Solubility and Stability of Carotenoids in Ammonium- and Phosphonium-Based Ionic Liquids: Effect of Solvent Nature, Temperature and Water
Abstract
1. Introduction
2. Results and Discussion
2.1. Phase Behavior of IL–Water Systems
2.2. Physicochemical Properties of IL Aqueous Solutions
2.2.1. Density
2.2.2. pH
2.2.3. Viscosity
2.2.4. Conductivity
2.3. Dissolution Behavior of Carotenoids in IL Aqueous Solutions
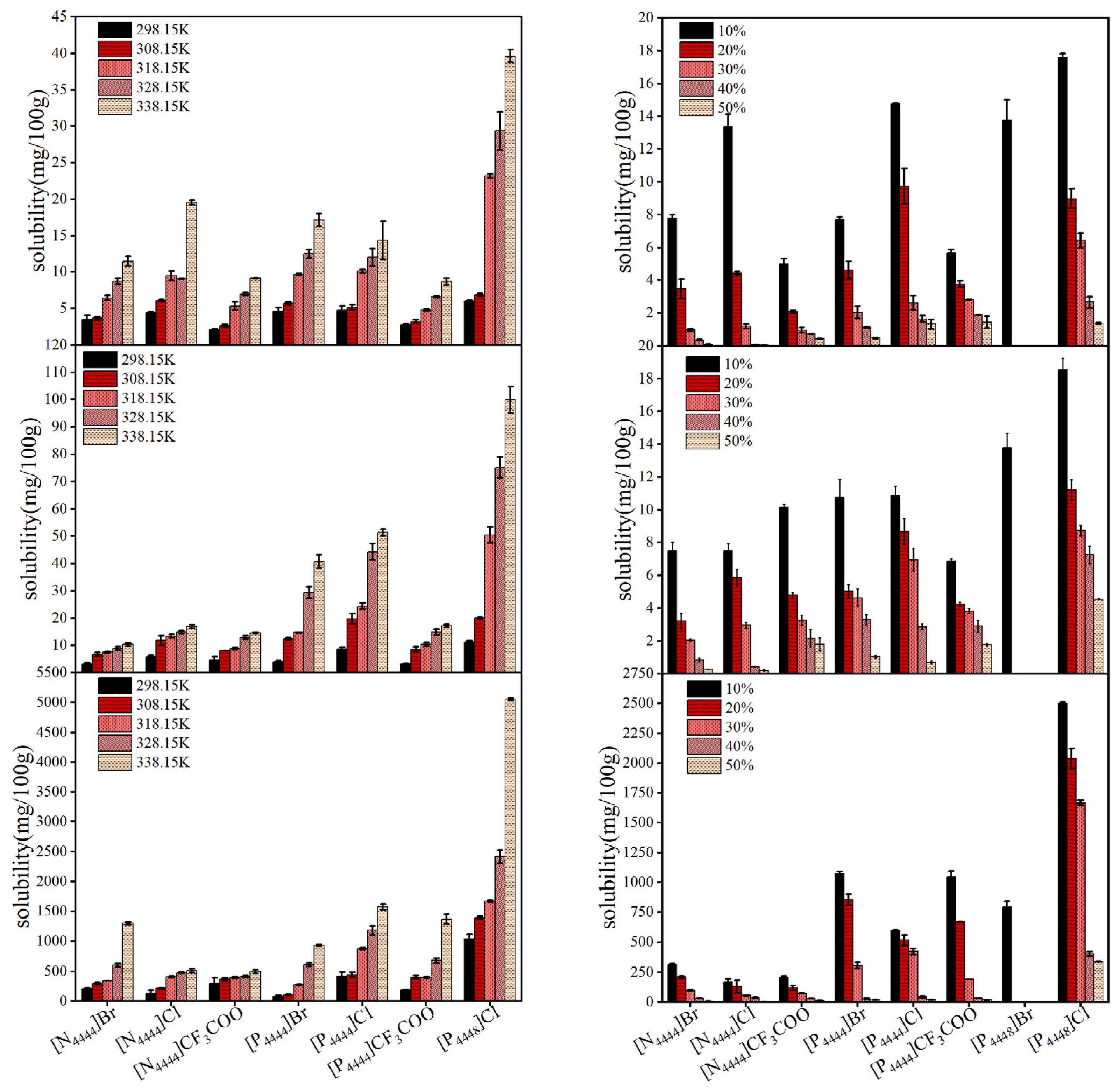
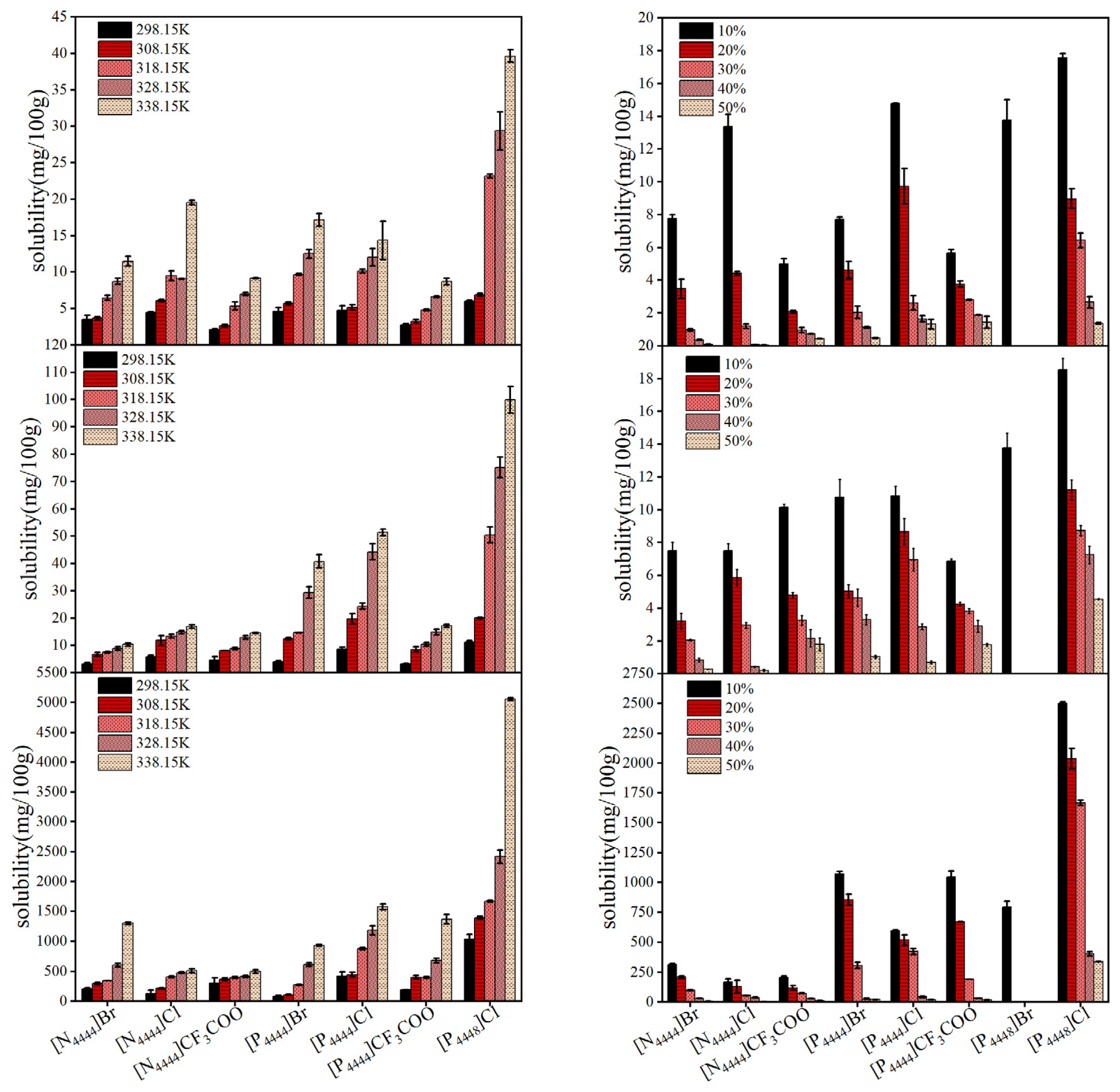
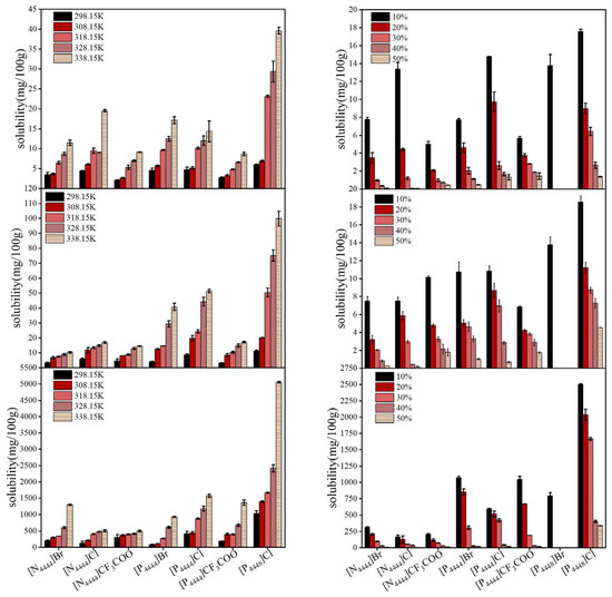
2.3.1. Solubility
2.3.2. Interaction Force of Carotenoids with ILs
2.4. Carotenoid Stability in [P4448]Cl Aqueous Solution
2.4.1. Color Stability
2.4.2. Carotenoid Degradation
2.4.3. Correlation between Concentration of Carotenoids and Color Parameters
3. Materials and Methods
3.1. Materials
3.2. IL Properties
3.3. Carotenoid Solubility
3.4. Molecular Simulation
3.5. Storage Stability of Carotenoids in IL Aqueous Solutions
3.5.1. Color Changes
3.5.2. Concentration Changes
3.6. Statistical Analysis
4. Conclusions
Supplementary Materials
Author Contributions
Funding
Institutional Review Board Statement
Informed Consent Statement
Data Availability Statement
Conflicts of Interest
Sample Availability
References
- Yu, J.; Liu, X.; Zhang, L.; Shao, P.; Wu, W.; Chen, Z.; Li, J.; Renard, C.M.G.C. An overview of carotenoid extractions using green solvents assisted by Z-isomerization. Trends Food Sci. Technol. 2022, 123, 145–160. [Google Scholar] [CrossRef]
 - Wen Lee, H.; Bi, X.; Jeyakumar Henry, C. Carotenoids, tocopherols and phylloquinone content of 26 green leafy vegetables commonly consumed in Southeast Asia. Food Chem. 2022, 385, 132729. [Google Scholar] [CrossRef]
 - Luana Carvalho de Queiroz, J.; Medeiros, I.; Costa Trajano, A.; Piuvezam, G.; Clara de Franca Nunes, A.; Souza Passos, T.; Heloneida de Araujo Morais, A. Encapsulation techniques perfect the antioxidant action of carotenoids: A systematic review of how this effect is promoted. Food Chem. 2022, 385, 132593. [Google Scholar] [CrossRef]
 - Hajizadeh-Sharafabad, F.; Ghoreishi, Z.; Maleki, V.; Tarighat-Esfanjani, A. Mechanistic insights into the effect of lutein on atherosclerosis, vascular dysfunction, and related risk factors: A systematic review of in vivo, ex vivo and in vitro studies. Pharmacol. Res. 2019, 149, 104477. [Google Scholar] [CrossRef]
 - Madaan, T.; Choudhary, A.N.; Gyenwalee, S.; Thomas, S.; Mishra, H.; Tariq, M.; Vohora, D.; Talegaonkar, S. Lutein, a versatile phyto-nutraceutical: An insight on pharmacology, therapeutic indications, challenges and recent advances in drug delivery. PharmaNutrition 2017, 5, 64–75. [Google Scholar] [CrossRef]
 - Zhuang, D.; He, N.; Khoo, K.S.; Ng, E.P.; Chew, K.W.; Ling, T.C. Application progress of bioactive compounds in microalgae on pharmaceutical and cosmetics. Chemosphere 2022, 291 Pt 2, 132932. [Google Scholar] [CrossRef]
 - Tiwari, S.; Upadhyay, N.; Singh, A.K. Stability assessment of emulsion of carotenoids extracted from carrot bio-waste in flaxseed oil and its application in food model system. Food Biosci. 2022, 47, 101631. [Google Scholar] [CrossRef]
 - Zhang, Z.; Chen, W.; Zhou, X.; Deng, Q.; Dong, X.; Yang, C.; Huang, F. Astaxanthin-loaded emulsion gels stabilized by Maillard reaction products of whey protein and flaxseed gum: Physicochemical characterization and in vitro digestibility. Food Res. Int. 2021, 144, 110321. [Google Scholar] [CrossRef]
 - Lu, Q.; Li, H.; Zou, Y.; Liu, H.; Yang, L. Astaxanthin as a microalgal metabolite for aquaculture: A review on the synthetic mechanisms, production techniques, and practical application. Algal Res. 2021, 54, 102178. [Google Scholar] [CrossRef]
 - Díaz-Gómez, J.; Moreno, J.A.; Angulo, E.; Sandmann, G.; Zhu, C.; Ramos, A.J.; Capell, T.; Christou, P.; Nogareda, C. High-carotenoid biofortified maize is an alternative to color additives in poultry feed. Anim. Feed Sci. Technol. 2017, 231, 38–46. [Google Scholar] [CrossRef]
 - Ren, Y.; Deng, J.; Huang, J.; Wu, Z.; Yi, L.; Bi, Y.; Chen, F. Using green alga Haematococcus pluvialis for astaxanthin and lipid co-production: Advances and outlook. Bioresour. Technol. 2021, 340, 125736. [Google Scholar] [CrossRef] [PubMed]
 - Mussagy, C.U.; Farias, F.O.; Bila, N.M.; Giannini, M.J.S.M.; Pereira, J.F.B.; Santos-Ebinuma, V.C.; Pessoa, A., Jr. Recovery of β-carotene and astaxanthin from Phaffia rhodozyma biomass using aqueous solutions of cholinium-based ionic liquids. Sep. Purif. Technol. 2022, 290, 120852. [Google Scholar] [CrossRef]
 - Britton, G. Carotenoid research: History and new perspectives for chemistry in biological systems. Biochim. Biophys. Acta Mol. Cell Biol. Lipids 2020, 1865, 158699. [Google Scholar] [CrossRef] [PubMed]
 - Dong, S.; Huang, Y.; Zhang, R.; Wang, S.; Liu, Y. Four different methods comparison for extraction of astaxanthin from green alga Haematococcus pluvialis. Sci. World J. 2014, 2014, 694305. [Google Scholar] [CrossRef] [PubMed]
 - Gea-Botella, S.; Agullo, L.; Marti, N.; Martinez-Madrid, M.C.; Lizama, V.; Martin-Bermudo, F.; Berna, G.; Saura, D.; Valero, M. Carotenoids from persimmon juice processing. Food Res. Int. 2021, 141, 109882. [Google Scholar] [CrossRef]
 - Mero, A.; Guglielmero, L.; D’Andrea, F.; Pomelli, C.S.; Guazzelli, L.; Koutsoumpos, S.; Tsonos, G.; Stavrakas, I.; Moutzouris, K.; Mezzetta, A. Influence of the cation partner on levulinate ionic liquids properties. J. Mol. Liq. 2022, 354, 118850. [Google Scholar] [CrossRef]
 - Poole, C.F.; Atapattu, S.N. Determination of physicochemical properties of ionic liquids by gas chromatography. J. Chromatogr. A 2021, 1644, 461964. [Google Scholar] [CrossRef]
 - Kaur, G.; Kumar, H.; Singla, M. Diverse applications of ionic liquids: A comprehensive review. J. Mol. Liq. 2022, 351, 118556. [Google Scholar] [CrossRef]
 - Shen, Q.; Zhu, T.; Wu, C.; Xu, Y.; Li, C. Ultrasonic-assisted extraction of zeaxanthin from Lycium barbarum L. with composite solvent containing ionic liquid: Experimental and theoretical research. J. Mol. Liq. 2022, 347, 118265. [Google Scholar] [CrossRef]
 - Zhu, Y.; Li, X.; Wang, Y.; Ren, L.; Zhao, Q. Lutein extraction by imidazolium-based ionic liquid-water mixture from dried and fresh Chlorella sp. Algal Res. 2021, 60, 102528. [Google Scholar] [CrossRef]
 - Li, J.; Wang, Z.; Yao, S.; Song, H. Aqueous solubilization and extraction of curcumin enhanced by imidazolium, quaternary ammonium, and tropine ionic liquids, and insight of ionic liquids-curcumin interaction. J. Mol. Liq. 2020, 317, 113906. [Google Scholar] [CrossRef]
 - Bi, W.; Tian, M.; Row, K.H. Evaluation of alcohol-based deep eutectic solvent in extraction and determination of flavonoids with response surface methodology optimization. J. Chromatogr. A 2013, 1285, 22–30. [Google Scholar] [CrossRef] [PubMed]
 - Wang, X.; Chi, Y.; Mu, T. A review on the transport properties of ionic liquids. J. Mol. Liq. 2014, 193, 262–266. [Google Scholar] [CrossRef]
 - Gao, J.; Guo, J.; Nie, F.; Ji, H.; Liu, S. LCST-Type Phase Behavior of Aqueous Biphasic Systems Composed of Phosphonium-Based Ionic Liquids and Potassium Phosphate. J. Chem. Eng. Data 2017, 62, 1335–1340. [Google Scholar] [CrossRef]
 - Kono, S.; Kazama, H.; Mori, T.; Arai, T.; Takao, K. Significant Acceleration of PGMs Extraction with UCST-Type Thermomorphic Ionic Liquid at Elevated Temperature. ACS Sustain. Chem. Eng. 2018, 6, 1555–1559. [Google Scholar] [CrossRef]
 - Boli, E.; Katsavrias, T.; Voutsas, E. Viscosities of pure protic ionic liquids and their binary and ternary mixtures with water and ethanol. Fluid Phase Equilibria 2020, 520, 112663. [Google Scholar] [CrossRef]
 - Bobrova, L.S.; Danilov, F.I.; Protsenko, V.S. Effects of temperature and water content on physicochemical properties of ionic liquids containing CrCl3·xH2O and choline chloride. J. Mol. Liq. 2016, 223, 48–53. [Google Scholar] [CrossRef]
 - Da-Yong, S.; Jing, C. Hydrogen-Bonding Interactions between Ionic Liquid 1-Ethyl-3-methylimidazolium Trifluoromethanesulfonate and Water. Acta Phys.-Chim. Sin. 2014, 30, 1605–1610. [Google Scholar] [CrossRef]
 - Kartikawati, N.A.; Safdar, R.; Lal, B.; Mutalib, M.I.B.A.; Shariff, A.M. Measurement and correlation of the physical properties of aqueous solutions of ammonium based ionic liquids. J. Mol. Liq. 2018, 253, 250–258. [Google Scholar] [CrossRef]
 - Sharma, S.; Sharma, S.; Singh, J.; Singh, M.; Sharma, A.K.; Sharma, M. Study on molecular interactions of l-leucine in aqueous ionic liquid (1-butyl-3-methylimidazolium tetrafluoroborate) [C4mim][BF4] solution using density, speed of sound and viscosity measurements at various temperatures. J. Chem. Thermodyn. 2022, 167, 106696. [Google Scholar] [CrossRef]
 - Wang, R.; Wang, Y.; Guo, W.; Zeng, M. Stability and bioactivity of carotenoids from Synechococcus sp. PCC 7002 in Zein/NaCas/Gum Arabic composite nanoparticles fabricated by pH adjustment and heat treatment antisolvent precipitation. Food Hydrocoll. 2021, 117, 106663. [Google Scholar] [CrossRef]
 - Nayana Lakshmi, S.; Bahadur, P.; Dutta Choudhury, S. Photoinduced electron transfer reactions in mixed micelles of a star block copolymer and surface active ionic liquids: Role of the anion. J. Mol. Liq. 2021, 342, 116951. [Google Scholar] [CrossRef]
 - van Osch, D.J.G.P.; Dietz, C.H.J.T.; van Spronsen, J.; Kroon, M.C.; Gallucci, F.; van Sint Annaland, M.; Tuinier, R. A Search for Natural Hydrophobic Deep Eutectic Solvents Based on Natural Components. ACS Sustain. Chem. Eng. 2019, 7, 2933–2942. [Google Scholar] [CrossRef]
 - Chávez-Castellanos, Á.E.; Aguilar-Martinez, M.; Reyna-González, J.M. Effect of water and ions on the rheological behavior of a low viscosity ammonium-based ionic liquid. Fluid Phase Equilibria 2022, 556, 113391. [Google Scholar] [CrossRef]
 - Królikowska, M.; Lipiński, P.; Maik, D. Density, viscosity and phase equilibria study of {ethylsulfate-based ionic liquid+water} binary systems as a function of temperature and composition. Thermochim. Acta 2014, 582, 1–9. [Google Scholar] [CrossRef]
 - Zhao, Y.; Tian, L.; Pei, Y.; Wang, H.; Wang, J. Effect of Anionic Structure on the LCST Phase Behavior of Phosphonium Ionic Liquids in Water. Ind. Eng. Chem. Res. 2018, 57, 12935–12941. [Google Scholar] [CrossRef]
 - Gao, J.; Fang, C.; Lin, Y.; Nie, F.; Ji, H.; Liu, S. Enhanced extraction of astaxanthin using aqueous biphasic systems composed of ionic liquids and potassiumphosphate. Food Chem. 2020, 309, 125672. [Google Scholar] [CrossRef]
 - Wang, J.; Li, Y.; Liu, H.; Tong, J. Surface tension, viscosity and electrical conductivity characteristics of new ether-functionalized ionic liquids. J. Mol. Liq. 2022, 351, 118621. [Google Scholar] [CrossRef]
 - Myrdek, T.; Popescu, C.; Kunz, W. Physical-chemical properties of newly synthesized tetraalkylammonium alkyl ether carboxylate ionic liquids. J. Mol. Liq. 2021, 322, 114947. [Google Scholar] [CrossRef]
 - Yildirim, A.; Szymoniak, P.; Sentker, K.; Butschies, M.; Buhlmeyer, A.; Huber, P.; Laschat, S.; Schonhals, A. Dynamics and ionic conductivity of ionic liquid crystals forming a hexagonal columnar mesophase. Phys. Chem. Chem. Phys. 2018, 20, 5626–5635. [Google Scholar] [CrossRef]
 - Ge, M.; Fang, T.; Zhou, G.; Li, C.; Li, Y.; Liu, X. Insight into the dual effect of water on lignin dissolution in ionic liquids. Int. J. Biol. Macromol. 2022, 205, 178–184. [Google Scholar] [CrossRef] [PubMed]
 - Mirheydari, S.N.; Barzegar-Jalali, M.; Shekaari, H.; Martinez, F.; Jouyban, A. Experimental determination and correlation of lamotrigine solubility in aqueous mixtures of 1-octyl-3-methylimidazolium bromide ionic liquid at various temperatures. J. Chem. Thermodyn. 2019, 135, 75–85. [Google Scholar] [CrossRef]
 - Murador, D.C.; De Souza Mesquita, L.M.; Neves, B.V.; Braga, A.R.C.; Martins, P.L.G.; Zepka, L.Q.; De Rosso, V.V. Bioaccessibility and cellular uptake by Caco-2 cells of carotenoids and chlorophylls from orange peels: A comparison between conventional and ionic liquid mediated extractions. Food Chem. 2021, 339, 127818. [Google Scholar] [CrossRef] [PubMed]
 - Mercadante, A.Z.; Rodrigues, D.B.; Petry, F.C.; Mariutti, L.R.B. Carotenoid esters in foods—A review and practical directions on analysis and occurrence. Food Res. Int. 2017, 99 Pt 2, 830–850. [Google Scholar] [CrossRef] [PubMed]
 - Li, Y.; Hu, K.; Huang, C.; Hu, Y.; Ji, H.; Liu, S.; Gao, J. Improvement of solubility, stability and antioxidant activity of carotenoids using deep eutectic solvent-based microemulsions. Colloids Surf. B Biointerfaces 2022, 217, 112591. [Google Scholar] [CrossRef]
 - Shao, M.; Chen, M.; Fan, M.; Luo, G.; Jin, C.; Huang, Z. Microemulsion system constructed with a new cyano-functionalized ionic liquid for the extraction of Pd(II) and preparation of palladium nanoparticles. Sep. Purif. Technol. 2021, 275, 119198. [Google Scholar] [CrossRef]
 - Liu, X.; Fang, J.; Zheng, W.; Tan, Z.; Zheng, X.; Di, J. Study on desulfurization mechanism of ionic liquid extractant based on Gaussian quantitative calculation. Comput. Theor. Chem. 2021, 1204, 113353. [Google Scholar] [CrossRef]
 - Nowacka, M.; Dadan, M.; Janowicz, M.; Wiktor, A.; Witrowa-Rajchert, D.; Mandal, R.; Pratap-Singh, A.; Janiszewska-Turak, E. Effect of nonthermal treatments on selected natural food pigments and color changes in plant material. Compr. Rev. Food Sci. Food Saf. 2021, 20, 5097–5144. [Google Scholar] [CrossRef]
 - Martinez-Delgado, A.A.; Khandual, S.; Villanueva-Rodriguez, S.J. Chemical stability of astaxanthin integrated into a food matrix: Effects of food processing and methods for preservation. Food Chem. 2017, 225, 23–30. [Google Scholar] [CrossRef]
 - Huang, L.; Li, D.; Ma, Y.; Liu, Y.; Liu, G.; Wang, Y.; Tan, B. Dietary fatty acid-mediated protein encapsulation simultaneously improving the water-solubility, storage stability, and oral absorption of astaxanthin. Food Hydrocoll. 2022, 123, 107152. [Google Scholar] [CrossRef]
 - Niamnuy, C.; Devahastin, S.; Soponronnarit, S.; Vijaya Raghavan, G.S. Kinetics of astaxanthin degradation and color changes of dried shrimp during storage. J. Food Eng. 2008, 87, 591–600. [Google Scholar] [CrossRef]
 - Ba, C.; Fu, Y.; Niu, F.; Wang, M.; Jin, B.; Li, Z.; Chen, G.; Zhang, H.; Li, X. Effects of environmental stresses on physiochemical stability of beta-carotene in zein-carboxymethyl chitosan-tea polyphenols ternary delivery system. Food Chem. 2020, 311, 125878. [Google Scholar] [CrossRef] [PubMed]
 - Qian, C.; Decker, E.A.; Xiao, H.; McClements, D.J. Physical and chemical stability of beta-carotene-enriched nanoemulsions: Influence of pH, ionic strength, temperature, and emulsifier type. Food Chem. 2012, 132, 1221–1229. [Google Scholar] [CrossRef] [PubMed]
 
) [N4444]Br, (
) [N4444]Cl, (
) [N4444]CF3COO, (
) [P4444]Br, (
) [P4444]Cl, (
) [P4444]CF3COO, (
) [P4448]Cl.
  
) [N4444]Br, (
) [N4444]Cl, (
) [N4444]CF3COO, (
) [P4444]Br, (
) [P4444]Cl, (
) [P4444]CF3COO, (
) [P4448]Cl.




| IL | Water Content | ||||
|---|---|---|---|---|---|
| wwater = 10% | wwater = 20% | wwater = 30% | wwater = 40% | wwater = 50% | |
| [N4444]Br | ○ | ○ | ○ | ○ | ○ | 
| [N4444]Cl | ○ | ○ | ○ | ○ | ○ | 
| [N4444]CF3COO | ○ | ○ | ○ | ○ | ○ | 
| [P4444]Br | ○ | ○ | ○ | ○ | ○ | 
| [P4444]Cl | ○ | ○ | ○ | ○ | ○ | 
| [P4444]CF3COO | ○ | ○ | ○ | ○ | ○ | 
| [P4448]Br | ○ | × | × | × | × | 
| [P4448]Cl | ○ | ○ | ○ | ○ | ○ | 
| [P4448]CF3COO | × | × | × | × | × | 
| System | Ecomplex (×103 kcal/mol)  | Ecomplex(Carotenoids) (×103 kcal/mol)  | Ecomplex (ILs) (×103 kcal/mol)  | Eint (kcal/mol)  | 
|---|---|---|---|---|
| [P4448]+–astaxanthin | −2314.6202 | −1605.7453 | −708.8368 | −38.07 | 
| [P4448]+–β-carotene | −1686.2509 | −977.3796 | −708.8472 | −24.18 | 
| [P4448]+–lutein | −1779.3847 | −1071.0201 | −708.3377 | −26.96 | 
| Cl−1–astaxanthin | −1894.5762 | −1605.7416 | −288.7999 | −34.69 | 
| Cl−1–β-carotene | −1266.1982 | −977.3804 | −288.7960 | −21.78 | 
| Cl−1–lutein | −1359.6329 | −1071.0182 | −288.5885 | −26.24 | 
| [P4448]Cl–astaxanthin | −2603.4850 | −1605.7341 | −997.7130 | −37.86 | 
| [P4448]Cl–β-carotene | −1973.7142 | −976.6761 | −997.0171 | −21.05 | 
| [P4448]Cl–lutein | −2068.0591 | −1071.0202 | −997.01487 | −24.10 | 
| Carotenoid | wwater | T (K) | k1 (h−1) | t1/2 (h) | f (C) = f (L*, a*, b*) = f (ΔE) | R2 | 
|---|---|---|---|---|---|---|
| Astaxanthin | 10 | 298.15 | −0.0028 | 247.50 | CAst = −28.14 + 0.28L* + 0.49a* − 0.04b* | 0.9050 | 
| 20 | 298.15 | −0.0026 | 266.54 | CAst = 0.18ΔE +14.00 | 0.8727 | |
| 30 | 298.15 | −0.0024 | 288.75 | |||
| 40 | 298.15 | −0.0032 | 216.56 | |||
| 50 | 298.15 | −0.0056 | 123.75 | |||
| 20 | 308.15 | −0.0029 | 238.97 | |||
| 20 | 318.15 | −0.0036 | 192.50 | |||
| 20 | 328.15 | −0.0050 | 138.60 | |||
| 20 | 338.15 | −0.0103 | 67.28 | |||
| β-Carotene | 10 | 298.15 | −0.0016 | 433.13 | CCar = 6.06 + 0.06L* + 0.04a* + 0.10b* | 0.9823 | 
| 20 | 298.15 | −0.0027 | 256.67 | CCar = −0.11ΔE + 7.92 | 0.9545 | |
| 30 | 298.15 | −0.0029 | 238.97 | |||
| 40 | 298.15 | −0.0037 | 187.30 | |||
| 50 | 298.15 | −0.0054 | 128.33 | |||
| 20 | 308.15 | −0.0038 | 182.37 | |||
| 20 | 318.15 | −0.0050 | 138.60 | |||
| 20 | 328.15 | −0.0065 | 106.62 | |||
| 20 | 338.15 | −0.0089 | 77.87 | |||
| Lutein | 10 | 298.15 | −0.0011 | 630.00 | CLut = 13.54 − 0.14L* − 0.09a* + 0.05b* | 0.8906 | 
| 20 | 298.15 | −0.0012 | 577.50 | CLut = −0.05ΔE + 6.97 | 0.9607 | |
| 30 | 298.15 | −0.0015 | 462.00 | |||
| 40 | 298.15 | −0.0022 | 315.00 | |||
| 50 | 298.15 | −0.0033 | 210.00 | |||
| 20 | 308.15 | −0.0033 | 210.00 | |||
| 20 | 318.15 | −0.0068 | 101.91 | |||
| 20 | 328.15 | −0.0080 | 86.63 | |||
| 20 | 338.15 | −0.0099 | 70.00 | 
Disclaimer/Publisher’s Note: The statements, opinions and data contained in all publications are solely those of the individual author(s) and contributor(s) and not of MDPI and/or the editor(s). MDPI and/or the editor(s) disclaim responsibility for any injury to people or property resulting from any ideas, methods, instructions or products referred to in the content.  | 
© 2023 by the authors. Licensee MDPI, Basel, Switzerland. This article is an open access article distributed under the terms and conditions of the Creative Commons Attribution (CC BY) license (https://creativecommons.org/licenses/by/4.0/).
Share and Cite
Cheng, W.; Xian, F.; Zhou, Z.; Hu, K.; Gao, J. Solubility and Stability of Carotenoids in Ammonium- and Phosphonium-Based Ionic Liquids: Effect of Solvent Nature, Temperature and Water. Molecules 2023, 28, 3618. https://doi.org/10.3390/molecules28083618
Cheng W, Xian F, Zhou Z, Hu K, Gao J. Solubility and Stability of Carotenoids in Ammonium- and Phosphonium-Based Ionic Liquids: Effect of Solvent Nature, Temperature and Water. Molecules. 2023; 28(8):3618. https://doi.org/10.3390/molecules28083618
Chicago/Turabian StyleCheng, Wanting, Feng Xian, Zhanluo Zhou, Kun Hu, and Jing Gao. 2023. "Solubility and Stability of Carotenoids in Ammonium- and Phosphonium-Based Ionic Liquids: Effect of Solvent Nature, Temperature and Water" Molecules 28, no. 8: 3618. https://doi.org/10.3390/molecules28083618
APA StyleCheng, W., Xian, F., Zhou, Z., Hu, K., & Gao, J. (2023). Solubility and Stability of Carotenoids in Ammonium- and Phosphonium-Based Ionic Liquids: Effect of Solvent Nature, Temperature and Water. Molecules, 28(8), 3618. https://doi.org/10.3390/molecules28083618
        