Effects of Volatile Flavour Compound Variations on the Varying Aroma of Mangoes ‘Tainong’ and ‘Hongyu’ during Storage
Abstract
1. Introduction
2. Results and Discussion
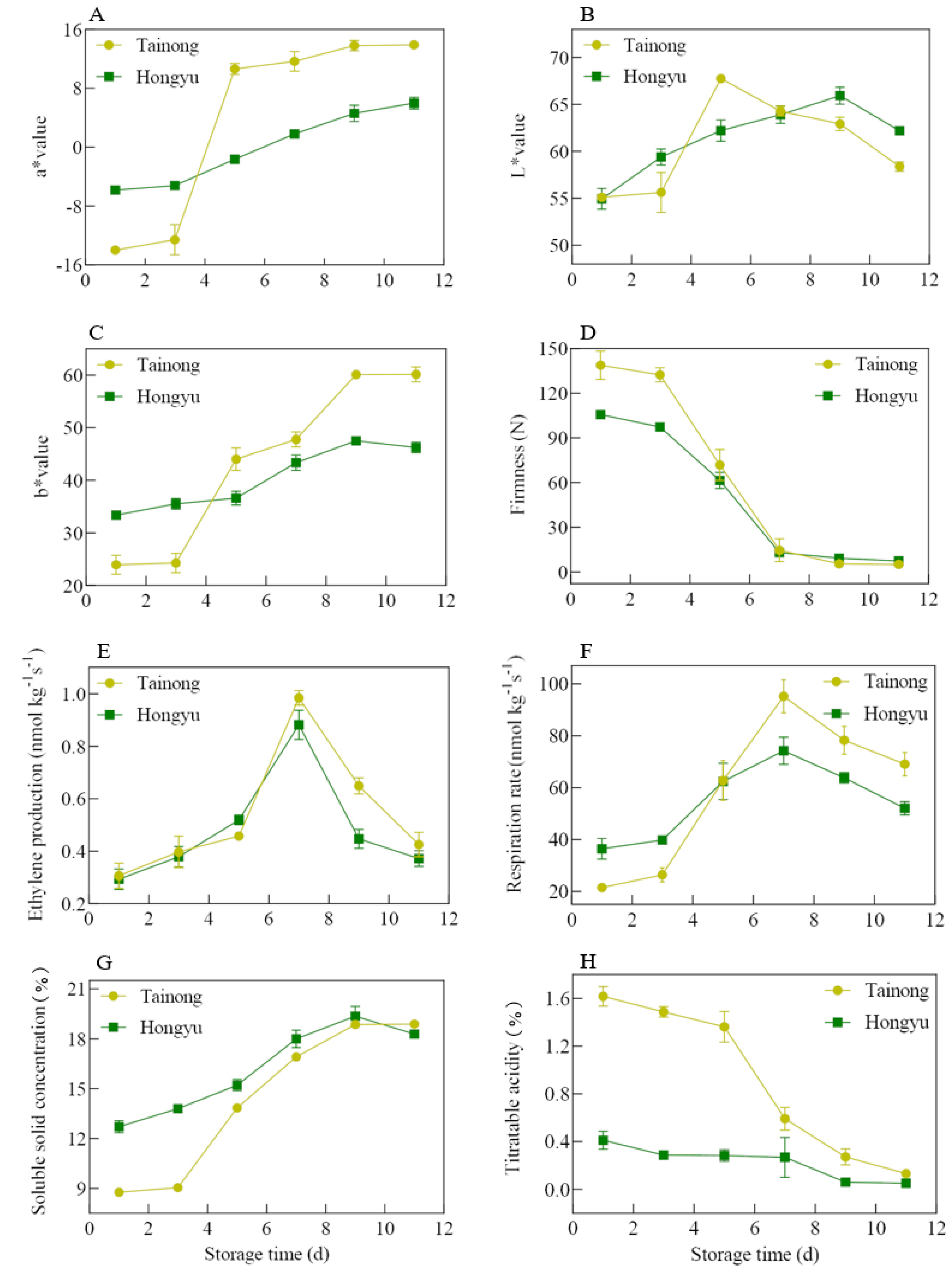
2.1. Physicochemical Analysis
2.2. Assessing VOCs in Cut Mangoes Using GC-IMS
2.3. Volatile Compounds in Intact Mango by GC-IMS
2.4. Assessing the VOCs in Mango Using HS-SPME-GC-MS
2.5. Characteristic Volatile Components Analysis
3. Materials and Methods
3.1. Materials
3.2. Firmness Determination
3.3. Colour Measurement
3.4. Respiration Rate and Ethylene Production
3.5. Measurement on the Soluble Solid Concentration (SSC) and Titratable Acidity
3.6. GC-IMS Analysis
3.7. HS-SPME-GC-MS Analysis
3.8. Statistical Analysis
4. Conclusions
Author Contributions
Funding
Institutional Review Board Statement
Informed Consent Statement
Data Availability Statement
Conflicts of Interest
Sample Availability
References
- Ma, J.; Zhou, Z.; Li, K.; Li, K.; Liu, L.; Zhang, W.; Xu, J.; Tu, X.; Du, L.; Zhang, H. Novel edible coating based on shellac and tannic acid for prolonging postharvest shelf life and improving overall quality of mango. Food Chem. 2021, 354, 129510. [Google Scholar] [CrossRef]
- Mukherjee, S.K. The mango—Its botany, cultivation, uses and future improvement, especially as observed in india. Econ. Bot. 1953, 7, 130–162. [Google Scholar] [CrossRef]
- Ntsoane, M.L.; Zude-Sasse, M.; Mahajan, P.; Sivakumar, D. Quality assesment and postharvest technology of mango: A review of its current status and future perspectives. Sci. Hortic. 2019, 249, 77–85. [Google Scholar] [CrossRef]
- Lehner, T.B.; Siegmund, B. The impact of ventilation during postharvest ripening on the development of flavour compounds and sensory quality of mangoes (Mangifera indica L.) cv. Kent. Food Chem. 2020, 320, 126608. [Google Scholar] [CrossRef] [PubMed]
- Munafo, J.P.; Didzbalis, J.; Schnell, R.J.; Schieberle, P.; Steinhaus, M. Characterization of the Major Aroma-Active Compounds in Mango (Mangifera indica L.) Cultivars Haden, White Alfonso, Praya Sowoy, Royal Special, and Malindi by Application of a Comparative Aroma Extract Dilution Analysis. J. Agric. Food Chem. 2014, 62, 4544–4551. [Google Scholar] [CrossRef] [PubMed]
- Lebrun, M.; Plotto, A.; Goodner, K.; Ducamp, M.-N.; Baldwin, E. Discrimination of mango fruit maturity by volatiles using the electronic nose and gas chromatography. Postharvest Biol. Technol. 2008, 48, 122–131. [Google Scholar] [CrossRef]
- Tang, H.Z.; Ming, J.; Cheng, Y.J.; Zeng, K.F. Effect of degree of maturity on the volatile composition of mango fruit. Food Sci. 2010, 31, 247–252. [Google Scholar]
- Dea, S.; Brecht, J.K.; Nunes, M.C.N.; Baldwin, E.A. Quality of fresh-cut ‘Kent’ mango slices prepared from hot water or non-hot water-treated fruit. Postharvest Biol. Technol. 2010, 56, 171–180. [Google Scholar] [CrossRef]
- Dang, K.T.H.; Singh, Z.; Swinny, E.E. Edible Coatings Influence Fruit Ripening, Quality, and Aroma Biosynthesis in Mango Fruit. J. Agric. Food Chem. 2008, 56, 1361–1370. [Google Scholar] [CrossRef] [PubMed]
- Ngamchuachit, P.; Sivertsen, H.K.; Mitcham, E.J.; Barrett, D.M. Influence of cultivar and ripeness stage at the time of fresh-cut processing on instrumental and sensory qualities of fresh-cut mangos. Postharvest Biol. Technol. 2015, 106, 11–20. [Google Scholar] [CrossRef]
- Liu, Y.; Bu, M.; Gong, X.; He, J.; Zhan, Y. Characterization of the volatile organic compounds produced from avocado during ripening by gas chromatography ion mobility spectrometry. J. Sci. Food Agric. 2020, 101, 666–672. [Google Scholar] [CrossRef] [PubMed]
- Karl-Heinz, E.; Roland, T. Studies on the volatile components of two mango varieties. J. Agric. Food Chem. 1983, 31, 796–801. [Google Scholar]
- Pandit, S.S.; Chidley, H.G.; Kulkarni, R.S.; Pujari, K.H.; Giri, A.P.; Gupta, V.S. Cultivar relationships in mango based on fruit volatile profiles. Food Chem. 2009, 114, 363–372. [Google Scholar] [CrossRef]
- Sung, J.; Suh, J.H.; Chambers, A.H.; Crane, J.; Wang, Y. Relationship between Sensory Attributes and Chemical Composition of Different Mango Cultivars. J. Agric. Food Chem. 2019, 67, 5177–5188. [Google Scholar] [CrossRef]
- San, A.T.; Joyce, D.C.; Hofman, P.J.; Macnish, A.J.; Webb, R.I.; Matovic, N.J.; Williams, C.M.; De Voss, J.J.; Wong, S.H.; Smyth, H.E. Stable isotope dilution assay (SIDA) and HS-SPME-GCMS quantification of key aroma volatiles for fruit and sap of Australian mango cultivars. Food Chem. 2017, 221, 613–619. [Google Scholar] [CrossRef]
- Guo, Y.; Chen, D.; Dong, Y.; Ju, H.; Wu, C.; Lin, S. Characteristic volatiles fingerprints and changes of volatile compounds in fresh and dried Tricholoma matsutake Singer by HS-GC-IMS and HS-SPME-GC–MS. J. Chromatogr. B 2018, 1099, 46–55. [Google Scholar] [CrossRef] [PubMed]
- Li, J.; Reng, F.; Zeng, D.; Zhang, H.; Xie, J. Analysis of volatile flavor compounds in dairy products by gas chroma-tography-ion migration spectrometry. Food Sci. 2021, 42, 235–240. [Google Scholar] [CrossRef]
- Jha, S.; Sethi, S.; Srivastav, M.; Dubey, A.; Sharma, R.; Samuel, D.; Singh, A. Firmness characteristics of mango hybrids under ambient storage. J. Food Eng. 2010, 97, 208–212. [Google Scholar] [CrossRef]
- Jha, S.; Kingsly, A.; Chopra, S. Physical and mechanical properties of mango during growth and storage for determination of maturity. J. Food Eng. 2006, 72, 73–76. [Google Scholar] [CrossRef]
- Gong, X.; Wu, X.; Qi, N.; Li, J.; Huo, Y. Changes in the biochemical characteristics and volatile fingerprints of atemoya during postharvest ripening at room temperature. Qual. Assur. Saf. Crop. Foods 2020, 12, 26–35. [Google Scholar] [CrossRef]
- Ibarra-Garza, I.P.; Ramos-Parra, P.A.; Hernández-Brenes, C.; Jacobo-Velázquez, D.A. Effects of postharvest ripening on the nutraceutical and physicochemical properties of mango (Mangifera indica L. cv Keitt). Postharvest Biol. Technol. 2015, 103, 45–54. [Google Scholar] [CrossRef]
- Palafox-Carlos, H.; Yahia, E.; Islas-Osuna, M.; Gutierrez-Martinez, P.; Robles-Sánchez, M.; González-Aguilar, G. Effect of ripeness stage of mango fruit (Mangifera indica L., cv. Ataulfo) on physiological parameters and antioxidant activity. Sci. Hortic. 2012, 135, 7–13. [Google Scholar] [CrossRef]
- Wang, Y.; Qi, S. Flavor Chemistry of Food. In Formation of Fruit Aroma; Qi, S., Ed.; China Light Industry Press Ltd.: Beijing, China, 2015; Chapter 2; pp. 30–40. [Google Scholar]
- Shahidi, F.; Eskin, N.A.M. Fruit and Vegetables. In Biochemistry of Foods, 3rd ed.; Academic Press: Cambridge, MA, USA, 2013; Chapter 2. [Google Scholar]
- Yao, W.; Cai, Y.; Liu, D.; Chen, Y.; Li, J.; Zhang, M.; Chen, N.; Zhang, H. Analysis of flavor formation during production of Dezhou braised chicken using headspace-gas chromatography-ion mobility spec-trometry (HS-GC-IMS). Food Chem. 2021, 370, 130989. [Google Scholar] [CrossRef] [PubMed]
- Guo, S.; Zhao, X.; Ma, Y.; Wang, Y.; Wang, D. Fingerprints and changes analysis of volatile compounds in fresh-cut yam during yellowing process by using HS-GC-IMS. Food Chem. 2022, 369, 130939. [Google Scholar] [CrossRef] [PubMed]
- Lalel, H.; Singh, Z.; Tan, S.C. Aroma volatiles production during fruit ripening of ‘Kensington Pride’ mango. Postharvest Biol. Technol. 2003, 27, 323–336. [Google Scholar] [CrossRef]
- Thiruchelvam, T.; Landahl, S.; Terry, L.A. Temporal variation of volatile compounds from Sri Lankan mango (Mangifera indica L.) fruit during ripening. J. Agric. Food Res. 2020, 2, 100053. [Google Scholar] [CrossRef]
- Pino, J.A.; Mesa, J. Contribution of volatile compounds to mango (Mangifera indica L.) aroma. Flavour Fragr. J. 2006, 21, 207–213. [Google Scholar] [CrossRef]
- Zhang, W.; Dong, P.; Lao, F.; Liu, J.; Liao, X.; Wu, J. Characterization of the major aroma-active compounds in Keitt mango juice: Comparison among fresh, pasteurization and high hydrostatic pressure processing juices. Food Chem. 2019, 289, 215–222. [Google Scholar] [CrossRef]
- Liu, H.; An, K.; Su, S.; Yu, Y.; Wu, J.; Xiao, G.; Xu, Y. Aromatic Characterization of Mangoes (Mangifera indica L.) Using Solid Phase Extraction Coupled with Gas Chromatography–Mass Spectrometry and Olfactometry and Sensory Analyses. Foods 2020, 9, 75. [Google Scholar] [CrossRef] [PubMed]
- Zhang, H.; An, K.; Xu, Y.; Yu, Y.; Wu, J.; Xiao, G. The characteristic flavor compounds analysis of different cultivars of mango by electronic tongue and SPME-GC-MS. Mod. Food Sci. Technol. 2018, 34, 214–224. [Google Scholar] [CrossRef]
- Chen, Y.; Li, P.; Liao, L.; Qin, Y.; Jiang, L.; Liu, Y. Characteristic fingerprints and volatile flavor compound variations in Liuyang Douchi during fermentation via HS-GC-IMS and HS-SPME-GC-MS. Food Chem. 2021, 361, 130055. [Google Scholar] [CrossRef]
- Li, M.; Yang, R.; Zhang, H.; Wang, S.; Chen, D.; Lin, S. Development of a flavor fingerprint by HS-GC–IMS with PCA for volatile compounds of Tricholoma matsutake Singer. Food Chem. 2019, 290, 32–39. [Google Scholar] [CrossRef] [PubMed]
- Yang, J.; Cao, S.; Yang, L. Research of gas chromatography-ion mobility spectrometry. Mod. Instrum. Med. Treat. 2014, 20, 20–24. [Google Scholar] [CrossRef]
- Arroyo-Manzanares, N.; Martín-Gómez, A.; Jurado-Campos, N.; Garrido-Delgado, R.; Arce, C.; Arce, L. Target vs spectral fingerprint data analysis of Iberian ham samples for avoiding labelling fraud using headspace–gas chromatography–ion mobility spectrometry. Food Chem. 2018, 246, 65–73. [Google Scholar] [CrossRef] [PubMed]
- Gentile, C.; Di Gregorio, E.; Di Stefano, V.; Mannino, G.; Perrone, A.; Avellone, G.; Sortino, G.; Inglese, P.; Farina, V. Food quality and nutraceutical value of nine cultivars of mango (Mangifera indica L.) fruits grown in Mediterranean subtropical environment. Food Chem. 2018, 277, 471–479. [Google Scholar] [CrossRef]
- Torregrosa, L.; Echeverria, G.; Illa, J.; Torres, R.; Giné-Bordonaba, J. Spatial distribution of flavor components and antioxidants in the flesh of ‘Conference’ pears and its relationship with postharvest pathogens susceptibility. Postharvest Biol. Technol. 2019, 159, 111004. [Google Scholar] [CrossRef]
- Cao, J.; Jiang, W.; Zhao, Y. Experimental Guidance of Postharvest Physiology and Biochemistry of Fruit and Vegetables. In Experimental Techniques of Postharvest Physiology and Biochemistry of Fruit and Vegetables, 1st ed.; China Light Industry Press: Beijing, China, 2019; Chapter 2. [Google Scholar]





| Name | Sample with the Highest Content (%) | |||||
|---|---|---|---|---|---|---|
| Intact | Cut | |||||
| HS-GC-IMS | HS-GC-IMS | HS-GC-IMS | HS-GC-IMS | HS-GC-MS | HS-GC-MS | |
| Hongyu | Tainong | Hongyu | Tainong | Hongyu | Tainong | |
| Trimethylpyrazine | 11 d (0.04) | 11 d (0.15) | ||||
| Terpinolene | 11 d (0.56) | 11 d (0.85) | 1 d (0.89) | 1 d (1.78) | 1 d (5.60) | 1 d (7.08) |
| Sabinene | 5 d (0.03) | 9 d (0.14) | ||||
| Propyl propanoate | 11 d (0.84) | 11 d (0.4) | ||||
| Propyl butyrate | 11 d (0.21) | 11 d (0.04) | 11 d (0.04) | 11 d (0.10) | 11 d (0.01) | 11 d (0.02) |
| Propyl acetate | 5 d (0.07) | 5 d (0.04) | ||||
| Propan-2-one | 3 d/5 d (0.09) | 11 d (0.17) | ||||
| Phenethyl butyrate | 1 d (0.01) | - | ||||
| Pentyl acetate | - | 7 d/11 d (0.05) | 11 d (0.05) | |||
| Pentanoic acid | 5 d (0.07) | 1 d (0.08) | ||||
| Nerol | 9 d (0.04) | 9 d (0.05) | ||||
| Myrcene | 1 d (0.10) | 1 d (0.50) | 3 d (0.30) | 3 d (0.40) | ||
| Methyl hexanoate | 11 d (0.04) | 11 d (0.01) | ||||
| Methyl butanoate | 11 d (0.52) | 11 d (0.36) | 11 d (0.01) | - | - | 11 d (0.02) |
| Methyl acetate | 3 d (0.02) | - | ||||
| Methyl crotonate | 11 d (0.15) | 11 d (0.03) | - | - | ||
| Linalyl formate | - | 5 d (0.03) | ||||
| Linalyl acetate | 9 d (0.13) | |||||
| Linalool | 5 d (0.05) | |||||
| Limonene | 11 d (0.11) | 11 d (0.18) | 1 d (0.07) | 1 d (0.47) | 3 d (0.64) | 3 d (0.91) |
| Isopropyl butanoate | 11 d (0.65) | 11 d (0.72) | - | 7 d (0.09) | ||
| Isopentyl alcohol | 9 d (0.02) | 7 d/9 d (0.02) | ||||
| Isobutanal | 11 d (0.01) | 11d (0.05) | ||||
| Isoamyl acetate | 3 d/5 d (0.03) | 3 d/5 d (0.07) | ||||
| Humulene | 3 d (0.10) | 3 d (0.08) | ||||
| Hexyl acetate | 9 d/11 d (0.02) | 3 d/5 d/7 d/9 d/11 d (0.02) | ||||
| Hexene | 7 d (0.02) | - | ||||
| Hexanal | 5 d (0.58) | 11 d (0.54) | 1 d/3 d/9 d (0.02) | 1 d (0.03) | ||
| Heptanal | 9 d/11 d (0.01) | 9d (0.01) | - | |||
| Ethyl pyruvate | 3 d/5 d/7 d/9 d/11 d (0.02) | 3 d/5 d/7 d/9 d/11 d (0.02) | ||||
| Ethyl propanoate | 11 d (0.39) | 11 d (0.44) | 11 d (0.69) | 11 d (0.14) | ||
| Ethyl pentanoate | 11 d (0.08) | 11 d (0.02) | ||||
| Ethyl octanoate | 9 d (1.56) | 7 d (2.29) | ||||
| Ethyl isobutyrate | 11 d (0.12) | 5 d (0.04) | ||||
| Ethyl hexanoate | 11 d (0.92) | 7 d (0.99) | ||||
| Ethyl heptanoate | 7 d/9 d/11 d (0.02) | 7 d (0.03) | ||||
| Ethyl butyrate | 11 d (1.41) | 11 d (1.47) | 11 d (0.45 | 11 d (0.68) | ||
| Ethyl acetate | 11 d (1.03) | 11 d (0.91) | 11 d (1.84) | 11 d (0.82) | 1 d (0.02) | 11 d (0.01) |
| Ethyl 3-methylbutanoate | 11 d (0.27) | 3 d (0.25) | 11 d (0.03) | - | - | - |
| Ethyl 2-methylpropanoate | 11 d (0.01) | - | ||||
| Ethyl 2-methylbutanoate | 11 d (0.18) | 7 d (0.19) | 11 d (0.01) | - | 3 d/7 d (0.01) | - |
| Ethanol | 1 d (1.56) | 1 d (1.36) | 9 d (5.47) | 11 d (5.42) | ||
| Ethanal | 3d/5d/11d (0.04) | 9d/11d (0.08) | ||||
| Delta-carene | 1 d (0.70) | 1 d (0.66) | 1 d (0.15) | 3 d (0.09) | ||
| Decanal | 9 d (0.03) | 1 d (0.02) | ||||
| Cyclohexyl formate | 11 d (0.04) | - | ||||
| Citronellol | 5 d (0.04) | - | ||||
| Carveol | 3 d (0.01) | 1 d (0.02) | ||||
| Butyl propanoate | 9d/11d (0.04) | 11d (0.08) | ||||
| Butyl hexanoate | - | 11d (0.05) | ||||
| Butyl butanoate | 11d (0.39) | 5d/9d (0.05) | ||||
| Butyl acetate | 5d (0.21) | 5d (0.19) | ||||
| Butanal | 1d (0.03) | 1d (0.02) | ||||
| Butan-2-one | 1d (0.01) | 1d (0.01) | ||||
| Beta-selinene | 1d (1.48) | 1d (0.02) | ||||
| Beta-pinene | 9d (0.35) | 11d (0.36) | 1d (0.07) | 1d (0.06) | 1d (0.16) | 3d (0.33) |
| Beta-ocimene | 11d (0.06) | 11d (0.17) | 1d (0.77) | 1d (0.73) | 5d (0.51) | 1d (0.41) |
| Beta-caryophyllene | 11 d (0.49) | 3 d (0.19) | ||||
| Benzyl alcohol | 5 d (0.04) | - | ||||
| Alpha-terpinene | 11 d (0.33) | 11 d (0.63) | 1 d (0.05) | 1 d (0.41) | 5 d (1.65) | 3 d (1.23) |
| Alpha-pinene | 11 d (0.10) | 11 d (0.12) | 1 d (0.14) | 1 d (0.43) | 7 d (1.41) | 3 d (1.12) |
| Alpha-phellandrene | 11 d (0.17) | 9 d (0.26) | 1 d (0.10) | 1 d (0.45) | 11 d (0.03) | 1 d (0.08) |
| Alpha-ocimene | 1 d (0.02) | - | ||||
| Alpha-cubebene | 7 d (0.04) | 5 d/9 d (0.04) | ||||
| Alpha-copaene | 1 d (0.07) | 1 d (0.20) | ||||
| Alloaromadendrene | 11(0.04) | 3 d (0.02) | ||||
| Acetone | 1 d/3 d (0.01) | |||||
| 4-Penten-1-ol | 11 d (0.05) | |||||
| 4-Methyl-2-pentanone | - | 9 d (0.02) | ||||
| 3-Pentanone | 3 d (0.13) | - | ||||
| 3-Octanol | 5 d/7 d/9 d (0.01) | - | ||||
| 3-Methylbutanol | 11 d (0.12) | 5 d (0.21) | ||||
| 3-Methylbutanal | - | 9 d (0.12) | ||||
| 3-Methyl-4-heptanone | ||||||
| 3-Methyl-2-butanol | 11 d (0.07) | 11 d (0.07) | ||||
| 3-Methyl-1-pentanol | 11 d (0.06) | 11 d (0.01) | ||||
| 3-Hydroxy-2-butanone | 7 d/9 d (0.02) | 11 d (0.02) | ||||
| 3-Hydroxy-2-butanone | 11 d (0.17) | 11 d (0.15) | ||||
| 3-Hexenal | 9 d (0.1) | 7 d (0.08) | ||||
| 3-Hexen-1-ol | 7 d/9 d (0.03) | 11 d (0.02) | ||||
| 3-Hexanone | 9 d (0.49) | |||||
| 3-Carene | 1 d (2.41) | 3 d (1.55) | ||||
| 2-Pentanone | 11 d (0.03) | - | 11 d (0.06) | |||
| 2-Methylpent-4-enal | 7d/9d (0.06) | 7d (0.04) | ||||
| 2-Methyl-1-propanol | 11 d (0.07) | 5 d (0.07) | ||||
| 2-Methyl butanol | 11 d (0.01) | - | ||||
| 2-Ethyl-1-hexanol | 5 d (0.03) | - | ||||
| 2-Carene | 1 d (2.58) | 1 d (5.88) | ||||
| 2-Acetylthiazole | 7 d (0.02) | |||||
| 2,3-Pentanedione | 11 d (0.05) | 11 d (0.12) | ||||
| 1-Propanol | 1 d (0.09) | 1 d (0.04) | ||||
| 1-Octene | 1 d (0.07) | 3 d (0.19) | ||||
| 1-Methylethyl acetate | 5 d/7 d/9 d/11 d (0.08) | 11 d (0.11) | ||||
| 1-Methyl-3-propan-2-ylbenzene | 1 d (0.10) | 1 d (0.11) | ||||
| 1-Hydroxy-2-propanone | - | 9 d (0.05) | ||||
| 1-Hexanol | 11 d (0.03) | 9 d (0.03) | ||||
| 1-Butanol | 5 d/7 d/11 d (0.03) | 3 d (0.03) | ||||
| (Z)-rose oxide | 5 d (0.03) | - | ||||
| (Z)-hex-3-en-1-ol | 11 d (0.07) | |||||
| (Z)-3-hexenyl acetate | 11 d (0.05) | 11 d (0.08) | ||||
| (Z)-2-hexen-1-ol | 11 d (0.03) | |||||
| (E, Z)-2,6-nonadienal | - | 9 d (0.15) | 11 d (0.03) | 11 d (0.02) | ||
| (E)-beta-ocimene | - | 1 d (0.05) | ||||
| (E)-2-pentenal | - | 9 d (0.04) | 11 d (0.03) | 11 d (0.03) | ||
| (E)-2-nonenal | 5 d (0.12) | 1 d (0.07) | ||||
| (E)-2-hexenal | 11 d (0.11) | - | 9 d (0.10) | 11 d (0.08) | 11 d (0.03) | |
| (2E,6Z)-nona-2,6-dienal | 11 d (0.03) | - | ||||
| GC-IMS Intact Mango | GC-IMS Cut Mango | GC-MS | ||||||
|---|---|---|---|---|---|---|---|---|
| No. | Compounds | VIP | No. | Compounds | VIP | No. | Compounds | VIP |
| s65 | Terpinolene | 2.08753 | v64 | 3-Methylbutanol | 1.88659 | m20 | Propyl butyrate | 1.64887 |
| s58 | Pentanoic acid | 1.91624 | v69 | Beta-ocimene | 1.76667 | m49 | Alpha-terpinene | 1.5228 |
| s56 | Myrcene | 1.5574 | v79 | 1-Pentanol | 1.75097 | m53 | eudesm-4-en-11-ol | 1.34255 |
| s57 | Pentanoic acid | 1.46329 | v84 | Trimethylpyrazine | 1.74168 | m48 | 4-Methylvalerophenone | 1.32299 |
| s10 | 1-Octene | 1.27127 | v73 | Terpinolene | 1.72661 | m30 | Hexene | 1.2544 |
| s18 | 3-methylbutanal | 1.15562 | v56 | Alpha-terpinene | 1.69203 | m21 | 4-Ethyl 2-methylbutyrate | 1.24467 |
| s21 | 3-Pentanone | 1.11363 | v61 | (E)-2-Hexenal | 1.66245 | m18 | 1-Hexanol | 1.21866 |
| s1 | (E)-2-hexenal | 1.10303 | v81 | (Z)-3-hexenyl acetate | 1.61886 | m2 | Acetaldehyde | 1.21332 |
| s5 | (E)-beta-ocimene | 1.03414 | v12 | Iso-propanol | 1.46001 | m33 | 3-Carene | 1.15313 |
| s4 | (E)-2-Pentenal | 1.01497 | v60 | Limonene | 1.39653 | m17 | 3-Hexen-1-ol | 1.13545 |
| s62 | Propyl propanoate | 1.75477 | v68 | Ethyl hexanoate | 1.22739 | m11 | 3-Hexenal | 1.02138 |
| s61 | Propyl butyrate | 1.26807 | v72 | Hexyl acetate | 1.2223 | m9 | Butyl hexanoate | 1.29179 |
| s41 | Ethyl 3-methylbutanoate | 1.18943 | v86 | Ethyl octanoate | 1.21327 | m38 | 1-methyl-3-propan-2-ylbenzene | 1.40181 |
| s29 | Benzyl alcohol | 1.14882 | v76 | 3-Methyl-3-buten-1-ol | 1.18841 | m5 | Benzaldehyde | 1.41035 |
| s42 | ethyl acetate | 1.0974 | v82 | 1-Hexanol | 1.10373 | m41 | beta-ocimene | 1.31592 |
| s19 | 3-Octanol | 1.03367 | v65 | Propyl butyrate | 1.52596 | m7 | Linalyl acetate | 1.21866 |
| s38 | ethanol | 1.01365 | v77 | 3-Hydroxy-2-butanone | 1.43828 | m44 | 2-Carene | 1.21027 |
| v57 | Methyl hexanoate | 1.15345 | m26 | 3-methylcyclohex-3-en-1-one | 1.19349 | |||
| m54 | Beta-caryophyllene | 1.15453 | ||||||
| m32 | Alpha-phellandrene | 1.13682 | ||||||
| m28 | Beta-pinene | 1.11746 | ||||||
| m34 | Alpha-Pinene | 1.05874 | ||||||
| m40 | Limonene | 1.04677 | ||||||
| m12 | Hexanal | 1.01841 | ||||||
| m31 | Delta-carene | 1.01799 | ||||||
| m6 | 2-Methyl Furan | 1.00994 | ||||||
Disclaimer/Publisher’s Note: The statements, opinions and data contained in all publications are solely those of the individual author(s) and contributor(s) and not of MDPI and/or the editor(s). MDPI and/or the editor(s) disclaim responsibility for any injury to people or property resulting from any ideas, methods, instructions or products referred to in the content. |
© 2023 by the authors. Licensee MDPI, Basel, Switzerland. This article is an open access article distributed under the terms and conditions of the Creative Commons Attribution (CC BY) license (https://creativecommons.org/licenses/by/4.0/).
Share and Cite
Xie, H.; Meng, L.; Guo, Y.; Xiao, H.; Jiang, L.; Zhang, Z.; Song, H.; Shi, X. Effects of Volatile Flavour Compound Variations on the Varying Aroma of Mangoes ‘Tainong’ and ‘Hongyu’ during Storage. Molecules 2023, 28, 3693. https://doi.org/10.3390/molecules28093693
Xie H, Meng L, Guo Y, Xiao H, Jiang L, Zhang Z, Song H, Shi X. Effects of Volatile Flavour Compound Variations on the Varying Aroma of Mangoes ‘Tainong’ and ‘Hongyu’ during Storage. Molecules. 2023; 28(9):3693. https://doi.org/10.3390/molecules28093693
Chicago/Turabian StyleXie, Huiwen, Lanhuan Meng, Ying Guo, Hongmei Xiao, Libo Jiang, Zhengke Zhang, Haichao Song, and Xuequn Shi. 2023. "Effects of Volatile Flavour Compound Variations on the Varying Aroma of Mangoes ‘Tainong’ and ‘Hongyu’ during Storage" Molecules 28, no. 9: 3693. https://doi.org/10.3390/molecules28093693
APA StyleXie, H., Meng, L., Guo, Y., Xiao, H., Jiang, L., Zhang, Z., Song, H., & Shi, X. (2023). Effects of Volatile Flavour Compound Variations on the Varying Aroma of Mangoes ‘Tainong’ and ‘Hongyu’ during Storage. Molecules, 28(9), 3693. https://doi.org/10.3390/molecules28093693
