Five-Membered Heterocyclic Sulfonamides as Carbonic Anhydrase Inhibitors
Abstract
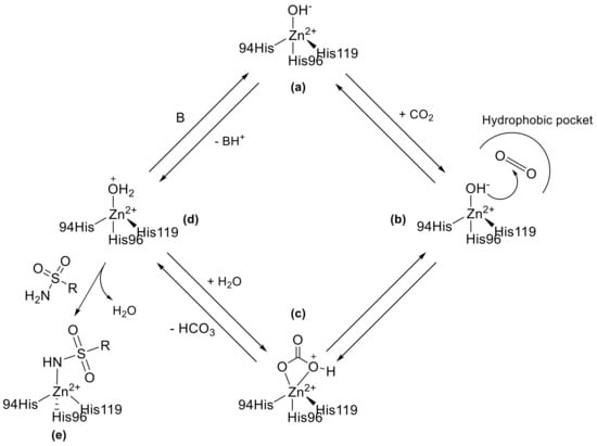
1. Introduction
2. Five-Membered Heterocyclic Sulfonamides
2.1. Oxygen and Nitrogen Containing Five-Membered Heterocyclic Sulfonamides
2.2. Thiophene Sulfonamides
2.3. Thiazole Sulfonamides
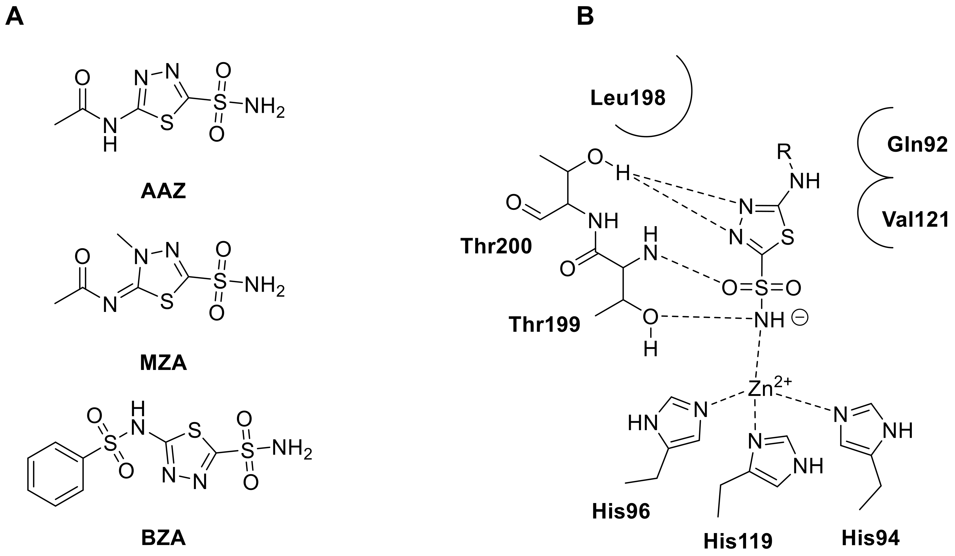
2.4. 1,3,4-Thiadiazole- and 1,3,4-Thiadiazoline Sulfonamides
2.4.1. Thiadiazole Sulfonamides in Anticancer Terapy
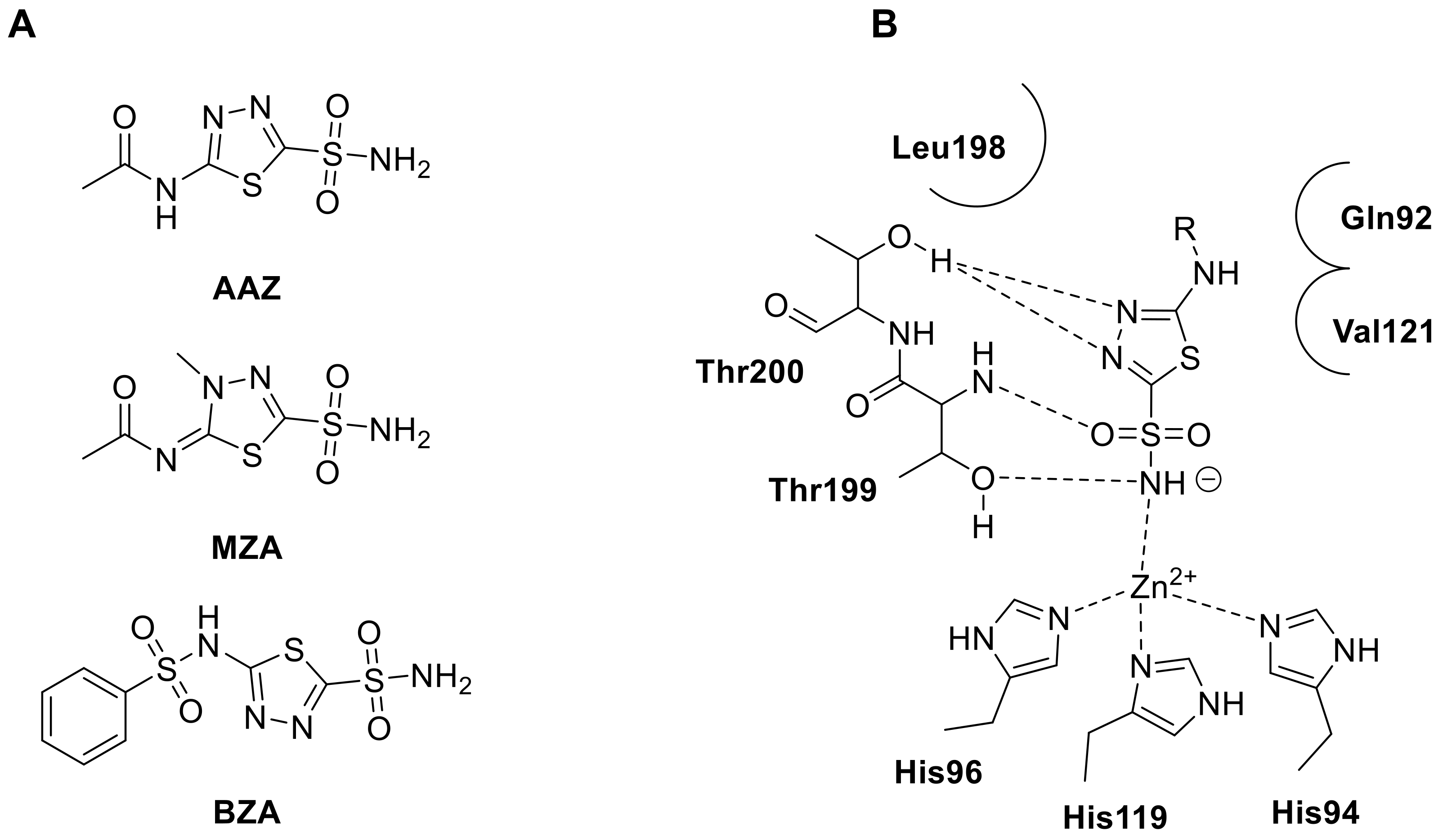
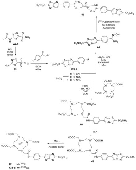
2.4.2. Anti-Infective Thiadiazole Sulfonamides
2.4.3. Thiadiazole-Sulfonamides in Central Nervous System Diseases
2.4.4. Thiadiazoles as Antiobesity Experimental Agents
3. Conclusions
Funding
Data Availability Statement
Conflicts of Interest
References
- Supuran, C.T. Emerging role of carbonic anhydrase inhibitors. Clin. Sci. 2021, 135, 1233–1249. [Google Scholar] [CrossRef] [PubMed]
- Berrino, E.; Michelet, B.; Martin-Mingot, A.; Carta, F.; Supuran, C.T.; Thibaudeau, S. Modulating the efficacy of carbonic anhydrase inhibitors through fluorine substitution. Angew. Chem. Int. Ed. 2021, 60, 23068–23082. [Google Scholar] [CrossRef] [PubMed]
- Temperini, C.; Scozzafava, A.; Supuran, C.T. Carbonic anhydrase activation and the drug design. Curr. Pharm. Des. 2008, 14, 708–715. [Google Scholar] [CrossRef] [PubMed]
- Supuran, C.T. How many carbonic anhydrase inhibition mechanisms exist? J. Enzym. Inhib. Med. Chem. 2016, 31, 345–360. [Google Scholar] [CrossRef]
- Supuran, C.T. Structure and function of carbonic anhydrases. Biochem. J. 2016, 473, 2023–2032. [Google Scholar] [CrossRef]
- Angeli, A.; Urbański, L.J.; Hytönen, V.P.; Parkkila, S.; Supuran, C.T. Activation of the β-carbonic anhydrase from the protozoan pathogen Trichomonas vaginalis with amines and amino acids. J. Enzym. Inhib. Med. Chem. 2021, 36, 758–763. [Google Scholar] [CrossRef]
- Angeli, A.; Del Prete, S.; Donald, W.A.; Capasso, C.; Supuran, C.T. The γ-carbonic anhydrase from the pathogenic bacterium Vibrio cholerae is potently activated by amines and amino acids. Bioorg. Chem. 2018, 77, 1–5. [Google Scholar] [CrossRef]
- Angeli, A.; Pinteala, M.; Maier, S.S.; Del Prete, S.; Capasso, C.; Simionescu, B.C.; Supuran, C.T. Inhibition of α-, β-, γ-, δ-, ζ- and η-class carbonic anhydrases from bacteria, fungi, algae, diatoms and protozoans with famotidine. J. Enzym. Inhib. Med. Chem. 2019, 34, 644–650. [Google Scholar] [CrossRef]
- Angeli, A.; Buonanno, M.; Donald, W.A.; Monti, S.M.; Supuran, C.T. The zinc—But not cadmium—Containing ζ-carbonic from the diatom Thalassiosira weissflogii is potently activated by amines and amino acids. Bioorg. Chem. 2018, 80, 261–265. [Google Scholar] [CrossRef]
- Jensen, E.L.; Receveur-Brechot, V.; Hachemane, M.; Wils, L.; Barbier, P.; Parsiegla, G.; Gontero, B.; Launay, H. Structural contour map of the iota carbonic anhydrase from the diatom thalassiosira pseudonana using a multiprong approach. Int. J. Mol. Sci. 2021, 22, 8723. [Google Scholar] [CrossRef]
- Nocentini, A.; Supuran, C.T. Carbonic anhydrase inhibitors as antitumor/antimetastatic agents: A patent review (2008-2018). Expert Opin. Ther. Pat. 2018, 28, 729–740. [Google Scholar] [CrossRef]
- Supuran, C.T.; Capasso, C. Antibacterial carbonic anhydrase inhibitors: An update on the recent literature. Expert Opin. Ther. Pat. 2020, 30, 963–982. [Google Scholar] [CrossRef]
- Supuran, C.T. Carbonic anhydrase inhibitors and activators for novel therapeutic applications. Future Med. Chem. 2011, 3, 1165–1180. [Google Scholar] [CrossRef]
- Bozdag, M.; Altamimi, A.S.A.; Vullo, D.; Supuran, C.T.; Carta, F. State of the art on carbonic anhydrase modulators for biomedical purposes. Curr. Med. Chem. 2019, 26, 2558–2573. [Google Scholar] [CrossRef]
- Alterio, V.; Di Fiore, A.; D’Ambrosio, K.; Supuran, C.T.; De Simone, G. Multiple binding modes of inhibitors to carbonic anhydrases: How to design specific drugs targeting 15 different isoforms? Chem. Rev. 2012, 112, 4421–4468. [Google Scholar] [CrossRef]
- Supuran, C.T. The management of glaucoma and macular degeneration. Expert Opin. Ther. Pat. 2019, 29, 745–747. [Google Scholar] [CrossRef]
- Tanini, D.; Carradori, S.; Capperucci, A.; Lupori, L.; Zara, S.; Ferraroni, M.; Ghelardini, C.; Mannelli, L.; Micheli, L.; Lucarini, E.; et al. Chalcogenides-incorporating carbonic anhydrase inhibitors concomitantly reverted oxaliplatin-induced neuropathy and enhanced antiproliferative action. Eur. J. Med. Chem. 2021, 225, 113793. [Google Scholar] [CrossRef]
- Angeli, A.; Carta, F.; Nocentini, A.; Winum, J.Y.; Zalubovskis, R.; Akdemir, A.; Onnis, V.; Eldehna, W.M.; Capasso, C.; Simone, G.; et al. Carbonic anhydrase inhibitors targeting metabolism and tumor microenvironment. Metabolites 2020, 10, 412. [Google Scholar] [CrossRef]
- Supuran, C.T. Anti-obesity carbonic anhydrase inhibitors: Challenges and opportunities. J. Enzym. Inhib. Med. Chem. 2022, 37, 2478–2488. [Google Scholar] [CrossRef]
- Thiry, A.; Dogné, J.M.; Supuran, C.T.; Masereel, B. Carbonic anhydrase inhibitors as anticonvulsant agents. Curr. Top Med. Chem. 2007, 7, 855–864. [Google Scholar] [CrossRef]
- Davenport, H.W. The inhibition of carbonic anhydrase by thiophene-2-sulfonamide and sulfanilamide. J. Biol. Chem. 1945, 158, 567. [Google Scholar] [CrossRef]
- Miller, W.H.; Dessert, A.M.; Roblin, R.O., Jr. Heterocyclic sulfonamides as carbonic anhydrase inhibitors. J. Am. Chem. Soc. 1950, 72, 4893. [Google Scholar] [CrossRef]
- Roblin, R.O., Jr.; Clapp, J.W. The preparation of heterocyclic sulfonamides. J. Am. Chem. Soc. 1950, 72, 4890. [Google Scholar] [CrossRef]
- Graham, S.L.; Hoffman, J.M.; Gautheron, P.; Michelson, S.R.; Scholz, T.H.; Schwam, H.; Shepard, K.L.; Smith, A.M.; Smith, R.L.; Sondey, J.M.; et al. Topically active carbonic anhydrase inhibitors. 3. Benzofuran- and indole-2-sulfonamides. J. Med. Chem. 1990, 33, 749–754. [Google Scholar] [CrossRef]
- Magnusson, B.; Kligman, A.M. The identification of contact allergens by animal assay. The guinea pig maximization test. J. Investig. Dermatol. 1969, 52, 268–276. [Google Scholar] [CrossRef]
- Abas, M.; Nazir, Y.; Ashraf, Z.; Iqbal, Z.; Raza, H.; Hassan, M.; Jabeen, E.; Bais, A. A Practical method of N-Methylpyrrole disulfonamides synthesis: Computational studies, carbonic anhydrase inhibition and electrochemical DNA binding investigations. ChemistrySelect 2021, 6, 7376–7383. [Google Scholar] [CrossRef]
- Chegaev, K.; Lazzarato, L.; Tamboli, Y.; Boschi, D.; Blangetti, M.; Scozzafava, A.; Carta, F.; Masini, E.; Fruttero, R.; Supuran, C.; et al. Furazan and furoxan sulfonamides are strong α-carbonic anhydrase inhibitors and potential antiglaucoma agents. Bioorganic Med. Chem. 2014, 22, 3913–3921. [Google Scholar] [CrossRef]
- Chegaev, K.; Rolando, B.; Guglielmo, S.; Fruttero, R.; Gasco, A. Unsymmetrically substituted furoxans. Part 19. Methyl and phenylfuroxansulfonic acids and related sulfonamides. J. Heterocycl. Chem. 2009, 46, 866–872. [Google Scholar] [CrossRef]
- Krasavin, M.; Korsakov, M.; Zvonaryova, Z.; Semyonychev, E.; Tuccinardi, T.; Kalinin, S.; Tanç, M.; Supuran, C.T. Human carbonic anhydrase inhibitory profile of mono- and bis-sulfonamides synthesized via a direct sulfochlorination of 3- and 4-(hetero)arylisoxazol-5-amine scaffolds. Bioorg. Med. Chem. 2017, 25, 1914–1925. [Google Scholar] [CrossRef]
- Masuda, Y.; Ishizaki, M.; Shimizu, M. Zonisamide: Pharmacology and clinical efficacy in epilepsy. CNS Drug Rev. 1998, 4, 341–360. [Google Scholar] [CrossRef]
- Suzuki, S.; Kawakami, K.; Nishimura, S.; Watanabe, Y.; Yagi, K.; Seino, M.; Miyamoto, K. Zonisamide blocks T-type calcium channel in cultured neurons of rat cerebral cortex. Epilepsy Res. 1992, 12, 21–27. [Google Scholar] [CrossRef]
- Kito, M.; Maehara, M.; Watanabe, K. Mechanisms of T-type calcium channel blockade by zonisamide. Seizure 1996, 5, 115–119. [Google Scholar] [CrossRef]
- Okada, M.; Kaneko, S.; Hirano, T.; Mizuno, K.; Kondo, T.; Otani, K.; Fukushima, Y. Effects of zonisamide on dopaminergic system. Epilepsy Res. 1995, 22, 193–205. [Google Scholar] [CrossRef]
- Ueda, Y.; Doi, T.; Tokumaru, J.; Willmore, L.J. Effect of zonisamide on molecular regulation of glutamate and GABA transporter proteins during epileptogenesis in rats with hippocampal seizures. Mol. Brain Res. 2003, 116, 1–6. [Google Scholar] [CrossRef]
- De Simone, G.; Di Fiore, A.; Menchise, V.; Pedone, C.; Antel, J.; Casini, A.; Scozzafava, A.; Wurl, M.; Supuran, C.T. Carbonic anhydrase inhibitors. Zonisamide is an effective inhibitor of the cytosolic isozyme II and mitochondrial isozyme V: Solution and X-ray crystallographic studies. Bioorg. Med. Chem. Lett. 2005, 15, 2315–2320. [Google Scholar] [CrossRef]
- Vullo, D.; Franchi, M.; Gallori, E.; Antel, J.; Scozzafava, A.; Supuran, C.T. Carbonic anhydrase inhibitors. Inhibition of mitochondrial isozyme V with aromatic and heterocyclic sulfonamides. J. Med. Chem. 2004, 47, 1272–1279. [Google Scholar] [CrossRef]
- Scozzafava, A.; Supuran, C.T.; Carta, F. Antiobesity carbonic anhydrase inhibitors: A literature and patent review. Expert Opin. Ther. Pat. 2013, 23, 725–735. [Google Scholar] [CrossRef]
- Zareba, G. Zonisamide: Review of its use in epilepsy therapy. Drugs Today 2005, 41, 589–597. [Google Scholar] [CrossRef]
- Shepard, K.L.; Graham, S.L.; Hudcosky, R.J.; Michelson, S.R.; Scholz, T.H.; Schwam, H.; Smith, A.M.; Sondey, J.M.; Strohmaier, K.M.; Smith, R.L.; et al. Topically active carbonic anhydrase inhibitors. 4. [(Hydroxyalkyl)sulfonyl]benzene and [(hydroxyalkyl)sulfonyl]thiophenesulfonamides. J. Med. Chem. 1991, 34, 3098–3105. [Google Scholar] [CrossRef]
- Prugh, J.D.; Hartman, G.D.; Mallorga, P.J.; McKeever, B.M.; Michelson, S.R.; Murcko, M.A.; Schwam, H.; Smith, R.L.; Sondey, J.M.; Springer, J.P.; et al. New isomeric classes of topically active ocular hypotensive carbonic anhydrase inhibitors: 5-substituted thieno[2,3-b]thiophene-2-sulfonamides and 5-substituted thieno[3,2-b]thiophene-2-sulfonamides. J. Med. Chem. 1991, 34, 1805–1818. [Google Scholar] [CrossRef]
- Leitans, J.; Sprudza, A.; Tanc, M.; Vozny, I.; Zalubovskis, R.; Tars, K.; Supuran, C.T. 5-Substituted-(1,2,3-triazol-4-yl)thiophene-2-sulfonamides strongly inhibit human carbonic anhydrases I, II, IX and XII: Solution and X-ray crystallographic studies. Bioorg. Med. Chem. 2013, 21, 5130–5138. [Google Scholar] [CrossRef] [PubMed]
- Ivanova, J.; Balode, A.; Žalubovskis, R.; Leitans, J.; Kazaks, A.; Vullo, D.; Tars, K.; Supuran, C.T. 5-Substituted-benzylsulfanyl-thiophene-2-sulfonamides with effective carbonic anhydrase inhibitory activity: Solution and crystallographic investigations. Bioorg. Med. Chem. 2017, 25, 857–863. [Google Scholar] [CrossRef] [PubMed]
- Krasavin, M.; Korsakov, M.; Dorogov, M.; Tuccinardi, T.; Dedeoglu, N.; Supuran, C.T. Probing the ‘bipolar’ nature of the carbonic anhydrase active site: Aromatic sulfonamides containing 1,3-oxazol-5-yl moiety as picomolar inhibitors of cytosolic CA I and CA II isoforms. Eur. J. Med. Chem. 2015, 101, 334–347. [Google Scholar] [CrossRef] [PubMed]
- Ferraroni, M.; Lucarini, L.; Masini, E.; Korsakov, M.; Scozzafava, A.; Supuran, C.T.; Krasavin, M. 1,3-Oxazole-based selective picomolar inhibitors of cytosolic human carbonic anhydrase II alleviate ocular hypertension in rabbits: Potency is supported by X-ray crystallography of two leads. Bioorg. Med. Chem. 2017, 25, 4560–4565. [Google Scholar] [CrossRef] [PubMed]
- Kalinin, S.; Kovalenko, A.; Valtari, A.; Nocentini, A.; Gureev, M.; Urtti, A.; Korsakov, M.; Supuran, C.T.; Krasavin, M. 5-(Sulfamoyl)thien-2-yl 1,3-oxazole inhibitors of carbonic anhydrase II with hydrophilic periphery. J. Enzym. Inhib. Med. Chem. 2022, 37, 1005–1011. [Google Scholar] [CrossRef]
- Atmaram, U.A.; Roopan, S.M. Biological activity of oxadiazole and thiadiazole derivatives. Appl. Microbiol. Biotechnol. 2022, 106, 3489–3505. [Google Scholar] [CrossRef]
- Farghaly, T.A.; Alsaedi, A.M.R.; Alenazi, N.A.; Harras, M.F. Anti-viral activity of thiazole derivatives: An updated patent review. Expert Opin. Ther. Pat. 2022, 32, 791–815. [Google Scholar] [CrossRef]
- Birkmann, A.; Bonsmann, S.; Kropeit, D.; Pfaff, T.; Rangaraju, M.; Sumner, M.; Timmler, B.; Zimmermann, H.; Buschmann, H.; Ruebsamen-Schaeff, H. Discovery, chemistry, and preclinical development of pritelivir, a novel treatment option for acyclovir-resistant Herpes simplex virus infections. J. Med. Chem. 2022, 65, 13614–13628. [Google Scholar] [CrossRef]
- Carta, F.; Birkmann, A.; Pfaff, T.; Buschmann, H.; Schwab, W.; Zimmermann, H.; Maresca, A.; Supuran, C.T. Lead development of thiazolylsulfonamides with carbonic anhydrase inhibitory action. J. Med. Chem. 2017, 60, 3154–3164. [Google Scholar] [CrossRef]
- Maren, T.H.; Brechue, W.F.; Bar-Ilan, A. Relations among IOP reduction, ocular disposition and pharmacology of the carbonic anhydrase inhibitor ethoxzolamide. Exp. Eye Res. 1992, 55, 73–79. [Google Scholar] [CrossRef]
- Woltersdorf, O.W., Jr.; Schwam, H.; Bicking, J.B.; Brown, S.L.; deSolms, S.J.; Fishman, D.R.; Graham, S.L.; Gautheron, P.D.; Hoffman, J.M.; Larson, R.D.; et al. Topically active carbonic anhydrase inhibitors. 1. O-acyl derivatives of 6-hydroxybenzothiazole-2-sulfonamide. J. Med. Chem. 1989, 32, 2486–2492. [Google Scholar] [CrossRef]
- Mincione, F.; Scozzafava, A.; Supuran, C.T. The development of topically acting carbonic anhydrase inhibitors as antiglaucoma agents. Curr. Pharm. Des. 2008, 14, 649–654. [Google Scholar] [CrossRef]
- Carta, F.; Di Mannelli, L.C.; Pinard, M.; Ghelardini, C.; Scozzafava, A.; McKenna, R.; Supuran, C.T. A class of sulfonamide carbonic anhydrase inhibitors with neuropathic pain modulating effects. Bioorg. Med. Chem. 2015, 23, 1828–1840. [Google Scholar] [CrossRef]
- Micheli, L.; Testai, L.; Angeli, A.; Carrino, D.; Pacini, A.; Margiotta, F.; Flori, L.; Supuran, C.T.; Calderone, V.; Ghelardini, C.; et al. Inhibitors of mitochondrial human carbonic anhydrases VA and VB as a therapeutic strategy against paclitaxel-induced neuropathic pain in mice. Int. J. Mol. Sci. 2022, 23, 6229. [Google Scholar] [CrossRef]
- Supuran, C.T. Carbonic anhydrase inhibition and the management of neuropathic pain. Expert Rev. Neurother. 2016, 16, 961–968. [Google Scholar] [CrossRef]
- Li, Y.; Geng, J.; Liu, Y.; Yu, S.; Zhao, G. Thiadiazole-a promising structure in medicinal chemistry. ChemMedChem 2013, 8, 27–41. [Google Scholar] [CrossRef]
- Dawood, K.M.; Farghaly, T.A. Thiadiazole inhibitors: A patent review. Expert Opin. Ther. Pat. 2017, 27, 477–505. [Google Scholar] [CrossRef]
- Van Berkel, M.A.; Elefritz, J.L. Evaluating off-label uses of acetazolamide. Am. J. Health Syst. Pharm. 2018, 75, 524–531. [Google Scholar] [CrossRef]
- Abutaleb, N.S.; Elhassanny, A.E.M.; Nocentini, A.; Hewitt, C.S.; Elkashif, A.; Cooper, B.R.; Supuran, C.T.; Seleem, M.N.; Flaherty, D.P. Repurposing FDA-approved sulphonamide carbonic anhydrase inhibitors for treatment of Neisseria gonorrhoeae. J. Enzym. Inhib. Med. Chem. 2022, 37, 51–61. [Google Scholar] [CrossRef]
- Mussi, S.; Rezzola, S.; Chiodelli, P.; Nocentini, A.; Supuran, C.T.; Ronca, R. Antiproliferative effects of sulphonamide carbonic anhydrase inhibitors C18, SLC-0111 and acetazolamide on bladder, glioblastoma and pancreatic cancer cell lines. J. Enzym. Inhib. Med. Chem. 2022, 37, 280–286. [Google Scholar] [CrossRef]
- Abbate, F.; Casini, A.; Scozzafava, A.; Supuran, C.T. Carbonic anhydrase inhibitors: X-ray crystallographic structure of the adduct of human isozyme II with a topically acting antiglaucoma sulfonamide. Bioorg. Med. Chem. Lett. 2004, 14, 2357–2361. [Google Scholar] [CrossRef] [PubMed]
- Boriack-Sjodin, P.A.; Zeitlin, S.; Chen, H.H.; Crenshaw, L.; Gross, S.; Dantanarayana, A.; Delgado, P.; May, J.A.; Dean, T.; Christianson, D.W. Structural analysis of inhibitor binding to human carbonic anhydrase II. Protein Sci. 1998, 7, 2483–2489. [Google Scholar] [CrossRef] [PubMed]
- Supuran, C.T. Carbonic anhydrases: Novel therapeutic applications for inhibitors and activators. Nat. Rev. Drug Discov. 2008, 7, 168–181. [Google Scholar] [CrossRef] [PubMed]
- Supuran, C.T.; Ilies, M.A.; Scozzafava, A. Carbonic anhydrase inhibitors—Part 29 1: Interaction of isozymes I, II and IV with benzolamide-like derivatives. Eur. J. Med. Chem. 1998, 33, 739. [Google Scholar] [CrossRef]
- Teicher, B.A.; Liu, S.D.; Liu, J.T.; Holden, S.A.; Herman, T.S. A carbonic anhydrase inhibitor as a potential modulator of cancer therapies. Anticancer Res. 1993, 13, 1549–1556. [Google Scholar]
- Supuran, C.T.; Briganti, F.; Tilli, S.; Chegwidden, W.R.; Scozzafava, A. Carbonic anhydrase inhibitors: Sulfonamides as antitumor agents? Bioorg. Med. Chem. 2001, 9, 703–714. [Google Scholar] [CrossRef]
- Supuran, C.T.; Winum, J.Y. Designing carbonic anhydrase inhibitors for the treatment of breast cancer. Expert Opin. Drug Discov. 2015, 10, 591–597. [Google Scholar] [CrossRef]
- Casey, J.R.; Morgan, P.E.; Vullo, D.; Scozzafava, A.; Mastrolorenzo, A.; Supuran, C.T. Carbonic anhydrase inhibitors. Design of selective, membrane-impermeant inhibitors targeting the human tumor-associated isozyme IX. J. Med. Chem. 2004, 47, 2337–2347. [Google Scholar] [CrossRef]
- Turkmen, H.; Durgun, M.; Yilmaztekin, S.; Emul, M.; Innocenti, A.; Vullo, D.; Scozzafava, A.; Supuran, C.T. Carbonic anhydrase inhibitors. Novel sulfanilamide/acetazolamide derivatives obtained by the tail approach and their interaction with the cytosolic isozymes I and II, and the tumor-associated isozyme IX. Bioorg. Med. Chem. Lett. 2005, 15, 367–372. [Google Scholar] [CrossRef]
- Scozzafava, A.; Menabuoni, L.; Mincione, F.; Briganti, F.; Mincione, G.; Supuran, C.T. Carbonic anhydrase inhibitors. Synthesis of water-soluble, topically effective, intraocular pressure-lowering aromatic/heterocyclic sulfonamides containing cationic or anionic moieties: Is the tail more important than the ring? J. Med. Chem. 1999, 42, 2641–2650. [Google Scholar] [CrossRef]
- Bozdag, M.; Ferraroni, M.; Nuti, E.; Vullo, D.; Rossello, A.; Carta, F.; Scozzafava, A.; Supuran, C.T. Combining the tail and the ring approaches for obtaining potent and isoform-selective carbonic anhydrase inhibitors: Solution and X-ray crystallographic studies. Bioorg. Med. Chem. 2014, 22, 334–340. [Google Scholar] [CrossRef]
- Kalinin, S.; Nocentini, A.; Kovalenko, A.; Sharoyko, V.; Bonardi, A.; Angeli, A.; Gratteri, P.; Tennikova, T.B.; Supuran, C.T.; Krasavin, M. From random to rational: A discovery approach to selective subnanomolar inhibitors of human carbonic anhydrase IV based on the Castagnoli-Cushman multicomponent reaction. Eur. J. Med. Chem. 2019, 182, 111642. [Google Scholar] [CrossRef]
- De Simone, G.; Alterio, V.; Supuran, C.T. Exploiting the hydrophobic and hydrophilic binding sites for designing carbonic anhydrase inhibitors. Expert Opin. Drug Discov. 2013, 8, 793–810. [Google Scholar] [CrossRef]
- Tanpure, R.P.; Ren, B.; Peat, T.S.; Bornaghi, L.F.; Vullo, D.; Supuran, C.T.; Poulsen, S.A. Carbonic anhydrase inhibitors with dual-tail moieties to match the hydrophobic and hydrophilic halves of the carbonic anhydrase active site. J. Med. Chem. 2015, 58, 1494–1501. [Google Scholar] [CrossRef]
- Bonardi, A.; Micheli, L.; Di Cesare Mannelli, L.; Ghelardini, C.; Gratteri, P.; Nocentini, A.; Supuran, C.T. Development of hydrogen sulfide-releasing carbonic anhydrases IX- and XII-selective inhibitors with enhanced antihyperalgesic action in a rat model of arthritis. J. Med. Chem. 2022, 65, 13143–13157. [Google Scholar] [CrossRef]
- Abdelrahman, M.A.; Ibrahim, H.S.; Nocentini, A.; Eldehna, W.M.; Bonardi, A.; Abdel-Aziz, H.A.; Gratteri, P.; Abou-Seri, S.M.; Supuran, C.T. Novel 3-substituted coumarins as selective human carbonic anhydrase IX and XII inhibitors: Synthesis, biological and molecular dynamics analysis. Eur. J. Med. Chem. 2021, 209, 112897. [Google Scholar] [CrossRef]
- Bonardi, A.; Nocentini, A.; Bua, S.; Combs, J.; Lomelino, C.; Andring, J.; Lucarini, L.; Sgambellone, S.; Masini, E.; McKenna, R.; et al. Sulfonamide inhibitors of human carbonic anhydrases designed through a three-tails approach: Improving ligand/isoform matching and selectivity of action. J. Med. Chem. 2020, 63, 7422–7444. [Google Scholar] [CrossRef]
- Bonardi, A.; Bua, S.; Combs, J.; Lomelino, C.; Andring, J.; Osman, S.M.; Toti, A.; Di Cesare Mannelli, L.; Gratteri, P.; Ghelardini, C.; et al. The three-tails approach as a new strategy to improve selectivity of action of sulphonamide inhibitors against tumour-associated carbonic anhydrase IX and XII. J. Enzym. Inhib. Med. Chem. 2022, 37, 930–939. [Google Scholar] [CrossRef]
- Wichert, M.; Krall, N.; Decurtins, W.; Franzini, R.M.; Pretto, F.; Schneider, P.; Neri, D.; Scheuermann, J. Dual-display of small molecules enables the discovery of ligand pairs and facilitates affinity maturation. Nat. Chem. 2015, 7, 241–249. [Google Scholar] [CrossRef]
- Cazzamalli, S.; Ziffels, B.; Widmayer, F.; Murer, P.; Pellegrini, G.; Pretto, F.; Wulhfard, S.; Neri, D. Enhanced therapeutic activity of non-internalizing small-molecule-drug conjugates targeting carbonic anhydrase IX in combination with targeted interleukin-2. Clin. Cancer Res. 2018, 24, 3656–3667. [Google Scholar] [CrossRef]
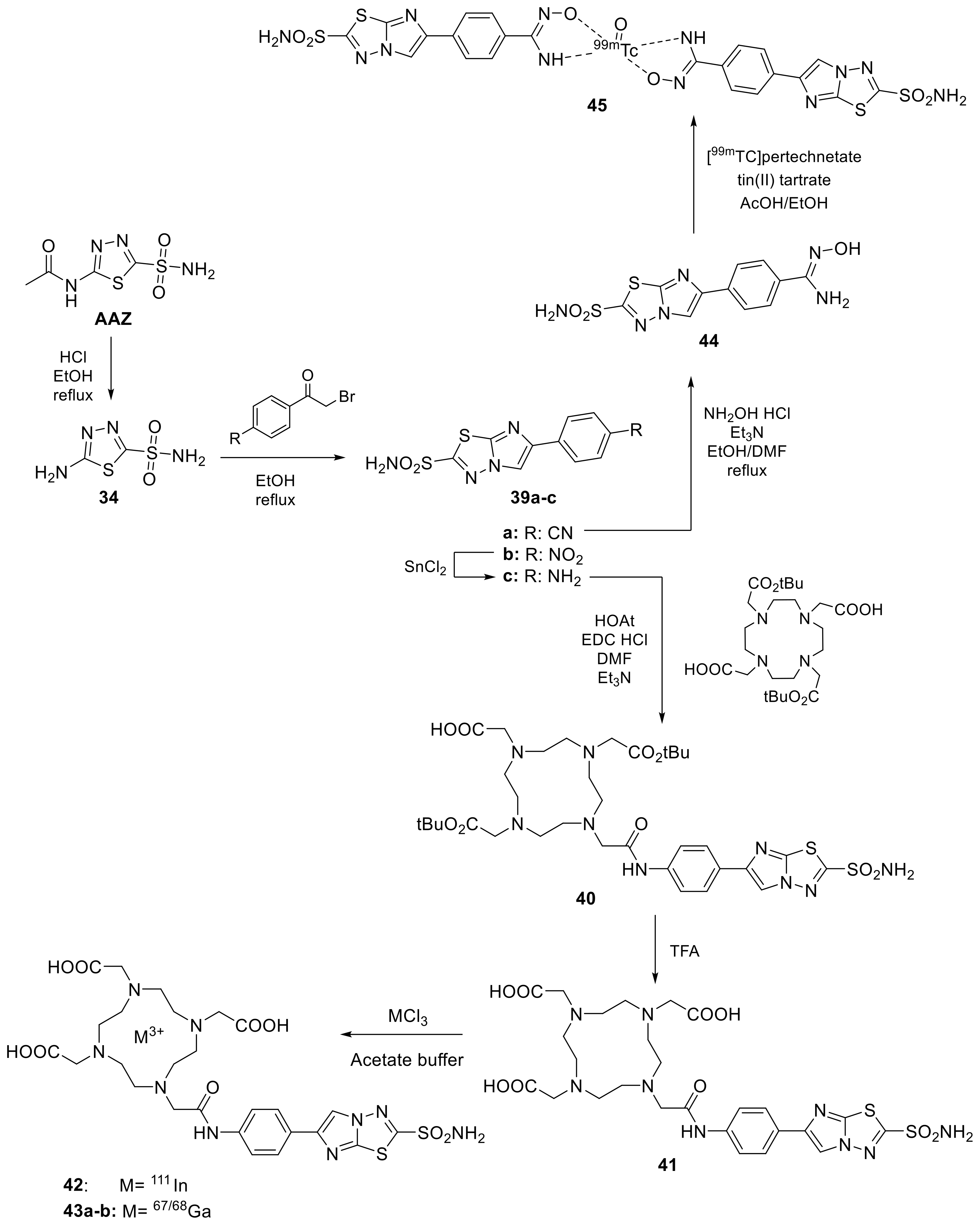
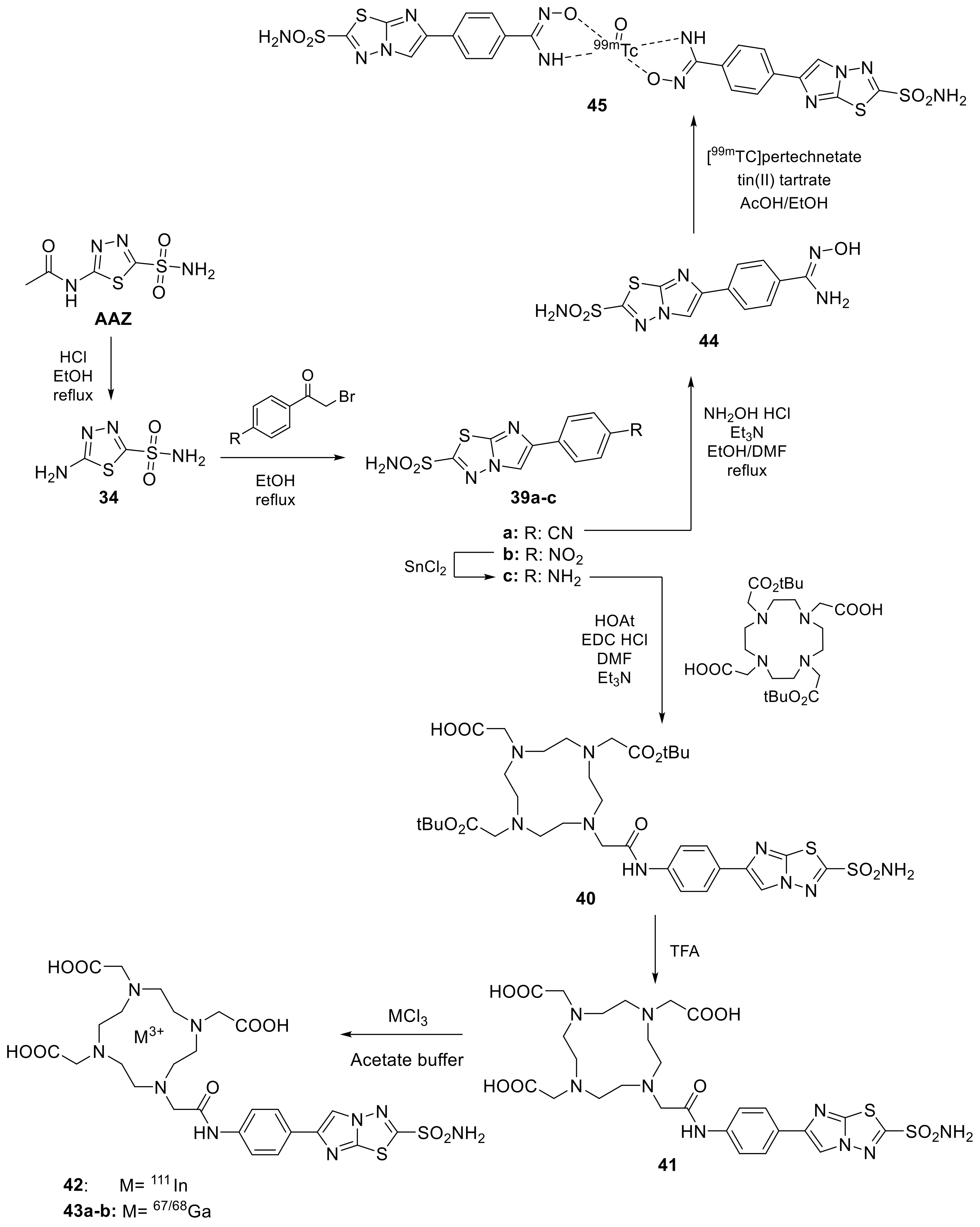
- Iikuni, S.; Okada, Y.; Shimizu, Y.; Watanabe, H.; Ono, M. Synthesis and evaluation of indium-111-labeled imidazothiadiazole sulfonamide derivative for single photon emission computed tomography imaging targeting carbonic anhydrase-IX. Bioorg. Med. Chem. Lett. 2020, 30, 127255. [Google Scholar] [CrossRef] [PubMed]
- More, K.N.; Lee, J.Y.; Kim, D.Y.; Cho, N.C.; Pyo, A.; Yun, M.; Kim, H.S.; Kim, H.; Ko, K.; Park, J.H.; et al. Acetazolamide-based [18F]-PET tracer: In vivo validation of carbonic anhydrase IX as a sole target for imaging of CA-IX expressing hypoxic solid tumors. Bioorg. Med. Chem. Lett. 2018, 28, 915–921. [Google Scholar] [CrossRef] [PubMed]
- Iikuni, S.; Ono, M.; Watanabe, H.; Shimizu, Y.; Sano, K.; Saji, H. Cancer radiotheranostics targeting carbonic anhydrase-IX with 111In- and 90Y-labeled ureidosulfonamide scaffold for SPECT imaging and radionuclide-based therapy. Theranostics 2018, 8, 2992–3006. [Google Scholar] [CrossRef] [PubMed]
- Nakashima, K.; Iikuni, S.; Okada, Y.; Watanabe, H.; Shimizu, Y.; Nakamoto, Y.; Ono, M. Synthesis and evaluation of 68Ga-labeled imidazothiadiazole sulfonamide derivatives for PET imaging of carbonic anhydrase-IX. Nucl. Med. Biol. 2021, 93, 46–53. [Google Scholar] [CrossRef] [PubMed]
- Iikuni, S.; Kitano, A.; Watanabe, H.; Shimizu, Y.; Ono, M. Synthesis and evaluation of novel technetium-99m-hydroxamamide complex based on imidazothiadiazole sulfonamide targeting carbonic anhydrase-IX for tumor imaging. Bioorg. Med. Chem. Lett. 2020, 30, 127596. [Google Scholar] [CrossRef]
- Younis, W.; AbdelKhalek, A.; Mayhoub, A.S.; Seleem, M.N. In Vitro Screening of an FDA-Approved Library Against ESKAPE Pathogens. Curr. Pharm. Des. 2017, 23, 2147–2157. [Google Scholar] [CrossRef]
- Sanders, E.; Maren, T.H. Inhibition of carbonic anhydrase in neisseria: Effects on enzyme activity and growth. Mol. Pharmacol. 1967, 3, 204–215. [Google Scholar]
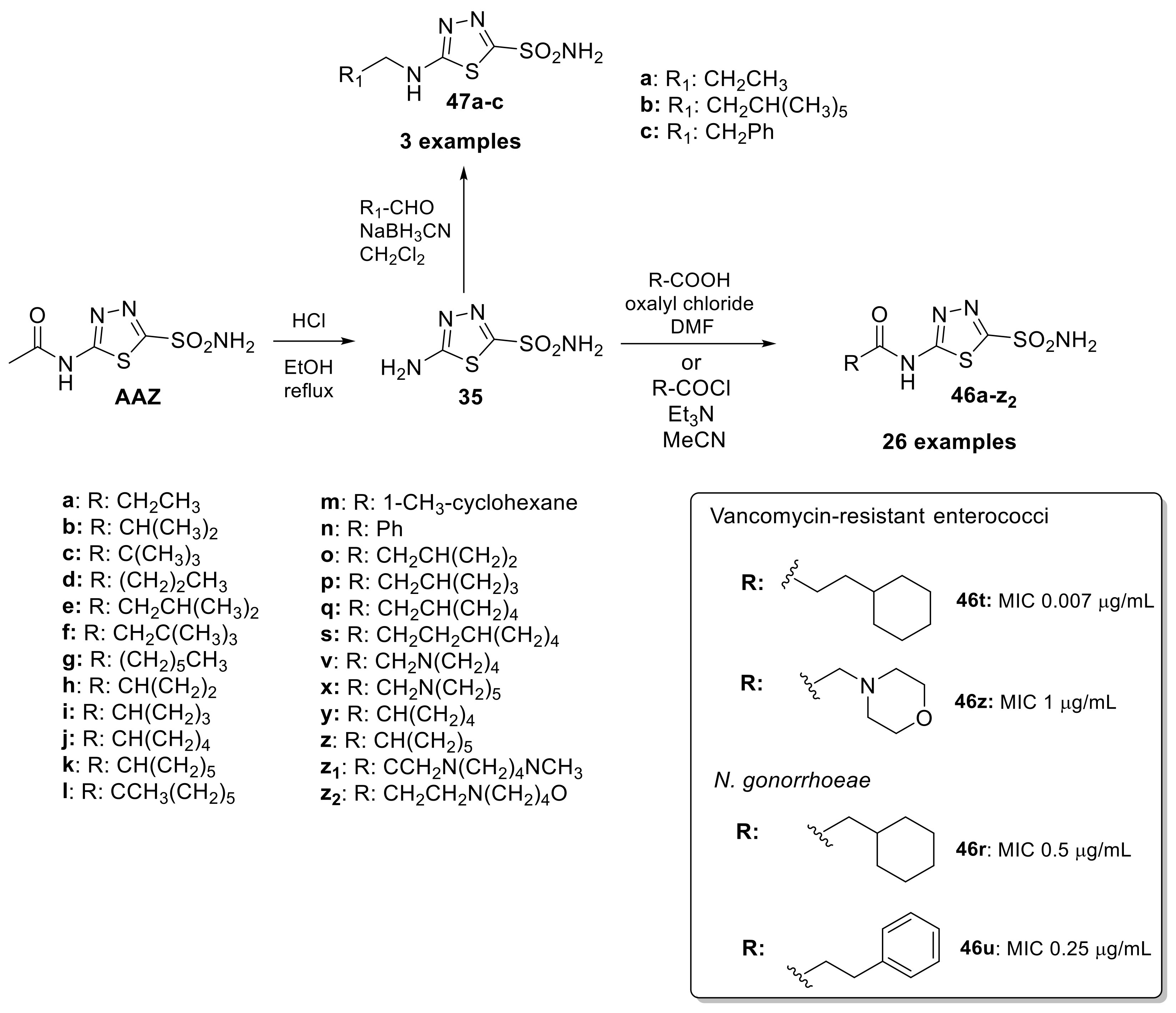
- Kaur, J.; Cao, X.; Abutaleb, N.S.; Elkashif, A.; Graboski, A.L.; Krabill, A.D.; AbdelKhalek, A.H.; An, W.; Bhardwaj, A.; Seleem, M.N.; et al. Optimization of acetazolamide-based scaffold as potent inhibitors of vancomycin-resistant Enterococcus. J. Med. Chem. 2020, 63, 9540–9562. [Google Scholar] [CrossRef]
- Hewitt, C.S.; Abutaleb, N.S.; Elhassanny, A.E.M.; Nocentini, A.; Cao, X.; Amos, D.P.; Youse, M.S.; Holly, K.J.; Marapaka, A.K.; An, W.; et al. Structure-activity relationship studies of acetazolamide-based carbonic anhydrase inhibitors with activity against Neisseria gonorrhoeae. ACS Infect. Dis. 2021, 7, 1969–1984. [Google Scholar] [CrossRef]
- Marapaka, A.K.; Nocentini, A.; Youse, M.S.; An, W.; Holly, K.J.; Das, C.; Yadav, R.; Seleem, M.N.; Supuran, C.T.; Flaherty, D.P. Structural characterization of thiadiazolesulfonamide inhibitors bound to neisseria gonorrhoeae α-carbonic anhydrase. ACS Med. Chem. Lett. 2022, 14, 103–109. [Google Scholar] [CrossRef]
- Reiss, W.G.; Oles, K.S. Acetazolamide in the treatment of seizures. Ann. Pharmacother. 1996, 30, 514–519. [Google Scholar] [CrossRef]
- Mishra, C.B.; Kumari, S.; Angeli, A.; Bua, S.; Mongre, R.K.; Tiwari, M.; Supuran, C.T. discovery of potent carbonic anhydrase inhibitors as effective anticonvulsant agents: Drug design, synthesis, and in vitro and in vivo investigations. J. Med. Chem. 2021, 64, 3100–3114. [Google Scholar] [CrossRef]
- Chufán, E.E.; Pedregosa, J.C.; Baldini, O.N.; Bruno-Blanch, L. Anticonvulsant activity of analogues of acetazolamide. Farmaco 1999, 54, 838–841. [Google Scholar] [CrossRef]
- Masereel, B.; Rolin, S.; Abbate, F.; Scozzafava, A.; Supuran, C.T. Carbonic anhydrase inhibitors: Anticonvulsant sulfonamides incorporating valproyl and other lipophilic moieties. J. Med. Chem. 2002, 45, 312–320. [Google Scholar] [CrossRef]
- Jiang, C.; Shi, J.; Liao, L.; Zhang, L.; Liu, J.; Wang, Y.; Lao, Y.; Zhang, J. 5-[2-(N-(Substituted phenyl)acetamide)]amino-1,3,4-thiadiazole-2-sulfonamides as selective carbonic anhydrase II Inhibitors with neuroprotective effects. ChemMedChem 2020, 15, 705–715. [Google Scholar] [CrossRef]
- Güzel, O.; Innocenti, A.; Scozzafava, A.; Salman, A.; Supuran, C.T. Carbonic anhydrase inhibitors. Aromatic/heterocyclic sulfonamides incorporating phenacetyl, pyridylacetyl and thienylacetyl tails act as potent inhibitors of human mitochondrial isoforms VA and VB. Bioorg. Med. Chem. 2009, 17, 4894–4899. [Google Scholar] [CrossRef]
- Maresca, A.; Supuran, C.T. (R)-/(S)-10-camphorsulfonyl-substituted aromatic/heterocyclic sulfonamides selectively inhibit mitochondrial over cytosolic carbonic anhydrases. Bioorg. Med. Chem. Lett. 2011, 21, 1334–1337. [Google Scholar] [CrossRef]























Disclaimer/Publisher’s Note: The statements, opinions and data contained in all publications are solely those of the individual author(s) and contributor(s) and not of MDPI and/or the editor(s). MDPI and/or the editor(s) disclaim responsibility for any injury to people or property resulting from any ideas, methods, instructions or products referred to in the content. |
© 2023 by the authors. Licensee MDPI, Basel, Switzerland. This article is an open access article distributed under the terms and conditions of the Creative Commons Attribution (CC BY) license (https://creativecommons.org/licenses/by/4.0/).
Share and Cite
Angeli, A.; Paoletti, N.; Supuran, C.T. Five-Membered Heterocyclic Sulfonamides as Carbonic Anhydrase Inhibitors. Molecules 2023, 28, 3220. https://doi.org/10.3390/molecules28073220
Angeli A, Paoletti N, Supuran CT. Five-Membered Heterocyclic Sulfonamides as Carbonic Anhydrase Inhibitors. Molecules. 2023; 28(7):3220. https://doi.org/10.3390/molecules28073220
Chicago/Turabian StyleAngeli, Andrea, Niccolò Paoletti, and Claudiu T. Supuran. 2023. "Five-Membered Heterocyclic Sulfonamides as Carbonic Anhydrase Inhibitors" Molecules 28, no. 7: 3220. https://doi.org/10.3390/molecules28073220
APA StyleAngeli, A., Paoletti, N., & Supuran, C. T. (2023). Five-Membered Heterocyclic Sulfonamides as Carbonic Anhydrase Inhibitors. Molecules, 28(7), 3220. https://doi.org/10.3390/molecules28073220

