The Microwave Rotational Electric Resonance (RER) Spectrum of Benzothiazole
Abstract
1. Introduction
2. Quantum Chemical Calculations
2.1. Geometry Optimizations
2.2. 14N Nuclear Quadrupole Coupling Constants
3. Microwave Spectroscopy
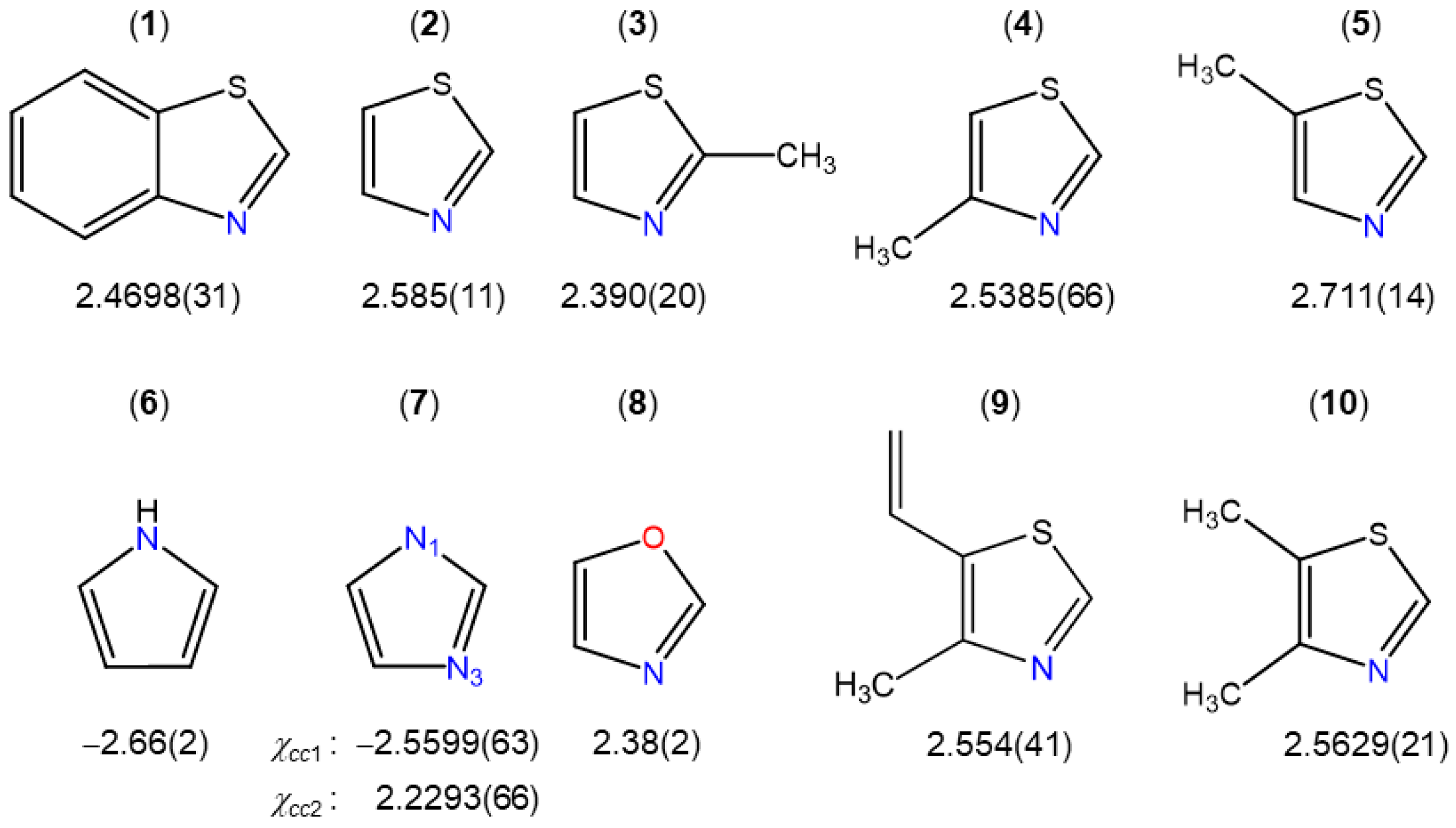
4. Results and Discussion
5. Conclusions
Supplementary Materials
Author Contributions
Funding
Institutional Review Board Statement
Informed Consent Statement
Data Availability Statement
Acknowledgments
Conflicts of Interest
References
- Liao, C.; Kim, U.-J.; Kannan, K. A Review of Environmental Occurrence, Fate, Exposure, and Toxicity of Benzothiazoles. Environ. Sci. Technol. 2018, 52, 5007–5026. [Google Scholar] [CrossRef] [PubMed]
- Ginsberg, G.; Toal, B.; Kurland, T. Benzothiazole Toxicity Assessment in Support of Synthetic Turf Field Human Health Risk Assessment. J. Toxicol. Environ. Health Part A 2011, 74, 1175–1183. [Google Scholar] [CrossRef] [PubMed]
- Avagyan, R.; Luongo, G.; Thorsén, G.; Östman, C. Benzothiazole, Benzotriazole, and their Derivates in Clothing Textiles—A Potential Source of Environmental Pollutants and Human Exposure. Environ. Sci. Pollut. Res. 2014, 22, 5842–5849. [Google Scholar] [CrossRef]
- Hutchinson, I.; Jennings, S.A.; Vishnuvajjala, B.R.; Westwell, A.D.; Stevens, M.F.G. Antitumor Benzothiazoles. 16. Synthesis and Pharmaceutical Properties of Antitumor 2-(4-Aminophenyl)benzothiazole Amino Acid Prodrugs. J. Med. Chem. 2001, 45, 744–747. [Google Scholar] [CrossRef]
- Siddiqui, N.; Pandeya, S.N.; Khan, S.A.; Stables, J.; Rana, A.; Alam, M.; Arshad, F.; Bhat, M. Synthesis and anticonvulsant activity of sulfonamide derivatives-hydrophobic domain. Bioorg. Med. Chem. Lett. 2007, 17, 255–259. [Google Scholar] [CrossRef]
- Burger, A.; Sawhney, S.N. Antimalarials. III. Benzothiazole Amino Alcohols. J. Med. Chem. 1968, 11, 270–273. [Google Scholar] [CrossRef]
- Gopal, M.; Padmashali, B.; Manohara, Y.; Gurupadayya, B. Synthesis and Pharmacological Evaluation of Azetidin-2-ones and Thiazolidin-4-ones Encompassing Benzothiazole. Indian J. Pharm. Sci. 2008, 70, 572–5777. [Google Scholar] [CrossRef] [PubMed]
- Pattan, S.R.; Suresh, C.; Pujar, V.D.; Reddy, V.V.K.; Rasal, V.P.; Koti, B.C. Synthesis and Antidiabetic Activity of 2-Amino [5′(4-Sulfonylbenzylidine)-2,4-Thiazolidinedione]-7-Chloro-6-Fluorobenzothiazole. ChemInform 2006, 37. [Google Scholar] [CrossRef]
- Henriksen, G.; Hauser, A.I.; Westwell, A.D.; Yousefi, B.H.; Schwaiger, M.; Drzezga, A.; Wester, H.-J. Metabolically Stabilized Benzothiazoles for Imaging of Amyloid Plaques. J. Med. Chem. 2007, 50, 1087–1089. [Google Scholar] [CrossRef]
- Mathis, C.A.; Wang, Y.; Holt, D.P.; Huang, G.-F.; Debnath, M.L.; Klunk, W.E. Synthesis and Evaluation of 11C-Labeled 6-Substituted 2-Arylbenzothiazoles as Amyloid Imaging Agents. J. Med. Chem. 2003, 46, 2740–2754. [Google Scholar] [CrossRef]
- Apelt, J.; Grassmann, S.; Ligneau, X.; Pertz, H.H.; Ganellin, C.R.; Arrang, J.M.; Schwartz, J.C.; Schunack, W.; Stark, H. Search for Histamine H3 Receptor Antagonists with Combined Inhibitory Potency at N-tau-Methyltransferase: Ether Derivatives. Pharmazie 2005, 60, 97–106. [Google Scholar] [PubMed]
- Sutikdja, L.W.; Nguyen, H.V.L.; Jelisavac, D.; Stahl, W.; Mouhib, H. Benchmarking Quantum Chemical Methods for Accurate Gas-Phase Structure Predictions of Carbonyl Compounds: The Case of Ethyl Butyrate. Phys. Chem. Chem. Phys. 2023, 25, 7688–7696. [Google Scholar] [CrossRef] [PubMed]
- Dindić, C.; Nguyen, H.V.L. Benchmarking Acetylthiophene Derivatives: Methyl Internal Rotations in the Microwave Spectrum of 2-Acetyl-5-Methylthiophene. Phys. Chem. Chem. Phys. 2023, 25, 509–519. [Google Scholar] [CrossRef]
- Puzzarini, C.; Stanton, J.F. Connections between the Accuracy of Rotational Constants and Equilibrium Molecular Structures. Phys. Chem. Chem. Phys. 2023, 25, 1421–1429. [Google Scholar] [CrossRef] [PubMed]
- Gottschalk, H.C.; Poblotzki, A.; Fatima, M.; Obenchain, D.A.; Pérez, C.; Antony, J.; Auer, A.A.; Baptista, L.; Benoit, D.M.; Bistoni, G.; et al. The First Microsolvation Step for Furans: New Experiments and Benchmarking Strategies. J. Chem. Phys. 2020, 152, 164303. [Google Scholar] [CrossRef]
- Spaniol, J.-T.; Lee, K.L.K.; Pirali, O.; Puzzarini, C.; Martin-Drumel, M.-A. A Rotational Investigation of the Three Isomeric Forms of Cyanoethynylbenzene (HCC-C6H4-CN): Benchmarking Experiments and Calculations Using the “Lego Brick” Approach. Phys. Chem. Chem. Phys. 2023, 25, 6397–6405. [Google Scholar] [CrossRef]
- Fischer, T.L.; Bödecker, M.; Zehnacker-Rentien, A.; Mata, R.A.; Suhm, M.A. Setting up the HyDRA Blind Challenge for the Microhydration of Organic Molecules. Phys. Chem. Chem. Phys. 2022, 24, 11442–11454. [Google Scholar] [CrossRef]
- Gaussian 16, Revision B.01; Gaussian Inc.: Wallingford, CT, USA, 2016.
- Møller, C.; Plesset, M.S. Note on an Approximation Treatment for Many-Electron Systems. Phys. Rev. 1934, 46, 618. [Google Scholar] [CrossRef]
- Scuseria, G.E.; Scheiner, A.C.; Lee, T.J.; Rice, J.E.; Schaefer, H.F. The Closed-Shell Coupled Cluster Single and Double Excitation (CCSD) Model for the Description of Electron Correlation. A Comparison with Configuration Interaction (CISD) Results. J. Chem. Phys. 1987, 86, 2881. [Google Scholar] [CrossRef]
- Becke, A.D. Density-Functional Thermochemistry. III. The Role of Exact Exchange. J. Chem. Phys. 1993, 98, 5648. [Google Scholar] [CrossRef]
- Lee, C.; Yang, W.; Parr, R.G. Development of the Colle-Salvetti Correlation-Energy Formula into a Functional of the Electron Density. Phys. Rev. B 1988, 37, 785. [Google Scholar] [CrossRef]
- Zhao, Y.; Truhlar, D.G. The M06 Suite of Density Functionals for Main Group Thermochemistry, Thermochemical Kinetics, Noncovalent Interactions, Excited States, and Transition Elements: Two New Functionals and Systematic Testing of Four M06-Class Functionals and 12 Other Functionals. Theor. Chem. Acc. 2008, 120, 215–241. [Google Scholar] [CrossRef]
- Chai, J.-D.; Head-Gordon, M. Long-Range Corrected Hybrid Density Functionals with Damped Atom–Atom Dispersion Corrections. Phys. Chem. Chem. Phys. 2008, 10, 6615–6620. [Google Scholar] [CrossRef] [PubMed]
- Ernzerhof, M.; Scuseria, G.E. Assessment of the Perdew–Burke–Ernzerhof Exchange-Correlation Functional. J. Chem. Phys. 1999, 110, 5029. [Google Scholar] [CrossRef]
- Yu, H.S.; He, X.; Li, S.L.; Truhlar, D.G. MN15: A Kohn–Sham Global-Hybrid Exchange–Correlation Density Functional with Broad Accuracy for Multi-Reference and Single-Reference Systems and Noncovalent Interactions. Chem. Sci. 2016, 7, 5032–5051. [Google Scholar] [CrossRef] [PubMed]
- Grimme, S.; Antony, J.; Ehrlich, S.; Krieg, H. A Consistent and Accurate Ab Initio Parametrization of Density Functional Dispersion Correction (DFT-D) for the 94 Elements H-Pu. J. Chem. Phys. 2010, 132, 154104–154119. [Google Scholar] [CrossRef]
- Grimme, S.; Ehrlich, S.; Goerigk, L. Effect of the Damping Function in Dispersion Corrected Density Functional Theory. J. Comput. Chem. 2011, 32, 1456–1465. [Google Scholar] [CrossRef]
- Yanai, T.; Tew, D.; Handy, N.C. A New Hybrid Exchange–Correlation Functional Using the Coulomb-Attenuating Method (CAM-B3LYP). Chem. Phys. Lett. 2004, 393, 51–57. [Google Scholar] [CrossRef]
- Frisch, M.J.; Pople, J.A.; Binkley, J.S. Self-Consistent Molecular Orbital Methods 25. Supplementary Functions for Gaussian Basis Sets. J. Chem. Phys. 1984, 80, 3265–3269. [Google Scholar] [CrossRef]
- Dunning, T.H., Jr. Gaussian Basis Sets for Use in Correlated Molecular Calculations. I. The Atoms Boron through Neon and Hydrogen. J. Chem. Phys. 1989, 90, 1007. [Google Scholar] [CrossRef]
- Bailey, W.C. DFT and HF–DFT Calculations of 14N Quadrupole Coupling Constants in Molecules. Chem. Phys. 2000, 252, 57–66. [Google Scholar] [CrossRef]
- Nguyen, T.; Dindic, C.; Stahl, W.; Nguyen, H.V.L.; Kleiner, I. 14N Nuclear Quadrupole Coupling and Methyl Internal Rotation in the Microwave Spectrum of 2-Methylpyrrole. Mol. Phys. 2020, 118, 1668572. [Google Scholar] [CrossRef]
- Nguyen, T.; Stahl, W.; Nguyen, H.V.L.; Kleiner, I. 14N Nuclear Quadrupole Coupling and Methyl Internal Rotation in 3-Methylpyrrole Investigated by Microwave Spectroscopy. J. Mol. Spectrosc. 2020, 372, 111351. [Google Scholar] [CrossRef]
- Nguyen, T.; Stahl, W.; Nguyen, H.V.L.; Kleiner, I. Local vs Global Approaches to Treat Two Equivalent Methyl Internal Rotations and 14N Nuclear Quadrupole Coupling of 2,5-Dimethylpyrrole. J. Chem. Phys. 2021, 154, 204304. [Google Scholar] [CrossRef] [PubMed]
- Tran, Q.T.; Errouane, A.; Condon, S.; Barreteau, C.; Nguyen, H.V.L.; Pichon, C. On the Planarity of Benzyl Cyanide. J. Mol. Spectrosc. 2022, 388, 111685. [Google Scholar] [CrossRef]
- Khemissi, S.; Schwell, M.; Kleiner, I.; Nguyen, H.V.L. Influence of π-Electron Conjugation Outside the Aromatic Ring on the Methyl Internal Rotation of 4-Methyl-5-Vinylthiazole. Mol. Phys. 2022, 120, e2052372. [Google Scholar] [CrossRef]
- Kannengießer, R.; Stahl, W.; Nguyen, H.V.L.; Bailey, W.C. 14N Quadrupole Coupling in the Microwave Spectra of N-Vinylformamide. J. Mol. Spectrosc. 2015, 317, 50–53. [Google Scholar] [CrossRef]
- Welzel, A. Bau Einer Heizbaren Ultraschalldüse zur Mikrowellenspektroskopischen Untersuchung Schwerflüchtiger Substanzen im Molekularstrahl. Ph.D. Thesis, RWTH Aachen University, Aachen, Germany, 2000. [Google Scholar]
- Grabow, J.; Stahl, W.; Dreizler, H. A Multioctave Coaxially Oriented Beam-Resonator Arrangement Fourier-Transform Microwave Spectrometer. Rev. Sci. Instrum. 1996, 67, 4072–4084. [Google Scholar] [CrossRef]
- Welzel, A.; Stahl, W. The FT Microwave Spectrum of Benzo[b]thiophene: First Application of a New Heatable Beam Nozzle. Phys. Chem. Chem. Phys. 1999, 1, 5109–5112. [Google Scholar] [CrossRef]
- Grabow, J.-U.; Stahl, W. A Pulsed Molecular Beam Microwave Fourier Transform Spectrometer with Parallel Molecular Beam and Resonator Axes. Z. Naturforsch. 1990, 45, 1043–1044. [Google Scholar] [CrossRef]
- Hartwig, H.; Dreizler, H. The Microwave Spectrum of trans-2,3-Dimethyloxirane in Torsional Excited States. Z. Naturforsch. 1996, 51, 923–932. [Google Scholar] [CrossRef]
- Nguyen, H.V.L.; Grabow, J.-U. The Scent of Maibowle–π Electron Localization in Coumarin from Its Microwave-Determined Structure. ChemPhysChem 2020, 21, 1243–1248. [Google Scholar] [CrossRef] [PubMed]
- Kisiel, Z.; Desyatnyk, O.; Pszczółkowski, L.; Charnley, S.; Ehrenfreund, P. Rotational Spectra of Quinoline and of Isoquinoline: Spectroscopic Constants and Electric Dipole Moments. J. Mol. Spectrosc. 2003, 217, 115–122. [Google Scholar] [CrossRef]
- Nguyen, H.V.L. The Heavy Atom Substitution and Semi-Experimental Equilibrium Structures of 2-Ethylfuran Obtained by Microwave Spectroscopy. J. Mol. Struct. 2020, 1208, 127909. [Google Scholar] [CrossRef]
- Ferres, L.; Mouhib, H.; Stahl, W.; Nguyen, H.V.L. Methyl Internal Rotation in the Microwave Spectrum of o-Methyl Anisole. ChemPhysChem 2017, 18, 1855–1859. [Google Scholar] [CrossRef] [PubMed]
- Dindić, C.; Nguyen, H.V.L. Microwave Spectrum of Two-Top Molecule: 2-Acetyl-3-Methylthiophene. ChemPhysChem 2021, 22, 2420–2428. [Google Scholar] [CrossRef] [PubMed]
- Dindić, C.; Barth, M.; Nguyen, H.V.L. Two Methyl Internal Rotations of 2-Acetyl-4-Methylthiophene Explored by Microwave Spectroscopy and Quantum Chemistry. Spectrochim. Acta A 2022, 280, 121505. [Google Scholar] [CrossRef]
- Kraitchman, J. Determination of Molecular Structure from Microwave Spectroscopic Data. Am. J. Phys. 1953, 21, 17–24. [Google Scholar] [CrossRef]
- Costain, C.C. Further Comments on the Accuracy of rs Substitution Structures. Trans. Am. Crystallogr. Assoc. 1966, 2, 157. [Google Scholar]
- Nygaard, L.; Asmussen, E.; Høg, J.H.; Maheshwari, R.; Nielsen, C.; Petersen, I.B.; Rastrup-Andersen, J.; Sørensen, G. Microwave Spectra of Isotopic Thiazoles. Molecular Structure and 14N Quadrupole Coupling Constants of Thiazole. J. Mol. Struct. 1971, 8, 225–233. [Google Scholar] [CrossRef]
- Nguyen, T.; Van, V.; Gutlé, C.; Stahl, W.; Schwell, M.; Kleiner, I.; Nguyen, H.V.L. The Microwave Spectrum of 2-Methylthiazole: 14N Nuclear Quadrupole Coupling and Methyl Internal Rotation. J. Chem. Phys. 2020, 152, 134306. [Google Scholar] [CrossRef]
- Jäger, W.; Mäder, H. The Microwave Spectrum of 4-Methylthiazole: Methyl Internal Rotation, 14N Nuclear Quadrupole Coupling and Electric Dipole Moment. Z. Naturforsch. 1987, 42, 1405–1409. [Google Scholar] [CrossRef]
- Jäger, W.; Mäder, H. The Microwave Spectrum of 5-Methylthiazole: Methyl Internal Rotation, 14N Nuclear Quadrupole Coupling and Electric Dipole Moment. J. Mol. Struct. 1988, 190, 295–305. [Google Scholar] [CrossRef]
- Nygaard, U.; Nielsen, J.; Kirchheiner, J.; Maltesen, G.; Rastrup-Andersen, J.; Sørensen, G. Microwave Spectra of Isotopic Pyrroles. Molecular Structure, Dipole Moment, and 14N Quadrupole Coupling Constants of Pyrrole. J. Mol. Struct. 1969, 3, 491–506. [Google Scholar] [CrossRef]
- Giuliano, B.M.; Bizzocchi, L.; Charmet, A.P.; Arenas, B.; Steber, A.L.; Schnell, M.; Caselli, P.; Harris, B.J.; Pate, B.H.; Guillemin, J.-C.; et al. Rotational Spectroscopy of Imidazole: Improved Rest Frequencies for Astrophysical Searches. Astron. Astrophys. 2019, 628, A53. [Google Scholar] [CrossRef]
- Kumar, A.; Sheridan, J.; Stiefvater, O.L. The Microwave Spectrum of Oxazole II. Dipole Moment and Quadrupole Coupling Constants. Z. Naturforsch. 1978, 33, 549–558. [Google Scholar] [CrossRef]
- Van, V.; Nguyen, T.; Stahl, W.; Nguyen, H.V.L.; Kleiner, I. Coupled Large Amplitude Motions: The Effects of Two Methyl Internal Rotations and 14N Quadrupole Coupling in 4,5-Dimethylthiazole Investigated by Microwave Spectroscopy. J. Mol. Struct. 2020, 1207, 127787. [Google Scholar] [CrossRef]
- Pinacho, P.; Obenchain, D.A.; Schnell, M. New Findings from Old Data: A Semi-Experimental Value for the eQq of the Nitrogen Atom. J. Chem. Phys. 2020, 153, 234307. [Google Scholar] [CrossRef]
- Hakiri, R.; Derbel, N.; Bailey, W.C.; Nguyen, H.V.L.; Mouhib, H. The Heavy Atom Structures and 33S Quadrupole Coupling Constants of 2-Thiophenecarboxaldehyde: Insights from Microwave Spectroscopy. Mol. Phys. 2020, 118, e1728406. [Google Scholar] [CrossRef]
- Saxena, S.; Panchagnula, S.; Sanz, M.E.; Pérez, C.; Evangelisti, L.; Pate, B.H. Structural Changes Induced by Quinones: High-Resolution Microwave Study of 1,4-Naphthoquinone. ChemPhysChem 2020, 21, 2579–2584. [Google Scholar] [CrossRef]
- Oka, T. On Negative Inertial Defect. J. Mol. Struct. 1995, 352–353, 225–233. [Google Scholar] [CrossRef]
Disclaimer/Publisher’s Note: The statements, opinions, and data contained in all publications are solely those of the individual author(s) and contributor(s) and not of MDPI and/or the editor(s). MDPI and/or the editor(s) disclaim responsibility for any injury to people or property resulting from any ideas, methods, instructions, or products referred to in the content. |




| MP2/6-31G(d,p) | MP2/6-311++G(d,p) | B3LYP-D3BJ | ||
|---|---|---|---|---|
| Ae | MHz | 3166.6 | 3160.1 | 3168.6 |
| Be | MHz | 1338.7 | 1335.9 | 1334.2 |
| Ce | MHz | 940.9 | 939.0 | 938.8 |
| A0 | MHz | 3145.7 | 3136.4 | 3146.7 |
| B0 | MHz | 1332.1 | 1328.2 | 1327.0 |
| C0 | MHz | 936.0 | 933.1 | 933.5 |
| χaa | MHz | 1.640 | 1.717 | 1.785 |
| χbb | MHz | −3.598 | −3.922 | −4.395 |
| χcc | MHz | 1.967 | 2.205 | 2.611 |
| |μa| | D | 0.37 | 0.24 | 0.33 |
| |μb| | D | 1.33 | 1.56 | 1.36 |
| |μc| | D | 0.00 | 0.00 | 0.00 |
| Par. a | Unit | 32S XIAM | 32S Calc b | 34S XIAM |
|---|---|---|---|---|
| A | MHz | 3174.630260(98) | 3160.13239 | 3143.66433(21) |
| B | MHz | 1341.764826(67) | 1335.93670 | 1320.53713(11) |
| C | MHz | 943.232720(28) | 938.98407 | 930.00014(6) |
| ΔJ | kHz | 0.02681(42) | 0.025479 | 0.02678(49) |
| ΔJK | kHz | 0.0472(22) | 0.045033 | 0.0432(38) |
| ΔK | kHz | 0.175(10) | 0.17589 | 0.185(14) |
| δJ | kHz | 0.00799(25) | 0.007678 | 0.00754(30) |
| δK | kHz | 0.0696(39) | 0.06822 | 0.0643(62) |
| χaa | MHz | 1.60208(92) | 1.727 c | 1.5975(31) |
| χbb d | MHz | −4.0719(13) | −4.036 c | −4.0686(34) |
| χcc d | MHz | 2.4698(31) | 2.309 c | 2.4710(71) |
| N e | 194 | – | 92 | |
| σ f | kHz | 1.6 | – | 2.4 |
Disclaimer/Publisher’s Note: The statements, opinions and data contained in all publications are solely those of the individual author(s) and contributor(s) and not of MDPI and/or the editor(s). MDPI and/or the editor(s) disclaim responsibility for any injury to people or property resulting from any ideas, methods, instructions or products referred to in the content. |
© 2023 by the authors. Licensee MDPI, Basel, Switzerland. This article is an open access article distributed under the terms and conditions of the Creative Commons Attribution (CC BY) license (https://creativecommons.org/licenses/by/4.0/).
Share and Cite
Hadki, H.E.; Koziol, K.J.; Kabbaj, O.K.; Komiha, N.; Kleiner, I.; Nguyen, H.V.L. The Microwave Rotational Electric Resonance (RER) Spectrum of Benzothiazole. Molecules 2023, 28, 3419. https://doi.org/10.3390/molecules28083419
Hadki HE, Koziol KJ, Kabbaj OK, Komiha N, Kleiner I, Nguyen HVL. The Microwave Rotational Electric Resonance (RER) Spectrum of Benzothiazole. Molecules. 2023; 28(8):3419. https://doi.org/10.3390/molecules28083419
Chicago/Turabian StyleHadki, Hamza El, Kenneth J. Koziol, Oum Keltoum Kabbaj, Najia Komiha, Isabelle Kleiner, and Ha Vinh Lam Nguyen. 2023. "The Microwave Rotational Electric Resonance (RER) Spectrum of Benzothiazole" Molecules 28, no. 8: 3419. https://doi.org/10.3390/molecules28083419
APA StyleHadki, H. E., Koziol, K. J., Kabbaj, O. K., Komiha, N., Kleiner, I., & Nguyen, H. V. L. (2023). The Microwave Rotational Electric Resonance (RER) Spectrum of Benzothiazole. Molecules, 28(8), 3419. https://doi.org/10.3390/molecules28083419

