCP) Contamination—A Global Discharge Inventory. In Pharmaceuticals and Personal Care Products: Waste Management and Treatment Technology; Elsevier: Amsterdam, The Netherlands, 2019; pp. 1–26. [Google Scholar]
- Krishnan, R.Y.; Manikandan, S.; Subbaiya, R.; Biruntha, M.; Govarthanan, M.; Karmegam, N. Removal of Emerging Micropollutants Originating from Pharmaceuticals and Personal Care Products (PPCPs) in Water and Wastewater by Advanced Oxidation Processes: A Review. Environ. Technol. Innov. 2021, 23, 101757. [Google Scholar] [CrossRef]
- Bora, L.V.; Mewada, R.K. Visible/Solar Light Active Photocatalysts for Organic Effluent Treatment: Fundamentals, Mechanisms and Parametric Review. Renew. Sustain. Energy Rev. 2017, 76, 1393–1421. [Google Scholar] [CrossRef]
- Moctezuma, E.; Leyva, E.; Aguilar, C.A.; Luna, R.A.; Montalvo, C. Photocatalytic Degradation of Paracetamol: Intermediates and Total Reaction Mechanism. J. Hazard. Mater. 2012, 243, 130–138. [Google Scholar] [CrossRef] [PubMed]
- Robertson, P.K.J.; Bahnemann, D.W.; Robertson, J.M.C.; Wood, F. Photocatalytic Detoxification of Water and Air. In Environmental Photochemistry Part II; Springer: Berlin/Heidelberg, Germany, 2005; pp. 367–423. [Google Scholar]
- Litter, M.I. Introduction to Photochemical Advanced Oxidation Processes for Water Treatment. In Environmental Photochemistry Part II; Springer: Berlin/Heidelberg, Germany, 2005; pp. 325–366. [Google Scholar]
- Lara-Pérez, C.; Leyva, E.; Zermeño, B.; Osorio, I.; Montalvo, C.; Moctezuma, E. Photocatalytic Degradation of Diclofenac Sodium Salt: Adsorption and Reaction Kinetic Studies. Environ. Earth Sci. 2020, 79, 277. [Google Scholar] [CrossRef]
- Acosta, I.; Moctezuma, E.; López de la O, K.; Leyva, E.; Zermeño, B. Photocatalytic Degradation of High Concentration Aqueous Solutions of Ketoprofen: Adsorption, Reaction Kinetic and Product Studies. Top. Catal. 2022, 65, 1361–1372. [Google Scholar] [CrossRef]
- Herrmann, J.M. Photocatalysis Fundamentals Revisited to Avoid Several Misconceptions. Appl. Catal. B 2010, 99, 461–468. [Google Scholar] [CrossRef]
- Kanakaraju, D.; Glass, B.D.; Oelgemöller, M. Titanium Dioxide Photocatalysis for Pharmaceutical Wastewater Treatment. Environ. Chem. Lett. 2014, 12, 27–47. [Google Scholar] [CrossRef]
- Varma, K.S.; Tayade, R.J.; Shah, K.J.; Joshi, P.A.; Shukla, A.D.; Gandhi, V.G. Photocatalytic Degradation of Pharmaceutical and Pesticide Compounds (PPCs) Using Doped TiO2 Nanomaterials: A Review. Water-Energy Nexus 2020, 3, 46–61. [Google Scholar] [CrossRef]
- Canle, L.; Santaballa, J.A.; Vulliet, E. On the Mechanism of TiO2-Photocatalyzed Degradation of Aniline Derivatives. J. Photochem. Photobiol. A Chem. 2005, 175, 192–200. [Google Scholar] [CrossRef]
- Kanakaraju, D.; Motti, C.A.; Glass, B.D.; Oelgemöller, M. TiO2 Photocatalysis of Naproxen: Effect of the Water Matrix, Anions and Diclofenac on Degradation Rates. Chemosphere 2015, 139, 579–588. [Google Scholar] [CrossRef]
- Hinojosa-Reyes, M.; Camposeco-Solis, R.; Ruiz, F.; Rodríguez-González, V.; Moctezuma, E. Promotional Effect of Metal Doping on Nanostructured TiO2 during the Photocatalytic Degradation of 4-Chlorophenol and Naproxen Sodium as Pollutants. Mater. Sci. Semicond. Process. 2019, 100, 130–139. [Google Scholar] [CrossRef]
- Eslami, A.; Amini, M.M.; Asadi, A.; Safari, A.A.; Daglioglu, N. Photocatalytic Degradation of Ibuprofen and Naproxen in Water over NS-TiO2 Coating on Polycarbonate: Process Modeling and Intermediates Identification. Inorg. Chem. Commun. 2020, 115, 107888. [Google Scholar] [CrossRef]
- Kawabata, K.; Mizuta, Y.; Ishihara, K.; Takato, A.; Oshima, S.; Akimoto, S.; Inagaki, M.; Nishi, H. Structure Determination of Naproxen Photoproducts in the Tablet Generated by the UV Irradiation. Chromatography 2019, 40, 157–162. [Google Scholar] [CrossRef]
- Jung, S.-C.; Bang, H.-J.; Lee, H.; Kim, H.; Ha, H.-H.; Yu, Y.H.; Park, Y.-K. Degradation Behaviors of Naproxen by a Hybrid TiO2 Photocatalyst System with Process Components. Sci. Total Environ. 2020, 708, 135216. [Google Scholar] [CrossRef]
- Calza, P.; Pelizzetti, E. Photocatalytic Transformation of Organic Compounds in the Presence of Inorganic Ions. Pure Appl. Chem. 2001, 73, 1839–1848. [Google Scholar] [CrossRef]
- Ryu, J.; Choi, W. Substrate-Specific Photocatalytic Activities of TiO2 and Multiactivity Test for Water Treatment Application. Environ. Sci. Technol. 2008, 42, 294–300. [Google Scholar] [CrossRef] [PubMed]
- Hines, A.L.; Maddox, R.N. Mass Transfer: Fundamentals and Applications; Prentice Hall Inc.: Hoboken, NJ, USA, 1985. [Google Scholar]
- Fogler, H.S. Elements of Chemical Reaction Engineering, 4th ed.; Prentice-Hall Inc.: Hoboken, NJ, USA, 2006. [Google Scholar]
- Moctezuma, E.; Leyva, E.; López, M.; Pinedo, A.; Zermeño, B.; Serrano, B. Photocatalytic Degradation of Metoprolol Tartrate. Top. Catal. 2013, 56, 1875–1882. [Google Scholar] [CrossRef]
- Eslami, A.; Amini, M.M.; Yazdanbakhsh, A.R.; Mohseni-Bandpei, A.; Safari, A.A.; Asadi, A. N,S Co-Doped TiO2 Nanoparticles and Nanosheets in Simulated Solar Light for Photocatalytic Degradation of Non-Steroidal Anti-Inflammatory Drugs in Water: A Comparative Study. J. Chem. Technol. Biot. 2016, 91, 2693–2704. [Google Scholar] [CrossRef]
- Pavia, D.L.; Lampman, G.M.; Kriz, G.S.; Vyvyan, J.R. Introduction to Spectroscopy, 3rd ed.; Cengage, L., Ed.; Cengage Learning India Pvt. Ltd.: Delhi, India, 2015. [Google Scholar]
- Barazandeh, A.; Najafpour, G.D.; Alihosseini, A.; Kazemi, S.; Akhondi, E. Spectrophotometric Determination of Naproxen Using Chitosan Capped Silver Nanoparticles in Pharmaceutical Formulation. Int. J. Eng. 2021, 34, 1576–1585. [Google Scholar] [CrossRef]
- Zuberi, M.H.; Haroon, U.; BiBi, Y.; Mehmood, T.; Mehmood, I. Optimization of Quantitative Analysis of Naproxin Sodium Using UV Spectrophotometery in Different Solvent Mediums. Am. J. Anal. Chem. 2014, 5, 211–214. [Google Scholar] [CrossRef]
- Arany, E.; Szabó, R.K.; Apáti, L.; Alapi, T.; Ilisz, I.; Mazellier, P.; Dombi, A.; Gajda-Schrantz, K. Degradation of Naproxen by UV, VUV Photolysis and Their Combination. J. Hazard. Mater. 2013, 262, 151–157. [Google Scholar] [CrossRef]
- Lach, J.; Szymonik, A. Adsorption of Naproxen Sodium from Aqueous Solutions on Commercial Activated Carbons. J. Ecol. Eng. 2019, 20, 241–251. [Google Scholar] [CrossRef]
- Leyva, E.; Moctezuma, E.; López, M.; Baines, K.M.; Zermeño, B. Photocatalytic Degradation of β-Blockers in TiO2with Metoprolol as Model Compound. Intermediates and Total Reaction Mechanism. Catal. Today 2019, 323, 14–25. [Google Scholar] [CrossRef]
- Cazzaniga, N.; Varga, Z.; Nicol, E.; Bouchonnet, S. UV-Visible Photodegradation of Naproxen in Water – Structural Elucidation of Photoproducts and Potential Toxicity. Eur. J. Mass. Spectrom. 2020, 26, 400–408. [Google Scholar] [CrossRef] [PubMed]
- Meiggs, T.O.; Miller, S.I. Photolysis of Phenylacetic Acid and Methyl Phenylacetate in Methanol. J. Am. Chem. Soc. 1972, 94, 1989–1996. [Google Scholar] [CrossRef]
- Méndez-Arriaga, F.; Gimenez, J.; Esplugas, S. Photolysis and TiO2 Photocatalytic Treatment of Naproxen: Degradation, Mineralization, Intermediates and Toxicity. J. Adv. Oxid. Technol. 2008, 11, 435–444. [Google Scholar] [CrossRef]
- Theurich, J.; Bahnemann, D.W.; Vogel, R.; Ehamed, F.E.; Alhakimi, G.; Rajab, I. Photocatalytic Degradation of Naphthalene and Anthracene: GC-MS Analysis of the Degradation Pathway. Res. Chem. Intermed. 1997, 23, 247–274. [Google Scholar] [CrossRef]
- Li, X.; Cubbage, J.W.; Jenks, W.S. Photocatalytic Degradation of 4-Chlorophenol. 2. The 4-Chlorocatechol Pathway. J. Org. Chem. 1999, 64, 8525–8536. [Google Scholar] [CrossRef]
- Li, X.; Cubbage, J.W.; Tetzlaff, T.A.; Jenks, W.S. Photocatalytic Degradation of 4-Chlorophenol. 1. The Hydroquinone Pathway. J. Org. Chem. 1999, 64, 8509–8524. [Google Scholar] [CrossRef]
- Almquist, C.B.; Biswas, P. Role of Synthesis Method and Particle Size of Nanostructured TiO2 on Its Photoactivity. J. Catal. 2002, 212, 145–156. [Google Scholar] [CrossRef]
- Veronovski, N.; Andreozzi, P.; La Mesa, C.; Sfiligoj-Smole, M.; Ribitsch, V. Use of Gemini Surfactants to Stabilize TiO2 P25 Colloidal Dispersions. Colloid Polym. Sci. 2010, 288, 387–394. [Google Scholar] [CrossRef]
- Amemiya, S. Titanium Oxide Photocatalysts. Three Bond Tech. News 2004, 62, 1–8. [Google Scholar]
- Dong, S.; Feng, J.; Fan, M.; Pi, Y.; Hu, L.; Han, X.; Liu, M.; Sun, J.; Sun, J. Recent Developments in Heterogeneous Photocatalytic Water Treatment Using Visible Light-Responsive Photocatalysts: A Review. RSC Adv. 2015, 5, 14610–14630. [Google Scholar] [CrossRef]
- Collins-Martínez, V.; López Ortiz, A.; Aguilar Elguézabal, A. Influence of the Anatase/Rutile Ratio on the TiO2 Photocatalytic Activity for the Photodegradation of Light Hydrocarbons. Int. J. Chem. React. Eng. 2007, 5. [Google Scholar] [CrossRef]
- Moctezuma, E.; Leyva, E.; Palestino, G.; de Lasa, H. Photocatalytic Degradation of Methyl Parathion: Reaction Pathways and Intermediate Reaction Products. J. Photochem. Photobiol. A Chem. 2007, 186, 71–84. [Google Scholar] [CrossRef]
- Olvera, J. Degradación Fotocatalítica de Naproxeno Con TiO2 Evonik-P25 y Catalizadores Tipo Perovskita. Master’s Thesis, Universidad Autónoma de San Luis Potosí, San Luis Potosí, Mexico, 2018. [Google Scholar]
- Leyva, E.; Moctezuma, E.; Zamarripa, Z. Degradación Fotocatalítica de Soluciones de Alta Concentración de Paraquat. Rev. Int. Contam. Ambient. 2003, 19, 117–125. [Google Scholar]
















| NSAID | MW g mol−1 | pH of the Slurry | qm mMol g−1 | Keq mMol−1 |
|---|---|---|---|---|
| Naproxen sodium salt | 252.24 | 6.6 ± 0.1 | 0.0362 | 1.4707 |
| Ketoprofen | 254.28 | 6.3 ± 0.3 | 0.0672 | 1.7710 |
| Diclofenac sodium salt | 318.13 | 5.8 ± 0.1 | 0.04013 | 21.1401 |
| Compound | Signals Observed in the 1H NMR Spectra |
|---|---|
NPX![]() | d (ppm): 7.71 (d, 1H), 7.69 (d, 1H), 7.68 (s, 1H), 7.4 (dd, H), 7.14 (dd, 1H), 7.1 (d, 1H), 3.9 (s, 3H OCH3), 3.88 (q, 1H), 1.59 (d, 3H, CH3) |
MACN ketone![]() | d (ppm): 8.4 (s, 1H), 8.0 (dd, 1H), 7.86 (d, 1H), 7.77 (d, 1H), 7.2 (dd, 1 H), 7.16 (d, 1H), 3.95 (s, 3H OCH3), 2.7 (s, 3H, CH3) |
MNETOH alcohol![]() | d (ppm): 7.74 (d, 1H), 7.73 (s, 1H), 7.72 (d, 1H), 7.15 (dd, 1H), 7.13 (d, 1H), 5.039 (q, 1H), 3.92 (s, 3H, OCH3), 1.57 (d, 3H, CH3) |
HPA acid![]() | d (ppm): 12.86 (s, 1H, COOH), 4.7 (s, 1H) 4.3 (q, 1H), 1.38 (d, 3H, CH3) |
| Organic Compound | Retention Time (min) | MS Fragmentation Pattern |
|---|---|---|
| NPX | 4.87 | M + 1 = 231, 217, 199, 173, 155 |
| MACN | 7.35 | M + 1 = 201, 186, 157, 114, 99 |
| MALN | 4.1 | M + 1 = 186, 185, 170, 158, 114, 99 |
| MHON | 5.6 | M + 1 = 175, 158, 156, 143 |
| Organic Compound | Irradiation Time (min) | MS of Compound |
|---|---|---|
| NPX | 90, 120, 180 | M + 1 = 232 |
| HONPX | 90, 120, 180 | M + 1 = 217 |
| MACN | 90, 120, 180 | M + 1 = 201 |
| MALN | 90, 120, 180 | M + 1 = 186 |
| MHON | 90, 120, 180 | M + 1 = 164 |
| THON | 120, 180 | M + 1 = 192 |
| Chemical Structure | Compound | MW | Analytical Technique | Ref |
|---|---|---|---|---|
![]() | NPX | 230 | HPLC-MS, GC/MS, NMR | This study, [19,37,40,41,54,56] |
![]() | HONPX | 216 | HPLC-MS, GC/MS | This study, [19,37,41,54,56] |
![]() | MACN | 200 | HPLC-MS, GC/MS, NMR | This study, [14,18,22,40,41,54] |
![]() | MALN | 186 | HPLC-MS, GC/MS | This study |
![]() | MVN | 184 | HPLC-MS, NMR | [14,18,19,37,39,41,54] |
![]() | MNETOH | 202 | HPLC-MS, NMR | [14,18,22,37,40,54] |
![]() | HONETOH | 184 | HPLC-MS | [19] |
![]() | MHON | 174 | HPLC-MS, GC/MS | This study |
![]() | THON | 192 | GC/MS | This study |
![]() | PHON | 208 | HPLC-MS | [41] |
![]() | HPA | 90 | NMR | This study |
![]() | HOSA | 134 | HPLC-MS | [14] |
Disclaimer/Publisher’s Note: The statements, opinions and data contained in all publications are solely those of the individual author(s) and contributor(s) and not of MDPI and/or the editor(s). MDPI and/or the editor(s) disclaim responsibility for any injury to people or property resulting from any ideas, methods, instructions or products referred to in the content. |
© 2024 by the authors. Licensee MDPI, Basel, Switzerland. This article is an open access article distributed under the terms and conditions of the Creative Commons Attribution (CC BY) license (https://creativecommons.org/licenses/by/4.0/).
Share and Cite
González-Pereyra, D.; Acosta, I.; Zermeño, B.; Aguilar, J.; Leyva, E.; Moctezuma, E. Photocatalytic Degradation of Naproxen: Intermediates and Total Reaction Mechanism. Molecules 2024, 29, 2583. https://doi.org/10.3390/molecules29112583
González-Pereyra D, Acosta I, Zermeño B, Aguilar J, Leyva E, Moctezuma E. Photocatalytic Degradation of Naproxen: Intermediates and Total Reaction Mechanism. Molecules. 2024; 29(11):2583. https://doi.org/10.3390/molecules29112583
Chicago/Turabian StyleGonzález-Pereyra, Daniela, Ilse Acosta, Brenda Zermeño, Johana Aguilar, Elisa Leyva, and Edgar Moctezuma. 2024. "Photocatalytic Degradation of Naproxen: Intermediates and Total Reaction Mechanism" Molecules 29, no. 11: 2583. https://doi.org/10.3390/molecules29112583
APA StyleGonzález-Pereyra, D., Acosta, I., Zermeño, B., Aguilar, J., Leyva, E., & Moctezuma, E. (2024). Photocatalytic Degradation of Naproxen: Intermediates and Total Reaction Mechanism. Molecules, 29(11), 2583. https://doi.org/10.3390/molecules29112583
















