Stability of Bioactive Compounds and Antioxidant Activity in Rosehip Juice (Rosa spp.)
Abstract
1. Introduction
2. Results
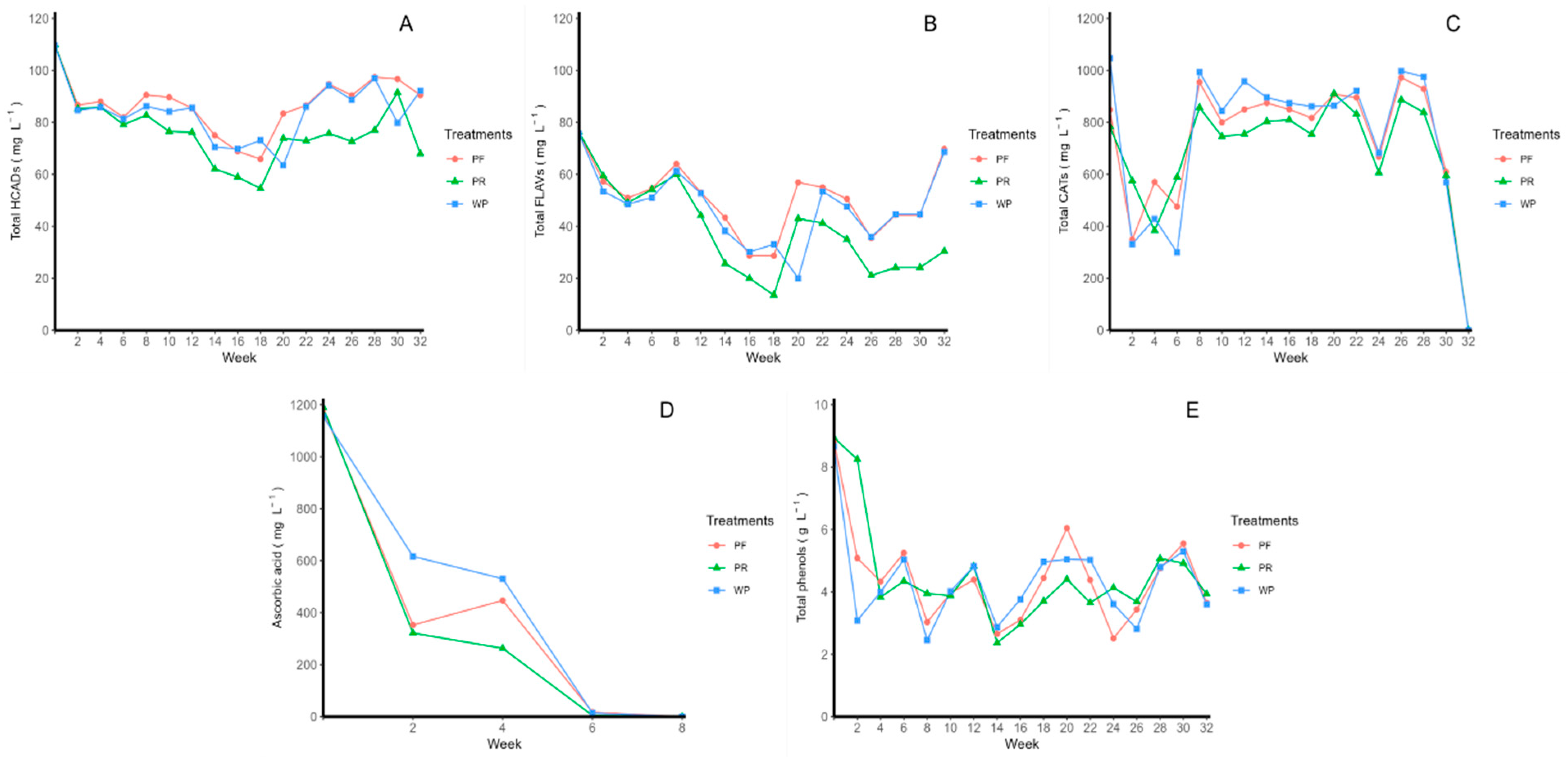
2.1. Profiles and Concentrations of Phenolic Compounds
2.2. Antioxidant Activity of Rosehip Fruits
2.3. Colour Determinations
2.4. Global Analysis
3. Discussion
4. Materials and Methods
4.1. Reagents
4.2. Sample Preparation
4.3. Determination of Phenolic Compounds by HPLC
4.4. Determination of Ascorbic Acid
4.5. Determination of Antioxidant Activity
4.6. Colour Parameters
4.7. Statistical Analysis
5. Conclusions
Supplementary Materials
Author Contributions
Funding
Institutional Review Board Statement
Informed Consent Statement
Data Availability Statement
Conflicts of Interest
References
- Lavefve, L.; Howard, L.R.; Carbonero, F. Berry Polyphenols Metabolism and Impact on Human Gut Microbiota and Health. Food Funct. 2020, 11, 45–65. [Google Scholar] [CrossRef] [PubMed]
- Oyarzún, P.; Cornejo, P.; Gómez-Alonso, S.; Ruiz, A. Influence of Profiles and Concentrations of Phenolic Compounds in the Coloration and Antioxidant Properties of Gaultheria poeppigii Fruits from Southern Chile. Plant Foods Hum. Nutr. 2020, 75, 532–539. [Google Scholar] [CrossRef]
- Poblete, P. Productos Forestales No Madereros, 42nd ed.; Instituto Forestal: Santiago, Chile, 2023. [Google Scholar]
- Fascella, G.; D’Angiolillo, F.; Mammano, M.M.; Amenta, M.; Romeo, F.V.; Rapisarda, P.; Ballistreri, G. Bioactive Compounds and Antioxidant Activity of Four Rose Hip Species from Spontaneous Sicilian Flora. Food Chem. 2019, 289, 56–64. [Google Scholar] [CrossRef] [PubMed]
- Fetni, S.; Bertella, N.; Ouahab, A. LC–DAD/ESI–MS/MS Characterization of Phenolic Constituents in Rosa canina L. and Its Protective Effect in Cells. Biomed. Chromatogr. 2020, 34, e4961. [Google Scholar] [CrossRef]
- Kayahan, S.; Ozdemir, Y.; Gulbag, F. Functional Compounds and Antioxidant Activity of Rosa Species Grown In Turkey. Erwerbs-Obstbau 2023, 65, 1079–1086. [Google Scholar] [CrossRef]
- Kerasioti, E.; Apostolou, A.; Kafantaris, I.; Chronis, K.; Kokka, E.; Dimitriadou, C.; Tzanetou, E.N.; Priftis, A.; Koulocheri, S.D.; Haroutounian, S.A.; et al. Polyphenolic Composition of Rosa canina, Rosa sempervivens and Pyrocantha coccinea Extracts and Assessment of Their Antioxidant Activity in Human Endothelial Cells. Antioxidants 2019, 8, 92. [Google Scholar] [CrossRef]
- Peña, F.; Valencia, S.; Tereucán, G.; Nahuelcura, J.; Jiménez-Aspee, F.; Cornejo, P.; Ruiz, A. Bioactive Compounds and Antioxidant Activity in the Fruit of Rosehip (Rosa canina L. and Rosa rubiginosa L.). Molecules 2023, 28, 3544. [Google Scholar] [CrossRef]
- Kizil, S.; Toncer, O.; Sogut, T. Mineral Content and Fatty Acid Compositions of Wild and Cultivated Rose Hip Mıneral Contents and Fatty Acid Composıtıons of Wild and Cultivated Rose Hip (Rosa canina L.). Fresenius Environ. Bull. 2018, 27, 744–748. [Google Scholar]
- Koç, A. Chemical Changes in Seeds and Fruits of Natural Growing Rosehip (Rosa Sp.) from Yozgat (Turkey). Acta Sci. Pol. Hortorum Cultus 2020, 19, 123–134. [Google Scholar] [CrossRef]
- Al-Yafeai, A.; Bellstedt, P.; Böhm, V. Bioactive Compounds and Antioxidant Capacity of Rosa rugosa Depending on Degree of Ripeness. Antioxidants 2018, 7, 134. [Google Scholar] [CrossRef]
- Dolek, U.; Gunes, M.; Genc, N.; Elmastas, M. Total Phenolic Compound and Antioxidant Activity Changes in Rosehip (Rosa Sp.) during Ripening. J. Agric. Sci. Technol. 2018, 20, 817–828. [Google Scholar]
- Shameh, S.; Alirezalu, A.; Hosseini, B.; Maleki, R. Fruit Phytochemical Composition and Color Parameters of 21 Accessions of Five Rosa Species Grown in North West Iran. J. Sci. Food Agric. 2019, 99, 5740–5751. [Google Scholar] [CrossRef] [PubMed]
- Bader Ul Ain, H.; Tufail, T.; Javed, M.; Tufail, T.; Arshad, M.U.; Hussain, M.; Gull Khan, S.; Bashir, S.; Al Jbawi, E.; Abdulaali Saewan, S. Phytochemical Profile and Pro-Healthy Properties of Berries. Int. J. Food Prop. 2022, 25, 1714–1735. [Google Scholar] [CrossRef]
- Luís, Â.; Sousa, S.; Duarte, A.P.; Pereira, L.; Domingues, F. Phytochemical Characterization, and Evaluation of Rheological and Antioxidant Properties of Commercially Available Juices of Berries. J. Berry Res. 2018, 8, 11–23. [Google Scholar] [CrossRef]
- Błaszczyk, A.; Sady, S.; Sielicka, M. The Stilbene Profile in Edible Berries. Phytochem. Rev. 2019, 18, 37–67. [Google Scholar] [CrossRef]
- Duan, Y.; Tarafdar, A.; Chaurasia, D.; Singh, A.; Bhargava, P.C.; Yang, J.; Li, Z.; Ni, X.; Tian, Y.; Li, H.; et al. Blueberry Fruit Valorization and Valuable Constituents: A Review. Int. J. Food Microbiol. 2022, 381, 109890. [Google Scholar] [CrossRef] [PubMed]
- Parveez, M.; Alibas, I. Food Bioscience Influence of the Drying Methods on Color, Vitamin C, Anthocyanin, Phenolic Compounds, Antioxidant Activity, and in Vitro Bioaccessibility of Blueberry Fruits. Food Biosci. 2021, 42, 101179. [Google Scholar]
- Habanova, M.; Saraiva, J.A.; Holovicova, M.; Moreira, S.A.; Fidalgo, L.G.; Haban, M.; Gazo, J.; Schwarzova, M.; Chlebo, P.; Bronkowska, M. Effect of Berries/Apple Mixed Juice Consumption on the Positive Modulation of Human Lipid Profile. J. Funct. Foods 2019, 60, 103417. [Google Scholar] [CrossRef]
- Huang, H.; Chen, G.; Liao, D.; Zhu, Y.; Xue, X. Effects of Berries Consumption on Cardiovascular Risk Factors: A Meta-Analysis with Trial Sequential Analysis of Randomized Controlled Trials. Sci. Rep. 2016, 6, 23625. [Google Scholar] [CrossRef]
- Yang, H.; Tian, T.; Wu, D.; Guo, D.; Lu, J. Prevention and Treatment Effects of Edible Berries for Three Deadly Diseases: Cardiovascular Disease, Cancer and Diabetes. Crit. Rev. Food Sci. Nutr. 2019, 59, 1903–1912. [Google Scholar] [CrossRef]
- Incorporación de La Rosa Mosqueta Variedad Canina y Productos Derivados de La Rosa Mosqueta. 01/04/2024. Available online: https://trazal.com.ar/incorporacion-de-la-rosa-mosqueta-variedad-canina-y-productos-derivados-de-la-rosa-mosqueta/ (accessed on 31 March 2024).
- Salinas, M.; Tapia, M.L.; Albornoz, F.; Cartes, F. Resultados y Lecciones de Cultivo de Rosa Mosqueta; Fundación para la Innovación Agraria, 20th ed.; Editor González, G., Ed.; Ograma Ltda: Providencia, Santiago, 2008. [Google Scholar]
- Özdemir, N.; Pashazadeh, H.; Zannou, O.; Koca, I. Phytochemical Content, and Antioxidant Activity, and Volatile Compounds Associated with the Aromatic Property, of the Vinegar Produced from Rosehip Fruit (Rosa canina L.). LWT Food Sci. Technol. 2022, 154, 112716. [Google Scholar] [CrossRef]
- Sahingil, D.; Hayaloglu, A.A. Enrichment of Antioxidant Activity, Phenolic Compounds, Volatile Composition and Sensory Properties of Yogurt with Rosehip (Rosa canina L.) Fortification. Int. J. Gastron. Food Sci. 2022, 28, 100514. [Google Scholar] [CrossRef]
- Yildiz, O.; Alpaslan, M. Properties of Rose Hip Marmalades. Food Technol. Biotechnol. 2012, 50, 98–106. [Google Scholar]
- Mandha, J.; Shumoy, H.; Matemu, A.O.; Raes, K. Characterization of Fruit Juices and Effect of Pasteurization and Storage Conditions on Their Microbial, Physicochemical, and Nutritional Quality. Food Biosci. 2023, 51, 102335. [Google Scholar] [CrossRef]
- Casati, C.B.; Sánchez, V.; Baeza, R.; Magnani, N.; Evelson, P.; Zamora, M.C. Relationships between Colour Parameters, Phenolic Content and Sensory Changes of Processed Blueberry, Elderberry and Blackcurrant Commercial Juices. Int. J. Food Sci. Technol. 2012, 47, 1728–1736. [Google Scholar] [CrossRef]
- Pan, Y.Z.; Guan, Y.; Wei, Z.F.; Peng, X.; Li, T.T.; Qi, X.L.; Zu, Y.G.; Fu, Y.J. Flavonoid C-Glycosides from Pigeon Pea Leaves as Color and Anthocyanin Stabilizing Agent in Blueberry Juice. Ind. Crops Prod. 2014, 58, 142–147. [Google Scholar] [CrossRef]
- Sójka, M.; Kołodziejczyk, K.; Milala, J. Polyphenolic and Basic Chemical Composition of Black Chokeberry Industrial By-Products. Ind. Crops Prod. 2013, 51, 77–86. [Google Scholar] [CrossRef]
- Zhang, M.Q.; Zhang, J.; Zhang, Y.T.; Sun, J.Y.; Prieto, M.A.; Simal-Gandara, J.; Putnik, P.; Li, N.Y.; Liu, C. The Link between the Phenolic Composition and the Antioxidant Activity in Different Small Berries: A Metabolomic Approach. LWT Food Sci. Technol. 2023, 182, 114853. [Google Scholar] [CrossRef]
- Salazar-Orbea, G.L.; García-Villalba, R.; Bernal, M.J.; Hernández-Jiménez, A.; Egea, J.A.; Tomás-Barberán, F.A.; Sánchez-Siles, L.M. Effect of Storage Conditions on the Stability of Polyphenols of Apple and Strawberry Purees Produced at Industrial Scale by Different Processing Techniques. J. Agric. Food Chem. 2023, 71, 2541–2553. [Google Scholar] [CrossRef]
- Cao, H.; Saroglu, O.; Karadag, A.; Diaconeasa, Z.; Zoccatelli, G.; Conte-Junior, C.A.; Gonzalez-Aguilar, G.A.; Ou, J.; Bai, W.; Zamarioli, C.M.; et al. Available Technologies on Improving the Stability of Polyphenols in Food Processing. Food Front. 2021, 2, 109–139. [Google Scholar] [CrossRef]
- Klimczak, I.; Małecka, M.; Szlachta, M.; Gliszczyńska-Świgło, A. Effect of Storage on the Content of Polyphenols, Vitamin C and the Antioxidant Activity of Orange Juices. J. Food Compos. Anal. 2007, 20, 313–322. [Google Scholar] [CrossRef]
- Yang, J.; Gadi, R.; Paulino, R.; Thomson, T. Total Phenolics, Ascorbic Acid, and Antioxidant Capacity of Noni (Morinda Citrifolia L.) Juice and Powder as Affected by Illumination during Storage. Food Chem. 2010, 122, 627–632. [Google Scholar] [CrossRef]
- Tereucan, G.; Ercoli, S.; Cornejo, P.; Winterhalter, P.; Contreras, B.; Ruiz, A. Stability of Antioxidant Compounds and Activities of a Natural Dye from Coloured-Flesh Potatoes in Dairy Foods. LWT Food Sci. Technol. 2021, 144, 111252. [Google Scholar] [CrossRef]
- Arts, I.C.W.; Van De Putte, B.; Hollman, P.C.H. Catechin Contents of Foods Commonly Consumed in The Netherlands. 2. Tea, Wine, Fruit Juices, and Chocolate Milk. J. Agric. Food Chem. 2000, 48, 1752–1757. [Google Scholar] [CrossRef] [PubMed]
- Nowak, D.; Gośliński, M.; Przygoński, K.; Wojtowicz, E. The Antioxidant Properties of Exotic Fruit Juices from Acai, Maqui Berry and Noni Berries. Eur. Food Res. Technol. 2018, 244, 1897–1905. [Google Scholar] [CrossRef]
- Bazinet, L.; Araya-Farias, M.; Doyen, A.; Trudel, D.; Têtu, B. Effect of Process Unit Operations and Long-Term Storage on Catechin Contents in EGCG-Enriched Tea Drink. Food Res. Int. 2010, 43, 1692–1701. [Google Scholar] [CrossRef]
- Su, Y.L.; Leung, L.K.; Huang, Y.; Chen, Z.Y. Stability of Tea Theaflavins and Catechins. Food Chem. 2003, 83, 189–195. [Google Scholar]
- Zeng, L.; Ma, M.; Li, C.; Luo, L. Stability of Tea Polyphenols Solution with Different PH at Different Temperatures. Int. J. Food Prop. 2017, 20, 1–18. [Google Scholar] [CrossRef]
- Nowak, D.; Gośliński, M.; Wojtowicz, E.; Przygoński, K. Antioxidant Properties and Phenolic Compounds of Vitamin C-Rich Juices. J. Food Sci. 2018, 83, 2237–2246. [Google Scholar] [CrossRef]
- Reque, P.M.; Steffens, R.S.; Jablonski, A.; Flores, S.H.; de Rios, O.A.; de Jong, E.V. Cold Storage of Blueberry (Vaccinium Spp.) Fruits and Juice: Anthocyanin Stability and Antioxidant Activity. J. Food Compos. Anal. 2014, 33, 111–116. [Google Scholar] [CrossRef]
- Yilmaz, Y.; Toledo, R. Antioxidant Activity of Water-Soluble Maillard Reaction Products. Food Chem. 2005, 93, 273–278. [Google Scholar] [CrossRef]
- Wrolstad, R.E.; Culver, C.A. Alternatives to Those Artificial FD & C Food Colorants. Annu. Rev. Food Sci. Technol. 2012, 3, 59–77. [Google Scholar] [PubMed]
- Swer, T.L.; Chauhan, K. Stability Studies of Enzyme Aided Anthocyanin Extracts from Prunus nepalensis L. LWT Food Sci. Technol. 2019, 102, 181–189. [Google Scholar] [CrossRef]
- Chen, J.; Du, J.; Li, M.; Li, C. Degradation Kinetics and Pathways of Red Raspberry Anthocyanins in Model and Juice Systems and Their Correlation with Color and Antioxidant Changes during Storage. LWT Food Sci. Technol. 2020, 128, 109448. [Google Scholar] [CrossRef]
- Ercoli, S.; Cartes, J.; Cornejo, P.; Tereucán, G.; Winterhalter, P.; Contreras, B.; Ruiz, A. Stability of Phenolic Compounds, Antioxidant Activity and Colour Parameters of a Coloured Extract Obtained from Coloured-Flesh Potatoes. LWT Food Sci. Technol. 2021, 136, 110370. [Google Scholar] [CrossRef]
- Zou, B.; Xu, Y.; Wu, J.; Yu, Y.; Xiao, G. Phenolic Compounds Participating in Mulberry Juice Sediment Formation during Storage. J. Zhejiang Univ. Sci. B 2017, 18, 854–866. [Google Scholar] [CrossRef] [PubMed]
- Nova-Baza, D.; Olivares-Caro, L.; Bustamante, L.; Pérez, A.J.; Vergara, C.; Fuentealba, J.; Mardones, C. Metabolic Profile and Antioxidant Capacity of Five Berberis Leaves Species: A Comprehensive Study to Determine Their Potential as Natural Food or Ingredient. Food Res. Int. 2022, 160, 111642. [Google Scholar] [CrossRef]
- Parada, J.; Valenzuela, T.; Gómez, F.; Tereucán, G.; García, S.; Cornejo, P.; Winterhalter, P.; Ruiz, A. Effect of Fertilization and Arbuscular Mycorrhizal Fungal Inoculation on Antioxidant Profiles and Activities in Fragaria ananassa Fruit. J. Sci. Food Agric. 2019, 99, 1397–1404. [Google Scholar] [CrossRef] [PubMed]
- Ou, B.; Chang, T.; Huang, D.; Prior, R.L. Determination of Total Antioxidant Capacity by Oxygen Radical Absorbance Capacity (ORAC) Using Fluorescein as the Fluorescence Probe: First Action 2012.23. J. AOAC Int. 2013, 96, 1372–1376. [Google Scholar] [CrossRef]
- Perez-Magariño, S.; Gonzalez-SanJose, M.L. Prediction of Red and Rosé Wine CIELab Parameters from Simple Absorbance Measurements. J. Sci. Food Agric. 2002, 82, 1319–1324. [Google Scholar] [CrossRef]
- Moser, P.; Telis, V.R.N.; de Andrade Neves, N.; García-Romero, E.; Gómez-Alonso, S.; Hermosín-Gutiérrez, I. Storage Stability of Phenolic Compounds in Powdered BRS Violeta Grape Juice Microencapsulated with Protein and Maltodextrin Blends. Food Chem. 2017, 214, 308–318. [Google Scholar] [CrossRef] [PubMed]
- Obón, J.M.; Castellar, M.R.; Alacid, M.; Fernández-López, J.A. Production of a Red-Purple Food Colorant from Opuntia Stricta Fruits by Spray Drying and Its Application in Food Model Systems. J. Food Eng. 2009, 90, 471–479. [Google Scholar] [CrossRef]




| Peak Number | tR (min) | Abbreviation | Tentative Identification | [M–H]− | Product Ions | ٨max (nm) |
|---|---|---|---|---|---|---|
| 1 | 4.5 | CAT | Catechin | 289.1 | - | 279 |
| 2 | 7.1 | HCAD | 5-Caffeoylquinic acid | 353.1 | 191.0 | 324 |
| 3 | 17.1 | FLAV1 | Quercetin-pentoside | 433.1 | 301.1 | - |
| 4 | 17.5 | FLAV2 | Quercetin-hexoside1 | 463.1 | 300.0 | 350 |
| 5 | 17.7 | FLAV3 | Quercetin-hexoside2 | 463.1 | 300.0 | 347 |
| 6 | 19.4 | FLAV4 | Quercetin-rhamnoside1 | 447.1 | - | 347 |
| 7 | 20.5 | FLAV5 | Quercetin-rhamnoside2 | 447.1 | - | - |
| Method | Standard | Equation | R2 | DL | QL | LR | CV% |
|---|---|---|---|---|---|---|---|
| Folin | Gallic acid | y = 0.0008x + 0.0374 | 0.9984 | 6.900 mg L−1 | 23.002 mg L−1 | 23.002– 500 mg L−1 | 1.03 |
| TEAC | Trolox | y = 0.4723x − 0.0632 | 0.9987 | 0.008 mmol L−1 | 0.029 mmol L−1 | 0.029–0.7 mmol L−1 | 1.23 |
| CUPRAC | Trolox | y = 2.792x + 0.1474 | 0.9934 | 0.026 mmol L−1 | 0.088 mmol L−1 | 0.088–0.7 mmol L−1 | 1.35 |
| DPPH | Trolox | y = 0.5935x + 0.0266 | 0.9946 | 0.046 mmol L−1 | 0.156 mmol L−1 | 0.156–0.7 mmol L−1 | 1.80 |
| ORAC | Trolox | y = 0.2925x + 4.962 | 0.9957 | 3.719 µmol L−1 | 12.398 µmol L−1 | 12.398–80 µmol L−1 | 1.09 |
| HPLC | Cyanidin-3-glucoside | y = 63289x + 3818.7 | 1 | 0.072 mg L−1 | 0.241 mg L−1 | 0.241–100 mg L−1 | 1.22 |
| Quercetin | y = 13318x − 1424.8 | 0.9999 | 0.10 mg L−1 | 0.34 mg L−1 | 0.34–100 mg L−1 | 4.41 | |
| 5-Caffeoylquinic acid | y = 73284x + 6553.5 | 1 | 0.42 mg L−1 | 140 mg L−1 | 0.140–100 mg L−1 | 0.46 | |
| Catechin | y = 57083x + 3800.6 | 1 | 0.067 mg L−1 | 0.224 mg L−1 | 0.224–100 mg L−1 | 0.11 |
Disclaimer/Publisher’s Note: The statements, opinions and data contained in all publications are solely those of the individual author(s) and contributor(s) and not of MDPI and/or the editor(s). MDPI and/or the editor(s) disclaim responsibility for any injury to people or property resulting from any ideas, methods, instructions or products referred to in the content. |
© 2024 by the authors. Licensee MDPI, Basel, Switzerland. This article is an open access article distributed under the terms and conditions of the Creative Commons Attribution (CC BY) license (https://creativecommons.org/licenses/by/4.0/).
Share and Cite
Peña, F.; González, F.; Jiménez-Aspee, F.; Bustamante, L.; Ruiz, A. Stability of Bioactive Compounds and Antioxidant Activity in Rosehip Juice (Rosa spp.). Molecules 2024, 29, 2448. https://doi.org/10.3390/molecules29112448
Peña F, González F, Jiménez-Aspee F, Bustamante L, Ruiz A. Stability of Bioactive Compounds and Antioxidant Activity in Rosehip Juice (Rosa spp.). Molecules. 2024; 29(11):2448. https://doi.org/10.3390/molecules29112448
Chicago/Turabian StylePeña, Fabiola, Felipe González, Felipe Jiménez-Aspee, Luis Bustamante, and Antonieta Ruiz. 2024. "Stability of Bioactive Compounds and Antioxidant Activity in Rosehip Juice (Rosa spp.)" Molecules 29, no. 11: 2448. https://doi.org/10.3390/molecules29112448
APA StylePeña, F., González, F., Jiménez-Aspee, F., Bustamante, L., & Ruiz, A. (2024). Stability of Bioactive Compounds and Antioxidant Activity in Rosehip Juice (Rosa spp.). Molecules, 29(11), 2448. https://doi.org/10.3390/molecules29112448

