Dissipation Dynamic, Residue Distribution and Risk Assessment of Emamectin Benzoate in Longan by High-Performance Liquid Chromatography with Fluorescence Detection
Abstract
1. Introduction
2. Results and Discussion
2.1. Method Validation
2.2. Dissipation of Emamectin Benzoate in Longan
2.3. Terminal Residues of Emamectin Benzoate in Longan
2.4. Risk Assessment
3. Material and Methods
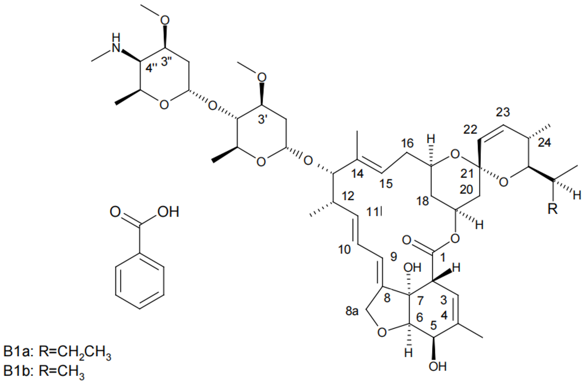
3.1. Chemicals and Reagents
3.2. Field Trials and Sample Preparation
3.3. Extraction and Derivatization Procedures
3.4. Instrumentation and HPLC Analytical Conditions
3.5. Methodological Validation
3.6. Statistical Analysis
4. Conclusions
Author Contributions
Funding
Institutional Review Board Statement
Informed Consent Statement
Data Availability Statement
Conflicts of Interest
Sample Availability
References
- Chen, X.P.; Deng, C.J.; Hu, W.X.; Jiang, J.M.; Jiang, F.; Xu, Q.Z.; Zheng, S.Q. Characteristics of soluble sugars in longan germplasm. Int. J. Fruit Sci. 2015, 32, 420–426. [Google Scholar]
- Dai, H.F.; Huang, B.X.; Wang, X.R.; Li, J.G.; Xiao, W.Q. Measurement of amino acids in flesh of 18 longan varieties by high performance liquid chromatography. Guangdong Agric. Sci. 2010, 37, 125–128. [Google Scholar]
- Tang, Y.Y.; He, X.M.; Sun, J.; Li, C.B.; Li, L.; Sheng, J.F.; Xin, M.; Li, Z.C.; Zheng, F.J.; Liu, G.M.; et al. Polyphenols and alkaloids in byproducts of longan fruits (Dimocarpus longan Lour.) and their bioactivities. Molecules 2019, 24, 1186. [Google Scholar] [CrossRef] [PubMed]
- Hao, J.; Dong, L.H.; Chi, J.W.; Ma, Y.X.; Zhou, Q.Y.; Zhang, R.F.; Bai, Y.J. Health effect of longan and its present situation and prospect of healthy food development. Mod. Food Sci. Technol. 2021, 37, 340–349. [Google Scholar]
- Liu, X.H.; Ma, C.L. Production and research of longan in China. Acta Horticulturae 2001, 558, 73–82. [Google Scholar] [CrossRef]
- Jiang, Y.; Zhang, Z.; Joyce, D.C. Postharvest biology and handling of longan fruit (Dimocarpus longan, Lour.). Postharvest Biol. Technol. 2002, 26, 241–252. [Google Scholar] [CrossRef]
- Zhang, Z.; Zeng, D.; Li, G. Study of the volatile profile characteristics of longan during storage by a combination sampling method coupled with GC/MS. J. Sci. Food Agric. 2010, 88, 1035–1042. [Google Scholar] [CrossRef]
- Lasota, J.A.; Dybas, R.A. Avermectins, a novel class of compounds: Implications for use in arthropod pest control. Annu. Rev. Entomol. 1991, 36, 91–117. [Google Scholar] [CrossRef]
- European Food Safety Authority, Parma. Reasoned opinion of EFSA: Modification of the existing MRLs for emamectin benzoate in plums, apricots and citrus fruit. EFSA J. 2011, 9, 1974. [Google Scholar] [CrossRef]
- Shang, Q.; Shi, Y.; Zhang, Y.; Zheng, T.; Shi, H.Y. Pesticide-conjugated polyacrylate nanoparticles: Novel opportunities for improving the photostability of emamectin benzoate. Polym. Adv. Technol. 2013, 24, 137–143. [Google Scholar] [CrossRef]
- Food and Agriculture Organization of the United Nations. Plant Production and Protection Division: P - List of Pesticide Evaluated by JMPR and JMPS. Available online: http://www.fao.org/agriculture/crops/thematic-sitemap/theme/pests/lpe/lpe-p/en/ (accessed on 30 January 2023).
- Wang, W.J.; Zhang, S.H.; Li, Z.; Li, J.Q.; Yang, X.M.; Wang, C.; Wang, Z. Construction of covalent triazine-based frameworks and application to solid phase microextraction of polycyclic aromatic hydrocarbons from honey samples. Food Chem. 2020, 322, 126770. [Google Scholar] [CrossRef]
- Guo, Y.G.; Zhang, J.; Xu, J.; Wu, X.H.; Dong, F.S.; Liu, X.G.; Zheng, Y.Q. An integrated strategy for purification by combining solid-phase extraction with dispersive-solid-phase extraction for detecting 22 pesticides and metabolite residues in fish. J. Agric. Food Chem. 2021, 69, 7199–7208. [Google Scholar] [CrossRef]
- Navarro, M.; Pico, Y.; Marin, R.; Manes, J. Application of matrix solid-phase dispersion to the determination of a new generation of fungicides in fruits and vegetables. J. Chromatogr. A 2002, 968, 201–209. [Google Scholar] [CrossRef]
- Bai, A.J.; Liu, S.W.; Chen, A.; Chen, W.Y.; Luo, X.W.; Liu, Y.; Zhang, D.Y. Residue changes and processing factors of eighteen field-applied pesticides during the production of Chinese Baijiu from rice. Food Chem. 2021, 359, 129983. [Google Scholar] [CrossRef]
- Deng, L.G.; Chen, L.; Guan, S.; Liu, J.H.; Liang, J.Y.; Li, X.; Li, Z.M. Dissipation of emamectin benzoate residues in rice and rice-growing environments. Molecules 2020, 25, 483. [Google Scholar] [CrossRef]
- Jyot, G.; Mandal, K.; Chahil, G.S.; Singh, B. Persistence and risk assessment of emamectin benzoate residues on okra fruits and soil. Environ. Technol. 2014, 35, 1736–1743. [Google Scholar] [CrossRef]
- Malhat, F.; Fayz, E.S.; Loutfy, N.M. Residues and dissipation of the pesticide emamectin benzoate under Egyptian field condition: A case study. Toxicol. Environ. Chem. Rev. 2013, 95, 1099–1107. [Google Scholar] [CrossRef]
- Zhang, Y.; Wu, Y.; Hu, J. Determination of emamectin benzoate residue in vegetables by high performance liquid chromatography with fluorescence detection. Chin. J. Chromatogr. 2008, 26, 110–112. [Google Scholar]
- Zhao, L.; Xie, X.C.; Zhan, X.P. Multi-residues determination of abamectin, emamectin benzoate and ivermectin in vegetables by HPLC-FD. Sci. Agric. Sin. 2010, 43, 3467–3472. [Google Scholar]
- Boomathi, N.; Kumaran, N.; Kumar, B.V. Harvest time residues of emamectin benzoate in cotton. Madras Agric. J. 2009, 96, 213–216. [Google Scholar]
- Kottiappan, M.; Anandh, S.V. Determination and residues level of emamectin benzoate in tea using HPLC with fluorescence detection. Food Public Health 2012, 2, 12–15. [Google Scholar] [CrossRef]
- Xiang, Z.M.; Qiu, X.B.; Shang, S.H. Analysis of Emamectin Benzoate residues in tobacco leaves. Guizhou Agric. Sci. 2010, 38, 199–202. [Google Scholar]
- Wang, L.; Zhao, P.; Zhang, F. Dissipation and residue behavior of emamectin benzoate on apple and cabbage field application. Ecotoxicol. Environ. Saf. 2012, 78, 260–264. [Google Scholar] [CrossRef] [PubMed]
- Liu, S.; Zhang, F.; Wang, L. Dissipation and Residues of Emamectin Benzoate in Cabbage. Bull. Environ. Contam. Toxicol. 2012, 89, 654–657. [Google Scholar] [CrossRef] [PubMed]
- Dong, B.; Zhao, Q.; Hu, J. Dissipation kinetics of emamectin benzoate and lufenuron residues in cabbage grown under field conditions. Environ. Monit. Assess. 2015, 187, 765–776. [Google Scholar] [CrossRef]
- Vijayasree, V.; Bai, H.; Mathew, T.B. Dissipation kinetics and effect of different decontamination techniques on the residues of emamectin benzoate and spinosad in cowpea pods. Environ. Monit. Assess. 2014, 186, 4499–4506. [Google Scholar] [CrossRef]
- Li, M.; Chen, W.; Li, M. Dissipation and residues of emamectin benzoate study in paddy under field conditions. Bull. Environ. Contam. Toxicol. 2011, 87, 699–702. [Google Scholar] [CrossRef]
- Jin, S.G. The Tenth Report of Nutrition and Health Status for China Residents: Nutrition and Health Status of Annual 2002; People’s Medical Publishing House: Beijing, China, 2008. [Google Scholar]
- Farag, M.; Badawy, H.M.A.; Barakat, D.A.; Saber, A.N. Residues, dissipation and safety evaluation of chromafenozide in strawberry under open field conditions. Food Chem. 2014, 152, 18–22. [Google Scholar]
- WHO. Principles and Methods for the Risk Assessment of Chemicals in Food EHC 240; World Health Organization: Geneva, Switzerland, 2009. [Google Scholar]
- JMPR. Available online: http://www.fao.org/fileadmin/templates/agphome/documents/Pests_Pesticides/JMPR/Report11/Emamectin.pdf (accessed on 30 January 2023).
- Hamilton, D.; Mbrus, A.; Dieterle, R.; Felsot, A.; Harris, C. Pesticide resicues in food acute dietary exposure. Pest. Manag. Sci. 2004, 60, 311–339. [Google Scholar] [CrossRef]




| Matrix | Fortified Level (mg/kg) | Average Recovery (%, n = 5) | RSD (%) | Correlation Coefficient | LOQ (mg/kg) |
|---|---|---|---|---|---|
| longan | 0.001 | 99 | 11 | 0.9992 | 0.001 |
| 0.01 | 99 | 8 | |||
| 0.1 | 111 | 5 | |||
| pulp | 0.001 | 83 | 4 | 0.9987 | 0.001 |
| 0.01 | 82 | 5 | |||
| 0.1 | 82 | 4 |
| Dosage (mg/kg) | Spray Times | Days after Treatment (day) | Residues in Whole Longan (mg/kg) | |||||
|---|---|---|---|---|---|---|---|---|
| Guangzhou | Maoming | Baoshan | Fangchenggang | Zhangzhou | Haikou | |||
| 10 | 2 | 10/14/21 | 0.007/0.003/<LOQ | 0.009/0.005/<LOQ | 0.010/0.003/<LOQ | 0.005/0.002/0.001 | 0.004/0.001/<LOQ | 0.003/0.001/0.001 |
| 3 | 10/14/21 | 0.009/0.004/<LOQ | 0.012/0.005/<LOQ | 0.012/0.004/<LOQ | 0.006/0.002/0.001 | 0.005/0.001/<LOQ | 0.003/0.002/0.001 | |
| 15 | 2 | 10/14/21 | 0.009/0.006/0.001 | 0.017/0.007/0.001 | 0.018/0.008/0.003 | 0.008/0.003/0.001 | 0.005/0.002/0.001 | 0.004/0.002/<LOQ |
| 3 | 10/14/21 | 0.011/0.007/0.001 | 0.025/0.012/0.001 | 0.021/0.009/0.003 | 0.012/0.004/0.001 | 0.008/0.002/0.001 | 0.017/0.007/<LOQ | |
| Food Classification | Fi (kg) | Reference Residue Limits (mg/kg) | Sources | NEDI (mg) | ADI (mg/kg) | Risk Quotient (%) |
|---|---|---|---|---|---|---|
| Rice and its products | 0.2399 | 0.02 | China | 0.004798 | 0.0005 × 63 | |
| Flour and its products | 0.1385 | |||||
| Other cereals | 0.0233 | 0.05 | China | 0.001165 | ||
| Tubers | 0.0495 | |||||
| Dried beans and their products | 0.016 | 0.05 | China | 0.0008 | ||
| Dark vegetables | 0.0915 | 0.1 | China | 0.00915 | ||
| Light vegetables | 0.1837 | 0.1 | China | 0.01837 | ||
| Pickles | 0.0103 | |||||
| Fruits | 0.0457 | 0.001 | STMR | 0.0000457 | ||
| Nut | 0.0039 | |||||
| Livestock and poultry | 0.0795 | |||||
| Milk and its products | 0.0263 | |||||
| Egg and its products | 0.0236 | |||||
| Fish and shrimp | 0.0301 | |||||
| Vegetable oil | 0.0327 | 0.02 | China | 0.000654 | ||
| Animal oil | 0.0087 | |||||
| Sugar and starch | 0.0044 | |||||
| Salt | 0.012 | 0.5 | China | 0.006 | ||
| Soy sauce | 0.009 | |||||
| Total | 1.0286 | 0.0409827 | 0.0315 | 130.1 |
Disclaimer/Publisher’s Note: The statements, opinions and data contained in all publications are solely those of the individual author(s) and contributor(s) and not of MDPI and/or the editor(s). MDPI and/or the editor(s) disclaim responsibility for any injury to people or property resulting from any ideas, methods, instructions or products referred to in the content. |
© 2023 by the authors. Licensee MDPI, Basel, Switzerland. This article is an open access article distributed under the terms and conditions of the Creative Commons Attribution (CC BY) license (https://creativecommons.org/licenses/by/4.0/).
Share and Cite
Liu, Y.; Sun, H.; Wang, X.; Chang, H.; Wang, S. Dissipation Dynamic, Residue Distribution and Risk Assessment of Emamectin Benzoate in Longan by High-Performance Liquid Chromatography with Fluorescence Detection. Molecules 2023, 28, 3346. https://doi.org/10.3390/molecules28083346
Liu Y, Sun H, Wang X, Chang H, Wang S. Dissipation Dynamic, Residue Distribution and Risk Assessment of Emamectin Benzoate in Longan by High-Performance Liquid Chromatography with Fluorescence Detection. Molecules. 2023; 28(8):3346. https://doi.org/10.3390/molecules28083346
Chicago/Turabian StyleLiu, Yanping, Haibin Sun, Xiaonan Wang, Hong Chang, and Siwei Wang. 2023. "Dissipation Dynamic, Residue Distribution and Risk Assessment of Emamectin Benzoate in Longan by High-Performance Liquid Chromatography with Fluorescence Detection" Molecules 28, no. 8: 3346. https://doi.org/10.3390/molecules28083346
APA StyleLiu, Y., Sun, H., Wang, X., Chang, H., & Wang, S. (2023). Dissipation Dynamic, Residue Distribution and Risk Assessment of Emamectin Benzoate in Longan by High-Performance Liquid Chromatography with Fluorescence Detection. Molecules, 28(8), 3346. https://doi.org/10.3390/molecules28083346

