A Novel Electrochemical Sensor Based on Pd Confined Mesoporous Carbon Hollow Nanospheres for the Sensitive Detection of Ascorbic Acid, Dopamine, and Uric Acid
Abstract
1. Introduction
2. Results and Discussion
2.1. Characterization of Pd/MCHS
2.2. Electrochemical Behavior of the Pd/MCHS/GCE Sensor
2.3. Optimization of Experimental Conditions
2.3.1. Effect of Different Buffer Solutions
2.3.2. Effect of pH
2.3.3. Effect of the Amount of Pd/MCHS
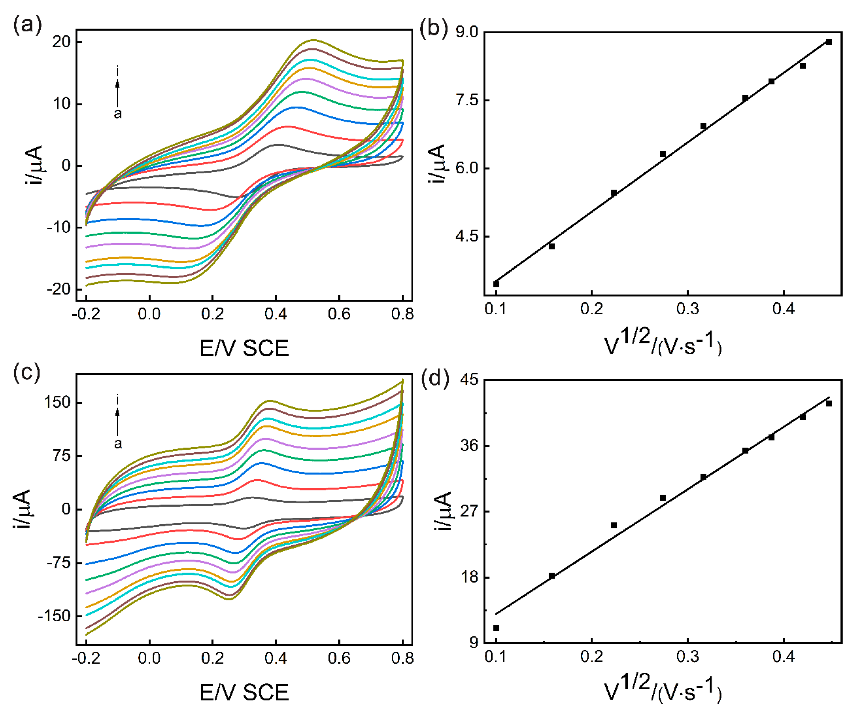
2.3.4. Effect of Scan Rate
2.3.5. Selection of Analytical Method
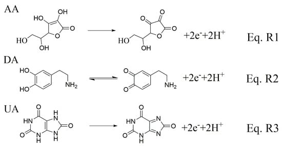
2.4. Individual and Simultaneous Determination of AA, DA, and UA
2.5. Reproducibility, Stability, and Anti-Interference Performance of Pd/MCHS/GCE Sensor
3. Experimental Section
3.1. Chemicals and Materials
3.2. Synthesis of Pd/MCHS Nanocomposite
3.3. Characterization and Electrochemical Methods
3.4. Analysis of Real Samples
3.5. Preparation of Modified Electrode
4. Conclusions
Author Contributions
Funding
Institutional Review Board Statement
Informed Consent Statement
Data Availability Statement
Acknowledgments
Conflicts of Interest
References
- Yang, L.; Wang, A.-J.; Weng, X.; Feng, J.-J. Well-dispersed strawberry-like PtCo nanocrystals/porous N-doped carbon nanospheres for multiplexed assays. Microchem. J. 2023, 187, 108421. [Google Scholar] [CrossRef]
- Wang, H.; Xie, A.; Li, S.; Wang, J.; Chen, K.; Su, Z.; Song, N.; Luo, S. Three-dimensional g-C3N4/MWNTs/GO hybrid electrode as electrochemical sensor for simultaneous determination of ascorbic acid, dopamine and uric acid. Anal. Chim. Acta 2022, 1211, 339907. [Google Scholar] [CrossRef] [PubMed]
- Wu, P.; Huang, Y.; Zhao, X.; Lin, D.; Xie, L.; Li, Z.; Zhu, Z.; Zhao, H.; Lan, M. MnFe2O4/MoS2 nanocomposite as Oxidase-like for electrochemical simultaneous detection of ascorbic acid, dopamine and uric acid. Microchem. J. 2022, 181, 107780. [Google Scholar] [CrossRef]
- Ma, C.; Xu, P.; Chen, H.; Cui, J.; Guo, M.; Zhao, J. An electrochemical sensor based on reduced graphene oxide/β-cyclodextrin/multiwall carbon nanotubes/polyoxometalate tetracomponent hybrid: Simultaneous determination of ascorbic acid, dopamine and uric acid. Microchem. J. 2022, 180, 107533. [Google Scholar] [CrossRef]
- Dinesh, B.; Vilian, A.T.E.; Kwak, C.H.; Huh, Y.S.; Saraswathi, R.; Han, Y.-K. The facile and simple synthesis of poly(3,4ethylenedioxythiophene) anchored reduced graphene oxide nanocomposite for biochemical analysis. Anal. Chim. Acta 2019, 1077, 150–159. [Google Scholar] [CrossRef] [PubMed]
- Shen, C.; Chen, Y.; Feng, B.; Chi, H.; Zhang, H. Polypyrrole hollow nanotubes loaded with Au and Fe3O4 nanoparticles for simultaneous determination of ascorbic acid, dopamine, and uric acid. Chem. Res. Chin. Univ. 2022, 38, 941–948. [Google Scholar] [CrossRef]
- Tchekep, A.G.K.; Suryanarayanan, V.; K Pattanayak, D. Alternative approach for highly sensitive and free-interference electrochemical dopamine sensing. Carbon 2023, 204, 57–69. [Google Scholar] [CrossRef]
- Thomas, J.; Anitha, P.K.; Thomas, T.; Thomas, N. BaZrO3 based non enzymatic single component single step ceramic electrochemical sensor for the picomolar detection of dopamine. Ceram. Int. 2022, 48, 7168–7182. [Google Scholar] [CrossRef]
- Chakkarapani, L.D.; Arumugam, S.; Brandl, M. Layer-by-layer sensor architecture of polymers and nanoparticles for electrochemical detection of uric acid in human urine samples. Mater. Today Chem. 2021, 22, 100561. [Google Scholar] [CrossRef]
- Sha, R.; Vishnu, N.; Badhulika, S. MoS2 based ultra-low-cost, flexible, non-enzymatic and non-invasive electrochemical sensor for highly selective detection of Uric acid in human urine samples. Sens. Actuators B Chem. 2019, 279, 53–60. [Google Scholar] [CrossRef]
- Wu, S.; Wang, H.; Zhao, B.; Cao, T.; Ma, J.; Liu, L.; Tong, Z. Construction of cationic polyfluorinated azobenzene/reduced graphene oxide for simultaneous determination of dopamine, uric acid and ascorbic acid. Talanta 2022, 237, 122986. [Google Scholar] [CrossRef] [PubMed]
- Zhang, H.; Liu, S. Electrochemical sensors based on nitrogen-doped reduced graphene oxide for the simultaneous detection of ascorbic acid, dopamine and uric acid. J. Alloys Compd. 2020, 842, 155873. [Google Scholar] [CrossRef]
- Zhu, Q.; Bao, J.; Huo, D.; Yang, M.; Hou, C.; Guo, J.; Chen, M.; Fa, H.; Luo, X.; Ma, Y. 3D Graphene hydrogel-gold nanoparticles nanocomposite modified glassy carbon electrode for the simultaneous determination of ascorbic acid, dopamine and uric acid. Sens. Actuators B Chem. 2017, 238, 1316–1323. [Google Scholar] [CrossRef]
- Kunpatee, K.; Traipop, S.; Chailapakul, O.; Chuanuwatanakul, S. Simultaneous determination of ascorbic acid, dopamine, and uric acid using graphene quantum dots/ionic liquid modified screen-printed carbon electrode. Sens. Actuators B Chem. 2020, 314, 128059. [Google Scholar] [CrossRef]
- Jothi, L.; Neogi, S.; Jaganathan, S.K.; Nageswaran, G. Simultaneous determination of ascorbic acid, dopamine and uric acid by a novel electrochemical sensor based on N2/Ar RF plasma assisted graphene nanosheets/graphene nanoribbons. Biosens. Bioelectron. 2018, 105, 236–242. [Google Scholar] [CrossRef] [PubMed]
- Peng, Y.; Shao, F.; Guo, K.; Zhuo, H.; Wang, Y.; Xie, X.; Tao, Y. SiQDs/Cu-β-CD nanoclusters: A fluorescence probe for the mutual non-interference detection of uric acid and l-cysteine under alkaline conditions. Inorg. Chem. Commun. 2022, 143, 109765. [Google Scholar] [CrossRef]
- Liu, X.; Yu, W.; Mu, X.; Zhang, W.; Wang, X.; Gu, Q. A fluorescence probe based on carbon dots for determination of dopamine utilizing its self-polymerization. Spectrochim. Acta Part A Mol. Biomol. Spectrosc. 2023, 287, 122112. [Google Scholar] [CrossRef]
- Chen, X.; Chen, J.; Wang, F.; Xiang, X.; Luo, M.; Ji, X.; He, Z. Determination of glucose and uric acid with bienzyme colorimetry on microfluidic paper-based analysis devices. Biosens. Bioelectron. 2012, 35, 363–368. [Google Scholar] [CrossRef] [PubMed]
- Porto, I.S.A.; Santos Neto, J.H.; dos Santos, L.O.; Gomes, A.A.; Ferreira, S.L.C. Determination of ascorbic acid in natural fruit juices using digital image colorimetry. Microchem. J. 2019, 149, 104031. [Google Scholar] [CrossRef]
- Wang, X.; Li, L.; Li, Z.; Wang, J.; Fu, H.; Chen, Z. Determination of ascorbic acid in individual liver cancer cells by capillary electrophoresis with a platinum nanoparticles modified electrode. J. Electroanal. Chem. 2014, 712, 139–145. [Google Scholar] [CrossRef]
- Costa, B.M.C.; Prado, A.A.; Oliveira, T.C.; Bressan, L.P.; Munoz, R.A.A.; Batista, A.D.; da Silva, J.A.F.; Richter, E.M. Fast methods for simultaneous determination of arginine, ascorbic acid and aspartic acid by capillary electrophoresis. Talanta 2019, 204, 353–358. [Google Scholar] [CrossRef] [PubMed]
- Kanďár, R.; Drábková, P.; Hampl, R. The determination of ascorbic acid and uric acid in human seminal plasma using an HPLC with UV detection. J. Chromatogr. B 2011, 879, 2834–2839. [Google Scholar] [CrossRef] [PubMed]
- Sun, C.-L.; Lai, S.-Y.; Tsai, K.-J.; Wang, J.; Zhou, J.; Chen, H.-Y. Application of nanoporous core-shell structured multi-walled carbon nanotube-graphene oxide nanoribbons in electrochemical biosensors. Microchem. J. 2022, 179, 107586. [Google Scholar] [CrossRef]
- Wang, Y.; Zhao, P.; Gao, B.; Yuan, M.; Yu, J.; Wang, Z.; Chen, X. Self-reduction of bimetallic nanoparticles on flexible MXene-graphene electrodes for simultaneous detection of ascorbic acid, dopamine, and uric acid. Microchem. J. 2023, 185, 108177. [Google Scholar] [CrossRef]
- Mahanthappa, M.; Duraisamy, V.; Arumugam, P.; Senthil Kumar, S.M. Simultaneous determination of ascorbic acid, dopamine, uric acid, and acetaminophen on N, P-doped hollow mesoporous carbon nanospheres. ACS Appl. Nano Mater. 2022, 5, 18417–18426. [Google Scholar] [CrossRef]
- Tang, T.; Zhou, M.; Lv, J.; Cheng, H.; Wang, H.; Qin, D.; Hu, G.; Liu, X. Sensitive and selective electrochemical determination of uric acid in urine based on ultrasmall iron oxide nanoparticles decorated urchin-like nitrogen-doped carbon. Colloids Surf. B Biointerfaces 2022, 216, 112538. [Google Scholar] [CrossRef] [PubMed]
- Feng, J.; Li, Q.; Cai, J.; Yang, T.; Chen, J.; Hou, X. Electrochemical detection mechanism of dopamine and uric acid on titanium nitride-reduced graphene oxide composite with and without ascorbic acid. Sens. Actuators B Chem. 2019, 298, 126872. [Google Scholar] [CrossRef]
- Lin, K.-C.; Tsai, T.-H.; Chen, S.-M. Performing enzyme-free H2O2 biosensor and simultaneous determination for AA, DA, and UA by MWCNT–PEDOT film. Biosens. Bioelectron. 2010, 26, 608–614. [Google Scholar] [CrossRef]
- Yang, G.; Kuwahara, Y.; Mori, K.; Louis, C.; Yamashita, H. Pd–Cu alloy nanoparticles confined within mesoporous hollow carbon spheres for the hydrogenation of CO2 to formate. J. Phys. Chem. C 2021, 125, 3961–3971. [Google Scholar] [CrossRef]
- Zheng, Y.; Chen, S.; Zhang, K.A.I.; Guan, J.; Yu, X.; Peng, W.; Song, H.; Zhu, J.; Xu, J.; Fan, X.; et al. Template-free construction of hollow mesoporous carbon spheres from a covalent triazine framework for enhanced oxygen electroreduction. J. Colloid Interface Sci. 2022, 608, 3168–3177. [Google Scholar] [CrossRef]
- Song, D.; An, S.; Lu, B.; Guo, Y.; Leng, J. Arylsulfonic acid functionalized hollow mesoporous carbon spheres for efficient conversion of levulinic acid or furfuryl alcohol to ethyl levulinate. Appl. Catal. B Environ. 2015, 179, 445–457. [Google Scholar] [CrossRef]
- Zhang, L.; Yu, X.; Lv, L.; Zhu, P.; Zhou, F.; Li, G.; Sun, R.; Wong, C. Ultrathin manganese dioxide nanosheets grown on mesoporous carbon hollow spheres for high performance asymmetrical supercapacitors. ACS Appl. Energy Mater. 2018, 1, 5402–5409. [Google Scholar] [CrossRef]
- Lin, Y.-S.; Lin, K.-S.; Mdlovu, N.V.; Kung, P.-Y.; Jeng, U.S. Thermal-/pH-triggered hollow mesoporous carbon nanocarrier for NIR-responsive drug release. Biomater. Adv. 2023, 151, 213477. [Google Scholar] [CrossRef] [PubMed]
- Wang, B.; Xia, Y.; Bai, J.; Yuan, G.; Ma, H. Facile synthesis of MoS2 confined in yolk-shell hollow mesoporous carbon spheres with enhanced polysulfide binding for high-rate Li-S batteries. J. Alloys Compd. 2024, 970, 172617. [Google Scholar] [CrossRef]
- Liu, P.; Liu, W.; Huang, Y.; Li, P.; Yan, J.; Liu, K. Mesoporous hollow carbon spheres boosted, integrated high performance aqueous Zn-Ion energy storage. Energy Storage Mater. 2020, 25, 858–865. [Google Scholar] [CrossRef]
- Wang, Z.; Zhao, H.; Chen, K.; Li, H.; Lan, M. Sandwich-type electrochemical aptasensor based on hollow mesoporous carbon spheres loaded with porous dendritic Pd@Pt nanoparticles as signal amplifier for ultrasensitive detection of cardiac troponin I. Anal. Chim. Acta 2021, 1188, 339202. [Google Scholar] [CrossRef] [PubMed]
- Baca, M.; Cendrowski, K.; Banach, P.; Michalkiewicz, B.; Mijowska, E.; Kalenczuk, R.J.; Zielinska, B. Effect of Pd loading on hydrogen storage properties of disordered mesoporous hollow carbon spheres. Int. J. Hydrogen Energy 2017, 42, 30461–30469. [Google Scholar] [CrossRef]
- Ahn, S.; Park, K.; Lee, K.R.; Haider, A.; Nguyen, C.V.; Jin, H.; Yoo, S.J.; Yoon, S.; Jung, K.-D. Atomically dispersed Ru(III) on N-doped mesoporous carbon hollow spheres as catalysts for CO2 hydrogenation to formate. Chem. Eng. J. 2022, 442, 136185. [Google Scholar] [CrossRef]
- Gai, H.-Y.; Wang, X.-K.; Huang, M.-H. Catalytic Activity Analysis of uniform palladium nanoparticles anchored on nitrogen-doped mesoporous carbon spheres for oxygen reduction reaction. Chin. J. Anal. Chem. 2021, 49, e21096–e21103. [Google Scholar] [CrossRef]
- Yang, C.; Li, K.; Wang, J.; Zhou, S. Selective hydrogenation of phenol to cyclohexanone over Pd nanoparticles encaged hollow mesoporous silica catalytic nanoreactors. Appl. Catal. A Gen. 2021, 610, 117961. [Google Scholar] [CrossRef]
- Dong, L.; Li, Y.; Li, J.; Guan, Y.; Chen, X.; Zhang, D.; Wang, Z. Mesoporous carbon hollow spheres encapsulated phase change material for efficient emulsification of high-viscosity oil. J. Hazard. Mater. 2023, 451, 131112. [Google Scholar] [CrossRef]
- Sun, S.; Zhang, Y.; Li, H. N-doped hollow carbon nanospheres anchored Pd NPs for mild selective hydrodeoxygenation of bio-models. Fuel 2023, 352, 128929. [Google Scholar] [CrossRef]
- Zhu, Y.; Wang, F.; Fan, M.; Zhu, Q.; Dong, Z. Ultrafine Pd nanoparticles immobilized on N-doped hollow carbon nanospheres with superior catalytic performance for the selective oxidation of 5-hydroxymethylfurfural and hydrogenation of nitroarenes. J. Colloid Interface Sci. 2019, 553, 588–597. [Google Scholar] [CrossRef]
- Song, Z.-Y.; Ma, Y.; Ye, J.-S. Electrochemical sensors for simultaneous determination of small biomolecules by 3D layered hollow honeycomb-like Ni-NiO@CPVP modified glassy carbon electrode. Chin. J. Anal. Chem. 2020, 48, e20047–e20055. [Google Scholar] [CrossRef]
- Wang, Y.; Dai, Q.; Yang, L.; Liu, Y.; Yu, C.; Yao, C.; Xu, X. One-pot and surfactant-free synthesis of N-doped mesoporous carbon spheres for the sensitive and selective screening of small biomolecules. J. Electroanal. Chem. 2020, 873, 114462. [Google Scholar] [CrossRef]
- Ognjanovic, M.; Stankovi, D.M.; Jovic, M.; Krsti, M.; Lesch, A.; Girault, H.H.; Antic, B.V. Inkjet-printed carbon nanotube electrodes modified with dimercaptosuccinic acid-capped Fe3O4 nanoparticles on reduced graphene oxide nanosheets for single-drop determination of trifluoperazine. Appl. Nano Mater. 2020, 3, 4654–4662. [Google Scholar] [CrossRef]
- Petković, B.B.; Ognjanović, M.; Krstić, M.; Stanković, V.; Babincev, L.; Pergal, M.; Stanković, D.M. Boron-doped diamond electrode as efficient sensing platform for simultaneous quantification of mefenamic acid and indomethacin. Diam. Relat. Mater. 2020, 105, 107785. [Google Scholar] [CrossRef]
- Martínez-Hincapié, R.; Wegner, J.; Anwar, M.U.; Raza-Khan, A.; Franzka, S.; Kleszczynski, S.; Čolić, V. The determination of the electrochemically active surface area and its effects on the electrocatalytic properties of structured nickel electrodes produced by additive manufacturing. Electrochim. Acta 2024, 476, 143663. [Google Scholar] [CrossRef]
- Zhang, L.; Zhang, J. 3D hierarchical bayberry-like Ni@carbon hollow nanosphere/rGO hybrid as a new interesting electrode material for simultaneous detection of small biomolecules. Talanta 2018, 178, 608–615. [Google Scholar] [CrossRef]
- Li, Q.; Huo, C.; Yi, K.; Zhou, L.; Su, L.; Hou, X. Preparation of flake hexagonal BN and its application in electrochemical detection of ascorbic acid, dopamine and uric acid. Sens. Actuators B Chem. 2018, 260, 346–356. [Google Scholar] [CrossRef]
- Ding, S.; Dai, M.; Su, X.; Guo, D.; Bian, L.; Liu, X. Electrochemically functionalized carbon cloth for simultaneous determination of ascorbic acid, dopamine, and uric acid. J. Electroanal. Chem. 2022, 915, 116349. [Google Scholar] [CrossRef]
- Yang, L.; Liu, D.; Huang, J.; You, T. Simultaneous determination of dopamine, ascorbic acid and uric acid at electrochemically reduced graphene oxide modified electrode. Sens. Actuators B Chem. 2014, 193, 166–172. [Google Scholar] [CrossRef]
- Colín-Orozco, E.; Corona-Avendaño, S.; Ramirez-Sílva, M.T.; Romero-Romo, M.; Palomar-Pardavé, M. On the electrochemical oxidation of dopamine, ascorbic acid and uric acid onto a bare carbon paste electrode from a 0.1 M NaCl aqueous solution at pH 7. Int. J. Electrochem. Sci. 2012, 7, 6097–6105. [Google Scholar] [CrossRef]
- Colín-Orozco, E.; Ramírez-Silva, M.T.; Corona-Avendaño, S.; Romero-Romo, M.; Palomar-Pardavé, M. Electrochemical quantification of dopamine in the presence of ascorbic acid and uric acid using a simple carbon paste electrode modified with SDS micelles at pH 7. Electrochim. Acta 2012, 85, 307–313. [Google Scholar] [CrossRef]
- Du, J.; Yue, R.; Ren, F.; Yao, Z.; Jiang, F.; Yang, P.; Du, Y. Novel graphene flowers modified carbon fibers for simultaneous determination of ascorbic acid, dopamine and uric acid. Biosens. Bioelectron. 2014, 53, 220–224. [Google Scholar] [CrossRef]
- Wang, C.; Du, J.; Wang, H.; Zou, C.E.; Jiang, F.; Yang, P.; Du, Y. A facile electrochemical sensor based on reduced graphene oxide and Au nanoplates modified glassy carbon electrode for simultaneous detection of ascorbic acid, dopamine and uric acid. Sens. Actuators B Chem. 2014, 204, 302–309. [Google Scholar] [CrossRef]
- Peng, Z.; Wang, H.; Zhou, L.; Wang, Y.; Gao, J.; Liu, G.; Redfern, S.A.T.; Feng, X.; Lu, S.; Li, B.; et al. Hollow carbon shells enhanced by confined ruthenium as cost-efficient and superior catalysts for the alkaline hydrogen evolution reaction. J. Mater. Chem. A 2019, 7, 6676–6685. [Google Scholar] [CrossRef]

















| Electrode | Linear Range (µM) | Limit of Detection (µM) | Refs. | ||||
|---|---|---|---|---|---|---|---|
| AA | DA | UA | AA | DA | UA | ||
| MWCNT-PEDOT/GCE | 100–2000 | 10–330 | 10–250 | 100 | 10 | 10 | [28] |
| ERGO/GCE | 500–2000 | 0.5–60 | 0.5–60 | 250 | 0.5 | 0.5 | [52] |
| Bare GCE | 0–190 | 0–160 | 0–100 | 7.66 | 11.34 | 5.63 | [53] |
| SDS/CPE | - | 10–196 | 60–654 | - | 7.71 | 35.88 | [54] |
| GEF/CFE | 73.52–2305.53 | 1.36–125.69 | 3.98–371.49 | 73.52 | 1.36 | 3.98 | [55] |
| Au-RGO/GCE | 240–1500 | 6.8–41 | 8.7–53 | 51 | 1.4 | 1.8 | [56] |
| Pd/MCHS/GCE a | 500–9000 | 0.8–50 | 8–450 | 31.10 | 0.036 | 5.00 | This work |
| Pd/MCHS/GCE b | 300–9000 | 2–50 | 20–50 | 51.00 | 0.14 | 4.96 | This work |
| i1 (μA) | i2 (μA) | i3 (μA) | i4 (μA) | i5 (μA) | i6 (μA) | RSD (%) | |
|---|---|---|---|---|---|---|---|
| AA | 30.84 | 32.73 | 33.00 | 34.72 | 34.54 | 34.67 | 4.60 |
| DA | 50.90 | 49.96 | 50.25 | 48.46 | 48.75 | 48.92 | 1.96 |
| UA | 52.14 | 51.89 | 51.23 | 49.95 | 49.58 | 48.53 | 2.82 |
| Samples | Detected | Found | Recovery (%) | |||
|---|---|---|---|---|---|---|
| AA (μg) | UA (μM) | AA (μg) | UA (μM) | AA | DA | |
| 1 | 10 | 2.79 | 9.81 ± 0.23 | 2.80 ± 0.13 | 98.10 | 100.36 |
| 2 | 12 | 2.99 | 12.03 ± 0.35 | 3.02 ± 0.18 | 100.25 | 101.00 |
| 3 | 15 | 3.29 | 14.93 ± 0.44 | 3.35 ± 0.22 | 99.53 | 101.82 |
| 4 | 20 | 3.79 | 20.03 ± 0.52 | 3.82 ± 0.31 | 100.15 | 100.79 |
Disclaimer/Publisher’s Note: The statements, opinions and data contained in all publications are solely those of the individual author(s) and contributor(s) and not of MDPI and/or the editor(s). MDPI and/or the editor(s) disclaim responsibility for any injury to people or property resulting from any ideas, methods, instructions or products referred to in the content. |
© 2024 by the authors. Licensee MDPI, Basel, Switzerland. This article is an open access article distributed under the terms and conditions of the Creative Commons Attribution (CC BY) license (https://creativecommons.org/licenses/by/4.0/).
Share and Cite
Zhang, W.; Li, X.; Liu, X.; Song, K.; Wang, H.; Wang, J.; Li, R.; Liu, S.; Peng, Z. A Novel Electrochemical Sensor Based on Pd Confined Mesoporous Carbon Hollow Nanospheres for the Sensitive Detection of Ascorbic Acid, Dopamine, and Uric Acid. Molecules 2024, 29, 2427. https://doi.org/10.3390/molecules29112427
Zhang W, Li X, Liu X, Song K, Wang H, Wang J, Li R, Liu S, Peng Z. A Novel Electrochemical Sensor Based on Pd Confined Mesoporous Carbon Hollow Nanospheres for the Sensitive Detection of Ascorbic Acid, Dopamine, and Uric Acid. Molecules. 2024; 29(11):2427. https://doi.org/10.3390/molecules29112427
Chicago/Turabian StyleZhang, Wanqing, Xijiao Li, Xiaoxue Liu, Kaixuan Song, Haiyang Wang, Jichao Wang, Renlong Li, Shanqin Liu, and Zhikun Peng. 2024. "A Novel Electrochemical Sensor Based on Pd Confined Mesoporous Carbon Hollow Nanospheres for the Sensitive Detection of Ascorbic Acid, Dopamine, and Uric Acid" Molecules 29, no. 11: 2427. https://doi.org/10.3390/molecules29112427
APA StyleZhang, W., Li, X., Liu, X., Song, K., Wang, H., Wang, J., Li, R., Liu, S., & Peng, Z. (2024). A Novel Electrochemical Sensor Based on Pd Confined Mesoporous Carbon Hollow Nanospheres for the Sensitive Detection of Ascorbic Acid, Dopamine, and Uric Acid. Molecules, 29(11), 2427. https://doi.org/10.3390/molecules29112427

