Abstract
Details of the structural elucidation of the clinically useful photodynamic therapy sensitizer NPe6 (15) are presented. NPe6, also designated as Laserphyrin, Talaporfin, and LS-11, is a second-generation photosensitizer derived from chlorophyll-a, currently used in Japan for the treatment of human lung, esophageal, and brain cancers. After the initial misidentification of the structure of this chlorin-e6 aspartic acid conjugate as (13), NMR and other synthetic procedures described herein arrived at the correct structure (15), confirmed using single crystal X-ray crystallography. Interesting new features of chlorin-e6 chemistry (including the intramolecular formation of an anhydride (24)) are reported, allowing chemists to regioselectively conjugate amino acids to each available carboxylic acid on positions 131 (formic), 152 (acetic), and 173 (propionic) of chlorin e6 (14). Cellular investigations of several amino acid conjugates of chlorin-e6 revealed that the 131-aspartylchlorin-e6 derivative is more phototoxic than its 152- and 173-regioisomers, in part due to its nearly linear molecular conformation.
Keywords:
chlorin-e6; amino acid conjugate; photodynamic therapy; NPe6; Talaporfin; LS-11; Laserphyrin® 1. Introduction
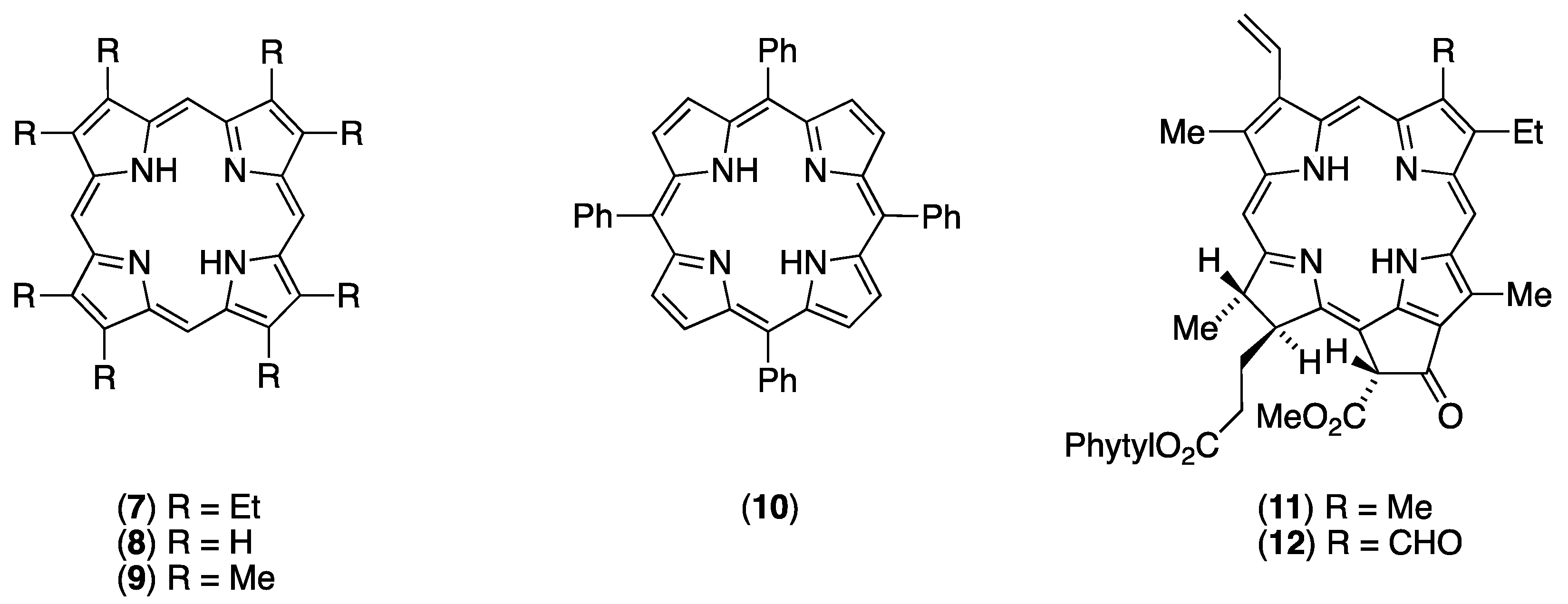
In the early 1960s, a new porphyrin research group in Liverpool, UK, under the direction of George W. Kenner F.R.S and Anthony H. Jackson, began to make small steps towards development of new porphyrin syntheses. The field of porphyrin synthesis had mostly been dominated by Hans Fischer’s group in Munich [1,2,3]; the new approach in Liverpool was to use dipyrromethanes (with two pyrroles linked through an sp3 carbon) (1) rather than the unsaturated dipyrromethene salts (2) that had yielded literally dozens of synthetic porphyrins for Fischer’s group, this work culminating in award of the Nobel Prize for Chemistry to Fischer in 1930. The prize was principally for the unambiguous synthesis of the blood pigment hemin (3) (Figure 1), though much else had been achieved. Fischer’s group had briefly dabbled with dipyrromethanes, but the heart of their porphyrin synthesis achievements lay in their dipyrromethene approaches. Dipyrromethanes (1) are somewhat acid-sensitive molecules that could not survive Fischer’s relatively harsh acid conditions used to forge the porphyrin macrocycle from dipyrromethene salts (2). The Liverpool group enjoyed early successes and was able, in the 1960s, to develop new approaches to porphyrins using so-called a-oxobilanes (4) [4], b-oxobilanes (5) [5], and b-bilenes (6) [6].
Figure 1.
Structures of various porphyrin precursors and hemin chloride (3).
At this point in time, Kenner began interacting personally with Hans Herloff Inhoffen in Braunschweig, Germany. Inhoffen had persuaded one of his former students, a Dr. Pommer, who occupied a high-level position in the German chemical industry, to produce octaethylporphyrin (OEP; 7) for him on the kilogram scale; this industrial-size gift fed a post-Fischer renaissance in porphyrin chemistry that lasts even to this day. As the choice model porphyrin for future development of porphyrin science, OEP was far more soluble in organic solvents than unsubstituted porphyrin (8) and even more than octamethylporphyrin (9); it also appeared more “relevant” to natural systems than was meso-tetraphenylporphyrin (10) (Figure 2). During a visit to Braunschweig, one of the present authors (KMS) benefited from a gift of no less than 20 g of Pommer’s OEP [7]. After one of his 1960–1961 visits to mainland Europe, Kenner returned to Liverpool with a gift: a heavy brown glass bottle labeled “Phaeophytin puriss. 300 grm.” (Figure 3). It is unknown, to the authors at least, if this gift was also another indirect donation to science by Dr. Pommer. His kilograms of OEP were going to keep Inhoffen and his talented senior collaborators in Braunschweig (alphabetically, H. Brockmann, Jr.; J-H. Fuhrhop, A. Gossauer, and H. Scheer) busy for some time into the future, making many new discoveries around and about porphyrin and porphyrinoid chemistry. The pheophytin gift helped the Liverpool group to spread into the chlorophyll research area.
Figure 2.
Structures of porphyrins (7–10) and pheophytins-a and -b.
Figure 3.
Gift bottle containing “Phaeophytin puriss. 300 grm.” (ca. 1961).
Pheophytins are an approximately 3:1 mixture of magnesium-free chlorophyll-a (11) and -b (12). In Liverpool, work with the pheophytins resulted in some new, or at least improved, methods for degradation of the chlorophyll chromophore to give pheophorbides, chlorins, rhodins, purpurins, and other exotically named molecules [8]. However, there was a problem. As mentioned above, the pheophytins are a mixture of the -a and -b series, and these needed to be separated to be useful. In those pre-HPLC days, the two series of pigments were usually separated using sucrose gravity column chromatography; the Robert Robinson Laboratories at the University of Liverpool often smelled of caramel for weeks on end due to the uncontrolled drying of kilograms of sucrose on trays in glassware rack ovens. Progress in those days was slow, but improvement was realized when we developed a convenient multi-gram-scale method for separation of the (magnesium-free) -a and -b series chlorophyll derivatives using the “Girard T” reagent. The -a/-b mixture was treated with an excess of Girard’s T reagent in acetic acid/chloroform/methanol to give the unreacted -a component and the quaternary ammonium salt Girard adduct at the -b series aldehyde group. Chromatography of this mixture on deactivated neutral alumina gave a fast first band of pure -a series pigment, the Girard salt adduct being firmly stuck to the alumina at the top of the chromatography column. Dramatic increase in the polarity of the solvent eluted the Girard b-series adduct, which could be converted into pure -b series pigment by treatment with methanol and sulfuric acid. This separation procedure was performed many times on pheophytins (11/12) at and above the 2.5 g scale, eventually resulting in pure samples of methyl pheophorbide-a and -b [8].
Then, we discovered the existence of Spirulina alga, which Wasielewski and Svec [9] had been using as a source of pure chlorophyll-a pigment—and only chlorophyll-a! From UC Davis we purchased oil-barrel-sized quantities of Spirulina maxima cheaply from Sosa Texcoco in Mexico. After a while, since Spirulina is also a regulated health food, our drums of alga (which were spray-dried on sand in Mexico) were increasingly rejected by the US customs at the border in Laredo, Texas, (and in San Diego, CA, which our supplier tried as a work-around); the drums contained dead mosquitoes and bird droppings admixed with the Spirulina. US customs did not respond to our claims that we did not want to eat it. Therefore, we switched to Cyanotech in Hawaii for our alga (Spirulina pacifica), and in no time it began arriving via United Airlines and our supplies of chlorin-e6 began to build [10]. Currently, there are multiple suppliers of Spirulina worldwide.
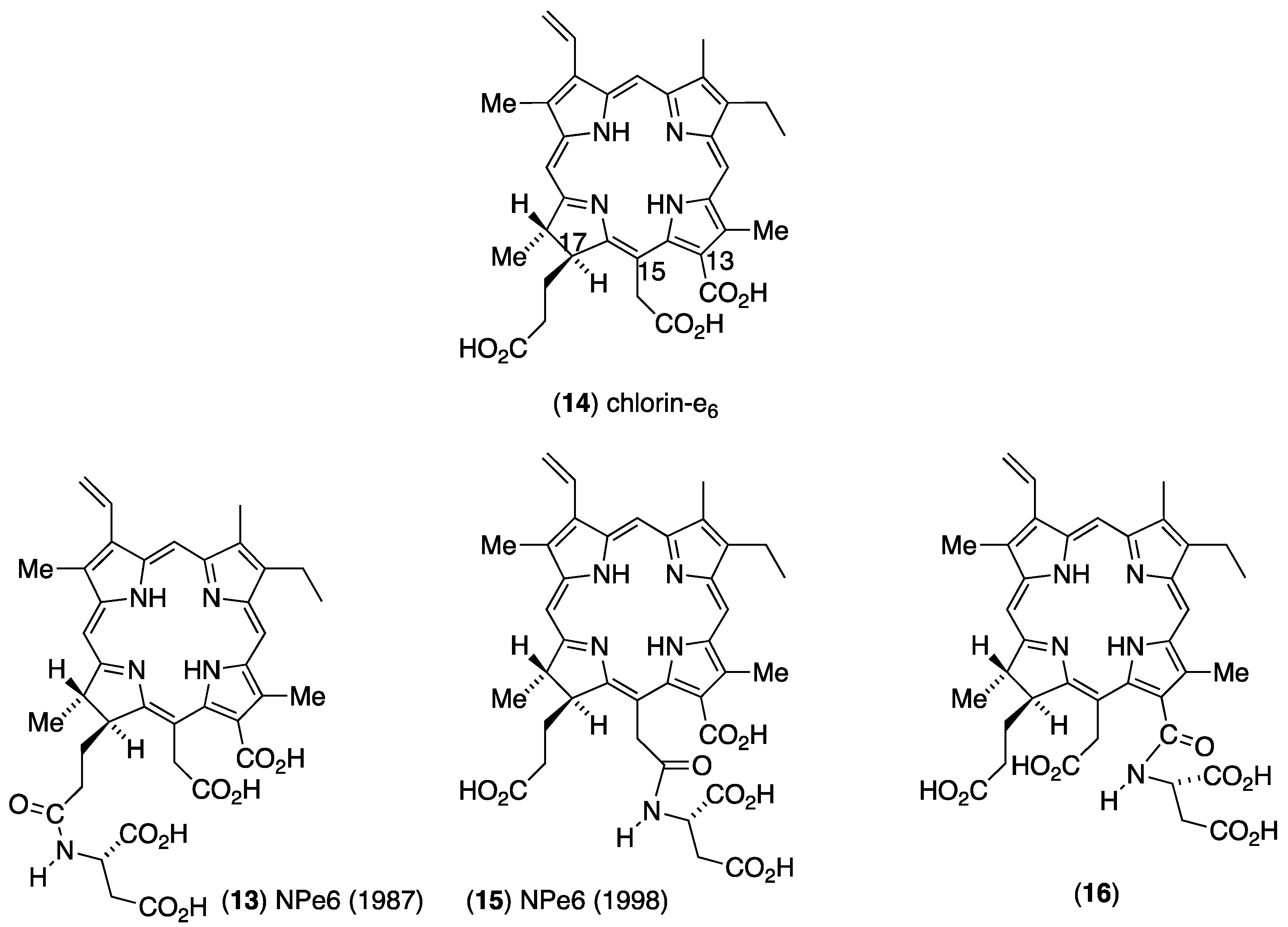
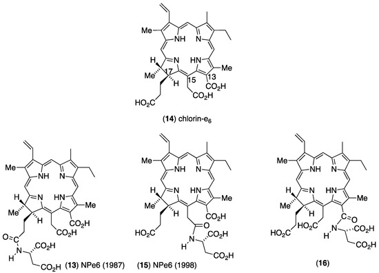
Chlorin-e6 (14) itself was shown [11] to be an ineffective photosensitizer for photodynamic therapy, and for this reason its conjugates were investigated (Figure 4). In 1987, a patent was issued to a Utah company named Porphyrin Products for the use of N-aspartylchlorin-e6 (NPe6, Talaporfin, LS-11, Laserphyrin®) in photodynamic therapy [12]. The assigned structure for NPe6 at the time was (13), with the aspartyl group attached to the 173-carbonyl; it was prepared by treatment of chlorin-e6 (14) with aspartic acid, an organic base, and a peptide coupling reagent. The aspartyl residue on the isomerically pure NPe6 product was assigned to the (presumably more reactive) propionic acid side chain. Later, in 1998, the structure of NPe6 was revised to (15) [13] (see Section 3).
Figure 4.
Structures of chlorin-e6 (14) and the three possible regioisomers (13, 15, 16) for NPe6.
Given the non-regioselective commercial synthesis of NPe6, there are nominally three possible regioisomers (13, 15, and 16), that can be formed in the conjugation process (Figure 4). This is because chlorin-e6 (14) has three carboxylic acid groups, at positions 131 (formic), 152 (acetic), and 173 (propionic), each with presumably different reactivities. We therefore began to focus on the use of chlorin-e6 conjugates as photosensitizers for the treatment of tumors. Chlorin-e6 (14) is a bright grass-green-colored pigment in dichloromethane solution, with an intense long-wavelength absorption maximum at 660 nm; this long-wavelength absorption facilitates photodynamic treatment of larger tumors because low-energy light travels deeper into tissue than does the easily scattered high-energy light required, for example, by the hematoporphyrin mixture Photofrin®.
2. Photodynamic Therapy Using NPe6
Photodynamic therapy (PDT) is a type of phototherapy that combines a photosensitizer, laser light, and oxygen to selectively destroy targeted cells and tissues [14,15,16]. The activation of the photosensitizer with light produces singlet oxygen and reactive oxygen species (ROS) that cause oxidative damage to cell components such as lipids and proteins, leading to cell death by multiple mechanisms [17]. Additional PDT effects include the shutting down of tumor blood vessels and stimulation of the immune system that leads to anti-tumor immune responses. PDT has advantages over other therapies in that it is minimally invasive, highly localized to light-activated and photosensitizer-containing cells, requires short treatment times, and allows for multiple treatments to be administered with limited adverse long-term side effects to the patient.
Since the approval of Photofrin® as a photosensitizer for PDT by various health organizations around the world, a considerable amount of research has focused on the development of other porphyrin-based drugs with stronger absorbance in the red region of the visible spectrum, where light penetrates deeper through human tissues, and with enhanced tumor-selectivity compared with the first-generation Photofrin® sensitizer. One such compound, NPe6 (15), is a second-generation photosensitizer with an intense absorption at 664 nm, with the ability to produce singlet oxygen at high-quantum yield, and faster clearance from skin compared with Photofrin® (the plasma half-life of Talaporfin is about half that of Photofrin®). Although chlorin-e6 (14) also has the ability to preferentially accumulate in tumor tissue, mainly due to the enhanced permeability and retention (EPR) effect, its aspartic acid derivative (15), showed increased selectivity for tumor tissues and enhanced phototoxicity, with rapid clearance from normal tissues in pre-clinical trials [18]. This is in part due to its increased affinity towards lipoproteins and endogenous amino acid receptors compared with chlorin-e6.
NPe6 was further investigated in pre-clinical trials in the 1980s and 1990s [19,20,21,22]. It was shown that NPe6 binds to albumin and low- and high-density lipoproteins (HDL, LDL), is taken up by tumor cells through endocytosis, accumulates mainly in the lysosomes, and was shown to induce apoptosis, necrosis, and autophagy-associated cell death after light irradiation [23,24,25,26]. Currently, NPe6 has been approved in Japan for the treatment of early and advanced lung cancers [27,28], esophageal cancer [29,30], and intracranial brain tumors [31,32].
In addition to cancer treatment, PDT is also used for the treatment of a variety of infectious diseases caused by bacteria and viruses due to its activity against a wide range of microorganisms, including Gram-positive and Gram-negative bacteria [33]. One advantage of antimicrobial PDT versus antibiotic therapies is the lack of resistance to singlet oxygen, the main cytotoxic agent in PDT. The release of singlet oxygen leads to membrane and DNA damage that leads to the death of the pathogen. Among the photosensitizers investigated in antimicrobial PDT, positively charged chlorin-e6 derivatives have shown activity against multiple pathogenic bacteria and fungi due to their more efficient binding to their negatively charged outer membranes.
3. Structure Elucidation of NPe6
The revelation of Gomi et al. [13] in 1998 that NPe6 was in fact the 152-aspartyl conjugate (15) of chlorin-e6 (14) failed to gather much support; indeed, it was largely ignored. The manufacturer/distributor continued to use the 173-conjugate structure (13) in its literature and on its sample labels. Some clinicians questioned, at conferences, whether the structure they were using in their publications was correct. Gomi et al. [13] used NMR spectroscopy and some chemical degradation studies to settle upon their proposed structure (15). To some it seemed that aspartyl conjugation at a sterically congested 15-side chain was far less likely than at the rotation-free uncongested 173-position, and presumably found structure (15) hard to believe.
These uncertainties and personal requests caused us to obtain an authentic sample of NPe6 from the distributor, prepare the tetramethyl ester using diazomethane, and then attempt to obtain crystals suitable for single-crystal X-ray diffraction. After many months and some hundreds of individual crystallization experiments, nothing of use materialized. We were then forced to establish a synthetic program to settle the matter. It was decided to unambiguously synthesize all three (if necessary) possible NPe6 regioisomers (13, 15, 16) and then, as tetramethyl esters, compare them with an authentic sample from the manufacturer.
3.1. Unambiguous Partial Synthesis of 173-Aspartylchlorin-e6 (13)
Pheophytin-a (11) was extracted from Spirulina maxima alga using the published methodology [11]. Brief treatment with TFA/H2O at 0 °C cleaved the phytyl ester to give pheophorbide-a (17) (Scheme 1) [34]. Conjugation with L-aspartic acid dimethyl ester in the presence of HBTU and NEt3 gave 173-aspartylpheophorbide-a (18), which was subjected to isocyclic ring-cleavage in methoxide/methanol [8] to give (13) as its tetramethyl ester (19). As a precaution against accidental hydrolyses during the methoxide treatment, the product was treated with excess diazomethane before crystallization.
Scheme 1.
Synthesis of 173-aspartylchlorin-e6 tetramethyl ester (19).
Proton NMR spectroscopy (Figure 5) showed that the spectrum of synthetic tetramethyl ester (19) was significantly different from that of an authentic sample of NPe6 after treatment with diazomethane to convert it into its tetramethyl ester.
Figure 5.
Proton NMR spectra (360 MHz, 3.2–4.2 ppm region, in CDCl3) of (A) 173-aspartylchlorin-e6 tetramethyl ester (19), (B) authentic NPe6 tetramethyl ester (152 regioisomer, (23)), and (C) 131-aspartylchlorin-e6 tetramethyl ester (22). The signals at ~4.2 ppm in (A,B) correspond to the methyl ester of the 131 substituent.
3.2. Unambiguous Partial Synthesis of 131-Aspartylchlorin-e6 (16)
Once again, Spirulina maxima alga was extracted to yield pheophorbide-a (17); this was treated with methoxide in methanol, followed by diazomethane to give chlorin-e6 trimethyl ester (20), which was thoroughly purified via column chromatography before being hydrolyzed to chlorin-e6 (14) using potassium hydroxide in tetrahydrofuran [34]. At this point, we employed an observation we made in Liverpool in 1974 [35]; if chlorin-e6 (14) is esterified under acidic conditions (5% H2SO4/MeOH), esterification of the nuclear carboxylic acid at position-13 is selectively inhibited due to protonation of the two imine-type nitrogen atoms of the chlorin macrocycle [36]. In this way, a 95% yield of the chlorin-e6 dimethyl ester monocarboxylic acid (21) was obtained from this partial esterification procedure (Scheme 2). Treatment of (21) with L-aspartic acid dimethyl ester in the presence of HBTU and NEt3 afforded the 131-aspartyl conjugate (22) as its tetramethyl ester. Once again, proton NMR spectroscopy of the tetramethyl esters (Figure 5) revealed that authentic NPe6 tetramethyl ester was not identical with the tetramethyl ester of the 131-regioisomer. NPe6 therefore had to be (15) as proposed by Gomi et al. [13]. No sooner had we confirmed the structure of NPe6 as (15) to our own satisfaction, and only then, did crystals begin to appear in our X-ray sample tubes!
Scheme 2.
Synthesis of 131-aspartylchlorin-e6 tetramethyl ester (22).
3.3. X-ray Crystal Structure of Authentic NPe6 Tetramethyl Ester (23)
Figure 6 shows the X-ray structure of authentic NPe6 tetramethyl ester (23) [34]. As proposed by Gomi et al. [13], the structure of NPe6 was definitively established as 152-mono-L-aspartylchlorin-e6 (15).
Figure 6.
X-ray structure of authentic NPe6 tetramethyl ester (23).
With the knowledge that the aspartyl residue is indeed conjugated to the 152-position, the question next raised was “Why?” This regiochemistry was not expected and there was some disbelief even on the part of the manufacturer/distributor when the 152-conjugate structure was proposed. Once one knows with certainty the identity of the product, deducing why this is so becomes significantly easier.
3.4. An Anhydride Intermediate (24) in the Formation of NPe6
The most likely explanation for the formation of the 152-conjugate seemed to be that an anhydride (24) was formed between the chorin-e6 152 and 131 carboxylic acid groups [34]. This was more likely than a larger ring anhydride (25) between the 173 and 152 acids (Scheme 3). The aspartic acid nitrogen atom would then undergo nucleophilic attack upon the aliphatic side of the anhydride (24) to produce the 152 conjugate (15). To investigate this possibility, chlorin-e6 was treated with the DCC coupling reagent and DMAP, but in the absence of aspartic acid. The color of the solution turned from green to purple. We were not unaware of the fact that Hans Fischer [3] named certain anhydride derivatives of chlorophylls as “purpurins” because they are indeed purple in color! The purple material was isolated, treated with diazomethane, and crystallized to give the methyl ester (26). It was then investigated using single-crystal X-ray diffraction. The structure is shown in Figure 7, and the intermediacy of the anhydride in these conjugation reactions was firmly established [37].
Scheme 3.
Proposed pathway for synthesis of NPe6 (15) via the anhydride (24).
Figure 7.
X-ray structure of anhydride methyl ester (26).
3.5. The Coup de Grace—Synthesis of NPe6 Tetramethyl Ester (23) from the Anhydride (26)
A final task was to stablish that the anhydride (24) did indeed react to give a 152-conjugate (15) when treated with aspartic acid. Thus, anhydride methyl ester (26) was treated with aspartic acid dimethyl ester and DMAP, smoothly giving a product identical with authentic NPe6 tetramethyl ester (23) [37]. These results clearly established that the pathway from chlorin-e6 (14) to give the unexpected regioisomer (15) involved the intermediacy of the anhydride (24).
Reactions of (26) with a wide variety of nucleophiles (ethoxide, propylamine, isopropylamine, ethanolamine, p-tolylthiolate, phenoxide, isobutoxide, and benzyloxide) all yielded the 152-conjugates, with several of these structures (e.g., Figure 8) being confirmed by single-crystal X-ray structures [37]. In all these reactions, a clear color change from green (chlorin-e6) to purple (anhydride) upon addition of peptide coupling reagent and base, and then back to green (chlorin-e6) after the addition of nucleophile, was observed; reaction progress could simply by tracked using the naked eye.
Figure 8.
X-ray structure of 152-propylamide (27).
4. Phototoxicity of NPe6 Amino Acid Conjugates
Using the strategies described above for the synthesis of 173-, 152-, and 131-aspartylchlorin-e6, several amino acid conjugates of chlorin-e6 were investigated for their cytotoxicity, cellular uptake, and intracellular distribution using human HEp2 cells [36,38]. The dark- and photo-toxicity of these derivatives are shown in Table 1. Interestingly, the phototoxicity depends significantly on the position of conjugation on chlorin-e6, rather than the nature of the amino acid or the presence of a centrally chelated Pd(II) ion, with the 131-derivatives being the most phototoxic. This might be due to the different molecular conformations conferred by the 173-, 152-, or 131-substitutions [36]. Indeed, it was shown that the 173-derivatives assume a L-shape conformation with the 173-amino acid positioned nearly perpendicular to the macrocyclic plane, whereas the 152-amino acid forms approximately a 120° angle and the 131-amino acid nearly a 180° angle with the macrocyclic plane. The extended, and in the case of the 131-derivatives, almost linear conformations of the amino acid chlorin-e6 conjugates likely favors binding to biomolecules, enhancing their phototoxic effect. In agreement with these results, a 131-cystein derivative of chlorin-e6 was reported to display higher phototoxicity compared with its 152-regioisomer [39]. More recently, the 31-hexyloxy derivatives of 152-lysylchlorin-e6 and 131-aspartylchlorin-e6 were shown to be more potent than NPe6 against B16/F10 tumors in C57BL/6 mice [40].
Table 1.
Dark- and photo- (1 J/cm2) cytotoxicity of amino acid conjugates of chlorin-e6 in Hep2 cells.
Among the amino acid derivatives of chlorin-e6, the positively charged lysine derivatives were observed to be more efficiently internalized by cells, due to their favorable interactions with the negatively charged plasma membranes. A 173-arginine chlorin-e6 derivative was shown to have significantly higher phototoxicity toward K562 myeloid leukemia cells at low light doses compared with chlorin-e6 [41]. All amino acid derivatives of chlorin-e6 were also found to localize preferentially in the lysosomes and the ER, and to a smaller extent in the Golgi apparatus and mitochondria [36].
5. Conclusions
Photodynamic therapy is a is minimally invasive modality used worldwide for the treatment of cancers and various other diseases, including antibiotic-resistant microbial infections. It uses a photosensitizing drug, which upon activation with laser light produces singlet oxygen and ROS that destroy targeted cells. NPe6, also known as Talaporfin, LS-11, and Laserphyrin, is a second-generation photosensitizer currently approved in Japan for the photodynamic treatment of lung, esophageal, and brain cancers, including glioblastomas. In the 1980s, 1990s, and early 2000s, the structure of NPe6 was mis-represented as the 173-aspartylchlorin-e6 derivative (13). However, the systematic synthetic availability of all possible regioisomers of NPe6 (13, 15, 16), their NMR structural characterization, and, finally, an X-ray crystal analysis of an authentic derivative, unequivocally confirmed the structure of NPe6 as compound (15). Several amino acid conjugates of chlorin-e6 were then synthesized and evaluated for their photodynamic properties; these studies revealed that the 131-aspartylchlorin-e6 is more phototoxic than its 152- and 173-regioisomers, respectively, and displays a higher dark- to phototoxicity ratio (>460). This might be due to the nearly linear molecular conformation of the 131-compound, where the aspartic acid chain extends away from the macrocyclic ring; in the case of the 152- and 173-compounds, the amino acid forms approximate 120° and 90° angles, respectively, with the macrocycle. The almost linear molecular geometry of the 131-aspartylchlorin-e6 derivative likely favors its binding to multiple cellular components, enhancing its phototoxic effect compared to its 152- and 173-regioisomers.
Author Contributions
Conceptualization, M.d.G.H.V. and K.M.S.; methodology, M.d.G.H.V. and K.M.S.; formal analysis, M.d.G.H.V. and K.M.S.; investigation, M.d.G.H.V. and K.M.S.; resources, M.d.G.H.V. and K.M.S.; writing—original draft preparation, M.d.G.H.V. and K.M.S.; writing—review and editing, M.d.G.H.V. and K.M.S.; visualization, M.d.G.H.V. and K.M.S.; supervision, K.M.S.; project administration, M.d.G.H.V. and K.M.S.; funding acquisition, M.d.G.H.V. and K.M.S. All authors have read and agreed to the published version of the manuscript.
Funding
This research was funded by the National Science Foundation, grant number CHE-2055190.
Institutional Review Board Statement
Not applicable.
Informed Consent Statement
Not applicable.
Data Availability Statement
Not applicable.
Acknowledgments
The authors are grateful to their students who have worked over the years on this project in the Universities of Liverpool and California (Davis) and in Louisiana State University.
Conflicts of Interest
The authors declare no conflict of interest. The funders had no role in the design of the study; in the collection, analyses, or interpretation of data; in the writing of the manuscript; or in the decision to publish the results.
Sample Availability
Not applicable.
References
- Fischer, H.; Orth, H. Die Chemie des Pyrrols; Akademische Verlagsgesellschaft: Leipzig, Germany, 1934; Volume I. [Google Scholar]
- Fischer, H.; Orth, H. Die Chemie des Pyrrols; Akademische Verlagsgesellschaft: Leipzig, Germany, 1937; Volume II, Part i. [Google Scholar]
- Fischer, H.; Stern, A. Die Chemie des Pyrrols; Akademische Verlagsgesellschaft: Leipzig, Germany, 1940; Volume II, Part ii. [Google Scholar]
- Jackson, A.H.; Kenner, G.W.; Sach, G.S. Stepwise synthesis of porphyrins through a-oxobilanes. J. Chem. Soc. C 1967, 2045–2059. [Google Scholar] [CrossRef]
- Jackson, A.H.; Kenner, G.W.; McGillivray, G.; Smith, K.M. Porphyrin syntheses through b-oxobilanes and oxophlorins (oxyporphyrins). J. Chem. Soc. C 1968, 294–302. [Google Scholar] [CrossRef]
- Jackson, A.H.; Kenner, G.W.; Smith, K.M. Porphyrin syntheses through b-bilenes. J. Chem. Soc. C 1971, 502–509. [Google Scholar] [CrossRef]
- Smith, K.M. Development of porphyrin syntheses. New J. Chem. 2016, 40, 5647. [Google Scholar] [CrossRef]
- Kenner, G.W.; McCombie, S.W.; Smith, K.M. Separation and oxidative degradation of chlorophyll derivatives. J. Chem. Soc. Perkin Trans. 1 1973, 2517–2523. [Google Scholar] [CrossRef] [PubMed]
- Wasielewski, M.R.; Svec, W.A. Syntheses of covalently linked dimeric derivatives of chlorophyll a, pyrochlorophyll a, chlorophyll b, and bacteriochlorophyll a. J. Org. Chem. 1980, 45, 1969–1974. [Google Scholar] [CrossRef]
- Smith, K.M.; Goff, D.A.; Simpson, D.J. Meso-substitution of chlorophyll derivatives: Direct route for transformation of bacteriopheophorbides-d into bacteriopheophorbides-c. J. Am. Chem. Soc. 1985, 107, 4946–4954. [Google Scholar] [CrossRef]
- Oseroff, A.R.; Ohuoha, D.; Hasan, T.; Bommer, J.C.; Yarmush, M.L. Antibody-targeted photolysis: Selective photodestruction of human T-cell leukemia cells using monoclonal antibody-chlorine6 conjugates. Proc. Natl. Acad. Sci. USA 1986, 83, 8744–8748. [Google Scholar] [CrossRef]
- Bommer, J.C.; Ogden, B.F. Tetrapyrrole Therapeutic Agents. U.S. Patent 4,693,885, 23 June 1987. [Google Scholar]
- Gomi, S.; Nishizuka, T.; Ushiroda, O.; Ushida, N.; Takahashi, H.; Sumi, S. The structure of mono-L-aspartyl chlorin e6 and its related compounds. Heterocycles 1998, 48, 2231–2243. [Google Scholar] [CrossRef]
- Dougherty, T.J.; Gomer, C.J.; Henderson, B.W.; Jori, G.; Kessel, D.; Korbelik, M.; Moan, J.; Peng, Q. Photodynamic therapy. J. Natl. Cancer Inst. 1998, 90, 889–905. [Google Scholar] [CrossRef]
- Dolmans, D.E.; Fukumura, D.; Jain, R.K. Photodynamic therapy for cancer. Nat. Rev. Cancer 2003, 3, 380–387. [Google Scholar] [CrossRef] [PubMed]
- Ethirajan, M.; Chen, Y.; Joshi, P.; Pandey, R.K. The role of porphyrin chemistry in tumor imaging and photodynamic therapy. Chem. Soc. Rev. 2011, 40, 340–362. [Google Scholar] [CrossRef] [PubMed]
- Kessel, D.; Reiners, J.J. Photodynamic therapy: Autophagy and mitophagy, apoptosis and paraptosis. Autophagy 2020, 16, 2098–2101. [Google Scholar] [CrossRef] [PubMed]
- Spikes, J.; Bommer, J. Photosensitizing properties of mono-L-aspartyl chlorin e6 (NPe6): A candidate sensitizer for the photodynamic therapy of tumors. J. Photochem. Photobiol. B 1993, 17, 135–143. [Google Scholar] [CrossRef] [PubMed]
- Nelson, J.S.; Roberts, W.G.; Berns, M.W. In vivo studies on the utilization of mono-L-aspartyl chlorin (NPe6) for photodynamic therapy. Cancer Res. 1987, 47, 4681–4685. [Google Scholar]
- Aizawa, K.; Okunaka, T.; Ohtani, T.; Kawabe, H.; Yasunaka, Y.; O’Hata, S.; Saito, T. Localization of mono-L-aspartyl chlorin e6 (NPe6) in mouse tissue. Photochem. Photobiol. 1987, 46, 789–793. [Google Scholar] [CrossRef]
- Ferrario, A.; Kessel, D.; Gomer, C.J. Metabolic properties and photosensitizing responsiveness of mono-L-aspartyl-chlorin-e6 in a mouse tumor model. Cancer Res. 1992, 52, 2890–2893. [Google Scholar]
- Kessel, D. Pharmacokinetics of N-aspartyl chlorin e6 in cancer patients. J. Photochem. Photobiol. B Biol. 1997, 39, 81–83. [Google Scholar] [CrossRef]
- Sheyhedin, L.; Aizawa, K.; Araake, M.; Kumasaka, H.; Okunaka, T.; Kato, H. The effects of serum on cellular uptake and phototoxicity of mono-L-aspartyl chlorin e6 (NPe6) in vitro. Photochem. Photobiol. 1998, 68, 110–114. [Google Scholar] [CrossRef]
- Kanda, T.; Sugihara, T.; Takata, T.; Mae, Y.; Kinoshita, H.; Sakaguchi, T.; Hasegawa, T.; Kurumi, H.; Ikebuchi, Y.; Murakami, T.; et al. Low-density lipoprotein receptor expression is involved in the beneficial effect of photodynamic therapy using talaporfin sodium on gastric cancer cells. Oncol. Lett. 2019, 17, 3261–3266. [Google Scholar] [CrossRef]
- Saito, T.; Tsukahara, T.; Kubo, T.; Kanaseki, T.; Hirohashi, Y.; Torigoe, T.; Li, L. Elucidation of intracellular uptake and degradation mechanism of photosensitizer talaporfin. Mol. Cryst. Liq. Cryst. 2020, 707, 81–87. [Google Scholar] [CrossRef]
- Sasaki, M.; Tanaka, M.; Kojima, Y.; Nishie, H.; Shimura, T.; Kubota, E.; Kataoka, H. Anti-tumor immunity enhancement by photodynamic therapy with talaporfin sodium and anti-programmed death 1 antibody. Mol. Ther. Oncolytics 2023, 28, 118–131. [Google Scholar] [CrossRef] [PubMed]
- Kimura, M.; Miyajima, K.; Kojika, M.; Kono, T.; Kato, H. Photodynamic Therapy (PDT) with Chemotherapy for Advanced Lung Cancer with Airway Stenosis. Int. J. Mol. Sci. 2015, 16, 25466–25475. [Google Scholar] [CrossRef] [PubMed]
- Tsuchida, T.; Matsumoto, Y.; Imabayashi, T.; Uchimura, K.; Sasada, S. Photodynamic therapy can be safely performed with Talaporfin sodium as a day treatment for central-type early-stage lung cancer. Photodiagnosis Photodyn. Ther. 2022, 38, 102836. [Google Scholar] [CrossRef] [PubMed]
- Yano, T.; Kasai, H.; Horimatsu, T.; Yoshimura, K.; Teramukai, S.; Morita, S.; Tada, H.; Yamamoto, Y.; Kataoka, H.; Kakushima, N.; et al. A multicenter phase II study of salvage photodynamic therapy using talaporfin sodium (ME2906) and a diode laser (PNL6405EPG) for local failure after chemoradiotherapy or radiotherapy for esophageal cancer. Oncotarget 2017, 8, 22135–22144. [Google Scholar] [CrossRef]
- Inoue, T.; Ishihara, R. Photodynamic therapy for esophageal cancer. Clin. Endosc. 2021, 54, 494–498. [Google Scholar] [CrossRef]
- Akimoto, J. Photodynamic therapy for malignant brain tumors. Neurol. Med. Chir. (Tokyo) 2016, 56, 151–157. [Google Scholar] [CrossRef]
- Muragaki, Y.; Akimoto, J.; Maruyama, T.; Iseki, H.; Ikuta, S.; Nitta, M.; Maebayashi, K.; Saito, T.; Okada, Y.; Kaneko, S.; et al. Phase II clinical study on intraoperative photodynamic therapy with talaporfin sodium and semiconductor laser in patients with malignant brain tumors. J. Neurosurg. 2013, 119, 845–852. [Google Scholar] [CrossRef]
- Suvorov, N.; Pogorilyy, V.; Diachkova, E.; Vasil’ev, Y.; Mironov, A.; Grin, M. Derivatives of natural chlorophylls as agents for antimicrobial photodynamic therapy. Int. J. Mol. Sci. 2021, 22, 6392. [Google Scholar] [CrossRef]
- Hargus, J.A.; Fronczek, F.R.; Vicente, M.G.H.; Smith, K.M. Mono-(L)-aspartylchlorin-e6. Photochem. Photobiol. 2007, 83, 1006–1015. [Google Scholar] [CrossRef]
- Cox, M.T.; Jackson, A.H.; Kenner, G.W.; McCombie, S.W.; Smith, K.M. Vinylporphyrin b-ketoesters. J. Chem. Soc. Perkin Trans. 1 1974, 516–527. [Google Scholar] [CrossRef]
- Jinadasa, R.G.W.; Hu, X.; Vicente, M.G.H.; Smith, K.M. Syntheses and cellular investigations of 173-, 152-, and 131-amino acid derivatives of chlorin e6. J. Med. Chem. 2011, 54, 7464–7476. [Google Scholar] [CrossRef] [PubMed]
- Chen, H.; Jinadasa, R.G.W.; Jiao, L.; Fronczek, F.R.; Nguyen, A.L.; Smith, K.M. Chlorin-e6 131:152-anhydride: A key intermediate in conjugation reactions of chlorin-e6. Eur. J. Org. Chem. 2015, 2015, 3661–3665. [Google Scholar] [CrossRef] [PubMed]
- Chen, H.; Humble, S.W.; Jinadasa, R.G.W.; Zhou, Z.; Nguyen, A.L.; Vicente, M.G.H.; Smith, K.M. Syntheses and PDT activity of new mono- and di-conjugated derivatives of chlorin e6. J. Porphyr. Phthalocyanines 2017, 21, 354–363. [Google Scholar] [CrossRef] [PubMed]
- Guo, X.; Wang, L.; Wang, S.; Li, Y.; Zhang, F.; Song, B.; Zhao, W. Syntheses of new chlorin derivatives containing maleimide functional group and their photodynamic activity evaluation. Bioorg. Med. Chem. Lett. 2015, 25, 4078–4081. [Google Scholar] [CrossRef]
- Zhang, X.-J.; Han, G.-Y.; Guo, C.-Y.; Ma, Z.-Q.; Lin, M.-Y.; Wang, Y.; Miao, Z.-Y.; Zhang, W.-N.; Sheng, C.-Q.; Yao, J.-Z. Design, synthesis, and biological evaluation of novel 31-hexyloxychlorin-e6 based 152- or 131-amino acid derivatives as potent photosensitizers for photodynamic therapy. Eur. J. Med. Chem. 2020, 207, 112715. [Google Scholar] [CrossRef]
- Kustov, A.V.; Morshnev, P.K.; Kukushkina, N.V.; Smirnova, N.L.; Berezin, D.B.; Karimov, D.R.; Shukhto, O.V.; Kustova, T.V.; Belykh, D.V.; Mal’shakova, M.V.; et al. Solvation, cancer cell photoinactivation and the interaction of chlorin photosensitizers with a potential passive carrier non-ionic surfactant Tween 80. Int. J. Mol. Sci. 2022, 23, 5294. [Google Scholar] [CrossRef]
Disclaimer/Publisher’s Note: The statements, opinions and data contained in all publications are solely those of the individual author(s) and contributor(s) and not of MDPI and/or the editor(s). MDPI and/or the editor(s) disclaim responsibility for any injury to people or property resulting from any ideas, methods, instructions or products referred to in the content. |
© 2023 by the authors. Licensee MDPI, Basel, Switzerland. This article is an open access article distributed under the terms and conditions of the Creative Commons Attribution (CC BY) license (https://creativecommons.org/licenses/by/4.0/).










