Abstract
In this work, the privileged scaffold of 4-hydroxy-2quinolinone is investigated through the synthesis of carboxamides and hybrid derivatives, as well as through their bioactivity evaluation, focusing on the ability of the molecules to inhibit the soybean LOX, as an indication of their anti-inflammatory activity. Twenty-one quinolinone carboxamides, seven novel hybrid compounds consisting of the quinolinone moiety and selected cinnamic or benzoic acid derivatives, as well as three reverse amides are synthesized and classified as multi-target agents according to their LOX inhibitory and antioxidant activity. Among all the synthesized analogues, quinolinone–carboxamide compounds 3h and 3s, which are introduced for the first time in the literature, exhibited the best LOX inhibitory activity (IC50 = 10 μM). Furthermore, carboxamide 3g and quinolinone hybrid with acetylated ferulic acid 11e emerged as multi-target agents, revealing combined antioxidant and LOX inhibitory activity (3g: IC50 = 27.5 μM for LOX inhibition, 100% inhibition of lipid peroxidation, 67.7% ability to scavenge hydroxyl radicals and 72.4% in the ABTS radical cation decolorization assay; 11e: IC50 = 52 μM for LOX inhibition and 97% inhibition of lipid peroxidation). The in silico docking results revealed that the synthetic carboxamide analogues 3h and 3s and NDGA (the reference compound) bind at the same alternative binding site in a similar binding mode.
1. Introduction
Nitrogen heterocycles are the main structural unit of a wide variety of natural products, such as DNA and RNA bases, alkaloids, etc., as well as synthetic molecules with potential pharmaceutical, cosmetic, and agrochemical applications. Among the heterocyclic compounds, quinolines and quinolones consist of privileged scaffolds for the development of new drugs. These nitrogen-containing heterocyclic aromatic analogues are present in numerous natural and biologically active compounds. Quinoline and quinolone derivatives possess diverse biological activities and pharmacological properties such as antioxidant, anti-inflammatory, antimalarial, anti-bacterial, antifungal, anti-tubercular, antiviral, anthelmintic, anticonvulsant, and analgesic activity [1,2,3,4,5].
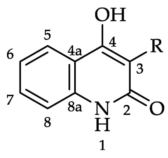
The quinolinone scaffold is one of the most attractive privileged structures for drug discovery research, exhibiting a wide variety of biological activities, such as antibacterial, anti-inflammatory, anticancer, and neuroprotective [6,7,8,9,10,11,12,13]. In particular, compounds possessing 4-hydroxy-2-quinolinone structural features (Figure 1) have gained interest as an important class of heterocyclic molecules with well-known reported activity [14,15,16], while several synthetic strategies have been developed [17,18,19,20].
Figure 1.
3-Substituted 4-hydroxy-2-quinolinones.
Driven by the trend of developing new pharmaceutical molecules with improved and multiple properties, research often focuses on combining quinoline, quinolone, or quinolinone structural moieties with amides to form carboxamides. Heterocyclic compounds bearing a substitution on the N-1 position, particularly N-substituted carboxamides, have been extensively examined over the years [21,22,23]. The quinoline-3-carboxamides and their analogues have not only shown significant biological activities (such as antimalarial [24] and antibacterial [25] activity, etc.), but they also could be used in the treatment of auto-immune diseases such as multiple sclerosis, rheumatoid arthritis, systemic lupus erythematosus, and lupus nephritis [26,27,28].
Linomide (Figure 2) is a characteristic quinolinone carboxamide, which has been proven to inhibit the process of angiogenesis, being effective against various types of cancers and autoimmune disorders, such as multiple sclerosis, rheumatoid arthritis, systemic lupus erythematosus, and autoimmune encephalomyelitis [29,30]. Rebamipide (Figure 2), a quinolinone amide derivative, is a gastro-protective agent prescribed for the treatment of gastric ulcers and gastritis. Furthermore, it presents antioxidant activity protecting the gastric mucosa against oxygen-derived free radicals [31,32]. Tasquinimod (Figure 2) is a second-generation quinolinone-3-carboxamide; it has been evaluated as 30–60 times more potent anti-tumor agent than linomide, and it has shown antiangiogenic, antitumor, and immune-modulatory properties in preclinical models of prostate cancer and other solid tumors [33,34].
Figure 2.
Chemical structures of quinolinone–carboxamide, which are active pharmaceutical ingredients.
The scientific community’s interest in the aforementioned carboxamide derivatives is not limited and seems to be growing steadily over the years since there is a plethora of information available in the recent literature.
In 2016, Claudia Mugnaini and her research team worked on the design, synthesis, and pharmacological evaluation of 4-quinolone-3-carboxamides and 4-hydroxy-2-quinolone-3-carboxamides as high-affinity cannabinoid receptor 2 (CB2R) ligands. The synthesized derivatives revealed potent activity leading to a novel class of ligands; however, their physicochemical profile should be further examined [35]. In same year, Seung-Hwa Kwak and his group reported a detailed structure–activity relationship analysis of a series of novel quinolinone–carboxamide derivatives and their immunosuppressive effects on IL-2 released from activated T cells. After the optimization of the procedure, the results showed that the synthesized analogues could be used as lead compounds in the design and development of new immunosuppressant agents for treating T cell-mediated immune disorders, while one of them showed significant potency (q1; Figure 3) [36].
Figure 3.
Quinolinone-3-carboxamide derivatives with potent biological activity.
In 2020, Srigouri Huddara and his team introduced 4-hydroxy-2-oxo-1,2-dihydroquinolines as potential inhibitors of Streptococcus pneumoniae. In vivo experiments showed acceptable pharmacokinetic profiles for some of the compounds, while the most active one revealed high plasma protein binding. Furthermore, their results revealed three of the compounds as potent to overcome antibiotic resistance (q2–q4; Figure 3) [37]. In the same year and following the same need for novel antibiotics, Wenjie Xue and his team presented the design, synthesis, biological evaluation, and target identification of N-thiadiazole-4-hydroxy-2-quinolone-3-carboxamides as potential antibacterial agents against S. aureus. In vitro and in vivo bioassays demonstrated one of the compounds as the most potent agent (q5; Figure 3) [38].
More recently, in 2022, the research team of Sweidan and Sabbah reported the design, synthesis, and biological evaluation of a series of N-phenyl-6-chloro-4-hydroxy-2-quinolone-3-carboxamides and 4,6-dihydroxy-2-quinolone-3-carboxamides. New analogues were examined as anticancer agents and, more specifically, as inhibitors of the phosphatidylinositol3-kinase (PI3Kα), which has emerged as a significant target for the design and development of anticancer drugs. Results demonstrated that two N-phenyl-6-chloro carboxamide analogues (q6, q7; Figure 3) exerted significant toxicity against human epithelial colorectal adenocarcinoma (Caco-2) and human colon cancer (HCT-116) cell lines. Furthermore, two 4,6-dihydroxy-2-quinolone-3-carboxamide derivatives (q8, q9; Figure 3) exhibited the most potent cytotoxic effect on breast cancer (MCF-7) and colon cancer (HCT-116) cell lines [39,40].
Compounds with multi-target activity have gained researchers’ interest in medicinal chemistry and drug design, bringing on a new era of multi-factorial disease treatment. In particular, the heterocyclic quinoline moiety has been extensively investigated in terms of its ability to offer a multi-target profile in the final drug. A.S. Reis and her team reported for the first time the multi-target activity of 4-phenylselenyl-7-chloroquinoline (q10; Figure 4) against anxiety pathology [41]. In 2021, E.M.O.A. Ismail and coworkers published an in silico multi-target approach of several quinoline and quinazoline alkaloids as inhibitors of COVID-19 [42]. Furthermore, in 2020, Mamdouh F.A. Mohamed and his research group published a review study reporting several quinoline–chalcone hybrids (q11–q13; Figure 4) as potential multi-target anticancer agents [43]. However, the majority of the references in the literature present quinoline derivatives or hybrids as multi-target compounds for neurodegeneration, particularly against key targets in Alzheimer’s disease (q14–q16; Figure 4) [44,45,46,47,48].
Figure 4.
Quinoline and quinolinone derivatives with multi-target activity.
Since chronic inflammation and oxidative stress are two commonly associated conditions involved in the pathophysiology of cancer, diabetes, cardiovascular pulmonary diseases, and others, the development of novel drugs behaving as multi-target compounds could offer better treatment [49,50,51,52].
Lipoxygenases (LOXs) are a heterogeneous family of structurally related non-heme iron-containing enzymes that catalyze the oxidation of polyunsaturated fatty acids (PUFA) (such as linoleic or arachidonic acid) to produce hydroperoxides. They are widely spread in plants, fungi, and animals, while they are classified into several types of LOXs according to their selectivity to oxygenate fatty acids in a specific position [53,54]. 5-Lipoxygenase (5-LOX) is directly related to human diseases, and its mechanism of expression has been extensively studied. 5-LOX catalyzes two steps in the biosynthesis of leukotrienes (LTs), a group of bioactive lipid mediators of inflammation derived from arachidonic acid. LTs are involved in many inflammatory and allergic disorders, while novel studies of molecular and cellular biology showed the implication of 5-lipoxygenase in diseases like cancer, osteoporosis, and heart attack [55,56,57].
Oxidative stress caused by the excessive production of reactive oxygen species (ROSs) highly contributes to the pathophysiology of various diseases. ROSs, like superoxide radical anion, hydrogen peroxide, and hydroxyl radical, are produced during the inflammation process by phagocytic leukocytes (e.g., neutrophils, monocytes, macrophages, and eosinophils) that invade the tissue. Since the rate of ROS production is increased in most pathophysiological conditions, developing novel drugs that combine anti-inflammatory and antioxidant activity could be beneficial for treating several diseases [58,59,60,61].
Our research group has been previously involved with synthesizing several N-substituted-4-hydroxy-2-quinolinones and quinolinone–carboxamides to investigate their potential dual-acting role as antioxidant and anti-inflammatory agents. Derivatives with an appealing pharmacological profile have been identified from this research [62,63,64,65,66].
In this project, the design, synthesis, and bioactivity evaluation of three classes of different compounds, which share the structural framework of 4-hydroxy-2-quinolinone as a common feature, are presented. More specifically, herein we report the synthesis of twenty-two quinolinone-3-carboxamides (3a–3u, 7), from which, to our knowledge, derivatives 3a–3e, 3g–3k, 3n–3s, 3u, and 7 are introduced for the first time in the literature; seven novel quinolinone–carboxamide and cinnamic or benzoic acid hybrids (11a–11g); and three reverse amides (16a–16c), from which 16b and 16c analogues are new.
2. Results and Discussion
2.1. Chemistry
In the first series of the synthesized compounds, quinolinone–carboxamides 3a–3u were prepared following the synthetic strategy depicted in Scheme 1. More specifically, the synthesis of the N-substituted-3-carboxymethyl quinolinone intermediates 2a and 2b was accomplished using the corresponding commercially available anthranilic acids (1a and 1b) as the starting materials, following our previously reported two-step methodology [26]. In this concept, the carboxylic acid group of compounds 1a and 1b was transformed into the non-isolated active benzotriazolyl ester using N-hydroxybenzotriazole (HOBt) and dicyclohexylcarbodiimide (DCC), which was then reacted with dimethymalonate sodium salt through a C-acylation reaction. The afforded enolate intermediates were then cyclized to obtain the preferred 3-ethoxycarbonyl-4-hydroxyquinolin-2-ones 2a and 2b. The final amide formation was furnished by heating the corresponding quinolinone esters with an equimolar amount of the appropriate amine or aniline, using toluene as solvent.
Scheme 1.
Synthetic strategy for the preparation of the desired quinolinone-3-carboxamides 3a-3u. Reagents and conditions: (i) HOBt, DCC, THF, 0 °C, (ii) NaH, dimethymalonate, and THF, r.t. [26].
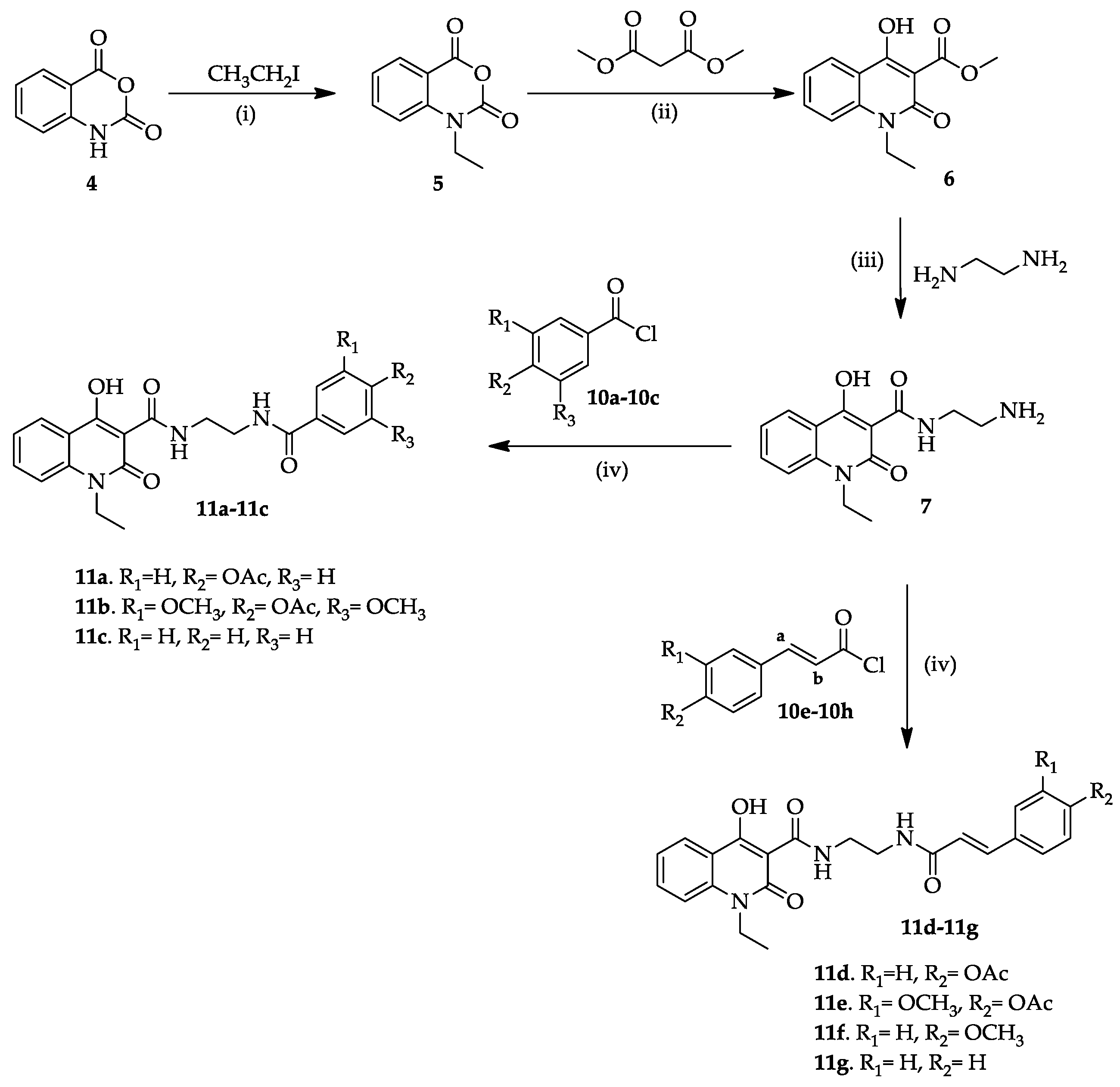
The second series of compounds consists of hybrid molecules (11a–11g), which combine the framework of 4-hydroxy-2-quinolinone with selected substituted benzoic or cinnamic acid motifs connected through a di-amide linker (Scheme 2). More specifically, the key intermediate nitrogen heterocycle, N-ethyl-3-methoxycarbonyl-4-hydroxy-2-quinolinone (6) was synthesized through a two-step procedure starting from isatoic anhydride 4, which was alkylated using ethyl iodide in the presence of sodium hydride in dimethylformamide (DMF), to yield compound 5. Quinolinone derivative 6 was then synthesized through a C-acylation reaction of dimethyl malonate, using N-ethyl isatoic anhydride 5 as an acylating agent in sodium hydride, resulting in a 35% yield. The reaction of quinolinone 6 with ethylenediamine formed the amino carboxamide 7. The desired hybrids (11a–11g) were synthesized via amidation reaction of the carboxamide 7 with either various acetyloxy benzoic acid chlorides (10a–10c) or acetyloxy- or methoxy substituted cinnamic acid chlorides (10e–10h), using triethylamine (Et3N) as the base in tetrahydrofuran (THF) at 50 °C. These final hybrid diamides were isolated in moderate to high yields (56% to 90%).
Scheme 2.
Synthesis of novel quinolinone–phenolic acid hybrids (11a–11g). Reagents and conditions: (i) ethyl iodide, NaH, r.t.; (ii) dimethyl malonate, NaH, DMF, 80 °C; (iii) ethylenediamine toluene, 80 °C; (iv) phenolic acid chloride (10a–10c, 10e–10h), THF, Et3N; 50 °C.
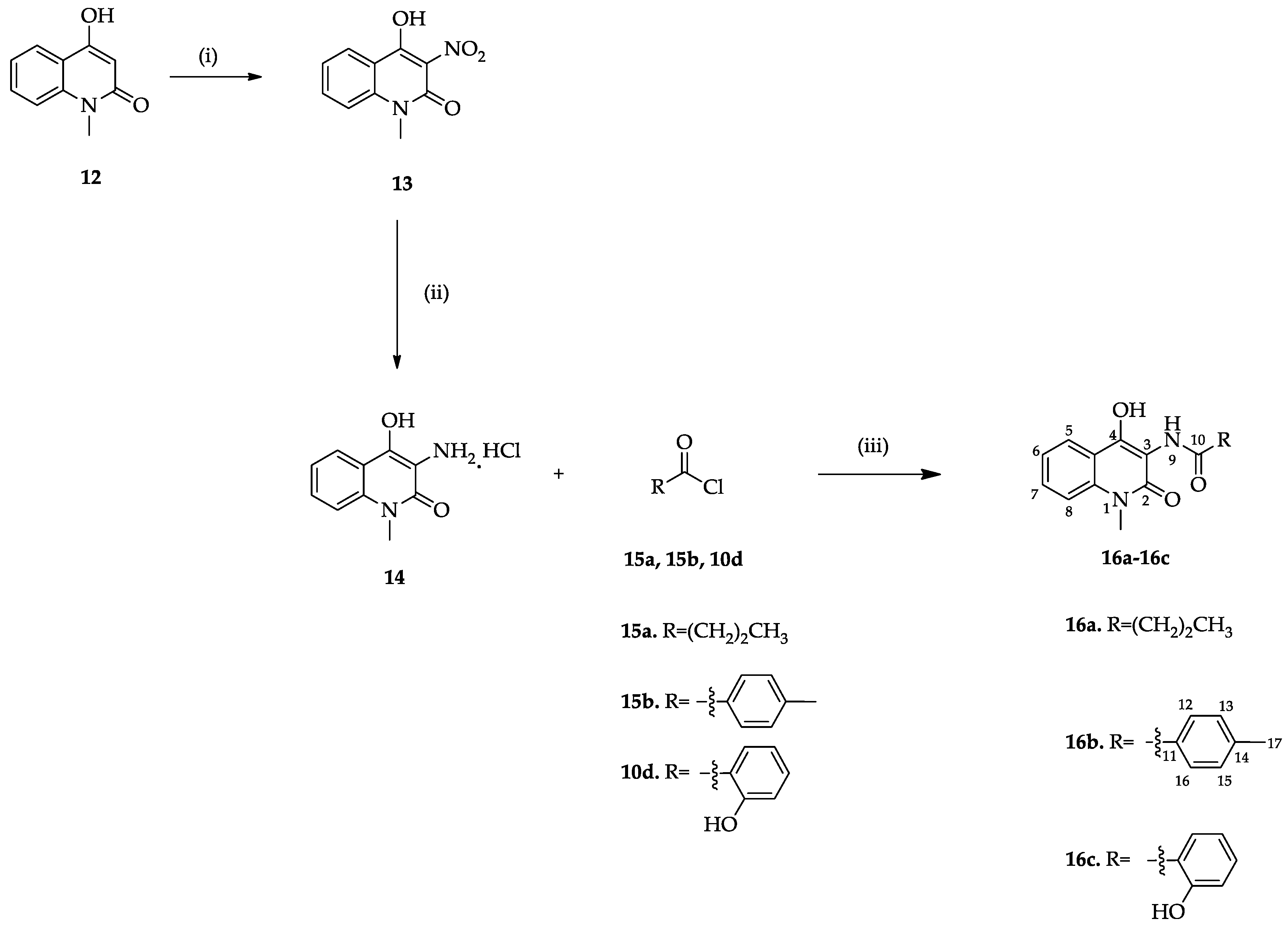
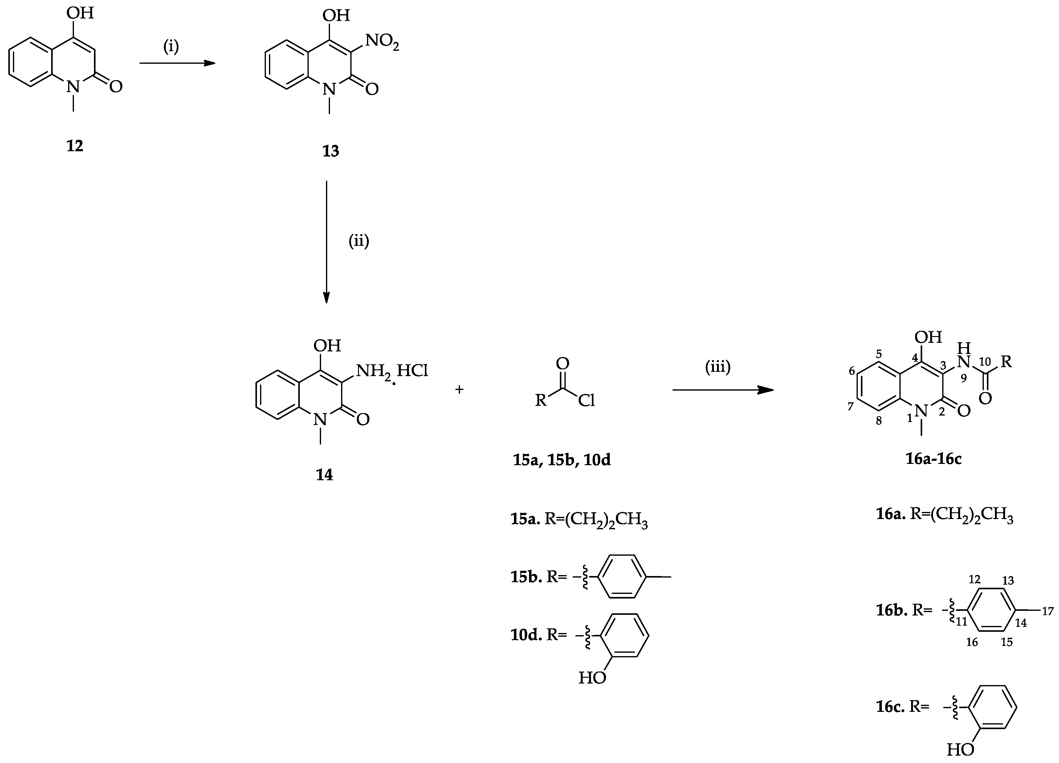
Furthermore, three quinolinone-reverse amides (16a–16c) were synthesized (Scheme 3). More specifically, the commercially available starting material, 4-hydroxy-1-methyl-quinolin-2(1H)-one (12), was transformed to its 3-nitro analogue 13 through a nitration reaction, using 70% HNO3 and NaNO2 in CH3COOH under heating at 90 °C. Reduction of the nitro group was carried out in an alkaline environment of aqueous solution NaOH 1M using sodium dithionite as the reducing agent, and after acidification, the hydrochloric salt of 3-amino-4-hydroxy-2-quinolinone (14) was obtained. The desired reverse carboxamides (16a–16c) were obtained through an acylation reaction between quinolinone 14 and the corresponding acid chloride 15a–15c in moderate yields of 30–46%. Butyryl chloride (15a) and 4-methyl-benzoyl chloride (15b) were commercially available, while 2-hydroxy-benzoyl chloride (10d) was synthesized according to the protocol described in the Experimental Section.
Scheme 3.
Synthesis of quinolinone–reverse carboxamides 16a–16c. Reagents and conditions: (i) HNO3, NaNO2, CH3COOH; (ii) aq. NaOH 1M, Na2S2O4; (iii) Et3N, THF, 50 °C.
The structural characterization of the synthesized compounds was confirmed by analytical means such as 1H and 13C-NMR and mass spectrometry (MS).
The 1H-NMR spectra of all the synthesized carboxamides 3a–3u and 7, as well as the ones of the hybrids 11a–11g, are characterized by a signal at a very low field, between 16 and 17 ppm. This signal is attributed to the proton of the 4-OH group of the quinolinone moiety, which is deshielded as a result of taking part in a strong intramolecular hydrogen bond with the neighboring carbonyl group of the amide bond. The signal of the 4-OH group in the 1H NMR spectra of the synthesized reverse amides 16a–16c appears between 12 and 13 ppm, owing to the fact that the intramolecular hydrogen bond with the carbonyl group is weaker as the carbonyl group is located further than in the case of the carboxamides 3a–3u and 7.
2.2. Bioactivity Assays
In this work, the carboxamides 3a–3u, the quinolinone–cinnamic or benzoic acid hybrids 11a–11g and the reverse amides 16a–16c were tested for their antioxidant activity via five in vitro techniques; (i) the interaction with the stable free radical 2,2-diphenyl-1-picrylhydrazyl (DPPH); (ii) the inhibition of lipid peroxidation; (iii) the hydroxyl radical scavenging ability; (iv) the 2,2-azino-bis(3-ethylbenzothiazoline-6-sulfonic acid (ABTS) radical cation (ABTS·+) reduction; and (v) the superoxide anion radical scavenging ability [61,67,68,69,70].
Furthermore, all the synthesized compounds were examined as inhibitors of soybean lipoxygenase (LOX), which is a plant enzyme with satisfactory homology to the human 5-LOX, and the results can be qualitatively considered as an indication of their anti-inflammatory activity. For this study, the UV absorbance-based soybean LOX assay was used [67,68,69,71,72,73].
2.2.1. DPPH Assay
The results of the DPPH scavenging ability of all the synthesized compounds are presented in Table 1, while nordihydroguaiaretic acid (NDGA) is used as the reference compound.
Table 1.
In vitro antioxidant evaluation of all the synthesized compounds via the DPPH scavenging ability and the inhibition of linoleic acid assays.
The majority of the tested carboxamides 3a–3u showed a weak activity, while this result was not time-dependent (from 20 to 60 min reaction). Compounds 3f and 3g, which possess a p-phenolic group at position 3 of the heterocyclic ring, exhibited the best activity in this assay (48.6% and 51.7%, respectively, in a 60 min interaction), confirming the above statement. Changing the position of the hydroxyl group from the p- to the o-position of the aromatic ring led to the derivative 3j with analogous activity (46.5% in a 60 min interaction with the radical). Replacement of the hydroxyl group with a methyl (analogues 3k, 3l, and 3r) or a fluoro (analogues 3m and 3s) substituent led to inactive compounds, regardless of the substituent on the heterocyclic nitrogen.
The evaluation of the antioxidant activity of the quinolinone hybrid analogues 11a–11g via the DPPH in vitro technique showed that they do not possess any activity (0–5.0%). Furthermore, the synthesized compounds 16a–16c also showed weak activity in this assay, while it seems that the reverse amide bond does not enhance the antioxidant activity of the molecules. This can be verified in the case of analogues 3j and 16c: the carboxamide 3j showed 46.5% DPPH radical inhibitory activity, whereas the reverse amide 16c showed lower activity (28.0%).
Overall, the results of the DPPH method revealed that the antioxidant activity of the tested compounds is not depended on the substituent, which is attached to the nitrogen of the quinolinone moiety, while it is mostly related to the presence or not, of phenolic hydroxyl groups, which can react directly with the free radical. Although all the tested compounds possess a hydroxyl group at position 4 of the heterocyclic moiety, this OH cannot effectively interact with the DPPH radical as it is involved in a strong hydrogen bond with the adjacent carbonyl oxygen. This observation is in accordance with our previous studies on analogous structures [64,65].
2.2.2. Lipid Peroxidation of Linoleic Acid Induced by AAPH Radical
As far as the ability of the tested compounds to inhibit lipid peroxidation of linoleic acid induced by a thermal free radical producer (AAPH) is concerned, the majority of the analogues were found to be potent inhibitors showing activity equal to or even higher than the reference compound Trolox (Table 1).
Among all the synthesized carboxamides (3a–3u), derivatives 3a–3c, 3f, 3g, 3n–3q, and 3t showed the best activity, with a 100% inhibition value. More specifically, N-methyl and N-phenyl analogues 3a and 3b, which possess a propyl substituent attached to the amide group, exhibited the best activity. The elongation of the aliphatic chain of the amide to seven carbon atoms, in the case of 3a analogue, led to the inactive 3e derivative.
Carboxamide 3c, possessing an N-methyl substituent at the quinolinone framework and a hydroxyethyl group attached to the amide bond, is one of the most potent inhibitors (100% inhibition). Replacement of the N-methyl substituent with an N-phenyl one (carboxamide 3d) resulted in a weak antioxidant agent (32.8%).
N-methyl and N-phenyl carboxamides 3f and 3g, which are derived by 4-amino-phenol, exhibited 100% inhibition. The shift of the hydroxyl group to the o-position of the aromatic ring converted the potent 3f agent to a weak inhibitor (analogue 3j, 32.8% inhibition). Furthermore, the replacement of the hydroxyl group with a methyl (analogues 3l and 3r) or a fluoro (analogues 3m and 3s) substituent led to inactive or very weak antioxidant compounds (0% to 28.9% inhibition).
Overall, it seems that the antioxidant activity via the AAPH in vitro assay is equally affected by the group attached to the amide bond and the N-substituent. However, the presence of a p-phenolic group at the amide part always results in a potent inhibitor, regardless of the substituent attached to the heterocyclic nitrogen (carboxamides 3f, 3g, 3n, and 3o).
As far as the hybrid compounds that share the structural features of quinolinone and cinnamic or benzoic acid derivatives are concerned, results revealed that all the synthesized and tested analogues (11a–11g) were strong inhibitors of the lipid peroxidation of linoleic acid, exhibiting higher activity than the reference compound Trolox (88.0%). However, it seems that the cinnamic acid derivatives 11d and 11g showed a slightly better activity (94.0% and 97.0%, respectively) than their benzoic acid analogues 11a and 11c (89.0% and 91.0%, respectively).
The evaluation of the antioxidant activity of the reverse amides 16a–16c via this method led to satisfactory activity (83.0% inhibition of lipid peroxidation for the 16a analogue and 88.0% for the 16b and 16c analogues). Furthermore, in the case of 3j and 16c analogues, it seems that the insertion of the reverse amide moiety enhanced the inhibitory activity from 32.8% (carboxamide 3j) to 88.0% (reverse amide 16c).
2.2.3. Competition with DMSO for Hydroxyl Radicals
The results of the antioxidant activity of carboxamide derivatives 3a–3u in terms of their ability to scavenge hydroxyl radicals are presented in Table 2.
Table 2.
Antioxidant activity of carboxamide derivatives via their ability to scavenge hydroxyl radicals and the ABTS radical cation decolorization assay.
Caboxamides 3a–3u were selected to be tested for the competition with DMSO for hydroxyl radicals assay (Table 2). Analogue 3j, possessing an N-methyl substituent and an o-phenolic group at position 3 of the heterocyclic ring, showed the best activity (100%). Changing the position of the hydroxyl group from the o- to the p- position of the aromatic ring leads to compounds with lower interaction with the OH radical, regardless of the substituent on the heterocyclic nitrogen atom (analogues 3f and 3g, 67.7%). The presence of the hydroxyl group is crucial for the activity, as proven by replacing the hydroxyl group of carboxamide 3j with a methyl one (carboxamide 3k), which resulted in a totally inactive compound.
Furthermore, carboxamides 3m and 3s, which are both derived from the p-fluoro-aniline, exhibited significant antioxidant activity (94.0% and 100%, respectively). Replacement of the fluoro substituent by a hydroxyl group led to compounds 3f and 3g, which showed a moderate activity (67.7%), while replacement by a methyl substituent led to carboxamides 3l and 3r with lower activity (53.7% and 50.7%, respectively). Finally, a pyridine group attached to the amide bond resulted in inactive (compound 3t) or weakly active (compound 3u) antioxidants.
Overall, it seems that the ability of the tested carboxamide derivatives to scavenge hydroxyl radicals was mostly related to the amide substitution, while it was less affected by the N-substituent of the quinolinone moiety. The only case in which this observation was not verified refers to the 3p and 3q analogues, which carry the same amide part; however, they presented an extremely opposite activity. The N-phenyl derivative 3p exhibited potent activity (98.0%), while the corresponding N-methyl analogue 3q showed very weak interaction with the hydroxyl radical (16.9%).
2.2.4. ABTS Radical Cation Decolorization Assay
In the ABTS radical cation (ABTS+) decolorization assay, carboxamide derivatives 3a–3u were examined, and the results are presented in Table 2. Compounds 3f and 3g, which are both derived from 4-amino-phenol, showed the best activity with 77.3% and 72.4% values, respectively. Replacement of the aromatic ring by an aliphatic chain of two carbons led to the corresponding N-methyl and N-phenyl derivatives 3c and 3d, which are inactive (25.6% and had no activity, respectively).
2.2.5. Superoxide Anion Radical Scavenging Ability
All the synthesized carboxamides 3a–3u were examined in terms of their ability to scavenge superoxide anion radicals, and the results are presented in Table 2. N-phenyl carboxamide derivative 3b, which possesses an aliphatic chain of three carbons attached to the amide bond, revealed the best antioxidant activity (84.6%), whereas its N-methyl derivative 3a exhibited very weak activity (23.1%). The insertion of a longer aliphatic chain as a substituent in the case of the N-methyl derivative 3f resulted in an enhanced scavenging ability (66.6%). Carboxamides 3c and 3d, which both possess a hydroxyethyl group, exhibited very satisfactory activity (76.9% and 66.6%, respectively) (Supplementary Materials).
2.2.6. Soybean LOX Inhibitory Activity
Results obtained from the evaluation of the LOX inhibitory activity of the synthesized and tested compounds are presented in Table 3.
Table 3.
In vitro determination of soybean LOX inhibition activity.
Among all the examined carboxamides, analogues 3h and 3s exhibited the best lipoxygenase inhibitory activity, with IC50 = 10 μM. Carboxamide 3h possesses an N-methyl substituent to the quinolinone moiety and a 2-methyl-cyclohexane group attached to the amide bond. Replacement of the N-methyl substituent with an N-phenyl one led to the inactive derivative 3i. Moreover, the replacement of the alicyclic 2-methyl-cyclohexane substituent by an aliphatic one with the same number of carbon atoms (carboxamide 3e) was detrimental for the LOX inhibitory activity as 3e showed no activity.
N-phenyl carboxamide 3s possesses a 4-fluoro-phenyl group attached to the amide bond. Replacement of the N-phenyl substituent by an N-methyl one resulted in the weak inhibitor 3m (15% at 0.1 mM). Keeping the N-phenyl substituent and replacing the fluoro group by a hydroxyl one (3g analogue) led to a better inhibitor (IC50 = 27.5 μM), while replacement by a methyl group led to an inactive agent (3r analogue, 37.5% at 100 μM).
Furthermore, the N-methyl analogue 3f and the N-phenyl analogue 3g, which both share a phenolic group as a common substituent attached to the amide bond, were also evaluated as potent LOX inhibitors, with IC50 = 49.0 μM and 27.5 μM, respectively. Replacement of the aromatic group with an aliphatic chain of two carbons resulted in the less potent N-methyl derivative 3c (IC50 = 52.0 μM) and the inactive N-phenyl derivative 3d.
N-Methyl derivatives 3a and 3l were characterized as good inhibitors (IC50 = 60.0 μM and 45.0 μM, respectively), while their N-phenyl analogues 3b and 3r exhibited very weak inhibitory activity (45% at 0.1 mM and 37.4% at 0.1 mM, respectively). N-methyl and N-phenyl pyridine derivatives 3t and 3u were inactive against the soybean lipoxygenase enzyme.
Among all the synthesized and tested quinolinone–cinnamic or benzoic acid hybrids, the acetyloxy-ferulic acid derivative 11e exhibited the best LOX inhibitory activity, with IC50 = 52.5 μM. Moreover, the 4-methoxy-cinnamic acid derivative 11f showed satisfying activity (IC50 = 70.0 μM), while the cinnamic acid derivative 11g presented a slightly weaker activity (IC50 = 85.5 μM). The 4-acetyloxy-cinnamic acid derivative was evaluated as an inactive agent (5.0% at 100 μM). Overall, it seems that the combined presence of the methoxy and acetyloxy groups (case of 11e hybrid) enhances the LOX inhibitory activity, while the presence of each group separately is not favorable for the activity (cases of 11d and 11f analogues).
In addition, comparing the cinnamic acid analogues 11g (IC50 = 85.5 μM) and 11d (5.0% at 100 μM), with their corresponding benzoic acid derivatives 11c (IC50 = 57.0 μM) and 11a (IC50 = 61.0 μM), it seems that the absence of the unsaturated system seems to be favorable for LOX inhibitory activity.
As far as the LOX inhibitory activity of the reverse amides is concerned, analogue 16a emerged as the most potent (IC50 = 81.0 μM) among this subgroup. Comparison of the reverse analogue 16c with its amide derivative 3j, shows that the reverse bond slightly enhances the LOX inhibitory activity of the compounds (IC50 = 100 μM for the 3j analogue and IC50 = 82.5 μM for the 16c analogue).
2.3. Computational Studies–Docking Simulation Soybean Lipoxygenase
Docking Studies of the Synthesized Derivatives in Soybean LOX
All the synthesized derivatives were studied in silico. For the docking studies, soybean lipoxygenase-1 (PDB: 3PZW) was selected in order to be in accordance with the biological assay. As already mentioned, lipoxygenases are hyperoxidases catalyzing the oxygenation of free and esterified polyunsaturated fatty acids to hydroperoxides. Based on recent findings, apart from the substrate-binding site (iron-binding site), lipoxygenases present additional potential allosteric binding sites [64,74]. First of all, molecular docking was carried out for all the synthesized derivatives, setting a catalytic pocket around the iron with no promising results. Aiming to explore the potential binding mode of the novel derivatives in a detailed manner, blind docking to the whole protein was accomplished to encompass all the potential binding sites. Additionally, docking studies were carried out to NDGA (IC50 = 0.45 μM), a strong LOX inhibitor standard, used herein as a reference compound for comparison purposes. The docking studies revealed that compounds interact with the soybean LOX-1 through allosteric interactions.
The most biologically active derivatives were further investigated, including a visual examination of intermolecular interactions with soybean LOX (PDB ID: 3PZW) (3h; Figure 5 and Figure 6 and 3s; Figure 7 and Figure 8, respectively). Compound 3h had an AutoDockVina score of −8.8 kcal/mol while 3s −8.4 kcal/mol binding to soybean LOX (PDB ID: 3PZW). It is well known that a one-to-one correlation is difficult to reach between the obtained results from the in vitro inhibition of soybean lipoxygenase that represents experimental values and docking scores that are based on algorithms and scoring function calculations. Docking describes the preferred orientation of the ligand bound to the protein. Compound 3h presents hydrophobic interactions with Phe108, Val126, Asn128, Leu246, and Pro530 and a hydrogen bond with Asn128, while compound 3s presents hydrophobic interactions with Val126, Asp243, Val520, Lys526, and Trp772, a hydrogen bond with Tyr525 and π-cation interactions with His515. Moreover, NDGA forms hydrogen bonds between the –OH groups of ring A with Ser129, Arg141, Arg142, and Glu165 and hydrogen bonds between the –OH groups of ring B with Arg767 and Asp 768 (Figure 9 and Figure 10). Additionally, it develops hydrophobic interactions with residues Phe143, Val520, Lys526, and Trp772, resembling the hydrophobic binding motif of 3s. It is well known that most LOX inhibitors act as antioxidants or by scavenging free radicals, oxidizing the enzyme via a carbon-centered radical on a lipid chain. It is possible that compounds 3h and 3s extend into the hydrophobic domain and block the substrates to the binding site, thus preventing oxidation [69].
Figure 5.
The 3D preferred docking pose of 3h (depicted in cyan) bound to soybean lipoxygenase (ID: 3PZW). Nitrogen appears in blue colour while oxygen in red. The one hydrogen bond is illustrated with dashed grey lines. Iron is depicted as an orange sphere.
Figure 6.
Ligand interaction diagram of compound 3h soybean lipoxygenase (ID: 3PZW). The hydrogen bond interaction with residues is illustrated by a purple dashed arrow. The hydrogen bond interaction with residues is illustrated by a purple dashed arrow. The hydrophobic residues are shown in green, the polar ones in cyan, the positively charged in blue, and the negatively charged in red. The Figure was made with free Maestro (Free Maestro academic license, Version 13.8—Schrödinger Release 2023-4: Maestro, Schrödinger, LLC, New York, NY, USA, 2023) [75].
Figure 7.
The 3D preferred docking pose of 3s (depicted in pink) bound to soybean lipoxygenase (ID: 3PZW). Light green colour corresponds to fluorine, blue to nitrogen and red to oxygen. The one hydrogen bond is illustrated with dashed grey lines. Iron is depicted as an orange sphere.
Figure 8.
Ligand interaction diagram of compound 3s to soybean lipoxygenase (ID: 3PZW). The hydrogen bond interaction with residues is illustrated by a purple dashed arrow. The hydrophobic residues are shown in green, the polar ones in cyan, the positively charged in blue, and the negatively charged in red. Figure made with free Maestro (Free Maestro academic license-Version 13.8—Schrödinger Release 2023-4: Maestro, Schrödinger, LLC, New York, NY, USA, 2023) [75].
Figure 9.
The 3D preferred docking pose of NDGA (depicted in light blue) bound to soybean lipoxygenase (ID: 3PZW). Blue colour corresponds to nitrogen and red to oxygen. Hydrogen bonds are illustrated with dashed grey lines. Iron is depicted as an orange sphere.
Figure 10.
Ligand interaction diagram of NDGA soybean lipoxygenase (ID: 3PZW). The hydrogen bond interaction with residues is illustrated by a purple dashed arrow. Figure made with free Maestro (Free Maestro academic license-Version 13.8—Schrödinger Release 2023-4: Maestro, Schrödinger, LLC, New York, NY, USA, 2023) [75].
3. Materials and Methods
NMR spectroscopy: synthesized compounds were structurally elucidated using Varian Gemini 300 MHz (Palo Alto, CA, USA) at the School of Chemical Engineering, NTUA and Varian 600 MHz (Palo Alto, CA, USA) at the National Hellenic Research Foundation, NMR spectrometers using DMSO-d6 and CDCl3 99.9 atom % D.
Melting points were determined on a Gallenkamp MFB-595 melting point apparatus (London, UK) and are uncorrected. High-resolution mass spectra were obtained on an ultra-high-pressure liquid chromatography mass spectrometer mass accuracy and ultra-high resolution (UHPLC—LTQ Orbitrap Velos, Thermo Scientific, Waltham, MA, USA). Mass spectra were obtained on an ESI-MS (HPLC-LCQ Fleet/Thermo Scientific). For the in vitro tests, a Lambda 20 (Perkin–Elmer, Norwalk, CT, USA) UV–Vis double beam spectrophotometer was used. Soybean lipoxygenase, sodium linoleate, 2,2-azobis-(2-amidinopropane) dihydrochloride (AAPH), and DPPH were obtained from Sigma Chemical, Co. (St. Louis, MO, USA).
All commercially available starting materials were used without further purification. Commercially available tetrahydrofuran (THF) was dried prior to use by refluxing over Na. All other solvents (puriss. quality) were used without further purification.
Column chromatography was performed with silica gel 60.
3.1. Synthesis and General Procedures
3.1.1. General Procedure for the Synthesis of Quinolinone–Carboxamides 3a–3x
- Method A:
Equimolar amounts of 1-methyl-4-hydroxy-2-oxo-1,2-dihydro-quinoline-3-carboxylic acid methyl ester (2a), or 1-phenyl-4-hydroxy-2-oxo-1,2-dihydro-quinoline-3-carboxylic acid methyl ester (2b) (1.07 mmol), and the appropriate amine (1.07 mmol) were added to 5 mL of dry toluene. The reaction mixture was refluxed for 24 h, while the reaction was monitored by thin-layer chromatography (TLC). After the completion of the reaction, the mixture was diluted with CH2Cl2 and washed with saturated aqueous NaHCO3. The organic layer was collected, dried with anhydrous sodium sulfate (Na2SO4), and evaporated in vacuo.
- 2.
- Method B:
Equimolar amounts of 1-methyl-4-hydroxy-2-oxo-1,2-dihydro-quinoline-3-carboxylic acid methyl ester (quinolinone 2a) or 1-phenyl-4-hydroxy-2-oxo-1,2-dihydro-quinoline-3-carboxylic acid methyl ester (quinolinone 2b) (1.07 mmol) and the appropriate amine (1.07 mmol) were added to 5mL of dry toluene. The reaction mixture was refluxed for 24 h, while the reaction was monitored by TLC. After the completion of the reaction, the product precipitated after cooling at ambient temperature, the solid was filtered off and washed with diethylether (Et2O) or hexane.
4-hydroxy-1-methyl-3-propylquinolin-2(1H)-one (3a); The compound was synthesized according to the general procedure (Method A), starting from quinolinone 2a (250 mg, 1.07 mmol) and propylamine (63 mg, 1.07 mmol). After the work-up procedure, the product was obtained upon recrystallization from methanol as a colorless powder. Yield: 65%; 1H NMR (300 MHz, CDCl3) δ 17.29 (s, 1H, -OH), 10.33 (s, 1H, -NH), 8.23 (dd, J = 8.1, 1.8 Hz, 1H, Ar-H), 7.68 (ddd, J = 8.6, 7.2, 1.5 Hz, 1H, Ar-H), 7.36 (d, J = 8.7 Hz, 1H, Ar-H), 7.30 (ddd, J = 8.0, 7.2, 1.2 Hz, 1H, Ar-H), 3.69 (s, 3H, N-CH3), 3.42 (m, 2H, -NHCH2-), 1.68 (m, 2H, -CH2CH3), 1.02 (t, J = 7.2 Hz, 3H, -CH2CH3); 13C NMR (75 MHz, CDCl3) δ 172.2, 171.2, 163.0, 140.0, 133.8, 125.7, 122.5, 116.6, 114.3, 96.9, 41.0, 29.3, 22.8, and 11.7; HR-MS m/z (pos): 260.1161 C14H16O3N2 (calcd. 261.1234).
4-hydroxy-2-oxo-1-phenyl-N-propyl-1,2-dihydroquinoline-3-carboxamide (3b); the compound was synthesized according to the general procedure (Method A) starting from quinolinone 2b (316 mg, 1.07 mmol) and propylamine (63 mg, 1.07 mmol). After the work-up procedure, the product was obtained as a colorless powder without any further purification. Yield: 62%; 1H NMR (300 MHz, CDCl3) δ 17.53 (s, 1H, -OH), 10.11 (s, 1H, -NH), 8.23 (dd, J = 7.8, 1.2 Hz, 1H, Ar-H), 7.58 (m, 3H, Ar-H), 7.44 (t, J = 8.0 Hz, 1H, Ar-H), 7.26 (m, 3H, Ar-H), 6.62 (d, J = 8.7 Hz, 1H, Ar-H), 3.37 (m, 2H, -NHCH2-), 1.61 (m, 2H, -CH2CH3), 0.96 (t, J = 7.5 Hz, 3H, -CH2CH3); 13C NMR (75 MHz, CDCl3) δ 173.0, 171.0, 163.1, 140.8, 137.2, 133.1, 130.3, 129.1, 129.0, 125.2, 122.6, 116.2, 116.0, 96.7, 40.9, 22.5, and 11.6; HR-MS m/z (pos): 322.1317 C19H18O3N2 (calcd. 323.1390).
4-hydroxy-N-(2-hydroxyethyl)-1-methyl-2-oxo-1,2-dihydroquinoline-3-carboxamide (3c); the compound was synthesized according to the general procedure (Method A) starting from quinolinone 2a (250 mg, 1.07 mmol) and ethanolamine (65 mg, 1.07 mmol). After the work-up procedure, the product was obtained pure after flash column chromatography (dichloromethane:methanol/98:2) as a colorless powder. Yield: 60%; 1H NMR (300 MHz, CDCl3) δ 16.75 (s, 1H, -OH), 10.60 (s, 1H, -NH), 8.19 (dd, J = 7.8, 1.5 Hz, 1H, Ar-H), 7.69 (ddd, J = 8.6, 7.2, 1.5 Hz, 1H, Ar-H), 7.35 (d, J = 8.4 Hz, 1H, Ar-H), 7.30 (t, J = 7.8 Hz, 1H, Ar-H), 5.30 (s, 1H, -CH2OH), 3.86 (m, 2H, -CH2OH), 3.68 (s, 3H, N-CH3), 3.64 (m, 2H, -NHCH2-); 13C NMR (75 MHz, CDCl3) δ 172.1, 172.0, 162.8, 140.1, 134.0, 125.7, 122.6, 116.3, 114.4, 97.0, 62.4, 42.2, and 29.3; HR-MS m/z (pos): 262.0954 C13H14O4N2 (calcd. 263.1026).
4-hydroxy-N-(2-hydroxyethyl)-2-oxo-1-phenyl-1,2-dihydroquinoline-3-carboxamide (3d); The compound was synthesized according to the general procedure (Method B) starting from quinolinone 2b (316 mg, 1.07 mmol) and ethylenediamine (64 mg, 1.07 mmol) after 2 h stirring at 110 °C. After the work-up procedure, the product was obtained upon recrystallization from methanol as white transparent crystals. Yield: 73%; 1H NMR (300 MHz, CDCl3) δ 17.00 (s, 1H, -OH), 10.40 (s, 1H, -NH), 8.24 (dd, J = 8.1, 1.5 Hz, 1H, Ar-H), 7.58 (m, 3H, Ar-H), 7.46 (ddd, J = 8.6, 7.2, 1.5 Hz, 1H, Ar-H), 7.27 (m, 3H, Ar-H), 6.65 (d, J = 8.4 Hz, 1H, Ar-H), 3.79 (m, 2H, -CH2OH), 3.59 (m, 2H, -NHCH2-), 2.41 (brs, 1H, -CH2OH); 13C NMR (75 MHz, CDCl3) δ 172.9, 172.0, 163.2, 141.0, 137.2, 133.5, 130.5, 129.3, 129.1, 125.4 122.9, 116.2, 116.1, 96.9, 62.3, and 42.2; HR-MS m/z (pos): 324.1110 C18H16O4N2 (calcd. 325.1183).
N-heptyl-4-hydroxy-1-methyl-2-oxo-1,2-dihydroquinoline-3-carboxamide (3e); the compound was synthesized according to the general procedure (Method A) starting from quinolinone 2a (250 mg, 1.07 mmol) and 1-heptylamine (123 mg, 1.07 mmol). After the work-up procedure, the product was obtained pure after flash column chromatography (petroleum ether:ethyl acetate/98:2), as a white powder. Yield: 70%; 1H NMR (300 MHz, CDCl3) δ 17.11 (s, 1H, -OH), 10.12 (s, 1H, -NH), 8.01 (dd, J = 8.1, 1.5 Hz, 1H, Ar-H), 7.49 (ddd, J = 8.4, 7.2, 1.5 Hz, 1H, Ar-H), 7.13 (m, 2H, Ar-H), 3.49 (s, 3H, N-CH3), 3.27 (m, 2H, H-11), 1.49 (quint, J = 6.9 Hz, 2H, H-12), 1.21 (m, 8H, H-13, H-14, H-15, H-16), 0.73 (t, J = 6.3 Hz, 3H, H-17); 13C NMR (75 MHz, CDCl3) δ 172.2, 171.1, 163.0, 140.0, 133.7, 125.7, 122.5, 116.6, 114.3, 99.4, 39.3, 31.9, 29.5, 29.3, 29.1, 27.2, 22.8, and 14.2; HR-MS m/z (pos): 316.1787 C18H24O3N2 (calcd. 317.1860).
4-hydroxy-N-(4-hydroxyphenyl)-1-methyl-2-oxo-1,2-dihydroquinoline-3-carboxamide (3f); the compound was synthesized according to the general procedure (Method B) starting from quinolinone 2a (250 mg, 1.07 mmol) and 4-aminophenol (117 mg, 1.07 mmol). After the work-up procedure, the product was obtained upon recrystallization from methanol and dichloromethane as beige crystals. Yield: 49%; 1H NMR (300 MHz, CDCl3) δ 16.66 (s, 1H, -OH), 12.05 (s, 1H, -NH), 8.64 (s, 1H, Ar-OH), 7.95 (dd, J = 8.1, 1.5 Hz, 1H, Ar-H), 7.47 (ddd, J = 8.1, 7.5, 1.5 Hz, 1H, Ar-H), 7.19 (m, 3H, Ar-H), 7.07 (t, J = 7.8 Hz, 1H, Ar-H), 6.57 (d, J = 8.7 Hz, 2H, Ar-H), 3.47 (s, 3H, N-CH3); 13C NMR (75 MHz, CDCl3) δ 171.3, 168.1, 162.0, 154.2, 139.2, 133.4, 128.2, 124.6, 122.1, 122.0, 115.4, 115.1, 113.9, 96.3, and 28.7; HR-MS m/z (pos): 310.0954 C17H14O4N2 (calcd. 311.1026).
4-hydroxy-N-(4-hydroxyphenyl)-2-oxo-1-phenyl-1,2-dihydroquinoline-3-carboxamide (3g); the compound was synthesized according to the general procedure (Method B) starting from quinolinone 2b (316 mg, 1.07 mmol) and 4-aminophenol (117 mg, 1.07 mmol). After the work-up procedure, the product was obtained upon recrystallization from methanol and dichloromethane as a purple solid. Yield: 33%; 1H NMR (300 MHz, DMSO-d6/CDCl3) δ 17.08 (s, 1H, -OH), 12.01 (s, 1H, -NH), 8.99 (s, 1H, Ar-OH), 8.14 (d, J = 8.4 Hz, 1H, Ar-H), 7.51 (m, 4H, Ar-H), 7.33 (d, J = 8.7 Hz, 2H, Ar-H), 7.25 (m, 3H, Ar-H), 6.71 (d, J = 8.7 Hz, 2H, Ar-H), 6.58 (d, J = 8.4 Hz, 1H, Ar-H); 13C NMR (75 MHz, DMSO-d6/CDCl3) δ 172.2, 168.0, 162.3, 154.3, 140.1, 136.4, 134.3, 133.1, 129.7, 128.7, 128.4, 128.0, 124.3, 122.3, 122.0, 115.6, 115.1, and 96.3; HR-MS m/z (pos): 372.1110 C22H16O4N2 (calcd. 373.1183).
4-hydroxy-1-methyl-N-(2-methylcyclohexyl)-2-oxo-1,2-dihydroquinoline-3-carboxamide (3h); the compound was synthesized according to the general procedure (Method A) starting from quinolinone 2a (250 mg, 1.07 mmol) and 2-methylcyclohexanamine (120 mg, 1.07 mmol). After the work-up procedure, the product was obtained upon recrystallization from methanol as white crystals. Yield: 54%; 1H NMR (300 MHz, CDCl3) δ 17.44 (s, 1H, -OH), 10.24 (br, 1H, -NH), 8.22 (dd, J = 8.1, 1.2 Hz, 1H, Ar-H), 7.67 (ddd, J = 8.6, 7.2, 1.5 Hz, 1H, Ar-H), 7.35 (d, J = 8.4 Hz, 1H, Ar-H), 7.29 (m, 1H, Ar-H), 3.62 (m, 1H, NH-CH), 3.68 (s, 3H, N-CH3), 2.06 (m, 1H, aliphatic), 1.76 (m, 3H, aliphatic), 1.31 (m, 5H, aliphatic), 0.99 (d, J = 6.6 Hz, 3H, -CH3); 13C NMR (75 MHz, CDCl3) δ 172.3, 170.6, 163.0, 140.0, 133.7, 125.7, 122.5, 116.7, 114.3, 96.8, 54.3, 38.3, 34.4, 33.4, 29.2, 25.8, 25.5, and 19.5; HR-MS m/z (pos): 314.1630 C18H22O3N2 (calcd. 315.1703).
4-hydroxy-N-(2-methylcyclohexyl)-2-oxo-1-phenyl-1,2-dihydroquinoline-3-carboxamide (3i); the compound was synthesized according to the general procedure (Method A) starting from quinolinone 2b (316 mg, 1.07 mmol) and 2-methylcyclohexanamine (120 mg, 1.07 mmol). After the work-up procedure, the product was obtained as white crystals upon recrystallization from methanol and dichloromethane. Yield: 49%; 1H NMR (300 MHz, CDCl3) δ 17.72 (s, 1H, -OH), 10.01 (d, J = 8.6 Hz, 1H, -NH), 8.24 (m, 1H, Ar-H), 7.45 (m, 4H, Ar-H), 7.44 (m, 1H, Ar-H), 7.30 (m, 2H, Ar-H), 6.62 (d, J = 8.7 Hz, 1H, Ar-H), 3.63 (m, 1H, NH-CH), 2.02 (m, 1H, aliphatic), 1.72 (m, 3H, aliphatic), 1.26 (m, 5H, aliphatic), 0.96 (d, J = 6.6Hz, 3H, -CH3); 13C NMR (75 MHz, CDCl3) δ 173.4, 170.6, 163.3, 141.0, 137.4, 133.3, 130.5, 129.3, 129.2, 125.3, 122.7, 116.1, 96.7, 54.4, 38.2, 34.4, 34.5, 33.50, 25.9, 25.6, and 19.5; HR-MS m/z (pos): 376.1787 C23H22O4N3 (calcd. 377.1860).
4-hydroxy-N-(2-hydroxyphenyl)-1-methyl-2-oxo-1,2-dihydroquinoline-3-carboxamide (3j); the compound was synthesized according to the general procedure (Method B) starting from quinolinone 2a (250 mg, 1.07 mmol) and aminophenol (117 mg, 1.07 mmol). After the work-up procedure, the product was obtained as white solid without any further purification. Yield: 69%; 1H NMR (300 MHz, DMSO-d6) δ 16.88 (s, 1H, OH), 12.70 (s, 1H, OH phenolic), 10.19 (s, 1H, NH), 8.23 (d, J = 7.5 Hz, 1H, aromatic), 7.82 (dt, J = 7.8, 1.5 Hz, 1H, aromatic), 7.65 (d, J = 8.4 Hz, 1H, aromatic), 7.40 (t, J = 7.5 Hz, 1H, aromatic), 6.99 (m, 3H, aromatic), 6.84 (t, J = 7.5 Hz, 1H, aromatic), 3.67 (3H, s, N-CH3); 13C NMR (75 MHz, DMSO-d6) δ (ppm) 171.3, 168.8, 161.7, 147.5, 139.8, 134.5, 125.5, 125.0, 124.6, 122.7, 121.2, 119.2, 115.5, 115.1, 115.0, 96.8, and 29.3; HR-MS m/z (pos): 310.0954 C17H14O4N2 (calcd. 311.1024).
4-hydroxy-1-methyl-2-oxo-N-(o-tolyl)-1,2,dihydroquinoline-3carboxamide (3k); the compound was synthesized according to the general procedure (Method B) starting from quinolinone 2a (250 mg, 1.07 mmol) and o-toluidine (115 mg, 1.07 mmol). After the work-up procedure, the product was obtained as a white solid without any further purification. Yield: 70%; 1H NMR (300 MHz, CDCl3) δ 16.84 (s, 1H, -OH), 12.36 (s, 1H, -NH), 8.26 (d, J = 7.5 Hz, 1H, Ar-H), 8.09 (d, J = 8.1 Hz, 1H, Ar-H), 7.71 (t, J = 8.1 Hz, 1H, Ar-H), 7.32 (m, 4H, Ar-H), 7.11 (t, J = 7.2 Hz, 1H, Ar-H), 3.74 (s, 3H, N-CH3), 2.45 (s, 3H, Ar-CH3); 13C NMR (75 MHz, CDCl3) δ 172.4, 169.6, 163.1, 140.1, 135.8, 134.1, 130.1, 129.7, 126.7, 125.8, 125.3, 123.0, 122.7, 116.4, 114.4, 97.5, 29.5, and 18.5; HR-MS m/z (pos): 308.1161 C18H16O3N2 (calcd. 309.1234).
4-hydroxy-1-methyl-2-oxo-N-(p-tolyl)-1,2-dihydroquinoline-3-carboxamide (3l); the compound was synthesized according to the general procedure (Method B) starting from quinolinone 2a (250 mg, 1.07 mmol) and p-toluidine (115 mg, 1.07 mmol). After the work-up procedure, the product was obtained upon recrystallization from methanol and dichloromethane as a white solid. Yield: 37%; 1H NMR (300 MHz, CDCl3) δ 16.83 (s, 1H, -OH), 12.42 (s, 1H, -NH), 8.24 (dd, J = 7.5, 1.5 Hz, 1H, Ar-H), 7.70 (ddd, J = 8.2, 7.5, 1.5 Hz, 1H, Ar-H), 7.57 (d, J = 8.4 Hz, 2H, H-12, H-16), 7.38 (d, J = 8.7 Hz, 1H, Ar-H), 7.32 (t, J = 8.1 Hz, 1H, Ar-H), 7.18 (d, J = 8.4 Hz, 2H, H-13, H-15), 3.72 (s, 3H, N-CH3), 2.35 (s, 3H, Ar-CH3); 13C NMR (75 MHz, CDCl3) δ 172.2, 169.2, 162.8, 139.8, 134.6, 134.5, 133.9, 129.5, 125.6, 122.6, 121.2, 116.3, 114.3, 97.2, 29.3, and 20.9; HR-MS m/z (pos): 308.1161 C18H16O3N2 (calcd. 309.1234).
N-(4-fluorophenyl)-4-hydroxy-1-methyl-2-oxo-1,2-dihydroquinoline-3-carboxamide (3m); the compound was synthesized according to the general procedure (Method B) starting from quinolinone 2a (250 mg, 1.07 mmol) and 4-fluoroaniline (119 mg, 1.07 mmol). After the work-up procedure, the product was obtained as a white solid without any further purification. Yield: 66%; 1H NMR (300 MHz, CDCl3/DMSO-d6) δ 16.18 (s, 1H, -OH), 12.22 (S, 1H, -NH), 7.85 (dd, J = 8.1, 1.5 Hz, 1H, Ar-H), 7.39 (ddd, J = 8.4, 7.2, 1.5 Hz, 1H, Ar-H), 7.31 (m, 2H, Ar-H), 7.09 (d, J = 8.4 Hz, 1H, Ar-H), 6.99 (t, J = 7.8 Hz, 1H, Ar-H), 6.74 (m, 2H, Ar-H), 3.38 (s, 3H, N-CH3); 13C NMR (75 MHz, CDCl3/DMSO-d6) δ 171.3, 168.5, 161.9, 160.4, 139.1, 133.6, 132.7, 124.6, 122.1, 122.0, 115.1, 114.8, 113.9, 96.2, and 28.7; HR-MS m/z (pos): 312.0910 C17H13O3FN2 (calcd. 313.0983).
4-hydroxy-N-(4-hydroxyphenethyl)-2-oxo-1-phenyl-1,2-dihydroquinoline-3-carboxamide (3n); the compound was synthesized according to the general procedure (Method B) starting from quinolinone 2b (316 mg, 1.07 mmol) and 4-(2-aminoethyl)phenol (147 mg, 1.07 mmol). After the work-up procedure, the product was obtained as a white solid without any further purification. Yield: 62%; 1H NMR (300 MHz, CDCl3) δ 17.36 (s, 1H, -OH), 10.19 (s, 1H, -NH), 8.24 (dd, J = 8.1, 1.2 Hz, 1H, Ar-H), 7.56 (m, 3H, Ar-H), 7.45 (ddd, J = 8.4, 7.2, 1.5 Hz, 1H, Ar-H), 7.28 (m, 3H, Ar-H), 7.05 (d, J = 8.4 Hz, 2H, H-15, H-17), 6.69 (d, J = 8.4 Hz, 2H, H-14, H-18), 6.64 (d, J = 8.4 Hz, 1H, Ar-H), 3.61 (m, 2H, NH-CH2), 2.82 (t, J = 7.8 Hz, 2H, CH2-Ar); 13C NMR (75 MHz, CDCl3) δ 173.0, 171.0, 163.1, 154.3, 140.8, 137.1, 133.3, 130.6, 130.3, 129.7, 129.2, 129.0, 125.2, 122.7, 116.2, 116.1, 115.4, 96.7, 40.9, and 34.8; HR-MS m/z (pos): 400.1423 C24H20O4N2 (calcd. 401.1496).
4-hydroxy-N-(4-hydroxyphenethyl)-1-methyl-2-oxo-1,2-dihydroquinoline-3-carboxamide (3o); the compound was synthesized according to the general procedure (Method B) starting from quinolinone 2a (250 mg, 1.07 mmol) and 4-(2-aminoethyl)phenol (147 mg, 1.07 mmol). After the work-up procedure, the product was obtained as a white solid without any further purification. Yield: 65%; 1H NMR (300 MHz, CDCl3) δ 16.92 (s, 1H, -OH), 10.09 (s, 1H, -NH), 7.88 (dd, J = 8.2, 1.5 Hz, 1H, Ar-H), 7.42 (t, J = 7.8 Hz, 1H, Ar-H), 7.11 (d, J = 9.0 Hz, 1H, Ar-H), 7.02 (t, J = 7.8 Hz, 1H, Ar-H), 6.77 (d, J = 8.1 Hz, 2H, H-15, H-17), 6.48 (d, J = 8.7 Hz, 2H, H-14, H-18), 3.38 (s, 3H, N-CH3), 3.32 (m, 2H, NH-CH2), 2.55 (t, J = 7.2 Hz, 2H, CH2-Ar), 2.30 (br, 1H, Ar-OH); 13C NMR (75 MHz, CDCl3) δ 171.1, 170.3, 161.7, 155.2, 153.2, 139.2, 133.1, 128.9, 128.5, 124.5, 121.6, 118.8, 114.9, 113.7, 98.7, 30.0, and 28.4; HR-MS m/z (pos): 338.1267 C19H18O4N2 (calcd. 339.1339).
4-hydroxy-N-(2-hydroxy-1-phenylethyl)-1-methyl-2-oxo-1,2-dihydroquinoline-3-carboxamide (3p); the compound was synthesized according to the general procedure (Method B) starting from quinolinone 2a (250 mg, 1.07 mmol) and 2-amino-2-phenylethan-1-ol (147 mg, 1.07 mmol). After the work-up procedure, the product was obtained as a white solid without any further purification. Yield: 70%; 1H NMR (300 MHz, CDCl3) δ (ppm) 10.72 (s, 1H, -NH), 8.23 (d, J = 7.8 Hz, 1H, Ar-H), 7.70 (ddd, J = 8.4, 7.2, 0.9Hz, 1H, Ar-H), 7.37 (m, 7H, Ar-H), 7.98 (dd, J = 7.8, 2.4 Hz, 1H, NH-CH), 3.82 (br, 1H, H-12a), 3.69 (s, 3H, N-CH3), 3.62 (br, 1H, H-12b), 3.06 (brs, 1H, Ar-OH); 13C NMR (75 MHz, CDCl3) δ (ppm) 172.1, 172.0, 162.8, 141.9, 140.2, 134.0, 128.7, 128.2, 126.0, 125.8, 122.6, 114.4, 74.0, 47.4, and 29.4; HR-MS m/z (pos): 338.1267 C19H18O4N2 (calcd. 339.1339).
4-hydroxy-N-(2-hydroxy-1-phenylethyl)-2-oxo-1-phenyl-1,2-dihydroquinoline-3-carboxamide (3q); the compound was synthesized according to the general procedure (Method B) starting from quinolinone 2b (316 mg, 1.07 mmol) and 2-amino-2-phenylethan-1-ol (147 mg, 1.07 mmol). After the work-up procedure, the product was obtained as a white solid without any further purification. Yield: 72%; 1H NMR (300 MHz, CDCl3) δ (ppm) 10.51 (br, 1H, -NH), 8.23 (br, 1H, Ar-H), 7.57 (m, 3H, Ar-H), 7.35 (m, 9H, Ar-H), 6.64 (br, 1H, Ar-H), 4.91 (br, 1H, NH-CH), 3.71 (br, 1H, H-12a), 3.58 (br, 1H, H-12b), 3.00 (brs, 1H, CH2-OH); 13C NMR (75 MHz, CDCl3) δ (ppm) 172.7, 171.9, 162.9, 141.7, 140.9, 137.1, 133.4, 130.3, 130.2, 129.1, 129.0, 128.5, 127.9, 125.8, 125.2, 122.7, 116.1, 73.8, and 47.5; HR-MS m/z (pos): 400.1423 C24H20O4N2 (calcd. 401.1496).
4-hydroxy-2-oxo-1-phenyl-N-(p-tolyl)-1,2-dihydroquinoline-3-carboxamide (3r); the compound was synthesized according to the general procedure (Method B) starting from quinolinone 2b (316 mg, 1.07 mmol) and p-toluedine (115 mg, 1.07 mmol). After the work-up procedure, the product was obtained as a white solid without any further purification. Yield: 62%; 1H NMR (300 MHz, CDCl3) δ (ppm) 12.18 (s, 1H, -NH), 8.28 (d, J = 8.1 Hz, 1H, Ar-H), 7.57 (m, 6H, Ar-H), 7.30 (m, 3H, Ar-H), 7.14 (d, J = 8.1 Hz, 2H, Ar-H), 6.66 (d, J = 8.4 Hz, 1H, Ar-H), 2.33 (s, 3H, N-CH3); 13C NMR (75 MHz, CDCl3) δ (ppm) 173.3, 169.3, 163.3, 140.9, 137.2, 134.7, 134.6, 133.6, 130.6, 129.6, 129.5, 129.1, 125.4, 123.0, 121.4, 116.3, and 21.1; HR-MS m/z (pos): 370.1317 C23H18O3N2 (calcd. 371.1390).
N-(4-fluorophenyl)-4-hydroxy-2-oxo-1-phenyl-1,2-dihydroquinoline-3-carboxamide (3s); the compound was synthesized according to the general procedure (Method B) starting from quinolinone 2b (316 mg, 1.07 mmol) and 4-fluoroaniline (119 mg, 1.07 mmol). After the work-up procedure, the product was obtained as a white solid without any further purification. Yield: 62%; 1H NMR (300 MHz, CDCl3) δ 16.85 (s, 1H, -OH), 12.27 (s, 1H, -NH), 8.27 (d, J = 8.1 Hz, 1H, Ar-H), 7.64 (m, 5H, Ar-H), 7.49 (t, J = 7.5 Hz, 1H, Ar-H), 7.30 (m, 3H, Ar-H), 7.03 (m, 2H, Ar-H), 6.67 (d, J = 8.4 Hz, 1H, Ar-H); 13C NMR (75 MHz, CDCl3) δ 173.1, 169.1, 163.1, 161.3, 158.1, 140.8, 137.0, 133.6, 130.4, 129.4, 128.9, 125.2, 122.9, 122.7, 116.2, 115.7, 115.5, 97.0, and 67.1; HR-MS m/z (pos): 374.1067 C22H15O3FN2 (calcd. 375.1139).
4-hydroxy-1-methyl-2-oxo-N-(pyridin-4-yl)-1,2-dihydroquinoline-3-carboxamide (3t); the compound was synthesized according to the general procedure (Method B) starting from quinolinone 2a (250 mg, 1.07 mmol) and 2-aminopyridine (101 mg, 1.07 mmol). After the work-up procedure, the product was obtained as a white solid without any further purification. Yield: 67%; 1H NMR (300 MHz, CDCl3) δ (ppm) 15.98 (s, 1H, -OH), 12.96 (s, 1H, -NH), 8.55 (d, J = 5.4 Hz, 2H, H-13, H-15), 8.25 (d, J = 8.1 Hz, 1H, Ar-H), 7.75 (br, 1H, Ar-H), 7.68 (d, J = 5.4 Hz, 2H, H-12, H-16), 7.37 (m, 2H, Ar-H), 3.73 (s, 3H, N-CH3); HR-MS m/z (pos): 295.0957 C16H13O3N3 (calcd. 296.1030).
4-hydroxy-2-oxo-1-phenyl-N-(pyridin-4-yl)-1,2-dihydroquinoline-3-carboxamide (3u); the compound was synthesized according to the general procedure (Method B) starting from quinolinone 2b (316 mg, 1.07 mmol) and 2-aminopyridine (101 mg, 1.07 mmol). After the work-up procedure, the product was obtained as a white solid without any further purification. Yield: 62%; 1H NMR (600 MHz, CDCl3) δ 12.98 (s, 1H, -NH), 8.53 (m, 2H, H-13, H-15), 8.29 (d, J = 7.8 Hz, 1H, Ar-H), 7.77 (m, 2H, H-12, H-16), 7.67 (m, 2H, Ar-H), 7.62 (d, J = 7.8 Hz, 1H, Ar-H), 7.54 (t, J = 7.8 Hz, 1H, Ar-H), 7.35 (t, J = 7.8 Hz, 1H, Ar-H), 7.31 (m, 2H, Ar-H), 6.69 (d, J = 9.0 Hz, 1H, Ar-H); 13C NMR (150 MHz, CDCl3) δ 173.7, 170.8, 163.2, 148.0, 141.2, 136.7, 134.6, 130.7, 129.8, 128.9, 125.6, 123.5, 116.5, 115.7, 115.4, and 97.2; HR-MS m/z (pos): 357.1113 C21H15O3N3 (calcd. 358.1186).
3.1.2. Synthesis of 1-Ethyl-2,4-dihydro-1H-3,1-benzoxazine-2,4-dione (5)
To a stirred solution of isatoic anhydride (4) (2 g, 12.3 mmol) and sodium hydride (NaH, 60% w/w in oil, 444 mg, 18.5 mmol) in dimethylformamide (DMF, 50 mL), iodoethane (1.2 mL, 14.8 mmol) is added under cooling and the reaction mixture is refluxed and stirred at room temperature for 24 h, under inert atmosphere. The reaction is monitored by TLC. At the end of the reaction, the mixture is poured into a conical flask containing water and ice and then extracted three times with Et2O. The organic phase is collected, dried over anhydrous Na2SO4, and concentrated under reduced pressure. The final product (5) is obtained as a beige solid after additional rinsing with Et2O and used in the next step without further purification. Yield: 36%; 1H NMR (300 MHz, CDCl3) δ 8.11 (dd, J = 9.0 Hz, J = 3.0 Hz, 1H, Ar-H), 7.71 (td, J = 9.0 Hz, J = 3.0 Hz, 1H, Ar-H), 7.22 (d, J = 9.0 Hz, 1H, Ar-H), 7.14 (d, J = 9.0 Hz, 1H, Ar-H), 4.09 (q, J = 6.0 Hz, 2H, N-CH2), 1.32 (t, J = 9.0 Hz, 3H, N-CH2-CH3).
3.1.3. Synthesis of Methyl 1-Ethyl-4-hydroxy-2-oxo-1,2-dihydroquinoline-3-carboxylate (6)
To a stirred solution of NaH (60% dispersion in mineral oil) (235 mg, 5.9 mmol) and 25 mL DMF, 1 eq. of N-substituted isatoic anhydride (5) (560 mg, 2.9 mmol) was added, followed by the addition of 5 eq. of dimethyl malonate (1.70 mL, 14.8 mmol) at 0 °C. The reaction mixture was refluxed at 80 °C under an inert atmosphere for 3 h, and the reaction was monitored by TLC. After completion of the reaction, the mixture was cooled in an ice-water bath, acidified with HCl (10% aqueous solution), and then extracted with Et2O (3 × 25 mL); the combined organic layers were collected, dried over NaSO4, and evaporated under reduced pressure. The desired quinolinone product 6 was obtained as a beige powder, and it was further purified by recrystallization from methanol/dichloromethane. Yield: 220 mg (35%); m.p. 138 °C; 1HNMR (600 MHz, CDCl3,) δ (ppm) 14.01 (s, 1H, -OH), 8.20 (dd, J = 7.8, 0.6 Hz, 1H, Ar–H), 7.68 (td, J = 7.2, 1.8 Hz, 1H, Ar–H), 7.33 (d, J = 8.4 Hz, 1H, Ar–H), 7.25 (t, J = 7.8 Hz, 1H, Ar–H), 4.31 (q, J = 7.2 Hz, 2H, N–CH2–CH3), 4.04 (s, 2H, COOCH3), 1.33 (t, J = 6.6 Hz, 3H, N–CH2–CH3).
3.1.4. Synthesis of the N-(2-Aminoethyl)-1-ethyl-4-hydroxy-2-oxo-1,2-dihydroquinoline-3-carboxamide (7)
A sample of 1 eq. of 6 (150 mg, 0.61 mmol) and 2 eq. of ethylenediamine (81.1 μL, 1.21 mmol) were added to 10 mL of toluene. The reaction mixture was refluxed under an inert atmosphere for 2.5 h, and the reaction was monitored by TLC. After completion of the reaction, the mixture was cooled in an ice-water bath, and the precipitate was formed, filtered, and washed with Et2O. The desirable amide product (7) was obtained as a white powder further purified by recrystallization from methanol/dichloromethane. Yield: 93 mg (55%); m.p. 161 °C; 1HNMR (300 MHz, DMSO-d6) δ (ppm) 10.44 (s, 1H, NH), 8.09 (d, J = 7.2 Hz, 1H, Ar-H), 7.70 (t, J = 7.5 Hz, 1H, Ar-H), 7.55 (d, J = 8.4 Hz, 1H, Ar-H), 7.27 (t, J = 7.2 Hz, 1H, Ar-H), 4.25 (q, J = 4.5 Hz, 2H, N-CH2-CH3), 3.36 (br, 2H, CONH-CH2- CH2-NH2), 2.77 (br, 2H, CONH-CH2-CH2-NH2), 1.19 (t, J = 6.3 Hz, 3H, N-CH2-CH3); 13C NMR (75 MHz, DMSO-d6) δ 171.9, 170.5, 161.7, 138.7, 133.2, 125.1, 121.5, 117.7, 114.5, 96.9, 40.4, 40.3, 36.2, and 12.9.
3.1.5. General Procedure for the Synthesis of Acetyl Phenolic Acid Derivatives (9a, 9b, 9e, and 9f)
A sample of 1 eq. of the appropriate phenolic acid and 2 eq. of acetic anhydride were added to the pyridine. The mixture was then stirred overnight at 80 °C, under an inert atmosphere and monitored by TLC. After completion of the reaction, pyridine was evaporated under reduced pressure, resulting in a solid residue, which was then washed with diethyl ether solvent and filtered. The desirable acetyl derivatives (9a, 9b, 9e, and 9f) were obtained and used without further purification.
4-acetoxybenzoic acid (9a): the compound was synthesized according to the general procedure, starting from 4-hydroxybenzoic acid (8a) (400 mg, 2.22 mmol) and acetic anhydride (419.0 μL, 4.44 mmol) in 6 mL pyridine. After the work-up procedure, the product was obtained as a white solid. Yield: 95%.
4-acetoxy-3,5-dimethoxybenzoic acid (9b): the compound was synthesized according to the general procedure, starting from 4-hydroxy-3,5-dimethoxybenzoic acid (8b) (400 mg, 1.67 mmol) and acetic anhydride (314.2 μL, 3.33 mmol) in 5 mL pyridine. After the work-up procedure, the product was obtained as a white solid. Yield: 70%.
(E)-3-(4-acetoxyphenyl)acrylic acid (9e): the compound was synthesized according to the general procedure, starting from (E)-3-(4-hydroxyphenyl)acrylic acid (8e) (400 mg, 1.94 mmol) and acetic anhydride (366.1 μL, 3.88 mmol) in 5 mL pyridine. After the work-up procedure, the product was obtained as a white solid. Yield: 76%; 1HNMR (600 MHz, DMSO-d6) δ (ppm) 12.40 (s, 1H, COOH), 7.74 (d, J = 8.4 Hz, 2H, Ar-H), 7.59 (d, J = 16.2 Hz, 1H, H-a), 7.18 (d, J = 8.4 Hz, 2H, Ar-H), 6.51 (d, J = 15.9 Hz, H-b), 2.28 (s, 3H, Ar-OCOCH3).
(E)-3-(4-acetoxy-3-methoxyphenyl)acrylic acid (9f): the compound was synthesized according to the general procedure, starting from (E)-3-(4-hydroxy-3-methoxyphenyl)acrylic acid (8f) (400 mg, 1.69 mmol) and acetic anhydride (319.5 μL, 3.38 mmol) in 5 mL pyridine. After the work-up procedure, the product was obtained as a white solid. Yield: 95%.
3.1.6. General Procedure for the Synthesis of the Acetyl Chlorides 10a–10g
A sample of 1 eq. of the appropriate carboxylic acid and 4 eq. of thionyl chloride (SOCl2) were added to toluene. The mixture was stirred at 90 °C for 45 min under an inert atmosphere. After completion of the reaction, toluene was evaporated under reduced pressure, and the residue was dried in a high vacuum pump. The desirable acyl chlorides 10a–10g were obtained and used without purification directly in the next reaction, assuming a 100% yield.
4-(chlorocarbonyl)phenyl acetate (10a): the compound was synthesized according to the general procedure, starting from 4-acetoxybenzoic acid (9a) (264 mg, 1.47 mmol) and SOCl2 (425.2 μL, 5.86 mmol) in 4.0 mL toluene.
4-(chlorocarbonyl)-2,6-dimethoxyphenyl acetate (10b): the compound was synthesized according to the general procedure, starting from 4-acetoxy-3,5-dimethoxybenzoic acid (9a) (280 mg, 1.17 mmol) and SOCl2 (338.2 μL, 4.66 mmol) in 3.5 mL toluene.
Benzoyl chloride (10c): the compound was synthesized according to the general procedure, starting from benzoic acid (8c) (300 mg, 2.46 mmol) and SOCl2 (712.8 μL, 9.83 mmol) in 5.5 mL toluene.
2-hydroxybenzoyl chloride (10d): the compound was synthesized according to the general procedure, starting from 2-hydroxybenzoic acid (8d) (300 mg, 2.17 mmol) and SOCl2 (630.3 μL, 8.69 mmol) in 6.0 mL toluene.
(E)-4-(3-chloro-3-oxoprop-1-en-1-yl)phenyl acetate (10e): the compound was synthesized according to the general procedure, starting from (E)-3-(4-acetoxyphenyl)acrylic acid (9e) (300 mg, 1.45 mmol) and SOCl2 (422.2 μL, 5.82 mmol) in 3.5 mL toluene.
(E)-4-(3-chloro-3-oxoprop-1-en-1-yl)-2-methoxyphenyl acetate (10f): the compound was synthesized according to the general procedure, starting from (E)-3-(4-acetoxy-3-methoxyphenyl)acrylic acid (9f) (300 mg, 1.27 mmol) and SOCl2 (368.5 μL, 5.08 mmol) in 3.0 mL toluene.
(E)-3-(4-methoxyphenyl)acryloyl chloride (10g): the compound was synthesized according to the general procedure, starting from (E)-3-(4-methoxyphenyl)acrylic acid (8g) (200 mg, 1.12 mmol) and SOCl2 (325.7 μL, 4.49 mmol) in 3.0 mL toluene.
3.1.7. General Procedure for the Synthesis of Hybrid Compounds 11a–11g
The appropriate chloride (1.5 eq.) 10a–10c, 10e–10h, and carboxamide 7 (1 eq.) were diluted in THF, and Et3N was added. The mixture was then stirred overnight at 50 °C under an inert atmosphere and monitored by TLC. After completion of the reaction, the mixture was cooled to room temperature and then extracted three times with ethyl acetate; the organic layer was collected, dried over Na2SO4, and evaporated under reduced pressure. The desirable final hybrid compounds (11a–11g) were obtained in a solid form after the suitable purification process.
4-((2-(1-ethyl-4-hydroxy-2-oxo-1,2-dihydroquinoline-3-carboxamido)ethyl)carbamoyl)phenyl acetate (11a): the compound was synthesized according to the general procedure, starting from 4-(chlorocarbonyl)-phenyl acetate (10a) (290.6 mg, 1.46 mmol) and carboxamide 7 (268.5 mg, 0.97 mmol), in 5 mL of THF and 0.44 mL of Et3N. After the work-up procedure, the product was obtained upon recrystallization from ethyl acetate, as a white solid. Yield: 95%; m.p. 137–145 °C; 1HNMR (600 MHz, DMSO-d6) δ (ppm) 17.35 (s, 1H, OH), 10.48 (s, 1H, CONHCH2), 8.68 (s, 1H, CH2NHCO), 8.11 (d, J = 7.8 Hz, 1H, Ar-H), 7.88 (d, J = 8.4 Hz, 2H, H-3′ & H-5′), 7.80 (t, J = 7.8 Hz, 1H, Ar-H), 7.66 (d, J = 8.4 Hz, 1H, Ar-H), 7.37 (t, J = 7.8 Hz, 1H, Ar-H), 7.22 (d, J = 8.4 Hz, 2H, H-2′ & H-6′), 4.29 (q, J = 7.2 Hz, 2H, NCH2CH3), 3.59 (br, 2H, H-11), 3.49 (br, 2H, H-12), 2.29 (s, 3H, CH3COOAr), 1.21 (t, J = 7.2 Hz, 3H, NCH2CH3);13C NMR (150 MHz, DMSO-d6) δ ppm 171.06, 168.95, 165.94, 161.14, 152.60, 138.65, 134.31, 132.06, 128.66, 124.75, 122.32, 121.68, 115.33, 115.00, 95.97, 38.89, 38.19, 36.64, 20.85, and 12.72; HR-MS m/z (neg): 437.1587 C23H22O6N3 (calcd. 436.15055).
4-((2-(1-ethyl-4-hydroxy-2-oxo-1,2-dihydroquinoline-3-carboxamido)ethyl)carbamoyl)-2,6-dimethoxyphenyl acetate (11b): the compound was synthesized according to the general procedure, starting from 4-(chlorocarbonyl)-2,6-dimethoxyphenyl acetate (10b) (305.3 mg, 1.18 mmol) and carboxamide 7 (216.6 mg, 2.79 mmol), in 4 mL of THF and 0.36 mL of Et3N. After the work-up procedure, the product was obtained as a white solid upon flash column chromatography. Yield: 80%; m.p. 192–194 °C; 1H NMR (600 MHz, DMSO-d6) δ (ppm) 17.36 (s, 1H, OH), 10.49 (s, 1H, CONHCH2), 8.70 (s, 1H, CH2NHCO), 8.11 (d, J = 7.8 Hz, 1H, Ar-H), 7.81 (t, J = 8.4 Hz, 1H, Ar-H), 7.67 (d, J = 8.4 Hz, 1H, Ar-H), 7.37 (t, J = 7.2 Hz, 1H, Ar-H), 7.21 (s, 2H, H-3′ & H-5′), 4.29 (q, J = 7.2 Hz, 2H, NCH2CH3), 3.80 (s, 6H, 2 x Ar-OCH3), 3.61 (br, 2H, H-11), 3.50 (br, 2H, H-12), 2.26 (s, 3H, CH3COOAr), 1.21 (t, J = 7.2 Hz, 3H, NCH2CH3); 13C NMR (150 MHz, DMSO-d6) δ ppm 171.08, 171.02, 167.85, 166.02, 161.17, 151.49, 138.67, 134.36, 132.74, 130.12, 124.75, 122.37, 115.32, 115.04, 104.18, 95.98, 56.06, 38.95, 38.14, 36.64, 20.14, and 12.71; HR-MS m/z (neg): 497.1798 C25H26O8N3 (calcd. 496.17166).
N-(2-benzamidoethyl)-1-ethyl-4-hydroxy-2-oxo-1,2-dihydroquinoline-3-carboxamide (11c): the compound was synthesized according to the general procedure, starting from benzoyl chloride (10c) (275.0 mg, 1.95 mmol) and carboxamide 7 (359.1 mg, 1.30 mmol), in 6.5 mL of THF and 0.59 mL of Et3N. After the work-up procedure, the product was obtained as a white solid upon flash column chromatography. Yield: 56%; m.p. 145–150 °C; 1H NMR (300 MHz, DMSO-d6) δ (ppm) 17.28 (s, 1H, OH), 10.44 (br, 1H, CONHCH2), 8.63 (br, 1H, CH2NHCO), 8.08 (dd, J = 8.1, 1.2 Hz, 1H, Ar-H), 7.82 (m, 2H, Ar-H), 7.77 (d, J = 7.2 Hz, 1H, Ar-H), 7.64 (d, J = 8.7 Hz, 1H, Ar-H), 7.48 (m, 3H, Ar-H), 7.35 (t, J = 7.5 Hz, 1H, Ar-H), 4.28 (q, J = 7.2 Hz, 2H, NCH2CH3), 3.61 (br, 2H, H-11), 3.50 (br, 2H, H-12), 1.21 (t, J = 6.9 Hz, 3H, NCH2CH3); 13C NMR (75 MHz, DMSO-d6) δ ppm 171.07, 171.01, 166.68, 161.14, 138.65, 134.52, 134.34, 131.16, 128.26, 127.21, 124.76, 122.35, 115.33, 115.02, 95.97, 38.878, 38.212, 36.64, and 12.74; HR-MS m/z (neg): 379.1532 C21H20O4N3 (calcd. 378.14505).
(E)-4-(3-((2-(1-ethyl-4-hydroxy-2-oxo-1,2-dihydroquinoline-3-carboxamido)ethyl)amino)-3-oxoprop-1-en-1-yl)phenyl acetate (11d): the compound was synthesized according to the general procedure, starting from (E)-4-(3-chloro-3-oxoprop-1-en-1-yl)-phenyl acetate (10e) (334.1 mg, 1.48 mmol) and carboxamide 7 (272.9 mg, 0.99 mmol), in 5 mL of THF and 0.45 mL of Et3N. After the work-up procedure, the product was obtained upon recrystallization from hexane as a white solid. Yield: 57%; m.p. 147–150 °C; 1H NMR (600 MHz, DMSO-d6) δ (ppm) 17.33 (s, 1H, OH), 10.43 (br, 1H, CONHCH2), 8.34 (br, 1H, CH2NHCO), 8.10 (d, J = 7.8 Hz, 1H, Ar-H), 7.80 (t, J = 7.2 Hz, 1H, Ar-H), 7.66 (d, J = 8.4 Hz, 1H, Ar-H), 7.61 (d, J = 8.4 Hz, 2H, H-2′ & H-6′), 7.44 (d, J = 15.6 Hz, 1H, H-16), 7.36 (t, J = 7.2 Hz, 1H, Ar-H), 7.17 (d, J = 8.4 Hz, 1H, Ar-H), 6.60 (d, J = 15.6 Hz, 1H, H-15), 4.29 (q, J = 7.2 Hz, 2H, NCH2CH3), 3.54 (br, 2H, H-11), 3.42 (br, 2H, H-12), 2.27 (s, 3H, CH3COOAr), 1.21 (t, J = 7.2 Hz, 3H, NCH2CH3); 13C NMR (150 MHz, DMSO-d6) δ ppm 171.07, 170.97, 169.04, 165.26, 161.14, 151.14, 138.66, 137.86, 134.33, 132.51, 128.66, 124.76, 122.35, 122.07, 115.32, 115.01, 95.94, 38.38, 36.64, 20.85, and 12.73; HR-MS m/z (neg): 463.1743 C25H24O6N3 (calcd. 462.16611).
(E)-4-(3-((2-(1-ethyl-4-hydroxy-2-oxo-1,2-dihydroquinoline-3-carboxamido)ethyl)amino)-3-oxoprop-1-en-1-yl)-2-methoxyphenyl acetate (11e): the compound was synthesized according to the general procedure, starting from (E)-4-(3-chloro-3-oxoprop-1-en-1-yl)-2-methoxyphenyl acetate (10f) (320.9 mg, 1.26 mmol) and carboxamide 7 (231.3 mg, 0.84 mmol), in 4.5 mL of THF and 0.38 mL of Et3N. After the work-up procedure, the product was obtained upon recrystallization from ethyl acetate as a white solid. Yield: 59%; m.p. 115–121 °C; 1H NMR (600 MHz, DMSO-d6) δ (ppm) 17.33 (s, 1H, OH), 10.43 (br, 1H, CONHCH2), 8.32 (br, 1H, CH2NHCO), 8.11 (d, J = 7.8 Hz, 1H, Ar-H), 7.80 (t, J = 7.8 Hz, 1H, Ar-H), 7.66 (d, J = 8.7 Hz, 1H, Ar-H), 7.43 (d, J = 15.6 Hz, 1H, H-16), 7.36 (t, J = 7.2 Hz, 1H, Ar-H), 7.32 (d, J = 1.2 Hz, 1H, H-3′), 7.16 (dd, J = 8.4, 1.8 Hz, 1H, H-5′), 7.11 (d, J = 8.4 Hz, 1H, H-6′), 6.23 (d, J = 15.6 Hz, 1H, H-15), 4.29 (q, J = 7.2 Hz, 2H, NCH2CH3), 3.81 (s, 3H, OCH3), 3.54 (br, 2H, H-11), 3.42 (br, 2H, H-12), 2.26 (s, 3H, CH3COOAr), 1.21 (t, J = 7.2 Hz, 3H, NCH2CH3); 13C NMR (150 MHz, DMSO-d6) δ ppm 171.14, 171.04, 168.54, 165.34, 161.19, 151.09, 140.19, 138.71, 138.32, 134.44, 133.90, 124.84, 123.32, 122.45, 122.29, 120.20, 115.13, 111.53, 95.99, 55.81, 38.45, 36.71, 20.48, and 12.83; HR-MS m/z (neg): 493.1849 C25H26O7N3 (calcd. 492.17709).
(E)-1-ethyl-4-hydroxy-N-(2-(3-(4-methoxyphenyl)acrylamido)ethyl)-2-oxo-1,2-dihydroquinoline-3-carboxamide (11f): the compound was synthesized according to the general procedure, starting from (E)-3-(4-methoxyphenyl)acryloyl chloride (10g) (136.2 mg, 0.69 mmol) and carboxamide 7 (126.6 mg, 0.46 mmol), in 2.5 mL of THF and 0.21 mL of Et3N. After the work-up procedure, the product was obtained upon recrystallization from methanol as a white solid. Yield: 55%; m.p. 153–155 °C; 1H NMR (600 MHz, DMSO-d6) δ (ppm) 17.30 (s, 1H, OH), 10.42 (br, 1H, CONHCH2), 8.24 (br, 1H, CH2NHCO), 8.10 (d, J = 7.8 Hz, 1H, Ar-H), 7.79 (t, J = 7.8 Hz, 1H, Ar-H), 7.65 (d, J = 8.7 Hz, 1H, Ar-H), 7.50 (d, J = 8.4 Hz, 2H, H-2′ & H-6′), 7.35 (m, 2H, H-16 & Ar-H), 6.96 (d, J = 8.4 Hz, 2H, H-3′ & H-5′), 6.48 (d, J = 15.6 Hz, 1H, H-15), 4.28 (q, J = 7.2 Hz, 2H, NCH2CH3), 3.78 (s, 3H, ArOCH3), 3.53 (br, 2H, H-11), 3.41 (br, 2H, H-12), 1.21 (t, J = 7.2 Hz, 3H, NCH2CH3); 13C NMR (150 MHz, DMSO-d6) δ ppm 171.06, 170.95, 165.62, 161.13, 160.29, 138.64, 138.49, 134.30, 129.08, 127.39, 124.74, 122.32, 119.49, 115.32, 114.99, 114.33, 95.93, 55.22, 38.43, 38.33, 36.63, and 12.73; HR-MS m/z (neg): 435.1794 C24H24O5N3 (calcd. 434.17123).
(E)-N-(2-cinnamamidoethyl)-1-ethyl-4-hydroxy-2-oxo-1,2-dihydroquinoline-3-carboxamide (11g): the compound was synthesized according to the general procedure, starting from cinnamoyl chloride (10h) (181.5 mg, 1.09 mmol) and carboxamide 7 (200.0 mg, 0.73 mmol), in 1.5 mL of THF and 0.1 mL of Et3N. After the work-up procedure, the product was obtained upon recrystallization from methanol as a white solid. Yield: 90%; m.p. 157-162 oC; 1H NMR (600 MHz, DMSO-d6) δ (ppm) 17.33 (s, 1H, OH), 10.43 (br, 1H, CONHCH2), 8.34 (br, 1H, CH2NHCO), 8.10 (d, J = 8.4 Hz, 1H, Ar-H), 7.80 (t, J = 7.8 Hz, 1H, Ar-H), 7.66 (d, J = 8.4 Hz, 1H, Ar-H), 7.56 (d, J = 7.2 Hz, 2H, Ar-H), 7.44 (d, J = 15.6 Hz, 1H, H-16), 7.38 (m, 3H, Ar-H), 6.63 (d, J = 15.6 Hz, 1H, H-15), 4.29 (q, J = 7.2 Hz, 2H, NCH2CH3), 3.54 (br, 2H, H-11), 3.42 (br, 2H, H-12), 1.21 (t, J = 7.2 Hz, 3H, NCH2CH3); 13C NMR (150 MHz, DMSO-d6) δ ppm 171.09, 170.99, 165.34, 161.16, 138.82, 138.66, 134.85, 134.33, 129.47, 128.93, 127.54, 124.78, 122.36, 122.00, 115.34, 115.03, 95.95, 38.39, 36.66, and 12.76; HR-MS m/z (neg): 405.1689 C23H22O4N3 (calcd. 404.16068).
3.1.8. Synthesis of 4-Hydroxy-1-methyl-3-nitroquinolin-2(1H)-one (13)
HNO3 (70%, 9 mmol) is added dropwise to a suspension of 4-hydroxyquinolin-2(1H)-one (12) (6 mmol) in glacial acetic acid (10 mL). The mixture was heated at 90 °C for 1–2 h and then cooled to r.t. The solid was collected through vacuum filtration and washed with Et2O (3 × 15 mL). Characterization data of the compound were identical to those reported in the literature [76]; Yield: 87%; m.p. 159–161 °C; 1H NMR (300 MHz, CDCl3) δ (ppm) 13.69 (s, 1H, -OH), 8.28 (d, J = 7.0 Hz, 1H, H-5), 7.81 (t, J = 7.2 Hz, 1H, H-7), 7.36 (m, 2H, J = 7.0 Hz, H-6/8), 3.70 (s, 3H, N-CH3); 13C NMR (CDCl3, 75 MHz) δ (ppm) 165.2, 154.8, 140.8, 136.4, 126.8, 123.1, 114.6, 113.1, 99.2, and 29.6.
3.1.9. Synthesis of the 3-Amino-4-hydroxy-1-methylquinolin-2(1H)-one Hydrochloride (14)
4-hydroxy-1-methyl-3-nitroquinolinone (13) is added in equimolar amount of aqueous NaOH 1M, and the mixture was stirred until homogeneous. An equimolar amount of sodium dithionite (Na2S2O4) was then added, and the reaction mixture was stirred for 30 min in r.t., while the reaction was monitored by a thin-layer chromatography. After the reaction’s completion, the mixture was acidified with an aqueous HCl 10% in an ice-water bath, and the precipitated solid was collected through vacuum filtration. The product was used in the next step without any further purification. Yield: 96%; m.p. > 250 °C; 1H NMR (CDCl3/DMSO-d6, 300 MHz) δ (ppm) 7.71 (d, J = 7.0 Hz, 1H, Ar-H), 7.19 (t, J = 7.8 Hz, 1H, Ar-H), 7.96 (d, J = 7.0 Hz, 1H, Ar-H), 6.86 (t, J = 7.8 Hz 1H, Ar-H), 3.25 (s, 3H, N-CH3 ), 4.70 (s, 2H, ΝH2.HCl).
3.1.10. General Procedure for the Preparation of Reverse Amides 16a–16d
The synthesized hydrochloric salt (14) was added to a round bottom flask containing THF solvent, and the mixture was stirred for 15 min. An appropriate amount of anhydrous Et3N and the corresponding chloride were then added, and the reaction mixture was refluxed at 52 °C for 2–3 h under an inert atmosphere. The reaction is monitored by TLC. After the reaction was complete, a small amount of water was added to the mixture and then acidified with aqueous HCl 10% in an ice-water bath, and the solid precipitated was collected through vacuum filtration. Product 16 was obtained as a solid, and if required, it was further purified by recrystallization from methanol.
N-(4-hydroxy-1-methyl-2-oxo-1,2-dihydroquinolin-3-yl)butyramide (16a): the compound was synthesized according to the general procedure, starting from 3-amino-4-hydroxy-1-methylquinolin-2(1H)-one hydrochloride (14) (200 mg, 1.7 mmol) in 5 mL THF and proceeding with anhydrous Et3N (0.3 mL, 4.25 mmol) and butyryl chloride (15a) (266.4 mg, 2.50 mmol). The reaction mixture was refluxed for 2.5 h. After the work-up procedure, the product was obtained without any further purification. Yield: 46%; m.p. 122–123 °C; 1H NMR (CDCl3, 600 MHz) δ (ppm) 12.90 (s,1H, OH), 8.72 (s, 1H, NH), 8.15 (dd, J = 7.8, 1.2 Hz, 1H, Ar-H), 7.57 (ddd, J = 8.5, 7.3, 1.4 Hz, 1H, Ar-H), 7.32 (m, 2H, Ar-H), 3.75 (s, 3H, N-CH3), 2.51 (t, J = 7.2 Hz, 2H, COCH2), 1.81 (sextep, J = 7.2 Hz, 2H, CH2CH2CH3), 1.04 (t, J = 7.2 Hz, 3H, CH2CH3); 13C NMR (CDCl3, 150 MHz) δ (ppm) 173.7, 159.5, 148.8, 136.5, 130.3, 124.6, 122.5, 117.2, 113.6, 109.2, 38.7, 29.9, 19.2, and 13.5; ESI-MS (m/z): 261.1 [M + H]+, 283 [M + 23]+, 191 [M − 69]+.
N-(4-hydroxy-1-methyl-2-oxo-1,2-dihydroquinolin-3-yl)-4-methylbenzamide (16b): the compound was synthesized according to the general procedure, starting from 3-amino-4-hydroxy-1-methylquinolin-2(1H)-one hydrochloride (14) (490 mg, 2.16 mmol) in 12 mL THF and proceeding with anhydrous Et3N (0.73 mL, 5.4 mmol) and 4-methyl-benzoyl chloride (15b) (400.4 mg, 2.59 mmol). The reaction mixture was refluxed for 2 h. After the work-up procedure, the product was obtained without further purification. Yield: 30%; m.p. 188–190 °C; 1H NMR (CDCl3, 300 MHz) δ (ppm) 12.83 (s, 1H, OH), 9.27 (s, 1H, NH), 7.85 (dd, J = 6.0, 3.0 Hz, 1H, Ar-H), 7.59 (d, J = 6.0 Hz, 2H, H-12 & H-16), 7.31 (t, J = 9.0 Hz, 1H, Ar-H), 7.11 (d, J = 9.0 Hz, 1H, Ar-H), 7.14 (d, J = 9.0 Hz, 1H, Ar-H), 7.04 (br, 1H, Ar-H), 7.05 (d, J = 6.0 Hz, 2H, H-13 & H-15), 3.51 (s, 3H, N-CH3), 2.19 (s, 3H, Ar-CH3); 13C NMR (CDCl3, 75 MHz) δ (ppm) 166.8, 159.5, 152.3, 142.8, 137.9, 131.4, 130.5, 129.6, 128.4, 123.9, 122.5, 116.5, 115.1, 109.3, 29.9, and 21.5; ESI-MS (m/z): 309.1 [M + H]+, 219 [M − 90]+.
2-hydroxy-N-(4-hydroxy-1-methyl-2-oxo-1,2-dihydroquinolin-3-yl)benzamide (16c): the compound was synthesized according to the general procedure, starting from 3-amino-4-hydroxy-1-methylquinolin-2(1H)-one hydrochloride (14) (490 mg, 2.16 mmol) in 12 mL THF and proceeding with anhydrous Et3N (0.73 mL, 5.4 mmol) and 2-hydroxy-benzoyl chloride (10d) (405.5 mg, 2.59 mmol). The reaction mixture was refluxed for 3 h. After the work-up procedure, the product was obtained upon recrystallization from methanol. Yield: 42%; m.p. > 250 °C; 1H NMR (DMSO, 300 MHz) δ (ppm) 13.28 (s, 1H, Ar-OH), 11.58 (s, 1H, OH), 9.74 (s, 1H, NH), 8.03 (m, 2H, Ar-H), 7.63 (br, 1H, Ar-H), 7.50 (m, 2H, Ar-H), 7.33 (br, 1H, Ar-H), 7.03 (m, 2H, Ar-H), 3.69 (s, 3H, N-CH3); 13C NMR (DMSO, 75 MHz) δ (ppm): 165.2, 159.0, 157.2, 148.9, 136.9, 134.6, 134.5, 131.0, 130.7, 123.7, 122.3, 119.7, 117.0, 116.4, 114.7, 109.6, and 29.7; ESI-MS (m/z): 309.1 [Μ + H]+, 291.3 [Μ − 17]+, 215 [Μ − 93]+.
3.2. Biological In Vitro Assays
3.2.1. Determination of the Reducing Activity of DPPH Radical
The assay for the determination of the reducing activity of DPPH radical was performed according to the methods of Hadjipavlou-Litina et al., which we have also used in our previous works [65,67,77]. Τhe results presented in Table 1 were averaged and compared with the appropriate standard nordihydroguaiaretic acid (NDGA).
3.2.2. Inhibition of Linoleic Acid Lipid Peroxidation
The assay for the determination of the inhibition of linoleic acid peroxidation induced by the free radical initiator 2,20-Azobis(2-amidinopropane) dihydrochloride (AAPH) was performed according to the methods of Hadjipavlou-Litina et al., which we have also used in our previous works [65,67,77].
3.2.3. Competition of the Tested Compounds with DMSO for Hydroxyl Radicals
The assay was performed according to the methods of Pontiki et al. Trolox was used as a reference compound [78].
3.2.4. ABTS+—Decolorization Assay for Antioxidant Activity
The experimental technique used in this section was performed according to the methods of Pontiki et al. [78]. The results were compared to the appropriate standard inhibitor Trolox.
3.2.5. Non-Enzymatic Assay of Superoxide Radicals Measurement of Superoxide Radical Scavenging Activity
The experimental technique used for this assay was performed according to our previous works. Caffeic acid was used as an appropriate standard [61,70].
3.2.6. Soybean LOX Inhibition Study In Vitro
The assay for the determination of the inhibition of soybean LOX was performed according to the methods of Hadjipavlou-Litina et al., which we have also used in our previous works [65,67,77].
3.2.7. Computational Methods–Molecular Docking Studies on Soybean Lipoxygenase
For the docking studies, soybean lipoxygenase (PDB ID: 3PZW) was used, and the visualization was accomplished through UCSF Chimera (resource for Biocomputing, Visualization, and Informatics at the University of California, San Francisco, CA, USA) [79] and Free Maestro [75]. The protein was prepared: water molecules were removed, missing residues were added with Modeller (10.3) (Departments of Biopharmaceutical Sciences and Pharmaceutical Chemistry, and California Institute for Quantitative Biomedical Research, Mission Bay Byers Hall, University of California San Francisco, San Francisco, CA 94143, USA), hydrogen atoms and AMBER99SB-ILDN charges were added, and the charge on iron was set to +2.0, with no restraint applied to the iron atom and the ligands [80]. Open-Babel (3.1.1) was used to generate and minimize ligand 3D coordinates using the MMFF94 force field [81]. Ligand topologies and parameters were generated by ACPYPE (Ante-ChamberPYthon Parser interfacE) (24 December 2021) [82] using Antechamber (AmberTools 22.10) [83]. Energy minimizations were carried out using the AMBER99SB-ILDN force field [84] with GROMACS (4.6.5). Docking was performed with AutoDockVina (1.2.3) applying a grid box of size 100 Å, 70 Å, 70 Å in the x, y, z dimensions [85]. The generation of docking input files and the analysis of the docking results was accomplished by UCSF-Chimera. Docking was carried out with an exhaustiveness value of 10 and a maximum output of 20 docking modes.
4. Conclusions
In conclusion, this work reports the synthesis of three sets of compounds, which share the privileged structural framework of 4-hydroxy-2-quinolinone as a common feature. Among the synthesized analogues, eighteen quinolinone–carboxamide derivatives (3a–3e, 3g–3k, 3n–3s, 3u, and 7), all the seven hybrid compounds (11a–11g) and two of the reverse amides (16b and 16c), to our knowledge have not been reported in the literature. In order to investigate the multi-target character of the compounds, we evaluated their antioxidant profile via five in vitro tests, as well as their ability to inhibit soybean LOX, as an indication of their anti-inflammatory activity. In this way, we tried to build a structure–activity relationship and determine how the final biological effects are influenced in relation to the different substituents attached to the nitrogen of quinolinone moiety and to the amide bond. Results revealed carboxamides 3h and 3s as the most potent LOX inhibitors (IC50 = 10 μM). Both could be used as lead compounds for further rational design. The 3g analogue is the compound with the best-combined activity, exhibiting good antioxidant and anti-inflammatory activity (LOX inhibition IC50 = 27.5 μM, 100% inhibition of lipid peroxidation, 67.7% ability to scavenge hydroxyl radicals and 72.4% in ABTS radical cation decolorization assay). The in vitro results were supported by the in silico studies on soybean LOX for the most potent synthesized quinolinone–carboxamides (3h and 3s), indicating interactions in an alternative binding site than the catalytic site already validated by the binding mode of NDGA, a potent well known LOX inhibitor.
Supplementary Materials
The following supporting information can be downloaded at: https://www.mdpi.com/article/10.3390/molecules29010190/s1: The 1H-NMR spectra of all the synthesized compounds and 13C-NMR and HRMS spectra of the novel synthesized compounds.
Author Contributions
Conceptualization, A.D.; methodology, I.K., K.C.P., A.T., K.C. and E.P.; software, E.P. and D.H.-L.; data curation, I.K., K.C.P., A.T., K.C. and E.P.; writing—original draft preparation, I.K., K.C.P., A.T., K.C. and E.P.; writing—review and editing, I.K., K.C.P., A.T., K.C., E.P., D.H.-L. and A.D.; supervision, D.H.-L. and A.D.; project administration, A.D. All authors have read and agreed to the published version of the manuscript.
Funding
This research received no external funding.
Institutional Review Board Statement
Not applicable.
Informed Consent Statement
Not applicable.
Data Availability Statement
Data are contained within the article and Supplementary Materials.
Conflicts of Interest
The authors declare no conflict of interest.
References
- Rajesh, Y.B. Quinoline heterocycles: Synthesis and bioactivity. In Heterocycles-Synthesis and Biological Activities; IntechOpen: Rijeka, Croatia, 2018. [Google Scholar]
- Zeleke, D.; Eswaramoorthy, R.; Belay, Z.; Melaku, Y. Synthesis and antibacterial, antioxidant, and molecular docking analysis of some novel quinoline derivatives. J. Chem. 2020, 2020, 1324096. [Google Scholar] [CrossRef]
- Chu, X.M.; Wang, C.; Liu, W.; Liang, L.L.; Gong, K.K.; Zhao, C.Y.; Sun, K.L. Quinoline and quinolone dimers and their biological activities: An overview. Eur. J. Med. Chem. 2019, 161, 101–117. [Google Scholar] [CrossRef] [PubMed]
- Millanao, A.R.; Mora, A.Y.; Villagra, N.A.; Bucarey, S.A.; Hidalgo, A.A. Biological effects of quinolones: A family of broad-spectrum antimicrobial agents. Molecules 2021, 26, 7153. [Google Scholar] [CrossRef] [PubMed]
- Aly, A.A.; Ramadan, M.; Abuo-Rahma, G.E.D.A.; Elshaier, Y.A.; Elbastawesy, M.A.; Brown, A.B.; Braese, S. Quinolones as prospective drugs: Their syntheses and biological applications. Adv. Heterocycl. Chem. 2021, 135, 147–196. [Google Scholar]
- Fu, J.; Bao, F.; Gu, M.; Liu, J.; Zhang, Z.; Ding, J.; Xie, S.S.; Ding, J. Design, synthesis and evaluation of quinolinone derivatives containing dithiocarbamate moiety as multifunctional AChE inhibitors for the treatment of Alzheimer’s disease. J. Enzyme Inhib. Med. Chem. 2020, 35, 118–128. [Google Scholar] [CrossRef] [PubMed]
- Shiro, T.; Fukaya, T.; Tobe, M. The chemistry and biological activity of heterocycle-fused quinolinone derivatives: A review. Eur. J. Med. Chem. 2015, 97, 397–408. [Google Scholar] [CrossRef] [PubMed]
- Hradil, P.; Hlavac, J.; Soural, M.; Hajduch, M.; Kolar, M.; Vecerova, R. 3-Hydroxy-2-phenyl-4 (1H)-quinolinones as promising biologically active compounds. Mini-Rev. Med. Chem. 2009, 9, 696–702. [Google Scholar] [CrossRef]
- Angeleska, S.; Kefalas, P.; Detsi, A. Crude peroxidase from onion solid waste as a tool for organic synthesis. Part III: Synthesis of tetracyclic heterocycles (coumestans and benzofuroquinolinones). Tetrahedron Lett. 2013, 54, 2325–2328. [Google Scholar] [CrossRef]
- Mostafa, M.A.; Ismail, M.M.; Morsy, J.M.; Hassanin, H.M.; Abdelrazek, M.M. Synthesis, characterization, anticancer, and antioxidant activities of chitosan Schiff bases bearing quinolinone or pyranoquinolinone and their silver nanoparticles derivatives. Polym. Bull. 2023, 80, 4035–4059. [Google Scholar] [CrossRef]
- Laiolo, J.; Lanza, P.A.; Parravicini, O.; Barbieri, C.; Insuasty, D.; Cobo, J.; Vera, M.A.; Enriz, R.D.; Carpinella, M.C. Structure activity relationships and the binding mode of quinolinone-pyrimidine hybrids as reversal agents of multidrug resistance mediated by P-gp. Sci. Rep. 2021, 11, 16856. [Google Scholar] [CrossRef]
- Beker, H.K.; Yıldırım, I. Anticancer Activity–Structure Relationship of Quinolinone-Core Compounds: An Overall Review. Pharm. Chem. J. 2023, 56, 1333–1343. [Google Scholar] [CrossRef]
- Hassan, A.H.; Mahmoud, K.; Phan, T.N.; Shaldam, M.A.; Lee, C.H.; Kim, Y.J.; Cho, S.B.; Bayoumi, W.A.; El-Sayed, S.M.; Choi, Y.; et al. Bestatin analogs-4-quinolinone hybrids as antileishmanial hits: Design, repurposing rational, synthesis, in vitro and in silico studies. Eur. J. Med. Chem. 2023, 250, 115211. [Google Scholar] [CrossRef] [PubMed]
- Aly, A.A.; El-Sheref, E.M.; Mourad, A.F.E.; Bakheet, M.E.; Bräse, S. 4-Hydroxy-2-quinolones: Syntheses, reactions and fused heterocycles. Mol. Divers. 2020, 24, 477–524. [Google Scholar] [CrossRef] [PubMed]
- Arya, K.; Agarwal, M. Microwave prompted multigram synthesis, structural determination, and photo-antiproliferative activity of fluorinated 4-hydroxyquinolinones. Bioorg. Med. Chem. Lett. 2007, 17, 86–93. [Google Scholar] [CrossRef] [PubMed]
- Jampilek, J.; Musiol, R.; Pesko, M.; Kralova, K.; Vejsova, M.; Carroll, J.; Coffey, A.; Finster, J.; Tabak, D.; Niedbala, H.; et al. Ring-substituted 4-hydroxy-1H-quinolin-2-ones: Preparation and biological activity. Molecules 2009, 14, 1145–1159. [Google Scholar] [CrossRef] [PubMed]
- Gao, W.T.; Hou, W.D.; Zheng, M.R.; Tang, L.J. Clean and convenient one-pot synthesis of 4-hydroxycoumarin and 4-hydroxy-2-quinolinone derivatives. Synth. Commun. 2010, 40, 732–738. [Google Scholar] [CrossRef]
- Atalay, S.S.; Assad, M.Y.; Amagata, T.; Wu, W. Mild, efficient, and solvent-free synthesis of 4-hydroxy-2-quinolinones. Tetrahedron Lett. 2020, 61, 151778. [Google Scholar] [CrossRef]
- Yokoo, K.; Mori, K. Expeditious Synthesis of Multisubstituted Quinolinone Derivatives Based on Ring Recombination Strategy. Org. Lett. 2019, 22, 244–248. [Google Scholar] [CrossRef]
- Ishida, T.; Kikuchi, S.; Yamada, T. Efficient preparation of 4-hydroxyquinolin-2 (1 H)-one derivatives with silver-catalyzed carbon dioxide incorporation and intramolecular rearrangement. Org. Lett. 2013, 15, 3710–3713. [Google Scholar] [CrossRef]
- Matiadis, D.; Stefanou, V.; Athanasellis, G.; Hamilakis, S.; McKee, V.; Igglessi-Markopoulou, O.; Markopoulos, J. Synthesis, X-ray crystallographic study, and biological evaluation of coumarin and quinolinone carboxamides as anticancer agents. Monatsh. Chem. 2013, 144, 1063–1069. [Google Scholar] [CrossRef]
- Teli-Kokalari, E.; Stefanou, V.; Matiadis, D.; Athanasellis, G.; Igglessi-Markopoulou, O.; Hamilakis, S.; Markopoulos, J. Synthesis of six membered fused and five membered heterocycles, possessing the beta, beta’-tricarbonylfunctionality: Coordination mode against selected environmental ions. Fresenius Environ. Bull. 2012, 21, 3215–3223. [Google Scholar]
- Jönsson, S.; Andersson, G.; Fex, T.; Fristedt, T.; Hedlund, G.; Jansson, K.; Abramo, L.; Fritzson, I.; Pekarski, O.; Runström, A.; et al. Synthesis and biological evaluation of new 1, 2-Dihydro-4-hydroxy-2-oxo-3-quinoline carboxamides for treatment of autoimmune disorders: Structure—Activity relationship. J. Med. Chem. 2004, 47, 2075–2088. [Google Scholar] [CrossRef] [PubMed]
- Singh, A.; Kalamuddin, M.; Maqbool, M.; Mohmmed, A.; Malhotra, P.; Hoda, N. Quinoline carboxamide core moiety-based compounds inhibit P. falciparum falcipain-2: Design, synthesis and antimalarial efficacy studies. Bioorg. Chem. 2021, 108, 104514. [Google Scholar] [CrossRef] [PubMed]
- Govender, H.; Mocktar, C.; Koorbanally, N.A. Synthesis and Bioactivity of Quinoline-3-carboxamide Derivatives. J. Heterocycl. Chem. 2018, 55, 1002–1009. [Google Scholar] [CrossRef]
- Boros, F.; Vécsei, L. Progress in the development of kynurenine and quinoline-3-carboxamide-derived drugs. Expert Opin. Investig. Drugs. 2020, 29, 1223–1247. [Google Scholar] [CrossRef] [PubMed]
- Yao, X.; Sun, X.; Jin, S.; Yang, L.; Xu, H.; Rao, Y. Discovery of 4-aminoquinoline-3-carboxamide derivatives as potent reversible Bruton’s tyrosine kinase inhibitors for the treatment of rheumatoid arthritis. J. Med. Chem. 2019, 62, 6561–6574. [Google Scholar] [CrossRef] [PubMed]
- He, J.F.; Yun, L.H.; Yang, R.F.; Xiao, Z.Y.; Cheng, J.P.; Zhou, W.X.; Zhang, Y.X. Design, synthesis, and biological evaluation of novel 4-hydro-quinoline-3-carboxamide derivatives as an immunomodulator. Bioorg. Med. Chem. Lett. 2005, 15, 2980–2985. [Google Scholar] [CrossRef]
- Joseph, I.B.; Vukanovic, J.; Isaacs, J.T. Antiangiogenic treatment with linomide as chemoprevention for prostate, seminal vesicle, and breast carcinogenesis in rodents. Cancer Res. 1996, 56, 3404–3408. [Google Scholar]
- Shi, J.; Xiao, Z.; Ihnat, M.A.; Kamat, C.; Pandit, B.; Hu, Z.; Li, P.K. Structure–activity relationships studies of the anti-angiogenic activities of linomide. Bioorg. Med. Chem. Lett. 2003, 13, 1187–1189. [Google Scholar] [CrossRef]
- Naito, Y.; Yoshikawa, T. Rebamipide: A gastrointestinal protective drug with pleiotropic activities. Expert Rev. Gastroenterol. Hepatol. 2010, 4, 261–270. [Google Scholar] [CrossRef]
- Hong, W.S.; Jung, H.Y.; Yang, S.K.; Myung, S.J.; Kim, J.H.; Min, Y.I.; Chung, M.H.; Lee, H.S.; Kim, H.W. The antioxidant effect of rebamipide on oxygen free radical production by H. pylori-activated human neutrophils: In comparison with N-acetylcysteine, ascorbic acid and glutathione. Pharmacol. Res. 2001, 44, 293–297. [Google Scholar] [CrossRef]
- Isaacs, J.T.; Pili, R.; Qian, D.Z.; Dalrymple, S.L.; Garrison, J.B.; Kyprianou, N.; Björk, A.; Olsson, A.; Leanderson, T. Identification of ABR-215050 as lead second generation quinoline-3-carboxamide anti-angiogenic agent for the treatment of prostate cancer. Prostate Int. 2006, 66, 1768–1778. [Google Scholar] [CrossRef] [PubMed]
- Mehta, A.R.; Armstrong, A.J. Tasquinimod in the treatment of castrate-resistant prostate cancer–current status and future prospects. Ther. Adv. Urol. 2016, 8, 9–18. [Google Scholar] [CrossRef] [PubMed]
- Mugnaini, C.; Brizzi, A.; Ligresti, A.; Allarà, M.; Lamponi, S.; Vacondio, F.; Silva, C.; Mor, M.; Di Marzo, V.; Corelli, F. Investigations on the 4-quinolone-3-carboxylic acid motif. 7. Synthesis and pharmacological evaluation of 4-quinolone-3-carboxamides and 4-hydroxy-2-quinolone-3-carboxamides as high affinity cannabinoid receptor 2 (CB2R) ligands with improved aqueous solubility. J. Med. Chem. 2016, 59, 1052–1067. [Google Scholar] [PubMed]
- Kwak, S.H.; Kang, J.A.; Kim, M.; Lee, S.D.; Park, J.H.; Park, S.G.; Ko, H.; Kim, Y.C. Discovery and structure–activity relationship studies of quinolinone derivatives as potent IL-2 suppressive agents. Bioorg. Med. Chem. 2016, 24, 5357–5367. [Google Scholar] [CrossRef] [PubMed]
- Huddar, S.; Park, C.M.; Kim, H.J.; Jang, S.; Lee, S. Discovery of 4-hydroxy-2-oxo-1, 2-dihydroquinolines as potential inhibitors of Streptococcus pneumoniae, including drug-resistant strains. Bioorg. Med. Chem. Lett. 2020, 30, 127071. [Google Scholar] [CrossRef] [PubMed]
- Xue, W.; Li, X.; Ma, G.; Zhang, H.; Chen, Y.; Kirchmair, J.; Xia, J.; Wu, S. N-thiadiazole-4-hydroxy-2-quinolone-3-carboxamides bearing heteroaromatic rings as novel antibacterial agents: Design, synthesis, biological evaluation and target identification. Eur. J. Med. Chem. 2020, 188, 112022. [Google Scholar] [CrossRef] [PubMed]
- Sabbah, D.A.; Samarat, H.H.; Al-Shalabi, E.; Bardaweel, S.K.; Hajjo, R.; Sweidan, K.; Khalaf, R.A.; Al-Zuheiri, A.M.; Abushaikha, G. Design, Synthesis, and Biological Examination of N-Phenyl-6-fluoro-4-hydroxy-2-quinolone-3-carboxamides as Anticancer Agents. ChemistrySelect 2022, 7, e202200662. [Google Scholar] [CrossRef]
- Sweidan, K.; Elfadel, H.; Sabbah, D.A.; Bardaweel, S.K.; Hajjo, R.; Anjum, S.; Sinoj, J.; Nair, V.A.; Abu-Gharbieh, E.; El-Huneidi, W. Novel Derivatives of 4, 6-Dihydroxy-2-Quinolone-3-Carboxamides as Potential PI3Kα Inhibitors. ChemistrySelect 2022, 7, e202202263. [Google Scholar] [CrossRef]
- Reis, A.S.; Pinz, M.; Duarte, L.F.B.; Roehrs, J.A.; Alves, D.; Luchese, C.; Wilhelm, E.A. 4-phenylselenyl-7-chloroquinoline, a novel multitarget compound with anxiolytic activity: Contribution of the glutamatergic system. J. Psychiatr. Res. 2017, 84, 191–199. [Google Scholar] [CrossRef]
- Ismail, E.M.; Shantier, S.W.; Mohammed, M.S.; Musa, H.H.; Osman, W.; Mothana, R.A. Quinoline and quinazoline alkaloids against COVID-19: An in silico multitarget approach. J. Chem. 2021, 2021, 3613268. [Google Scholar] [CrossRef]
- Mohamed, M.F.; Abuo-Rahma, G.E.D.A. Molecular targets and anticancer activity of quinoline–chalcone hybrids: Literature review. RSC Adv. 2020, 10, 31139–31155. [Google Scholar] [CrossRef] [PubMed]
- Khan, N.A.; Khan, I.; Abid, S.; Zaib, S.; Ibrar, A.; Andleeb, H.; Hameed, S.; Iqbal, J. Quinolinic carboxylic acid derivatives as potential multi-target compounds for neurodegeneration: Monoamine oxidase and cholinesterase inhibition. Med. Chem. 2018, 14, 74–85. [Google Scholar] [CrossRef]
- Makhaeva, G.F.; Kovaleva, N.V.; Boltneva, N.P.; Lushchekina, S.V.; Astakhova, T.Y.; Rudakova, E.V.; Proshin, A.N.; Serkov, I.V.; Radchenko, E.V.; Palyulin, V.A.; et al. New hybrids of 4-amino-2, 3-polymethylene-quinoline and p-tolylsulfonamide as dual inhibitors of acetyl-and butyrylcholinesterase and potential multifunctional agents for Alzheimer’s disease treatment. Molecules 2020, 25, 3915. [Google Scholar] [CrossRef] [PubMed]
- Duarte, Y.; Fonseca, A.; Gutiérrez, M.; Adasme-Carreño, F.; Muñoz-Gutierrez, C.; Alzate-Morales, J.; Santana, L.; Uriarte, E.; Álvarez, R.; Matos, M.J. Novel Coumarin-Quinoline Hybrids: Design of Multitarget Compounds for Alzheimer’s Disease. ChemistrySelect 2019, 4, 551–558. [Google Scholar] [CrossRef]
- Wang, Z.; Hu, J.; Yang, X.; Feng, X.; Li, X.; Huang, L.; Chan, A.S. Design, synthesis, and evaluation of orally bioavailable quinoline–indole derivatives as innovative multitarget-directed ligands: Promotion of cell proliferation in the adult murine Hippocampus for the treatment of alzheimer’s disease. J. Med. Chem. 2018, 61, 1871–1894. [Google Scholar] [CrossRef] [PubMed]
- Prati, F.; Bergamini, C.; Fato, R.; Soukup, O.; Korabecny, J.; Andrisano, V.; Bolognesi, M.L. Novel 8-hydroxyquinoline derivatives as multitarget compounds for the treatment of Alzheimer′ s disease. ChemMedChem 2016, 11, 1284–1295. [Google Scholar] [CrossRef] [PubMed]
- Ramsay, R.R.; Popovic-Nikolic, M.R.; Nikolic, K.; Uliassi, E.; Bolognesi, M.L. A perspective on multi-target drug discovery and design for complex diseases. Clin. Transl. Med. 2018, 7, 3. [Google Scholar] [CrossRef]
- Sánchez-Tejeda, J.F.; Sánchez-Ruiz, J.F.; Salazar, J.R.; Loza-Mejía, M.A. A definition of “multitargeticity”: Identifying potential multitarget and selective ligands through a vector analysis. Front. Chem. 2020, 8, 176. [Google Scholar] [CrossRef]
- Feldmann, C.; Bajorath, J. Compounds with multitarget activity: Structure-based analysis and machine learning. Future Drug Discov. 2020, 2, FDD44. [Google Scholar] [CrossRef]
- Bajorath, J. Structural characteristics of compounds with multitarget activity. Future Drug Discov. 2021, 3, FDD60. [Google Scholar] [CrossRef]
- Chedea, V.S.; Jisaka, M. Lipoxygenase and carotenoids: A co-oxidation story. Afr. J. Biotechnol. 2013, 12, 2786–2791. [Google Scholar]
- Newcomer, M.E.; Brash, A.R. The structural basis for specificity in lipoxygenase catalysis. Protein Sci. 2015, 24, 298–309. [Google Scholar] [CrossRef] [PubMed]
- Kim, W.; Son, B.; Lee, S.; Do, H.; Youn, B. Targeting the enzymes involved in arachidonic acid metabolism to improve radiotherapy. Cancer Metastasis Rev. 2018, 37, 213–225. [Google Scholar] [CrossRef] [PubMed]
- Lötzer, K.; Funk, C.D.; Habenicht, A.J. The 5-lipoxygenase pathway in arterial wall biology and atherosclerosis. Biochim. Biophys. Acta Mol. Cell Biol. Lipids 2005, 1736, 30–37. [Google Scholar] [CrossRef] [PubMed]
- Merchant, N.; Bhaskar, L.V.; Momin, S.; Sujatha, P.; Reddy, A.B.; Nagaraju, G.P. 5-Lipoxygenase: Its involvement in gastrointestinal malignancies. Crit. Rev. Oncol. Hematol. 2018, 127, 50–55. [Google Scholar] [CrossRef] [PubMed]
- Cui, X.L.; Ding, Y.; Alexander, L.D.; Bao, C.; Al-Khalili, O.K.; Simonson, M.; Eaton, D.C.; Douglas, J.G. Oxidative signaling in renal epithelium: Critical role of cytosolic phospholipase A2 and p38SAPK. Free Radic. Biol. Med. 2006, 41, 213–221. [Google Scholar] [CrossRef] [PubMed]
- Azad, M.B.; Chen, Y.; Gibson, S.B. Regulation of autophagy by reactive oxygen species (ROS): Implications for cancer progression and treatment. Antioxid Redox Signal. 2009, 11, 777–790. [Google Scholar] [CrossRef] [PubMed]
- Pontiki, E.; Hadjipavlou-Litina, D.; Patsilinakos, A.; Tran, T.M.; Marson, C.M. Pteridine-2,4-diamine derivatives as radical scavengers and inhibitors of lipoxygenase that can possess anti-inflammatory properties. Future Med. Chem. 2015, 7, 1937–1951. [Google Scholar] [CrossRef] [PubMed]
- Detsi, A.; Majdalani, M.; Kontogiorgis, C.A.; Hadjipavlou-Litina, D.; Kefalas, P. Natural and synthetic 2′-hydroxy-chalcones and aurones: Synthesis, characterization and evaluation of the antioxidant and soybean lipoxygenase inhibitory activity. Bioorg. Med. Chem. 2009, 17, 8073–8085. [Google Scholar] [CrossRef]
- Detsi, A.; Bardakos, V.; Markopoulos, J.; Igglessi-Markopoulou, O. Reactions of 2-methyl-3, 1-benzoxazin-4-one with active methylene compounds: A new route to 3-substituted 4-hydroxyquinolin-2 (1H)-ones. J. Chem. Soc. Perkin Trans. 1996, 1, 2909–2913. [Google Scholar] [CrossRef]
- Zikou, L.; Athanasellis, G.; Detsi, A.; Zografos, A.; Mitsos, C.; Igglessi-Markopoulou, O. A novel short-step synthesis of functionalized 4-hydroxy-2-quinolones using a 1-hydroxybenzotriazole methodology. Bull. Chem. Soc. Jpn. 2004, 77, 1505–1508. [Google Scholar] [CrossRef]
- Detsi, A.; Bouloumbasi, D.; Prousis, K.C.; Koufaki, M.; Athanasellis, G.; Melagraki, G.; Afantitis, A.; Igglessi-Markopoulou, O.; Kontogiorgis, C.; Hadjipavlou-Litina, D.J. Design and synthesis of novel quinolinone-3-aminoamides and their α-lipoic acid adducts as antioxidant and anti-inflammatory agents. J. Med. Chem. 2007, 50, 2450–2458. [Google Scholar] [CrossRef]
- Kostopoulou, I.; Diassakou, A.; Kavetsou, E.; Kritsi, E.; Zoumpoulakis, P.; Pontiki, E.; Hadjipavlou-Litina, D.J.; Detsi, A. Novel quinolinone–pyrazoline hybrids: Synthesis and evaluation of antioxidant and lipoxygenase inhibitory activity. Mol. Divers. 2021, 25, 723–740. [Google Scholar] [CrossRef] [PubMed]
- Prousis, K.C.; Tzani, A.; Avlonitis, N.; Calogeropoulou, T.; Detsi, A. Reactivity of 2-Methyl-4H-3, 1-benzoxazin-4-ones and 2-Methyl-4H-pyrido [2, 3-d][1, 3] oxazin-4-one under Microwave Irradiation Conditions. J. Heterocycl. Chem. 2013, 50, 1313–1321. [Google Scholar] [CrossRef]
- Hadjipavlou-Litina, D.; Garnelis, T.; Athanassopoulos, C.M.; Papaioannou, D. Kukoamine A analogs with lipoxygenase inhibitory activity. J. Enzyme Inhib. Med. Chem. 2009, 24, 1188–1193. [Google Scholar] [CrossRef] [PubMed]
- Kontogiorgis, C.; Hadjipavlou-Litina, D. Biological evaluation of several coumarin derivatives designed as possible anti-inflammatory/antioxidant agents. J. Enzyme Inhib. Med. Chem. 2003, 18, 63–69. [Google Scholar] [CrossRef] [PubMed]
- Pontiki, E.; Hadjipavlou-Litina, D. Multi-target cinnamic acids for oxidative stress and inflammation: Design, synthesis, biological evaluation and modeling studies. Molecules 2018, 24, 12. [Google Scholar] [CrossRef] [PubMed]
- Pontiki, E.; Hadjipavlou-Litina, D. Synthesis and pharmacochemical evaluation of novel aryl-acetic acid inhibitors of lipoxygenase, antioxidants, and anti-inflammatory agents. Bioorg. Med. Chem. 2007, 15, 5819–5827. [Google Scholar] [CrossRef]
- Minor, W.; Steczko, J.; Bolin, J.T.; Otwinowski, Z.; Axelrod, B. Crystallographic determination of the active site iron and its ligands in soybean lipoxygenase L-1. Biochemistry 1993, 32, 6320–6323. [Google Scholar] [CrossRef]
- Skrzypczak-Jankun, E.; Amzel, L.M.; Kroa, B.A.; Funk Jr, M.O. Structure of soybean lipoxygenase L3 and a comparison with its L1 isoenzyme. Proteins Struct. Funct. Genet. 1997, 29, 15–31. [Google Scholar] [CrossRef]
- Taraporewala, I.B.; Kauffman, J.M. Synthesis and Structure–Activity Relationships of Anti-inflammatory 9, lO-Dihydro-9-oxo-2-Acridine-alkanoic Acids and 4-(2-Carboxyphenyl) aminobenzenealkanoic Acids. J. Pharm. Sci. 1990, 79, 173–178. [Google Scholar] [CrossRef] [PubMed]
- Kasthuri, J.K.; Singh Jadav, S.; Thripuram, V.D.; Gundabolu, U.R.; Babu, A.V.; Kolla, J.N.; Jayaprakash, V.; Ahsan, M.J.; Bollikolla, H.B. Synthesis, Characterization, Docking and Study of Inhibitory Action of Some Novel C-Alkylated Chalcones on 5-LOX Enzyme. ChemistrySelect 2017, 2, 8771–8778. [Google Scholar] [CrossRef]
- Schrödinger Release 2023-4: Maestro, Schrödinger. Biomedicines 2024, 12, 50. [CrossRef]
- Audisio, D.; Messaoudi, S.; Cegielkowski, L.; Peyrat, J.F.; Brion, J.D.; Methy, D.; Radanyi, C.; Renoir, J.-M.; Alami, M. Discovery and biological activity of 6BrCaQ as an inhibitor of the Hsp90 protein folding machinery. ChemMedChem 2011, 6, 804–815. [Google Scholar] [CrossRef] [PubMed]
- Kostopoulou, I.; Tzani, A.; Polyzos, N.I.; Karadendrou, M.A.; Kritsi, E.; Pontiki, E.; Liargkova, T.; Hadjipavlou-Litina, D.; Zoumpoulakis, P.; Detsi, A. Exploring the 2′-hydroxy-chalcone framework for the development of dual antioxidant and soybean lipoxygenase inhibitory agents. Molecules 2021, 26, 2777. [Google Scholar] [CrossRef] [PubMed]
- Pontiki, E.; Hadjipavlou-Litina, D.; Litinas, K.; Nicolotti, O.; Carotti, A. Design, synthesis and pharmacobiological evaluation of novel acrylic acid derivatives acting as lipoxygenase and cyclooxygenase-1 inhibitors with antioxidant and anti-inflammatory activities. Eur. J. Med. Chem. 2011, 46, 191–200. [Google Scholar] [CrossRef] [PubMed]
- Pettersen, E.F.; Goddard, T.D.; Huang, C.C.; Couch, G.S.; Greenblatt, D.M.; Meng, E.C.; Ferrin, T.E. UCSF Chimera—A visualization system for exploratory research and analysis. J. Comput. Chem. 2004, 25, 1605–1612. [Google Scholar] [CrossRef]
- Fiser, A.; Šali, A. Modeller: Generation and refinement of homology-based protein structure models. Methods Enzymol. 2003, 374, 461–491. [Google Scholar]
- Halgren, T.A. Merck molecular force field. I. Basis, form, scope, parameterization, and performance of MMFF94. J. Comput. Chem. 1996, 17, 490–519. [Google Scholar] [CrossRef]
- Da Silva, A.S.; Vranken, W.F. ACPYPE-Antechamber python parser interface. BMC Res. Notes 2012, 5, 367. [Google Scholar] [CrossRef]
- Wang, J.; Wang, W.; Kollman, P.A.; Case, D.A. Automatic atom type and bond type perception in molecular mechanical calculations. J. Mol. Graph. Model. 2006, 25, 247–260. [Google Scholar] [CrossRef]
- Lindorff-Larsen, K.; Piana, S.; Palmo, K.; Maragakis, P.; Klepeis, J.L.; Dror, R.O.; Shaw, D.E. Improved side-chain torsion potentials for the Amber ff99SB protein force field. Proteins Struct. Funct. Genet. 2010, 78, 1950–1958. [Google Scholar] [CrossRef]
- Trott, O.; Olson, A.J. AutoDock Vina: Improving the speed and accuracy of docking with a new scoring function, efficient optimization, and multithreading. J. Comput. Chem. 2010, 31, 455–461. [Google Scholar] [CrossRef]
Disclaimer/Publisher’s Note: The statements, opinions and data contained in all publications are solely those of the individual author(s) and contributor(s) and not of MDPI and/or the editor(s). MDPI and/or the editor(s) disclaim responsibility for any injury to people or property resulting from any ideas, methods, instructions or products referred to in the content. |
© 2023 by the authors. Licensee MDPI, Basel, Switzerland. This article is an open access article distributed under the terms and conditions of the Creative Commons Attribution (CC BY) license (https://creativecommons.org/licenses/by/4.0/).












