Graphene Oxide-Enhanced and Dynamically Crosslinked Bio-Elastomer for Poly(lactic acid) Modification
Abstract
1. Introduction
2. Results and Discussion
2.1. Preparation and Characterization of GO-Filled ESO Elastomer (GESO)
2.2. Preparation and Characterization of Toughened PLA-GESO Blends
SEM Characterization
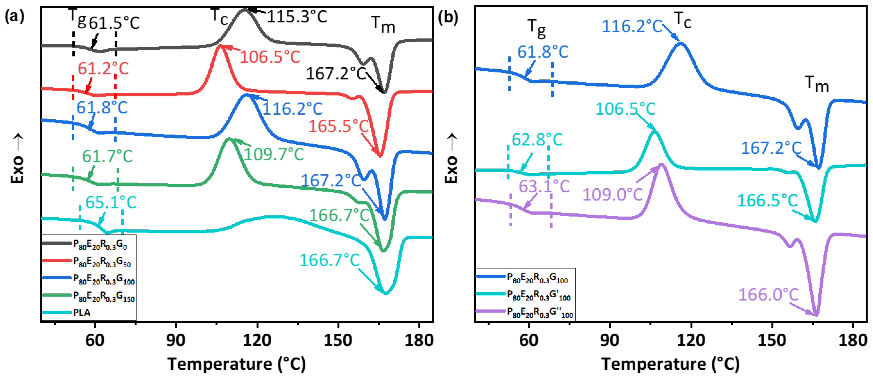
2.3. Thermal and Crystallization Behaviors of PLA-GESO Blends
2.4. Mechanical Properties and Toughening Mechanism of PLA-GESO Blends
2.4.1. Tensile Toughness Mechanism
2.4.2. Impact Toughening Mechanism
2.5. Shape Memory Properties of PLA-GESO Blends
2.6. Conductive Properties of PLA-GESO Blends
3. Materials and Methods
3.1. Materials
3.2. Preparation Methods
3.2.1. Dispersion of Graphene Oxide in Epoxidized Soybean Oil
3.2.2. Preparation of GO-Grafted Crosslinked ESO (GESO)
3.2.3. PLA Blending with GESO
3.3. Characterizations
3.3.1. Fourier Transform Infrared (FTIR)
3.3.2. Scanning Electron Microscopy (SEM)
3.3.3. X-ray Diffraction (XRD)
3.3.4. X-ray Photoelectron Spectroscopy (XPS)
3.3.5. Thermogravimetric Analysis (TG)
3.3.6. Differential Scanning Calorimeter (DSC)
3.3.7. Tensile Test
3.3.8. Impact Strength Test
3.3.9. Dynamic Mechanical Thermal Analysis (DMA)
3.3.10. Shape Memory Performance Test
3.3.11. Conductive Performance Test
4. Conclusions
Supplementary Materials
Author Contributions
Funding
Institutional Review Board Statement
Informed Consent Statement
Data Availability Statement
Conflicts of Interest
References
- Chen, X.; Zhang, R.; Mao, Y.; Zhong, L.; Lin, P.; Deng, Q.; Zheng, B.; Shen, H.; Feng, Z.; Zhang, H. Development of a toughened and antibacterial Poly(lactide acid) (PLA) with preserved strength by elemental sulfur-based bio-renewable dynamically crosslinked elastomers. Chem. Eng. J. 2023, 467, 143419. [Google Scholar] [CrossRef]
- Jaouadi, N.; Jaziri, M.; Maazouz, A.; Lamnawar, K. Biosourced Multiphase Systems Based on Poly(Lactic Acid) and Polyamide 11 from Blends to Multi-Micro/Nanolayer Polymers Fabricated with Forced-Assembly Multilayer Coextrusion. Int. J. Mol. Sci. 2023, 24, 16737. [Google Scholar] [CrossRef] [PubMed]
- Zhou, J.; Li, L.; Wang, D.; Wang, L.; Zhang, Y.; Feng, S. Study on Rapid Detection Method for Degradation Performance of Polyolefin-Based Degradable Plastics. Polymers 2022, 15, 183. [Google Scholar] [CrossRef] [PubMed]
- Lin, Y.; Kouznetsova, T.B.; Craig, S.L. Mechanically Gated Degradable Polymers. J. Am. Chem. Soc. 2020, 142, 2105–2109. [Google Scholar] [CrossRef] [PubMed]
- Li, G.; Zhao, M.; Xu, F.; Yang, B.; Li, X.; Meng, X.; Teng, L.; Sun, F.; Li, Y. Synthesis and Biological Application of Polylactic Acid. Molecules 2020, 25, 5023. [Google Scholar] [CrossRef] [PubMed]
- Polyák, P.; Nagy, K.; Vértessy, B.; Pukánszky, B. Self-regulating degradation technology for the biodegradation of poly(lactic acid). Environ. Technol. Innov. 2023, 29, 103000. [Google Scholar] [CrossRef]
- Qian, S.; Sheng, K. PLA toughened by bamboo cellulose nanowhiskers: Role of silane compatibilization on the PLA bionanocomposite properties. Compos. Sci. Technol. 2017, 148, 59–69. [Google Scholar] [CrossRef]
- Svatík, J.; Lepcio, P.; Ondreáš, F.; Zárybnická, K.; Zbončák, M.; Menčík, P.; Jančář, J. PLA toughening via bamboo-inspired 3D printed structural design. Polym. Test. 2021, 104, 107405. [Google Scholar] [CrossRef]
- Meekum, U.; Khiansanoi, A. PLA and two components silicon rubber blends aiming for frozen foods packaging applications. Results Phys. 2018, 8, 79–88. [Google Scholar] [CrossRef]
- Zhao, X.; Pelfrey, A.; Pellicciotti, A.; Koelling, K.; Vodovotz, Y. Synergistic effects of chain extenders and natural rubber on PLA thermal, rheological, mechanical and barrier properties. Polymer 2023, 269, 125712. [Google Scholar] [CrossRef]
- Liu, Y.; Cao, L.; Yuan, D.; Chen, Y. Design of super-tough co-continuous PLA/NR/SiO2 TPVs with balanced stiffness-toughness based on reinforced rubber and interfacial compatibilization. Compos. Sci. Technol. 2018, 165, 231–239. [Google Scholar] [CrossRef]
- Choo, J.E.; Park, T.H.; Jeon, S.M.; Hwang, S.W. The Effect of Epoxidized Soybean Oil on the Physical and Mechanical Properties of PLA/PBAT/PPC Blends by the Reactive Compatibilization. J. Polym. Environ. 2023, 31, 4007–4021. [Google Scholar] [CrossRef]
- Goswami, S.R.; Nair, S.S.; Zhang, X.; Tanguy, N.; Yan, N. Starch Maleate/Epoxidized Soybean Oil/Polylactic Acid Films with Improved Ductility and Biodegradation Potential for Packaging Fatty Foods. ACS Sustain. Chem. Eng. 2022, 10, 14185–14194. [Google Scholar] [CrossRef]
- Zhao, T.-H.; Yuan, W.-Q.; Li, Y.-D.; Weng, Y.-X.; Zeng, J.-B. Relating Chemical Structure to Toughness via Morphology Control in Fully Sustainable Sebacic Acid Cured Epoxidized Soybean Oil Toughened Polylactide Blends. Macromolecules 2018, 51, 2027–2037. [Google Scholar] [CrossRef]
- Sereikaite, V.; Navaruckiene, A.; Jaras, J.; Skliutas, E.; Ladika, D.; Gray, D.; Malinauskas, M.; Talacka, V.; Ostrauskaite, J. Functionalized Soybean Oil- and Vanillin-Based Dual Cure Photopolymerizable System for Light-Based 3D Structuring. Polymers 2022, 14, 5361. [Google Scholar] [CrossRef]
- Huang, H.-H.; Joshi, R.K.; De Silva, K.K.H.; Badam, R.; Yoshimura, M. Fabrication of reduced graphene oxide membranes for water desalination. J. Membr. Sci. 2019, 572, 12–19. [Google Scholar] [CrossRef]
- López-Polín, G.; Gómez-Navarro, C.; Parente, V.; Guinea, F.; Katsnelson, M.I.; Pérez-Murano, F.; Gómez-Herrero, J. Increasing the elastic modulus of graphene by controlled defect creation. Nat. Phys. 2014, 11, 26–31. [Google Scholar] [CrossRef]
- Park, S.-Y.; Gwak, E.-J.; Huang, M.; Ruoff, R.S.; Kim, J.-Y. Nanolaminate of metallic glass and graphene with enhanced elastic modulus, strength, and ductility in tension. Scr. Mater. 2017, 139, 63–66. [Google Scholar] [CrossRef]
- Ruciga, A.; Connell, J.G.; Dular, M.; Genorio, B. Influence of the ultrasound cavitation intensity on reduced graphene oxide functionalization. Ultrason. Sonochem. 2022, 90, 106212. [Google Scholar] [CrossRef]
- Rasuli, H.; Rasuli, R. Nanoparticle-decorated graphene/graphene oxide: Synthesis, properties and applications. J. Mater. Sci. 2023, 58, 2971–2992. [Google Scholar] [CrossRef]
- Fathalipour, S.; Mardi, M. Synthesis of silane ligand-modified graphene oxide and antibacterial activity of modified graphene-silver nanocomposite. Mater. Sci. Eng. C-Mater. 2017, 79, 55–65. [Google Scholar] [CrossRef] [PubMed]
- Jia, C.; Zhang, P.; Seraji, S.M.; Xie, R.; Chen, L.; Liu, D.; Xiong, Y.; Chen, H.; Fu, Y.; Xu, H.; et al. Effects of BN/GO on the recyclable, healable and thermal conductivity properties of ENR/PLA thermoplastic vulcanizates. Compos. Part A Appl. Sci. Manuf. 2021, 152, 106686. [Google Scholar] [CrossRef]
- Jiang, W.; Sun, C.; Zhang, Y.; Xie, Z.; Zhou, J.; Kang, J.; Cao, Y.; Xiang, M. Preparation of well-dispersed graphene oxide-silica nanohybrids/ poly(lactic acid) composites by melt mixing. Polym. Test. 2023, 118, 107912. [Google Scholar] [CrossRef]
- Zanjani, J.S.M.; Poudeh, L.H.; Ozunlu, B.G.; Yagci, Y.E.; Menceloglu, Y.; Okan, B.S. Development of waste tire-derived graphene reinforced polypropylene nanocomposites with controlled polymer grade, crystallization and mechanical characteristics via melt-mixing. Polym. Int. 2020, 69, 771–779. [Google Scholar] [CrossRef]
- de Leon, A.C.; Rodier, B.J.; Luo, Q.; Hemmingsen, C.M.; Wei, P.; Abbasi, K.; Advincula, R.; Pentzer, E.B. Distinct Chemical and Physical Properties of Janus Nanosheets. ACS Nano 2017, 11, 7485–7493. [Google Scholar] [CrossRef] [PubMed]
- Han, Y.; Shi, J.; Mao, L.; Wang, Z.; Zhang, L. Improvement of Compatibility and Mechanical Performances of PLA/PBAT Composites with Epoxidized Soybean Oil as Compatibilizer. Ind. Eng. Chem. Res. 2020, 59, 21779–21790. [Google Scholar] [CrossRef]
- Huang, Y.; Mueller, M.T.; Boldt, R.; Zschech, C.; Gohs, U.; Wiessner, S. Improved Rheology, Crystallization, and Mechanical Performance of PLA/mPCL Blends Prepared by Electron-Induced Reactive Processing. ACS Sustain. Chem. Eng. 2021, 9, 3478–3489. [Google Scholar] [CrossRef]
- Ghasemi, A.; Liao, Y.; Li, Z.; Xia, W.; Gao, W. Crystallization and melting of polymer chains on graphene and graphene oxide. Nanoscale 2023, 15, 12235–12244. [Google Scholar] [CrossRef] [PubMed]
- Van Goethem, C.; Mulunda, M.M.; Verbeke, R.; Koschine, T.; Wübbenhorst, M.; Zhang, Z.; Nies, E.; Dickmann, M.; Egger, W.; Vankelecom, I.F.J.; et al. Increasing Membrane Permeability by Increasing the Polymer Crystallinity: The Unique Case of Polythiophenes. Macromolecules 2018, 51, 9943–9950. [Google Scholar] [CrossRef]
- Son, S.Y.; Kim, Y.; Lee, J.; Lee, G.-Y.; Park, W.-T.; Noh, Y.-Y.; Park, C.E.; Park, T. High-Field-Effect Mobility of Low-Crystallinity Conjugated Polymers with Localized Aggregates. J. Am. Chem. Soc. 2016, 138, 8096–8103. [Google Scholar] [CrossRef]
- Liu, C.; Ye, S.; Feng, J. Promoting the dispersion of graphene and crystallization of poly (lactic acid) with a freezing-dried graphene/PEG masterbatch. Compos. Sci. Technol. 2017, 144, 215–222. [Google Scholar] [CrossRef]
- Yang, J.; Pruvost, S.; Livi, S.; Duchet-Rumeau, J. The Role of Fluorinated IL as an Interfacial Agent in P(VDF-CTFE)/Graphene Composite Films. Nanomaterials 2019, 9, 1181. [Google Scholar] [CrossRef] [PubMed]
- Dong, W.; He, M.; Wang, H.; Ren, F.; Zhang, J.; Zhao, X.; Li, Y. PLLA/ABS Blends Compatibilized by Reactive Comb Polymers: Double Tg Depression and Significantly Improved Toughness. ACS Sustain. Chem. Eng. 2015, 3, 2542–2550. [Google Scholar] [CrossRef]
- Liu, G.-C.; He, Y.-S.; Zeng, J.-B.; Li, Q.-T.; Wang, Y.-Z. Fully Biobased and Supertough Polylactide-Based Thermoplastic Vulcanizates Fabricated by Peroxide-Induced Dynamic Vulcanization and Interfacial Compatibilization. Biomacromolecules 2014, 15, 4260–4271. [Google Scholar] [CrossRef] [PubMed]
- Mauck, S.C.; Wang, S.; Ding, W.; Rohde, B.J.; Fortune, C.K.; Yang, G.; Ahn, S.-K.; Robertson, M.L. Biorenewable Tough Blends of Polylactide and Acrylated Epoxidized Soybean Oil Compatibilized by a Polylactide Star Polymer. Macromolecules 2016, 49, 1605–1615. [Google Scholar] [CrossRef]
- Qu, Y.; Chen, Y.; Ling, X.; Wu, J.; Hong, J.; Wang, H.; Li, Y. Reactive Micro-Crosslinked Elastomer for Supertoughened Polylactide. Macromolecules 2022, 55, 7711–7723. [Google Scholar] [CrossRef]
- Yan, B.; Gu, S.; Zhang, Y. Polylactide-based thermoplastic shape memory polymer nanocomposites. Eur. Polym. J. 2012, 49, 366–378. [Google Scholar] [CrossRef]
- Su, M.; Chen, X.; Zhang, L.; Min, J. Synthesis of Active Graphene with Para-Ester on Cotton Fabrics for Antistatic Properties. Nanomaterials 2020, 10, 1147. [Google Scholar] [CrossRef] [PubMed]
- Li, D.; Dong, L.; Chen, Y.; Luo, C.; Zhou, J.; Liu, G.; Ren, H. Thermally Conductive and Antistatic Properties of Silicone Rubber Reinforced by the Modified Graphene Oxide. Polymers 2022, 14, 4703. [Google Scholar] [CrossRef]
- Laureto, J.J.; Pearce, J.M. Anisotropic mechanical property variance between ASTM D638-14 type i and type iv fused filament fabricated specimens. Polym. Test. 2018, 68, 294–301. [Google Scholar] [CrossRef]
- Wu, Y.Q.; Li, X.G.; Li, H.; Cheng, F. Carboxylation Modification of Fiber Reclaimed from Old Newspapers and its Effects on Properties of the Reinforced Polylactic Acids Composites. Adv. Mater. Res. 2011, 201–203, 2858–2861. [Google Scholar] [CrossRef]
















| Sample | Tg (°C) | ΔHm (J/g) | ΔHc (J/g) | Xc (%) |
|---|---|---|---|---|
| PLA | 65.1 | 39.7 | 42.4 | |
| P80E20R0.3G0 | 61.5 | 29.5 | 28.3 | 39.3 |
| P80E20R0.3G50 | 61.2 | 34.6 | 32.5 | 46.1 |
| P80E20R0.3G100 | 61.8 | 40.8 | 39.4 | 54.4 |
| P80E20R0.3G150 | 61.7 | 40.8 | 38.6 | 54.4 |
| P80E20R0.3G’100 | 62.8 | 29.6 | 28.5 | 39.4 |
| P80E20R0.3G’’100 | 63.1 | 40.5 | 39.3 | 54.0 |
| Sample | T10 (°C) | T50 (°C) | Tmax (°C) |
|---|---|---|---|
| PLA | 328 | 357 | 375 |
| P80E20R0.3G0 | 303 | 352 | 382 |
| P80E20R0.3G50 | 302 | 354 | 383 |
| P80E20R0.3G100 | 302 | 352 | 383 |
| P80E20R0.3G150 | 302 | 351 | 383 |
| P80E20R0.3G’100 | 202 | 352 | 383 |
| P80E20R0.3G’’100 | 303 | 353 | 383 |
Disclaimer/Publisher’s Note: The statements, opinions and data contained in all publications are solely those of the individual author(s) and contributor(s) and not of MDPI and/or the editor(s). MDPI and/or the editor(s) disclaim responsibility for any injury to people or property resulting from any ideas, methods, instructions or products referred to in the content. |
© 2024 by the authors. Licensee MDPI, Basel, Switzerland. This article is an open access article distributed under the terms and conditions of the Creative Commons Attribution (CC BY) license (https://creativecommons.org/licenses/by/4.0/).
Share and Cite
Zhou, B.; Zheng, C.; Zhang, R.; Xue, S.; Zheng, B.; Shen, H.; Sheng, Y.; Zhang, H. Graphene Oxide-Enhanced and Dynamically Crosslinked Bio-Elastomer for Poly(lactic acid) Modification. Molecules 2024, 29, 2539. https://doi.org/10.3390/molecules29112539
Zhou B, Zheng C, Zhang R, Xue S, Zheng B, Shen H, Sheng Y, Zhang H. Graphene Oxide-Enhanced and Dynamically Crosslinked Bio-Elastomer for Poly(lactic acid) Modification. Molecules. 2024; 29(11):2539. https://doi.org/10.3390/molecules29112539
Chicago/Turabian StyleZhou, Bingnan, Cunai Zheng, Ruanquan Zhang, Shuyuan Xue, Botuo Zheng, Hang Shen, Yu Sheng, and Huagui Zhang. 2024. "Graphene Oxide-Enhanced and Dynamically Crosslinked Bio-Elastomer for Poly(lactic acid) Modification" Molecules 29, no. 11: 2539. https://doi.org/10.3390/molecules29112539
APA StyleZhou, B., Zheng, C., Zhang, R., Xue, S., Zheng, B., Shen, H., Sheng, Y., & Zhang, H. (2024). Graphene Oxide-Enhanced and Dynamically Crosslinked Bio-Elastomer for Poly(lactic acid) Modification. Molecules, 29(11), 2539. https://doi.org/10.3390/molecules29112539

