Bioactivities of Steroids and Sesquiterpenes from the Branches and Leaves of Aglaia lawii
Abstract
1. Introduction
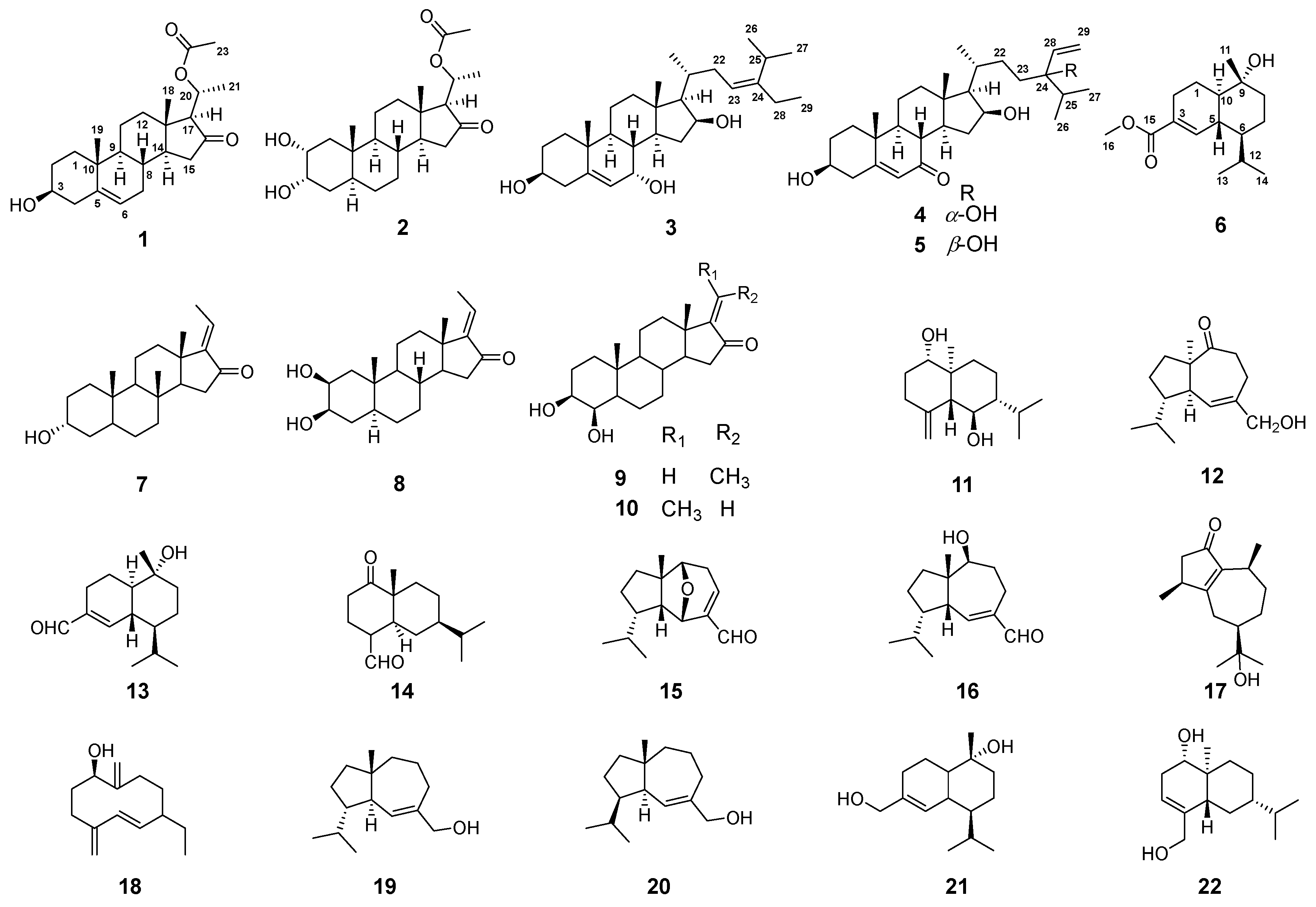
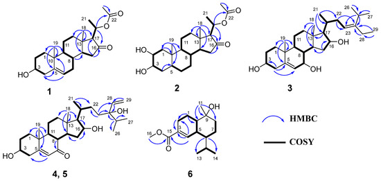
2. Results
3. Discussion
4. Materials and Methods
4.1. General Experimental Procedures
4.2. Plant Material
4.3. Extraction and Isolation
4.4. Spectroscopic Data of the New Compounds
4.5. Cytotoxicity Assay
4.6. Antibacterial Assay
4.7. X-Ray Diffraction Analysis
4.8. ECD Calculations
Supplementary Materials
Author Contributions
Funding
Data Availability Statement
Acknowledgments
Conflicts of Interest
References
- Li, J.-F.; Ji, K.-L.; Sun, P.; Cai, Q.; Zheng, X.-L.; Xiao, Y.-D.; Cao, D.-H.; Xiao, C.-F.; Zhang, Z.-Y.; Li, X.-N. Structurally diverse steroids with nitric oxide inhibitory activities from Aglaia lawii leaves. Phytochemistry 2021, 183, 112651. [Google Scholar] [CrossRef] [PubMed]
- Xia, M.-J.; Zhang, M.; Li, S.-W.; Cai, Z.-F.; Zhao, T.-S.; Liu, A.-H.; Luo, J.; Zhang, H.-Y.; Li, J.; Guo, Y.-W. Anti-inflammatory and PTP1B inhibitory sesquiterpenoids from the twigs and leaves of Aglaia lawii. Fitoterapia 2022, 162, 105260. [Google Scholar] [CrossRef] [PubMed]
- Li, J.-F.; Xu, Y.-K. Constituents from the leaves and twigs of Amoora ouangliensis and their anti-inflammatory activities. Nat. Prod. Res. Dev. 2018, 30, 1361. [Google Scholar] [CrossRef]
- Yang, S.-M.; Wu, D.-G.; Liu, X.-K. Anticancer activity of diterpenoids from Amoora ouangliensis and Amoora stellato-squamosa. Z. Naturforsch. C. J. Biosci. 2010, 65, 39–42. [Google Scholar] [CrossRef] [PubMed]
- Zhang, D.-Y.; Lou, H.-Y.; Chen, C.; Liu, H.-F.; Deng, C.-Y.; Li, J.-Y.; Pan, W.-D. Cipacinerasins A–K, structurally diverse limonoids from Cipadessa baccifera. Phytochemistry 2022, 200, 113186. [Google Scholar] [CrossRef] [PubMed]
- Shao, L.-L.; Liu, H.-F.; Lou, H.-Y.; Ma, F.-W.; Chen, C.; Li, J.-Y.; Pan, W.-D. Dammarane and apotirucallane triterpenoids from the stem bark of Melia toosendan and their antibacterial activities. Tetrahedron 2022, 123, 132987. [Google Scholar] [CrossRef]
- Yuan, C.-M.; Tang, G.-H.; Wang, X.-Y.; Zhang, Y.; Guo, F.; Liao, J.-H.; Zou, T.; Zuo, G.-Y.; Hua, H.-M.; He, H.-P. Two new compounds from Khaya senegalensis. J. Asian. Nat. Prod. Res. 2013, 15, 638–643. [Google Scholar] [CrossRef]
- Pan, X.; Matsumoto, M.; Nishimoto, Y.; Ogihara, E.; Zhang, J.; Ukiya, M.; Tokuda, H.; Koike, K.; Akihisa, M.; Akihisa, T. Cytotoxic and nitric oxide production-inhibitory activities of limonoids and other compounds from the leaves and bark of Melia azedarach. Chen. Biodivers. 2014, 11, 1121–1139. [Google Scholar] [CrossRef]
- Lou, X.-D.; Wu, S.-H.; Ma, Y.-B.; Wu, D.-G. The chemical constituents of Amoora yunnanensis. J. Integr. Plant Biol. 2001, 43, 426. [Google Scholar] [CrossRef]
- Li, G.-L.; Guo, W.-J.; Wang, G.-B.; Wang, R.-R.; Hou, Y.-X.; Liu, K.; Liu, Y.; Wang, W. Sterols from the green alga Ulva australis. Mar. Drugs 2017, 15, 299. [Google Scholar] [CrossRef]
- Chen, Z.; Liu, J.; Fu, Z.; Ye, C.; Zhang, R.; Song, Y.; Zhang, Y.; Li, H.; Ying, H.; Liu, H. 24 (S)-Saringosterol from edible marine seaweed Sargassum fusiforme is a novel selective LXRβ agonist. J. Agr. Food Chem. 2014, 62, 6130–6137. [Google Scholar] [CrossRef] [PubMed]
- Xie, B.-J.; Yang, S.-P.; Yue, J.-M. Terpenoids from Dysoxylum densiflorum. Phytochemistry 2008, 69, 2993–2997. [Google Scholar] [CrossRef] [PubMed]
- Qiu, S.-X.; Hung, N.-V.; Gu, J.-Q.; Lobkovsky, E.; Khanh, T.C.; Soejarto, D.D.; Clardy, J.; Pezzuto, J.M.; Dong, Y.; Tri, M.V. A pregnane steroid from Aglaia lawii and structure confirmation of cabraleadiol monoacetate by X-ray crystallography. Phytochemistry 2001, 56, 775–780. [Google Scholar] [CrossRef] [PubMed]
- Inada, A.; Murata, H.; Inatomi, Y.; Nakanishi, T.; Darnaedi, D. Pregnanes and triterpenoid hydroperoxides from the leaves of Aglaia grandis. Phytochemistry 1997, 45, 1225–1228. [Google Scholar] [CrossRef]
- Wang, J.-R.; Shen, Q.; Fang, L.; Peng, S.-Y.; Yang, Y.-M.; Li, J.; Liu, H.-L.; Guo, Y.-W. Structural and stereochemical studies of five new pregnane steroids from the stem bark of Toona ciliata var. pubescens. Steroids 2011, 76, 571–576. [Google Scholar] [CrossRef] [PubMed]
- Xie, Y.-T.; Xiong, S.-H.; Bian, Y.; Wang, Y.; Guan, R.-Q.; Suo, X.-Y.; Du, M.-R.; Liu, Y.-P.; Fu, Y.-H. Chemical constituents from Artocarpus incisus and their inhibitory effects on proliferation of synoviocytes in vitro. Chin. J. Chin. Mater Med. 2022, 47, 4665–4673. [Google Scholar] [CrossRef]
- Das, J.; Jha, D.; Policegoudra, R.; Mazumder, A.H.; Das, M.; Chattopadhyay, P.; Singh, L. Isolation and characterization of antidermatophytic bioactive molecules from Piper longum L. leaves. Chin. J. Chin. Mater Med. 2012, 52, 624–629. [Google Scholar] [CrossRef] [PubMed][Green Version]
- Iijima, T.; Yaoita, Y.; Kikuchi, M. Five New Sesquiterpenoids and a New Diterpenoid from Erigeron annuus (L.) P ERS., Erigeron philadelphicus L. and Erigeron sumatrensis R ETZ. Chem. Pharm. Bull. 2003, 51, 545–549. [Google Scholar] [CrossRef]
- Li, J.; Wang, F.-Q.; Ding, N.; Zhao, M.; Wang, J.-L.; Zhang, S.-J. Chemical constituents from Syneilesis aconitifolia. Chin. Tradit. Herbal. Drugs 2018, 49, 3742–3746. [Google Scholar]
- Larock, R.; Harrison, L.; Hsu, M. Heteroannulation via intramolecular (.pi.-allyl) palladium displacement. J. Org. Chem. 1984, 49, 3662–3664. [Google Scholar] [CrossRef]
- Raharivelomanana, P.; Bianchini, J.P.; Faure, R.; Cambon, A.; Azzaro, M. Two guaiane and eudesmane-type sesquiterpenoids from Neocallitropsis pancheri. Phytochemistry 1996, 41, 243–246. [Google Scholar] [CrossRef]
- Liu, H.-B.; Zhang, C.-R.; Dong, S.-H.; Yang, S.-P.; Sun, Q.; Geng, M.-Y.; Yue, J.-M. Sesquiterpenes from Dysoxylum oliganthum and Dysoxylum excelsum. J. Asian Nat. Prod. Res. 2012, 14, 224–234. [Google Scholar] [CrossRef] [PubMed]
- Kuo, Y.-H.; Chen, C.-H.; Chien, S.-C.; Lin, Y.-L. Five new cadinane-type sesquiterpenes from the heartwood of Chamaecyparis obtusa var. formosana. J. Nat. Prod. 2002, 65, 25–28. [Google Scholar] [CrossRef] [PubMed]
- Zhu, S.-S.; Qin, D.-P.; Wang, S.-X.; Yang, C.; Li, G.-P.; Cheng, Y.-X. Commipholactam A, a cytotoxic sesquiterpenoidal lactam from Resina Commiphora. Fitoterapia 2019, 134, 382–388. [Google Scholar] [CrossRef] [PubMed]
- Kumar, P.; Nagarajan, A.; Uchil, P.-D. Analysis of cell viability by the MTT assay. Cold. Spring. Harb. Protoc. 2018, 2018, 469–471. [Google Scholar] [CrossRef]
- Andrews, J.M. Determination of minimum inhibitory concentrations. J. Antimicrob. Chemoth. 2001, 48, 5–16. [Google Scholar] [CrossRef]
- Yang, L.-J.; Peng, X.-Y.; Zhang, Y.-H.; Liu, Z.-Q.; Li, X.; Gu, Y.-C.; Shao, C.-L.; Han, Z.; Wang, C.-Y. Antimicrobial and antioxidant polyketides from a deep-sea-derived fungus Aspergillus versicolor SH0105. Mar. Drugs. 2020, 18, 636. [Google Scholar] [CrossRef]





| No. | 1 | 2 | 3 | 4 | 5 | 6 |
|---|---|---|---|---|---|---|
| 1 | α 1.86, m β 1.09, m | α 1.74, m β 1.26, m | α 1.85, m β 1.11, m | α 1.95, m β 1.26, m | α 1.95, m β 1.20, m | 2.12, m |
| 2 | α 1.95, m β 1.60, m | 3.76, m | α 1.50, m β 1.85, m | α 1.61, m β 1.92, m | α 1.68, m β 1.92, m | α 2.49, m β 2.22, m |
| 3 | 3.52, m | 3.96, m | 3.58, m | 3.66, m | 3.69, m | |
| 4 | α 2.30, (d, 13.2) β 2.27, (d, 7.8) | α 1.51, m β 1.49, m | α 2.33, (d, 12.0) β 2.28, (d, 13.2) | α 2.40, (d, 11.4) β 2.51, (d, 13.8) | α 2.39, (d, 13.8) β 2.50, (d, 14.1) | 7.06, (d, 3.3) |
| 5 | 1.53, m | 1.88, m | ||||
| 6 | 5.34, m | α 1.31, m β 1.17, m | 5.60, (d, 5.4) | 5.68, s | 5.68, s | 1.17, m |
| 7 | α 1.84, m β 1.50, m | α 1.63, m β 1.01, m | 3.84, m | α 1.66, m β 1.21, m | ||
| 8 | 1.64, m | 1.58, m | 1.59, m | 2.32, m | 2.32, m | α 1.83, m β 1.44, m |
| 9 | 1.12, m | 0.96, m | 1.21, m | 1.49, m | 1.56, m | |
| 10 | 1.27, m | |||||
| 11 | α 1.53, m β 1.64, m | α 1.36, m β 1.70, m | 1.54, m | 1.56, m | 1.61, m | 1.12, (d, 0.9) |
| 12 | α 2.24, m β 1.53, m | α 1.99, m β 1.44, m | α 2.14, m β 2.00, m | α 1.08, m β 2.01, m | α 1.08, m β 2.01, m | 2.18, m |
| 13 | 0.81, (d, 6.9) | |||||
| 14 | 1.47, m | 1.46, m | 1.32, m | 1.15, m | 1.21, m | 0.95, (d, 6.9) |
| 15 | α 1.88, (d, 13.5) β 2.04, (d, 8.7) | α 2.25, (d, 18.6) β 1.87, (d, 22.5) | α 2.36, m β 1.21, m | α 3.06, m β 1.33, m | α 3.08, m β 1.30, m | |
| 16 | 4.42, m | 4.41, m | 4.41, m | 3.73, s | ||
| 17 | 2.09, (d, 9.6) | 2.12, (d, 9.6) | 1.08, m | 0.96, (d, 6.6) | 0.96, (d, 6.6) | |
| 18 | 0.79, s | 0.75, s | 0.89, s | 0.85, s | 0.88, s | |
| 19 | 1.02, s | 0.81, s | 1.00, s | 1.20, s | 1.23, s | |
| 20 | 5.06, m | 5.04, m | 1.85, m | 1.76, m | 1.71, m | |
| 21 | 1.42, (d, 6.3) | 1.41, (d, 6.6) | 1.02, (d, 6.6) | 0.963, (d, 6.6) | 0.966, (d, 6.6) | |
| 22 | 1.63, m | a 1.67, m b 1.04, m | a 1.68, m b 1.05, m | |||
| 23 | 2.01, s | 2.01, s | 5.15, m | 1.87, m | 1.82, m | |
| 25 | 2.84, m | a 1.76, m b 1.44, m | a 1.82, m b 1.48, m | |||
| 26 | 0.98, (d, 6.9) | 0.863, (d, 5.9) | 0.877, (d, 3.6) | |||
| 27 | 0.98, (d, 6.9) | 0.873, (d, 5.9) | 0.888, (d, 3.9) | |||
| 28 | 1.85, m | 5.85, m | 5.73, m | |||
| 29 | 1.59, m | a 5.21, (d, 1.5) b 5.14, (d, 1.5) | a 5.21, (d, 1.5) b 5.17, (d, 1.5) |
| No. | 1 | 2 | 3 | 4 | 5 | 6 |
|---|---|---|---|---|---|---|
| 1 | 37.1 | 40.7 | 37.1 | 36.4 | 36.4 | 22.2 |
| 2 | 31.9 | 69.1 | 31.4 | 31.3 | 31.6 | 25.4 |
| 3 | 71.7 | 69.3 | 71.5 | 70.6 | 70.6 | 130.9 |
| 4 | 42.3 | 33.7 | 42.1 | 42.0 | 42.0 | 140.3 |
| 5 | 141.1 | 38.2 | 146.1 | 165.5 | 165.5 | 40.7 |
| 6 | 120.9 | 27.5 | 123.9 | 126.1 | 126.1 | 46.0 |
| 7 | 31.6 | 32.0 | 65.4 | 202.2 | 202.2 | 22.2 |
| 8 | 30.9 | 343 | 37.5 | 45.1 | 45.1 | 42.8 |
| 9 | 49.9 | 540 | 42.4 | 50.0 | 50.0 | 72.3 |
| 10 | 36.7 | 37.1 | 37.2 | 38.5 | 38.5 | 49.2 |
| 11 | 20.7 | 20.6 | 20.5 | 20.9 | 20.9 | 20.7 |
| 12 | 39.1 | 39.1 | 39.4 | 38.9 | 38.8 | 26.2 |
| 13 | 42.7 | 43.0 | 42.1 | 43.0 | 43.0 | 15.3 |
| 14 | 50.4 | 50.2 | 47.5 | 48.0 | 48.1 | 21.6 |
| 15 | 39.0 | 39.1 | 36.4 | 38.4 | 38.3 | 168.3 |
| 16 | 215.5 | 215.7 | 72.7 | 72.7 | 72.8 | 51.8 |
| 17 | 67.0 | 67.2 | 61.1 | 60.2 | 60.5 | |
| 18 | 13.5 | 12.7 | 12.9 | 13.1 | 13.2 | |
| 19 | 19.5 | 12.5 | 18.4 | 17.4 | 17.5 | |
| 20 | 69.4 | 69.4 | 30.2 | 36.4 | 37.6 | |
| 21 | 20.4 | 20.4 | 18.6 | 18.6 | 19.0 | |
| 22 | 170.1 | 170.2 | 36.1 | 29.4 | 29.6 | |
| 23 | 21.6 | 21.6 | 117.0 | 30.5 | 31.3 | |
| 24 | 146.5 | 78.0 | 79.1 | |||
| 25 | 28.8 | 35.1 | 34.1 | |||
| 26 | 21.1 | 16.7 | 16.8 | |||
| 27 | 21.2 | 17.8 | 17.8 | |||
| 28 | 28.0 | 146.2 | 142.2 | |||
| 29 | 12.8 | 113.2 | 113.9 |
| Compounds | MDA-MB-231 | MCF-7 | Ln-cap | A549 | HeLa | HepG-2 |
|---|---|---|---|---|---|---|
| 1 | >50 | >50 | >50 | >50 | >50 | >50 |
| 2 | >50 | >50 | >50 | >50 | >50 | >50 |
| 3 | 36.14 ± 1.32 | 22.10 ± 0.16 | 17.85 ± 0.42 | 21.08 ± 1.14 | 22.56 ± 1.32 | 23.22 ± 1.33 |
| 4 | >50 | >50 | >50 | >50 | >50 | >50 |
| 5 | 24.31 ± 1.13 | 24.99 ± 1.31 | 16.72 ± 1.40 | 19.67 ± 1.68 | 23.54 ± 1.33 | 29.59 ± 1.05 |
| 6 | >50 | >50 | >50 | >50 | >50 | >50 |
| doxorubicin | 1.31 ± 0.48 | 1.51 ± 0.32 | 0.57 ± 0.04 | 0.57 ± 0.08 | 1.29 ± 0.11 | 1.75 ± 0.11 |
| Compounds | B. subtilis | P. cinnamomi | A. bacterium | R. solanacearum |
|---|---|---|---|---|
| 1 | ≥100 | ≥100 | ≥100 | ≥100 |
| 2 | ≥100 | ≥100 | ≥100 | ≥100 |
| 3 | ≥50 | ≥100 | ≥100 | ≥100 |
| 4 | ≥100 | ≥100 | ≥100 | ≥100 |
| 5 | ≥25 | ≥50 | ≥100 | ≥25 |
| 6 | ≥100 | ≥100 | ≥100 | ≥100 |
| ofloxacin | 0.41 | 1.69 | 1.69 | 0.41 |
Disclaimer/Publisher’s Note: The statements, opinions and data contained in all publications are solely those of the individual author(s) and contributor(s) and not of MDPI and/or the editor(s). MDPI and/or the editor(s) disclaim responsibility for any injury to people or property resulting from any ideas, methods, instructions or products referred to in the content. |
© 2023 by the authors. Licensee MDPI, Basel, Switzerland. This article is an open access article distributed under the terms and conditions of the Creative Commons Attribution (CC BY) license (https://creativecommons.org/licenses/by/4.0/).
Share and Cite
Dong, J.; Liu, H.; Wang, H.; Lou, H.; Pan, W.; Li, J. Bioactivities of Steroids and Sesquiterpenes from the Branches and Leaves of Aglaia lawii. Molecules 2024, 29, 39. https://doi.org/10.3390/molecules29010039
Dong J, Liu H, Wang H, Lou H, Pan W, Li J. Bioactivities of Steroids and Sesquiterpenes from the Branches and Leaves of Aglaia lawii. Molecules. 2024; 29(1):39. https://doi.org/10.3390/molecules29010039
Chicago/Turabian StyleDong, Jingjing, Hanfei Liu, Huan Wang, Huayong Lou, Weidong Pan, and Jinyu Li. 2024. "Bioactivities of Steroids and Sesquiterpenes from the Branches and Leaves of Aglaia lawii" Molecules 29, no. 1: 39. https://doi.org/10.3390/molecules29010039
APA StyleDong, J., Liu, H., Wang, H., Lou, H., Pan, W., & Li, J. (2024). Bioactivities of Steroids and Sesquiterpenes from the Branches and Leaves of Aglaia lawii. Molecules, 29(1), 39. https://doi.org/10.3390/molecules29010039

