Recent Advances in the Synthesis of Propargyl Derivatives, and Their Application as Synthetic Intermediates and Building Blocks †
Abstract
1. Introduction
2. Types of Substrates
2.1. (a) Aldehydes and Ketones and (b) Hemiacetals
- (a)
- Aldehyde and ketones
2.1.1. With Boron-Based Propargyl Reagents
2.1.2. With Propargyl Silanes
2.1.3. With Propargyl Halides
2.1.4. With Organometallic Propargyl Reagents
2.1.5. With Propargylic Ethers, Acids, and Esters
2.1.6. With Methylene-Active Propargyl Compounds
2.1.7. With 1,3-Enynes
2.1.8. With Aryl-Acetylenes
- (b)
- Hemiacetals
2.2. (a) Imines, (b) Iminium, and (c) Azo Compounds
- (a)
- Imines
2.2.1. With Propargyl Halide/Metal Reagents
2.2.2. With Propargyl/Allenyl Boron Reagents
2.2.3. With Propargyl/Allenyl-MX reagents
2.2.4. With Imino-Masked Propargyl Reagents
- (b)
- Iminium Compounds
2.2.5. With Propiolic Acids
2.2.6. With Acetylene Derivatives
- (c)
- Azo compounds
2.2.7. With Propargyl Halides
2.3. Aryl and Heterocyclic Derivatives
- (a)
- Aryl derivatives
2.3.1. With Propargyl-TMS
2.3.2. With Propargyl Alcohols
2.3.3. With Propargyl Fluorides
2.3.4. With Propargyl Phosphates
2.3.5. With Propargyl Cation Equivalents
- (b)
- Heterocyclic derivatives
- (i)
- Indoles
2.3.6. With Propargyl Alcohols, Ethers, and Esters
2.3.7. With Allenyl Bromides
- (ii)
- Other heterocyclic substrates
2.3.8. With Propargyl-TMS
2.3.9. With Allenyl Bromide
2.3.10. With Propargyl Alcohols
2.4. Acyl Halides
With Propargyl-Organolithium Reagent
2.5. Amine/Amide Derivatives
2.5.1. With Propargyl Alcohols
2.5.2. With Propargyl Bromide
2.5.3. With Propargylic Cation Intermediates
2.6. Vinylstananes
With Propargyl Bromide
2.7. (a) Alcohols, (b) Enol-Like Precursors, (c) Phenols, (d) Thiols, and (e) Carboxylic Acids
- (a)
- Alcohols
2.7.1. With Propargyl Bromides
2.7.2. With Propargyl Esters
2.7.3. With Propargyl Alcohol/Ethers
- (b)
- Enolic substrates
2.7.4. With Propargyl Bromides
- (c)
- Phenolic substrates
2.7.5. With Propargyl Bromides
2.7.6. With Propargyl Alcohols/Ethers
- (d)
- Thiolic substrates
2.7.7. With Propargyl Bromide
2.7.8. Propargylic Cation Intermediates
- (e)
- Carboxylic acids
2.7.9. With Propargyl Bromide and Propargylamine
2.7.10. With O-Propargylated Hydroxylamine
2.7.11. With Propargylic Cation Intermediates
2.8. (a) Alkenes, (b) Allenes, and (c) Enynes
- (a)
- Alkenes
2.8.1. With Propargyl-/Allenylboron
2.8.2. With Propargyl Alcohols
2.8.3. With Propargyl Bromides
- (b)
- Alkenes
2.8.4. With Propargyl Ethers/Esters
2.8.5. With Propargyl Bromides
- (c)
- Enynes
2.8.6. With Propargyl Alcohols
2.9. Carbanionic-Like Nucleophiles
2.9.1. With Propargyl Alcohols
2.9.2. With Propargyl Halides/Phosphoesters
2.9.3. With Propargyl Ethers or Esters
- (i)
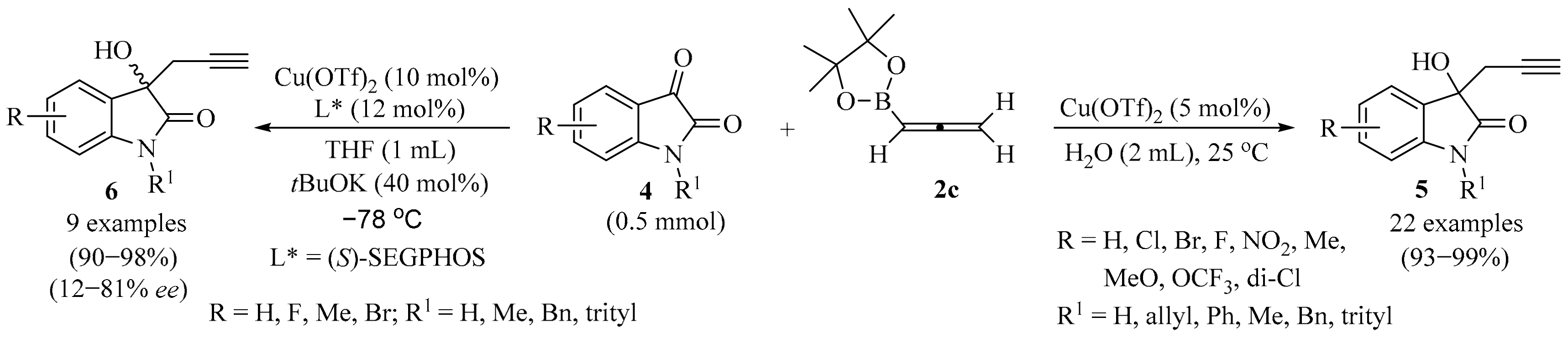
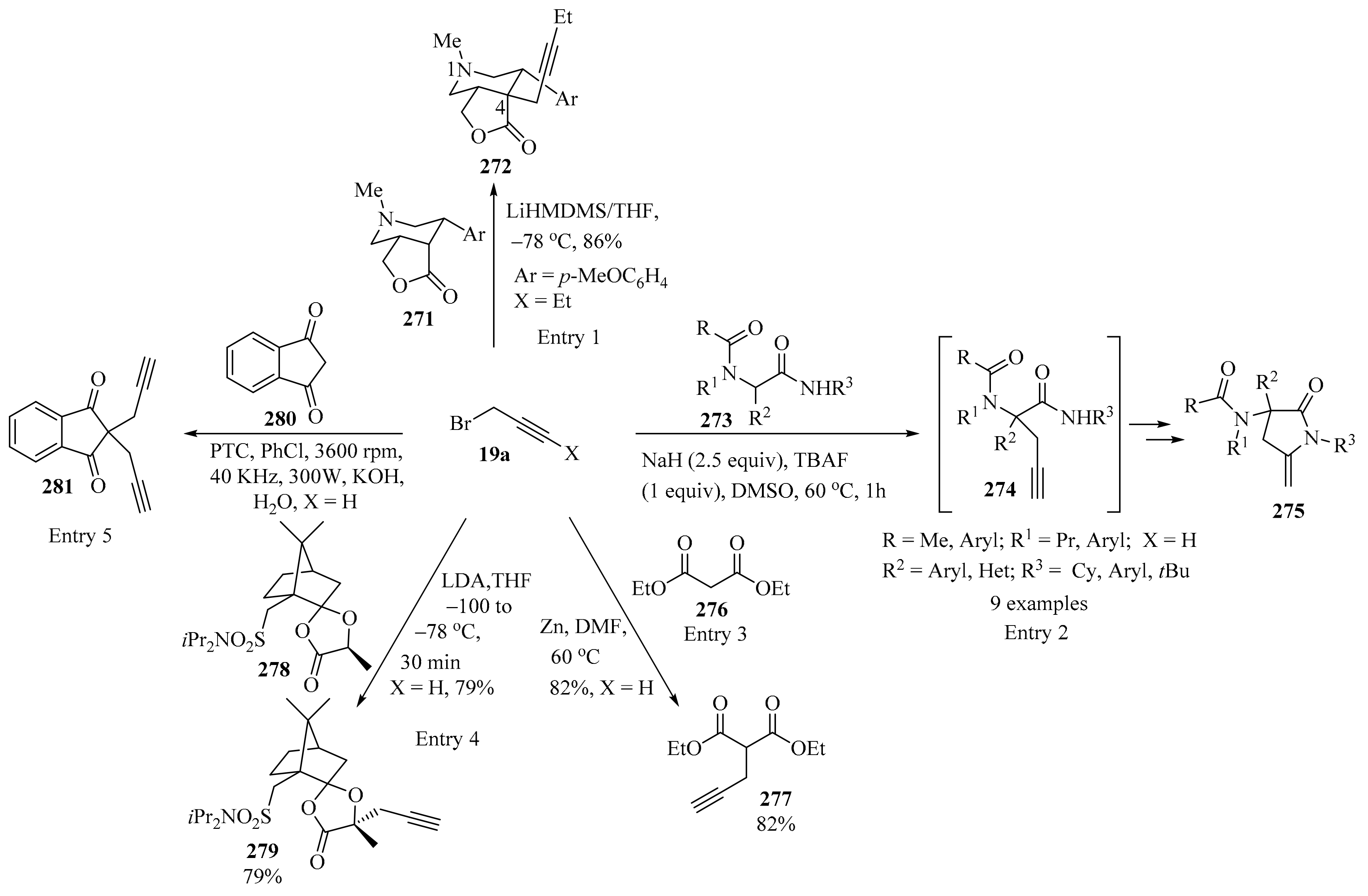
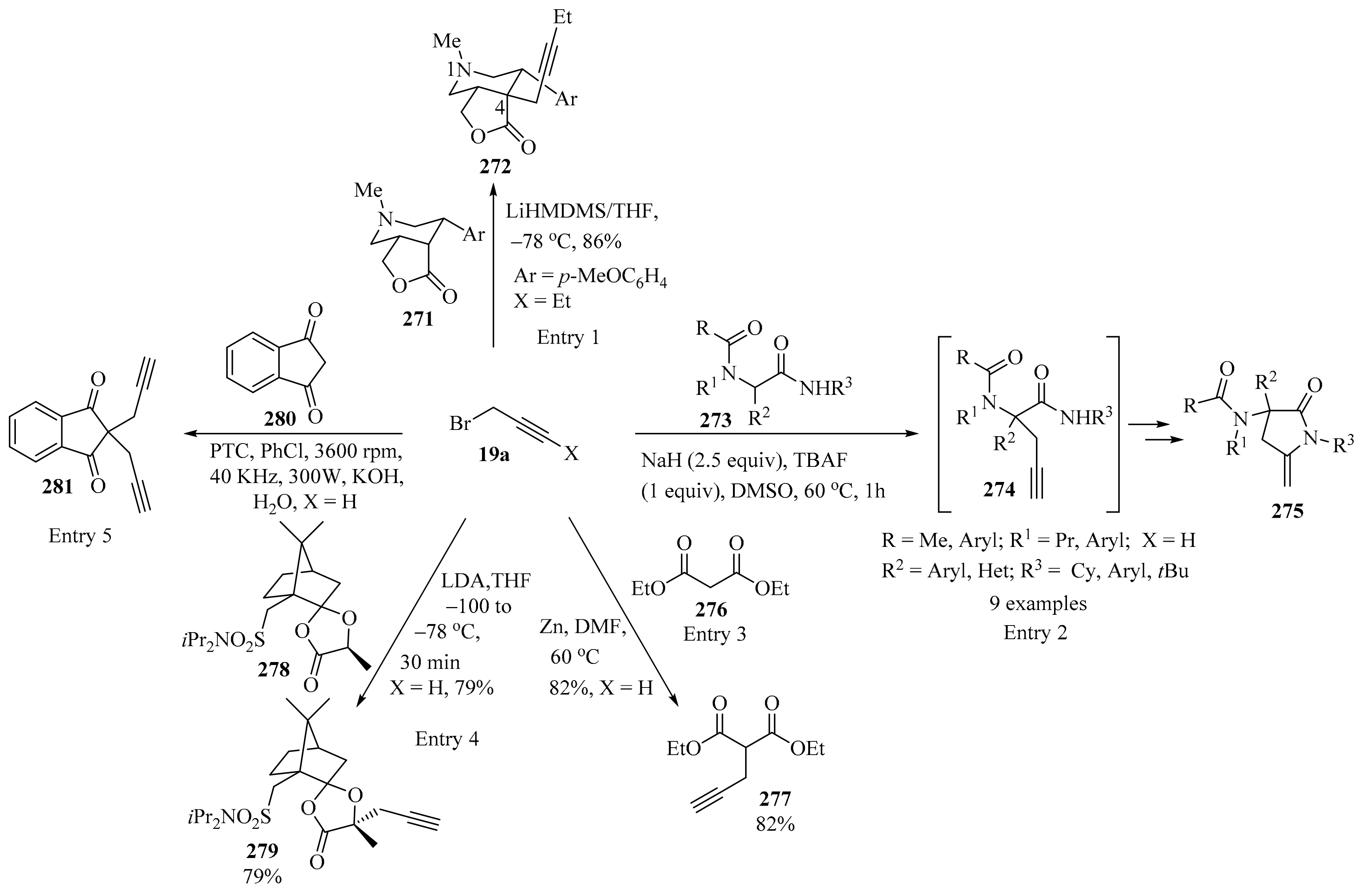
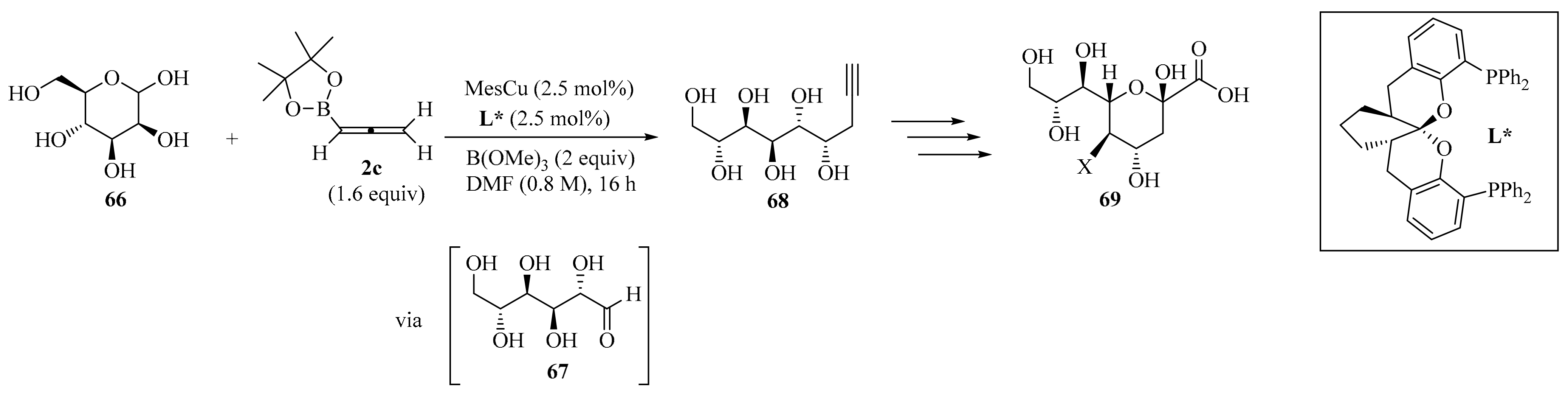
- The synthesis of a series of optically active 3,3-disubstituted oxindole skeletons 295 bearing vicinal tertiary and all-carbon quaternary stereocenters via the propargylation of 3-substituted oxindoles 294 with propargylic acetates 200, using Cu(ACN)4PF6 combined with a chiral tridentate ferrocenyl, P,N,N-ligand L1*, in methanol, entry 1 [221].
- (ii)
- The synthesis of a series of propargyl nitro derivatives 297 bearing two contiguous stereogenic centers by reacting propargylic carbonates 200 with α-substituted nitroacetates 296 using Cu−pybox as catalyst. The most striking features of these reactions are the observed high diastereo- and enantioselectivities. Products 297 were further employed as precursors of non-proteinogenic quaternary α-amino acids after the reduction of their nitro groups, entry 2 [222].
- (iii)
- The synthesis of highly functionalized chiral propargylated P-ylides 299 via the copper-catalyzed asymmetric propargylation of phosphonium salts 298 with racemic propargylic esters 200, in the presence of the chiral ligand L*, and further Wittig reactions of 299 with aliphatic aldehydes; this led to the synthesis of diversely substituted chiral propargylated alkene building blocks 300 (Scheme 96, entry 3), with a wide substrate scope and satisfactory functional group compatibility [223].
- (iv)
- The synthesis of terminal alkyne-containing products 303 and 304 bearing two vicinal stereocenters via an asymmetric propargylic substitution (APS) reaction of thiazolones 301 (A = S) and oxazolones 302 (A = O) with propargyl esters 200 (X = H) mediated by Cu/Zn and Cu/Ti dual metal catalytic systems (Scheme 96, entry 4). The resulting functional group-rich products exhibited good to excellent diastereo- and enantioselectivities [224].
- (v)
- The enantioselective synthesis of propargylic diesters 305 via a nickel/Lewis acid-catalyzed asymmetric propargyl substitution, by reacting achiral starting-type materials 263 and 54 under mild conditions. The introduction of a Lewis acid cocatalyst such as Yb(OTf)3 was crucial in transforming the mixture of 263 and 54 into products 305 (Scheme 97). Further, this asymmetric propargylic substitution reaction was investigated for the development of a range of structurally diverse natural products and seven biologically active compounds, namely, (−)-thiohexital, (+)-thiopental, (+)-pentobarbital, (−)-AMG 837, (+)-phenoxanol, (+)-citralis, and (−)-citralis, demonstrating the efficacy of this asymmetric strategy [225].
- (vi)
- Enantioselective copper-catalyzed vinylogous propargylic substitution with coumarin derivatives. In this approach, aromatic and aliphatic propargylic esters 200 reacted with substituted coumarins 306 under mild conditions to yield propargylated coumarin derivatives 307 with impressive enantioselectivities (Scheme 98). Further, biological studies on the compounds 307 led to the discovery of a novel class of autophagy inhibitors [226].
2.9.4. With 1,3-Diarylpropynes
2.9.5. With Propargyl Aldehydes
2.10. Carbocationic Electrophiles
With Propargyl Organometallic-Based Reagents
2.11. Free-Radical-like Precursors
2.11.1. With Propargyl Halides
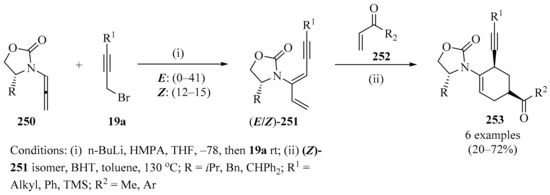
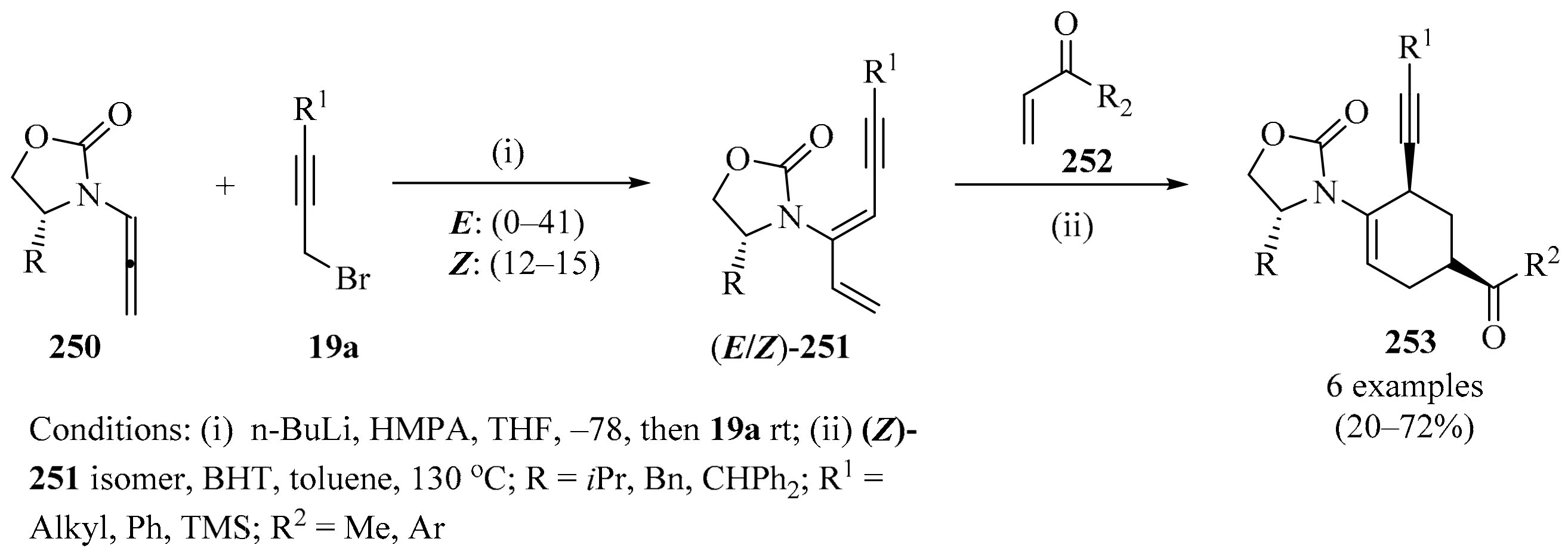
2.11.2. With 1,3-Enynes
2.12. Boronic Acids (ArB(OH)2)
With Propargyl Bromides
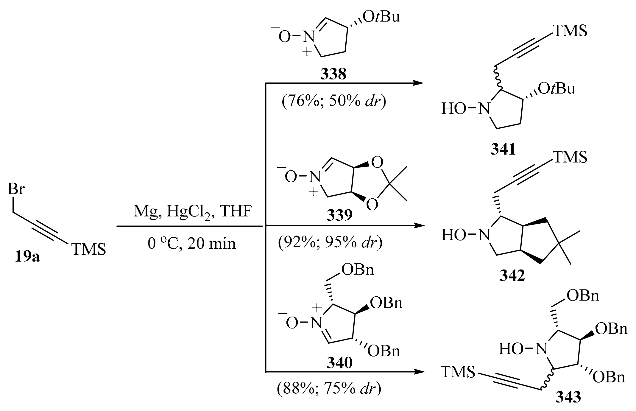
2.13. Nitrones
With Propargyl Bromide
3. Conclusions and Outlook
Author Contributions
Funding
Institutional Review Board Statement
Informed Consent Statement
Acknowledgments
Conflicts of Interest
References
- Xing, Y.; Wei, Y.; Zhou, H. Applications of the in situ propargyl-allenyl isomerization in organic synthesis. Curr. Org. Chem. 2012, 16, 1594–1608. [Google Scholar] [CrossRef]
- Kobychev, V.B.; Vitkovskaya, N.M.; Klyba, N.S.; Trofimov, B.A. Acetylene-allene rearrangement of propargyl systems X-CH2-C≡CH (X = H, Me, NMe2, OMe, F, SMe): An ab initio study. Russ. Chem. Bull. Int. Ed. 2002, 51, 774–782. [Google Scholar] [CrossRef]
- Fandrick, D.R.; Fandrick, K.R.; Reeves, J.T.; Tan, Z.; Johnson, C.S.; Lee, H.; Song, J.J.; Yee, N.K.; Senanayake, C.H. Zinc catalyzed and mediated propargylations with propargyl boronates. Org. Lett. 2010, 12, 88–91. [Google Scholar] [CrossRef] [PubMed]
- Marshall, J.A. Chiral allylic and allenic metal reagents for organic synthesis. J. Org. Chem. 2007, 72, 8153–8166. [Google Scholar] [CrossRef] [PubMed]
- Yamamoto, H.; Usanov, D.L. Comprehensive Organic Synthesis II, 2nd ed.; Elsevier: Amsterdam, The Netherlands, 2014; Volume 2, pp. 209–242. [Google Scholar]
- Yu, S.; Ma, S. Allenes in catalytic asymmetric synthesis and natural product syntheses. Angew. Chem. Int. Ed. 2012, 51, 3074–3112. [Google Scholar] [CrossRef] [PubMed]
- Marshall, J.A.; Palovich, M.R. Synthesis of stereopentad subunits of zincophorin and rifamycin-S through use of chiral allenyltin reagents. J. Org. Chem. 1998, 63, 3701–3705. [Google Scholar] [CrossRef]
- Francais, A.; Leyva, A.; Etxebarria-Jardi, G.; Ley, S.V. Total synthesis of the anti-apoptotic agents iso- and bongkrekic acids. Org. Lett. 2010, 12, 340–343. [Google Scholar] [CrossRef]
- Qian, H.; Huang, D.; Bi, Y.; Yan, G. 2-Propargyl alcohols in organic synthesis. Adv. Synth. Catal. 2019, 361, 3240–3280. [Google Scholar] [CrossRef]
- Fandrick, D.R.; Fandrick, K.R.; Reeves, J.T.; Tan, Z.; Tang, W.; Capacci, A.G.; Rodriguez, S.; Song, J.J.; Lee, H.; Yee, N.K.; et al. Copper catalyzed asymmetric propargylation of aldehydes. J. Am. Chem. Soc. 2010, 132, 7600–7601. [Google Scholar] [CrossRef]
- Shi, S.-L.; Xu, L.-W.; Oisaki, K.; Kanai, M.; Shibasaki, M. Identification of modular chiral bisphosphines effective for Cu(I)-catalyzed asymmetric allylation and propargylation of ketones. J. Am. Chem. Soc. 2010, 132, 6638–6639. [Google Scholar] [CrossRef]
- Barnett, D.S.; Schaus, S.E. Asymmetric propargylation of ketones using allenylboronates catalyzed by chiral biphenols. Org. Lett. 2011, 13, 4020–4023. [Google Scholar] [CrossRef]
- Fandrick, K.R.; Fandrick, D.R.; Reeves, J.T.; Gao, J.; Ma, S.; Li, W.; Lee, H.; Grinberg, N.; Lu, B.; Senanayake, C.H. A general copper-BINAP-catalyzed asymmetric propargylation of ketones with propargyl boronates. J. Am. Chem. Soc. 2011, 133, 10332–10335. [Google Scholar] [CrossRef] [PubMed]
- Kohn, B.L.; Ichiishi, N.; Jarvo, E.R. Silver-catalyzed allenylation and enantioselective propargylation reactions of ketones. Angew. Chem. Int. Ed. 2013, 52, 4414–4417. [Google Scholar] [CrossRef] [PubMed]
- Fandrick, D.R.; Reeves, J.T.; Bakonyi, J.M.; Nyalapatla, P.R.; Tan, Z.; Niemeier, O.; Akalay, D.; Fandrick, K.R.; Wohlleben, W.; Ollenberger, S.; et al. Zinc catalyzed and mediated asymmetric propargylation of trifluoromethyl ketones with a propargyl boronate. J. Org. Chem. 2013, 78, 3592–3615. [Google Scholar] [CrossRef] [PubMed]
- Guo, P.; Zhang, R.; Wang, X.; Wang, Z.; Dinga, K. Synthesis of chiral tertiary α,α-difluoromethyl carbinols by Cu-catalyzed asymmetric propargylation. Chem. Eur. J. 2019, 25, 16425–16434. [Google Scholar] [CrossRef] [PubMed]
- Freitas, J.J.R.; Freitas, Q.P.S.B.; Andrade, S.R.C.P.; Freitas, J.C.R.; Oliveira, R.A.; Menezes, P.H. Efficient method for propargylation of aldehydes promoted by allenylboron compounds under microwave irradiation. Beilstein J. Org. Chem. 2020, 16, 168–174. [Google Scholar] [CrossRef]
- Wang, H.; Jain, P.; Antilla, J.C.; Houk, K.N. Origins of stereoselectivities in chiral phosphoric acid catalyzed, allylborations and propargylations of aldehydes. J. Org. Chem. 2013, 78, 1208–1215. [Google Scholar] [CrossRef]
- Grayson, M.N.; Goodman, J.M. Understanding the mechanism of the asymmetric propargylation of aldehydes promoted by 1,1′-bi-2-naphthol-derived catalysts. J. Am. Chem. Soc. 2013, 135, 6142–6148. [Google Scholar] [CrossRef]
- Grayson, M.N.; Goodman, J.M. Lewis acid catalysis and ligand exchange in the asymmetric binaphthol-catalyzed propargylation of ketones. J. Org. Chem. 2013, 78, 8796–8801. [Google Scholar] [CrossRef]
- Zou, Y.; Gutierrez, O.; Sader, A.C.; Patel, N.D.; Fandrick, D.R.; Busacca, C.A.; Fandrick, K.R.; Kozlowski, M.; Senanayake, C.H. A computational investigation of the ligand-controlled Cu-catalyzed site-selective propargylation and allenylation of carbonyl compounds. Org. Lett. 2017, 19, 6064–6067. [Google Scholar] [CrossRef]
- Gupta, N.; Tak, R.; Nazish, M.; Jakhar, A.; Khan, N.H.; Kureshy, R.I. Copper(II) triflate catalyzed regioselective and enantioselective propargylation of isatin derivatives by using allenylboronic acid pinacol ester. Eur. J. Org. Chem. 2018, 2018, 1384–1392. [Google Scholar] [CrossRef]
- Zhao, J.; Jonker, S.J.T.; Meyer, D.N.; Schulz, G.; Tran, C.D.; Eriksson, L.; Szabó, K.J. Copper-catalyzed synthesis of allenylboronic acids. Access to sterically encumbered homopropargylic alcohols and amines by propargylboration. Chem. Sci. 2018, 9, 3305–3312. [Google Scholar] [CrossRef]
- Freitas, J.J.R.; Couto, T.R.; Cavalcanti, I.H.; Freitas, J.C.R.; Barbosa, Q.P.S.; Oliveira, R.A. Regioselective propargylation of aldehydes using potassium allenyltrifluoroborate promoted by tonsil. Tetrahedron Lett. 2016, 57, 760–765. [Google Scholar] [CrossRef]
- Couto, T.R.; Freitas, J.J.R.; Freitas, J.C.R.; Cavalcanti, I.H.; Menezes, P.H.; Oliveira, R.A. Propargylation of aldehydes using potassium allenyltrifluoroborate. Synthesis 2015, 47, 71–78. [Google Scholar] [CrossRef]
- Denmark, S.E.; Beutner, G.L. Lewis base catalysis in organic synthesis. Angew. Chem. Int. Ed. 2008, 47, 1560–1638. [Google Scholar] [CrossRef] [PubMed]
- Yanagisawa, A.; Bamba, K.; Kawada, A. Asymmetric addition of propargylic silanes to aldehydes catalyzed by chiral phosphine-silver alkoxide complex. Chem. Select 2018, 3, 13777–13781. [Google Scholar] [CrossRef]
- Schneider, U.; Sugiura, M.; Kobayashi, S. Highly selective preparation of allenic and homopropargylic hydrazides through regiospecific addition of propargyltrichlorosilane and allenyltrichlorosilane to various types of N-acylhydrazones. Adv. Synth. Catal. 2006, 348, 323–329. [Google Scholar] [CrossRef]
- Chen, J.; Captain, B.; Takenaka, N. Helical chiral 2,2′-bipyridine N-monoxides as catalysts in the enantioselective propargylation of aldehydes with allenyltrichlorosilane. Org. Lett. 2011, 13, 1654–1657. [Google Scholar] [CrossRef]
- Lu, T.; Porterfield, M.A.; Wheeler, S.E. Explaining the disparate stereoselectivities of N-oxide catalyzed allylations and propargylations of aldehydes. Org. Lett. 2012, 14, 5310–5313. [Google Scholar] [CrossRef]
- Rooks, B.J.; Haas, M.R.; Sepulveda, D.; Lu, T.; Wheeler, S.E. Prospects for the computational design of bipyridine N,N′-dioxide catalysts for asymmetric propargylation reactions. ACS Catal. 2015, 5, 272–280. [Google Scholar] [CrossRef]
- Negi, J.S.; Bisht, V.K.; Singh, P.; Rawat, M.S.M.; Joshi, G.P. Naturally occurring xanthones: Chemistry and biology. J. Appl. Chem. 2013, 2013, 621459. [Google Scholar] [CrossRef]
- Grzelakowska, A.; Kolinska, J.; Zaklos-Szyda, M.; Sokolowska, J. Novel fluorescent probes for L-cysteine based on the xanthone skeleton. J. Photochem. Photobiol. 2020, 387, 112153. [Google Scholar] [CrossRef]
- Fernández, S.; Allegue, D.; Santamaría, J.; Ballesteros, A. Diastereoselective and synergistic gold-catalyzed bispropargylation of xanthones and thioxanthones: An access to xanthene derivatives. Adv. Synth. Catal. 2022, 364, 2620–2628. [Google Scholar] [CrossRef]
- Hiyama, T.; Okude, Y.; Kimura, K.; Nozaki, H. Highly selective carbon-carbon bond forming reactions mediated by chromium (II) reagents. Bull. Chem. Soc. Jpn. 1982, 55, 561–568. [Google Scholar] [CrossRef]
- Abell, J.P.; Yamamoto, H. Development and applications of tethered bis-(8-quinolinolato) metal complexes (TBOxM). Chem. Soc. Rev. 2010, 39, 61–69. [Google Scholar] [CrossRef] [PubMed]
- Takenaka, N.; Xia, G.; Yamamoto, H. Catalytic, highly enantio-and diastereoselective pinacol coupling reaction with a new tethered bis(8-quinolinolato) ligand. J. Am. Chem. Soc. 2004, 126, 13198–13199. [Google Scholar] [CrossRef]
- Xia, G.; Yamamoto, H. Catalytic enantioselective Nozaki−Hiyama allylation reaction with tethered bis(8-quinolinolato)(TBOx) chromium complex. J. Am. Chem. Soc. 2006, 128, 2554–2555. [Google Scholar] [CrossRef]
- Xia, G.; Yamamoto, H. Catalytic enantioselective allenylation reactions of aldehydes with tethered bis(8-quinolinolato)(TBOx) chromium complex. J. Am. Chem. Soc. 2007, 129, 496–497. [Google Scholar] [CrossRef]
- Naodovic, M.; Xia, G.; Yamamoto, H. TBOxCrIIICl-Catalyzed enantioselective synthesis of 1,3-butadien-2-ylcarbinols. Org. Lett. 2008, 10, 4053–4055. [Google Scholar] [CrossRef]
- Barbier, P. Synthèse du diéthylhepténol. Compt. Rend. 1899, 128, 110. [Google Scholar]
- Usanov, D.L.; Yamamoto, H. Asymmetric Nozaki–Hiyama propargylation of aldehydes: Enhancement of enantioselectivity by cobalt Co-catalysis. Angew. Chem. Int. Ed. 2010, 49, 8169–8172. [Google Scholar] [CrossRef] [PubMed]
- Trost, B.M.; Ngai, M.-Y.; Dong, G. Ligand-accelerated enantioselective propargylation of aldehydes via allenylzinc reagents. Org. Lett. 2011, 13, 1900–1903. [Google Scholar] [CrossRef] [PubMed]
- Harper, K.C.; Sigman, M.S. Three-dimensional correlation of steric and electronic free energy relationships guides asymmetric propargylation. Science 2011, 333, 1875–1878. [Google Scholar] [CrossRef] [PubMed]
- Muñoz-Bascón, J.; Sancho-Sanz, I.; Álvarez-Manzaneda, E.; Rosales, A.; Oltra, J.E. Highly selective Barbier-type propargylations and allenylations catalyzed by titanocene(III). Chem. Eur. J. 2012, 18, 14479–14486. [Google Scholar] [CrossRef] [PubMed]
- Mondal, B.; Mandal, S.P.; Kundu, M.; Adhikari, U.; Roy, U.K. Synthesis and characterization of nano-zinc wire using a self-designed unit galvanic cell in aqueous medium and its reactivity in propargylation of aldehydes. Tetrahedron 2019, 75, 4669–4675. [Google Scholar] [CrossRef]
- Harper, K.C.; Vilardi, S.C.; Sigman, M.S. Prediction of catalyst and substrate performance in the enantioselective propargylation of aliphatic ketones by a multidimensional model of steric effects. J. Am. Chem. Soc. 2013, 135, 2482–2485. [Google Scholar] [CrossRef]
- Ahuja, B.B.; Emmanuvel, L.; Sudalai, A. A formal enantioselective synthesis of (–)-epiquinamide by proline-catalyzed one-pot sequential α-amination/propargylation of aldehyde and asymmetric dihydroxylation of olefin. Synlett 2016, 27, 1699–1702. [Google Scholar] [CrossRef]
- Reddy, C.R.; Reddy, M.D.; Dilipkumar, U. Total synthesis of a pyrrole lactone alkaloid, Longanlactone. Eur. J. Org. Chem. 2014, 2014, 6310–6313. [Google Scholar] [CrossRef]
- Leppänena, A.-S.; Xua, C.; Parikka, K.; Eklunde, P.; Sjöholme, R.; Brumer, H.; Tenkanend, M.; Willför, S. Targeted allylation and propargylation of galactose-containing polysaccharides in water. Carbohydr. Polym. 2014, 100, 46–54. [Google Scholar] [CrossRef]
- Cram, D.J.; Kopecky, K.R. Studies in stereochemistry. XXX. Models for steric control of asymmetric induction. J. Am. Chem. Soc. 1959, 81, 2748–2755. [Google Scholar] [CrossRef]
- Rao, H.S.P.; Satish, V.; Kanniyappan, S.; Kumari, P. Studies towards iodine-catalyzed dehydrative-cycloisomerization of pent-4-yne-1,2-diols to di- and tri-substituted furans. Tetrahedron 2018, 74, 6047–6056. [Google Scholar] [CrossRef]
- Mahadevegowda, S.H.; Khan, F.A. Diastereoselective synthesis of spirocyclic dihydrofurans and 1-oxaspiro[4.5]decan-6-one derivatives from norbornyl α-diketones. Eur. J. Org. Chem. 2015, 2015, 858–870. [Google Scholar] [CrossRef]
- Twilton, J.; Le, C.C.; Zhang, P.; Shaw, M.H.; Evans, R.W.; MacMillan, D.W.C. The merger of transition metal and photocatalysis. Nat. Rev. Chem. 2017, 1, 0052. [Google Scholar] [CrossRef]
- Zhang, H.H.; Chen, H.; Zhu, C.; Yu, S. A review of enantioselective dual transition metal/photoredox catalysis. Sci. China Chem. 2020, 63, 637–647. [Google Scholar] [CrossRef]
- Calogero, F.; Gualandi, A.; Di Matteo, M.; Potenti, S.; Fermi, A.; Bergamini, G.; Cozzi, P.G. Photoredox propargylation of aldehydes catalytic in titanium. J. Org. Chem. 2021, 86, 7002–7009. [Google Scholar] [CrossRef] [PubMed]
- Mondal, B.; Adhikari, U.; Hajra, P.P.; Roy, U.K. Allylation and propargylation of aldehydes mediated by in situ situgenerated zinc from the redox couple of Al and ZnCl2 in 2N HCl. New J. Chem. 2021, 45, 7163–7173. [Google Scholar] [CrossRef]
- Zhang, R.; Xia, Y.; Yan, Y.; Ouyang, L. Cu-Catalyzed, Mn-mediated propargylation and allenylation of aldehydes with propargyl bromides. BMC Chem. 2022, 16, 14. [Google Scholar] [CrossRef] [PubMed]
- Loh, T.P.; Lin, M.J.; Tan, K.L. Indium-mediated propargylation of aldehydes: Regioselectivity and enantioselectivity studies. Tetrahedron Lett. 2003, 44, 507–509. [Google Scholar] [CrossRef]
- Haddad, T.D.; Hirayama, L.C.; Buckley, J.J.; Singaram, B. Indium-mediated asymmetric Barbier-type propargylations: Additions to aldehydes and ketones and mechanistic investigation of the organoindium reagents. J. Org. Chem. 2012, 77, 889–898. [Google Scholar] [CrossRef] [PubMed]
- Miao, W.; Chan, T.S. Indium-mediated allenylation and propargylation of allenic alcohols with prop-2-ynyl bromides. Synthesis 2003, 34, 0785–0789. [Google Scholar] [CrossRef]
- Ghosh, P.; Chattopadhyay, A. A practical procedure of propargylation of aldehydes. Tetrahedron Lett. 2012, 53, 5202–5205. [Google Scholar] [CrossRef]
- Hopf, H.; Bohm, I.; Kleinschroth, J. Diels-Alder reaction of 1,2,4,5-hexatetraene: Tetramethyl[2.2]paracyclophane-4,5,12,13-tetracarboxylate. Org. Synth. 1981, 60, 41–48. [Google Scholar] [CrossRef]
- Li, H.; Sheeran, J.W.; Clausen, A.M.; Fang, Y.Q.; Bio, M.M.; Bader, S. Flow asymmetric propargylation: Development of continuous processes for the preparation of a chiral β-amino alcohol. Angew. Chem. Int. Ed. 2017, 56, 9425–99426. [Google Scholar] [CrossRef] [PubMed]
- Tsui, G.C.; Vielleneuve, K.; Carlson, E.; Tam, W. Ruthenium-catalyzed [2 + 2] cycloadditions between norbornene and propargylic alcohols or their derivatives. Organometallics 2014, 33, 3847–3856. [Google Scholar] [CrossRef]
- Xan, X. A practical and expedient synthesis of 2-heterocycle (C–N bond) substituted 4-oxo-4-arylbutanoates. Tetrahedron Lett. 2007, 48, 2845–2849. [Google Scholar] [CrossRef]
- Sonye, J.P.; Koide, K. Sodium bicarbonate-catalyzed stereoselective isomerizations of electron-deficient propargylic alcohols to (Z)-enones. J. Org. Chem. 2007, 72, 1846–1848. [Google Scholar] [CrossRef]
- Rao, K.S.; Reddy, D.S.; Pal, M.; Mukkanti, K.; Iqbal, J. Synthesis of γ-N-acylamino-β-keto esters and ethyl 5-oxazoleacetates via Ritter reaction and hydration of γ-hydroxy-α,β-alkynoic esters. Tetrahedron Lett. 2006, 47, 4385–4388. [Google Scholar] [CrossRef]
- Yaragola, S.; Dada, R.; Pareek, A.; Singh, G. A calcium catalysed regioselective (5-exo-dig) tandem process for the synthesis of fully substituted furans. RSC Adv. 2016, 6, 28865–28870. [Google Scholar] [CrossRef]
- Ramon, R.S.; Pottier, C.; Gomez-Suarez, A.; Nolan, S.P. Gold(I)-catalyzed tandem alkoxylation/lactonization of γ-hydroxy-α,β-acetylenic esters. Adv. Synth. Catal. 2011, 353, 1575–1583. [Google Scholar] [CrossRef]
- Vasilyev, A.V. Superelectrophilic activation of alkynes, alkenes, and allenes. Adv. Org. Synth. 2018, 8, 81–120. [Google Scholar] [CrossRef]
- Devleshova, N.A.; Lozovskiy, S.V.; Vasilyev, A.V. Reactions of alkyl 4-hydroxybut-2-ynoates with arenes under superelectrophilic activation with triflic acid or HUSY zeolite: Alternative propargylation or allenylation of arenes, and synthesis of furan-2-ones. Tetrahedron 2019, 75, 130517. [Google Scholar] [CrossRef]
- Karame, I.; Tommasino, M.L.; Lemaire, M. Iridium-catalyzed alternative of the Meinwald rearrangement. Tetrahedron Lett. 2003, 44, 7687–7689. [Google Scholar] [CrossRef]
- Robinson, M.W.C.; Pillinger, K.S.; Graham, A.E. Highly efficient Meinwald rearrangement reactions of epoxides catalyzed by copper tetrafluoroborate. Tetrahedron Lett. 2006, 47, 5919–5921. [Google Scholar] [CrossRef]
- Pan, J.; Zhang, M.; Zhang, S. Efficient synthetic method for the preparation of allyl- and propargyl-epoxides by allylation and propargylation of α-haloketones with organozinc reagents. Org. Biomol. Chem. 2012, 10, 1060–1067. [Google Scholar] [CrossRef] [PubMed]
- Ding, C.-H.; Hou, X.-L. Catalytic asymmetric propargylation. Chem. Rev. 2011, 111, 1914–1937. [Google Scholar] [CrossRef] [PubMed]
- Marshall, J.A. Synthesis and reactions of allylic, allenic, vinylic, and arylmetal reagents from halides and esters via transient organopalladium intermediates. Chem. Rev. 2000, 100, 3163–3186. [Google Scholar] [CrossRef]
- Aurrecoechea, J.M.; Fañanás, R.; Arrate, M.; Gorgojo, J.M.; Aurrekoetxea, N. SmI2/Pd(0)-Mediated intramolecular coupling between propargylic esters and tethered aldehydes or ketones. J. Org. Chem. 1999, 64, 1893–1901. [Google Scholar] [CrossRef]
- Arrate, M.; Durana, A.; Lorenzo, P.; de Lera, A.R.; Álvarez, R.; Aurrecoechea, J.M. Catalyst- and solvent-dependent stereodivergence in the intramolecular Et2Zn/Pd0-promoted carbonyl propargylation: Mechanistic implications. Chem. Eur. J. 2013, 19, 13893–13900. [Google Scholar] [CrossRef]
- Plaza, A.; Baker, H.L.; Bewley, C.A. Mirabalin, an antitumor macrolide lactam from the marine sponge Siliquariaspongia mirabilis. J. Nat. Prod. 2009, 72, 324. [Google Scholar] [CrossRef]
- Bowman, E.J.; Gustafson, K.R.; Bowman, B.J.; Boyd, M.R. Identification of a new chondropsin class of antitumor compound that selectively inhibits V-ATPases. J. Biol. Chem. 2003, 278, 44147–44152. [Google Scholar] [CrossRef]
- Echeverria, P.-G.; Prévost, S.; Cornil, J.; Férard, C.; Reymond, S.; Guérinot, A.; Cossy, J.; Ratovelomanana-Vidal, V.; Phansavath, P. Synthetic strategy toward the C44−C65 fragment of Mirabalin. Org. Lett. 2014, 16, 2390–2393. [Google Scholar] [CrossRef] [PubMed]
- Marshall, J.A.; Mulhearn, J.J. Synthesis of a C20−C26 segment of superstolide A by addition of a chiral allenylzinc reagent to (R)-N-Boc alaninal. Org. Lett. 2005, 7, 1593–1596. [Google Scholar] [CrossRef] [PubMed]
- Wisniewska, H.M.; Jarvo, E.R. Correction to enantioselective propargylation and allenylation reactions of ketones and imines. J. Org. Chem. 2014, 79, 8505. [Google Scholar] [CrossRef]
- Thaima, T.; Zamani, F.; Hyland, C.; Pyne, S. Allenylation and propargylation reactions of ketones, aldehydes, imines, and iminium ions using organoboronates and related derivatives. Synthesis 2017, 49, 1461–1480. [Google Scholar] [CrossRef]
- Horino, Y.; Murakami, M.; Ishibashi, M.; Lee, J.H.; Watanabe, A.; Matsumoto, R.; Abe, H. Trialkylborane-mediated propargylation of aldehydes using γ-stannylated propargyl acetates. Org. Lett. 2019, 21, 9564–9568. [Google Scholar] [CrossRef] [PubMed]
- Yatsumonji, Y.; Sugita, T.; Tsubouchi, A.; Takeda, T. Preparation of syn-tertiary homoallylic alcohols utilizing allenyltitanocenes generated by reductive titanation of γ-trimethylsilylpropargylic carbonates. Org. Lett. 2010, 12, 1968–1971. [Google Scholar] [CrossRef]
- Millán, A.; Álvarez de Cienfuegos, L.; Martín-Lasanta, A.; Campaña, A.G.; Cuerva, J.M. Titanium/palladium-mediated regioselective propargylation of ketones using propargylic carbonates as pronucleophiles. Adv. Synth. Catal. 2011, 353, 73–78. [Google Scholar] [CrossRef]
- Hirashita, T.; Suzuki, Y.; Tsuji, H.; Sato, Y.; Naito, K.; Araki, S. Nickel-catalyzed indium(I)-mediated syn-selective propargylation of aldehydes. Eur. J. Org. Chem. 2012, 2012, 5668–5672. [Google Scholar] [CrossRef]
- Li, T.; Zhang, L. Bifunctional biphenyl-2-ylphosphine ligand enables tandem gold-catalyzed propargylation of aldehyde and unexpected cycloisomerization. J. Am. Chem. Soc. 2018, 140, 17439–17443. [Google Scholar] [CrossRef]
- Gagnepain, J.; Moulin, E.; Fürstner, A. Gram-scale synthesis of iejimalide B. Chem. Eur. J. 2011, 17, 6964–6972. [Google Scholar] [CrossRef]
- Geary, L.M.; Leung, J.C.; Krische, M.J. Ruthenium-catalyzed reductive coupling of 1,3-enynes and aldehydes by transfer hydrogenation: Anti-diastereoselective carbonyl propargylation. Chem. Eur. J. 2012, 18, 16823–16827. [Google Scholar] [CrossRef] [PubMed]
- Voronin, V.V.; Ledovskaya, M.S.; Bogachenkov, A.S.; Rodygin, K.S.; Ananikov, V.P. Acetylene in organic synthesis: Recent progress and new uses. Molecules 2018, 23, 2442. [Google Scholar] [CrossRef] [PubMed]
- Tiwari, M.K.; Yadav, L.; Shyamlal, B.R.K.; Chaudhary, S. Weak bases-mediated modified Favorskii reaction type direct alkynylation/(E)-alkenylation: A unified rapid access to α,β-unsaturated ketones and propargyl alcohols. Asian J. Org. Chem. 2019, 8, 2257–2268. [Google Scholar] [CrossRef]
- Wei, X.F.; Shimizu, Y.; Kanai, M. An expeditious synthesis of sialic acid derivatives by copper(I)-catalyzed stereodivergent propargylation of unprotected aldoses. ACS Cent. Sci. 2016, 2, 21–26. [Google Scholar] [CrossRef] [PubMed]
- Ishizawa, K.; Majima, S.; Wei, X.-F.; Mitsunuma, H.; Shimizu, Y.; Kanai, M. Copper(I)-catalyzed stereodivergent propargylation of N-acetyl mannosamine for protecting group minimal synthesis of C3-substituted sialic acids. J. Org. Chem. 2019, 84, 10615–10628. [Google Scholar] [CrossRef]
- Smith, M.B.; March, J. March’s Advanced Organic Chemistry, 6th ed.; John Wiley & Sons: New York, NY, USA, 2007; Chapter 16. [Google Scholar]
- Yus, M.; González-Gómez, J.C.; Foubelo, F. Catalytic enantioselective allylation of carbonyl compounds and imines. Chem. Rev. 2011, 111, 7774–7854. [Google Scholar] [CrossRef]
- Nolan, S.P. The development and catalytic uses of N-heterocyclic carbene gold complexes. Acc. Chem. Res. 2011, 44, 91–100. [Google Scholar] [CrossRef]
- Ramón, D.J.; Yus, M. Alkylation of carbonyl and imino groups. In Science of Synthesis: Stereoselective Synthesis 2; Molander, G.A., Ed.; Georg Thieme Verlag: Stuttgart, Germany, 2011; Volume 2, pp. 349–400. [Google Scholar]
- Alcaide, B.; Almendros, P.; Rodríguez-Acebes, R. Metal-mediated entry to functionalized 3-substituted 3-hydroxyindolin-2-ones via regiocontrolled carbonylallylation, bromoallylation, 1,3-butadien-2-ylation, propargylation, or allenylation reactions of isatins in aqueous media. J. Org. Chem. 2005, 70, 3198–3204. [Google Scholar] [CrossRef]
- Sirvent, J.A.; Foubelo, F.; Yus, M. Diastereoselective indium-mediated allylation of N-tert-butanesulfinyl ketimines: Easy access to asymmetric quaternary stereocenters bearing nitrogen atoms. Chem. Commun. 2012, 48, 2543–2545. [Google Scholar] [CrossRef]
- García-Muñoz, M.J.; Zacconi, F.; Foubelo, F.; Yus, M. Indium-promoted diastereo- and regioselective propargylation of chiral sulfinylimines. Eur. J. Org. Chem. 2013, 2013, 1287–1295. [Google Scholar] [CrossRef]
- Liu, G.; Cogan, D.A.; Owens, T.D.; Tang, T.P.; Ellman, J.A. Synthesis of enantiomerically pure N-tert-butanesulfinyl imines (tert-butanesulfinimines) by the direct condensation of tert-butanesulfinamide with aldehydes and ketones. J. Org. Chem. 1999, 64, 1278–1284. [Google Scholar] [CrossRef]
- Guo, T.; Song, R.; Yuan, B.-H.; Chen, X.-Y.; Sun, X.-W.; Lin, G.-Q. Highly efficient asymmetric construction of quaternary carbon-containing homoallylic and homopropargylic amines. Chem. Commun. 2013, 49, 5402–5404. [Google Scholar] [CrossRef] [PubMed]
- Sirvent, A.; García-Muñoz, M.J.; Yus, M.; Foubelo, F. Stereoselective synthesis of tetrahydroisoquinolines from chiral 4-azaocta-1,7-diynes and 4-azaocta-1,7-enynes. Eur. J. Org. Chem. 2020, 2020, 113–126. [Google Scholar] [CrossRef]
- Meng, J.-L.; Jiao, T.-Q.; Chen, Y.-H.; Fu, R.; Zhang, S.-S.; Zhao, Q.; Feng, C.-G.; Lin, G.-Q. Synthesis of chiral isoindolinones via asymmetric propargylation/lactamization cascade. Tetrahedron Lett. 2018, 59, 1564–1567. [Google Scholar] [CrossRef]
- Guo, T.; Liu, Y.-C.; Li, B.; Liu, H.-M. Convenient synthesis of α,α-(bisallyl and bispropargyl)-substituted amines via aza-Barbier-type reaction. Tetrahedron Lett. 2015, 56, 2469–2471. [Google Scholar] [CrossRef]
- Wu, C.; Huang, W.; He, W.; Xiang, J. One-pot preparation of homopropargylic N-sulfonylamines catalyzed by zinc powder. Chem. Lett. 2013, 42, 1233–1234. [Google Scholar] [CrossRef]
- Karpe, S.A.; Singh, M.; Chowhan, L.R. Aqueous single step synthesis and structural characterization of allylated, propargylated, and benzylated 3-substituted 3-aminooxindoles. Synth. Commun. 2017, 47, 1737–1746. [Google Scholar] [CrossRef]
- Fandrick, D.R.; Johnson, C.S.; Fandrick, K.R.; Reeves, J.T.; Tan, Z.; Lee, H.; Song, J.J.; Yee, N.K.; Senanayake, C.H. Highly diastereoselective zinc-catalyzed propargylation of tert-butanesulfinyl imines. Org. Lett. 2010, 12, 748–751. [Google Scholar] [CrossRef]
- Osborne, C.A.; Endean, T.B.D.; Jarvo, E.R. Silver-catalyzed enantioselective propargylation reactions of N-sulfonylketimines. Org. Lett. 2015, 17, 5340–5343. [Google Scholar] [CrossRef]
- Smith, M.W.; Zhou, Z.; Gao, A.X.; Shimbayashi, T.; Snyder, S.A. A 7-step formal asymmetric total synthesis of strictamine via an asymmetric propargylation and metal-mediated cyclization. Org. Lett. 2017, 19, 1004–1007. [Google Scholar] [CrossRef]
- Fandrick, D.R.; Hart, C.A.; Okafor, I.S.; Mercadante, M.A.; Sanyal, S.; Masters, J.T.; Sarvestani, M.; Fandrick, K.R.; Stockdill, J.L.; Grinberg, N.; et al. Copper-catalyzed asymmetric propargylation of cyclic aldimines. Org. Lett. 2016, 18, 6192–6195. [Google Scholar] [CrossRef] [PubMed]
- Cyklinsky, M.; Botuha, C.; Chemla, F.; Ferreira, F.; Pérez-Luna, A. Diastereoselective synthesis of enantiopure homopropargylic N-tert-butylsulfinylamines. Synlett 2011, 2011, 2681–2684. [Google Scholar] [CrossRef]
- Llobat, A.; Sedgwick, D.M.; Cabré, A.; Román, R.; Mateu, N.; Escorihuela, J.; Medio-Simón, M.; Soloshonok, V.; Han, J.; Riera, A.; et al. Asymmetric synthesis of fluorinated monoterpenic alkaloid derivatives from chiral fluoroalkyl aldimines via the Pauson-Khand reaction. Adv. Synth. Catal. 2020, 362, 1378–1384. [Google Scholar] [CrossRef]
- Zhou, H.; Zhang, L.; Xu, C.; Luo, S. Chiral primary amine/palladium dual catalysis for asymmetric allylic alkylation of β-ketocarbonyl compounds with allylic alcohols. Angew. Chem. Int. Ed. 2015, 54, 12645–12648. [Google Scholar] [CrossRef] [PubMed]
- Zhu, F.-L.; Zou, Y.; Zhang, D.-Y.; Wang, Y.-H.; Hu, X.-H.; Chen, S.; Xu, J.; Hu, X.-P. Enantioselective copper-catalyzed decarboxylative propargylic alkylation of propargyl β-ketoesters with a chiral ketimine P,N,N-ligand. Angew. Chem. Int. Ed. 2014, 53, 1410–1414. [Google Scholar] [CrossRef]
- Jurberg, I.D. An aminocatalyzed stereoselective strategy for the formal α-propargylation of ketones. Chem. Eur. J. 2017, 23, 9716–9720. [Google Scholar] [CrossRef]
- Xia, Y.-Y.; Chen, L.-Y.; Lv, S.; Sun, Z.-H.; Wang, B. Microwave-assisted or Cu–NHC-catalyzed cycloaddition of azido-disubstituted alkynes: Bifurcation of reaction pathways. J. Org. Chem. 2014, 79, 9818–9825. [Google Scholar] [CrossRef]
- Lim, J.; Park, K.; Byeun, A.; Lee, S. Copper-catalyzed decarboxylative coupling reactions for the synthesis of propargyl amines. Tetrahedron Lett. 2014, 55, 4875–4878. [Google Scholar] [CrossRef]
- Park, K.; Lee, S. Transition metal-catalyzed decarboxylative coupling reactions of alkynyl carboxylic acids. RSC Adv. 2013, 3, 14165–14182. [Google Scholar] [CrossRef]
- Feng, H.-D.; Jia, H.-H.; Sun, Z.-H. Mild and catalyst-free Petasis/decarboxylative domino reaction: Chemoselective synthesis of N-benzyl propargylamines. J. Org. Chem. 2014, 79, 11812–11818. [Google Scholar] [CrossRef]
- Jia, H.; Feng, H.; Sun, Z. Decarboxylative dipropargylation of primary amines with propiolic acids and formaldehyde via metal-free coupling. Tetrahedron 2015, 71, 2724–2728. [Google Scholar] [CrossRef]
- Parvin, N.; Sen, N.; Tothadi, S.; Muhammed, S.; Parameswaran, P.; Khan, S. Synthesis and application of silylene-stabilized low-coordinate Ag(I)−arene cationic complexes. Organometallics 2021, 40, 1626–1632. [Google Scholar] [CrossRef]
- Feng, H.; Wang, F.; Cao, L.; Van der Eycken, E.V.; Yin, X. Switchable mono- and dipropargylation of amino alcohols: A unique property of the iodide anion in controlling ring-opening alkynylation. Eur. J. Org. Chem. 2021, 2021, 3676–3680. [Google Scholar] [CrossRef]
- Waser, J.; González-Gómez, J.C.; Nambu, H.; Huber, P.; Carreira, E.M. Cobalt-catalyzed hydrohydrazination of dienes and enynes: Access to allylic and propargylic hydrazides. Org. Lett. 2005, 7, 4249–4252. [Google Scholar] [CrossRef]
- An, D.K.; Hirakawa, K.; Okamoto, S.; Sato, F. Electrophilic amination of racemic and non-racemic allenyltitaniums. One-pot synthesis of α-hydrazinoalkynes from propargylic alcohol derivatives. Tetrahedron Lett. 1999, 40, 3737–3740. [Google Scholar] [CrossRef]
- Yanagisawa, A.; Koide, T.; Yoshida, K. Selective propargylation of azo compounds with barium reagents. Synlett 2010, 2010, 1515–1518. [Google Scholar] [CrossRef]
- Izquierdo, S.; Bouvet, S.; Wu, Y.; Molina, S.; Shafir, A. The coming of age in iodane-guided ortho-C−H propargylation: From insight to synthetic potential. Chem. Eur. J. 2018, 24, 15517–15521. [Google Scholar] [CrossRef] [PubMed]
- Eberhart, A.J.; Shrives, H.J.; Álvarez, E.; Carrër, A.; Zhang, Y.; Procter, D.J. Sulfoxide-directed metal-free ortho-propargylation of aromatics and heteroaromatics. Chem. Eur. J. 2015, 21, 7428–7434. [Google Scholar] [CrossRef]
- Chatterjee, P.N.; Roy, S. Propargylic activation across a heterobimetallic Ir-Sn catalyst: Nucleophilic substitution and indene formation with propargylic alcohols. J. Org. Chem. 2010, 75, 4413–4423. [Google Scholar] [CrossRef]
- Masuyama, Y.; Hayashi, M.; Suzuki, N. SnCl2-Catalyzed propargylic substitution of propargylic alcohols with carbon and nitrogen nucleophiles: Propargylic substitution of propargylic alcohols. Eur. J. Org. Chem. 2013, 14, 2914–2921. [Google Scholar] [CrossRef]
- Silveira, C.C.; Mendes, S.R.; Martins, G.M. Propargylation of aromatic compounds using Ce(OTf)3 as catalyst. Tetrahedron Lett. 2012, 53, 1567–1570. [Google Scholar] [CrossRef]
- Hamel, J.D.; Beaudoin, M.; Cloutier, M.; Paquin, J.F. Hydrogen-bond-promoted Friedel-Crafts reaction of secondary propargylic fluorides: Preparation of 1-alkyl-1-aryl-2-alkynes. Synlett 2017, 28, 2823–2828. [Google Scholar] [CrossRef]
- Yu, Y.B.; Luo, Z.J.; Zhang, X. Copper-catalyzed direct propargylation of polyfluoroarenes with secondary propargyl phosphates. Org. Lett. 2016, 18, 3302–3305. [Google Scholar] [CrossRef] [PubMed]
- Quideau, S.; Deffieux, D.; Douat-Casassus, C.; Pouységu, L. Plant polyphenols: Chemical properties, biological activities, and synthesis. Angew. Chem. Int. Ed. 2011, 50, 586–621. [Google Scholar] [CrossRef]
- Chen, H.; Yang, M.; Wang, G.; Gao, L.; Ni, Z.; Zou, J.; Li, S. B(C6F5)3-Catalyzed sequential additions of terminal alkynes to para-substituted phenols: Selective construction of congested phenol-substituted quaternary carbons. Org. Lett. 2021, 23, 5533–5538. [Google Scholar] [CrossRef] [PubMed]
- Silveira, C.C.; Mendes, S.R.; Wolf, L.; Martins, G.M. Anhydrous CeCl3 catalyzed C3-selective propargylation of indoles with tertiary alcohols. Tetrahedron Lett. 2010, 51, 4560–4562. [Google Scholar] [CrossRef]
- Raji Reddy, C.; Rani Valleti, R.; Dilipkumar, U. One-pot sequential propargylation/cycloisomerization: A facile [4+2]-benzannulation approach to carbazoles. Chem. Eur. J. 2016, 22, 2501–2506. [Google Scholar] [CrossRef]
- Gohain, M.; Marais, C.; Bezuidenhoudt, B.C.B. An Al(OTf)3 catalyzed environmentally benign process for the propargylation of indoles. Tetrahedron Lett. 2012, 53, 4704–4707. [Google Scholar] [CrossRef]
- Kumar, G.G.K.S.N.; Aridoss, G.; Laali, K.K. Condensation of propargylic alcohols with indoles and carbazole in [bmim][PF6]/Bi(NO3) 3·5H2O: A simple high yielding propargylation method with recycling and reuse of the ionic liquid. Tetrahedron Lett. 2012, 53, 3066–3069. [Google Scholar] [CrossRef]
- Lim, J.W.; Kim, S.H.; Kim, J.; Kim, J.N. Synthesis of benzo[a]carbazoles from 2-arylindoles via a sequential propargylation, propargyl-allenyl isomerization, and 6π-electrocyclization. Bull. Korean Chem. Soc. 2015, 36, 1351–1359. [Google Scholar] [CrossRef]
- Raji Reddy, C.; Subbarao, M.; Sathish, P.; Kolgave, D.H.; Donthiri, R.R. One-pot assembly of 3-hydroxycarbazoles via uninterrupted propargylation/hydroxylative benzannulation reactions. Org. Lett. 2020, 22, 689–693. [Google Scholar] [CrossRef] [PubMed]
- Tsuchida, K.; Senda, Y.; Nakajima, K.; Nishibayashi, Y. Construction of chiral tri- and tetra-arylmethanes bearing quaternary carbon centers: Copper-catalyzed enantioselective propargylation of indoles with propargylic esters. Angew. Chem. Int. Ed. 2016, 55, 9728–9732. [Google Scholar] [CrossRef] [PubMed]
- Miyazaki, Y.; Zhou, B.; Tsuji, H.; Kawatsura, M. Nickel-catalyzed asymmetric Friedel-Crafts propargylation of 3-substituted indoles with propargylic carbonates bearing an internal alkyne group. Org. Lett. 2020, 22, 2049–2053. [Google Scholar] [CrossRef] [PubMed]
- Zhu, C.; Schwarz, J.L.; Cembellín, S.; Greßies, S.; Glorius, F. Highly selective manganese(I)/Lewis acid cocatalyzed direct C−H propargylation using bromoallenes. Angew. Chem. Int. Ed. 2018, 57, 437–441. [Google Scholar] [CrossRef]
- Das, D.; Pratihar, S.; Roy, U.K.; Mal, D.; Roy, S. First example of a heterobimetallic ‘Pd–Sn’ catalyst for direct activation of alcohol: Efficient allylation, benzylation and propargylation of arenes, heteroarenes, active methylenes and allyl-Si nucleophiles. Org. Biomol. Chem. 2012, 10, 4537. [Google Scholar] [CrossRef]
- McCubbin, J.; Nassar, C.; Krokhin, O. Waste-free catalytic propargylation/allenylation of aryl and heteroaryl nucleophiles and synthesis of naphthopyrans. Synthesis 2011, 19, 3152–3160. [Google Scholar] [CrossRef]
- Kumar, G.G.K.S.N.; Laali, K.K. Condensation of propargylic alcohols with N-methylcarbazole and carbazole in [Bmim]PF6 ionic liquid; synthesis of novel dipropargylic carbazoles using TfOH or Bi(NO3)3·5H2O as catalyst. Tetrahedron Lett. 2013, 54, 965–969. [Google Scholar] [CrossRef]
- Aridoss, G.; Sarca, V.D.; Ponder, J.F., Jr.; Crowe, J.; Laali, K.K. Electrophilic chemistry of propargylic alcohols in imidazolium ionic liquids: Propargylation of arenes and synthesis of propargylic ethers catalyzed by metallic triflates [Bi(OTf)3, Sc(OTf)3, Yb(OTf)3], TfOH, or B(C6F5)3. Org. Biomol. Chem. 2011, 9, 2518–2529. [Google Scholar] [CrossRef]
- Hanazawa, T.; Sasaki, K.; Takayama, Y.; Sato, F. Efficient and practical method for synthesizing optically active indan-2-ols by the Ti(O-i-Pr)4/2 i-PrMgCl-mediated metalative Reppe reaction. J. Org. Chem. 2003, 68, 4980–4983. [Google Scholar] [CrossRef]
- Hooz, J.; Cabezas, J.; Musmanni, S.; Calzada, J. Propargylation of alkyl halides: (E)-6,10-dimethyl-5,9-undecadien-1-yne and (E)-7,11-dimethyl-6,10-dodecadien-2-yn-1-ol. Org. Synth. 1990, 69, 120. [Google Scholar] [CrossRef]
- Pereira, A.R.; Cabezas, J.A. A new method for the preparation of 1,5-diynes. Synthesis of (4E,6Z,10Z)-4,6,10-hexadecatrien-1-ol, the pheromone component of the cocoa pod borer moth Conopomorpha cramerella. J. Org. Chem. 2005, 70, 2594–2597. [Google Scholar] [CrossRef] [PubMed]
- Vásquez, S.; Cabezas, J.A. A facile method for the preparation of bishomopropargylic alcohols from acyl chlorides. Tetrahedron Lett. 2014, 55, 1894–1897. [Google Scholar] [CrossRef]
- Lin, M.; Chen, Q.-Z.; Zhu, Y.; Chen, X.-L.; Cai, J.-J.; Pan, Y.-M.; Zhan, Z.-P. Copper(II)-catalyzed synthesis of pyrimidines from propargylic alcohols and amidine: A propargylation–cyclization–oxidation tandem reaction. Synlett 2011, 2011, 1179–1183. [Google Scholar] [CrossRef]
- Shaikh, S.K.J.; Kamble, R.R.; Somagond, S.M.; Devarajegowda, H.C.; Dixit, S.R.; Joshi, S.D. Tetrazolylmethyl quinolines: Design, docking studies, synthesis, anticancer and antifungal analyses. Eur. J. Med. Chem. 2017, 128, 258–273. [Google Scholar] [CrossRef]
- Reddy, R.J.; Waheed, M.; Karthik, T.; Shankar, A. An efficient synthesis of 4,5-disubstituted-2H-1,2,3-triazoles from nitroallylic derivatives via a cycloaddition–denitration process. New J. Chem. 2018, 42, 980–987. [Google Scholar] [CrossRef]
- Min, L.; Pan, B.; Gu, Y. Synthesis of quinoline-fused 1-benzazepines through a Mannich-type reaction of a C,N-bisnucleophile generated from 2-aminobenzaldehyde and 2-methylindole. Org. Lett. 2016, 18, 364–367. [Google Scholar] [CrossRef]
- Mahesh, K.; Ravi, K.; Rathod, P.K.; Leelavathi, P. A convenient synthesis of quinoline fused triazolo-azepine/oxepine derivatives through Pd-catalyzed C-H functionalisation of triazoles. New J. Chem. 2020, 44, 2367–2373. [Google Scholar] [CrossRef]
- Lahosa, A.; Yus, M.; Foubelo, F. Enantiodivergent approach to the synthesis of cis-2,6-disubstituted piperidin-4-ones. J. Org. Chem. 2019, 84, 7331–7341. [Google Scholar] [CrossRef]
- Craven, G.B.; Briggs, E.L.; Zammit, C.M.; McDermott, A.; Greed, S.; Affron, D.P.; Leinfellner, C.; Cudmore, H.R.; Tweedy, R.R.; Luisi, R.; et al. Synthesis and configurational assignment of vinyl sulfoximines and sulfonimidamides. J. Org. Chem. 2021, 86, 7403–7424. [Google Scholar] [CrossRef]
- Tri, N.M.; Thanh, N.D.; Ha, L.N.; Anh, D.T.T.; Toan, V.N.; Giang, N.T.K. Study on synthesis of some substituted N-propargyl isatins by propargylation reaction of corresponding isatins using potassium carbonate as base under ultrasound- and microwave-assisted conditions. Chem. Pap. 2021, 75, 4793–4801. [Google Scholar] [CrossRef]
- Hai, D.S.; Ha, N.T.T.; Tung, D.T.; Le, C.T.; Anh, H.H.; Toan, V.N.; Van, H.T.K.; Toan, D.N.; Giang, N.T.K.; Huong, N.T.T.; et al. N-Propargylation reaction of substituted 4H-pyrano[2,3-d]pyrimidine derivatives under conventional, ultrasound- and microwave-assisted conditions. Chem. Pap. 2022, 76, 5281–5292. [Google Scholar] [CrossRef]
- Tai, N.; Quan, P.M.; Ha, V.T.; Luyen, N.D.; Chi, H.K.; Cuong, L.H.; Phong, L.; Chinh, L. Synthesis of propargyl compounds and their cytotoxic activity. Russ. J. Org. Chem. 2021, 57, 462–468. [Google Scholar] [CrossRef]
- Rocha, D.H.A.; Machado, C.M.; Sousa, V.; Sousa, C.F.V.; Silva, V.L.M.; Silva, A.M.S.; Borges, J.; Mano, J.F. Customizable and regioselective one-pot N−H functionalization of DNA nucleobases to create a library of nucleobase derivatives for biomedical applications. Eur. J. Org. Chem. 2021, 2021, 4423–4433. [Google Scholar] [CrossRef]
- Wells, S.M.; Widen, J.C.; Harki, D.A.; Brummond, K.M. Alkyne ligation handles: Propargylation of hydroxyl, sulfhydryl, amino, and carboxyl groups via the Nicholas reaction. Org. Lett. 2016, 18, 4566–4569. [Google Scholar] [CrossRef] [PubMed]
- Carcenac, Y.; Zine, K.; Kizirian, J.-C.; Thibonnet, J.; Duchêne, A.; Parrain, J.-L.; Abarbri, M. α- and β-Stannyl trifluoromethylbutenoates: Regioselective preparation and use in copper(I)-catalyzed allylation and propargylation reactions. Adv. Synth. Catal. 2010, 352, 949–954. [Google Scholar] [CrossRef]
- Gaied, L.B.; Fincias, N.; Garrec, J.; El Kaïm, L. 5-endo-dig Cyclization of O-propargyl mandelic acid amides towards 2,5-dihydrofurans. Eur. J. Org. Chem. 2019, 2019, 7656–7665. [Google Scholar] [CrossRef]
- Seo, K.; Kim, Y.J.; Rhee, Y.H. Ru-Catalyzed chemoselective olefin migration reaction of cyclic allylic acetals to enol acetals. Org. Lett. 2018, 20, 979–982. [Google Scholar] [CrossRef]
- Ukale, D.U.; Lönnberg, T. 2,6-Dimercuriphenol as a bifacial dinuclear organometallic nucleobase. Angew. Chem. Int. Ed. 2018, 57, 16171–16175. [Google Scholar] [CrossRef]
- Sharipov, B.T.; Davidova, A.N.; Valeev, F.A. Aromatization of 2,2,5-trialkyl-substituted 2,5-dihydrofurans and factors affecting their stabilization. Chem. Heterocycl. Compd. 2018, 54, 403–410. [Google Scholar] [CrossRef]
- Datta, R.; Dixon, R.J.; Ghosh, S. A convenient access to the tricyclic core structure of hippolachnin A. Tetrahedron Lett. 2016, 57, 29–31. [Google Scholar] [CrossRef]
- Sharma, P.; Kaur, S.; Kaur, S.; Singh, P. Near-IR oxime-based solvatochromic perylene diimide probe as a chemosensor for Pd species and Cu2+ ions in water and live cells. Photochem. Photobiol. Sci. 2020, 19, 504–514. [Google Scholar] [CrossRef] [PubMed]
- Rodier, F.; Parrain, J.-L.; Chouraqui, G.; Commeiras, L. First studies directed towards the diastereoselective synthesis of the BCD tricyclic core of brownin F. Org. Biomol. Chem. 2013, 11, 4178–4185. [Google Scholar] [CrossRef] [PubMed]
- Grischenko, L.A.; Parshina, L.N.; Kanitskaya, L.V.; Larina, L.I.; Novikova, L.N.; Trofimov, B.A. Propargylation of arabinogalactan with propargyl halides a facile route to new functionalized biopolymers. Carbohydr. Res. 2013, 376, 7–14. [Google Scholar] [CrossRef] [PubMed]
- Okamura, T.; Egoshi, S.; Dodo, K.; Sodeoka, M.; Iwabuchi, Y.; Kanoh, N. Highly chemoselective gem-difluoropropargylation of aliphatic alcohols. Chem. Eur. J. 2019, 25, 16002–16006. [Google Scholar] [CrossRef] [PubMed]
- Li, R.-Z.; Tang, H.; Yang, K.R.; Wan, L.-Q.; Zhang, X.; Liu, J.; Fu, Z.; Niu, D. Enantioselective propargylation of polyols and desymmetrization of meso 1,2-diols by copper/borinic acid dual catalysis. Angew. Chem. Int. Ed. 2017, 56, 7213–7217. [Google Scholar] [CrossRef] [PubMed]
- Li, R.-Z.; Tang, H.; Wan, L.; Zhang, X.; Fu, Z.; Liu, J.; Yang, S.; Jia, D.; Niu, D. Site-divergent delivery of terminal propargyls to carbohydrates by synergistic catalysis. Chem 2017, 3, 834–845. [Google Scholar] [CrossRef]
- Spitzer, L.; Lecommandoux, S.; Cramail, H.; Jérôme, F. Sequential acid-catalyzed alkyl glycosylation and oligomerization of unprotected carbohydrates. Green Chem. 2021, 23, 1361–1369. [Google Scholar] [CrossRef]
- Barreiro, E.; Sanz-Vidal, A.; Tan, E.; Lau, S.H.; Sheppard, T.D.; Díez-González, S. HBF4-Catalysed nucleophilic substitutions of propargylic alcohols. Eur. J. Org. Chem. 2015, 34, 7544–7549. [Google Scholar] [CrossRef]
- Okamura, T.; Koyamada, K.; Kanazawa, J.; Miyamoto, K.; Iwabuchi, Y.; Uchiyama, M.; Kanoh, N. Synthetic access to gem-difluoropropargyl vinyl ethers and their application to propargyl Claisen rearrangement. J. Org. Chem. 2021, 86, 1911–1924. [Google Scholar] [CrossRef]
- Sen, S.; Sadeghifar, H.; Argyropoulos, D.S. Kraft lignin chain extension chemistry via propargylation, oxidative coupling, and claisen rearrangement. Biomacromolecules 2013, 14, 3399–3408. [Google Scholar] [CrossRef]
- Keskin, S.; Balci, M. Intramolecular heterocyclization of O-propargylated aromatic hydroxyaldehydes as an expedient route to substituted chromenopyridines under metal-free conditions. Org. Lett. 2015, 17, 964–967. [Google Scholar] [CrossRef] [PubMed]
- Xiong, J.-F.; Luo, S.-H.; Huo, J.-P.; Liu, J.-Y.; Chen, S.-X.; Wang, Z.-Y. Design, synthesis, and characterization of 1,3,5-tri(1H-benzo[d]imidazol-2-yl)benzene-based fluorescent supramolecular columnar liquid crystals with a broad mesomorphic range. J. Org. Chem. 2014, 79, 8366–8373. [Google Scholar] [CrossRef] [PubMed]
- Dongamanti, A.; Bommidi, V.L.; Arram, G.; Sidda, R. Microwave-assisted synthesis of (E)-7-[(1-benzyl-1H-1,2,3-triazol-4-yl)methoxy]-8-(3-arylacryloyl)-4-methyl-2H-chromen-2-ones and their antimicrobial activity. Heterocycl. Commun. 2014, 20, 293–298. [Google Scholar] [CrossRef]
- Lamandé-Langle, S.; Collet, C.; Hensienne, R.; Vala, C.; Chrétien, F.; Chapleur, Y.; Mohamadi, A.; Lacolley, P.; Regnault, V. Click glycosylation of peptides through cysteine propargylation and CuAAC. Bioorg. Med. Chem. 2014, 22, 6672–6683. [Google Scholar] [CrossRef]
- Al-blewi, F.F.; Almehmadi, M.A.; Aouad, M.R.; Bardaweel, S.K.; Sahu, P.K.; Messali, M.; Rezki, N.; El Ashry, E.S.H. Design, synthesis, ADME prediction and pharmacological evaluation of novel benzimidazole-1,2,3-triazole-sulfonamide hybrids as antimicrobial and antiproliferative agents. Chem. Cent. J. 2018, 12, 110. [Google Scholar] [CrossRef]
- Khusnutdinova, E.F.; Petrova, A.V.; Kukovinets, O.S.; Kazakova, O.B. Synthesis and cytotoxicity of 28-N-propargylaminoalkylated 2,3-indolotriterpenic acids. Nat. Prod. Commun. 2018, 13, 665–668. [Google Scholar] [CrossRef]
- Ben Nejma, A.; Znati, M.; Daich, A.; Othman, M.; Lawson, A.M.; Ben Jannet, H. Design and semisynthesis of new herbicide as 1,2,3-triazole derivatives of the natural maslinic acid. Steroids 2018, 138, 102–107. [Google Scholar] [CrossRef]
- Bew, S.P.; Hiatt-Gipson, G.D. Synthesis of C-propargylic esters of N-protected amino acids and peptides. J. Org. Chem. 2010, 75, 3897–3899. [Google Scholar] [CrossRef]
- Rubio-Ruiz, B.; Pérez-López, A.M.; Sebastián, V.; Unciti-Broceta, A. A minimally-masked inactive prodrug of panobinostat that is bioorthogonally activated by gold chemistry. Bioorg. Med. Chem. 2021, 41, 116217. [Google Scholar] [CrossRef]
- Shintani, R. Recent progress in copper-catalyzed asymmetric allylic substitution reactions using organoboron nucleophiles. Synthesis 2016, 48, 1087–1100. [Google Scholar] [CrossRef]
- Zhou, Y.; Shi, Y.; Torker, S.; Hoveyda, A.H. SN2′′-Selective and enantioselective substitution with unsaturated organoboron compounds and catalyzed by a sulfonate-containing NHC-Cu complex. J. Am. Chem. Soc. 2018, 140, 16842–16854. [Google Scholar] [CrossRef] [PubMed]
- Shi, Y.; Jung, B.; Torker, S.; Hoveyda, A.H. N-heterocyclic carbene–copper-catalyzed group-, site-, and enantioselective allylic substitution with a readily accessible propargyl(pinacolato)boron reagent: Utility in stereoselective synthesis and mechanistic attributes. J. Am. Chem. Soc. 2015, 137, 8948–8964. [Google Scholar] [CrossRef] [PubMed]
- Kumar, G.G.K.S.N.; Laali, K.K. Facile coupling of propargylic, allylic and benzylic alcohols with allylsilane and alkynylsilane, and their deoxygenation with Et3SiH, catalyzed by Bi(OTf)3 in [BMIM][BF4] ionic liquid (IL), with recycling and reuse of the IL. Org. Biomol. Chem. 2012, 10, 7347–7355. [Google Scholar] [CrossRef] [PubMed]
- Peng, S.; Wang, L.; Wang, J. Iron-catalyzed ene-type propargylation of diarylethylenes with propargyl alcohols. Org. Biomol. Chem. 2012, 10, 225–228. [Google Scholar] [CrossRef] [PubMed]
- Pawlowski, R.; Stodulski, M.; Mlynarski, J. Propargylation of CoQ0 through the redox chain reaction. J. Org. Chem. 2022, 87, 683–692. [Google Scholar] [CrossRef]
- Shi, L.; Xing, L.L.; Hu, W.B.; Shu, W. Regio- and enantioselective Ni-catalyzed formal hydroalkylation, hydrobenzylation, and hydropropargylation of acrylamides to α-tertiary amides. Angew. Chem. Int. Ed. 2021, 60, 1599–1604. [Google Scholar] [CrossRef]
- Chen, L.; Yu, J.; Tang, S.; Shao, Y.; Sun, J. Gold-catalyzed highly diastereoselective oxy-propargylamination of allenamides with C-alkynyl N-Boc N,O-acetals. Org. Lett. 2019, 21, 9050–9054. [Google Scholar] [CrossRef]
- Ma, Z.-X.; Fang, L.-C.; Haugen, B.; Bruckbauer, D.; Feltenberger, J.; Hsung, R. Facile synthesis of 3-amido-dienynes via a tandem α-propargylation–isomerization of chiral allenamides and their applications in Diels–Alder cycloadditions. Synlett 2017, 28, 2906–2912. [Google Scholar] [CrossRef]
- Giri, S.S.; Lin, L.-H.; Jadhav, P.D.; Liu, R.-S. Gold-catalyzed 1,4-carbooxygenation of 3-en-1-ynamides with allylic and propargylic alcohols via non-Claisen pathways. Adv. Synth. Catal. 2017, 359, 590–596. [Google Scholar] [CrossRef]
- Nguyen, K.D.; Herkommer, D.; Krische, M.J. Ruthenium-BINAP catalyzed alcohol C-H tert-prenylation via 1,3-enyne transfer hydrogenation: Beyond stoichiometric carbanions in enantioselective carbonyl propargylation. J. Am. Chem. Soc. 2016, 138, 5238–5241. [Google Scholar] [CrossRef]
- Aridoss, G.; Laali, K.K. Condensation of propargylic alcohols with 1,3-dicarbonyl compounds and 4-hydroxycoumarins in ionic liquids (ILs). Tetrahedron Lett. 2011, 52, 6859–6864. [Google Scholar] [CrossRef]
- Ohta, K.; Kobayashi, T.; Tanabe, G.; Muraoka, O.; Yoshimatsu, M. Scandium-catalyzed propargylation of 1,3-diketones with propargyl alcohols bearing sulfur or selenium functional groups: Useful transformation to furans and pyrans. Chem. Pharm. Bull. 2010, 58, 1180–1186. [Google Scholar] [CrossRef] [PubMed]
- Emer, E.; Sinisi, R.; Capdevila, M.G.; Petruzziello, D.; De Vincetiis, F.; Cozzi, P.G. Direct nucleophilic SN1-type reactions of alcohols. Eur. J. Org. Chem. 2011, 2011, 647–666. [Google Scholar] [CrossRef]
- Sinisi, R.; Vita, M.V.; Gualandi, A.; Emer, E.; Cozzi, P.G. SN1-Type reactions in the presence of water: Indium(III)-promoted highly enantioselective organocatalytic propargylation of aldehydes. Chem. Eur. J. 2011, 17, 7404–7408. [Google Scholar] [CrossRef]
- Liu, Y.M.; Li, F.; Wang, Q.; Yang, J. Synthesis of the AE bicyclic of Daphniphyllum alkaloid yuzurine. Tetrahedron 2017, 73, 6381–6385. [Google Scholar] [CrossRef]
- Zidan, A.; Cordier, M.; El-Naggar, A.M.; El-Sattar, N.E.A.A.; Hassan, M.A.; Ali, A.K.; El Kaïm, L. Propargylation of Ugi amide dianion: An entry into pyrrolidinone and benzoindolizidine alkaloid analogues. Org. Lett. 2018, 20, 2568–2571. [Google Scholar] [CrossRef]
- Yadav, J.S.; Reddy, B.V.S.; Mishra, A.K. Zinc-mediated alkylation and acylation of 1,3-dicarbonyl compounds. Chem. Lett. 2010, 39, 280–281. [Google Scholar] [CrossRef]
- Wu, H.-H.; Hsu, S.-C.; Hsu, F.-L.; Uang, B.-J. Asymmetric synthesis of (–)-pterosin N from a chiral 1,3-dioxolanone. Eur. J. Org. Chem. 2014, 2014, 4351–4355. [Google Scholar] [CrossRef]
- Selvaraj, V.; Rajendran, V. Propargylation of indene-1,3-dione under a new phase-transfer catalyst combined with ultrasonication–A kinetic study. Ultras. Sonochem. 2014, 21, 612–619. [Google Scholar] [CrossRef]
- Li, Y.; Palframan, M.J.; Pattenden, G.; Winne, J.M. A strategy towards the synthesis of plumarellide based on biosynthesis speculation, featuring a transannular 4 + 2 type cyclisation from a cembranoid furanoxonium ion intermediate. Tetrahedron 2014, 70, 7229–7240. [Google Scholar] [CrossRef]
- Stonik, V.A.; Kapustina, I.I.; Kalinovsky, A.I.; Dmitrenok, P.S.; Grebnev, B.B. New diterpenoids from the far-eastern gorgonian coral Plumarella sp. Tetrahedron Lett. 2002, 43, 315–317. [Google Scholar] [CrossRef]
- Tedeschi, C.; Saccavini, C.; Maurette, L.; Soleilhavoup, M.; Chauvin, R. 1,4-Diynes from alkynyl–propargyl coupling reactions. J. Organomet. Chem. 2003, 670, 151–169. [Google Scholar] [CrossRef]
- Guo, W.-H.; Luo, Z.-J.; Zeng, W.; Zhang, X. Access to difluoromethylene-skipped 1,4-diynes with gem-difluoropropargyl bromide. ACS Catal. 2017, 7, 896–901. [Google Scholar] [CrossRef]
- Yoshida, M. Organocatalytic asymmetric α-allylation and propargylation of α-branched aldehydes with alkyl Halides. J. Org. Chem. 2021, 86, 10921–10927. [Google Scholar] [CrossRef] [PubMed]
- Li, F.; Zhang, Z.-Q.; Lu, X.; Xiao, B.; Fu, Y. Copper-catalyzed propargylation of diborylmethane. Chem. Commun. 2017, 53, 3551–3554. [Google Scholar] [CrossRef]
- Zhao, L.; Huang, G.; Guo, B.; Xu, L.; Chen, J.; Cao, W.; Zhao, G.; Wu, X. Diastereo- and enantioselective propargylation of benzofuranones catalyzed by pybox-copper complex. Org. Lett. 2014, 16, 5584–5587. [Google Scholar] [CrossRef]
- Huang, G.; Cheng, C.; Ge, L.; Guo, B.; Zhao, L.; Wu, X. Trialkyl methanetricarboxylate as dialkyl malonate surrogate in copper-catalyzed enantioselective propargylic substitution. Org. Lett. 2015, 17, 4894–4897. [Google Scholar] [CrossRef]
- Xia, J.-T.; Hu, X.-P. Copper-catalyzed asymmetric propargylic alkylation with oxindoles: Diastereo- and enantioselective construction of vicinal tertiary and all-carbon quaternary stereocenters. Org. Lett. 2020, 22, 1102–1107. [Google Scholar] [CrossRef]
- Zhu, Q.; Meng, B.; Gu, C.; Xu, Y.; Chen, J.; Lei, C.; Wu, X. Diastereo- and enantioselective synthesis of quaternary α-amino acid precursors by copper-catalyzed propargylation. Org. Lett. 2019, 21, 9985–9989. [Google Scholar] [CrossRef]
- Zhang, K.; Lu, L.-Q.; Yao, S.; Chen, J.-R.; Shi, D.-Q. Enantioconvergent copper catalysis: In situ generation of the chiral phosphorus ylide and its Wittig reactions. J. Am. Chem. Soc. 2017, 139, 12847–12854. [Google Scholar] [CrossRef]
- Fu, Z.; Deng, N.; Su, S.-N.; Li, H.; Li, R.-Z.; Zhang, X.; Liu, J.; Niu, D. Diastereo- and enantioselective propargylation of 5H-thiazol-4-ones and 5H-oxazol-4-ones as enabled by Cu/Zn and Cu/Ti catalysis. Angew. Chem. Int. Ed. 2018, 57, 15217–15221. [Google Scholar] [CrossRef] [PubMed]
- Chang, X.; Zhang, J.; Peng, L.; Guo, C. Collective synthesis of acetylenic pharmaceuticals via enantioselective Nickel/Lewis acid-catalyzed propargylic alkylation. Nat. Commun. 2021, 12, 299. [Google Scholar] [CrossRef] [PubMed]
- Xu, H.; Laraia, L.; Schneider, L.; Louven, K.; Strohmann, C.; Antonchick, A.P.; Waldmann, H. Highly enantioselective catalytic vinylogous propargylation of coumarins yields a class of autophagy inhibitors. Angew. Chem. Int. Ed. 2017, 56, 11232–11236. [Google Scholar] [CrossRef] [PubMed]
- Uchiyama, C.; Miyadera, Y.; Hayashi, Y.; Yakushiji, F. One–pot selective synthesis of 2,3-dihydro-4H-furo[3,2-c]coumarins by palladium-catalyzed silver-assisted propargylation/intramolecular 5-exo–dig cyclization. Chem. Select 2017, 2, 3794–3798. [Google Scholar] [CrossRef]
- Liu, X.-t.; Hao, L.; Lin, M.; Chen, L.; Zhan, Z.-p. One-pot highly efficient synthesis of substituted pyrroles and N-bridgehead pyrroles by zinc-catalyzed multicomponent reaction. Org. Biomol. Chem. 2010, 8, 3064–3072. [Google Scholar] [CrossRef]
- Iwasawa, N.; Watanabe, S.; Ario, A.; Sogo, H. Re(I)-Catalyzed hydropropargylation of silyl enol ethers utilizing dynamic interconversion of vinylidene–alkenylmetal intermediates via 1,5-hydride transfer. J. Am. Chem. Soc. 2018, 140, 7769–7772. [Google Scholar] [CrossRef]
- Bass, P.D.; Gubler, D.A.; Judd, T.C.; Williams, R.M. Mitomycinoid alkaloids: Mechanism of action, biosynthesis, total syntheses, and synthetic approaches. Chem. Rev. 2013, 113, 6816–6863. [Google Scholar] [CrossRef]
- Zhang, X.-Y.; Yang, Z.-W.; Chen, Z.; Wang, J.; Yang, D.-L.; Shen, Z.; Hu, L.-L.; Xie, J.-W.; Zhang, J.; Cui, H.-L. Tandem copper-catalyzed propargylation/alkyne azacyclization/isomerization reaction under microwave irradiation: Synthesis of fully substituted pyrroles. J. Org. Chem. 2016, 81, 1778–1785. [Google Scholar] [CrossRef]
- Zhang, C.; Hui, Y.-Z.; Zhang, D.-Y.; Hu, X.-P. Highly diastereo-/enantioselective Cu-catalyzed propargylic alkylations of propargyl acetates with cyclic enamines. RSC Adv. 2016, 6, 14763–14767. [Google Scholar] [CrossRef]
- Cheng, D.; Zhou, X.; Xu, X.; Yan, J. Propargylation of 1,3-dicarbonyl compounds catalyzed by 2,3-dichloro-5,6-dicyano-1,4-benzoquinone and sodium nitrite in the presence of molecular oxygen and formic acid. RSC Adv. 2016, 6, 52459–52463. [Google Scholar] [CrossRef]
- Pasha, M.A.; Krishna, A.V.; Ashok, E.; Ramachary, D.B. Organocatalytic reductive propargylation: Scope and applications. J. Org. Chem. 2019, 84, 15399–15416. [Google Scholar] [CrossRef]
- Evans, D.A.; Ng, H.P.; Clark, J.S.; Rieger, D.L. Diastereoselective anti aldol reactions of chiral ethyl ketones. Enantioselective processes for the synthesis of polypropionate natural products. Tetrahedron 1992, 48, 2127–2142. [Google Scholar] [CrossRef]
- Mailhol, D.; Willwacher, J.; Kausch-Busies, N.; Rubitski, E.E.; Sobol, Z.; Schuler, M.; Lam, M.-H.; Musto, S.; Loganzo, F.; Maderna, A.; et al. Synthesis, molecular editing, and biological assessment of the potent cytotoxin Leiodermatolide. J. Am. Chem. Soc. 2014, 136, 15719–15729. [Google Scholar] [CrossRef] [PubMed]
- Sun, M.; Song, J.; Wang, L.; Yin, W.; Miao, M.; Ren, H. Direct propargylation of ortho-quinone methides with alkynyl zinc reagents: An application to the one-pot synthesis of 2,3-disubstituted benzofurans. Synlett 2020, 31, 818–822. [Google Scholar] [CrossRef]
- Mukai, C.; Kojima, T.; Kawamura, T.; Inagaki, F. Cyclopropanes in Nicholas reaction: Formation of spiroketals with a five-membered and a seven- or an eight-membered ring. Tetrahedron 2013, 69, 7659–7669. [Google Scholar] [CrossRef]
- Holmelid, B.; Sydnes, L. Reactions of epoxides with 3,3,4,4-tetraethoxybut-1-yne acetylide: Selective formation of propargylic and homopropargylic alcohols. Synthesis 2013, 45, 2567–2570. [Google Scholar] [CrossRef]
- Suzuki, T. Organic synthesis involving iridium-catalyzed oxidation. Chem. Rev. 2011, 111, 1825–1845. [Google Scholar] [CrossRef]
- Liang, T.; Woo, S.K.; Krische, M.J. C-Propargylation overrides O-propargylation in reactions of propargyl chloride with primary alcohols: Rhodium-catalyzed transfer hydrogenation. Angew. Chem. Int. Ed. 2016, 55, 9207–9211. [Google Scholar] [CrossRef]
- Chen, J.; Huang, W.; Li, Y.; Cheng, X. Visible-light-induced difluoropropargylation reaction with benzothiazoline as a reductant. Adv. Synth. Catal. 2018, 360, 1466–1472. [Google Scholar] [CrossRef]
- Ambler, B.R.; Woo, S.K.; Krische, M.J. Catalytic enantioselective carbonyl propargylation beyond preformed carbanions: Reductive coupling and hydrogen auto-transfer. ChemCatChem 2019, 11, 324–332. [Google Scholar] [CrossRef]
- Huang, H.M.; Bellotti, P.; Daniliuc, C.; Glorius, F. Radical carbonyl propargylation by dual catalysis. Angew. Chem. Int. Ed. 2021, 60, 2464–2471. [Google Scholar] [CrossRef] [PubMed]
- Jiang, Y.-B.; Zhang, W.-S.; Cheng, H.-L.; Liu, Y.-Q.; Yang, R. One-pot synthesis of N-aryl propargylamine from aromatic boronic acid, aqueous ammonia, and propargyl bromide under microwave-assisted conditions. Chin. Chem. Lett. 2014, 25, 779–782. [Google Scholar] [CrossRef]
- Yu, Y.-B.; He, G.-Z.; Zhang, X. Synthesis of α,α-difluoromethylene alkynes by palladium-catalyzed gem -difluoropropargylation of aryl and alkenyl boron reagents. Angew. Chem. Int. Ed. 2014, 53, 10457–10461. [Google Scholar] [CrossRef] [PubMed]
- García-Viñuales, S.; Delso, I.; Merino, P.; Tejero, T. Stereoselective ethynylation and propargylation of chiral cyclic nitrones: Application to the synthesis of glycomimetics. Synthesis 2016, 48, 3339–3351. [Google Scholar] [CrossRef]
- Guo, L.-N.; Duan, X.-H.; Liang, Y.-M. Palladium-catalyzed cyclization of propargylic compounds. Acc. Chem. Res. 2011, 44, 111–122. [Google Scholar] [CrossRef]
- Zhang, D.-Y.; Hu, X.-P. Recent advances in copper-catalyzed propargylic substitution. Tetrahedron Lett. 2015, 56, 283–295. [Google Scholar] [CrossRef]
- Hua, R.; Nizami, T.A. Synthesis of heterocycles by using propargyl compounds as versatile synthons. Mini-Rev. Org. Chem. 2018, 15, 198–207. [Google Scholar] [CrossRef]


















































































































| Entry | Type of Substrates | |
|---|---|---|
| 2.1 | (a) Aldehydes and ketones, (b) hemiacetals (involving C=O functionality) | |
| 2.2 | (a) Imines, (b) iminium, and (c) azo compounds (involving C=N and N=N bonds) | |
| 2.3 | Aryl and heterocyclic derivatives (involving the =C-H bond) | |
| 2.4 | Acyl halides (involving both CO-X and C=O bonds) | |
| 2.5 | Amine/amide derivatives (involving N-H as nucleophilic center) | |
| 2.6 | Vinylstananes | |
| 2.7 | (a) Alcohols, (b) enol-like precursors, (c) phenols, (d) thiols, and (e) carboxylic acids (involving O-H and S-H as nucleophilic centers) | |
| 2.8 | (a) Alkenes, (b) allenes, and (c) enynes (involving the C=C bond) | |
| 2.9 | Carbanion-like nucleophiles (involving methyl, methyne and methylene-active compounds, enol/enolate, and enamine functionalities) | |
| 2.10 | Carbocationic electrophiles (involving benzylic tosylates, alkyne–Co2(CO)6 complex, and epoxides) | |
| 2.11 | Free-radical-like precursors | |
| 2.12 | Boronic acids (ArB(OH)2) | |
| 2.13 | Nitrones | |
| Type of propargylating agents (including propargyl and allenyl derivatives) | ||
| a | Propargyl-/allenylboron-based reagents (involving borolanes, boronic acids, BF3K) | |
| b | Propargyl-/allenyl-halides (X = Br, Cl, I) | |
| c | Propargyl ethers, propargyl-ONH3+Cl-, acid/ester derivatives (involving acetates, phosphates, sulfonates, carboxylates, carboxyls, and -OR) | |
| d | Propargylamines | |
| e | Organometallic reagents (propargyl-/allenyl-MX, propargyl-M) (M = metal) | |
| f | Silyl reagents (involving TMS, SiX3, SiX3) | |
| g | Propargyl–aryl derivatives | |
| h | Propargyl aldehydes | |
| i | Propargyl-(SeR2)+ | |
| j | Masked propargyl reagents (CaC2/RCHO, Co-based complex, isoxazolones) | |
| k | Propargyl alcohols and cationic-like propargyl intermediates | |
| l | Enyne-based reagents | |
| m | Methylene-active-based reagents | |
| n | Aryl/alkyl acetylenes | |
| Catalysts and catalytic systems | ||
| (a) Transition metal-catalyzed reactions: | (i) Involving complexed or free metals | |
| Zn, Cu, Ce, Ba, Co, Sc, Mo, Fe, In, Bi, Yb, Ln, Ag, Cr, Ti, Ir, Ru, Al, Sn, Cs, Pd, Rh, Mn, Au, Ni, Hg | ||
| (ii) Involving combined complexed or free metals | ||
| Ir/Sn, Ti/Pd, Pd/Sn, Ni/In, Zn/Pd, Ti/Cu/Zn, Ag/Sb, Co/BF3, Pd/Ag, Au/Ag, Cu/Zn, Co/Ag, Ni/Yb, Al/Zn, Cu/Li | ||
| (b) Base-catalyzed reactions: | K2CO3, Cs2CO3, NaH, KOH, NaOH, LDA, NH4OH, n-BuLi, tBuOK, LiHMDS, TEA, iPrNH2, iPr2NEt, DTBMP, KHCO3, K2CO3/MWI, 2,6-lutidine, tBuOLi | |
| (c) Lewis and Brønsted acid-catalyzed reactions: | PTSA, TfOH, PPA, HCO2H, BF3•OEt2, combined Lewis/Bronsted acids, B(C6F5)3, Amberlyst-15, [BMIM][BF4], BPh3 | |
| (d) Metal-, base- and acid-free catalyzed reactions: | C6F5B(OH)2, biphenols, pyridium-NO, Tf2O, PTC/MW, H2O/MW, clays, conventional heating/solvent, O2/DDQ, molecular sieves (MS), LEDs/(PhS)2, enzymes, Hantzsch ester/S-proline, acetone/MW, LiBINOL phosphate; EDC/H2O, PhSSPh/blue LEDs. | |
![]() | ||||||
|---|---|---|---|---|---|---|
| Entry | Conditions | Propargylation Reagent 2 | Chiral Catalyst/Ligand | Number of Examples | Yield (%) (ee%) | Ref. |
| 1 | cat. (7%) Cu(II)(isobutyrate)2, (7%) tBuOLi, THF, −30 °C, 18 h R = Aryl, Het, alkyl; R1 = H; R2 = R3 = TMS | ![]() 2a | MeO-BIBOP (9%) | 10 | 77–99 (90–99) | [10] |
| 2 | (1) cat. (2–5%) Et2Zn, THF, 20 °C, 1 h (2) K2CO3, MeOH R = Ph, Aryl, Het, alkyl; Cy; R1 = H, Me; R2 = TMS; R3 = H | 2a | ------ | 11 | 85–99 | [3] |
| 3 | cat. (1.2 equiv.) Et2Zn, DCM, 20 °C, 1 h R = Aryl, alkyl; R1 = H, Me; R2 = R3 = TMS, SiMe2Ph, (CH2)3Ph | ![]() 2b | 7 | 87–98 | ||
| 4 | cat. (20%) Et2Zn, THF, 20 °C, 18 h R = p-MeOC6H4; R1 = R3 = H | ![]() 2c | 1 | 74 | ||
| 5 | CuOAc (2 mol%), iPrOLi (0.5 equiv.), iPrOH (1 equiv.), DCM, −75 °C R = Ph, Aryl, Het, alkyl, Cy; R1 = Me, Cy; R3 = H | 2c | Chiral bisphosphine ligand (2.4 mol %) | 15 | 65–94 (42–98) | [11] |
| 6 | MW R = Ph, Aryl, Het, alkyl, Cy; R1 = Me, Et, Pr, Bn, (CH2)2Cl, (CH2)3Cl, Cy; R3 = H | ![]() 2d | (S)-Br2-BINOL (10 mol%) | 22 | 60–98 (79–99) | [12] |
| 7 | Cu(isobutyrate)2 (5 mol%), tBuOLi (8 mol%), THF, −62 °C, 18 h R = Ph, Aryl, Het, alkyl, Cy; R1 = Me, Cy; R2 = R3 = TMS | 2a | (R)-BINAP (7 mol%) | 16 | 80–98 (84–98) | [13] |
| 8 | AgF (5 mol%), tBuOH (1.1 equiv.), tBuONa (15 mol%)/MeOH, tBuOMe, −20 °C, 6 h R = Ph, Aryl, thienyl; R1 = Me, Aryl, tBuCO2; R3 = H | 2c | (R,R)-Walphos-8 (5-6 mol%) | 14 | 48–95 (71–97) | [14] |
| 9 | Et2Zn (25 mol%), H2O (2 mol%), THF, −40 °C, 2 d R = ArC(Me)2CH2, Ph(CH2)2; R1 = CF3; R3 = TMS | 2a | N-isopropyl-L-proline (27 mol%) | 10 | 70–94 (80–93) | [15] |
| 10 | CuCl (5 mol%), tBuONa (10 mol%), THF, −40 °C, 24 h R = PhCF2, ArCF2, HetCF2, alkylCF2; R1 = Me, Et; R2 = R3 = H | 2c | (S,S,S)-Ph-SKP (6 mol%) | 25 | 58–99 (42–98) | [16] |
| 11 | MWI (300 W), 100 °C, 30 min R = Ph, Aryl, furanyl, n-hexyl; R1 = H; R2 = R3 = H | 2c | ------ | 20 | 51–98 | [17] |
| 12 | Computational study; R = Ph; R1 = R3 = H | 2c | chiral BINOL-phosphoric acid | 1 | ------ | [18] |
| 13 | Computational study; R = Aryl, alkyl; R1 = R3 = H | 2c | (R)-TRIP-PA | 2 | ------ | [19] |
| 14 | Computational study; R = Ph; R1 = Me; R3 = H | 2c and 2e | chiral BINOL catalysts | 2 | ------ | [20] |
| 15 | Computational study; Cu(isobutyrate)2 (2.5 mol%), tBuOLi (2.5 mol%), THF, −20 °C R = Aryl; R1 = Me; R2 = R3 = TMS | 2a | Me-BPE (2.5 mol%) | ------ | ------ | [21] |
![]() | ||||||
|---|---|---|---|---|---|---|
| Entry | Conditions | Propargylation Reagent 19 | Chiral Catalyst/Ligand | Number of Examples | Yield (%) | Ref. |
| 1 | (1) Mn (3 mol%), TESCl, THF, rt, 1h, 1 mol% of a tetraarylporphyrin complex (2) TBAF, THF R = Ph, Aryl, Het, alkyl; Cy; R1 = H; R2 = H | ![]() 19a (X = Br) | H8- TBOx ligand (3 mol%) | 19 | 37–91 (84–93 ee) | [42] |
| 2 | ZnEt2 (220 mol%), DCM (0.1 M), 4Å MS, −78 → 4 °C, 12 h R = PhCH=CH, PhCH=CMe Aryl, Naphth, Het, Cy; R1 = H; R2 = H | 19b (X = I) or 19c | ![]() R = 1-Naphthyl, (10 mol%) | 15 | 80–99 (80–96 ee) | [43] |
| 3 | CrCl3•(THF)3 (10 mol%), TEA (20 mol%), TMSCl (4 equiv.), Mn (4 equiv.), LiCl (1 equiv.), THF, 25 °C, 72 h; R = Ph, Aryl, Het, alkyl, Naphth, Cy; R1 = Me, Et, iPr; R2 = H | ![]() 19d (X = Cl) | ![]() (11 mol%) | 17 | 60–86 (85–98 ee) | [44] |
| 4 | [TiCl2Cp2] (0.2 equiv.), Mn dust, Me3SiCl, 2,4,6-collidine A: R = Aryl, alkyl; R1 = R2 = H; B: R = Aryl, alkyl; R1 = Alkyl; R2 = H; C: R = Aryl, alkyl; R1 = Me, H; R2 = Et, pentyl | A: 19a (X = Br) B: 19d (X = Cl) C: 19a,d (X = Br, Cl) | ------ | A: 16 B: 10 C: 7 | 57–99 53–99 19–79 | [45] |
| 5 | Electrochemical condition, H2O-THF (8:2), 0.02 M ZnCl2 solution R = Ph, Aryl, alkyl; R1 = H, CO2Me; R2 = H, Et | ![]() 19e (R3 = H, Me) | ------ | 11 | 35–92 | [46] |
| 6 | Computational study; R = tBu, iPr, Bu, Cy, iPent; R1 = Me; R2 = H | 19a,d (X = Cl, Br) | ![]() 7 Ligands | 7 | ------ | [47] |
![]() | |||||
|---|---|---|---|---|---|
| Entry | Conditions | Chiral Catalyst/Ligand | Number of Examples | Yield (%) | Ref. |
| 1 | CeCl3 (30 mol%), ZnO (1 equiv.), MeNO2, reflux. R = H, Me; R1 = H, R2 = H, OMe, Br, Aryl, R3 = Aryl; R4 = Me; R5 = Ph, alkyl; R6 = H | ---- | 12 | 28–88 | [139] |
| 2 | BF3•Et2O (5 mol%), ACN, rt 3 h. R = Me; R1 = alkyl; R2 = H, R3 = Ph; R4: H, R5 = Ph; R6 = H | ---- | 1 | 91 | [140] |
| 3 | Ce(OTf)3 (30 mol%) MeNO2, 40 °C, R = H; R1 = H, R2 = H, R3 = Ph, M; R4 = Me; R5 = Ph; R6 = H | ---- | 3 | 45–83 | [134] |
| 4 | Al(OTf)3 (2 mol%), ACN, reflux. R = H, Me; R1 = H, Me; R2 = H, OMe, Cl; R3 = H, alkyl; R4 = Ph, Aryl; R5 = Ph, Butyl; R6 = H | ---- | 20 | 54–94 | [141] |
| 5 | Bi(NO3)3•5H2O, (10 mol%), (bmim)PF6. R = H; R1 = H, Me; R2 = H, F, Br, CN, NO2, OMe; R3 = H; R4 = Ph; R5 = H, Ph, SiCH3; R6 = H | ---- | 15 | 81–94 | [142] |
| 6 | Montmorillonite K-10, benzene, rt, 4 h. R = H, Me; R1 = Ph, Aryl; R2 = H, Cl, Me; R3 = H; R4 = Ph; R5 = Ph; R6 = H | ---- | 8 | 60–71 | [143] |
| 7 | TfOH, dioxane. R = Me; R1 = CHO; R2 = H, R3 = Ph; R4 = H, R5 = Ph; R6 = H | ---- | 1 | 92 | [144] |
| 8 | CuOTf•1/2 C6H6, 4-methylmorpholine, MeOH, 0 °C. R = H, alkyl, Het; R1: H; R2: Me, OMe, Cl; R3: CF3, H, alkyl, Ph; R4 = Aryl, Het; R5 = H; R6 = OC(O)C6F5 | ![]() | 26 | 54–93 (80–97% ee) | [145] |
| 9 | Ni(cod)2, iPr2NEt, toluene, 40 °C, 24 h. R = H; R1 = H; Ph, alkyl; R2 = H, Br; R3 = Me, Et, PhCH2CH2; R4 = H, R5 = Aryl, alkyl, Het, Ph; R6 = Boc | ![]() | 24 | 41−89% (97–99% ee) | [146] |
Disclaimer/Publisher’s Note: The statements, opinions and data contained in all publications are solely those of the individual author(s) and contributor(s) and not of MDPI and/or the editor(s). MDPI and/or the editor(s) disclaim responsibility for any injury to people or property resulting from any ideas, methods, instructions or products referred to in the content. |
© 2023 by the authors. Licensee MDPI, Basel, Switzerland. This article is an open access article distributed under the terms and conditions of the Creative Commons Attribution (CC BY) license (https://creativecommons.org/licenses/by/4.0/).
Share and Cite
Abonia, R.; Insuasty, D.; Laali, K.K. Recent Advances in the Synthesis of Propargyl Derivatives, and Their Application as Synthetic Intermediates and Building Blocks. Molecules 2023, 28, 3379. https://doi.org/10.3390/molecules28083379
Abonia R, Insuasty D, Laali KK. Recent Advances in the Synthesis of Propargyl Derivatives, and Their Application as Synthetic Intermediates and Building Blocks. Molecules. 2023; 28(8):3379. https://doi.org/10.3390/molecules28083379
Chicago/Turabian StyleAbonia, Rodrigo, Daniel Insuasty, and Kenneth K. Laali. 2023. "Recent Advances in the Synthesis of Propargyl Derivatives, and Their Application as Synthetic Intermediates and Building Blocks" Molecules 28, no. 8: 3379. https://doi.org/10.3390/molecules28083379
APA StyleAbonia, R., Insuasty, D., & Laali, K. K. (2023). Recent Advances in the Synthesis of Propargyl Derivatives, and Their Application as Synthetic Intermediates and Building Blocks. Molecules, 28(8), 3379. https://doi.org/10.3390/molecules28083379


















