Dehydroborylation of Terminal Alkynes Using Lithium Aminoborohydrides
Abstract
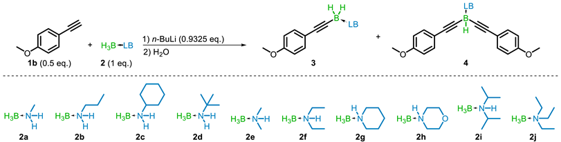
1. Introduction
2. Results and Discussion
3. Materials and Methods
3.1. General Information
3.2. Experimental
3.2.1. General Procedure for the Salt Metathesis Synthesis of Amines-Boranes
3.2.2. General Procedure for the Bicarbonate-Mediated Synthesis of Amines-Boranes
3.2.3. Characterization of Amines-Boranes
- Methylamine-borane (2a): The compound was prepared as described in the salt metathesis procedure and obtained as a white solid (mass = 0.61 g, 68% yield). 1H NMR (300 MHz, CDCl3) δ 3.78 (s, 2H), 2.55 (t, J = 6.3 Hz, 3H), 1.49 (dd, J = 189.1, 92.0 Hz, 3H). 13C NMR (75 MHz, CDCl3) δ 34.6. 11B NMR (96 MHz, CDCl3) δ −18.78 (q, J = 95.1 Hz). Compound characterization is in agreement with previous reports for this compound [15].
- Propylamine-borane (2b): The compound was prepared as described in the bicarbonate-mediated procedure and obtained as a white solid (mass = 1.38 g, 95% yield). 1H NMR (300 MHz, CDCl3) δ 3.81 (s, 2H), 2.75 (p, J = 7.2 Hz, 2H), 1.63 (h, J = 7.4 Hz, 2H), 0.93 (t, J = 7.4 Hz, 3H). 13C NMR (75 MHz, CDCl3) δ 50.4, 22.4, 11.0. 11B NMR (96 MHz, CDCl3) δ −19.84 (q, J = 92.0 Hz). Compound characterization is in agreement with previous reports for this compound [21].
- Cyclohexylamine-borane (2c): The compound was prepared as described in the bicarbonate-mediated procedure and obtained as a white solid (mass = 2.19 g, 97% yield). 1H NMR (300 MHz, CDCl3) δ 3.64 (s, 2H), 2.68 (dqt, J = 14.1, 7.6, 4.0 Hz, 1H), 2.13 (d, J = 10.4 Hz, 2H), 1.80–1.70 (m, 2H), 1.67–1.56 (m, 1H), 1.37–1.07 (m, 5H). 13C NMR (75 MHz, CDCl3) δ 57.0, 32.3, 25.3, 24.5. 11B NMR (96 MHz, CDCl3) δ −0.71–−41.09 (m). Compound characterization is in agreement with previous reports for this compound [21].
- t-Butylamine-borane (2d): The compound was prepared as described in the bicarbonate-mediated procedure and obtained as a white solid (mass = 1.65 g, 95% yield). 1H NMR (300 MHz, CDCl3) δ 3.76 (s, 2H), 1.27 (s, 9H). 13C NMR (75 MHz, CDCl3) δ 53.1, 28.0. 11B NMR (96 MHz, CDCl3) δ −23.25 (q, J = 96.7 Hz). Compound characterization is in agreement with previous reports for this compound [21].
- Dimethylamine-borane (2e): The compound was prepared as described in the salt metathesis procedure and obtained as a white solid (mass = 1.07 g, 91% yield). 1H NMR (300 MHz, CDCl3) δ 4.31 (s, 1H), 2.46 (d, J = 5.8 Hz, 6H), 1.43 (dd, J = 188.2, 91.9 Hz, 3H). 13C NMR (75 MHz, CDCl3) δ 44.2. 11B NMR (96 MHz, CDCl3) δ −14.76 (q, J = 96.7 Hz). Compound characterization is in agreement with previous reports for this compound [15].
- Diethylamine-borane (2f): The compound was prepared as described in the bicarbonate-mediated procedure and obtained as a white solid (mass = 1.65 g, 95% yield). 1H NMR (300 MHz, CDCl3) δ 3.20 (s, 1H), 2.83 (dqt, J = 9.7, 7.3, 3.8 Hz, 4H), 1.25 (t, J = 7.3 Hz, 6H). 13C NMR (75 MHz, CDCl3) δ 48.5, 11.3. 11B NMR (96 MHz, CDCl3) δ −17.07 (q, J = 96.7 Hz). Compound characterization is in agreement with previous reports for this compound [21].
- Piperidine-borane (2g): The compound was prepared as described in the bicarbonate-mediated procedure and obtained as a white solid (mass = 1.96 g, 99% yield). 1H NMR (300 MHz, CDCl3) δ 3.75 (s, 1H), 3.22 (d, J = 13.4 Hz, 2H), 2.59–2.36 (m, 2H), 1.75 (d, J = 10.1 Hz, 3H), 1.51 (ddt, J = 27.9, 14.2, 3.6 Hz, 2H), 1.32 (tdd, J = 16.3, 8.7, 4.6 Hz, 1H). 13C NMR (75 MHz, CDCl3) δ 53.4, 25.4, 22.6. 11B NMR (96 MHz, CDCl3) δ −15.55 (q, J = 96.7 Hz). Compound characterization is in agreement with previous reports for this compound [21].
- Morpholine-borane (2h): The compound was prepared as described in the bicarbonate-mediated procedure and obtained as a white solid (mass = 1.98 g, 98% yield). 1H NMR (300 MHz, CDCl3) δ 4.40 (s, 1H), 3.91 (dd, J = 12.6, 3.3 Hz, 2H), 3.55 (td, J = 12.3, 2.2 Hz, 2H), 3.05 (d, J = 13.7 Hz, 2H), 2.86–2.64 (m, 2H), 2.35–0.65 (m, 3H). 13C NMR (75 MHz, CDCl3) δ 65.6, 51.8. 11B NMR (96 MHz, CDCl3) δ −15.47 (q, J = 98.0, 96.7 Hz). Compound characterization is in agreement with previous reports for this compound [21].
- Diisopropylamine-borane (2i): The compound was prepared as described in the bicarbonate-mediated procedure and obtained as a white solid (mass = 2.12 g, 92% yield). 1H NMR (300 MHz, CDCl3) δ 3.18 (s, 1H), 3.10 (dqd, J = 13.1, 6.5, 3.5 Hz, 2H), 1.15 (t, J = 6.3 Hz, 12H). 13C NMR (75 MHz, CDCl3) δ 51.6, 20.6, 18.6. 11B NMR (96 MHz, CDCl3) δ −21.81 (q, J = 96.7 Hz). Compound characterization is in agreement with previous reports for this compound [27].
- Triethylamine-borane (2j): The compound was prepared as described in the bicarbonate-mediated procedure and obtained as a white solid (mass = 2.16 g, 94% yield). 1H NMR (300 MHz, CDCl3) δ 2.61 (q, J = 7.3 Hz, 6H), 1.02 (t, J = 7.3 Hz, 9H). 13C NMR (75 MHz, CDCl3) δ 51.9, 8.1. 11B NMR (96 MHz, CDCl3) δ −13.81 (q, J = 99.4, 98.0 Hz). Compound characterization is in agreement with previous reports for this compound [21].
3.2.4. General Procedure for the 1 mmol Scale Synthesis of Alkynylborane-Amines
3.2.5. Characterization of Alkynylborane-Amines from Terminal Alkynes
- (Phenylethynyl)borane-dimethylamine (3ae): The compound was prepared as described in the 1 mmol scale procedure and obtained in 2 h as a white solid (mass = 142 mg, 89% yield, 98:2 mono:di ratio); melting point: 74–76 °C (Meltemp). 1H NMR (300 MHz, CDCl3) δ 7.40 (dt, J = 7.5, 1.7 Hz, 2H), 7.35–7.11 (m, 3H), 4.38 (s, 1H), 2.53 (d, J = 5.7 Hz, 6H). 13C NMR (75 MHz, CDCl3) δ 131.2, 127.0, 125.2, 100.0, 42.6. 11B NMR (96 MHz, CDCl3) δ −15.33 (t, J = 100.4 Hz).
- ((4-Methoxyphenyl)ethynyl)borane-dimethylamine (3be): The compound was prepared as described in the 1 mmol scale procedure and obtained in 2 h as a white solid (mass = 183 mg, 97% yield, >99:1 ratio); melting point: 118–120 °C (Meltemp). 1H NMR (300 MHz, CDCl3) δ 7.35 (d, J = 8.7 Hz, 2H), 6.78 (d, J = 8.8 Hz, 2H), 4.46 (s, 1H), 3.76 (s, 3H), 2.56 (d, J = 5.8 Hz, 6H). 13C NMR (75 MHz, CDCl3) δ 158.4, 132.6, 117.5, 113.7, 99.7, 55.3, 42.5. 11B NMR (96 MHz, CDCl3) δ −15.14 (t, J = 93.3 Hz).
- ((4-Fluorophenyl)ethynyl)borane-dimethylamine (3ce): The compound was prepared as described in the 1 mmol scale procedure and obtained in 2 h as a white solid (mass = 174 mg, 98% yield, 99:1 ratio); melting point: 102–104 °C (Meltemp). 1H NMR (300 MHz, CDCl3) δ 7.45–7.33 (m, 2H), 7.00–6.89 (m, 2H), 2.67 (d, J = 5.8 Hz, 6H). 13C NMR (75 MHz, CDCl3) δ 163.1, 159.9, 132.9 (d, J = 7.9 Hz), 121.3 (d, J = 3.0 Hz), 115.9–114.6 (m), 98.9, 42.6. 11B NMR (96 MHz, CDCl3) δ −15.17 (t, J = 99.9 Hz). 19F NMR (282 MHz, CDCl3) δ −114.72–114.96 (m).
- ((4-Ttrifluoromethyl)phenyl)ethynyl)borane-dimethylamine (3de): The compound was prepared as described in the 1 mmol scale procedure and obtained in 2 h as a white solid (mass = 198 mg, 87% yield, 98:2 ratio); white solid, melting point: 80–82 °C (Meltemp). 1H NMR (300 MHz, CDCl3) δ 7.49 (s, 4H), 2.69 (d, J = 5.8 Hz, 6H). 13C NMR (75 MHz, CDCl3) δ 131.3, 129.1, 128.7, 128.2, 125.8, 125.0, 124.9, 122.2, 98.9, 42.6. 11B NMR (96 MHz, CDCl3) δ −15.23 (t, J = 100.6 Hz). 19F NMR (282 MHz, CDCl3) δ −64.14 (s).
- ((2-Methylphenyl)ethynyl)borane-dimethylamine (3ee): The compound was prepared as described in the 1 mmol scale procedure and obtained in 2 h as a clear, colorless liquid (mass = 168 mg, 97% yield, 97:3 ratio); 1H NMR (300 MHz, CDCl3) δ 7.39 (d, J = 7.4 Hz, 1H), 7.13 (dddd, J = 14.8, 9.1, 7.2, 2.3 Hz, 3H), 4.28 (s, 1H), 2.58 (d, J = 5.8 Hz, 6H), 2.45 (s, 3H). 13C NMR (75 MHz, CDCl3) δ 139.3, 131.5, 129.2, 126.9, 125.3, 125.0, 42.5, 21.2. 11B NMR (96 MHz, CDCl3) δ −15.17 (t, J = 99.6 Hz).
- ((3-Methylphenyl)ethynyl)borane-dimethylamine (3fe): The compound was prepared as described in the 1 mmol scale procedure and obtained in 2 h as a clear, colorless liquid (mass = 146 mg, 84% yield, 96:4 ratio); 1H NMR (300 MHz, CDCl3) δ 7.29–7.18 (m, 2H), 7.13 (t, J = 7.5 Hz, 1H), 7.02 (d, J = 7.6 Hz, 1H), 4.39 (s, 1H), 2.55 (d, J = 5.8 Hz, 6H), 2.28 (s, 3H). 13C NMR (75 MHz, CDCl3) δ 131.9, 128.3, 128.0, 127.9, 125.0, 100.2, 42.6, 21.4. 11B NMR (96 MHz, CDCl3) δ −15.40 (t, J = 100.0 Hz).
- ((4-Methylphenyl)ethyny)borane-dimethylamine (3ge): The compound was prepared as described in the 1 mmol scale procedure and obtained in 2 h as a white solid (mass = 149 mg, 86% yield, 99:1 ratio); melting point: 75–77 °C (Meltemp). 1H NMR (300 MHz, CDCl3) δ 7.30 (d, J = 7.9 Hz, 2H), 7.04 (d, J = 7.8 Hz, 2H), 4.44 (s, 1H), 2.52 (d, J = 5.8 Hz, 6H), 2.29 (s, 3H). 13C NMR (75 MHz, CDCl3) δ 136.8, 131.1, 128.9, 122.2, 100.1, 42.5, 21.5. 11B NMR (96 MHz, CDCl3) δ −15.10 (t, J = 99.7 Hz).
- (4-Phenylbut-1-yn-1-yl)borane-dimethylamine (3he): The compound was prepared as described in the 1 mmol scale procedure and obtained in 6 h as a white solid (mass = 140 mg, 75% yield, 88:12 ratio); melting point: 69–72 °C (Meltemp). 1H NMR (300 MHz, CDCl3) δ 7.36–7.08 (m, 5H), 4.14 (s, 1H), 2.83 (t, J = 7.6 Hz, 2H), 2.52 (t, J = 7.8 Hz, 2H), 2.44 (d, J = 5.7 Hz, 6H). 13C NMR (75 MHz, CDCl3) δ 141.3, 128.4, 128.2, 42.2, 36.1, 22.3. 11B NMR (96 MHz, CDCl3) δ −15.35 (t, J = 99.7 Hz).
- (Hexynyl)borane-dimethylamine (3ie): The compound was prepared as described in the 1 mmol scale procedure and obtained in 6 h as a clear, colorless liquid (mass = 114 mg, 82% yield, 94:6 ratio); 1H NMR (300 MHz, CDCl3) δ 2.61 (d, J = 5.8 Hz, 6H), 2.37–2.06 (m, 2H), 1.63–1.28 (m, 4H), 1.02–0.72 (m, 3H). 13C NMR (75 MHz, CDCl3) δ 100.7, 42.2, 31.9, 22.2, 19.8, 13.8. 11B NMR (96 MHz, CDCl3) δ −15.51 (t, J = 98.8 Hz).
- (Decynyl)borane-dimethylamine (3je): The compound was prepared as described in the 1 mmol scale procedure and obtained in 5 h as a clear, colorless liquid (mass = 170 mg, 87% yield, 87:13 ratio); 1H NMR (300 MHz, CDCl3) δ 4.40 (s, 1H), 2.59 (d, J = 5.8 Hz, 6H), 2.21 (t, J = 7.2 Hz, 2H), 1.51 (p, J = 6.9 Hz, 2H), 1.44–1.34 (m, 2H), 1.34–1.17 (m, 8H), 0.87 (t, J = 6.4 Hz, 3H). 13C NMR (75 MHz, CDCl3) δ 100.7, 42.2, 31.9, 29.8, 29.3, 29.3, 29.2, 22.7, 20.1, 14.2. 11B NMR (96 MHz, CDCl3) δ −15.50 (t, J = 100.8 Hz).
- (3,3-Dimethylbut-1-yn-1-yl)borane-dimethylamine (3ke): The compound was prepared as described in the 1 mmol scale procedure and obtained in 4 h as a clear, white solid (mass = 1370 mg, 93% yield, 99:1 ratio);White solid, Melting point: 118–120 °C (Meltemp). 1H NMR (300 MHz, CDCl3) δ 4.03 (s, 1H), 2.61 (d, J = 5.9 Hz, 6H), 1.23 (s, 9H). 13C NMR (75 MHz, CDCl3) δ 109.7, 42.2, 31.9, 28.1. 11B NMR (96 MHz, CDCl3) δ −15.13 (t, J = 98.4 Hz).
- ((Cyclopentyl)ethynyl)borane-dimethylamine (3le): The compound was prepared as described in the 1 mmol scale procedure and obtained in 4 h as a clear, white solid (mass = 135 mg, 89% yield, 99:1 ratio); melting point: 67–70 °C (Meltemp). 1H NMR (300 MHz, CDCl3) δ 4.36 (s, 1H), 2.60 (d, J = 5.7 Hz, 6H), 1.99–1.81 (m, 2H), 1.81–1.64 (m, 2H), 1.64–1.43 (m, 4H). 13C NMR (75 MHz, CDCl3) δ 42.2, 34.6, 31.5, 25.0. 11B NMR (96 MHz, CDCl3) δ −15.47 (t, J = 98.6 Hz).
- ((Trimethylsilyl)ethynyl)borane-dimethylamine (3me): The compound was prepared as described in the 1 mmol scale procedure and obtained in 6 h as a clear, white solid (mass = 129 mg, 83% yield, 98:2 ratio); melting point: 78–80 °C (Meltemp) 1H NMR (300 MHz, CDCl3) δ 2.64 (d, J = 5.8 Hz, 6H), 0.14 (s, 9H). 13C NMR (75 MHz, CDCl3) δ 42.7, 1.1. 11B NMR (96 MHz, CDCl3) δ −15.59 (t, J = 99.9 Hz).
- (3,3,3-Trifluoroprop-1-yn-1-yl)borane-dimethylamine (3ne): The compound was prepared as described in the 1 mmol scale procedure and obtained in 12 h as a clear, pale yellow liquid (mass = 98 mg, 65% yield, 98:2 ratio); 1H NMR (300 MHz, CDCl3) δ 3.82 (s, 1H), 2.63 (d, J = 5.8 Hz, 6H), 1.90 (dd, J = 191.7, 97.4 Hz, 2H). 13C NMR (75 MHz, CDCl3) δ 113.9 (q, J = 254.5 Hz), 42.7. 11B NMR (96 MHz, CDCl3) δ −16.30 (t, J = 102.1 Hz). 19F NMR (282 MHz, CDCl3) δ −50.14.
- ((Cyclohex-1-en-1-yl)ethynyl)borane-dimethylamine (3oe): The compound was prepared as described in the 1 mmol scale procedure and obtained in 5 h as a white solid (mass = 129 mg, 79% yield, 81:19 ratio); melting point: 80–82 °C (Meltemp). 1H NMR (300 MHz, CDCl3) δ 5.98 (tt, J = 3.7, 1.6 Hz, 1H), 4.34 (s, 1H), 2.60 (d, J = 5.9 Hz, 6H), 2.13 (tt, J = 5.7, 2.3 Hz, 2H), 2.05 (h, J = 3.1 Hz, 2H), 1.58 (tdt, J = 10.4, 5.6, 2.7 Hz, 4H). 13C NMR (75 MHz, CDCl3) δ 131.8, 122.0, 102.1, 42.4, 30.1, 25.6, 22.6, 21.8. 11B NMR (96 MHz, CDCl3) δ −15.20 (t, J = 99.7 Hz).
- (Deca-1,5-diyn-1-yl)borane-dimethylamine (3pe): The compound was prepared as described in the 1 mmol scale procedure and obtained in 5 h as a clear, colorless liquid (mass = 157 mg, 82% yield, 85:15 ratio); 1H NMR (300 MHz, CDCl3) δ 4.11 (s, 1H), 2.61 (d, J = 5.8 Hz, 6H), 2.50–2.30 (m, 4H), 2.14 (tt, J = 6.9, 2.0 Hz, 2H), 1.56–1.31 (m, 4H), 0.90 (t, J = 7.1 Hz, 2H). 13C NMR (75 MHz, CDCl3) δ 99.0, 80.8, 79.0, 42.2, 31.2, 22.0, 20.7, 20.0, 18.5, 13.7. 11B NMR (96 MHz, CDCl3) δ −15.39 (t, J = 100.2 Hz).
3.2.6. General Procedure for the Synthesis of Dibromide Substrates
3.2.7. Characterization of Dibromide Substrates
- 1-(2,2-Dibromovinyl)-4-methoxybenzene (6a): The compound was prepared as described in the dibromide synthesis procedure and obtained as a white solid (mass = 1.87 g, 64% yield). 1H NMR (300 MHz, CDCl3) δ 7.56–7.47 (m, 2H), 7.41 (s, 1H), 6.94–6.85 (m, 2H), 3.82 (s, 3H). 13C NMR (75 MHz, CDCl3) δ 159.5, 136.1, 129.8, 127.7, 113.7, 87.2, 55.3. Compound characterization is in agreement with previous reports for this compound [28].
- (4-(2,2-Dibromovinyl)phenyl)(methyl)sulfane (6b): The compound was prepared as described in the dibromide synthesis procedure and obtained as a pale-yellow solid (mass = 1.42 g, 46% yield). 1H NMR (300 MHz, CDCl3) δ 7.50–7.45 (m, 2H), 7.42 (s, 1H), 7.25–7.18 (m, 2H), 2.49 (s, 3H). 13C NMR (75 MHz, CDCl3) δ 139.5, 136.1, 131.6, 128.7, 125.7, 88.9, 15.4. Compound characterization is in agreement with previous reports for this compound [29].
- 2-(2,2-Dibromovinyl)thiophene (6c): The compound was prepared as described in the dibromide synthesis procedure and obtained as a white solid (mass = 2.04 g, 76% yield). 1H NMR (300 MHz, CDCl3) δ 7.66 (d, J = 0.7 Hz, 1H), 7.39 (ddt, J = 5.1, 1.3, 0.6 Hz, 1H), 7.25 (ddt, J = 3.6, 1.2, 0.6 Hz, 1H), 7.04 (ddd, J = 5.2, 3.7, 0.5 Hz, 1H). 13C NMR (75 MHz, CDCl3) δ 137.9, 130.7, 129.9, 127.0, 126.4, 86.9. Compound characterization is in agreement with previous reports for this compound [28].
- 1,1-Dibromo-4-methylpent-1-ene (6d): The compound was prepared as described in the dibromide synthesis procedure and obtained as a pale-yellow liquid (mass = 2.01 g, 83% yield). 1H NMR (400 MHz, CDCl3) δ 6.40 (td, J = 7.3, 2.0 Hz, 1H), 1.99 (td, J = 7.1, 2.0 Hz, 2H), 1.75 (dtd, J = 13.4, 6.7, 2.0 Hz, 1H), 0.93 (dd, J = 6.7, 2.1 Hz, 6H). 13C NMR (101 MHz, CDCl3) δ 137.7, 88.8, 41.7, 27.7, 22.1. Compound characterization is in agreement with previous reports for this compound [30].
3.2.8. General Procedure for the Synthesis of Alkynylborane-Amines from Dibromide Substrates
3.2.9. Characterization of Alkynylborane-Amines from Dibromide Substrates
- ((4-Methoxyphenyl)ethynyl)borane-dimethylamine (7ae): The compound was prepared as described in the alkynylborane-amine from dibromide procedure and obtained in 2 h as a white solid (mass = 168 mg, 89% yield, >99:1 ratio); melting point: 118–120 oC (Meltemp). 1H NMR (300 MHz, CDCl3) δ 7.39–7.32 (m, 2H), 6.82–6.75 (m, 2H), 3.94 (s, 2H), 3.79 (s, 3H), 2.66 (d, J = 5.8 Hz, 6H). 13C NMR (75 MHz, CDCl3) δ 158.20, 132.33, 117.24, 113.46, 99.50, 55.07, 42.30. 11B NMR (96 MHz, CDCl3) δ −15.14 (t, J = 89.1 Hz).
- ((4-(Methylthio)phenyl)ethynyl)borane-dimethylamine (7be): The compound was prepared as described in the alkynylborane-amine from dibromide procedure and obtained in 2 hours as a white solid (mass = 178 mg, 87% yield, >99:1 ratio); melting point: 118–121 °C (Meltemp). 1H NMR (300 MHz, CDCl3) δ 7.40–7.28 (m, 2H), 7.18–7.05 (m, 2H), 3.79 (s, 1H), 2.68 (d, J = 5.8 Hz, 6H), 2.47 (s, 3H). 13C NMR (75 MHz, CDCl3) δ 137.2, 131.6, 125.9, 121.9, 42.6, 15.7. 11B NMR (96 MHz, CDCl3) δ −15.10 (t, J = 98.0 Hz).
- (Thiophen-2-ylethynyl)borane-dimethylamine (7ce): The compound was prepared as described in the alkynylborane-amine from dibromide procedure and obtained in 7 hours as a pale-yellow solid (mass = 155 mg, 94% yield, 94:6 ratio); melting point: 139–142 °C (Meltemp). 1H NMR (300 MHz, CDCl3) δ 7.14–7.07 (m, 2H), 6.91 (dd, J = 5.2, 3.6 Hz, 1H), 3.79 (s, 1H), 2.67 (d, J = 5.8 Hz, 6H). 13C NMR (101 MHz, CDCl3) δ 130.2, 126.6, 125.7, 125.1, 42.5. 11B NMR (96 MHz, CDCl3) δ −15.13 (t, J = 102.1 Hz).
- (4-Methylpent-1-yn-1-yl)borane-dimethylamine (7de): The compound was prepared as described in the alkynylborane-amine from dibromide procedure and obtained in 4 hours as a clear, colorless liquid (mass = 123 mg, 89% yield, 93:7 ratio); 1H NMR (300 MHz, CDCl3) δ 3.82 (s, 1H), 2.62 (d, J = 5.8 Hz, 6H), 2.11 (dt, J = 6.7, 1.9 Hz, 2H), 1.85–1.70 (m, 1H), 0.97 (d, J = 6.6 Hz, 6H). 13C NMR (101 MHz, CDCl3) δ 42.2, 29.3, 28.6, 22.1. 11B NMR (96 MHz, CDCl3) δ −15.26 (t, J = 99.4 Hz).
4. Conclusions
Supplementary Materials
Author Contributions
Funding
Institutional Review Board Statement
Informed Consent Statement
Data Availability Statement
Acknowledgments
Conflicts of Interest
Sample Availability
References
- Jiao, J.; Nishihara, Y. Alkynylboron compounds in organic synthesis. J. Organomet. Chem. 2012, 721–722, 3–16. [Google Scholar] [CrossRef]
- Soderquist, J.A.; Matos, K.; Rane, A.; Ramos, J. Alkynylboranes in the Suzuki-Miyaura coupling. Tetrahedron Lett. 1995, 36, 2401–2402. [Google Scholar] [CrossRef]
- Brown, H.C.; Bhat, N.G.; Srebnik, M. A Simple, General Synthesis of 1-Alkynyldiisopropoxyboranes. Tetrahedron Lett. 1988, 29, 2631–2634. [Google Scholar] [CrossRef]
- Saptal, V.B.; Wang, R.; Park, S. Recent advances in transition metal-free catalytic hydroelementation (E = B, Si, Ge, and Sn) of alkynes. RSC Adv. 2020, 10, 43539–43565. [Google Scholar] [CrossRef]
- Geier, S.J.; Vogels, C.M.; Melanson, J.A.; Westcott, S.A. The transition metal-catalysed hydroboration reaction. Chem. Soc. Rev. 2022, 51, 8877–8922. [Google Scholar] [CrossRef]
- Lee, C.-I.; Zhou, J.; Ozerov, O.V. Catalytic Dehydrogenative Borylation of Terminal Alkynes by a SiNN Pincer Complex of Iridium. J. Am. Chem. Soc. 2013, 135, 3560–3566. [Google Scholar] [CrossRef]
- Hu, J.-R.; Liu, L.-H.; Hu, X.; Ye, H.-D. Ag(I)-catalyzed C–H borylation of terminal alkynes. Tetrahedron 2014, 70, 5815–5819. [Google Scholar] [CrossRef]
- Pell, C.J.; Ozerov, O.V. Catalytic dehydrogenative borylation of terminal alkynes by POCOP-supported palladium complexes. Inorg. Chem. Front. 2015, 2, 720–724. [Google Scholar] [CrossRef]
- Tsuchimoto, T.; Utsugi, H.; Sugiura, T.; Horio, S. Alkynylboranes: A Practical Approach by Zinc-Catalyzed Dehydrogenative Coupling of Terminal Alkynes with 1,8-Naphthalenediaminatoborane. Adv. Synth. Catal. 2015, 357, 77–82. [Google Scholar] [CrossRef]
- Procter, R.J.; Uzelac, M.; Cid, J.; Rushworth, P.J.; Ingleson, M.J. Low-Coordinate NHC–Zinc Hydride Complexes Catalyze Alkyne C–H Borylation and Hydroboration Using Pinacolborane. ACS Catal. 2019, 9, 5760–5771. [Google Scholar] [CrossRef]
- Romero, E.A.; Jazzar, R.; Bertrand, G. Copper-catalyzed dehydrogenative borylation of terminal alkynes with pinacolborane. Chem. Sci. 2017, 8, 165–168. [Google Scholar] [CrossRef] [PubMed]
- Wei, D.; Carboni, B.; Sortais, J.-B.; Darcel, C. Iron-Catalyzed Dehydrogenative Borylation of Terminal Alkynes. Adv. Synth. Catal. 2018, 360, 3649–3654. [Google Scholar] [CrossRef]
- Birepinte, M.; Liautard, V.; Chabaud, L.; Pucheault, M. Magnesium-Catalyzed Tandem Dehydrogenation-Dehydrocoupling: An Atom Economical Access to Alkynylboranes. Chem. Eur. J. 2020, 26, 3236–3240. [Google Scholar] [CrossRef] [PubMed]
- Willcox, D.R.; De Rosa, D.M.; Howley, J.; Levy, A.; Steven, A.; Nichol, G.S.; Morrison, C.A.; Cowley, M.J.; Thomas, S.P. Aluminium-Catalyzed C(sp)−H Borylation of Alkynes. Angew. Chem. Int. Ed. 2021, 60, 20672–20677. [Google Scholar] [CrossRef] [PubMed]
- Ramachandran, P.V.; Hamann, H.J.; Choudhary, S. Amine-boranes as Dual-Purpose Reagents for Direct Amidation of Carboxylic Acids. Org. Lett. 2020, 22, 8593–8597. [Google Scholar] [CrossRef] [PubMed]
- Ramachandran, P.V.; Alawaed, A.A.; Hamann, H.J. A Safer Reduction of Carboxylic Acids with Titanium Catalysis. Org. Lett. 2022, 24, 8481–8486. [Google Scholar] [CrossRef] [PubMed]
- Pasumansky, L.; Goralski, C.T.; Singaram, B. Lithium Aminoborohydrides: Powerful, Selective, Air-Stable Reducing Agents. Org. Process Res. Dev. 2006, 10, 959–970. [Google Scholar] [CrossRef]
- Ramachandran, P.V.; Drolet, M.P.; Kulkarni, A.S. A non-dissociative open-flask hydroboration with ammonia borane: Ready synthesis of ammonia-trialkylboranes and aminodialkylboranes. Chem. Commun. 2016, 52, 11897–11900. [Google Scholar] [CrossRef]
- Ramachandran, P.V.; Drolet, M.P. Direct, high-yielding, one-step synthesis of vic-diols from aryl alkynes. Tetrahedron Lett. 2018, 59, 967–970. [Google Scholar] [CrossRef]
- Taylor, M.D.; Grant, L.R.; Sands, C.A. A convenient preparation of pyridine-borane. J. Am. Chem. Soc. 1955, 77, 1506–1507. [Google Scholar] [CrossRef]
- Ramachandran, P.V.; Kulkarni, A.S.; Zhao, Y.; Mei, J.G. Amine-boranes bearing borane-incompatible functionalities: Application to selective amine protection and surface functionalization. Chem. Commun. 2016, 52, 11885–11888. [Google Scholar] [CrossRef] [PubMed]
- Corey, E.J.; Fuchs, P.L. A synthetic method for formyl→ethynyl conversion (RCHO→RC≡CH or RC≡CR’). Tetrahedron Lett. 1972, 13, 3769–3772. [Google Scholar] [CrossRef]
- Buttenberg, W.P. Condensation des Dichloracetals mit Phenol und Toluol. Justus Liebigs Ann. Chem. 1894, 279, 324–337. [Google Scholar] [CrossRef]
- Fritsch, P., IV. Ueber die Darstellung von Diphenylacetaldehyd und eine neue Synthese von Tolanderivaten. Justus Liebigs Ann. Chem. 1894, 279, 319–323. [Google Scholar] [CrossRef]
- Wiechell, H. Condensation des Dichloracetals mit Anisol und Phenetol. Justus Liebigs Ann. Chem. 1894, 279, 337–344. [Google Scholar] [CrossRef]
- Noth, H.; Beyer, H. Beiträge zur Chemie des Bors, I. Darstellung und Eigenschaften der Alkylamin-borane, R3-nHnN.BH3. Chem. Ber. Recl. 1960, 93, 928–938. [Google Scholar] [CrossRef]
- Ramachandran, P.V.; Hamann, H.J.; Lin, R. Activation of sodium borohydride via carbonyl reduction for the synthesis of amine- and phosphine-boranes. Dalton Trans. 2021, 50, 16770–16774. [Google Scholar] [CrossRef] [PubMed]
- Rao, M.L.N.; Jadhav, D.N.; Dasgupta, P. Pd-Catalyzed Domino Synthesis of Internal Alkynes Using Triarylbismuths as Multicoupling Organometallic Nucleophiles. Org. Lett. 2010, 12, 2048–2051. [Google Scholar] [CrossRef]
- Lehane, K.N.; Moynihan, E.J.A.; Brondel, N.; Lawrence, S.E.; Maguire, A.R. Impact of sulfur substituents on the C–H⋯O interaction of terminal alkynes in crystal engineering. CrystEngComm 2007, 9, 1041–1050. [Google Scholar] [CrossRef]
- Fenneteau, J.; Vallerotto, S.; Ferrié, L.; Figadère, B. Liebeskind–Srogl cross-coupling on γ-carboxyl-γ-butyrolactone derivatives: Application to the side chain of amphidinolides C and F. Tetrahedron Lett. 2015, 56, 3758–3761. [Google Scholar] [CrossRef]






|  | ||||||
|---|---|---|---|---|---|---|
| Entry | Condition | Solvent | Amine-Borane | Products | Ratio b | Conversion c | 
| 1 | rt, 24 h | Et2O | 2e | 3ae/4ae | 85:15 | 95% | 
| 2 | rt, 24 h | THF | 2e | 3ae/4ae | 73:27 | 51% | 
| 3 | rt, 24 h | DME | 2e | 3ae/4ae | 80:20 | 30% | 
| 4 | rt, 24 h | DCM | 2e | 3ae/4ae | 87:13 | 80% | 
| 5 | rt, 24 h | toluene | 2e | 3ae/4ae | 100:0 | 79% | 
| 6 | rt, 24 h | pentane | 2e | 3ae/4ae | 99:1 | 92% | 
| 7 | rt, 24 h | Et3N | 2e | 3ae/4ae | 85:15 | 80% | 
| 8 | reflux, 2 h | pentane | 2e | 3ae/4ae | 99:1 | 97% | 
| 9 | reflux, 2 h | pentane | 2a | 3aa/4aa | - | trace | 
| 10 | reflux, 2 h | pentane | 2b | 3ab/4ab | - | trace | 
| 11 | reflux, 2 h | pentane | 2c | 3ac/4ac | 99:1 | 16% | 
| 12 | reflux, 2 h | pentane | 2d | 3ad/4ad | 92:8 | 82% | 
| 13 | reflux, 2 h | pentane | 2f | 3af/4af | 99:1 | 66% | 
| 14 | reflux, 2 h | pentane | 2g | 3ag/4ag | 99:1 | 83% | 
| 15 | reflux, 2 h | pentane | 2h | 3ah/4ah | - | trace | 
| 16 | reflux, 2 h | pentane | 2i | 3ai/4ai | 93:7 | 14% | 
| 17 | reflux, 2 h | pentane | 2j | 3aj/4aj | - | 0% | 
| Disclaimer/Publisher’s Note: The statements, opinions and data contained in all publications are solely those of the individual author(s) and contributor(s) and not of MDPI and/or the editor(s). MDPI and/or the editor(s) disclaim responsibility for any injury to people or property resulting from any ideas, methods, instructions or products referred to in the content. | 
© 2023 by the authors. Licensee MDPI, Basel, Switzerland. This article is an open access article distributed under the terms and conditions of the Creative Commons Attribution (CC BY) license (https://creativecommons.org/licenses/by/4.0/).
Share and Cite
Ramachandran, P.V.; Hamann, H.J. Dehydroborylation of Terminal Alkynes Using Lithium Aminoborohydrides. Molecules 2023, 28, 3433. https://doi.org/10.3390/molecules28083433
Ramachandran PV, Hamann HJ. Dehydroborylation of Terminal Alkynes Using Lithium Aminoborohydrides. Molecules. 2023; 28(8):3433. https://doi.org/10.3390/molecules28083433
Chicago/Turabian StyleRamachandran, P. Veeraraghavan, and Henry J. Hamann. 2023. "Dehydroborylation of Terminal Alkynes Using Lithium Aminoborohydrides" Molecules 28, no. 8: 3433. https://doi.org/10.3390/molecules28083433
APA StyleRamachandran, P. V., & Hamann, H. J. (2023). Dehydroborylation of Terminal Alkynes Using Lithium Aminoborohydrides. Molecules, 28(8), 3433. https://doi.org/10.3390/molecules28083433
 
        


 
       