Dy-Modified Mn/TiO2 Catalyst Used for the Selective Catalytic Reduction of NO in Ammonia at Low Temperatures
Abstract
1. Introduction
2. Results and Discussion
2.1. SCR Performance
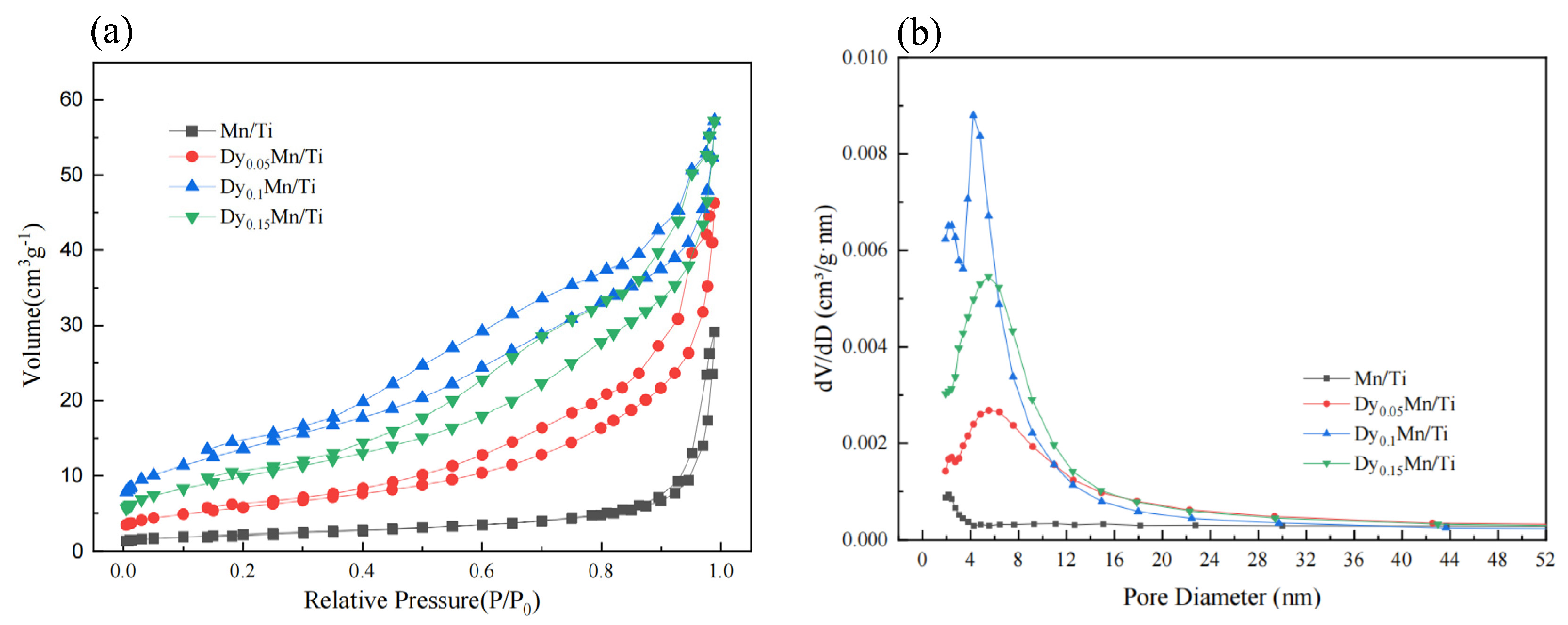
2.2. SEM, Crystallinity, and Porous Property Analyses
2.3. XPS Analysis
2.4. H2-TPR, NH3-TPD Analysis
3. Experiment
3.1. Synthesis Catalyst
3.2. Characterization of Catalysts
3.3. Characterization of Catalysts
4. Conclusions
Author Contributions
Funding
Institutional Review Board Statement
Informed Consent Statement
Data Availability Statement
Acknowledgments
Conflicts of Interest
References
- Li, Y.; Leng, X.; Ma, S.; Zhang, T.; Yuan, F.; Niu, X.; Zhu, Y. Effects of Mo addition on the NH3-SCR of NO reaction over Moa MnTi10Ox (a = 0.2, 0.4, 0.6 and 0.8): Synergistic action between redox and acidity. Catal. Today 2020, 339, 254–264. [Google Scholar] [CrossRef]
- Zhou, J.; Guo, R.; Zhang, X.; Liu, Y.; Pan, W. Cerium oxide—Based catalysts for low-temperature selective catalytic reduction of NOx with NH3: A review. Energ. Fuel 2021, 35, 2981–2998. [Google Scholar] [CrossRef]
- Xie, H.; He, P.; Chen, C.; Yang, C.; Chai, S.; Wang, N.; Ge, C. Improvement of Sb-Modified Mn-Ce/TiO2 Catalyst for SO2 and H2O Resistance at Low-Temperature SCR. Catal. Lett. 2023, 153, 2838–2852. [Google Scholar]
- Jiang, H.; Wang, H.; Kuang, L.; Li, G.; Zhang, M. Synthesis of MnOx–CeO2·NOx catalysts by polyvinyl pyrrolidone–assisted supercritical antisolvent precipitation. J. Mater. Res. 2014, 29, 2188–2197. [Google Scholar] [CrossRef]
- Kapteijn, F.; Singoredjo, L.; Andreini, A.; Moulijn, J.A. Activity and selectivity of pure manganese oxides in the selective catalytic reduction of nitric oxide with ammonia. Appl. Catal. B-Environ. 1994, 3, 173–189. [Google Scholar] [CrossRef]
- Dimitrios, K.P.; Pappas, A.; Thirupathi, B.; Punit, B.; Panagiotis, G.S. Novel manganese oxide confined interweaved titania nanotubes for the low-temperature Selective Catalytic Reduction (SCR) of NOx by NH3—ScienceDirect. J. Catal. 2016, 334, 1–13. [Google Scholar]
- Yang, S.; Qi, F.; Liao, Y.; Xiong, S.; Lan, Y.; Shan, W.; Li, J. Dual effect of sulfation on the selective catalytic reduction of NO with NH3 over MnOx/TiO2: Key factor of NH3 distribution. Ind. Eng. Chem. Res. 2014, 53, 5810–5819. [Google Scholar] [CrossRef]
- Yang, S.; Qi, F.; Xiong, S.; Dang, H.; Liao, Y.; Wong, P.; Li, J. MnOx supported on Fe-Ti spinel: Anovel Mn based low temperature SCR catalyst with a high N2 selectivity. Appl. Catal. B.-Environ. 2016, 181, 570–580. [Google Scholar] [CrossRef]
- Zhang, B.; Zhang, S.; Liu, B. Comparative study on transition element doped Mn-Zr-Ti-oxides catalysts for the low-temperature selective catalytic reduction of NO with NH3. React. Kinet. Mech. Catal. 2019, 127, 637–652. [Google Scholar] [CrossRef]
- Zhang, B.; Liebau, M.; Suprun, W.; Liu, B.; Zhang, S.; Glaeser, R. Suppression of N2O formation by H2O and SO2 in the selective catalytic reduction of NO with NH3 over a Mn/Ti-Si catalyst. Catal. Sci. Technol. 2019, 9, 4759–4770. [Google Scholar] [CrossRef]
- Qiu, L.; Wang, Y.; Pang, D.; Feng, O.; Zhang, C.; Cao, G. Characterization and catalytic activity of Mn–Co/TiO2 catalysts for NO oxidation to NO2 at low temperature. Catalysis 2016, 6, 9. [Google Scholar] [CrossRef]
- Qiu, L.; Meng, J.; Pang, D.; Zhang, C.; Ouyang, F. Reaction and characterization of Co and Ce doped Mn/TiO2 catalysts for low-temperature SCR of NO with NH3. Cawal. Lett. 2015, 145, 1500–1509. [Google Scholar] [CrossRef]
- Qiu, L.; Pang, D.; Zhang, C.; Meng, J.; Zhu, R.; Ouyang, F. In situ IR studies of Co and Ce doped Mn/TiO2 catalyst for low-temperature selective catalytic reduction of NO with NH3. Appl. Surf. Sci. 2015, 357, 189–196. [Google Scholar] [CrossRef]
- Guan, B.; Zhan, R.; Lin, H.; Huang, Z. Review of State of the Art Technologies of Selective Catalytic Reduction of NOx from Diesel Engine Exhaust. Appl. Therm. Eng. 2014, 66, 395–414. [Google Scholar] [CrossRef]
- Liu, L.; Su, S.; Xu, K.; Li, H.; Qing, M.; Hu, S.; Wang, Y.; Xiang, J. Insights into the highly efficient Co modified MnSm/Ti catalyst for selective catalytic reduction of NO with NH3 at low temperature. Fuel 2019, 255, 115798. [Google Scholar] [CrossRef]
- De La Torre, U.; Pereda-Ayo, B.; González-Marcos, J.A.; Gutiérrez-Ortiz, M.A.; González-Velasco, J.R. Performance of Cu-ZSM-5 in a coupled monolith NSR-SCR system for NOx removal in lean-burn engine exhaust. Top. Catal. 2016, 59, 259–267. [Google Scholar] [CrossRef]
- Zhang, M.; Cao, H.; Chen, Y.; Jiang, H. Role of Mn: Promotion of fast-SCR for Cu-SAPO-34 in low-temperature selective catalytic reduction with ammonia. Catal. Surv. Asia 2019, 23, 245–255. [Google Scholar] [CrossRef]
- Liu, X.; Zhao, Z.; Ning, R.; Qin, Y.; Zhu, T.; Liu, F. Ce-Doped V2O5-WO3/TiO2 with low vanadium loadings as SCR catalysts and the resistance of H2O and SO2. Catal. Lett. 2019, 150, 375–383. [Google Scholar] [CrossRef]
- Gao, Y.; Jiang, W.; Luan, T.; Li, H.; Zhang, W.; Feng, W.; Jiang, H. High-efficiency catalytic conversion of NOx by the synergy of nanocatalyst and plasma: Effect of Mn-based bimetallic active species. Catalysts 2019, 9, 103. [Google Scholar] [CrossRef]
- Sun, P.; Guo, R.; Liu, S.; Wang, S.; Pan, W.; Li, M. The enhanced performance of MnOx catalyst for NH3-SCR reaction by the modification with Eu. Appl. Catal. A-Gen. 2017, 531, 129–138. [Google Scholar] [CrossRef]
- Gao, F.; Tang, X.; Yi, H.; Li, J.; Zhao, S.; Wang, J.; Chu, C.; Li, C. Promotional mechanisms of activity and SO2 tolerance of Co- or Ni-doped MnOx-CeO2 catalysts for SCR of NOx with NH3 at low temperature. Chem. Eng. J. 2017, 317, 20–31. [Google Scholar] [CrossRef]
- Gao, Y.; Luan, T.; Zhang, M.; Zhang, W.; Feng, W. Structure-activity relationship study of Mn/Fe ratio effects on Mn-Fe-Ce-Ox/γ-Al2O3 nanocatalyst for NO oxidation and fast SCR reaction. Catalysts 2018, 8, 642. [Google Scholar] [CrossRef]
- Liu, Z.; Chen, C.; Zhao, J.; Yang, L.; Sun, K.; Zeng, L.; Pan, Y.; Liu, Y.; Liu, C. Study on the NO2 production pathways and the role of NO2 in fast selective catalytic reduction DeNOx at low-temperature over MnOx/TiO2 catalyst. Chem. Eng. J. 2020, 379, 122288. [Google Scholar] [CrossRef]
- Li, W.; Zhang, C.; Li, X.; Tan, P.; Zhou, A.; Fang, Q.; Chen, G. Ho-modified Mn-Ce/TiO2 for low-temperature SCR of NO with NH3: Evaluation and characterization. Chin. J. Catal. 2018, 39, 1653–1663. [Google Scholar] [CrossRef]
- Zhang, T.; Ma, S.; Chen, L.; Li, R.; Leng, X.; Li, Y.; Yuan, F.; Niu, X.; Zhu, Y. Effect of Cu doping on the SCR activity over the CumCe0.1−mTiOx (m = 0.01, 0.02 and 0.03) catalysts. Appl. Catal. A-Gen. 2019, 570, 251–261. [Google Scholar] [CrossRef]
- Wang, S.; Guo, R.; Pan, W.; Li, M.; Sun, P.; Liu, S.; Liu, S.; Sun, X.; Liu, J. The deactivation mechanism of Pb on the Ce/TiO2 catalyst for the selective catalytic reduction of NOx with NH3: TPD and DRIFT studies. Phys. Chem. Chem. Phys. 2017, 19, 5333–5342. [Google Scholar] [CrossRef] [PubMed]
- Yu, Z.; Xu, L.; Liang, Z.; Wang, Z. Doping and immobilization of TiO2 with element Na and raschig rings. Chem. Phys. Lett. 2019, 732, 136634. [Google Scholar]
- Fan, Z.; Shi, J.; Gao, C.; Gao, G.; Wang, B.; Wang, Y.; He, C.; Niu, C. Gd-modified MnOx for the selective catalytic reduction of NO by NH3: The promoting effect of Gd on the catalytic performance and sulfuresistance. Chem. Eng. J. 2018, 348, 820–830. [Google Scholar] [CrossRef]
- Xu, Q.; Su, R.; Cao, L.; Li, Y.; Yang, C.; Luo, Y.; Street, J.; Jiao, P.; Cai, L. Facile preparation of high-performance Fe-doped Ce-Mn/TiO2 catalysts for the low-temperature selective catalytic reduction of NOx with NH3. RSC Adv. 2017, 7, 48785–48792. [Google Scholar] [CrossRef]
- Li, Y.; Li, Y.; Shi, Q.; Qiu, M.; Zhan, S. Novel hollow microspheres Mnx Co3−x O4 (x = 1, 2) with remarkable performance for low-temperature selective catalytic reduction of NO with NH3. J. Sol.-Gel. Sci. Technol. 2017, 81, 576–585. [Google Scholar] [CrossRef]
- Qi, G.; Yang, R.T.; Chang, R. MnOx—CeO2 mixed oxides prepared by co-precipitation for selective catalytic reduction of NO with NH3 at low temperatures. Appl. Catal. B-Environ. 2004, 51, 93–106. [Google Scholar] [CrossRef]
- Tang, X.; Hao, J.; Yi, H.; Li, J. Low Temperature SCR of NO with NH3 over AC/C supported manganese-based monolithic catalysts. Catal. Today 2007, 126, 406–411. [Google Scholar] [CrossRef]
- Cheng, K.; Liu, J.; Zhang, T.; Li, J.; Duan, A. Effect of Ce doping of TiO2 support on NH3–SCR activity over V2O5-WO3/CeO2-TiO2 catalyst. J. Environ. Sci. 2014, 26, 2106–2113. [Google Scholar] [CrossRef]
- Jing, W.; Guo, Q.; Hou, Y.; Ma, G.; Han, X.; Huang, Z. Catalytic role of vanadium(V) sulfate on activated Carbon for SO2 oxidation and NH3–SCR of NO at low temperatures. Catal. Commun. 2014, 56, 23–26. [Google Scholar] [CrossRef]
- Liu, Z.; Zhang, S.; Li, J.; Zhu, J.; Ma, L. Novel V2O5–CeO2/TiO2 catalyst with low vanadium loading for the selective catalytic reduction of NOx by NH3. Appl. Catal. B-Environ. 2014, 158–159, 11–19. [Google Scholar] [CrossRef]
- Yang, S.; Xiong, S.; Liao, Y.; Xiao, X.; Qi, F.; Peng, Y.; Fu, Y.; Shan, W.; Li, J. Mechanism of N2O Formation during the Low–Temperature Selective Catalytic Reduction of NO with NH3 over Mn-Fe Spinel. Environ. Sci. Technol. 2014, 48, 10354–10362. [Google Scholar] [CrossRef] [PubMed]
- Wang, J.; Yan, Z.; Liu, L.; Chen, Y.; Wang, X. In Situ DRIFTS Investigation on the SCR of NO with NH3 over V2O5 Catalyst Supported by Activated Semi-Coke. Appl. Surf. Sci. 2014, 313, 660–669. [Google Scholar] [CrossRef]
- Niu, C.; Wang, B.; Xing, Y.; Su, W.; He, C.; Xiao, L.; Xu, Y.; Zhao, S.; Cheng, Y.; Shi, J. Thulium modifified MnOx/TiO2 catalyst for the low-temperature selective catalytic reduction of NO with ammonia. J. Clean. Prod. 2021, 290, 125858. [Google Scholar] [CrossRef]
- Zhang, Y.; Wu, P.; Li, G.; Zhuang, K.; Shen, K.; Wang, S.; Huang, T. Improved activity of Ho-modified Mn/Ti catalysts for the selective catalytic reduction of NO with NH3. Environ. Sci. Pollut. Res. 2020, 27, 26954–26964. [Google Scholar] [CrossRef]









| Catalyst Sample | Theoretical Load Capacity | Actual Load Capacity |
|---|---|---|
| Mn/TiO2 | 15.55% Mn | 14.41% Mn |
| Dy0.05Mn/TiO2 | 14.29% Mn, 7.03% Dy | 13.07% Mn, 6.70% Dy |
| Dy0.1Mn/TiO2 | 13.22% Mn, 13.02% Dy | 12.18% Mn, 13.20% Dy |
| Dy0.15Mn/TiO2 | 12.30% Mn 18.18% Dy | 13.02% Mn, 18.85% Dy |
| Catalyst Sample | BET Surface Area (m2/g) | Pore Volume (cm3/g) | Average Pore Diameter (nm) |
|---|---|---|---|
| Mn/TiO2 | 7.94 | 0.044 | 26.78 |
| Dy0.05Mn/TiO2 | 21.00 | 0.071 | 13.62 |
| Dy0.1Mn/TiO2 | 49.47 | 0.086 | 7.53 |
| Dy0.15Mn/TiO2 | 35.91 | 0.087 | 9.88 |
| Catalyst Sample | Mn4+/Mnn+(%) | Oα/(Oα + Oβ) (%) | H2 Reduction Peak Area (%) | NH3-TPD Peak Area (%) |
|---|---|---|---|---|
| Mn/TiO2 | 31.75 | 39.59 | 76.91 | 7.28 |
| Dy0.05Mn/TiO2 | 33.64 | 49.36 | 73.29 | 44.37 |
| Dy0.1Mn/TiO2 | 35.06 | 60.21 | 100.00 | 100.00 |
| Dy0.15Mn/TiO2 | 33.02 | 61.32 | 77.64 | 78.88 |
Disclaimer/Publisher’s Note: The statements, opinions and data contained in all publications are solely those of the individual author(s) and contributor(s) and not of MDPI and/or the editor(s). MDPI and/or the editor(s) disclaim responsibility for any injury to people or property resulting from any ideas, methods, instructions or products referred to in the content. |
© 2024 by the authors. Licensee MDPI, Basel, Switzerland. This article is an open access article distributed under the terms and conditions of the Creative Commons Attribution (CC BY) license (https://creativecommons.org/licenses/by/4.0/).
Share and Cite
Xu, B.; Wang, Z.; Hu, J.; Zhang, L.; Zhang, Z.; Liang, H.; Zhang, Y.; Fan, G. Dy-Modified Mn/TiO2 Catalyst Used for the Selective Catalytic Reduction of NO in Ammonia at Low Temperatures. Molecules 2024, 29, 277. https://doi.org/10.3390/molecules29010277
Xu B, Wang Z, Hu J, Zhang L, Zhang Z, Liang H, Zhang Y, Fan G. Dy-Modified Mn/TiO2 Catalyst Used for the Selective Catalytic Reduction of NO in Ammonia at Low Temperatures. Molecules. 2024; 29(1):277. https://doi.org/10.3390/molecules29010277
Chicago/Turabian StyleXu, Bing, Zhen Wang, Jie Hu, Lei Zhang, Zhipeng Zhang, Hongtan Liang, Yong Zhang, and Guozhi Fan. 2024. "Dy-Modified Mn/TiO2 Catalyst Used for the Selective Catalytic Reduction of NO in Ammonia at Low Temperatures" Molecules 29, no. 1: 277. https://doi.org/10.3390/molecules29010277
APA StyleXu, B., Wang, Z., Hu, J., Zhang, L., Zhang, Z., Liang, H., Zhang, Y., & Fan, G. (2024). Dy-Modified Mn/TiO2 Catalyst Used for the Selective Catalytic Reduction of NO in Ammonia at Low Temperatures. Molecules, 29(1), 277. https://doi.org/10.3390/molecules29010277

