Abstract
Naphtho[1,8-de][1,2]oxazin-4-ol and its acyl or benzyl derivatives ring open to various 2,8-dihydroxy-1-naphthonitriles, which, through (de)protection protocols and reduction, afford the target (E)-2-hydroxy-8-methoxy-1-naphthaldehyde. This was converted to its corresponding oxime, which was oxidatively o-cyclized with phenyliodine(III) diacetate (PIDA) to 9-methoxynaphtho[1,2-d]isoxazole 2-oxide. The latter, in deuterated DMSO at room temperature, was rearranged to its isomer 2-hydroxy-8-methoxy(naphthalen-1-yl)nitrile oxide. The isomerization was detected by time-course plot 1H NMR spectroscopy and further identified from its 13C NMR and HRMS spectra. The nitrile oxide was stable in (non)deuterated DMSO for at least 18 h. A 3,4-bis(2-hydroxy-8-methoxynaphthalen-1-yl)-1,2,5-oxadiazole 2-oxide, as a dimerization product or an isocyanate as a rearrangement isomer, was ruled out, the former by its HRMS spectrum and the latter by its 1,3-dipolar cycloaddition reactions to substituted isoxazoles.
Keywords:
naphthols; oxime; oxidation; isomerization; nitrile oxide; 1,3-dipolar cycloaddition; isoxazoles 1. Introduction
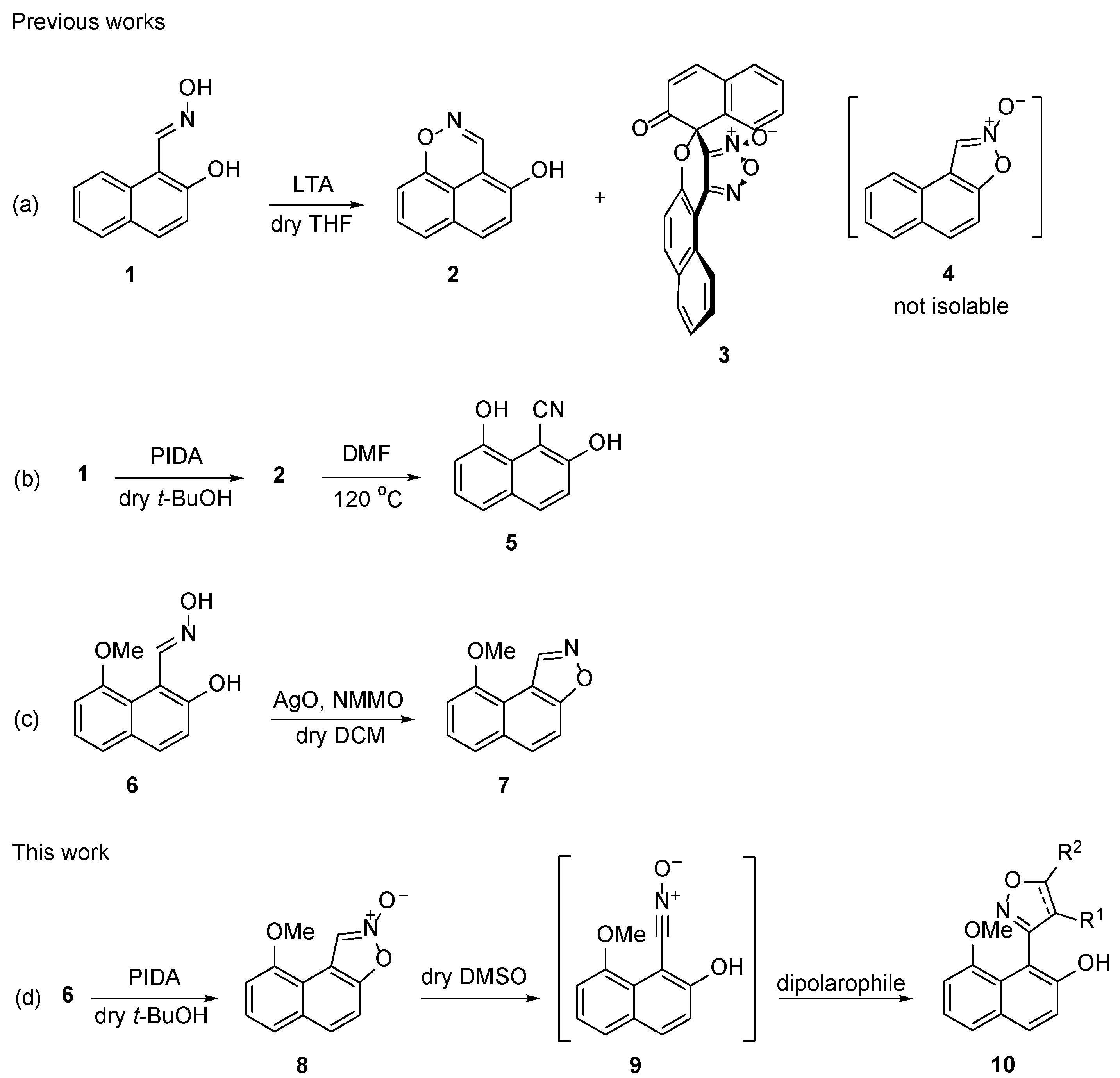
1,2-Oxazines and their benzo-fused derivatives are embedded in many drugs and bioactive natural products. Their synthetic strategies, which are used as intermediates in synthesis due to their biological potential, have been comprehensively reported [1,2,3,4,5,6]. Analogues of 1,2-oxazine, peri-annelated to naphthalene, are not abundant in the literature. The first naphtho[1,8-de][1,2]oxazine to be synthesized was produced by the cyclodehydration of 6,6′,7,7′-tetramethoxygossypol dioxime [7]. Analogous reactions produced more derivatives [8,9]. Varvounis and co-workers oxidized 2-hydroxy-1-naphthaldehyde oxime (1) with lead(IV) acetate (LTA) in THF, and obtained, for the first time, naphtho[1,8-de][1,2]oxazin-4-ol (2) and naphtho[1,2-d]isoxazole 2-oxide (4); this was a reaction that never gave 4 again but instead gave 2 together with the spiro adduct-dimer 3 [10,11]. Applying the same reaction conditions to (2-hydroxy-1-naphthyl)ketoximes gave the appropriate 3-alkyl-4-hydroxynaphtho[1,8-de][1,2]oxazines together with the corresponding 2-alkyl-1-hydroxybenzo[cd]indol-3(1H)-one side product. (2-Hydroxynaphthalen-1-yl)(phenyl)methanone oxime, on the other hand, gave solely 3-phenyl-4-hydroxynaphtho[1,8-de][1,2]oxazine [11]. A high yield of 2 was obtained from the oxidation of 1 with phenyliodonium diacetate (PIDA) in t-BuOH [12].
Naphthalenediols have applications in dyes, medicines, catalysis, and batteries [13]. For example, the naphthalenediol derivative with an alkylamide arm (Figure 1) is an inhibitor of malignant melanoma, breast cancer, and leukemia [14]. The ortho-CH acetoxylation and peri-CH hydroxylation [15], as well as the ortho- and peri-CH methoxylation [16], of substituted 1-naphthaldehydes are important chemical processes for the preparation of useful structures in synthesis and applications.
Figure 1.
Bioactive and UV-absorbing molecules bearing 1-substituted 2,8-dihydroxynaphthalene, 3,5-diarylisoxazole, 4,5-dihydroisoxazole and benzo[d]isoxazole moieties.
Isoxazole and 4,5-dihydroisoxazole (isoxazoline) have long been known as privileged core structures of the family of 5-membered aromatic N,O-heterocycles. Their commonly reported di- and trisubstituted derivatives have shown a wide spectrum of applications in medicinal chemistry, marketed drugs, organic materials, and agriculture, and they are versatile building blocks in organic synthesis. These aspects of isoxazoles and isoxazolines have been extensively reviewed [17,18,19,20,21]. For example, the depicted 3,5-diarylisoxazole derivative (Figure 1) has shown excellent antimicrobial activity against all pathogenic strains [20], while the 3,4,5-trisubstituted 4,5-dihydroisoxazole exhibited antidepressant activity and antianxiety activity [22]. Dialkyl 3-(napththalen-1-yl)isoxazole-4,5-dicarboxylates were obtained by a 1,3-dipolar cycloaddition of a (naphthalene-1-yl)nitrile oxide in situ, with the appropriate dialkyl acetylenedicarboxylate. The reactions differ by the generation mode of the nitrile oxide from the 1-naphthaldehyde oxime, by the use of PIDA [23] and oxone® [24,25,26,27], or by chlorination and then dehydrochlorination [28]. 5-Aryl-3-(naphthalene-1- or 2-yl)isoxazoles have been prepared by the oxidative aromatization of 5-aryl-4,5-dihydro-3-(naphthalene-1 or 2-yl)isoxazoles [29,30]. 3,5-Disubstituted isoxazoles have been assembled by the 1,3-dipolar cycloaddition of appropriate nitrile oxides and arylacetylenes [31,32,33]. There are only two published reports on the synthesis of ethyl 4,5-dihydro-3-(naphthalen-1- or 2-yl)isoxazole-5-carboxylates [34]. Both naphthalen-1- and 2-yl derivatives have been synthesized by [2 + 2 + 1] cycloaddition reactions [35]. 5-Aryl-5-(phenyl or 4-chlorophenyl)-4,5-dihydro-3-(naphthalene-1-yl)isoxazoles [36,37] and a few more that have recently been reported have been synthesized [38,39].
A series of 3-(methyl or phenyl)benzo[d]isoxazole-2-oxide derivatives have been studied for their use as novel UV absorbers and photooxidation inhibitors of polystyrene, the most effective being 3-phenylbenzo[d]isoxazole 2-oxide (Figure 1) [40]. The first 3-(methyl, ethyl or phenyl)benzo[d]isoxazole-2-oxide derivatives were synthesized by Boulton and Tsoungas, using the oxidative cyclization of (2-hydroxy-1-phenyl)ketoximes with LTA or sodium hypochlorite [41,42,43]. The reaction has worked equally efficiently with sodium perborate [44], PIDA [40,45,46], HTIB [47], and NCS [46]. The parent C-3 unsubstituted benzo[d]isoxazole-2-oxide and the C-1 unsubstituted naphtho[1,2-d]isoxazole 2-oxide (4) (vide infra) have so far not been isolated, which is a result of their susceptibility to ring-opening or hydrolysis. In line with stable 3-alkyl benzo[d]isoxazole 2-oxides, the oxidative cyclization of (E,Z)-1-(2-hydroxynaphthalen-1-yl)propan-1-one oxime produced 1-ethylnaphtho[1,2-d]isoxazole 2-oxide [11]. The oxidative cyclization of 1-(2-hydroxynaphthalen-1-yl)ethan-1-one oxime with NCS gave stable 1-methylnaphtho[1,2-d]isoxazole 2-oxide [46].
Nitrile oxides are highly reactive; they are mostly non-isolable structures, generated in situ from various precursors [48]. In turn, they, as ambiphilic dipoles with a low HOMO-LUMO energy difference [49], serve as precursors to diverse heterocycles, mainly the 5-membered ones [50,51,52]. Relatively few substituted arylnitrile oxides stable enough to be isolable, such as those bearing a bulky t-butyl or mesityl group, an alkoxy, and/or a dimethyl acetal group, have been reported [53,54,55,56]. Moreover, several stable (naphthalen-1-yl)nitrile oxide derivatives have been found in the literature [33,53,57,58,59].
In our previous works, we demonstrated that the oxidation of oxime 1 with LTA, a one-electron oxidant, gave rise to intermediate o-naphthoquinone nitrosomethide, which then underwent peri-cyclization and intermolecular cyclodimerization to naphtho[1,8-de]-[1,2]oxazine (2) and (±)-spiro adduct-dimer 3, respectively (Scheme 1a) [10,11]. Later, we established that when 1 was oxidized with PIDA, a two-electron oxidant, in non-nucleophilic t-BuOH, oxidative peri-cyclization occurred exclusively and provided 2 in an 80% yield [12] (Scheme 1b). More recently, 1 was oxidized by AgO, in the presence of N-methyl morpholine N-oxide (NMMO), to afford the spiro adduct-dimer 3 (Scheme 1a) as the sole product. Under the same reaction conditions, oxime 6 afforded 9-methoxynaphtho[1,2-d]isoxazole (7), instead of the corresponding spiro adduct-dimer [60] (Scheme 1c). We therefore conclude that the formation of the spiro adduct-dimer is sterically impeded by the peri-OMe substituents.
Scheme 1.
Oxidation of (E)-2-hydroxy (or 8-methoxy)-1-naphthaldehyde oximes (1) or 6, ring-opening of 9-methoxynaphtho[1,2-d]isoxazole 2-oxide (8) in DMSO to the corresponding nitrile oxide 9 and interception with dipolarophiles to afford isoxazole derivatives 10.
Herein, we report an optimized synthetic protocol for 2-hydroxy-8-methoxy-1-naphthaldehyde (14) from oxazine 2, which provides access to a variety of 1,2,8-trisubstituted naphthalenes. The transformation of the pivotal aldehyde to oxime 6; oxidative cyclization to 9-methoxynaphtho[1,2-d]isoxazole 2-oxide (8); isomerization in DMSO to 2-hydroxy-8-methoxy(naphthalen-1-yl)nitrile oxide (9); and the reaction with various dipolarophiles afforded substituted isoxazoles 10 (Scheme 1d).
2. Results and Discussion
Following up our previous observations about the instability of unsubstituted naphtho[1,2-d]isoxazole 2-oxide (4) [11] (Scheme 1a) and the effect of the C-8 OMe group of (E)-oxime (6) on its AgO (or Ag2O) selective oxidation to 9-methoxynaphtho[1,2-d]isoxazole (7) [60] (Scheme 1c), we investigated the outcome of a PIDA oxidation of that oxime, a reagent used successfully for the oxidative cyclization of 2-hydroxyaryl ketoximes into 3-arylbenzo[d]isoxazole 2-oxides [46]. Our recently reported [60] key structure aldehyde 14 (Scheme 2) was prepared by an o- and peri-methoxylation of 1-naphthaldehyde with Pd(OAc)2, K2S2O8, and 3-(trifluoromethyl)aniline in a closed vessel to 2,8-dimethoxy-1-naphthaldehyde in a 30% yield and was further selectively demethylated by AlCl3 to 14 in a 15% yield. The low overall yield (4.5%) and the use of a sealed vessel steered us towards an alternative route to 14. The high-yielding (80%) synthesis of 2, followed by its equally high-yielding (80%) ring-opening to 5 (Scheme 1b), provided relevant and attractive starting materials.
Scheme 2.
Synthesis of 2-hydroxy-8-methoxy-1-naphthaldehyde (14). Reagents and conditions: Route a (i) (2) (1 equiv), TBSCl (1.2 equiv), imidazole (2.5 equiv), dry DMF, N2, r.t., 2 h then 120 °C, 1 h; (ii) (11) (1 equiv), MeI (1.5 equiv), K2CO3 (1.1 equiv), dry acetone, N2, r.t., 1 h; (iii) (12) (1 equiv), DIBAL (1.2 M in toluene) (2 equiv), dry toluene, N2, 0 °C, 0.5 h, r.t., 18 h. Route b (iv) (2) (1 equiv), acetic anhydride (41 equiv), N2, r.t., 18 h; (v) (15), dry DMF, 120 °C, N2, 0.5 h; 16 See Table 1; (vi) (17) (1 equiv), DIBAL (1.2 M in toluene) (3.2 equiv), dry THF, NH4Cl, 1 M HCl aq., −78 °C, 1 h; (vii) (17) (1 equiv), PtO2 (0.1 equiv), HCO2H/H2O, 55–60 °C, 2 h; (viii) (17) (1 equiv), DIBAL (1.2 M in toluene) (2 equiv), dry toluene, 0 °C, 0.5 h, r.t., 18 h. Route c (ix) (2), dry DMF, 120 °C, N2, 0.5 h; (x) (5) (1 equiv), Ca(H2PO2)2 (1 equiv), Ni(OAc)2·4H2O (0.2 equiv), Ca(OAc)2·H2O (0.2 equiv), EtOH, r.t., 24 h; (xi) (19) (1 equiv), MeI (1.05 equiv), K2CO3 (1.05 equiv), dry DMF, r.t., 2 h. Route d (xii) (5) (1 equiv), MeI (2.02 equiv), Na2CO3 (1.02 equiv), H2O, acetone, reflux, 3 h; (xiii) (13) (1 equiv), DIBAL (1.2 M in toluene) (2 equiv), dry toluene, 0 °C, 0.5 h, r.t., 18 h; 21 See Table 2.
Thus, compound 2 was reacted with TBSCl and imidazole in dry DMF at room temperature (Scheme 2, Route a), following a relevant report by Bencivenni and co-workers [61], then heated at 120 °C for a short period of time, under the conditions used in our previous report (Scheme 1b) [10]. The expected ring-opened 2-TBS protected 1-naphthonitrile 11 and the unprotected 1-naphthonitrile 5 were produced in 31% and 50% yields, respectively. Compound 5 most likely resulted from 11 by the cleavage of its TBS group. The methylation of 11 (MeI and K2CO3 in dry acetone), under the conditions used by Bencivenni and co-workers [61] on 7-[(tert-butyldimethylsilyl)oxy]naphthalen-1-ol, furnished the selectively methylated nitrile 12 in a 43% yield and dimethylated nitrile 13 in an 18% yield. Nitrile 12 was then reduced to aldehyde 14 with DIBAL in toluene at 0 °C [62] and then at room temperature, in our case. The overall yield of 14 from 2, as described in Scheme 2, was only 2.8%.
In our next attempt (Scheme 2, Route b), we acetylated 2 with acetic anhydride, according to an old, published procedure [8], and obtained acetate 15 in a 70% yield. The ring-opening of 15 in DMF at 120 °C, under conditions used previously [10], afforded 1-naphthonitrile 16 in a 72% yield. We then conducted a search for methylation of the OH group of 16 without cleaving the acetyl group (Table 1). For a detailed description of the procedures, see Materials and Methods (Section 3) [63]. The origin of 18 may well have been derived from an intermolecular acetylation between two molecules of 16, followed by the methylation of the resulting 8-acetoxy-1-cyanonaphthalen-2-olate. The methylation outcome of 16 remained the same, under different conditions but with varying yields of 17 and 18. It was interesting to note that the solvent effect in the last two attempts apparently favored 17 (41% yield) compared to 18 (9% yield). Moreover, the OMe group in 17 was properly placed for further deprotection and reduction to the target 16. Thus, by reducing 17 with either DIBAL in dry THF at −78 °C [62] or with PtO2 in an equal volume of HCO2H/H2O at 55–60 °C [64], 12 was obtained in 36% and 45% yields, respectively. The reduction of 17 to 14 proved difficult, under either the standard DIBAL conditions [62] or an attempted modification (initiating the reaction at 0 °C and allowing a long period at room temperature), and gave a disappointing 15% yield and an overall 3% yield from 2.
Table 1.
Methylation of 1-cyano-8-hydroxynaphthalen-2-yl acetate (16) [a].
In our next attempt (Scheme 2, Route c), we anticipated that the 6-membered intramolecular H bond in aldehyde 19 between the CHO oxygen atom and the OH hydrogen atom would be strong enough to survive in DMF and would thus encourage selective methylation at the peri position. Thus, the ring-opening of 2 to 5 [10] and the reduction of the CN group in 5 with calcium hypophosphite, in the presence of a base and nickel(II) acetate tetrahydrate, according to Estelle Métay, Marc Lemaire, and co-workers [65], who reduced 1-naphthonitrile to 1-naphthaldehyde in an 85% yield, led to a disappointing 29% yield of 19. Aryl nitriles bearing OH groups are tolerant to these conditions. The methylation of 19 (dry DMF and at room temperature, in the presence of MeI and K2CO3) afforded the targets 14 and 20 in 19% and 47% yields, respectively [15]. The formation of 20 implies that in a DMF solution of 19, the intramolecular H bond between the CHO group and the peri-OH group survives, whereas that between the CHO group and the ortho OH group is disrupted by intermolecular H bonding with the solvent. The outcome of this effort was a 4% overall yield of 6, which was more or less the same as in Scheme 2, Route b.
The next plan was to alkylate 5, reduce the resultant nitrile 13 to the corresponding aldehyde 21, and then selectively demethylate to the target 14 (Scheme 2, Route d). Accordingly, the dimethylation of 5 (MeI and Na2CO3, in aqueous acetone, under mild heating) [61], gave 13 in a satisfying 78% yield. The latter was reduced to the aldehyde 21 in a moderate yield by a modification of the standard DIBAL conditions [62], as described earlier. Aldehyde 21 was then subjected to what we hoped would be the selective deprotection of the 2-OMe group to the target 14 in a useful yield. Thus, the selective demethylation of 21 to 14 entailed various reagents and conditions, as depicted in Table 2. For a detailed description of the procedures, see Materials and Methods (Section 3) [66,67]. We can assume that at low temperature, the peri-OMe group in 21 is intramolecularly engaged in a H bond with the CHO group for most of the time. Consequently, this H bonding interaction allows a relatively easier demethylation of its more available o-OMe counterpart. The moderate yields of the last two steps of this reaction sequence towards 14 diminished its value, despite an increase in the overall yield to 18%.
Table 2.
Demethylation of 2,8-dimethoxy-1-naphthaldehyde (21) [a].
The final attempt to synthesize 14 is delineated in Scheme 3. Accordingly, we started with an O-benzylation of 2 and then a ring-opening of the resulting 4-(benzyloxy)naphtho[1,8-de][1,2]oxazine (by heating in DMF) to the target precursor 23. Further, we envisaged the methylation of the peri-OH group, the reduction of nitrile to aldehyde, and the debenzylation of the OBn group. For the benzylation step, we slightly modified the conditions applied by Luo and Zheng and co-workers [68] to convert 2-hydroxy-1-naphthaldehyde to 2-(benzyloxy)-1-naphthaldehyde. Starting from 2, we used benzyl bromide, instead of benzyl chloride, in the presence of K2CO3 and KI and stirred the reaction in acetone at room temperature for 18 h. Compounds 22 and 23 were identified in 12% and 61% yields, respectively. To our surprise, the intermediate 4-(benzyloxy)naphtho[1,8-de][1,2]oxazine was not detected. Apparently, the oxazine suffered ring-opening in the presence of the base. Indeed, this result was experimentally verified by stirring 2 with K2CO3 and KI in acetone, and after 4 h, 5 was obtained as a single product. It may be argued that benzylation could take place either sequentially, first on 2 and then on ring-opened 22 to 23, or on the ring-opened 5. The higher yield of 23 points to the former process. In the second step of this reaction sequence, 23 was methylated (MeI and K2CO3 in dry acetone under reflux) [61] to afford the 8-OMe derivative 24 in an excellent 94% yield. The reduction of the nitrile group of 24 was accomplished under conditions described earlier [62], and aldehyde 25 was thus obtained in a moderate 55% yield. The debenzylation of 25 took place with H2 and Pd/C as catalysts, according to an analogously reported procedure [69] that gave 14 in an excellent 92% yield. The overall yield of 14 from 2 by this route (Scheme 3) was increased to 29%.
Scheme 3.
Synthesis of 2-hydroxy-8-methoxy-1-naphthaldehyde (14) via benzylation/ring-opening/methylation/reduction/debenzylation. Reagents and conditions: (i) 2 (1 equiv), BnBr (1 equiv), K2CO3 (1.05 equiv), KI (0.2 equiv), dry acetone, r.t., 18 h; (ii) 23 (1 equiv), MeI (1.02 equiv), Na2CO3 (1.02 equiv), dry acetone, N2, reflux, 3 h; (iii) 24 (1 equiv), DIBAL (1.2 M in toluene) (2 equiv), dry toluene, 0 °C, 0.5 h, r.t., 18 h; (iv) 5% Pd/C, H2, MeOH, r.t., 12 h.
Having established a viable route to target 14, we moved to the synthesis of (E)-oxime 6 and its reaction with PIDA (Scheme 4). Compound 6 was accordingly obtained in a 78% yield by a method in a recent report by Tzeli, Tsoungas, and co-workers [60]. Compound 6 was then subjected to oxidation with PIDA in non-nucleophilic dry t-BuOH at room temperature, to afford isoxazole-2-oxide 8 in a very good yield (81%). We propose that the initially formed organoiodo complex A by the ligand coupling mechanism [70] collapses to o-naphthoquinone nitrosomethide intermediate B; the driving force is the rupture of the weaker O–I bond compared to the N–O bond. B underwent a 6π-electrocyclization to the non-aromatic naphthoisoxazole-2-oxide C, which aromatized to stable 2-oxide 8. The stability of 8 was apparently due to the intramolecular H bonding between the OMe peri substituent and the sp2 C–1 hydrogen atom (2.006 Å) [60], which impeded the ring-opening of the isoxazole ring. This result could well serve as a rationale for the non-isolable naphtho[1,2-d]isoxazole 2-oxide (4), which lacks this particular stabilizing factor (Scheme 1a) [11].
Scheme 4.
Synthesis of (E)-2-hydroxy-8-methoxy-1-naphthaldehyde oxime (6) and proposed reaction mechanism for the synthesis of 9-methoxynaphtho[1,2-d]isoxazole 2-oxide (8). Reagents and conditions: (i) 14 (1 equiv), NH2OH.HCl (1.1 equiv), aqueous saturated Na2CO3 solution, MeOH, 0 °C, r.t., 1 h; (ii) 6 PIDA (2 equiv), dry t-BuOH, N2, r.t., 0.5 h.
When first recorded, the 1H NMR spectrum of 8 in DMSO-d6 did show the peaks corresponding to its structure. When recorded again the next day, its 1H NMR spectrum was identified as that of the nitrile oxide 9 (see Supplementary Figure S59 for superimposed and Figure S60 for stacked 1H NMR spectra of 8 and 9). This novel isomerization of 8 to 9 was also detected by 1H NMR spectroscopy, which was measured by a time-course plot (see Supplementary Figure S61). When recorded in CDCl3, the 1H and 13C NMR spectra of 8 confirmed that the compound is stable in this solvent for at least 18 h. We stirred a sample of 8 in DMSO-d6 and after 6 h recorded the 1H and 13C NMR spectra. As with the previously recorded NMR spectra of nitrile oxide 9, in the 1H NMR spectrum in DMSO-d6, the OH proton at a high field was not visible, and there was a total of five aromatic protons belonging to the naphthalen-2-ol ring in the range of 7.90–7.02 ppm. The characteristic singlet of the methyl group was found at 3.92 ppm. The 13C NMR spectrum in DMSO-d6 showed 11 signals. According to Koyama, Takata, and co-workers, [71] quaternary signals of nitrile groups usually turn up under the residual DMSO signal so that for nitrile oxide 9 the total number of carbon atoms was 12, as expected. High-resolution mass spectrometry (HRMS) analysis confirmed the expected molecular ion at m/z = 216.0661 [M + H]+ (ESI), which took up a proton and was calculated for C12H10NO3 m/z = 216.0661. There was no peak at m/z = 431.1243 [M + H]+ corresponding to the dimerization of 9 to its 1,2,5-oxadiazole 2-oxide (Scheme 5). The confirmation of the nitrile oxide structure of 9 and not its isocyanate isomer came from 1,3-dipolar cycloaddition reactions of in situ generated nitrile oxide 9 with various dipolarophiles, which produced substituted isoxazoles 10a–d (Scheme 5). The reactions took place by dissolving isoxazole 2-oxide 8 in DMSO, under an atmosphere of nitrogen, followed by the addition of the appropriate dipolarophile (DMAD, phenylacetylene, methyl acrylate, or styrene, stirred at room temperature for 18 h). The substituted isoxazoles 10a–d were produced in 85%, 93%, 89%, and 97% yields, respectively. It was suggested that when 2-oxide 8 was dissolved in DMSO, the solvated species D could suffer disruption of the intramolecular H bond between the MeO group and the C-1 hydrogen atom, allowing for the ring-opening of the isoxazole ring to its nitrile oxide isomer 9, which then underwent 1,3-dipolar cycloaddition with the dipolarophiles (Scheme 5).
Scheme 5.
Synthesis of substituted isoxazoles 10a to 10d. Reagents and conditions: (i) 8 (1 equiv) dry DMSO-d6, N2, r.t., 15 min.; (ii) DMAD (3 equiv), 18 h; (iii) phenylacetylene (3 equiv), 18 h; (iv) methyl acrylate (3 equiv), 18 h; (v) styrene (3 equiv), 18 h.
3. Materials and Methods
The organic solutions were concentrated by rotary evaporation at 40 °C under 15 Torr. Melting points were taken using a Büchi 510 apparatus (Büchi Labortechnik AG, Flawil, Switzerland) and are uncorrected. 1H and 13C NMR spectra were measured in CDCl3 or DMSO-d6 on a 400 MHz Brüker Avance spectrometer (Brüker BioSpin GmbH, Rheinstetten, Germany). 1H chemical shifts are reported in ppm from an internal standard TMS, residual CHCl3 (7.26 ppm), or DMSO (2.50 ppm). 13C NMR chemical shifts are reported in ppm from an internal standard TMS, residual CHCl3 (77.00 ppm), or DMSO (39.43 ppm). High resolution ESI mass spectra were measured on a Thermo Fisher Scientific Orbitrap XL system (Thermo Fisher Scientific, Waltham, MA, USA). IR spectra were acquired on an Agilent Cary 630 FTIR spectrophotometer (Agilent Technologies, 5301 Stevens Creek Blvd. CA, USA) as solids and are reported in wave numbers (cm−1). Analytical thin layer chromatography (TLC) was performed with TLC plates (Merck 70–230 mesh silica gel). TLC visualization took place under a 254 nm UV light source. Purification of the reaction products was generally conducted by flash column chromatography using Carlo Erba Reactifs-SDS silica gel 60. Solvents, reagents, and catalysts were used as received from the manufacturers, Thermo Scientific™ (Paisely, U.K.), Sigma-Aldrich (St. Louis, MO, USA), and Merck Chemicals GmbH (Darmstadt, Germany), except for DCM, EtOAc, and hexane, which were dried and purified according to the recommended procedures.
3.1. Synthesis of 2-[(Tert-butyldimethylsilyl)oxy]-8-hydroxy-1-naphthonitrile (11) and 2,8-Dihydroxy-1-naphthonitrile (5)
To a solution of compound 2 (500 mg, 2.2 mmol, 1 equiv) in dry DMF (15 mL), under an atmosphere of N2, was added imidazole (374 mg, 5.5 mmol, 2.5 equiv) and TBSCl (398 mg, 2.64 mmol, 1.2 equiv), and the reaction was left stirring at room temperature for 2 h (TLC analysis showed the absence of the starting material spot and the presence of a new spot). The reaction mixture was then heated at 120 °C for 0.5 h. TLC examination revealed the absence of the starting material spot and the presence of two new spots. To the cooled reaction mixture, water (100 mL) was added and extracted with EtOAc (3 × 20 mL), and the combined organic extracts were washed with brine (20 mL), dried over anhydrous Na2SO4, and concentrated in a vacuum. The acquired crude residue was purified by flash column chromatography (25% EtOAc in hexane) to give the title compounds.
- Compound 11: (204 mg, 31%) as a yellow oil; Rf = 0.61 (25% EtOAc in hexane); 1H NMR (400 MHz, CDCl3) δ: a broad singlet corresponding to OH is not visible, 7.76 (d, J = 8.9 Hz, 1H), 7.26 (d, J = 8.2 Hz, 1H), 7.18 (t, J = 7.5 Hz, 1H), 7.00–6.90 (m, 2H), 1.01 (s, 9H), 0.25 (s, 6H); 13C NMR (100.6 MHz, CDCl3) δ: 160.0, 150.9, 134.9, 130.4, 125.8, 123.7, 121.1, 120.3, 118.7, 113.2, 95.2, 25.8, 18.5; IR (solid): 3161, 3060, 2955, 2922, 2855, 2215, 2118, 1729 cm−1; HRMS (ESI): m/z [M–H]− calcd. for C17H21NO2Si: 298.1263, found: 298.1264.
- Compound 5: (203 mg, 50%) as a yellow solid, m.p. = 166–167 °C (lit. [10], m.p. = 167–168 °C); Rf = 0.1 (20% ethyl acetate in hexane); 1H NMR (400 MHz, DMSO-d6) δ: two broad singlets corresponding to OH are not visible, 11.24 (s, 1H), 10.31 (s, 1H), 8.20 (d, J = 8.7 Hz, 1H), 7.66 (d, J = 8.3 Hz, 1H), 7.42 (t, J = 7.8 Hz, 1H), 7.34 (d, J = 8.7 Hz, 1H), 7.25 (d, J = 7.3 Hz, 1H) (in agreement with the 1H NMR data that were previously reported for this compound) [10].
3.2. Synthesis of 2-Hydroxy-8-methoxy-1-naphthonitrile (12) and 2,8-Dimethoxy-1-naphthonitrile (13)
To a solution of compound 2 (100 mg, 0.334 mmol, 1 equiv) in dry acetone (10 mL), under an atmosphere of N2, was added oven-dried K2CO3 (50 mg, 0.367 mmol, 1.1 equiv) and MeI (70 mg, 0.501 mmol, 1.5 equiv), and the reaction was left stirring at room temperature for 1 h (TLC analysis showed complete conversion of the starting material and the presence of two new spots). Water (20 mL) was added, the reaction mixture was extracted with EtOAc (3 × 10 mL), and the combined organic extracts were washed with brine (10 mL), dried over anhydrous Na2SO4, and concentrated under vacuum. The acquired crude residue was purified by flash column chromatography (11% EtOAc in hexane) to give the title compounds.
- Compound 12: (28.6 mg, 43%) as a yellow solid, m.p. = 172–174 °C; Rf = 0.09 (20% EtOAc in hexane); 1H NMR (400 MHz, CDCl3) δ: a broad singlet corresponding to OH is not visible, 7.90 (d, J = 9.0 Hz, 1H), 7.42–7.33 (m, 2H), 7.22 (d, J = 9.0 Hz, 1H), 6.97 (d, J = 7.3 Hz, 1H), 4.05 (s, 3H); 13C NMR (100.6 MHz, CDCl3) δ: 160.4, 153.9, 135.2, 129.8, 125.5, 123.6, 121.2, 117.5, 117.4, 107.9, 89.4, 55.9; IR (solid): 3072, 2920, 2848, 2216, 1705, 1600, 1513 cm−1; HRMS (ESI): m/z [M + Na]+ calcd. for C12H9NO3Na: 222.0531, found: 222.0528.
- Compound 13: (12.8 mg, 18%) as a colorless amorphous solid (hexane), m.p. = 147–149 °C; Rf = 0.21 (20% EtOAc in hexane); 1H NMR (400 MHz, CDCl3) δ: 7.83 (d, J = 9.2 Hz, 1H), 7.25 (d, J = 8.2 Hz, 1H), 7.19 (t, J = 7.9 Hz, 1H), 7.13 (d, J = 9.3 Hz, 1H), 6.80 (dd, J = 7.5, 1.2 Hz, 1H), 3.93 (s, 3H), 3.89 (s, 3H); 13C NMR (100.6 MHz, CDCl3) δ: 162.9, 154.3, 134.8, 129.7, 125.2, 123.8, 121.1, 117.0, 112.4, 107.7, 92.6, 56.8, 55.8; IR (solid): 2921, 2848, 2218, 2091, 1915, 1826, 1593 cm−1; HRMS (ESI): m/z [M + H]+ calcd. for C13H12NO2: 214.0863, found: 214.0858.
3.3. Synthesis of 2-Hydroxy-8-methoxy-1-naphthaldehyde (14)
To a stirred solution of 12 (200 mg, 1 mmol, 1 equiv) in dry toluene (10 mL), under an atmosphere of N2 at 0 °C, was added DIBAL (1.67 mL of 1.2 M in toluene, 2 mmol, 2 equiv), and the reaction mixture was left stirring for 0.5 h and then for 18 h at room temperature (TLC analysis showed the absence of a starting material spot and the presence of a new spot). The solvent was removed under reduced pressure, water (20 mL) was carefully added to the residue, and the resulting mixture was cooled to 0 °C, followed by the dropwise addition of 1 M aqueous HCl until pH = 1. The aqueous solution was extracted with EtOAc (3 × 10 mL), and the combined organic extracts were washed with brine (20 mL), dried over anhydrous Na2SO4, and concentrated under vacuum. The acquired crude residue was purified by flash column chromatography (17% EtOAc in hexane) to give the title compound (40 mg, 20%) as a yellow solid, m.p. = 66–69 °C (lit. [60], m.p. = 68–70 °C); Rf = 0.54 (20% ethyl acetate in hexane); 1H NMR (400 MHz, CDCl3) δ: 14.15 (s, 1H), 11.22 (s, 1H), 7.87 (d, J = 9.0 Hz, 1H), 7.38 (dd, J = 8.0, 1.3 Hz, 1H), 7.31 (t, J = 7.9 Hz, 1H), 7.10 (d, J = 9.0 Hz, 1H), 7.04 (dd, J = 7.8, 1.2 Hz, 1H), 3.99 (s, 3H) (in agreement with the 1H NMR data that were previously reported for this compound) [60].
3.4. Synthesis of Naphtho[1,8-de][1,2]oxazin-4-yl Acetate (15)
A solution of 2 (500 mg, 2.7 mmol, 1 equiv) in freshly distilled acetic anhydride (10 mL, 41 equiv), under an atmosphere of N2, was stirred at room temperature for 18 h (TLC showed the absence of a starting material spot and the presence of one new spot). Ice water (30 mL) was added, and the reaction mixture was stirred for 0.5 h at room temperature. The reaction mixture was then extracted with EtOAc (3 × 15 mL), and the combined organic extracts were washed with brine (10 mL), dried over anhydrous Na2SO4, and concentrated under vacuum. The acquired crude residue was purified by flash column chromatography (17% EtOAc in hexane) to give the title compound (429 mg, 70%) as a brown oil; Rf = 0.05 (20% EtOAc in hexane); 1H NMR (400 MHz, DMSO-d6) δ: 8.71 (s, 1H), 7.99 (d, J = 9.1 Hz, 1H), 7.58–7.51 (m, 2H), 7.41 (d, J = 9.1 Hz, 1H), 7.06–6.97 (m, 1H), 2.33 (s, 3H); 13C NMR (100.6 MHz, DMSO-d6) δ: 169.3, 167.0, 151.3, 144.2, 140.4, 130.8, 128.3, 124.1, 119.9, 119.2, 107.9, 105.7, 22.0; IR (solid): 2924, 2682, 2217, 1926, 1749, 1510 cm−1; HRMS (ESI): m/z [M + Na]+ calcd. for C13H9NO3Na: 250.0480, found: 250.0477.
3.5. Synthesis of 1-Cyano-8-hydroxynaphthalen-2-yl Acetate (16)
A solution of 15 (400 mg, 2.16 mmol) in DMF (8 mL) was heated at 120 °C for 45 min. (TLC analysis showed the absence of a starting material spot and the presence of a new spot). Water (30 mL) was added, and the reaction mixture was extracted with Et2O (3 × 15 mL). The combined organic extracts were dried (Na2SO4), and the solvent was removed under vacuum. The residue was purified by flash column chromatography (50% EtOAc in hexane) to give the title compound (267 mg, 72%) as a brown solid; m.p. = 165–167 °C; Rf = 0.13 (20% ethyl acetate in hexane); 1H NMR (400 MHz, DMSO-d6) δ: 10.85 (s, 1H), 8.22 (d, J = 9.0 Hz, 1H), 7.55–7.42 (m, 3H), 7.07 (dd, J = 7.5, 1.3 Hz, 1H), 2.41 (s, 3H); 13C NMR (100.6 MHz, DMSO-d6) δ: 168.7, 153.8, 152.4, 134.8, 132.69, 127.9, 122.2, 121.7, 119.4 (2C), 115.4, 111.7, 99.0, 20.7; IR (solid): 3338, 2921, 2855, 2229, 2070, 1906, 1753, 1583 cm−1; HRMS (ESI): m/z [M + Na]+ calcd. for C13H9NO3Na: 250.0480, found: 250.0471.
3.6. Procedure A for the Synthesis of 1-Cyano-8-methoxynaphthalen-2-yl Acetate (17) and 8-Cyano-7-methoxynaphthalen-1-yl Acetate (18)
To a solution of 16 (50 mg, 0.22 mmol, 1 equiv) in dry acetone (5 mL), under an atmosphere of N2, was added oven-dried K2CO3 (34 mg, 0.24 mmol, 1.1 equiv) and dimethyl sulfate (31 mg, 0.24 mmol, 1.1 equiv), and the reaction was left stirring for 24 h at room temperature. (TLC showed complete conversion of the starting material and the presence of two new spots (visualized under a UV lamp). Water (20 mL) was added; the reaction mixture was extracted with EtOAc (3 × 10 mL); and the combined organic extracts were washed with brine (10 mL), dried over anhydrous Na2SO4, and concentrated in vacuo. The acquired crude residue was purified by flash column chromatography (20% EtOAc in hexane) to give the title compounds.
- Compound 17: (5.3 mg, 10%) as a yellow solid, m.p. = 94–96 °C; Rf = 0.25 (20% EtOAc in hexane); 1H NMR (400 MHz, DMSO-d6) δ: 8.30 (d, J = 8.9 Hz, 1H), 7.66 (dd, J = 8.3, 1.2 Hz, 1H), 7.64–7.52 (m, 2H), 7.24 (dd, J = 7.8, 1.1 Hz, 1H), 4.00 (s, 3H), 2.42 (s, 3H); 13C NMR (100.6 MHz, DMSO-d6) δ: 168.6, 154.2, 153.8, 135.0, 132.2, 127.8, 122.8, 122.1, 121.1, 115.2, 108.5, 98.8, 56.0, 20.6; IR (solid): 2924, 2855, 2223, 1578 cm−1; HRMS (ESI): m/z [M + H]+ calcd. for C14H12NO3: 242.0812, found: 242.0813.
- Compound 18: (26.5 mg, 50%) as a yellow solid, m.p. = 132–134 °C; Rf = 0.11 (20% EtOAc in hexane); 1H NMR (400 MHz, DMSO-d6) δ: 8.36 (d, J = 9.3 Hz, 1H), 7.95 (dd, J = 8.2, 1.3 Hz, 1H), 7.66 (d, J = 9.3 Hz, 1H), 7.54–7.50 (m, 1H), 7.43 (dd, J = 7.6, 1.2 Hz, 1H), 4.08 (s, 3H), 2.42 (s, 3H); 13C NMR (100.6 MHz, DMSO-d6) δ: 169.9, 163.7, 144.0, 136.2, 129.3, 127.4, 124.9 (2C), 123.0, 116.1, 113.7, 88.912, 57.1, 20.9; IR (solid): 2942, 2850, 2219, 2101, 1747, 1592 cm−1; HRMS (ESI): m/z [M + Na]+ calcd. for C14H11NO3Na: 264.0631, found: 264.0625.
3.7. Procedure B for the Synthesis of Compounds 17 and 18
To a solution of 8 (50 mg, 0.22 mmol, 1 equiv) in dry THF (5 mL), under an atmosphere of nitrogen, was added oven-dried K2CO3 (34 mg, 0.24 mmol, 1.1 equiv) and MeI (34 mg, 0.24 mmol, 1.1 equiv), and the reaction mixture was left stirring for 18 h at room temperature (TLC showed complete conversion of the starting material and the presence of two new spots). Water (20 mL) was added, and the reaction mixture was extracted with EtOAc (3 × 10 mL); the combined organic extracts were washed with brine (10 mL), dried over anhydrous Na2SO4, and concentrated under reduced pressure. The acquired crude residue was purified by flash column chromatography (20% EtOAc in hexane) to give the title compounds.
- Compound 17: (6.9 mg, 13%) as a yellow solid, m.p. = 94–96 °C; Rf = 0.25 (20% EtOAc in hexane); (the 1H NMR data were in agreement with those reported in Procedure A for this compound).
- Compound 18: (25 mg, 50%) as a yellow solid, m.p. = 132–134 °C; Rf = 0.11 (20% EtOAc in hexane); (the 1H NMR data were in agreement with those reported in Procedure A for this compound).
3.8. Procedure C for the Synthesis of Compounds 17 and 18
To a solution of 16 (50 mg, 0.22 mmol, 1 equiv) in dry THF (5 mL), under an atmosphere of N2, was added NaH (5.8 mg, 0.24 mmol, 1.1 equiv) and MeI (34 mg, 0.24 mmol, 1.1 equiv), and the reaction mixture was left stirring for 18 h at room temperature (TLC analysis showed the absence of starting material and the presence of two new spots). Water (20 mL) was added to the reaction mixture and then extracted with EtOAc (3 × 10 mL). The combined organic extracts were washed with brine (10 mL), dried over anhydrous Na2SO4, and removed under reduced pressure. The acquired crude residue was purified by flash column chromatography (20% EtOAc in hexane) to give the title compounds.
- Compound 17: (11.7 mg, 22%) as a yellow solid, m.p. = 94–96 °C; Rf = 0.25 (20% EtOAc in hexane); (the 1H NMR data were in agreement with those reported in Procedure A for this compound).
- Compound 18: (21 mg, 40%) as a yellow solid, m.p. = 132–134 °C; Rf = 0.11 (20% EtOAc in hexane); (the 1H NMR data were in agreement with those reported in Procedure A for this compound).
3.9. Procedure D for the Synthesis of Compounds 17 and 18
To a solution of 16 (50 mg, 0.22 mmol, 1 equiv) in dry THF (50 mL), under an atmosphere of N2, was added NaH (5.8 mg, 0.24 mmol, 1.1 equiv) and MeI (34 mg, 0.24 mmol, 1.1 equiv), and the reaction was left stirring for 18 h at room temperature (TLC analysis showed the absence of the starting material spot and the presence of two new spots). Water (20 mL) was added to the reaction mixture and extracted with EtOAc (3 × 10 mL); the combined organic extracts were washed with brine (10 mL), dried over anhydrous Na2SO4, and evaporated under vacuum. The acquired crude residue was purified by flash column chromatography (20% EtOAc in hexane) to give the title compounds.
- Compound 17: (21.8 mg, 41%) as a yellow solid, m.p. = 94–96 °C; Rf = 0.25 (20% EtOAc in hexane); (the 1H NMR data were in agreement with those reported in Procedure A for this compound).
- Compound 18: (4.8 mg, 9%) as a yellow solid, m.p. = 132–134 °C; Rf = 0.11 (20% EtOAc in hexane); (the 1H NMR data were in agreement with those reported in Procedure A for this compound).
3.10. Attempted Reduction of 1-Cyano-8-methoxynaphthalen-2-yl Acetate (17) with DIBAL
To a solution of 17 (50 mg, 0.27 mmol, 1 equiv) in dry THF, under an atmosphere of N2 that was cooled to −78 °C, DIBAL (0.86 mL of 1.2 M in toluene, 0.864 mmol, 3.2 equiv) was added dropwise, and the reaction mixture was left stirring at that temperature for 0.5 h and then for 1 h at room temperature (TLC analysis showed the absence of the starting material spot and the presence of one new spot). A saturated aq. solution of NH4Cl (5 mL) was added dropwise, followed by 1 N HCl aq. (25 mL) and EtOAc (25 mL), and the reaction mixture was left stirring for 1 h. The organic phase was separated, and the aqueous phase was extracted with EtOAc (3 × 10 mL); the combined organic phases were washed with brine (20 mL), dried over anhydrous Na2SO4, and evaporated under vacuum. The acquired crude residue was purified by flash column chromatography (20% EtOAc in hexane) to give 2-hydroxy-8-methoxy-1-naphthonitrile (12) (23 mg, 36%) as a yellow solid, m.p. = 172–174 °C; Rf = 0.09 (20% EtOAc in hexane); (the 1H NMR data were in agreement with those reported for this compound synthesized from compound 2 (Scheme 2)).
3.11. Attempted Reduction of 1-Cyano-8-methoxynaphthalen-2-yl Acetate (17) with PtO2
Compound 17 (30 mg, 0.16 mmol, 1 equiv) was dissolved in a stirred 1/1 solution of HCOOH/H2O (4 mL), under an atmosphere of N2. PtO2 (3.6 mg, 0.016 mmol, 0.1 equiv) was added and the reaction mixture was heated at 55 °C for 2 h (TLC analysis showed the absence of the starting material spot and the presence of one new spot). The cooled reaction mixture was filtered through celite, water (10 mL) was added to the filtrate, and the aqueous solution was extracted with EtOAc (3 × 10 mL). The combined organic phases were washed with brine (20 mL), dried over anhydrous Na2SO4, and evaporated under vacuum. The acquired crude residue was purified by flash column chromatography (20% EtOAc in hexane) to give 2-hydroxy-8-methoxy-1-naphthonitrile (12) (29 mg, 45%) as a yellow solid, m.p. = 172–174 °C; Rf = 0.09 (20% EtOAc in hexane) (the 1H NMR data were in agreement with those reported for this compound synthesized from compound 11 (Scheme 2)).
3.12. Synthesis of 2-Hydroxy-8-methoxy-1-naphthaldehyde (14)
To a solution of 17 (250 mg, 1 mmol, 1 equiv) in dry toluene (10 mL) at 0 °C, under an atmosphere of N2, was added DIBAL (1.67 mL of 1.2 M in toluene, 2 mmol, 2 equiv), and the reaction mixture was stirred for 0.5 h and then left stirring for 18 h at room temperature. Upon completion of the reaction (TLC examination), the solvent was removed under vacuum, and water (20 mL) was carefully added to the residue. The resulting mixture was cooled to 0 °C, followed by the dropwise addition of 1 M HCl aq. until pH = 1. The aqueous solution was extracted with EtOAc (3 × 10 mL), and the combined organic extracts were washed with brine (20 mL) and dried over anhydrous Na2SO4; the solvent was removed under vacuum. The acquired crude residue was purified by flash column chromatography (17% EtOAc in hexane) to give the title compound (31.5 mg, 15%) as a yellow solid, m.p. = 67–69 °C (lit. [60], m.p. = 68–70 °C); Rf = 0.54 (20% ethyl acetate in hexane); (the 1H NMR data were in agreement with those reported for this compound synthesized from 12 (Scheme 2) and with those previously reported) [60].
3.13. Synthesis of 2,8-Dihydroxy-1-naphthonitrile (5)
A solution of 2 (500 mg, 2.7 mmol) in dry DMF (15 mL) was heated at 120 °C for 0.5 h (TLC analysis showed the absence of starting material and the presence of one new spot). The reaction was left to cool to room temperature; then, water (100 mL) was added. The reaction mixture was extracted with EtOAc (3 × 20 mL), and the combined organic extracts were washed with brine (20 mL), dried over anhydrous Na2SO4, and concentrated under vacuum. The acquired crude residue was purified by flash column chromatography (25% EtOAc in hexane) to give the title compound as a yellow solid (400 mg, 80%), m.p. = 166–167 °C (lit. [10], m.p. = 167–168 °C); Rf = 0.1 (20% ethyl acetate in hexane); 1H NMR (400 MHz, DMSO-d6) δ: 11.24 (s, 1H), 10.31 (s, 1H), 7.93 (d, J = 9.0 Hz, 1H), 7.32 (d, J = 7.9 Hz, 1H), 7.25–7.15 (m, 2H), 6.92 (dd, J = 7.6, 1.1 Hz, 1H) (in agreement with the 1H NMR data that were previously reported for this compound) [10].
3.14. Synthesis of 2,8-Dihydroxy-1-naphthaldehyde (19)
A closed vessel with a magnetic stir bar was charged with Ni(OAc)2·4H2O (20 mg, 0.11 mmol, 0.2 equiv), followed by water (1 mL), and the mixture was stirred at room temperature for a few minutes. Ca(H2PO2)2 (90 mg, 0.54 mmol, 1 equiv) was then added, followed by Ca(OAc)2·H2O (40 mg, 0.22 mmol, 0.4 equiv), compound 5 (100 mg, 0.54 mmol, 1 equiv), and EtOH (1 mL). The reaction mixture was heated at 100 °C for 24 h. Upon completion (TLC analysis), the reaction was left to cool to room temperature, and water (10 mL) was added. The reaction mixture was then extracted with EtOAc (3 × 10 mL), and the combined organic extracts were washed with brine (10 mL), dried over anhydrous Na2SO4, and concentrated under vacuum. The acquired crude residue was purified by flash column chromatography (17% EtOAc in hexane) to give the title compound (29 mg, 29%) as a yellow solid, m.p. = 194–196 °C (lit. [14], m.p. = 195–197 °C); Rf = 0.51 (33% EtOAc in hexane); 1H NMR (400 MHz, CDCl3) δ: a broad singlet corresponding to OH is not visible, 11.33 (s, 1H), 7.92 (d, J = 9.1 Hz, 1H), 7.42 (d, J = 7.9 Hz, 1H), 7.23 (d, J = 7.7 Hz, 1H), 7.14 (d, J = 9.0 Hz, 1H), 6.98 (d, J = 7.4 Hz, 1H) (in agreement with the 1H NMR data that were previously reported for this compound [14].
3.15. Synthesis of 2-Hydroxy-8-methoxy-1-naphthaldehyde (14) and 8-Hydroxy-2-methoxy-1-naphthaldehyde (20)
To a solution of 19 (25 mg, 0.133 mmol, 1 equiv) in dry DMF (5 mL), under an atmosphere of N2, oven-dried K2CO3 (19 mg, 0.134 mmol, 1.05 equiv) was added, followed by MeI (19 mg, 0.134 mmol, 1.05 equiv), and the reaction was stirred at room temperature for 2 h (TLC showed the absence of the starting material and the presence of two new spots). Water (50 mL) was added; the reaction mixture was extracted with EtOAc (3 × 20 mL); and the combined organic extracts were washed with brine (20 mL), dried over anhydrous Na2SO4, and concentrated under vacuum. The acquired crude residue was purified by flash column chromatography (11% EtOAc in hexane) to give the title compounds.
- Compound 14: (5.1 mg, 19%) as a yellow solid, m.p. = 67–68 °C (lit. [60], m.p. = 68–70 °C); Rf = 0.54 (20% ethyl acetate in hexane); (the 1H NMR data were in agreement with those reported for this compound synthesized from 4 (Scheme 2) and with those previously reported) [60].
- Compound 20: (12.5 mg, 47%) as a yellow solid, m.p. = 110–112 °C); Rf = 0.28 (20% ethyl acetate in hexane); 1H NMR (400 MHz, CDCl3) δ: 12.00 (s, 1H), 10.59 (s, 1H), 8.12 (d, J = 9.3 Hz, 1H), 7.35 (d, J = 7.7 Hz, 1H), 7.29–7.26 (m, 1H), 7.22 (d, J = 9.2 Hz, 1H), 7.14 (dd, J = 7.6, 1.4 Hz, 1H), 4.08 (s, 3H) (in agreement with the 1H NMR data that were previously reported for this compound) [15].
3.16. Synthesis of 2,8-Dimethoxy-1-naphthonitrile (13)
To a stirred solution of 5 (300 mg, 1.62 mmol, 1 equiv) in acetone (10 mL) was added MeI (460 mg, 3.28 mmol, 2.02 equiv), followed by Na2CO3 (175 mg, 1.65 mmol, 1.02 equiv) and H2O (2 mL). The reaction mixture was gently heated for 3 h, during which time TLC analysis showed complete conversion of the starting material and the presence of one new spot. The solvents were removed under reduced pressure and the oily residue was triturated with hexane to give the title compound (270 mg, 78%) as a colorless solid (hexane), m.p. = 147–149 °C; Rf = 0.21 (20% ethyl acetate in hexane); (the 1H NMR data were in agreement with those reported for this compound synthesized from compound 2 (Scheme 2)).
3.17. Synthesis of 2,8-Dimethoxy-1-naphthaldehyde (21)
To a stirred solution of 13 (210 mg, 1 mmol, 1 equiv) in dry toluene (10 mL) at 0 °C, under an atmosphere of N2, was added DIBAL (1.67 mL of 1.2 M in toluene, 2 mmol, 2 equiv), and the reaction mixture stirred for 0.5 h and then left stirring at room temperature for 18 h. Upon completion of the reaction (TLC analysis), the solvent was removed under reduced pressure, cold water (20 mL) was carefully added to the residue, and the resulting mixture was cooled to 0 °C, followed by the dropwise addition of 1 M HCl aq. until pH = 1. The aqueous solution was extracted with EtOAc (3 × 10 mL), and the combined organic extracts were washed with brine (20 mL), dried over anhydrous Na2SO4, and concentrated under vacuum. The acquired crude residue was purified by flash column chromatography (17% EtOAc in hexane) to give the title compound as a light brown oil (112 mg, 52%), Rf = 0.37 (20% ethyl acetate in hexane); 1H NMR (400 MHz, CDCl3) δ: 10.75 (s, 1H), 7.85 (d, J = 9.1 Hz, 1H), 7.40 (dd, J = 8.2, 1.0 Hz, 1H), 7.34–7.25 (m, 2H), 6.86 (dd, J = 7.6, 1.0 Hz, 1H), 3.93 (s, 3H), 3.92 (s, 3H) (in agreement with the 1H NMR data that were previously reported for this compound) [16].
3.18. Procedure F for the Synthesis of 2-Hydroxy-8-methoxy-1-naphthaldehyde (14), 8-Hydroxy-2-methoxy-1-naphthaldehyde (12), and 2,8-Dihydroxy-1-naphthaldehyde (19)
To an oven-dried closed vessel with a magnetic stirrer bar, under an atmosphere of N2, was added 13 (50 mg, 0.231 mmol, 1 equiv), MgBr2 diethyl etherate (119 mg, 0.462 mmol, 2 equiv), KI (76.5 mg, 0.642 mmol, 2 equiv), and MeCN (10 mL). The vessel was sealed and then heated with stirring at 150 °C for 2 h. TLC analysis of the cooled reaction mixture showed the absence of the starting material and the presence of three new spots, one intense and two very faint (visualized under a UV lamp). The solvent was removed under vacuum, cooled water (20 mL) was carefully added to the residue, and the resulting cooled mixture was acidified by adding dropwise 1 M HCl aq. to pH = 1. The aqueous mixture was extracted with EtOAc (3 × 10 mL); the combined organic extracts were washed with brine (10 mL), dried over anhydrous Na2SO4, and concentrated under reduced pressure. The acquired crude residue was purified by flash column chromatography (11% EtOAc in hexane) to give the title compound (4.6 mg, 10%) as a yellow solid, m.p. = 67–69 °C (lit. [60], m.p. = 68–70 °C); Rf = 0.54 (20% EtOAc in hexane); (the 1H NMR data were in agreement with those reported for this compound synthesized from compound (12) (Scheme 2) and with those previously reported) [60].
3.19. Procedure G for the Synthesis of 2-Hydroxy-8-methoxy-1-naphthaldehyde (14), 8-Hydroxy-2-methoxy-1-naphthaldehyde (20), and 2,8-Dihydroxy-1-naphthaldehyde (19)
A solution of 21 (50 mg, 0.231 mmol, 1 equiv) in dry DCM (10 mL), over an atmosphere of N2, was cooled to 0 °C; then, BBr3 (690 μL of a 1 M solution in DCM, 0.693 mmol, 3 equiv) was added dropwise. The reaction was left stirring at room temperature for 18 h (TLC analysis showed complete conversion of the starting material and the presence of three new spots) and then cooled to 0 °C, quenched slowly with cold water (30 mL), and extracted with DCM (3 × 50 mL). The combined organic extracts were washed with brine (20 mL), dried over anhydrous Na2SO4, and concentrated under reduced pressure. The acquired crude residue was purified by flash column chromatography (11% EtOAc in hexane) to give the title compounds.
- Compound 14: (3.7 mg, 8%) as a yellow solid, m.p. = 67–68 °C (lit. [60], m.p. = 68–70 °C); Rf = 0.54 (20% EtOAc in hexane); (the 1H NMR data were in agreement with those reported for this compound synthesized from (12) (Scheme 2) and with those previously reported) [60].
- Compound 20: (3.2 mg, 7%) as a yellow solid, m.p. = 110–112 °C); Rf = 0.28 (20% ethyl acetate in hexane); 1H NMR (400 MHz, CDCl3) δ: 12.00 (s, 1H), 10.59 (s, 1H), 8.12 (d, J = 9.3 Hz, 1H), 7.35 (d, J = 7.7 Hz, 1H), 7.29–7.26 (m, 1H), 7.22 (d, J = 9.2 Hz, 1H), 7.14 (dd, J = 7.6, 1.4 Hz, 1H), 4.08 (s, 3H) (in agreement with the 1H NMR data that were previously reported for this compound) [15].
- Compound 19: (25.6 mg, 59%) as a yellow solid, m.p. = 194–196 °C (lit. [14], m.p. = 195–197 °C); Rf = 0.51 (33% EtOAc in hexane); (the 1H NMR data were in agreement with those reported for this compound synthesized from compound (5) (Scheme 2) and with those previously reported) [14].
3.20. Procedure H for the Synthesis of 2-Hydroxy-8-methoxy-1-naphthaldehyde (14), 8-Hydroxy-2-methoxy-1-naphthaldehyde (20), and 2,8-Dihydroxy-1-naphthaldehyde (19)
A solution of 21 (50 mg, 0.231 mmol, 1 equiv) in dry DCM (10 mL), over an atmosphere of N2, was cooled to 0 °C; then, BBr3 (230 μL of a 1M solution in DCM, 0.231 mmol, 1 equiv) was added dropwise, and the reaction was left stirring at room temperature for 1 h. TLC analysis showed complete conversion of the starting material and the presence of three new spots (visualized under a UV lamp). The reaction mixture was cooled to 0 °C, quenched slowly with cold water (30 mL), and extracted with DCM (3 × 20 mL); the combined organic extracts were washed with brine (20 mL), dried over anhydrous Na2SO4, and concentrated under vacuum. The acquired crude residue was purified by flash column chromatography (11% EtOAc in hexane) to give the title compounds.
- Compound 14: (3.7 mg, 19%) as a yellow solid, m.p. = 67–68 °C (lit. [60], m.p. = 68–70 °C); Rf = 0.54 (20% EtOAc in hexane); (the 1H NMR data were in agreement with those reported for this compound synthesized from (12) (Scheme 2) and with those previously reported) [60].
- Compound 20: (5 mg, 11%) as a yellow solid, m.p. = 110–112 °C; Rf = 0.28 (20% ethyl acetate in hexane); (the 1H NMR data were in agreement with those reported for this compound synthesized from compound (21) (Scheme 2) and with those previously reported) [15].
- Compound 19: (14.3 mg, 33%) as a yellow solid, m.p. = 194–196 °C (lit. [14], m.p. = 195–197 °C); Rf = 0.51 (33% EtOAc in hexane); (the 1H NMR data were in agreement with those reported for this compound synthesized from compound (13) (Scheme 2) and with those previously reported) [14].
3.21. Procedure I for the Synthesis of 2-Hydroxy-8-methoxy-1-naphthaldehyde (14), 8-Hydroxy-2-methoxy-1-naphthaldehyde (20), and 2,8-Dihydroxy-1-naphthaldehyde (19)
A solution of 21 (50 mg, 0.231 mmol, 1 equiv) in dry DCM (10 mL), over an atmosphere of N2, was cooled to −15 °C; then, BBr3 (230 μL of a 1 M solution in DCM, 0.231 mmol, 1 equiv) was added dropwise over a period of 10 min. The reaction was allowed to slowly reach room temperature and was left stirring for 1 h, after which TLC analysis showed complete conversion of the starting material and the presence of three new spots (visualized under a UV lamp). The reaction mixture was cooled to 0 °C, quenched slowly with cold water (30 mL), and extracted with DCM (3 × 20 mL). The combined organic extracts were washed with brine (20 mL), dried over anhydrous Na2SO4, and concentrated under reduced pressure. The acquired crude residue was purified by flash column chromatography (11% EtOAc in hexane) to give the title compounds.
- Compound 14: (25.9 mg, 56%) as a yellow solid, m.p. = 67–68 °C (lit. [60], m.p. = 68–70 °C); Rf = 0.54 (20% EtOAc in hexane); (the 1H NMR data were in agreement with those reported for this compound synthesized from (12) (Scheme 2) and with those previously reported) [60].
- Compound 20: (10 mg, 22%) as a yellow solid, m.p. = 110–112 °C); Rf = 0.28 (20% ethyl acetate in hexane); (the 1H NMR data were in agreement with those reported for this compound synthesized from compound (21) (Scheme 2) and with those previously reported) [15].
- Compound 19: (4.3 mg, 10%) as a yellow solid, m.p. = 194–196 °C (lit. [14], m.p. = 195–197 °C); Rf = 0.51 (33% EtOAc in hexane); (the 1H NMR data were in agreement with those reported for this compound synthesized from compound (5) (Scheme 2) and with those previously reported) [14].
3.22. Procedure J for the Synthesis of 2,8-Bis(benzyloxy)-1-naphthonitrile (22) and 2-(Benzyloxy)-8-hydroxy-1-naphthonitrile (23)
To a stirred solution of 2 (500 mg, 2.7 mmol, 1 equiv) in dry acetone (20 mL), under an atmosphere of N2, was added benzyl bromide (462 mg, 2.7 mmol, 1 equiv), oven-dried K2CO3 (391 mg, 2.83 mmol, 1.05 equiv), and KI (89 mg, 0.54 mmol, 0.2 equiv). The reaction was left stirring at room temperature for 18 h, after which TLC analysis indicated the absence of the starting material and the presence of two new spots. The solvent was removed under vacuum, the residue was dissolved in EtOAc (30 mL) and washed with water (3 × 10 mL). The organic extract was dried over anhydrous Na2SO4 and concentrated under reduced pressure. The acquired crude residue was purified by flash column chromatography (20% EtOAc in hexane) to give the title compounds 22 and 23.
- Compound 22: (118 mg, 12%) as an orange oil; Rf = 0.38 (20% EtOAc in hexane); 1H NMR (400 MHz, CDCl3) δ: 7.97 (d, J = 9.1 Hz, 1H), 7.73–7.66 (m, 2H), 7.66–7.57 (m, 2H), 7.53–7.31 (m, 9H), 7.06 (dd, J = 7.6 Hz, 1.2 Hz, 1H), 5.47 (s, 4H); 13C NMR (100.6 MHz, CDCl3) δ: 162.1, 153.1, 136.4, 136.1, 134.6, 130.0, 128.8 (2C), 128.6 (2C), 128.2, 128.1, 127.8 (2C), 127.0 (2C), 125.3, 125.3, 121.3, 116.8, 114.1, 109.6, 93.8, 71.3, 71.1.; IR (solid): 3067, 3027, 2922, 2887, 2214, 2094, 1737, 1677, 1591 cm−1; HRMS (ESI): m/z [M + H]+ calcd. for C25H20NO2: 366.1489, found: 366.1485.
- Compound 23: (450 mg, 61%) as a colorless solid, m.p. = 136–138 °C; Rf = 0.49 (20% ethyl acetate in hexane); 1H NMR (400 MHz, CDCl3) δ: 7.82–7.75 (m, 2H), 7.57 (d, J = 8.8 Hz, 1H), 7.41 (d, J = 8.8 Hz, 1H), 7.33–7.12 (m, 6H), 5.44 (s, 2H); 13C NMR (100.6 MHz, CDCl3) δ: 156.0, 139.6, 135.7, 131.3, 129.7, 129.3 (2C), 128.1, 127.0, 126.3 (2C), 124.9, 124.4, 123.9, 120.3, 120.2, 110.8, 47.8; IR (solid): 3052, 2920, 2845, 2216, 2117, 1886, 1752 cm−1; HRMS (ESI): m/z [M + H]+ calcd. for C18H14NO2: 276.1019, found: 216.1018.
3.23. Synthesis of 2-(Benzyloxy)-8-methoxy-1-naphthonitrile (24)
This was prepared according to the experimental procedure for the synthesis of (13) from (5) (Scheme 2). Used as starting material of compound (23) (400 mg, 5 mmol, 1 equiv), MeI (724 mg, 5.1 mmol, 1.02 equiv) Na2CO3 (540 mg, 5.1 mmol, 1.02 equiv), acetone (15 mL) and H2O (3 mL), which gave the title compound (384 mg, 93%) as a yellow solid, m.p. = 100–103 °C; Rf = 0.32 (20% EtOAc in hexane); 1H NMR (400 MHz, CDCl3) δ: 7.80 (d, J = 9.2 Hz, 1H), 7.57–7.39 (m, 2H), 7.36–7.13 (m, 6H), 6.86 (dd, J = 6.3, 2.5 Hz, 1H), 5.31 (s, 2H), 3.97 (s, 3H); 13C NMR (100.6 MHz, CDCl3) δ: 162.0, 154.3, 136., 134.5, 129.9, 128.8 (2C), 128.2, 127.0 (2C), 125.4, 125.2, 121.0, 116.8, 114.1, 107.7, 93.7, 71.3, 55.8; IR (solid): 2919, 2844, 2212, 2101, 1737, 1595 cm−1; HRMS (ESI): m/z [M + H]+ calcd. for C19H16NO2: 290.1176, found: 290.1177.
3.24. Synthesis of 2-(Benzyloxy)-8-methoxy-1-naphthaldehyde 25
This was prepared according to the experimental procedure for the synthesis of compound 21 from 13 (Scheme 2). Used as starting material of compound 24 (100 mg, 0.34 mmol, 1 equiv), DIBAL (580 μL of 1.2 M in toluene, 0.68 mmol, 2 equiv) and dry toluene (10 mL), which gave the title compound (55.6 mg, 55%) as a yellow oil; Rf = 0.46 (20% EtOAc in hexane); 1H NMR (400 MHz, CDCl3) δ: 10.76 (s, 1H), 7.81 (d, J = 9.0 Hz, 1H), 7.46–7.27 (m, 8H), 6.86 (dd, J = 7.7, 1.1 Hz, 1H), 5.23 (s, 2H), 3.94 (s, 3H); 13C NMR (100.6 MHz, CDCl3) δ: 195.0, 155.0, 153.7, 136.9, 131.7, 130.5, 128.7 (2C), 128.1, 127.4 (2C), 124.8, 124.1, 123.4, 121.1, 116.4, 106.62, 72.3, 56.0; IR (solid): 2924, 2843, 2210, 1711, 1596 cm−1; HRMS (ESI): m/z [M + H]+ calcd. for C19H17O3: 293.1172, found: 293.1168.
3.25. Synthesis of 2-Hydroxy-8-methoxy-1-naphthaldehyde (14)
To a stirred solution of 25 (20 mg, 0.099 mmol) in anhydrous MeOH (5 mL), under an atmosphere of N2, 5% Pd/C (1 mg, 5%) was added, and the reaction was purged with H2. Stirring at room temperature was continued for 18 h (TLC analysis showed complete conversion of the starting material and the presence of a new spot. The reaction mixture was filtered, and the solvent was removed under vacuum. To the remaining residue, EtOAc (20 mL) was added and then washed with brine (10 mL). The organic layer was dried over anhydrous Na2SO4 and concentrated under reduced pressure. The acquired crude product was purified by flash column chromatography (20% EtOAc in hexane) to give the title compound (18 mg, 92%) as a yellow solid, m.p. = 67–69 °C (lit. [60], m.p. = 68–70 °C); Rf = 0.54 (20% ethyl acetate in hexane); (the 1H NMR data were in agreement with those reported for this compound synthesized from compound 12 (Scheme 2) and with those previously reported) [60].
3.26. Synthesis of (E)-2-Hydroxy-8-methoxy-1-naphthaldehyde Oxime (6)
To a stirred solution of 14 (200 mg, 0.99 mmol, 1 equiv) in MeOH (20 mL), NH2OH.HCl (76.4 mg, 0.0011 mmol, 1.1 equiv) was added, and the resulting mixture was cooled to 0 °C, followed by the dropwise addition of an aqueous saturated Na2CO3 solution until pH = 8. The reaction mixture was left stirring at room temperature for 1 h. TLC analysis showed the absence of the starting material and the presence of a new spot on the baseline. The solution was cooled to 0 °C, followed by the dropwise addition of MeCO2H until pH = 5. The solvent was evaporated under vacuum, water (25 mL) was added to the residue, and the mixture was extracted with EtOAc (3 × 10 mL). The combined organic extracts were washed with brine (10 mL), dried over anhydrous Na2SO4, and concentrated under reduced pressure. The acquired light yellow solid was purified by flash column chromatography (20% EtOAc in hexane) to give the title compound (164 mg, 78%) as a yellow solid, m.p. = 142–143 °C (lit. [60], m.p. = 141–143 °C); Rf = 0.32 (20% EtOAc in hexane); 1H NMR (400 MHz, DMSO-d6) δ: 12.06 (s, 1H), 11.45 (s, 1H), 9.65 (s, 1H), 7.83 (d, J = 9.0 Hz, 1H), 7.46 (d, J = 6.8 Hz, 1H), 7.29 (t, J = 7.9 Hz, 1H), 7.18 (d, J = 8.9 Hz, 1H), 7.08 (d, J = 7.9 Hz, 1H), 3.94 (s, 3H) (in agreement with the 1H NMR data that were previously reported for this compound) [60].
3.27. Synthesis of 9-Methoxynaphtho[1,2-d]isoxazole 2-Oxide (8)
To a stirred solution of (E)-oxime 6 (150 mg, 0.70 mmol, 1 equiv) in dry t-BuOH (15 mL), under an atmosphere of N2, PIDA (450 mg, 1.40 mmol, 2 equiv) was added, and the resulting mixture was stirred at room temperature for 0.5 h. TLC analysis showed the absence of the starting material and the presence of a new spot. Water (15 mL) was added, followed by the dropwise addition of 5% NaHCO3 aq. solution until pH = 7–8. The solvents were evaporated under vacuum and water (20 mL) was added to the residue, and the resulting mixture was extracted with EtOAc (3 × 10 mL). The combined organic extracts were washed with brine (10 mL), dried over anhydrous Na2SO4, and concentrated under reduced pressure. The acquired residue was purified by flash column chromatography (17% EtOAc in hexane) to give the title compound (120 mg, 81%) as a yellow solid, m.p. = 91–93 °C; Rf = 0.44 (20% EtOAc in hexane); 1H NMR (400 MHz, CDCl3) δ: 8.10 (s, 1H), 7.89 (d, J = 8.9 Hz, 1H), 7.52 (d, J = 8.1 Hz, 1H), 7.47 (t, J = 7.9 Hz, 1H), 7.36 (d, J = 9.0 Hz, 1H), 7.02 (d, J = 7.6 Hz, 1H), 4.07 (s, 3H); 13C NMR (100.6 MHz, CDCl3) δ: 155.2, 149.7, 131.9, 129.33, 126.1, 121.2, 117.4, 112.2, 111.3, 108.4, 106.6, 55.8; IR (solid) 3098, 2919, 2840, 2365, 2209, 2107, 1743, 1568 cm−1; HRMS (ESI): m/z [M + H]+ calcd. for C12H10NO3: 216.0661, found: 216.0664.
3.28. In Situ Generation of 2-Hydroxy-8-methoxy(naphthalen-1-yl)nitrile Oxide (9)
A solution of isoxazole 2-oxide 8 (5 mg, 0.023 mmol) in dry DMSO-d6 (0.5 mL), under an atmosphere of N2, was stirred at room temperature for 6 h. TLC analysis revealed the absence of the starting material and the presence of a new spot. The solution was transferred to an NMR tube and the 1H and 13C NMR spectra of the new compound were recorded. Rf = 0.2 (20% EtOAc in hexane); 1H NMR (400 MHz, DMSO-d6) δ: 11.29 (s, 1H), 7.92 (d, J = 9.0 Hz, 1H), 7.46 (dd, J = 8.2, 1.0 Hz, 1H), 7.39–7.20 (m, 2H), 7.07 (dd, J = 7.8, 1.0 Hz, 1H), 3.98 (s, 3H).; 13C NMR (100.6 MHz, DMSO-d6) δ: 161.4, 153.3, 132.8, 128.9, 124.4, 124.4, 121.2, 117.5, 107.6, 88.7, 56.4.; HRMS (ESI): m/z [M + H]+ calcd. for C12H10NO3: 216.0661, found: 216.0661.
3.29. Procedure K for the Synthesis of Dimethyl 3-(2-Hydroxy-8-methoxynaphthalen-1-yl)isoxazole-4,5-dicarboxylate (10a), 8-Methoxy-1-(5-phenylisoxazol-3-yl)naphthalen-2-ol (10b), Methyl 3-(2-Hydroxy-8-methoxynaphthalen-1-yl)-4,5-dihydroisoxazole-5-carboxylate (10c) and 8-Methoxy-1-(5-phenyl-4,5-dihydroisoxazol-3-yl)naphthalen-2-ol (10d)
A solution of 2-oxide 8 (5 mg, 0.023 mmol, 1 equiv) in dry DMSO (1.5 mL), under an atmosphere of N2, was stirred at room temperature for 15 min. DMAD, phenylacetylene, methyl acrylate, or styrene (0.069 mmol, 3 equiv) was added, and the resulting mixture was stirred at room temperature for 18 h. TLC analysis showed the absence of the starting material and the presence of a new spot (visualized under a UV lamp). The reaction was quenched with water (15 mL), and the resulting mixture was extracted with EtOAc (3 × 10 mL). The combined organic extracts were washed with brine (10 mL), dried over anhydrous Na2SO4, and concentrated under vacuum. The acquired residue was purified by flash column chromatography (17% EtOAc in hexane) to give the title compounds.
- Compound 10a: (7 mg, 85%) as a yellow solid, m.p. = 149–151 °C; Rf = 0.09 (20% EtOAc in hexane); 1H NMR (400 MHz, CDCl3) δ: a singlet corresponding to OH is not visible, 7.83 (d, J = 8.9 Hz, 1H), 7.41 (d, J = 8.1 Hz, 1H), 7.32–7.21 (m, 1H), 6.79 (d, J = 7.7 Hz, 1H), 4.05 (s, 3H), 3.62 (s, 3H), 3.38 (s, 3H); 13C NMR (100.6 MHz, CDCl3) δ: 162.2, 160.5, 159.2, 157.2, 154.4, 153.4, 132.9, 130.4, 124.2, 124.0, 121.5, 118.7, 118.3, 106.6, 103.8, 55.3, 53.6, 52.2; IR (solid) 3352, 2922, 2848, 2364, 2119, 1717, 1613, 1520 cm−1; HRMS (ESI): m/z [M + H]+ calcd. for C18H16NO7: 358.0921, found: 358.0916.
- Compound 10b: (6.2 mg, 93%) as a colorless solid, m.p. = 108–110 °C; Rf = 0.49 (20% EtOAc in hexane); 1H NMR (400 MHz, CDCl3) δ: 8.61 (s, 1H), 7.88–7.79 (m, 3H), 7.55–7.41 (m, 4H), 7.37–7.29 (m, 2H), 6.90 (d, J = 7.6 Hz, 1H), 6.55 (s, 1H), 3.72 (s, 3H); 13C NMR (100.6 MHz, CDCl3) δ: 168.01, 167.4, 154.9, 154.0, 132.4, 130.9, 130.4, 129.2 (2C), 127.7, 126.0 (2C), 124.1, 123.5, 121.6, 118.8, 107.6, 105.2, 103.9, 55.3; IR (solid) 3205, 2919, 2845, 2363, 2123, 1732, 1606 cm−1; HRMS (ESI): m/z [M + H]+ calcd. for C20H16NO3: 318.1125, found: 318.1125.
- Compound 10c: (6.2 mg, 89%) as a yellow solid, m.p. = 118–120 °C; Rf = 0.06 (20% EtOAc in hexane); 1H NMR (400 MHz, CDCl3) δ: a singlet corresponding to OH is not visible, 7.76 (d, J = 8.9 Hz, 1H), 7.40 (d, J = 8.0 Hz, 1H), 7.29 (t, J = 7.9 Hz, 1H), 7.22 (d, J = 8.9 Hz, 1H), 6.90 (d, J = 7.8 Hz, 1H), 5.20 (t, J = 8.6 Hz, 1H), 3.88 (s, 3H), 3.86 (s, 3H), 3.58 (d, J = 8.6 Hz, 2H); 13C NMR (100.6 MHz, CDCl3) δ: 171.4, 158.6, 154.4, 153.3, 132.3, 130.6, 124.3, 124.1, 121.7, 118.7, 108.0, 104.7, 56.3, 53.0, 45.2; IR (solid) 3173, 2928, 2848, 2364, 2122, 1899, 1736, 1607, 1516 cm−1; HRMS (ESI): m/z [M + H]+ calcd. for C16H16NO5: 302.1023, found: 302.1028.
- Compound 10d: (7.1 mg, 97%) as a colorless solid, m.p. = 205–207 °C; Rf = 0.34 (20% EtOAc in hexane); 1H NMR (400 MHz, CDCl3) δ: 8.31 (s, 1H), 7.67 (d, J = 8.9 Hz, 1H), 7.41 (d, J = 7.5 Hz, 2H), 7.36 (t, J = 7.5 Hz, 2H), 7.30 (t, J = 7.8 Hz, 2H), 7.23–7.14 (m, 2H), 6.73 (d, J = 7.7 Hz, 1H), 5.73 (dd, J = 10.4, 7.4 Hz, 1H), 3.54 (dd, J = 16.3, 10.3 Hz, 1H), 3.37–3.29 (m, 4H); 13C NMR (100.6 MHz, CDCl3) δ 159.1, 154.3, 153.4, 141.0, 132.0, 130.6, 128.7 (2C), 128.0, 125.8 (2C), 124.0, 123.9, 121.4, 118.5, 107.3, 105.3, 81.4, 55.2, 49.0; IR (solid) 3135, 2922, 2848, 2363, 2110, 1917, 1754, 1605, 1514 cm−1; HRMS (ESI): m/z [M + H]+ calcd. for C20H18NO3: 320.1281, found: 320.1279.
4. Conclusions
We developed a fairly efficient four-step synthesis of (E)-2-hydroxy-8-methoxy-1-naphthaldehyde from naphtho[1,8-de][1,2]oxazin-4-ol with an overall yield of 28.7%. The corresponding aldoxime was oxidized with PIDA to 9-methoxynaphtho[1,2-d]isoxazole 2-oxide. From previous works, under similar conditions, (E)-2-hydroxy-1-naphthaldehyde oxime afforded naphtho[1,8-de][1,2]oxazin-4-ol and not the parent naphtho[1,2-d]isoxazole 2-oxide. We therefore attributed the stability of 9-methoxynaphtho[1,2-d]isoxazole 2-oxide to the strong H bonding between the 9-OMe substituent and the hydrogen atom of C–1. Clearly, a peri substituent like OMe, which is capable of such an intramolecular H bonding interaction, is critical in keeping the heteroring intact, and thus isolable. Indeed, the disruption of this H bond occurs in DMSO by solvation followed by the subsequent ring-opening to its 2-hydroxy-8-methoxy(naphthalen-1-yl)nitrile oxide isomer. So far, this isomerization is a novel transformation which was detected by 1H NMR spectroscopy measured by a time-course plot. The formation of a nitrile oxide and not its isocyanate isomer or a furoxan dimer was confirmed by the 1,3-dipolar cycloaddition reactions with various dipolarophiles, which provided access to multi-substituted isoxazoles.
Supplementary Materials
The following supporting information can be downloaded at: https://www.mdpi.com/article/10.3390/molecules29010048/s1, Figures S1, S5, S6, S10, S14, S15, S19, S23, S27, S31–S34, S38, S42, S46, S50, S51, S55, S56, S62, S66, S70 and S74—1H NMR spectra of the compounds 11, 5, 12, 13, 14, 15, 16, 17, 18, 19, 20, 21, 23, 24, 25, 6, 8, 9, 10a, 10b, 10c, 10d; Figures S2, S7, S11, S16, S20, S24, S28, S35, S39, S43, S47, S52, S57, S63, S67, S71, and S75—13C NMR spectra of the compounds 11, 12, 13, 15, 16, 17, 18, 22, 23, 24, 25, 10a, 10b, 10c, 10d; Figures S3, S8, S12, S17, S21, S25, S29, S36, S40, S44, S48, S53, S58, S64, S68, S72 and S76—HRMS spectra of the compounds 11, 12, 13, 15, 16, 17, 18, 22, 23, 24, 25, 8, 9, 10a, 10b, 10c, 10d; Figures S4, S9, S13, S18, S22, S26, S30, S37, S41, S45, S49, S54, S65, S69, S73 and S77—IR spectra of the compounds 11, 12, 13, 15, 16, 17, 18, 22, 23, 24, 25, 8, 10a, 10b, 10c, 10d; Figure S59—1H NMR spectra of the compounds 9 and 8 superimposed; Figure S60—1H NMR spectra of the compounds 9 and 8 stacked; Figure S61—1H NMR spectra of the time-course experiment of the ring-opening of compound 8 to compound 9.
Author Contributions
Conceptualization, G.V. and P.G.T.; methodology, I.E.G.; investigation, I.E.G.; writing—original draft preparation, G.V. and P.G.T.; writing—review and editing, G.V. and P.G.T. All authors have read and agreed to the published version of the manuscript.
Funding
This research received no external funding.
Institutional Review Board Statement
Not applicable.
Informed Consent Statement
Not applicable.
Data Availability Statement
Data are contained within the article and supplementary materials.
Acknowledgments
We appreciate the use of the NMR and mass spectrometry facilities funded by the Network of Research Supporting Laboratories of the University of Ioannina and thank Vasiliki I. Boti for providing high-resolution mass spectra.
Conflicts of Interest
The authors declare no conflict of interest.
References
- Majireck, M.M.; Bennett, J.M. 1,2-Oxazines and Their Benzo Derivatives. In Comprehensive Heterocyclic Chemistry IV; Elsevier: Amsterdam, The Netherlands, 2021; pp. 283–415. ISBN 9780128186565. [Google Scholar]
- Chada, R.R.; Kajare, R.C.; Bhandari, M.C.; Mohammed, S.Z.; Khatravath, M.; Warudikar, K.; Punna, N. Facile Access to [1,2]-Oxazine Derivatives via annulations of Aminoxy-Tethered 1,7-Enynes. Org. Biomol. Chem. 2021, 19, 809–821. [Google Scholar] [CrossRef] [PubMed]
- Somu, C.; Mohan, C.D.; Ambekar, S.; Dukanya; Rangappa, S.; Baburajeev, C.P.; Sukhorukov, A.; Mishra, S.; Shanmugam, M.K.; Chinnathambi, A.; et al. Identification of a Novel 1,2 Oxazine That Can Induce Apoptosis by Targeting NF-ΚB in Hepatocellular Carcinoma Cells. Biotechnol. Rep. 2020, 25, e00438. [Google Scholar] [CrossRef] [PubMed]
- Gaonkar, S.L.; Nagaraj, V.U.; Nayak, S. A Review on Current Synthetic Strategies of Oxazines. Mini Rev. Org. Chem. 2018, 16, 43–58. [Google Scholar] [CrossRef]
- Tsoungas, P.G. 1,2-Oxazines and Their N-Oxides in Synthesis. Heterocycles 2002, 57, 915. [Google Scholar] [CrossRef]
- Tsoungas, P.G. Synthesis of 1,2-Oxazines and Their N-Oxides. Heterocycles 2002, 57, 1149. [Google Scholar] [CrossRef]
- Adams, R.; Geissman, T.A. Structure of Gossypol. VIII. 1 Derivatives of the Ethers of Gossypol. J. Am. Chem. Soc. 1938, 60, 2166–2170. [Google Scholar] [CrossRef]
- Adams, R.; Burney, D.E. The Reactions of 2,8-Dihydroxynaphthaldehyde. J. Am. Chem. Soc. 1941, 63, 1103–1107. [Google Scholar] [CrossRef]
- Royer, R.E.; Deck, L.M.; Campos, N.M.; Hunsaker, L.A.; Vander Jagt, D.L. Biologically Active Derivatives of Gossypol: Synthesis and Antimalarial Activities of Peri-Acylated Gossylic Nitriles. J. Med. Chem. 1986, 29, 1799–1801. [Google Scholar] [CrossRef]
- Supsana, P.; Tsoungas, P.G.; Varvounis, G. A Novel One-Pot Synthesis of Isomeric Naphtho[1,2-d]Isoxazole 2-Oxide and Naphtho[1,8-de][1,2]Oxazine Ring Systems. A Case of Simultaneous o- and Peri-Cyclisation in Naphthalene. Tetrahedron Lett. 2000, 41, 1845–1847. [Google Scholar] [CrossRef]
- Supsana, P.; Tsoungas, P.G.; Aubry, A.; Skoulika, S.; Varvounis, G. Oxidation of 1-Acyl-2-Naphthol Oximes: Peri- and o-Cyclisation and Spiro Cyclodimerisation of Naphthoquinone Nitrosomethide Intermediates. Tetrahedron 2001, 57, 3445–3453. [Google Scholar] [CrossRef]
- Dolka, C.; Van Hecke, K.; Van Meervelt, L.; Tsoungas, P.G.; Van Der Eycken, E.V.; Varvounis, G. Novel Thermal and Microwave-Assisted Facile Route to Naphthalen-2(1 h)-Ones via an Oxidative Alkoxylation-Ringopening Protocol. Org. Lett. 2009, 11, 2964–2967. [Google Scholar] [CrossRef] [PubMed]
- Bin, L.; Xue, W.; Shuang, J.; Tianyong, Z.; Jingyi, Y.; Jingchao, W.; Xiao, S.; Xiaoyuan, M. Progress in Synthesis and Application of Naphthalenediol Intermediates with High Value-Added. Chem. Ind. Eng. Prog. 2019, 38, 1903–1912. [Google Scholar] [CrossRef]
- Hügle, M.; Lucas, X.; Ostrovskyi, D.; Regenass, P.; Gerhardt, S.; Einsle, O.; Hau, M.; Jung, M.; Breit, B.; Günther, S.; et al. Beyond the BET Family: Targeting CBP/P300 with 4-Acyl Pyrroles. Angew. Chem. 2017, 129, 12650–12654. [Google Scholar] [CrossRef]
- Jiang, J.; Yuan, D.; Ma, C.; Song, W.; Lin, Y.; Hu, L.; Zhang, Y. Palladium-Catalyzed Regiospecific Peri- And Ortho-C-H Oxygenations of Polyaromatic Rings Mediated by Tunable Directing Groups. Org. Lett. 2021, 23, 279–284. [Google Scholar] [CrossRef] [PubMed]
- Li, F.; Zhou, Y.; Yang, H.; Wang, Z.; Yu, Q.; Zhang, F.L. Monodentate Transient Directing Group Enabled Pd-Catalyzed Ortho-C-H Methoxylation and Chlorination of Benzaldehydes. Org. Lett. 2019, 21, 3692–3695. [Google Scholar] [CrossRef] [PubMed]
- Cordero, F.M.; Giomi, D.; Machetti, F. Isoxazoles. In Comprehensive Heterocyclic Chemistry IV; Elsevier: Amsterdam, The Netherlands, 2022; pp. 308–434. [Google Scholar]
- Duc, D.X.; Dung, V.C. Recent Progress in the Synthesis of Isoxazoles. Curr. Org. Chem. 2021, 25, 2938–2989. [Google Scholar] [CrossRef]
- Das, S.; Chanda, K. An Overview of Metal-Free Synthetic Routes to Isoxazoles: The Privileged Scaffold. RSC Adv. 2021, 11, 32680–32705. [Google Scholar] [CrossRef] [PubMed]
- Zhu, J.; Mo, J.; Lin, H.Z.; Chen, Y.; Sun, H.P. The Recent Progress of Isoxazole in Medicinal Chemistry. Bioorg Med. Chem. 2018, 26, 3065–3075. [Google Scholar] [CrossRef]
- Pairas, G.N.; Perperopoulou, F.; Tsoungas, P.G.; Varvounis, G. The Isoxazole Ring and Its N-Oxide: A Privileged Core Structure in Neuropsychiatric Therapeutics. ChemMedChem 2017, 12, 408–419. [Google Scholar] [CrossRef]
- Kumar, J.; Chawla, G.; Akhtar, M.; Sahu, K.; Rathore, V.; Sahu, S. Design, Synthesis and Pharmacological Evaluation of Some Novel Derivatives of 1-{[3-(Furan-2-yl)-5-Phenyl-4,5-Dihydro-1,2-Oxazol-4-yl]Methyl}-4-Methyl Piperazine. Arab. J. Chem. 2017, 10, 141–149. [Google Scholar] [CrossRef]
- Singhal, A.; Parumala, S.K.R.; Sharma, A.; Peddinti, R.K. Hypervalent Iodine Mediated Synthesis of Di- and Tri-Substituted Isoxazoles via [3+2] Cycloaddition of Nitrile Oxides. Tetrahedron Lett. 2016, 57, 719–722. [Google Scholar] [CrossRef]
- Imai, T.; Togo, H. One-Pot Preparation of 3-Arylisoxazole-4,5-dicarboxylates from Benzylic Chlorides and Acetylenedicarboxylates. Eur. J. Org. Chem. 2018, 2018, 1377–1383. [Google Scholar] [CrossRef]
- Kobayashi, E.; Togo, H. Facile One-Pot Preparation of 5-Aryltetrazoles and 3-Arylisoxazoles from Aryl Bromides. Tetrahedron 2018, 74, 4226–4235. [Google Scholar] [CrossRef]
- Kobayashi, E.; Togo, H. Facile One-Pot Transformation of Primary Alcohols into 3-Aryl- and 3-Alkyl-Isoxazoles and -Pyrazoles. Synthesis 2019, 51, 3723–3735. [Google Scholar] [CrossRef]
- Nakano, R.; Togo, H. Efficient Transformation of Electron-Rich Arenes into Diethyl 3-Arylisoxazole-4,5-Dicarboxylates. Tetrahedron 2020, 76, 131255. [Google Scholar] [CrossRef]
- Kamath, P.; Jadhav, V.; Lal, M. Heterocycle–Heterocycle Strategy for 4,5-Disubstituted Pyrrolidine 2,3-Diones: Reductive Rearrangement Approach from Isoxazole Esters. Synlett 2021, 32, 1146–1150. [Google Scholar] [CrossRef]
- Azarifar, D.; Maleki, B.; Mohammadi, K. Oxidative Aromatization of 3,5-Disubstituted Isoxazolines to the Corresponding Isoxazoles with N,N,N’,N’-Tetrabromobenzene-1,3-Disolfonamide (TBBDS) and 1,3-Dibromo-5,5-Dimetylhydantoin (DBH) as Efficient Reagents under Mild Reaction Conditions. Heterocycles 2007, 71, 683. [Google Scholar] [CrossRef]
- Azarifar, D.; Khosravi, K.; Veisi, R.A. An Efficient Oxidation of 2-Pyrazolines and Isoxazolines by Bis-Bromine-1,4-Diazabicyclo[2.2.2]Octane Complex (DABCO-Br2). Arkivoc 2010, 2010, 178–184. [Google Scholar] [CrossRef]
- Koyama, Y.; Matsumura, T.; Yui, T.; Ishitani, O.; Takata, T. Fluorescence Control of Boron Enaminoketonate Using a Rotaxane Shuttle. Org. Lett. 2013, 15, 4686–4689. [Google Scholar] [CrossRef]
- Abdukader, A.; Sun, Y.; Zhang, Z.; Liu, C. TBAI-Catalyzed Intramolecular Annulation of Chalcone Oximes toward Isoxazoles. Catal. Commun. 2018, 105, 43–47. [Google Scholar] [CrossRef]
- Carloni, L.E.; Mohnani, S.; Bonifazi, D. Synthesis of 3,5-Disubstituted Isoxazoles through a 1,3-Dipolar Cycloaddition Reaction between Alkynes and Nitrile Oxides Generated from O-Silylated Hydroxamic Acids. Eur. J. Org. Chem. 2019, 2019, 7322–7334. [Google Scholar] [CrossRef]
- Pramanik, N.; Sarkar, S.; Roy, D.; Debnath, S.; Ghosh, S.; Khamarui, S.; Maiti, D.K. Synthesis and Diverse General Oxidative Cyclization Catalysis of High-Valent MoVIO2 (HL) to Ubiquitous Heterocycles and Their Chiral Analogues with High Selectivity. RSC Adv. 2015, 5, 101959–101964. [Google Scholar] [CrossRef]
- Ma, L.; Jin, F.; Cheng, X.; Tao, S.; Jiang, G.; Li, X.; Yang, J.; Bao, X.; Wan, X. [2 + 2 + 1] Cycloaddition of N-Tosylhydrazones,tert-Butyl Nitrite and Alkenes: A General and Practical Access to Isoxazolines. Chem. Sci. 2021, 12, 9823–9830. [Google Scholar] [CrossRef] [PubMed]
- Athappan, P.R.; Shanti, P.; Natarajan, C. Synthesis and Spectral Studies of Cobalt(II), Nickel(II) and Copper(II) Complexes of Some Bidentate Isoxazolines. Indian. J. Chem. 1995, 34A, 648–651. [Google Scholar]
- Sharma, S.; Pathak, L.V.N.; Sharma, A. Synthesis of New 3-(4-Fluoronaphthyl)-5-(Aryl)-2-Isoxazolines and Their Antimicrobial and Spermicidal. Indian. J. Heterocycl. Chem. 2010, 19, 337–340. [Google Scholar]
- Huang, H.; Li, F.; Xu, Z.; Cai, J.; Ji, X.; Deng, G.J. Base-Promoted [3+2]-Annulation of Oxime Esters and Aldehydes for Rapid Isoxazoline Formation. Adv. Synth. Catal. 2017, 359, 3102–3107. [Google Scholar] [CrossRef]
- Wang, C.Y.; Wang, C.Y.; Teng, F.; Li, Y.; Li, J.H. Heteroannulation of Alkenes with Enynyl Benziodoxolones and Silver Nitrite Involving CC Bond Oxidative Cleavage: Entry to 3-Aryl-Δ2-Isoxazolines. Org. Lett. 2020, 22, 4250–4254. [Google Scholar] [CrossRef]
- Kociolek, M.G.; Casbohm, J.S. Benzisoxazole 2-Oxides as Novel UV Absorbers and Photooxidation Inhibitors. J. Phys. Org. Chem. 2013, 26, 863–867. [Google Scholar] [CrossRef]
- Boulton, A.J.; Tsoungas, P.G. 1,2-Benzisoxazole N-Oxides. J. Chem. Soc. Chem. Commun. 1980, 421–422. [Google Scholar] [CrossRef]
- Boulton, A.J. Indazole, Indoxazene, and Furazan Oxides: Their Synthesis and Rearrangement. Bull. Des. Sociétés Chim. Belg. 1981, 90, 645–650. [Google Scholar] [CrossRef]
- Boulton, A.J.; Tsoungas, P.G.; Tsiamis, C. Preparation of 1,2-Benzisoxazole 2-Oxides. J Chem Soc Perkin 1 1986, 1665–1667. [Google Scholar] [CrossRef]
- Jadhav, V.K.; Deshmukh, A.P.; Wadagaonkar, P.P.; Salunkhe, M.M. Sodium Perborate: A Facile Synthesis of 1,2-Benzisoxazole 2-Oxides. Synth. Commun. 2000, 30, 1521–1527. [Google Scholar] [CrossRef]
- Gardikis, Y.; Tsoungas, P.G.; Potamitis, C.; Zervou, M.; Cordopatis, P. Xanthones in Heterocyclic Synthesis. An Efficient Route for the Synthesis of C-3 o-Hydroxyaryl Substituted 1,2-Benzisoxazoles and Their N-Oxides, Potential Scaffolds for Angiotensin(II) Antagonist Hybrid Peptides. Heterocycles 2011, 83, 1077–1091. [Google Scholar] [CrossRef]
- Kociolek, M.G.; Hoermann, O. Synthesis of 1,2-Benzisoxazole 2-Oxides. Synth. Commun. 2012, 42, 2632–2638. [Google Scholar] [CrossRef]
- Raihan, M.J.; Kavala, V.; Habib, P.M.; Guan, Q.Z.; Kuo, C.W.; Yao, C.F. Synthesis of Isoxazoline N-Oxides via [Hydroxy(Tosyloxy)Iodo]Benzene (HTIB)-Mediated Oxidative N-O Coupling. J. Org. Chem. 2011, 76, 424–434. [Google Scholar] [CrossRef] [PubMed]
- Feuer, H. (Ed.) Nitrile Oxides, Nitrones, and Nitronates in Organic Synthesis; Wiley: Hoboken, NJ, USA, 2007; ISBN 9780471744986. [Google Scholar]
- Padwa, A.; Pearson, W.H. (Eds.) Synthetic Applications of 1,3-Dipolar Cycloaddition Chemistry Toward Heterocycles and Natural Products; Wiley: Hoboken, NJ, USA, 2002; Volume 59, ISBN 9780471387268. [Google Scholar]
- Fershtat, L.L.; Teslenko, F.E. Five-Membered Hetarene N-Oxides: Recent Advances in Synthesis and Reactivity. Synthesis 2021, 53, 3673–3682. [Google Scholar] [CrossRef]
- De Angelis, L.; Crawford, A.M.; Su, Y.-L.; Wherritt, D.; Arman, H.; Doyle, M.P. Catalyst-Free Formation of Nitrile Oxides and Their Further Transformations to Diverse Heterocycles. Org. Lett. 2021, 23, 925–929. [Google Scholar] [CrossRef]
- Roscales, S.; Plumet, J. Metal-Catalyzed 1,3-Dipolar Cycloaddition Reactions of Nitrile Oxides. Org. Biomol. Chem. 2018, 16, 8446–8461. [Google Scholar] [CrossRef]
- Takikawa, H.; Sato, S.; Seki, R.; Suzuki, K. Oxidative Ring Opening of Benzocyclobutenone Oximes: Novel Access to Stable Nitrile Oxides. Chem. Lett. 2017, 46, 998–1000. [Google Scholar] [CrossRef]
- Molteni, G.; Del Buttero, P. Stable Nitrile Oxide Dipolar Cycloadditions in Pure Water. Tetrahedron 2011, 67, 7343–7347. [Google Scholar] [CrossRef][Green Version]
- Faita, G.; Mella, M.; Mortoni, A.; Paio, A.; Quadrelli, P.; Seneci, P. Solid-Supported Nitrile Oxides as Stable and Valuable Reactive Intermediates. Eur. J. Org. Chem. 2002, 2002, 1175–1183. [Google Scholar] [CrossRef]
- Groundwater, P.W.; Nyerges, M.; Fejes, I.; Hibbs, D.E.; Bendell, D.; Anderson, R.J.; McKillop, A.; Sharif, T.; Zhang, W. Preparation and Reactivity of Some Stable Nitrile Oxides and Nitrones. Arkivoc 2000, 2000, 684–697. [Google Scholar] [CrossRef]
- Grundmann, C.; Richter, R. Nitrile Oxides. X. Improved Method for the Preparation of Nitrile Oxides from Aldoximes. J. Org. Chem. 1968, 33, 476–478. [Google Scholar] [CrossRef]
- Koyama, Y.; Miura, K.; Cheawchan, S.; Seo, A.; Takata, T. Cascade Functionalization of Unsaturated Bond-Containing Polymers Using Ambident Agents Possessing Both Nitrile N-Oxide and Electrophilic Functions. Chem. Commun. 2012, 48, 10304–10306. [Google Scholar] [CrossRef] [PubMed]
- Cheawchan, S.; Koyama, Y.; Uchida, S.; Takata, T. Catalyst-Free Click Cascade Functionalization of Unsaturated-Bond- Containing Polymers Using Masked-Ketene-Tethering Nitrile N-Oxide. Polymer 2013, 54, 4501–4510. [Google Scholar] [CrossRef]
- Tzeli, D.; Gerontitis, I.E.; Petsalakis, I.D.; Tsoungas, P.G.; Varvounis, G. Self Cycloaddition of o-Naphthoquinone Nitrosomethide to (±) Spiro {naphthalene(Naphthopyranofurazan)}-one Oxide: An Insight into Its Formation. ChemPlusChem 2022, 87, e202200313. [Google Scholar] [CrossRef] [PubMed]
- Di Iorio, N.; Filippini, G.; Mazzanti, A.; Righi, P.; Bencivenni, G. Controlling the C(Sp3)–C(Sp2) Axial Conformation in the Enantioselective Friedel–Crafts-Type Alkylation of β-Naphthols with Inden-1-ones. Org. Lett. 2017, 19, 6692–6695. [Google Scholar] [CrossRef] [PubMed]
- Hwan, M.K.; Byeong, H.J.; Hyon, J.Y.; Myoung, J.A.; Mun, S.S.; Jin, H.H.; Lee, K.J.; Chul, H.K.; Joo, T.; Hong, S.C.; et al. Two-Photon Fluorescent Turn-on Probe for Lipid Rafts in Live Cell and Tissue. J. Am. Chem. Soc. 2008, 130, 4246–4247. [Google Scholar] [CrossRef]
- Saadati, F.; Meftah-Booshehri, H. Antimony(V) Chloride as an Efficient Reagent for Deprotection of Methyl Ethers. Synlett 2013, 24, 1702–1706. [Google Scholar] [CrossRef]
- Xi, F.; Kamal, F.; Schenerman, M.A. A Novel and Convenient Transformation of Nitriles to Aldehydes. Tetrahedron Lett. 2002, 43, 1395–1396. [Google Scholar] [CrossRef]
- Mouselmani, R.; Hachem, A.; Alaaeddine, A.; Métay, E.; Lemaire, M. Reduction of Aromatic Nitriles into Aldehydes Using Calcium Hypophosphite and a Nickel Precursor. Org. Biomol. Chem. 2018, 16, 6600–6605. [Google Scholar] [CrossRef] [PubMed]
- Balmond, E.I.; Tautges, B.K.; Faulkner, A.L.; Or, V.W.; Hodur, B.M.; Shaw, J.T.; Louie, A.Y. Comparative Evaluation of Substituent Effect on the Photochromic Properties of Spiropyrans and Spirooxazines. J. Org. Chem. 2016, 81, 8744–8758. [Google Scholar] [CrossRef] [PubMed]
- Waibel, M.; De Angelis, M.; Stossi, F.; Kieser, K.J.; Carlson, K.E.; Katzenellenbogen, B.S.; Katzenellenbogen, J.A. Bibenzyl- and Stilbene-Core Compounds with Non-Polar Linker Atom Substituents as Selective Ligands for Estrogen Receptor Beta. Eur. J. Med. Chem. 2009, 44, 3412–3424. [Google Scholar] [CrossRef] [PubMed]
- Ye, Y.; Zhang, B.; Mao, R.; Zhang, C.; Wang, Y.; Xing, J.; Liu, Y.C.; Luo, X.; Ding, H.; Yang, Y.; et al. Discovery and Optimization of Selective Inhibitors of Protein Arginine Methyltransferase 5 by Docking-Based Virtual Screening. Org. Biomol. Chem. 2017, 15, 3648–3661. [Google Scholar] [CrossRef]
- Liu, L.; Shao, L.; Li, J.; Cui, H.; Li, B.; Zhou, X.; Lv, P.; Zhang, J. Synthesis, Antibacterial Activities, Mode of Action and Acute Toxicity Studies of New Oxazolidinone-Fluoroquinolone Hybrids. Molecules 2019, 24, 1641. [Google Scholar] [CrossRef]
- Finet, J.-P. Chapter 5 Ligand Coupling Involving Organoiodine Compounds. In Ligand Coupling Reactions with Heteroatomic Compounds; Elsevier Science Ltd.: Oxford, UK, 1998; pp. 107–158. [Google Scholar]
- Koyama, Y.; Lee, Y.G.; Kuroki, S.; Takata, T. Synthesis, 13C NMR, and UV Spectroscopic Study of 13C-Labeled Nitrile N-Oxide. Tetrahedron Lett. 2015, 56, 7038–7042. [Google Scholar] [CrossRef]
Disclaimer/Publisher’s Note: The statements, opinions and data contained in all publications are solely those of the individual author(s) and contributor(s) and not of MDPI and/or the editor(s). MDPI and/or the editor(s) disclaim responsibility for any injury to people or property resulting from any ideas, methods, instructions or products referred to in the content. |
© 2023 by the authors. Licensee MDPI, Basel, Switzerland. This article is an open access article distributed under the terms and conditions of the Creative Commons Attribution (CC BY) license (https://creativecommons.org/licenses/by/4.0/).







