Recent Research on Cannabis sativa L.: Phytochemistry, New Matrices, Cultivation Techniques, and Recent Updates on Its Brain-Related Effects (2018–2023)
Abstract
1. Introduction
2. Secondary Metabolites of Cannabis
2.1. Cannabinoids
2.2. Terpenoids
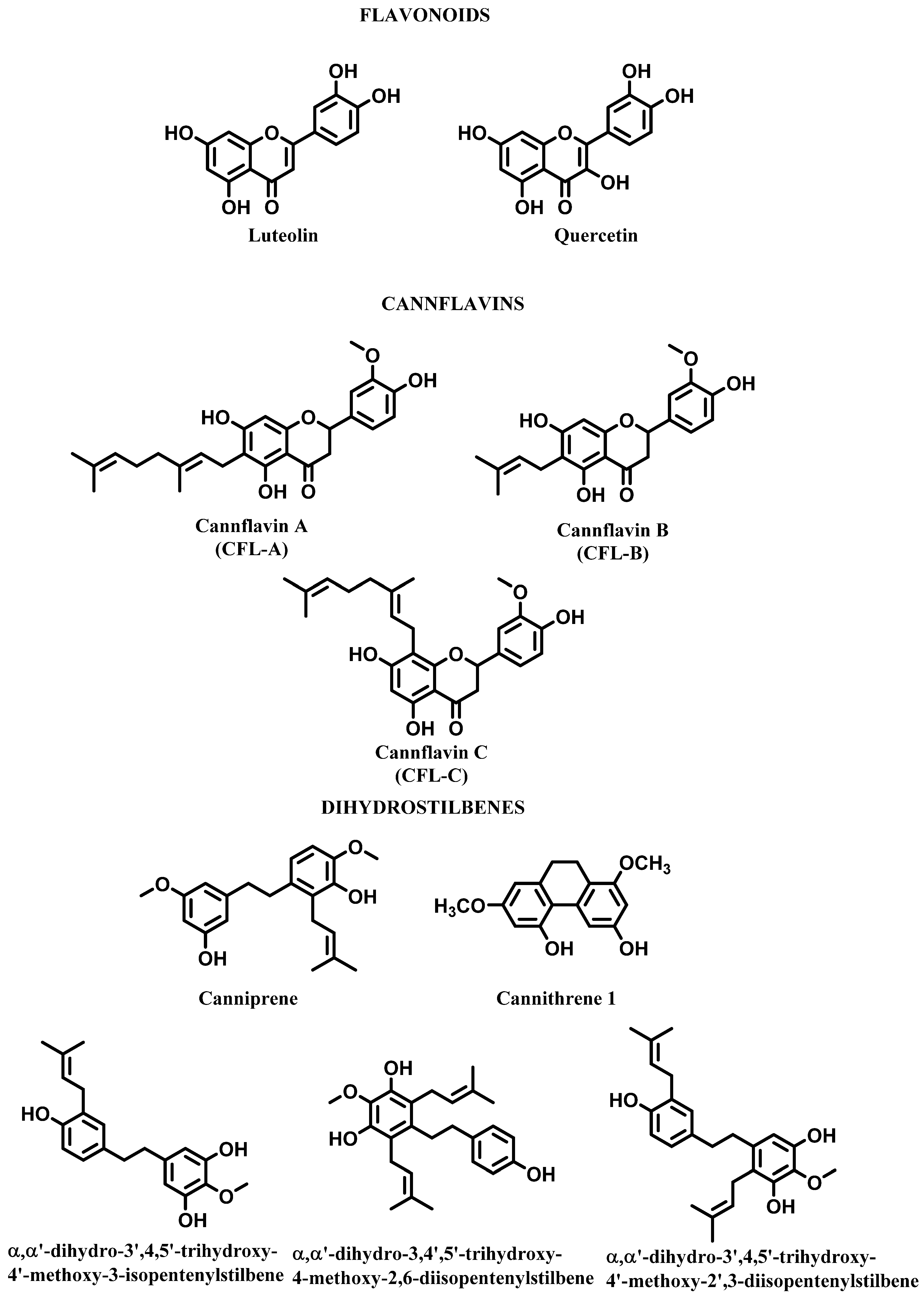
2.3. Polyphenols
2.4. Alkaloids
3. Alternative Cannabis Matrices
3.1. Cannabis Roots
3.2. Cannabis Seeds and Seedhulls
3.3. Cannabis Leaves as Functional Foods
4. Cultivation Techniques Especially Effective on Cannabis sativa—Recent Updates
4.1. The State of the Art
4.2. Soilless Growing Technologies Applied to Cannabis: Hydroponic, Aquaponic, and Aeroponic Cultivation—Recent Updates
4.3. LED Lighting Techniques
4.4. Cannabis Symbiotic Microorganisms: A Yet Unexplored Scenario
5. Brain-Related Effects of Cannabis Use: Risks and Beneficial Impact in Users and Patients
6. Conclusions
Author Contributions
Funding
Acknowledgments
Conflicts of Interest
References
- Martinez, A.S.; Lanaridi, O.; Stagel, K.; Halbwirth, H.; Schnűrch, M.; Bica Schröder, K. Extraction techniques for bioactive compounds of cannabis. Nat. Prod. Rep. 2023, 40, 676–717. [Google Scholar] [CrossRef] [PubMed]
- Hanuš, L.O.; Meyer, S.M.; Muñoz, E.; Taglialatela-Scafati, O.; Appendino, G. A unified critical inventory. Nat. Prod. Rep. 2016, 33, 1357–1392. [Google Scholar] [CrossRef] [PubMed]
- ElSohly, M.A.; Radwan, M.M.; Gul, W.; Chandra, S.; Galal, A. Phytochemistry of Cannabis sativa L. Progr. Chem. Org. Nat. Prod. 2017, 103, 1–36. [Google Scholar]
- Pisanti, S.; Bifulco, M. Medical Cannabis: A plurimillennial history of an evergreen. J. Cell. Physiol. 2019, 234, 8342–8351. [Google Scholar] [CrossRef]
- Kanabus, J.; Bryla, M.; Roszko, M.; Modrzewska, M.; Pierzgalski, A. Cannabinoids—Characteristics and potential for use in food production. Molecules 2021, 26, 6723. [Google Scholar] [CrossRef]
- Mattoteia, D. Novel Chemistry of Biological Relevance. Ph.D. Thesis, Università Degli Studi Piemonte Orientale “Amedeo Avogadro”, Vercelli, Italy, 2021. [Google Scholar]
- Gonçalves, E.C.D.; Baldasso, G.M.; Bicca, M.A.; Paes, R.S.; Capasso, R.; Dutra, R.C. Terpenoids, cannabimetic ligands, beyond the Cannabis plant. Molecules 2020, 25, 1567. [Google Scholar] [CrossRef]
- Karke, T.; Singh, M.R. The application of hemp (Cannabis sativa L.) for a green economy: A review. Turk. J. Bot. 2019, 43, 710–723. [Google Scholar] [CrossRef]
- Hesami, M.; Pepe, M.; Baiton, A.; Salami, S.A.; Jones, A.M.P. New insight into ornamental applications of cannabis: Perspective and challenges. Plants 2022, 11, 2383. [Google Scholar] [CrossRef]
- Krüger, M.; van Eeden, T.; Beswa, D. Cannabis sativa cannabinoids as functional ingredients in snack foods—Historical and developmental aspects. Plants 2022, 11, 3330. [Google Scholar] [CrossRef]
- Hesami, M.; Pepe, M.; Baiton, A.; Salami, S.A.; Jones, A.M.P. Current status and future prospects in cannabinoid production trough in vitro culture and synthetic biology. Biotech. Adv. 2023, 62, 108074. [Google Scholar] [CrossRef]
- Kovalchuk, I.; Pellino, M.; Rigault, P.; van Velzen, R.; Ebersbach, J.; Ashnest, J.R.; Mau, M.; Schranz, M.E.; Alcorn, J.; Laprairie, R.B.; et al. The genomics of Cannabis and its close relatives. Annu. Rev. Plants Biol. 2020, 71, 713–739. [Google Scholar] [CrossRef] [PubMed]
- Hesami, M.; Pepe, M.; Alizadeh, M.; Rakei, A.; Baiton, A.; Jones, A.M.P. Recent advances in cannabis biotechnology. Ind. Crops Prod. 2020, 158, 113026. [Google Scholar] [CrossRef]
- Nava, V.; Albergamo, A.; Bartolomeo, G.; Rando, R.; Litrenta, F.; Lo Vecchio, G.; Giorgianni, M.C.; Cicero, N. Monitoring Cannabinoids and the Safety of the Trace Element Profile of Light Cannabis sativa L. from Different Varieties and Geographical Origin. Toxics 2022, 10, 758. [Google Scholar] [CrossRef] [PubMed]
- Amendola, G.; Bocca, B.; Picardo, V.; Pelosi, P.; Battistini, B.; Ruggieri, F.; Barbini, D.A.; De Vita, D.; Madia, V.N.; Messore, A.; et al. Toxicological aspects of cannabinoid, pesticide and metal levels detected in light Cannabis inflorescences grown in Italy. Food Chem. Toxicol. 2021, 156, 112447. [Google Scholar] [CrossRef]
- Bengyella, L.; Kuddus, M.; Mukherjee, P.; Fonmboh, D.J.; Kaminski, J.E. Global impact of trace non-essential heavy metal contaminants in industrial cannabis bioeconomy. Toxin Rev. 2021, 41, 1215–1225. [Google Scholar] [CrossRef]
- Liu, Y.; Liu, H.-Y.; Li, S.-H.; Ma, W.; Wu, D.-T.; Li, H.-B.; Xiao, A.-P.; Liu, L.-L.; Zhu, F.; Gan, R.-Y. Cannabis sativa bioactive compounds and their extraction, separation, purifications, and identification technologies: An updated review. Trends Anal. Chem. 2022, 149, 116554. [Google Scholar] [CrossRef]
- Stefkov, G.; Karanfilova, I.C.; Gjorgievska, V.S.; Trajkovska, A.; Geskovski, N.; Karapandzova, M.; Kulevanova, S. Analytical techniques for phytocannabinoid profiling of cannabis and cannabis-based products—A comprehensive review. Molecules 2022, 27, 975. [Google Scholar] [CrossRef]
- De Vita, S.; Finamore, C.; Chini, M.G.; Saviano, G.; De Felice, V.; De Martino, S.; Lauro, G.; Casapullo, A.; Fantasma, F.; Trombetta, F.; et al. Phytochemical analysis of the methanolic extract and essential oil from leaves of industrial hemp Futura 75 cultivar: Isolation of a new cannabinoid derivative and biological profile using computational approaches. Plants 2022, 11, 1671. [Google Scholar] [CrossRef]
- Lelario, F.; Pascale, R.; Bianco, G.; Scrano, L.; Bufo, S.A. Hemp chemotype definition by cannabinoids characterization using LC-ESI(+)-LTQ-FTICR MS and infrared multiphoton dissociation. Separation 2021, 8, 245. [Google Scholar] [CrossRef]
- Sommano, S.R.; Chittasupho, C.; Ruksiriwanich, W.; Jantrawut, P. The Cannabis terpenes. Molecules 2020, 25, 5792. [Google Scholar] [CrossRef]
- Calvi, M.; Bontempo, L.; Pizzini, S.; Cucinotta, L.; Camin, F.; Stenni, B. Isotopic characterization of Italian industrial hemp (Cannabis sativa L.) intended for food use: A first exploratory study. Separations 2022, 9, 136. [Google Scholar] [CrossRef]
- Mandrioli, M.; Tura, M.; Scotti, S.; Gallina Toschi, T. Fast detection of 10 cannabinoids by RP-HPLC-UV method in Cannabis sativa L. Molecules 2019, 24, 2113. [Google Scholar] [CrossRef] [PubMed]
- Hanuš, L.O.; Hod, Y. Terpene/terpenoids in cannabis are they important? Med. Cannabis Cannabinoids 2020, 3, 25–60. [Google Scholar] [CrossRef] [PubMed]
- Andre, C.M.; Hausman, J.-F.; Guerriero, G. Cannabis sativa: The plant of the thousand and one molecules. Front. Plant Sci. 2016, 7, 19. [Google Scholar] [CrossRef]
- Wiles, D.; Shanbhag, B.K.; O’Brien, M.; Doblin, M.S.; Bacic, A.; Beddoe, T. Heterologous production of Cannabis sativa-derived specialized metabolites of medicinal significance—insight into engineering strategies. Phytochemistry 2022, 203, 113380. [Google Scholar] [CrossRef]
- Citti, C.; Linciano, P.; Russo, F.; Luongo, L.; Iannotta, M.; Maione, S.; Laganà, A.; Capriotti, A.L.; Forni, F.; Vandelli, M.A.; et al. A novel phytocannabinoid isolated from Cannabis sativa L. with an in vivo cannabimimetic activity higher than Δ9-tetrahydrocannabinol: Δ9-Tetrahydrocannabiphorol. Sci. Rep. 2019, 9, 20335. [Google Scholar] [CrossRef]
- Schafrot, M.A.; Mazzoccanti, G.; Reynoso-Moreno, I.; Erni, R.; Pollastro, F.; Caprioglio, D.; Botta, B.; Allegrone, G.; Grassi, G.; Chicca, A.; et al. Δ9-cis-Tetrahydrocannabinol: Natural occurrence, chirality, and pharmacology. J. Nat. Prod. 2021, 84, 2502–2510. [Google Scholar] [CrossRef]
- Chianese, G.; Lopatriello, A.; Schiano-Moriello, A.; Caprioglio, D.; Mattoteia, D.; Benetti, E.; Ciceri, D.; Arnoldi, L.; De Combarieu, E.; Vitale, R.M.; et al. Cannabitwinol, a dimeric phytocannabinoid from hemp, Cannabis sativa L., is a selective thermo-TRP modulator. J. Nat. Prod. 2020, 83, 2727–2736. [Google Scholar] [CrossRef]
- Vuerich, M.; Ferfuia, C.; Zuliani, F.; Piani, B.; Sepulcri, A.; Baldini, M. Yield and quality of essential oils in hemp varieties in different environments. Agronomy 2019, 9, 356. [Google Scholar] [CrossRef]
- Bakro, F.; Jedryczka, M.; Wielgusz, K.; Sgorbini, B.; Inchingolo, R.; Cardenia, V. Simultaneous determination of terpenes and cannabidiol in hemp (Cannabis sativa L.) by fast chromatography with flame ionization detection. J. Sep. Sci. 2020, 43, 2817–2826. [Google Scholar] [CrossRef]
- Fiorini, D.; Scortichini, S.; Bonacucina, G.; Greco, N.G.; Mazzara, E.; Petrelli, R.; Torresi, J.; Maggi, F.; Cespi, M. Cannabidiol-enriched hemp essential oil obtained by an optimized microwave-assisted extraction using a central composite design. Ind. Crops Prod. 2020, 154, 112688. [Google Scholar] [CrossRef]
- Nagy, D.U.; Cianfaglione, K.; Maggi, F.; Sut, S.; Dall’Acqua, S. Chemical characterization of leaves, male and female flowers from spontaneous cannabis (Cannabis sativa L.) growing in Hungary. Chem Biodivers. 2019, 16, e1800562. [Google Scholar] [CrossRef]
- Bautista, J.L.; Yu, S.; Tian, L. Flavonoids in Cannabis sativa: Biosynthesis, bioactivities, and biotechnology. ACS Omega 2021, 6, 5119–5123. [Google Scholar] [CrossRef]
- Guo, T.; Liu, Q.; Hou, P.; Li, F.; Guo, S.; Song, W.; Zhang, H.; Liu, X.; Zhang, S.; Zhang, J.; et al. Stilbenoids and cannabinoids from the leaves of Cannabis sativa f. sativa with potential reverse cholesterol transport activity. Food Funct. 2018, 9, 6608–6617. [Google Scholar] [CrossRef]
- Leonard, W.; Xiong, Y.; Zhang, P.; Ying, D.; Fang, Z. Enhanced lignanamide absorption and antioxidative effect of extrude hempseed (Cannabis sativa L.) in caco-2 intestinal cell culture. J. Agric. Food Chem. 2021, 69, 11259–11271. [Google Scholar] [CrossRef] [PubMed]
- Wang, S.; Luo, Q.; Fan, P. Cannabisin F from hemp (Cannabis sativa) seed suppresses lipolysaccharide-induced inflammatory responses in BV2 microglia as SIRT1 modulator. Int. J. Mol. Sci. 2019, 20, 507. [Google Scholar] [CrossRef]
- Sakakibara, I.; Katsuhara, T.; Ikeya, Y.; Hayashi, K.; Mitsuhashi, H. Cannabisin A, an arylnaphthalene lignanamide from fruits of Cannabis sativa. Phytochemistry 1991, 30, 3013–3016. [Google Scholar] [CrossRef]
- Yana, X.; Tang, J.; dos Santos Possos, C.; Nurisso, A.; Simões-Pires, C.A.; Ji, M.; Lou, H.; Fan, P. Characterization of lignanamides from hemp (Cannabis sativa L.) seed and their antioxidant and acetylcholinesterase inhibitory activities. J. Agric. Food Chem. 2015, 63, 10611–10619. [Google Scholar] [CrossRef] [PubMed]
- Yan, X.; Zhou, Y.; Tang, J.; Ji, M.; Lou, H.; Fan, P. Diketopiperazine indole alkaloids from hemp seed. Phytochem. Let. 2016, 18, 77–82. [Google Scholar] [CrossRef]
- Kornpointner, C.; Martinez, A.S.; Marinovic, S.; Haselmair-Gosh, C.; Jamnik, P.; Schröder, K.; Löfke, C.; Halbwirth, H. Chemical composition and antioxidant potential of Cannabis sativa L. roots. Ind. Crops Prod. 2021, 165, 113422. [Google Scholar] [CrossRef]
- Ryz, N.R.; Remillard, D.J.; Russo, E.B. Cannabis roots: A traditional therapy with future potential for treating inflammation and pain. Cannabis Cannabinoid Res. 2017, 2, 210–216. [Google Scholar] [CrossRef] [PubMed]
- Ferrini, F.; Fraternale, D.; Donati Zeppa, S.; Verardo, G.; Gorassini, A.; Carrabs, V.; Albertini, M.C.; Sestili, P. Yield, characterization, and possible exploitation of Cannabis sativa L. roots grown under aeroponics cultivation. Molecules 2021, 26, 4889. [Google Scholar] [CrossRef] [PubMed]
- Oh, C.M.; Choi, J.Y.; Bae, I.A.; Kim, H.T.; Hong, S.S.; Noah, J.K.; Boo, Y.C. Identification of p-.coumaric acid and ethyl p-coumarate as the main phenolic components of hemp (Cannabis sativa L.) roots. Molecules 2022, 27, 2781. [Google Scholar] [CrossRef]
- Fuentes, G.; Iglesias, A.; Orallo, D.; Fangio, F.; Ramos, F.; Mitton, G.; Fuselli, S.; Matias, S.; Ramirez, C. Antibacterial activity of cannabis (Cannabis sativa L.) female inflorescence and root extracts against Paenibacillus larvae, causal agent of American foulbrood. Biocatal. Agric. Biotechn. 2023, 47, 102575. [Google Scholar]
- Singleton, V.L.; Rossi, J.A. Colorimetry of total phenolics with phosphomolybdic phosphotungstic acid reagents. Am. J. Enol. Vitic. 1965, 16, 144–158. [Google Scholar]
- Woisky, R.G.; Salatino, A. Analysis of propolis: Some parameters and procedures for chemical quality control. Analysis of propolis: Some parameters and procedures for chemical quality control. J. Apicult. Res. 1998, 2, 99–105. [Google Scholar] [CrossRef]
- Lamuela-Raventós, R.M. Folin–Ciocalteu method for the measurement of total phenolic content and antioxidant capacity. In Measurement of Antioxidant Activity & Capacity: Recent Trends and Applications, 1st ed.; John Wiley & Sons Ltd.: Hoboken, NJ, USA, 2018. [Google Scholar]
- Le, A.V.; Parks, S.E.; Nguyen, M.H.; Roach, P.D. Improving the vanillin-sulphuric acid method for quantifying total saponins. Technologies 2018, 6, 84. [Google Scholar] [CrossRef]
- Gul, W.; Gul, S.W.; Chandra, S.; Lata, H.; Ibrahim, E.A.; ElSohly, M.A. Detection and quantification of cannabinoids in extracts of Cannabis sativa roots using LC-MS/MS. Planta Med. 2018, 84, 267–271. [Google Scholar] [CrossRef]
- Menezes, P.M.N.; Pereira, E.C.V.; Lima, K.S.B.; da Silva, B.A.O.; Brito, M.C.; de Lima Araújo, T.C.; Neto, J.A.; de Araujo Ribeiro, L.A.; Silva, F.S.; Rolim, L.A. Chemical analysis by LC-MS of Cannabis sativa root samples from Northeast Brazil and evaluation of antitussive and expectorant activities. Planta Med. 2022, 88, 1223–1232. [Google Scholar] [CrossRef]
- Banskota, A.H.; Jones, A.; Hui, J.P.M.; Stefanova, R.; Burton, I.W. Analysis of polar lipids in hemp (Cannabis sativa L.) by-products by ultra-high performance liquid chromatography and high resolution mass spectrometry. Molecules 2022, 27, 5856. [Google Scholar] [CrossRef]
- Leonard, W.; Zhang, P.; Ying, D.; Nie, S.; Liu, S.; Fang, Z. Post-extrusion physical properties, techno-functionality and microbiota potential of hempseed (Cannabis sativa L.). Food Hydrocol. 2022, 131, 1077836. [Google Scholar] [CrossRef]
- Alons-Esteban, J.I.; Pinela, J.; Ćiric, A.; Calhelha, F.F.; Soković, M.; Ferreira, I.C.F.R.; Barros, L.; Torija-Isasa, E.; de Cortes Sánchez-Mata, M. Chemical composition and biological activities of whole and dehulled hemp (Cannabis sativa L.) seeds. Food Chem. 2022, 374, 131754. [Google Scholar] [CrossRef] [PubMed]
- Ben Necib, R.; Manca, C.; Lacroix, S.; Martin, C.; Flamand, N.; Di Marzo, V.; Silvestri, C. Hemp seed significantly modulates the endocannabinoidome and produces beneficial metabolic effects with improved intestinal barrier function and decreased inflammation in mice under high-fat, high-sucrose diet as compared with linseed. Front. Immunol. 2022, 13, 882455. [Google Scholar] [CrossRef] [PubMed]
- Devi, V.; Khanam, S. Study of ω-6 linoleic and ω-3 α-linoleic acids of hemp (Cannabis sativa) seed oil extrcated by supercritical CO2 extraction: CCD optimization. J. Environ. Chem. Eng. 2019, 7, 102818. [Google Scholar] [CrossRef]
- Kakkar, S.; Tandon, R.; Tandon, N. The rising status of edible seeds in lifestyle related disease: A review. Food Chem. 2023, 402, 134220. [Google Scholar] [CrossRef]
- Berstein, N.; Gorelick, J.; Koch, S. Interplay between chemistry and morphology in medical cannabis (Cannabis sativa L.). Ind. Crops Prod. 2019, 129, 185–194. [Google Scholar] [CrossRef]
- Wiredu Addo, P.; Desaulniers Brousseau, V.; Morello, V.; MacPherson, S.; Paris, M.; Lefsrud, M. Cannabis chemistry, post-harvest processing methods and secondary metabolites profiling. A review. Ind. Crops Prod. 2021, 170, 113743. [Google Scholar] [CrossRef]
- Danzigr, N.; Bernstein, N. Plant architecture manipulation increases cannabinoid standardization in ‘drug-type’ medical cannabis. Ind. Crops Prod. 2021, 167, 113528. [Google Scholar] [CrossRef]
- Capalna, D.; Stemeroff, J.; Dixon, M.; Zheng, Y. Vegetative propagation of cannabis by stem cuttings: Effects of leaf numebr, cutting porsition, rooting hormone, and leaf tip removal. Can. J. Plant Sci. 2018, 98, 5. [Google Scholar] [CrossRef]
- Russo, F.; Tolomeo, F.; Vandelli, M.A.; Biagini, G.; Paris, R.; Fulvio, F.; Laganà, A.; Capriotti, A.L.; Carbone, L.; Gigli, G.; et al. Kyurenine and kynurenic acid: Two human neuromodulators found in Cannabis sativa L. J. Pharm. Biomed. Anal. 2022, 211, 114636. [Google Scholar] [CrossRef]
- Siracusa, L.; Ruberto, G. Plant polyphenol profiles as a tool for traceability and valuable support to biodiversity. Chapter II (15–33). In Polyphenols in Plants: Isolation, Purification and Extract Preparation, 1st ed.; Elsevier Books: Amsterdam, The Netherlands, 2014; ISBN 9780123979346. [Google Scholar]
- García-Tejero, I.F.; Durán Zuazo, V.H.; Sánchez-Carnenero, C.; Hernández, A.; Ferreiro-Vera, C.; Casano, S. Seeking suitable agronomical practices for industrial hemp (Cannabis sativa L.) cultivation for biomedical applications. Ind. Crops Prod. 2019, 139, 111524. [Google Scholar] [CrossRef]
- Oultram, J.M.J.; Pegler, J.L.; Bowser, T.A.; Ney, L.J.; Eamens, A.L.; Grof, C.P.L. Cannabis sativa: Interdisciplinary strategies and avenues for medical and commercial progression outside of CBD and THC. Biomedicines 2021, 9, 234. [Google Scholar] [CrossRef]
- Wimmerova, L.; Keken, Z.; Solcova, O.; Bartos, L.; Spacilova, M. A comparative LCA of aeroponic, hydroponic, and soil cultivations of bioactive substance producing plants. Sustainability 2022, 14, 2421. [Google Scholar] [CrossRef]
- Yep, B.; Gale, N.V.; Zheng, Y. Comparing hydroponic and aquaponic rootzones on the growth of two drug type Cannabis sativa L. cultivars during the flowering stage. Ind. Crops Prod. 2020, 157, 112881. [Google Scholar] [CrossRef]
- Landi, M.; Zivcak, M.; Sutar, O.; Brestic, M.; Allakhverdiev, S.I. Plasticity of photosynthetic processes and the accumulation of secondary metabolites in plants in response to monochromatic light environmnts. A review. BBA Bioenerg. 2020, 1861, 148131. [Google Scholar] [CrossRef] [PubMed]
- Gil, K.E.; Park, C.-M. Thermal adaptation and plasticity of the plant circadian clock. New Phytol. 2019, 221, 1215–1229. [Google Scholar] [CrossRef]
- Amaducci, S.; Zatta, A.; Pelatti, F.; Venturi, G. Influence of agronomic factors on yield and quality of hemp (Cannabis sativa L.) fibre and implocation for an innovative production system. Field Crops Res. 2008, 107, 161–169. [Google Scholar] [CrossRef]
- Eldridge, B.M.; Manzoni, L.R.; Graham, C.A.; Rodgers, B.; Farmer, J.R.; Dodd, A.N. Getting to the roots of aeroponic indoor farming. New Phytol. 2020, 228, 1183–1192. [Google Scholar] [CrossRef]
- Islam, M.J.; Ryu, B.R.; Azad, M.O.K.; Rahman, M.H.; Rana, M.S.; Kang, C.-W.; Lim, J.-D.; Lim, Y.-S. Comparative growth, photosynthetic pigments, and osmolytes analysis of hemp (Cannabis sativa L.) seedlings under an aeroponics system with different LED light sources. Horticulturae 2021, 7, 239. [Google Scholar] [CrossRef]
- Namdar, D.; Charuvi, D.; Ajjampura, V.; Mazuz, M.; Ion, A.; Kamara, I.; Koltai, H. LED lighting affects the composition and biological activity of Cannabis sativa secondary metabolites. Ind. Crops Prod. 2019, 132, 177–185. [Google Scholar] [CrossRef]
- Moher, M.; Llewellyn, D.; Jones, M.; Zheng, Y. Light intensity can be used to modify the growth and morphological characteristics of cannabis during the vegetative stage of indoor production. Ind. Crops Prod. 2022, 183, 114909. [Google Scholar] [CrossRef]
- Taghinasab, M.; Jabaji, S. Cannabis microbiome and the role of endophytes in modulating the production of secondary metabolites: An overview. Microorganisms 2020, 8, 355. [Google Scholar] [CrossRef] [PubMed]
- Pagnani, G.; Pellegrini, M.; Galieni, A.; D’Egidio, S.; Matteucci, F.; Ricci, A.; Stagnari, F.; Sergi, M.; Lo Sterzo, C.; Pisante, M.; et al. Plant growth-promoting rhizobacteria (PGPR) in Cannabis sativa ‘Finola’ cultivation: An alternative fertilization strategy to improve plant growth and quality characteristics. Ind. Crop. Prod. 2018, 123, 75–83. [Google Scholar] [CrossRef]
- Urits, I.; Charipova, K.; Gress, K.; Li, L.; Berger, A.A.; Cornett, E.M.; Kassem, H.; Ngo, A.L.; Kaye, A.D.; Viswanath, O. Adverse Effects of Recreational and Medical Cannabis. Psychopharmacol. Bull. 2021, 51, 94. [Google Scholar] [PubMed]
- De Faria, L.; Mezey, L.; Winkler, A. Cannabis Legalization and College Mental Health. Curr. Psychiatry Rep. 2021, 23, 17. [Google Scholar] [CrossRef]
- St Pierre, M.; Daniels, S.; Sanchez, T.A.; Holtzman, S.; Russo, E.B.; Walsh, Z.J. The Naturalistic Cannabis Administration Protocol (NCAP): A Proof-of-Concept Study. Psychoact. Drugs 2022, 21, 1. [Google Scholar] [CrossRef]
- Scott, J.C.; Slomiak, S.T.; Jones, J.D.; Rosen, A.F.; Moore, T.M.; Gur, R.C. Association of Cannabis with Cognitive Functioning in Adolescents and Young Adults: A Systematic Review and Meta-analysis. JAMA Psychiatry 2018, 75, 585. [Google Scholar] [CrossRef]
- Jin, D.; Dai, K.; Xie, Z.; Chen, J. Secondary metabolites profiled in cannabis inflorescences, leaves, stem barks, and roots for medicinal purposes. Sci. Rep. 2020, 10, 3309. [Google Scholar] [CrossRef]
- Odieka, A.E.; Obuzor, G.U.; Oyedeji, O.O.; Gondwe, M.; Hosu, Y.S.; Oyedeji, A.O. The Medicinal Natural Products of Cannabis sativa Linn.: A Review. Molecules 2022, 27, 1689. [Google Scholar] [CrossRef]
- Morales, P.; Hurst, D.; Reggio, P. Molecular Targets of the Phytocannabinoids—A Complex Picture. Prog. Chem. Org. Nat. Prod. 2017, 103, 103–131. [Google Scholar]
- Cristino, L.; Bisogno, T.; Di Marzo, V. Cannabinoids and the expanded endocannabinoid system in neurological disorders. Nat. Rev. Neurol. 2020, 16, 9–29. [Google Scholar] [CrossRef] [PubMed]
- Mechoulam, R.; Gaoni, Y. A total synthesis of DL-Δ1- tetrahydrocannabinol, the active constituent of hashish. J. Am. Chem. Soc. 1965, 87, 3273–3275. [Google Scholar] [CrossRef] [PubMed]
- Matsuda, L.A.; Lolait, S.J.; Brownstein, M.J.; Young, A.C.; Bonner, T.I. Structure of a cannabinoid receptor and functional expression of the cloned cDNA. Nature 1990, 346, 561–564. [Google Scholar] [CrossRef] [PubMed]
- Devane, W.A.; Dysarz, F.A.; Johnson, M.R.; Melvin, L.S.; Howlett, A.C. Determination and characterization of a cannabinoid receptor in rat brain. Mol. Pharmacol. 1988, 34, 605–613. [Google Scholar] [PubMed]
- Munro, S.; Thomas, K.L.; Abu-Shaar, M. Molecular characterization of a peripheral receptor for cannabinoids. Nature 1993, 365, 61–65. [Google Scholar] [CrossRef]
- Devane, W.A.; Hanus, L.; Breuer, A.; Pertwee, R.G.; Stevenson, L.A.; Griffin, G.; Gibson, D.; Mandelbaum, A.; Etinger, A.; Mechoulam, R. Isolation and structure of a brain constituent that binds to the cannabinoid receptor. Science 1992, 258, 1946–1949. [Google Scholar] [CrossRef]
- Devane, W.A.; Hanus, L.; Breuer, A.; Pertwee, R.G.; Stevenson, L.A.; Griffin, G.; Gibson, D.; Mandelbaum, A.; Etinger, A.; Mechoulam, R. 2-Arachidonoylglycerol: A possible endogenous cannabinoid receptor ligand in brain. Biochem. Biophys. Res. Commun. 1995, 215, 89–97. [Google Scholar]
- Di Marzo, V.; Fontana, A. Anandamide, an endogenous cannabinomimetic eicosanoid: ‘killing two birds with one stone’. Prostaglandins Leukot. Essent. Fat. Acids. 1995, 53, 1–11. [Google Scholar] [CrossRef]
- Mechoulam, R.; Ben-Shabat, S.; Hanus, L.; Ligumsky, M.; Kaminski, N.E.; Schatz, A.R.; Gopher, A.; Almog, S.; Martin, B.R.; Compton, D.R.; et al. Identification of an endogenous 2-monoglyceride, present in canine gut, that binds to cannabinoid receptors. Biochem. Pharmacol. 1995, 50, 83–90. [Google Scholar] [CrossRef]
- Devinsky, O.; Patel, A.D.; Thiele, E.A.; Wong, M.H.; Appleton, R.; Harden, C.L.; Greenwood, S.; Morrison, G.; Sommerville, K.; GWPCARE1 Part A Study Group. 2018 Randomized, dose-ranging safety trial of cannabidiol in Dravet syndrome. Neurology 2018, 90, e1204–e1211. [Google Scholar] [CrossRef]
- Thiele, E.A.; Marsh, E.D.; French, J.A.; Mazurkiewicz-Beldzinska, M.; Benbadis, S.R.; Joshi, C.; Lyons, P.D.; Taylor, A.; Roberts, C.; Sommerville, K.; et al. Cannabidiol in patients with seizures associated with Lennox-Gastaut syndrome (GWPCARE4): A randomised, double-blind, placebo-controlled phase 3 trial. Lancet 2018, 391, 1085–1096. [Google Scholar] [CrossRef] [PubMed]
- Pamplona, F.A.; da Silva, L.R.; Coan, A.C. Corrigendum: Potential Clinical Benefits of CBD-Rich Cannabis Extracts Over Purified CBD in Treatment-Resistant Epilepsy: Observational Data Meta-analysis. Front. Neurol. 2019, 9, 1050. [Google Scholar] [CrossRef] [PubMed]
- Lewis, M.; Russo, E.; Smith, K. Pharmacological Foundations of Cannabis Chemovars. Planta Med. 2018, 84, 225–233. [Google Scholar] [CrossRef] [PubMed]
- Dumitru, C.A.; Sandalcioglu, I.E.; Karsak, M. Cannabinoids in Glioblastoma Therapy: New Applications for Old Drugs. Front. Mol. Neurosci. 2018, 11, 159. [Google Scholar] [CrossRef]
- Omalu, B.; Small, G.W.; Bailes, J.; Ercoli, L.M.; Merrill, D.A.; Wong, K.P.; Huang, S.C.; Satyamurthy, N.; Hammers, J.L.; Lee, J.; et al. Postmortem Autopsy-Confirmation of Antemortem [F-18]FDDNP-PET Scans in a Football Player With Chronic Traumatic Encephalopathy. Neurosurgery 2018, 82, 237–246. [Google Scholar] [CrossRef]
- Hergert, D.C.; Robertson-Benta, C.; Sicard, V.; Schwotzer, D.; Hutchison, K.; Covey, D.J.; Quinn, D.K.; Sadek, J.R.; McDonald, J.; Mayer, A.R. Use of Medical Cannabis to Treat Traumatic Brain Injury. J. Neurotrauma. 2021, 38, 1904–1917. [Google Scholar] [CrossRef]
- Bara, A.; Ferland, J.-M.N.; Rompala, G.; Szutorisz, H.; Hurd, Y.L. Cannabis and synaptic reprogramming of the developing brain. Nat. Rev. Neurosci. 2021, 22, 423–438. [Google Scholar] [CrossRef]
- Batalla, A.; Bos, J.; Postma, A.; Bossong, M.G. The Impact of Cannabidiol on Human Brain Function: A Systematic Review. Front. Pharmacol. 2021, 11, 618184. [Google Scholar] [CrossRef]
- Hindley, G.; Beck, K.; Borgan, F.; Ginestet, C.E.; McCutcheon, R.; Kleinloog, D.; Ganesh, S.; Radhakrishnan, R.; D’Souza, D.C.; Howes, O.D.; et al. Psychiatric symptoms caused by cannabis constituents: A systematic review and meta-analysis. Lancet Psychiatry 2020, 7, 344–353. [Google Scholar] [CrossRef]









| Code | Name | Formula | MW a |
|---|---|---|---|
| Δ9-THC | δ-9-Tetrahydrocannabinol | C21H30O2 | 314.55 |
| Δ8-THC | δ-8-Tetrahydrocannabinol | C21H30O2 | 314.52 |
| Δ9-THCP | (−)-trans-Tetrahydrocannabiphorol | C23H34O2 | 342.52 |
| THCV | Tetrahydrocannabivarin | C19H26O2 | 286.45 |
| Δ9-THCA-A | δ-9-Tetraidrocannabinolic acid A | C22H30O4 | 358.47 |
| NA b | Anhydrocannabimovone | C21H28O3 | 328.51 |
| CBN | Cannabinol | C21H26O2 | 310.43 |
| 7-OH-CBD | 7-Hydroxycannabinol | C21H30O3 | 330.46 |
| CBNA | Cannabinolic acid | C22H30O4 | 358.47 |
| CBD | Cannabidiol | C21H30O2 | 314.46 |
| CBDD | Cannabidiol dimethyl ether | C23H34O2 | 342.52 |
| CBD-C2 | Cannabidiorcol | C17H22O2 | 258.35 |
| CBD-DER1 | 1,2-Dihydroxycannabidiol | C21H33O4 | 348.36 |
| CBD-DER2 | 3,4-Dehydro-1,2-dihydroxycannabidin | C21H31O3 | 330.37 |
| CBD-DER3 | Hexocannabitriol | C21H3104 | 348.64 |
| CBC | Cannabichromene | C21H30O2 | 314.46 |
| CBG | Cannabigerol | C21H32O2 | 316.48 |
| CNM | Cannabimovone | C21H30O4 | 346.46 |
| CBND | Cannabinodol | C21H26O2 | 310.43 |
| CBE | Cannabielsoin | C21H30O4 | 346.46 |
| CBF | Cannabifuran | C21H26O2 | 310.24 |
| CBL | Cannabicyclol | C21H30O2 | 314.46 |
| CBT | Cannabitriol | C21H30O3 | 330.46 |
| CBR | Cannabiripsol | C21H32O4 | 348.23 |
| CBCA | Cannabichromenic acid | C22H30O4 | 358.21 |
| CBGA | Cannabigerolic acid | C22H32O4 | 360.49 |
| CBDA | Cannabidiolic acid | C22H30O4 | 358.47 |
| CBDP | Cannabiphorol | C23H34O2 | 342.52 |
| CBDD | Cannabitwinol | C43H60O4 | 64033 |
| CBDV | Cannabidivarin (Cannabidivarol) | C19H22O2 | 282.38 |
| CBTC | Cannabicitran | C21H30O2 | 314.46 |
| THCA/CBDA | >1 | Chemotype I |
| <1 | Chemotype III | |
| >1–<1 | Chemotype II | |
| High CBGA | Chemotype IV | |
| No cannabinoids | Chemotype V |
| Monoterpenes | |||||
| α-Thujene | Sabinene | α-Pinene | Camphene | α-Terpinene | β-Myrcene |
| β-Pinene | α-Phellandrene | 1,8-Cineole | (Z)-β-Ocimene | (E)-β-Ocimene | p-Cymene |
| Limonene | Δ3-Carene | α-Terpinene | γ-Terpinene | Fenchone | Terpinolene |
| Terpinen-4-ol | Linalool | Fenchol | Camphor | Isoborneol | Borneol |
| Menthol | α-Terpineol | Citronellol | Pulegone | Geranyl acetate | p-Cymenene |
| Geraniol | Nerol | Geranial | Neral | 2-Heptnone | Heptanal |
| 2-Pinen-10-ol | p-Cymen-8-ol | trans-Pinocarveol | Myrtenol | Linalool acetate | Safranal |
| Sesquiterpenes | |||||
| α-Ylangene | α-Copaene | β-Elemene | β-Longipinene | Z-Caryophyllene | β-Caryophyllene |
| α-Longipinene | α-Humulene | β-Guaiene | β-Acoradiene | γ-Himachalene | α-Selinene |
| β-Himacalene | δ-Amorphene | γ-Cadinene | δ-Cadinene | α-Cadinene | E-Nerolidol |
| Germacrene B | Spathunelol | Viridiflorol | Ledol | Humulene epoxide | epi-α-Bisabolol |
| α-Cedrene | Cedrol | β-Eudesmol | α-Bisabolol | Valencene | α-Calacorene |
| β-Patchoulene | γ-Gurjunene | α-Curcumene | β-Selinene | γ-Gurjunene | Globulol |
| Sativene | α-Santalene | Sesquithujene | α-Zingiberene | β-Curcumene | Palustrol |
| Iso-Caryophyllene | α-Bulnesene | Aromadendrene | 6,9-Guaiadiene | Iso-Valencenol | γ-Muurolene |
| Dehydro-aromadendrene | β-cis-Farnesene | Caryophyllene oxide | α-cis-Bergamotene | α-trans-Bergamotene | Allo-aromadendrene |
| Not Terpenoidic Compounds | |||||
| 2-Heptanone | Heptanal | Hexyl hexanoate | Nonanal | Eugenol | Estragol |
| Cannabinoids | |||||
| Cannabidivarol | Cannabicitran | Cannabidiol | Cannabichromene | Cannabigerol | Δ-9-THC |
| Code | Name | Formula |
|---|---|---|
| Epilepsy (Lennox–Gastaut and Dravet syndromes) | Cannabidiol (Epidiolex®) | Phase III, Regulatory approval |
| Chronic pain | THC, nabiximols | Phase II RCTs |
| Schizophrenia | CBD | Phase II |
| Sleep disturbance | THC, nabilone, nabiximols | Phase II–III |
| Tourette syndrome | THC, cannabis | Phase II, observational studies |
| Parkinson’s disease symptoms | THC, CBD, cannabis | Observational studies |
| Post-traumatic stress disorder | Cannabis | Observational studies |
| Dementia with agitation | THC, cannabis | Observational studies |
| Social anxiety | CBD | Phase II, observational studies |
Disclaimer/Publisher’s Note: The statements, opinions and data contained in all publications are solely those of the individual author(s) and contributor(s) and not of MDPI and/or the editor(s). MDPI and/or the editor(s) disclaim responsibility for any injury to people or property resulting from any ideas, methods, instructions or products referred to in the content. |
© 2023 by the authors. Licensee MDPI, Basel, Switzerland. This article is an open access article distributed under the terms and conditions of the Creative Commons Attribution (CC BY) license (https://creativecommons.org/licenses/by/4.0/).
Share and Cite
Siracusa, L.; Ruberto, G.; Cristino, L. Recent Research on Cannabis sativa L.: Phytochemistry, New Matrices, Cultivation Techniques, and Recent Updates on Its Brain-Related Effects (2018–2023). Molecules 2023, 28, 3387. https://doi.org/10.3390/molecules28083387
Siracusa L, Ruberto G, Cristino L. Recent Research on Cannabis sativa L.: Phytochemistry, New Matrices, Cultivation Techniques, and Recent Updates on Its Brain-Related Effects (2018–2023). Molecules. 2023; 28(8):3387. https://doi.org/10.3390/molecules28083387
Chicago/Turabian StyleSiracusa, Laura, Giuseppe Ruberto, and Luigia Cristino. 2023. "Recent Research on Cannabis sativa L.: Phytochemistry, New Matrices, Cultivation Techniques, and Recent Updates on Its Brain-Related Effects (2018–2023)" Molecules 28, no. 8: 3387. https://doi.org/10.3390/molecules28083387
APA StyleSiracusa, L., Ruberto, G., & Cristino, L. (2023). Recent Research on Cannabis sativa L.: Phytochemistry, New Matrices, Cultivation Techniques, and Recent Updates on Its Brain-Related Effects (2018–2023). Molecules, 28(8), 3387. https://doi.org/10.3390/molecules28083387

