Next Article in Journal
Endoplasmic Reticulum Stress and Mitochondrial Stress in Drug-Induced Liver Injury
Next Article in Special Issue
Regioselective Reaction of 2-Indolylmethanols with Enamides
Previous Article in Journal / Special Issue
New 6′-Amino-5′-cyano-2-oxo-1,2-dihydro-1′H-spiro[indole-3,4′-pyridine]-3′-carboxamides: Synthesis, Reactions, Molecular Docking Studies and Biological Activity
 
 
Font Type:
Arial Georgia Verdana
Font Size:
Aa Aa Aa
Line Spacing:
Column Width:
Background:
Article

One-Pot Synthesis of Polynuclear Indole Derivatives by Friedel–Crafts Alkylation of γ-Hydroxybutyrolactams

by
Vladimir T. Abaev
1,2,*,
Nicolai A. Aksenov
2,*,
Dmitrii A. Aksenov
2,
Elena V. Aleksandrova
2,
Alesia S. Akulova
2,
Igor A. Kurenkov
2,
Alexander V. Leontiev
2 and
Alexander V. Aksenov
2
1
Department of Chemistry, Biology and Biotechnology, North-Ossetian State University Named after K. L. Khetagurov, 46 Vatutin St., Vladikavkaz 362025, Russia
2
Department of Chemistry, North Caucasus Federal University, 1a Pushkin St., Stavropol 355009, Russia
*
Authors to whom correspondence should be addressed.
Molecules 2023, 28(7), 3162; https://doi.org/10.3390/molecules28073162
Submission received: 28 February 2023 / Revised: 22 March 2023 / Accepted: 31 March 2023 / Published: 2 April 2023
(This article belongs to the Special Issue Chemistry of Indoles)

Abstract

The Friedel–Crafts reaction of novel 3,5-diarylsubstituted 5-hydroxy-1,5-dihydro-2H-pyrrol-2-ones was used for low cost, one-pot preparation of polycyclic indole derivatives structurally similar to Ergot alkaloids.

Graphical Abstract

1. Introduction

A vast pool of indole derivatives, both naturally occurring [1] and synthetic [2], have long been a valuable source of potential leads for novel therapeutics, as the majority of indoles are biologically active exhibiting, among others, antitumor [3], anti-Alzheimer’s [4], antiviral [5], antituberculosis [6], antimalarial [7] and antibacterial [8] properties. In this context, a subclass of polynuclear indoles, such as cryptolepine [9], isocryptolepine 1 [10,11] and neocryptolepine [12] alkaloids or paullone 2 derivatives [13], stand somewhat alone, because their preparation usually involves time-consuming, multi-step synthetic procedures (Figure 1). Nevertheless, as such multicyclic skeletons are frequently part of bioactive natural substances, there is significant scientific interest toward them. Thus, Ergot alkaloids, for instance, have been the subject of various studies in recent years [14,15,16,17], including a number of total syntheses of Lysergic acid 3 [18,19,20,21]. Herein we would like to present a convenient route to a principally new type of polycyclic indole moiety 4, which resembles the skeletons of the Ergot alkaloids and may possess some potent bioactivities as well.

2. Results and Discussion

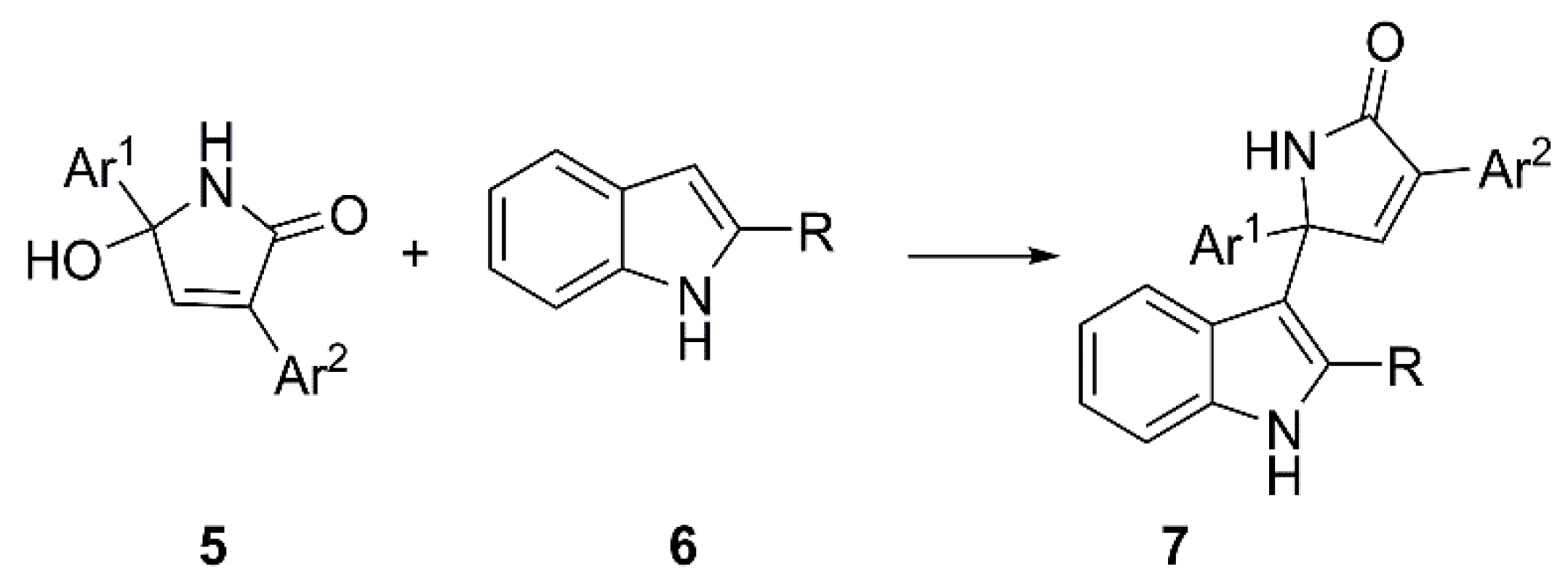
Our previous research has shown that (indol-3-yl)acetamides [22] and 2-(indol-3-yl)acetohydroxamic acids [23] demonstrate significant submicromolar in vitro anti-cancer activity against different types of tumor cell lines, while the latter compounds also showed the rare ability to reverse the differentiation of glioma cells, somewhat similar to the mechanism of astrocytes. Moreover, upon the evaluation of a mouse model, some of those indole hydroxamic acids were able to reduce melanoma xenotransplant growth [24]. Encouraged by such results, we turned our attention to 3,5-diarylsubstituted 5-hydroxy-1,5-dihydro-2H-pyrrol-2-one 5, that was earlier found [25] to undergo a Friedel–Crafts reaction with anilines and phenols. We speculated that the interaction of 5 with indoles 6 would lead to previously unknown 4-(indol-3-yl)butyramide 7, which are, basically, cyclic analogs of the above indole acetamides/hydroxamic acids (Scheme 1).
It should be noted that substituted γ–hydroxy-γ-butyrolactams [26], which the 5 belongs to, act as a convenient source of corresponding N-acyliminium ions upon treatment with acids [27]. The latter undergoes the electrophilic substitution with electron-rich arenes, including indole derivatives [28,29,30].
Keeping that in mind, we initially attempted to reproduce the original conditions of our work [25] using microwave heating for the xylene, only to obtain the desired product at a disappointing 11% yield (Table 1, entry 1). Next, we tried different acidic additives with or without solvents as activators (entries 2–7), but such a treatment produced no effect. However, implementing the conditions of p-Toluenesulfonic acid (TsOH) in ethanol (EtOH) in a microwave reactor showed the first sign of positive feedback, as the yield increased up to 17% (entry 8). Switching to dimethyl sulfoxide (DMSO) and conventional heating in an oil bath further improved the product outcome (37%, entry 9). After varying the amounts TsOH (entries 10–12), we have finally achieved the decent result using just one equivalent of TsOH (55%, entry 13).
This finding allowed us to proceed with the synthesis of a small, focused library of indole butyramide 7, while simultaneously evaluating the scope and limitations of this procedure (Scheme 2). As can be seen in the Scheme 2, the reaction appears to be quite tolerant to different substituents in both indoles 6 and 5-hydroxy-1,5-dihydro-2H-pyrrol-2-one 5, providing reliable 37–55% yields across a range of tested reactants.
Once we have learned how to run the Friedel–Crafts reaction between pyrrol-2-one 5 and indole 6, we were ready to start assembling the corresponding polycyclic indoles 4. The key step here was to introduce pyrrol-2-one fragment 5 to the C-4 position of indole 6, in order to then perform the desired intramolecular cyclization. At this point, we speculated that the Knoevenagel condensation of indole-4-carbaldehyde 8 with 2,4-diaryl-4-oxobutyronitrile 9ai should result in 4-((1H-indol-4-yl)methyl)-5-hydroxy-3,5-diaryl-1,5-dihydro-2H-pyrrol-2-one 10ai, which upon further heating will transform to 7,9a-diaryl-2,6,9,9a-tetrahydro-8H-indolo[7,6,5-cd]indol-8-one 4ai (Scheme 3). To our satisfaction, the desired polycyclic indole 4 were indeed obtained this way in a single step, at generally good yields and, importantly, without the need for isolating the intermediate 10. At the same time, we were able to isolate and characterize indolyl hydroxypyrrolone 10a (R1 = R2 = Ph), in agreement with the proposed reaction pathway. Finally, while the reaction turned out to be rather insensitive to the structural features of the starting cyanoketone 9 (Scheme 3), our attempts to use other substituents, R1 and R2, rather than the aromatic, were unfruitful. Thus, a cyanoketone 9 prepared from benzylideneacetone (R1 = Me, R2 = Ph) failed to produce both corresponding γ-hydroxybutyrolactam 5 and intermediate 10 under standard conditions.
The plausible mechanism of this transformation (Scheme 4) should include the Knoevenagel condensation of indole-4-carbaldehyde 8 with 2,4-diaryl-4-oxobutyronitrile 9 to produce the expected adduct 11, which further undergoes proton transfer, leading to acrylonitrile 12. Nucleophilic attack of methoxide anion on the nitrile group, followed by a subsequent nucleophilic attack of the nitrile nitrogen atom on the carbonyl group, results in the formation of intermediate 10, which gives the reactive iminium cation 13 upon heating. The latter attacks the C-3 position of indole to form the desired polynuclear structure 4.
One may notice that the given one-pot cascade transformation does not require any acid in order to form reactive N-acyliminium cation 13. Meanwhile, the authors of somewhat conceptually similar work [28] generated such ionic species 14 separately by heating the corresponding 5-hydroxy-1H-pyrrol-2(5H)-one with a 6M HCl solution, at 50 °C for 2 h (Scheme 5). Assumingly, as in our case, the imine-type reactive intermediates 13 can be formed under thermal conditions as well, which makes the step of acid addition unnecessary. Additionally, the intramolecular characteristic of the following then Friedel–Crafts cyclization should greatly favor quenching of the reactive N-acyliminium ion, therefore forcing the reaction to reach completion.

3. Conclusions

An efficient protocol for the synthesis of potentially bioactive indole butyramide 7 was developed. Intramolecular variation of this reaction leads to the formation of polynuclear indole derivatives 4, which are structurally similar to the ergot alkaloids and therefore represent a new class of potential pharmacophores. Investigation of biological activity of these compounds is currently under way.

4. Experimental Methods

4.1. General Information

NMR spectra, 1H and 13C, were measured in solutions of CDCl3 or DMSO-d6 the Bruker AVANCE-III HD instrument (at 400.40 or 100.61 MHz, respectively). Residual solvent signals were used as internal standards in DMSO-d6 (2.50 ppm for 1H, and 40.45 ppm for 13C nuclei) or in CDCl3 (7.26 ppm for 1H, and 77.16 ppm for 13C nuclei). HRMS spectra were measured on the Bruker maXis impact (electrospray ionization in MeCN solutions, employing HCO2Na–HCO2H for calibration). IR spectra were measured on FT-IR spectrometer Shimadzu IRAffinity-1S, equipped with an ATR sampling module. Spectral data are provided in the Supplementary Materials (Figures S1–S50). Reaction progress, purity of isolated compounds, and Rf values were monitored with TLC on Silufol UV-254 plates. Column chromatography was performed using silica gel (32–63 μm, 60 Å pore size). Melting points were measured with the Stuart SMP30 apparatus. All reagents and solvents were purchased from commercial venders, and were used as received.

4.2. Preparation of 4-(Indol-3-yl)butyramide 7 (General Procedure)

A 5 mL round-bottom flask was charged with indole 6 (1.0 mmol), 3,5-diarylsubstituted 5-hydroxy-1,5-dihydro-2H-pyrrol-2-one 5 (1.0 mmol), TsOH (1.0 mmol) and DMSO (1.0 mL), and the mixture was stirred at 70 °C in an oil bath for 1–2 h, while the reaction progress was monitored by TLC. After complete consumption of the starting material, the mixture was cooled down to room temperature and poured into 20 mL of water, then basified with concentrated aqueous ammonium hydroxide and washed with EtOAc (5 × 20 mL). The combined organic layer was concentrated and purified by column chromatography (EtOAc/Hex, 1:2), followed by recrystallization.
3,5-Diphenyl-5-(2-phenyl-1H-indol-3-yl)-1,5-dihydro-2H-pyrrol-2-one (7aa): colorless solid, mp (EtOAc) 261.1–265.3 °C, Rf 0.4 (EtOAc/Hex, 1:2). Yield: 234 mg (0.55 mmol, 55%). 1H NMR (400 MHz, DMSO-d6) δ 11.36 (s, 1H), 9.50 (d, J = 1.9 Hz, 1H), 7.58–7.50 (m, 2H), 7.38 (dt, J = 7.7, 1.8 Hz, 4H), 7.35–7.29 (m, 5H), 7.28 (dd, J = 5.1, 1.8 Hz, 3H), 7.23 (t, J = 7.5 Hz, 2H), 7.19–7.14 (m, 1H), 7.05 (t, J = 7.4 Hz, 2H), 6.86–6.77 (m, 1H). 13C NMR (101 MHz, DMSO-d6) δ 170.9, 148.7, 142.5, 136.4, 135.7, 133.9, 131.4, 130.5 (2C), 130.1, 128.3 (2C), 128.2, 128.1 (2C), 128.0, 127.7 (2C), 127.1, 126.8 (2C), 126.6, 126.3 (2C), 121.4, 120.7, 118.8, 111.8, 111.1, 65.5. IR, vmax/cm−1: 3261, 3042, 1773, 1686, 1558, 1515, 1417, 1242. HRMS (ES TOF) calculated for (M + Na)+ C30H22N2NaO 449.1624, found 449.1611 (3.0 ppm).
3,5-Diphenyl-5-(2-(p-tolyl)-1H-indol-3-yl)-1,5-dihydro-2H-pyrrol-2-one (7ab): colorless solid, mp (EtOAc) 262.6–264.7 °C, Rf 0.47 (EtOAc/Hex, 1:2). Yield: 273 mg (0.62 mmol, 62%). 1H NMR (400 MHz, DMSO-d6) δ 11.31 (s, 1H), 9.48 (d, J = 2.0 Hz, 1H), 7.54–7.44 (m, 2H), 7.41–7.34 (m, 2H), 7.32–7.28 (m, 3H), 7.26 (dd, J = 8.3, 1.9 Hz, 5H), 7.24–7.21 (m, 1H), 7.18 (t, J = 7.1 Hz, 1H), 7.12 (d, J = 7.8 Hz, 2H), 7.08–6.97 (m, 2H), 6.79 (t, J = 7.6 Hz, 1H), 2.30 (s, 3H).13C NMR (101 MHz, DMSO-d6) δ 170.8, 148.7, 142.6, 137.5, 136.4, 135.6, 131.5, 130.9, 130.4 (2C), 129.9, 128.33 (2C), 128.32 (2C), 128.1, 128.0, 127.1, 126.8 (2C), 126.7, 126.2 (2C), 121.3, 120.6, 118.7, 112.0, 111.0, 65.4, 20.9. IR, vmax/cm−1: 3432, 2927, 1684, 1475, 1455, 1364, 1228, 1114. HRMS (ES TOF) calculated for (M + Na)+ C31H24N2NaO 463.1781, found 463.1761 (4.4 ppm).
3-(4-Methoxyphenyl)-5-(2-phenyl-1H-indol-3-yl)-5-(5,6,7,8-tetrahydronaphthalen-2-yl)-1,5-dihydro-2H-pyrrol-2-one (7ac): colorless solid, mp (EtOAc) 242.1–243.9 °C, Rf 0.31 (EtOAc/Hex, 1:2). Yield: 195 mg (0.43 mmol, 43%). 1H NMR (400 MHz, DMSO-d6) δ 11.28 (s, 1H), 9.50 (s, 1H), 7.54–7.49 (m, 2H), 7.38–7.35 (m, 2H), 7.32 (d, J = 6.8 Hz, 1H), 7.30–7.26 (m, 3H), 7.26–7.23 (m, 2H), 7.20–7.17 (m, 2H), 7.14–7.08 (m, 2H), 7.07–7.04 (m, 1H), 7.04–7.00 (m, 1H), 6.97 (d, J = 8.6 Hz, 1H), 6.78 (ddd, J = 8.1, 7.0, 1.1 Hz, 1H), 2.18 (s, 3H), 2.00 (s, 3H).13C NMR (101 MHz, DMSO-d6) δ 170.89, 148.69, 142.61, 136.51, 136.27, 135.54, 135.46, 132.02, 131.43, 131.13, 129.78, 128.78, 128.3 (2C), 128.1, 128.0 (2C), 127.66, 127.01, 126.7 (2C), 126.2 (2C), 121.16, 120.58, 118.66, 111.82, 110.99, 65.33, 19.20, 19.14. IR, vmax/cm−1: 3384, 2951, 1702, 1684, 1556, 1493, 1459. HRMS (ES TOF) calculated for (M + Na)+ C32H26N2NaO 477.1937, found 477.1941 (−0.8 ppm).
5-(2-(3-Methoxyphenyl)-1H-indol-3-yl)-3,5-diphenyl-1,5-dihydro-2H-pyrrol-2-one (7ad): colorless solid, mp (EtOAc) 168.8–170.7 °C, Rf 0.38 (EtOAc/Hex, 1:2). Yield: 201 mg (0.44 mmol, 44%). 1H NMR (400 MHz, DMSO-d6) δ 11.37 (s, 1H), 9.52 (d, J = 1.9 Hz, 1H), 7.63–7.56 (m, 2H), 7.39–7.35 (m, 2H), 7.35–7.32 (m, 2H), 7.29 (m, J = 4.6, 2.7, 2.3 Hz, 3H), 7.24 (m, J = 7.9, 6.9, 2.1 Hz, 3H), 7.20–7.15 (m, 1H), 7.08–7.03 (m, 2H), 6.98 (m, J = 7.4, 1.3 Hz, 1H), 6.91–6.84 (m, 2H), 6.81 (td, J = 7.4, 7.0, 1.1 Hz, 1H), 3.62 (s, 3H). 13C NMR (101 MHz, DMSO-d6) δ 170.9, 158.5, 148.6, 142.5, 136.2, 135.6, 135.1, 131.4, 130.2, 128.8, 128.3 (2C), 128.2, 128.1 (2C), 127.08, 126.7 (2C), 126.6, 126.3 (2C), 122.8, 121.4, 120.6, 118.8, 116.0, 114.0, 111.7, 111.1, 65.4, 54.9. IR, vmax/cm−1: 3197, 2970, 1701, 1687, 1654, 1538, 1455, 1246. HRMS (ES TOF) calculated for (M + Na)+ C31H24N2NaO2 479.1730, found 479.1740 (−2.0 ppm).
5-(2-Methyl-1H-indol-3-yl)-3,5-diphenyl-1,5-dihydro-2H-pyrrol-2-one (7ae): colorless solid, mp (EtOAc) 183.4–185.6 °C, Rf 0.46 (EtOAc/Hex, 1:1). Yield: 146 mg (0.40 mmol, 40%). 1H NMR (400 MHz, DMSO-d6) δ 11.01 (s, 1H), 9.46 (s, 1H), 8.15 (d, J = 2.0 Hz, 1H), 8.09–8.01 (m, 2H), 7.52–7.39 (m, 3H), 7.39–7.33 (m, 4H), 7.32–7.27 (m, 1H), 7.25 (d, J = 7.9 Hz, 1H), 6.99 (d, J = 7.6 Hz, 1H), 6.97–6.92 (m, 1H), 6.76 (ddd, J = 8.2, 7.1, 1.2 Hz, 1H), 2.13 (s, 3H). 13C NMR (101 MHz, DMSO-d6) δ 170.8, 148.0, 142.9, 134.9, 133.2, 131.7, 130.9, 128.5 (2C), 128.4 (2C), 128.3, 127.3, 127.02, 126.95 (2C), 126.6 (2C), 120.1, 119.4, 118.5, 110.6, 109.6, 65.8, 13.7. IR, vmax/cm−1: 3217, 2943, 1702, 1654, 1509, 1455, 1376, 1240. HRMS (ES TOF) calculated for (M + Na)+ C25H20N2NaO 387.1468, found 387.1473 (−1.2 ppm).
5-(2-(Naphthalen-2-yl)-1H-indol-3-yl)-3,5-diphenyl-1,5-dihydro-2H-pyrrol-2-one (7af): bright yellow solid, mp (EtOAc) 218.0–220.4 °C, Rf 0.33 (EtOAc/Hex, 1:2). Yield: 186 mg (0.39 mmol, 39%). 1H NMR (400 MHz, DMSO-d6) δ 11.47 (s, 1H), 9.53 (d, J = 1.9 Hz, 1H), 7.95 (s, 1H), 7.90 (d, J = 7.2 Hz, 1H), 7.85–7.78 (m, 2H), 7.57–7.45 (m, 3H), 7.39 (m, J = 6.9, 1.4 Hz, 5H), 7.35 (d, J = 7.9 Hz, 1H), 7.23–7.13 (m, 3H), 7.13–7.02 (m, 5H), 6.84 (t, J = 7.6 Hz, 1H). 13C NMR (101 MHz, DMSO-d6) δ 170.8, 148.7, 142.5, 136.3, 135.8, 132.3, 132.2, 131.3, 131.2, 130.3, 129.7, 128.2 (2C), 128.13, 128.07, 128.0, 127.9 (2C), 127.5, 126.99, 126.97, 126.74, 126.69 (2C), 126.5, 126.33, 126.31 (2C), 121.5, 120.7, 118.9, 112.2, 111.2, 65.5. IR, vmax/cm−1: 3217, 2927, 2851, 1733, 1652, 1507, 1477, 1387, 1248, 1163. HRMS (ES TOF) calculated for (M + Na)+ C34H24N2NaO 449.1781, found 449.1777 (0.9 ppm).
3,5-Diphenyl-5-(2-(5,6,7,8-tetrahydronaphthalen-2-yl)-1H-indol-3-yl)-1,5-dihydro-2H-pyrrol-2-one (7ag): yellowish solid, mp (EtOAc) 189.9–192.4 °C, Rf 0.51 (EtOAc/Hex, 1:2). Yield: 230 mg (0.48 mmol, 48%). 1H NMR (400 MHz, DMSO-d6) δ 11.27 (s, 1H), 9.52 (d, J = 1.9 Hz, 1H), 7.55–7.48 (m, 2H), 7.41–7.35 (m, 2H), 7.31–7.26 (m, 5H), 7.25 (d, J = 7.7 Hz, 1H), 7.22–7.17 (m, 2H), 7.15 (dd, J = 7.6, 1.8 Hz, 1H), 7.02 (m, J = 9.4, 4.9, 2.5 Hz, 2H), 6.94 (d, J = 1.8 Hz, 1H), 6.90 (d, J = 8.1 Hz, 1H), 6.81–6.72 (m, 1H), 2.71–2.56 (m, 4H), 1.69–1.57 (m, 4H).13C NMR (101 MHz, DMSO-d6) δ 170.9, 148.8, 142.6, 136.8, 136.6, 135.8, 135.5, 131.6, 131.5, 130.7, 129.7, 128.30 (2C), 128.26, 128.0, 127.98 (2C), 127.2, 127.0, 126.7, 126.6 (2C), 126.2 (2C), 121.1, 120.6, 118.6, 111.8, 111.0, 65.3, 28.7, 28.6, 22.7, 22.6. IR, vmax/cm−1: 3141, 2931, 2851, 1773, 1651, 1507, 1461, 1248. HRMS (ES TOF) calculated for (M + Na)+ C34H28N2NaO 503.2094, found 503.2084 (2.0 ppm).
5-(5-Isopropyl-2-phenyl-1H-indol-3-yl)-3,5-diphenyl-1,5-dihydro-2H-pyrrol-2-one (7ah): yellow solid, mp (EtOAc) 202.2–205.4 °C, Rf 0.34 (EtOAc/Hex, 1:2). Yield: 253 mg (0.54 mmol, 54%). 1H NMR (400 MHz, DMSO-d6) δ 11.20 (s, 1H), 9.56 (d, J = 2.0 Hz, 1H), 7.57–7.55 (m, 1H), 7.55 (d, J = 2.0 Hz, 1H), 7.41–7.38 (m, 2H), 7.36–7.33 (m, 3H), 7.32 (d, J = 1.8 Hz, 1H), 7.30–7.28 (m, 3H), 7.27 (d, J = 1.8 Hz, 2H), 7.23–7.20 (m, 2H), 7.20–7.15 (m, 2H), 6.93 (dd, J = 8.3, 1.6 Hz, 1H), 6.84 (s, 1H), 2.71 (p, J = 7.0 Hz, 1H), 1.05 (dd, J = 13.6, 6.9 Hz, 6H). 13C NMR (101 MHz, DMSO-d6) δ 170.86, 148.77, 142.52, 138.56, 136.51, 134.3 (2C), 133.98, 131.50, 130.4 (2C), 130.24, 128.1 (2C), 128.10, 128.0 (2C), 127.87, 127.7 (2C), 126.94, 126.8 (2C), 126.4 (2C), 120.52, 117.70, 111.44, 110.65, 65.43, 33.55, 24.55, 24.28. IR, vmax/cm−1: 3193, 2938, 1733, 1654, 1538, 1509, 1431, 1244. HRMS (ES TOF) calculated for (M + Na)+ C33H28N2NaO 491.2094, found 491.2103 (−2.0 ppm).
3-(4-Methoxyphenyl)-5-(2-phenyl-1H-indol-3-yl)-5-(p-tolyl)-1,5-dihydro-2H-pyrrol-2-one (7bd): colorless solid, mp (EtOAc/Hex) 231.0–233.2 °C, Rf 0.30 (EtOAc/Hex, 1:2). Yield: 197 mg (0.42 mmol, 42%). 1H NMR (400 MHz, DMSO-d6) δ 11.33 (s, 1H), 9.37 (s, 1H), 7.50 (d, J = 8.2 Hz, 2H), 7.38–7.27 (m, 6H), 7.22 (d, J = 7.8 Hz, 2H), 7.12–7.00 (m, 5H), 6.86–6.79 (m, 3H), 3.74 (s, 3H), 2.21 (s, 3H). 13C NMR (101 MHz, DMSO) δ 171.2, 159.1, 146.6, 139.7, 136.2, 136.1, 135.7, 134.0, 130.6 (2C), 129.4, 128.8 (2C), 128.1 (2C), 128.0, 127.7 (2C), 126.7, 126.2 (2C), 124.0, 121.3, 120.8, 118.8, 113.5 (2C), 112.3, 111.0, 65.1, 55.1, 20.6. IR, vmax/cm−1: 3221, 1678, 1501, 1240, 1037. HRMS (ES TOF) calculated for (M + Na)+ C32H26N2 NaO2 493.1886, found 493.1896 (−2.0 ppm).
3-(4-Ethylphenyl)-5-(2-phenyl-1H-indol-3-yl)-5-(p-tolyl)-1,5-dihydro-2H-pyrrol-2-one (7ca): colorless solid, mp (EtOAc) 234.4–236.6 °C, Rf 0.32 (EtOAc/Hex, 1:2). Yield: 197 mg (0.43 mmol, 43%). 1H NMR (400 MHz, DMSO-d6) δ 11.33 (s, 1H), 9.38 (s, 1H), 7.44 (d, J = 8.3 Hz, 2H), 7.39–7.33 (m, 4H), 7.33–7.27 (m, 2H), 7.22 (d, J = 8.1 Hz, 2H), 7.18 (s, J = 1.8 Hz, 1H), 7.11 (dd, J = 8.2, 3.7 Hz, 3H), 7.03 (dd, J = 7.7, 5.7 Hz, 3H), 6.82 (t, J = 7.6 Hz, 1H), 2.57 (q, J = 7.6 Hz, 2H), 2.21 (s, 3H), 1.15 (t, J = 7.6 Hz, 3H).13C NMR (101 MHz, DMSO-d6) δ 171.0, 147.8, 143.8, 139.6, 136.2, 136.1, 135.7, 134.0, 130.5 (2C), 129.9, 128.9, 128.8 (2C), 128.0, 127.7 (2C), 127.4 (2C), 126.7 (2C), 126.66, 126.2 (2C), 121.3, 120.8, 118.8, 112.1, 111.0, 65.2, 28.0, 20.6, 15.6. IR, vmax/cm−1: 3193, 2931, 1702 1656, 1509, 1463, 1419, 1395, 1250. HRMS (ES TOF) calculated for (M + Na)+ C33H28N2NaO 491.2094, found 491.2094 (−0.1 ppm).
3-(4-Chlorophenyl)-5-phenyl-5-(2-phenyl-1H-indol-3-yl)-1,5-dihydro-2H-pyrrol-2-one (7da): colorless solid, mp (EtOAc) 269.6–270.4 °C, Rf 0.39 (EtOAc/Hex, 1:2). Yield: 285 mg (0.62 mmol, 62%). 1H NMR (400 MHz, DMSO-d6) δ 11.40 (s, 1H), 9.53 (d, J = 1.9 Hz, 1H), 7.63–7.56 (m, 2H), 7.37 (m, J = 8.3, 2.0 Hz, 3H), 7.34 (m, J = 4.1 Hz, 4H), 7.32–7.28 (m, 5H), 7.27–7.23 (m, 2H), 7.13–7.03 (m, 2H), 6.86 (td, J = 7.5, 7.0, 1.1 Hz, 1H). 13C NMR (101 MHz, DMSO-d6) δ 170.8, 148.3, 141.4 (2C), 136.7 (2C), 135.7, 133.7, 131.6, 131.3, 130.5 (2C), 128.3 (2C), 128.3, 128.2 (2C), 128.1 (2C), 128.0, 127.7 (2C), 126.8 (2C), 126.5, 121.5, 120.4, 119.0, 111.2, 65.1. IR, vmax/cm−1: 3399, 3233, 1685, 1558, 1490, 1457, 1242. HRMS (ES TOF) calculated for (M + Na)+ C30H21ClN2NaO 483.1235, found 483.1236 (−0.3 ppm).
3-(4-(Dimethylamino)phenyl)-5-phenyl-5-(2-(5,6,7,8-tetrahydronaphthalen-2-yl)-1H-indol-3-yl)-1,5-dihydro-2H-pyrrol-2-one (7eg): yellow solid, mp (EtOAc) 214.2–215.4 °C, Rf 0.28 (EtOAc/Hex, 1:1). Yield: 267 mg (0.51 mmol, 51%). 1H NMR (400 MHz, DMSO-d6) δ 11.27 (s, 1H), 9.23 (d, J = 1.9 Hz, 1H), 7.53–7.45 (m, 2H), 7.34–7.28 (m, 5H), 7.28–7.21 (m, 2H), 7.09–7.02 (m, 2H), 7.01–6.92 (m, 2H), 6.89–6.79 (m, 2H), 6.66–6.57 (m, 2H), 2.90 (s, 6H), 2.57 (s, 4H), 1.68–1.60 (m, 4H). 13C NMR (101 MHz, DMSO-d6) δ 171.58, 150.01, 144.4 (2C), 139.67, 136.36, 135.94, 135.63, 135.02, 134.05, 130.4 (2C), 129.64, 128.67, 127.65, 127.6 (2C), 127.5 (2C), 126.73, 123.64, 121.27, 120.77, 119.29, 118.78, 112.44, 111.5 (2C), 111.02, 64.92, 28.9 (2C), 28.4 (2C), 22.76, 22.73. IR, vmax/cm−1: 3221, 2927, 2851, 1688, 1560, 1461, 1435, 1353. HRMS (ES TOF) calculated for (M + Na)+ C36H33N3NaO 546.2516, found 546.2488 (5.1 ppm).
5-(2-(3,4-Dimethylphenyl)-1H-indol-3-yl)-5-(naphthalen-2-yl)-3-phenyl-1,5-dihydro-2H-pyrrol-2-one (7fc): colorless solid, mp (EtOAc) 173.9–176.4 °C, Rf 0.4 (EtOAc/Hex, 1:2). Yield: 212 mg (0.42 mmol, 42%). 1H NMR (400 MHz, DMSO-d6) δ 11.32 (s, 1H), 9.63 (d, J = 1.9 Hz, 1H), 7.95 (d, J = 1.9 Hz, 1H), 7.87–7.78 (m, 2H), 7.72 (d, J = 8.7 Hz, 1H), 7.69–7.53 (m, 2H), 7.49–7.44 (m, 2H), 7.42–7.34 (m, 2H), 7.31 (d, J = 4.3 Hz, 1H), 7.30–7.27 (m, 3H), 7.15 (dd, J = 7.7, 1.8 Hz, 1H), 7.03 (dd, J = 7.1, 1.5 Hz, 3H), 7.00 (s, 1H), 6.78–6.70 (m, 1H), 2.08 (s, 3H), 1.91 (s, 3H). 13C NMR (101 MHz, DMSO-d6) δ 171.0, 148.5, 140.1, 136.9, 136.2, 135.5, 135.3, 132.7 132.1, 132.0, 131.5, 131.0, 130.2, 128.6, 128.1, 128.0 (3C), 127.8, 127.6, 127.4, 126.7 (2C), 126.7, 126.2, 126.0, 125.5, 123.8, 121.2, 120.4, 118.8, 111.4, 111.1, 65.5, 19.1, 19.0. IR, vmax/cm−1: 3750, 2931, 1704, 1686, 1523, 1461, 1364. HRMS (ES TOF) calculated for (M + Na)+ C36H28N2NaO 527.2094, found 527.2095 (−0.3 ppm).
5-(Naphthalen-2-yl)-3-phenyl-5-(2-(5,6,7,8-tetrahydronaphthalen-2-yl)-1H-indol-3-yl)-1,5-dihydro-2H-pyrrol-2-one (7fg): colorless solid, mp (EtOAc) 227.4–229.2 °C, Rf 0.47 (EtOAc/Hex, 1:2). Yield: 244 mg (0.46 mmol, 46%). 1H NMR (400 MHz, DMSO-d6) δ 11.31 (s, 1H), 9.65 (d, J = 1.9 Hz, 1H), 7.95 (d, J = 1.9 Hz, 1H), 7.85–7.79 (m, 2H), 7.71 (d, J = 8.7 Hz, 1H), 7.64–7.60 (m, 2H), 7.48–7.44 (m, 3H), 7.40 (dd, J = 8.6, 1.9 Hz, 1H), 7.33–7.26 (m, 4H), 7.15 (dd, J = 7.7, 1.8 Hz, 1H), 7.04–6.96 (m, 2H), 6.95–6.89 (m, 2H), 6.74 (ddd, J = 8.1, 7.0, 1.1 Hz, 1H), 2.59–2.51 (m, 2H), 2.50–2.40 (m, 1H), 2.33–2.22 (m, 1H), 1.59–1.41 (m, 4H).13C NMR (101 MHz, DMSO-d6) δ 170.98, 148.59, 140.02, 136.53, 135.59, 135.52, 132.63, 132.06, 131.55, 131.53, 130.54, 130.20, 128.10, 128.1 (2C), 128.0 (2C), 127.97, 127.74, 127.36, 127.15, 126.7 (2C), 126.69, 126.16, 125.92, 125.55, 123.82, 121.16, 120.36, 118.74, 111.24, 111.08, 59.81, 28.60, 28.46, 22.58, 22.50. IR, vmax/cm−1: 3245, 2982, 1775, 1718, 1654, 1560, 1507, 1455, 1242. HRMS (ES TOF) calculated for (M + Na)+ C38H30N2NaO 553.2250, found 553.2250 (0.1 ppm).
3-(2-Chlorophenyl)-5-(2-phenyl-1H-indol-3-yl)-5-(5,6,7,8-tetrahydronaphthalen-2-yl)-1,5-dihydro-2H-pyrrol-2-one (7ga): orange solid, mp (EtOAc/Hex) 154.1–156.7 °C, Rf 0.31 (EtOAc/Hex, 1:2). Yield: 190 mg (0.37 mmol, 37%). 1H NMR (400 MHz, DMSO-d6) δ 11.35 (s, 1H), 9.37 (s, 1H), 7.46–7.41 (m, 1H), 7.35–7.25 (m, 11H), 7.11–7.01 (m, 3H), 6.92–6.84 (m, 2H), 2.65–2.52 (m, 4H), 1.69–1.62 (m, 4H). 13C NMR (101 MHz, DMSO-d6) δ 170.1, 152.2, 138.9, 136.5, 136.1, 135.7, 135.5, 133.9, 132.4, 131.2, 130.7, 130.6, 130.4 (2C), 129.7, 129.6, 128.8, 127.9, 127.6 (2C), 127.2, 126.8, 126.7, 123.8, 121.4, 120.8, 118.9, 111.2, 111.1, 66.3, 29.0, 28.5, 22.8, 22.7. IR, vmax/cm−1: 3273, 2919, 1682, 1499, 1055, 930. HRMS (ES TOF) calculated for (M + Na)+ C34H27ClN2NaO 537.1704, found 537.1716 (−2.3 ppm).

4.3. Preparation of Polycyclic Indole 4 (General Procedure)

A 10 mL vessel for the microwave reaction was charged with indole-4-carbaldehyde 8 (1.0 mmol), cyanoketone 9 (1.0 mmol), MeONa (4.0 mmol) and methanol (1.0 mL). The mixture was stirred at room temperature for 5 h, then heated in a microwave reactor at 120 °C for 10 min. The reaction mixture was concentrated in vacuo and the residue was purified by preparative column chromatography (eluent EtOAc/Hex, 2:1), followed by recrystallization from dichloromethane.
7,9a-diphenyl-9,9a-dihydro-2H-indolo[7,6,5-cd]indol-8(6H)-one (4a): light gray solid, mp (CH2Cl2) 182.9–185.1 °C, Rf 0.23 (EtOAc/Hex, 2:1). Yield: 199 mg (0.55 mmol, 55%). 1H NMR (400 MHz, DMSO-d6) δ 11.21 (s, 1H), 9.61 (s, 1H), 7.43 (d, J = 4.4 Hz, 4H), 7.39–7.35 (m, 2H), 7.31–7.22 (m, 4H), 7.09–7.00 (m, 3H), 6.81 (d, J = 7.0 Hz, 1H), 4.02 (d, J = 17.6 Hz, 1H), 3.52 (d, J = 17.6 Hz, 1H). 13C NMR (101 MHz, DMSO-d6) δ 170.9, 158.7, 142.6, 133.1, 131.4, 129.4 (2C), 129.1, 128.6 (2C), 128.3 (2C), 127.9, 127.5, 127.4, 126.3, 125.9 (2C), 122.8, 120.4, 116.1, 114.1, 109.6, 64.2, 27.2. IR, vmax/cm−1: 1678, 1495, 1445, 1332, 1256, 1181, 1161, 1101, 1025. HRMS (ES TOF) calculated for (M + Na)+ C25H18N2NaO 385.1311, found 385.1315 (−1.0 ppm).
9a-(4-methoxyphenyl)-7-phenyl-9,9a-dihydro-2H-indolo[7,6,5-cd]indol-8(6H)-one (4b): light gray solid, mp (CH2Cl2) 175.3–177.5 °C, Rf 0.20 (EtOAc/Hex, 2:1). Yield: 212 mg (0.54 mmol, 54%). 1H NMR (400 MHz, CDCl3) δ 1H NMR (400 MHz, CDCl3) δ 8.60 (s, 1H), 7.63 (s, 1H), 7.39 (d, J = 8.8 Hz, 2H), 7.25 (d, J = 8.2 Hz, 1H), 7.20–7.13 (m, 5H), 7.10–7.00 (m, 2H), 6.94 (d, J = 8.8 Hz, 2H), 6.86 (d, J = 7.1 Hz, 1H), 4.14 (d, J = 17.4 Hz, 1H), 3.81 (s, 3H), 3.56 (d, J = 17.1 Hz, 1H). 13C NMR (101 MHz, CDCl3) δ 173.5, 159.6, 159.1, 141.4, 133.3, 130.9 (2C), 128.9, 128.7 (2C), 128.4, 127.9, 126.8, 126.3 (2C), 123.8, 123.5, 119.5, 117.0, 115.0, 114.0 (2C), 109.4, 65.1, 55.4, 27.7. IR, vmax/cm−1: 1678, 1608, 1513, 1443, 1334, 1296, 1248, 1179, 1027. HRMS (ES TOF) calculated for (M + Na)+ C26H20N2NaO2 415.1417, found 415.1422 (−1.2 ppm).
7,9a-bis(4-methoxyphenyl)-9,9a-dihydro-2H-indolo[7,6,5-cd]indol-8(6H)-one (4c): light gray solid, mp (CH2Cl2) 190.2–192.9 °C, Rf 0.17 (EtOAc/Hex, 2:1). Yield: 219 mg (0.52 mmol, 52%). 1H NMR (400 MHz, DMSO-d6) δ 11.16 (s, 1H), 9.50 (s, 1H), 7.38 (d, J = 7.7 Hz, 2H), 7.34 (s, 1H), 7.26 (d, J = 8.2 Hz, 1H), 7.05 (t, J = 7.6 Hz, 1H), 7.00 (d, J = 8.8 Hz, 2H), 6.91 (d, J = 9.0 Hz, 2H), 6.87–6.76 (m, 3H), 4.00 (d, J = 17.5 Hz, 1H), 3.78 (s, 3H), 3.68 (s, 3H), 3.51 (d, J = 18.0 Hz, 1H). 13C NMR (101 MHz, DMSO-d6) δ 171.0, 158.9, 158.5, 157.5, 134.5, 133.1, 130.6 (2C), 128.2, 127.5, 127.1 (2C), 126.3, 123.7, 122.7, 120.1, 115.9, 114.4, 113.8 (2C), 113.7 (2C), 109.5, 63.6, 55.2, 55.1, 27.2. IR, vmax/cm−1: 2056, 1895, 1682, 1602, 1513, 1439, 1340, 1298, 1246, 1175, 1033. HRMS (ES TOF) calculated for (M + Na)+ C27H22N2NaO3 445.1523, found 445.1530 (−1.6 ppm).
7-(4-Methoxyphenyl)-9a-(p-tolyl)-2,6,9,9a-tetrahydro-8H-indolo[7,6,5-cd]indol-8-one (4d): yellowish solid, mp (CH2Cl2) 163.5–165.1 °C, Rf 0.22 (EtOAc/Hex, 1:1). Yield: 123 mg (0.32 mmol, 32%). 1H NMR (400 MHz, DMSO-d6) δ 11.15 (d, J = 2.3 Hz, 1H), 9.51 (s, 1H), 7.40–7.35 (m, 2H), 7.33 (d, J = 2.3 Hz, 1H), 7.26 (d, J = 8.1 Hz, 1H), 7.09–7.05 (m, 3H), 7.01–6.97 (m, 2H), 6.92–6.85 (m, 2H), 6.79 (d, J = 7.1 Hz, 1H), 4.00 (d, J = 17.7 Hz, 1H), 3.78 (s, 3H), 3.51 (d, J = 17.5 Hz, 1H), 2.23 (s, 3H). 13C NMR (101 MHz, DMSO-d6) δ 171.1, 158.9, 157.3, 139.8, 136.58, 133.1, 130.6 (2C), 129.0 (2C), 128.3, 127.5, 126.3, 125.8 (2C), 123.7, 122.6, 120.2, 115.9, 114.3, 113.7 (2C), 109.5, 63.8, 55.2, 27.2, 20.6. IR, vmax/cm−1:1702, 1684, 1674, 1466, 1445, 1327, 1256, 1171, 1161, 1015. HRMS (ES TOF) calculated for (M + Na)+ C27H22N2NaO2 429.1573, found 429.1584 (2.6 ppm).
9a-(Naphthalen-2-yl)-7-phenyl-2,6,9,9a-tetrahydro-8H-indolo[7,6,5-cd]indol-8-one (4e): pale gray solid, mp (CH2Cl2) 187.7–190.3 °C, Rf 0.25 (EtOAc/Hex, 1:1). Yield: 111 mg (0.27 mmol, 27%). 1H NMR (400 MHz, DMSO-d6) δ 11.26 (d, J = 2.4 Hz, 1H), 9.72 (s, 1H), 7.91–7.82 (m, 2H), 7.75 (d, J = 9.7 Hz, 1H), 7.49–7.43 (m, 6H), 7.42–7.37 (m, 3H), 7.31 (d, J = 8.1 Hz, 1H), 7.26 (dd, J = 8.7, 1.9 Hz, 1H), 7.10–7.05 (m, 1H), 6.81 (d, J = 7.1 Hz, 1H), 4.04 (d, J = 17.7 Hz, 1H), 3.55 (d, J = 17.5 Hz, 1H). 13C NMR (101 MHz, DMSO-d6) δ 170.8, 158.7, 140.0, 133.2, 132.7, 132.2, 131.4, 129.44, 129.41 (2C), 128.4, 128.3 (2C), 128.01, 128.0, 127.44, 127.40, 126.4, 126.33, 126.32, 125.1, 123.8, 122.7, 120.6, 116.1, 113.8, 109.6, 64.3, 27.3. IR, vmax /cm−1: 1961, 1777, 1668, 1495, 1434, 1332, 1246, 1181, 1137, 1117. HRMS (ES TOF) calculated for (M + Na)+ C29H20N2NaO 435.1468, found 435.1455 (−3.0 ppm).
7-Phenyl-9a-(5,6,7,8-tetrahydronaphthalen-2-yl)-2,6,9,9a-tetrahydro-8H-indolo[7,6,5-cd]indol-8-one (4f): yellowish solid, mp (CH2Cl2) 192.0–194.5 °C, Rf 0.66 (EtOAc). Yield: 146 mg (0.35 mmol, 35%). 1H NMR (400 MHz, DMSO-d6) δ 11.16 (d, J = 2.4 Hz, 1H), 9.52 (s, 1H), 7.43 (d, J = 4.4 Hz, 4H), 7.40–7.34 (m, 1H), 7.32 (d, J = 2.3 Hz, 1H), 7.26 (d, J = 8.2 Hz, 1H), 7.09–7.01 (m, 1H), 6.94 (d, J = 8.1 Hz, 1H), 6.79 (d, J = 7.2 Hz, 1H), 6.75 (d, J = 2.2 Hz, 1H), 6.68 (dd, J = 8.0, 2.3 Hz, 1H), 4.01 (d, J = 19.1 Hz, 1H), 3.57 (d, J = 17.5 Hz, 1H), 2.66–2.54 (m, 4H), 1.70–1.62 (m, 4H). 13C NMR (101 MHz, DMSO-d6) δ 170.8, 158.9, 139.6, 136.6, 136.0, 133.1, 131.5, 129.4 (2C), 129.2, 128.9, 128.3 (2C), 127.9, 127.5, 126.3, 126.2, 123.3, 122.7, 120.2, 116.0, 114.4, 109.6, 64.0, 29.1, 28.4, 27.3, 22.7 (2C). IR, vmax/cm−1: 2027, 1733, 1678, 1483, 1332, 1240, 1181, 1163, 1117. HRMS (ES TOF) calculated for (M + Na)+ C29H24N2NaO 439.1781, found 439.1789 (1.8 ppm).
9a-(3,4-Dimethylphenyl)-7-phenyl-2,6,9,9a-tetrahydro-8H-indolo[7,6,5-cd]indol-8-one (4g): yellowish solid, mp (CH2Cl2) 185.3–187.1 °C, Rf 0.57 (EtOAc). Yield: 113 mg (0.29 mmol, 29%). 1H NMR (400 MHz, DMSO-d6) δ 11.17 (s, 1H), 9.53 (s, 1H), 7.38–7.19 (m, 6H), 7.13–7.00 (m, 3H), 6.89 (t, J = 8.2 Hz, 2H), 6.83–6.74 (m, 1H), 4.00 (d, J = 22.9 Hz, 1H), 3.52 (d, J = 17.9 Hz, 1H), 2.33 (s, 3H), 2.23 (s, 3H). 13C NMR (101 MHz, DMSO-d6) δ 170.94, 158.17, 139.71, 137.21, 136.63, 133.09, 129.2 (2C), 129.1 (2C), 128.8 (2C), 128.7, 128.5, 127.5, 126.3, 125.8 (2C), 122.7, 120.2, 115.9, 114.3, 109.5, 63.9, 27.2, 20.9, 20.6. IR, vmax/cm−1: 2047, 1704, 1686, 1654, 1538, 1455, 1349, 1266, 1147, 1118, 1027. HRMS (ES TOF) calculated for (M + Na)+ C27H22N2NaO 413.1624, found 413.1617 (−1.7 ppm).
7,9a-di-p-tolyl-9,9a-dihydro-2H-indolo[7,6,5-cd]indol-8(6H)-one (4h): light gray solid, mp (CH2Cl2) 175.8–177.5 °C, Rf 0.26 (EtOAc/Hex, 2:1). Yield: 179 mg (0.46 mmol, 46%). 1H NMR (400 MHz, DMSO-d6) δ 11.16 (d, J = 2.3 Hz, 1H), 9.52 (s, 1H), 7.32 (d, J = 7.2 Hz, 3H), 7.27–7.22 (m, 3H), 7.06 (dd, J = 15.7, 8.5 Hz, 3H), 6.89 (d, J = 8.3 Hz, 2H), 6.79 (d, J = 7.1 Hz, 1H), 4.00 (d, J = 17.7 Hz, 1H), 3.50 (d, J = 17.5 Hz, 1H), 2.33 (s, 3H), 2.23 (s, 3H). 13C NMR (101 MHz, DMSO-d6) δ 170.9, 158.2, 139.7, 137.2, 136.6, 133.1, 129.2 (2C), 129.1 (2C), 128.8 (2C), 128.7, 128.5, 127.5, 126.3, 125.8 (2C), 122.7, 120.2, 115.9, 114.3, 109.5, 63.9, 27.2, 20.9, 20.6.IR, vmax/cm−1: 1905, 1678, 1509, 1443, 1408, 1331, 1257, 1185, 1092, 1030. HRMS (ES TOF) calculated for (M + Na)+ C27H22N2NaO 413.1624, found 413.1615 (2.2 ppm).
9a-Phenyl-7-(p-tolyl)-9,9a-dihydro-2H-indolo[7,6,5-cd]indol-8(6H)-one (4i): light gray solid, mp (EtOH) 185–187 °C, Rf 0.26 (EtOAc/Hex, 2:1). Yield: 196 mg (0.52 mmol, 52%). 1H NMR (400 MHz, DMSO-d6) δ 11.21 (d, J = 1.9 Hz, 1H), 9.59 (s, 1H), 7.38 (d, J = 2.2 Hz, 1H), 7.34 (d, J = 8.1 Hz, 2H), 7.30–7.22 (m, 6H), 7.08–7.02 (m, 3H), 6.80 (d, J = 7.1 Hz, 1H), 4.02 (d, J = 17.7 Hz, 1H), 3.52 (d, J = 17.6 Hz, 1H), 2.32 (s, 3H). 13C NMR (101 MHz, DMSO-d6) δ 171.0, 158.0, 142.7, 137.3, 133.1, 129.3 (2C), 129.0, 128.8 (2C), 128.54 (2C), 128.49, 127.5, 127.4, 126.3, 125.9 (2C), 122.7, 120.3, 115.99, 114.1, 109.5, 64.1, 27.2, 20.9. IR, vmax/cm−1: 3399, 1674, 1515, 1485, 1443, 1336, 1094, 1094, 1024, 997. HRMS (ES TOF) calculated for (M + Na)+ C26H20N2NaO 399.1468, found 399.1464 (1.0 ppm).

4.4. Preparation of 4-((1H-Indol-4-yl)methyl)-5-hydroxy-3,5-diphenyl-1H-pyrrol-2(5H)-one 10a

A 5 mL round-bottom flask was charged with indole-4-carbaldehyde 8 (154 mg, 1.0 mmol), cyanoketone 9a (235 mg, 1.0 mmol), MeONa (216, 4.0 mmol) and methanol (1.0 mL). The mixture was stirred at room temperature for 5 h, while the reaction progress was monitored by TLC. Upon complete conversion, the mixture was diluted with EtAcO (20 mL), washed with water (2 × 5 mL) and concentrated in vacuo. The residue was purified by preparative column chromatography (eluent EtOAc/Hex, 1:1), followed by recrystallization from ethanol. White solid, mp (EtOH) 147–149 °C, Rf 0.45 (EtOAc/Hex, 2:1). Yield: 196 mg (0.52 mmol, 52%). 1H NMR (400 MHz, DMSO-d6) δ 10.95 (s, 1H), 9.09 (s, 1H), 7.45 (d, J = 7.3 Hz, 2H), 7.42–7.37 (m, 2H), 7.25 (t, J = 7.4 Hz, 2H), 7.22–7.17 (m, 5H), 7.04 (d, J = 7.9 Hz, 1H), 6.72–6.64 (m, 1H), 6.61 (s, 1H), 6.40 (d, J = 6.7 Hz, 1H), 6.22 (s, 1H), 3.88 (d, J = 16.5 Hz, 1H), 3.75 (d, J = 16.4 Hz, 1H). 13C NMR (101 MHz, DMSO-d6) δ 171.3, 156.9, 140.5, 135.3, 131.5, 131.1, 128.7 (2C), 128.5, 128.00 (2C), 127.7 (3C), 127.6, 126.9, 126.0 (2C), 124.5, 120.5, 118.0, 109.2, 99.3, 88.4, 28.7. IR, vmax/cm−1: 3306, 1968, 1891, 1697, 1493, 1346, 1266, 1107, 1051. HRMS (ES TOF) calculated for (M + Na)+ C25H20N2NaO2 403.1417, found 403.1422 (−1.2 ppm).

Supplementary Materials

The following supporting information can be downloaded at: https://www.mdpi.com/article/10.3390/molecules28073162/s1, Figures S1–S18: 1H and 13C NMR spectral charts for polycyclic indoles 4ai; Figures S19–S48: 1H and 13C NMR spectral charts for indole butyramides 7aaah,bd,ca,da,eg,fc,fg,ga; Figures S49 and S50: 1H and 13C NMR spectral charts for indolyl hydroxypyrrolone 10a.

Author Contributions

V.T.A. conceptualization, supervision; N.A.A.—conceptualization, supervision; D.A.A.—methodology, formal analysis, funding acquisition; E.V.A.—investigation; A.S.A.—investigation; I.A.K.—investigation, formal analysis; A.V.L.—conceptualization, writing; A.V.A.—conceptualization, supervision, writing (original draft, review, and editing). All authors have read and agreed to the published version of the manuscript.

Funding

Synthetic studies performed within this project were supported by grants from the Russian Science Foundation (Grant number 21-73-00044, https://rscf.ru/project/21-73-00044/, last accessed 1 April 2023)).

Institutional Review Board Statement

Not applicable.

Informed Consent Statement

Not applicable.

Data Availability Statement

Supporting information data include NMR and HRMS spectral charts.

Conflicts of Interest

The authors declare no conflict of interest.

Sample Availability

Samples of the compounds are not available from the authors.

References

  1. Umer, S.M.; Solangi, M.; Khan, K.M.; Saleem, R.S.Z. Indole-Containing Natural Products 2019–2022: Isolations, Reappraisals, Syntheses, and Biological Activities. Molecules 2022, 27, 7586. [Google Scholar] [CrossRef] [PubMed]
  2. Chadha, N.; Silakari, O. Indoles as therapeutics of interest in medicinal chemistry: Bird’s eye view. Eur. J. Med. Chem. 2017, 134, 159–184. [Google Scholar] [CrossRef] [PubMed]
  3. Dhiman, A.; Sharma, R.; Singh, R.K. Target-based anticancer indole derivatives and insight into structure–activity relationship: A mechanistic review update (2018–2021). Acta Pharm. Sin. B 2022, 12, 3006–3027. [Google Scholar] [CrossRef]
  4. Denya, I.; Malan, S.F.; Enogieru, A.B.; Omoruyi, S.I.; Ekpo, O.E.; Kapp, E.; Zindo, F.T.; Joubert, J. Design, synthesis and evaluation of indole derivatives as multifunctional agents against Alzheimer’s disease. Medchemcomm 2018, 9, 357–370. [Google Scholar] [CrossRef] [PubMed]
  5. Zhang, M.Z.; Chen, Q.; Yang, G.F. A review on recent developments of indole-containing antiviral agents. Eur. J. Med. Chem. 2015, 89, 421–441. [Google Scholar] [CrossRef] [PubMed]
  6. Reddy, G.S.; Pal, M. Indole Derivatives as Anti-Tubercular Agents: An Overview on their Synthesis and Biological Activities. Curr. Med. Chem. 2021, 28, 4531–4568. [Google Scholar] [CrossRef] [PubMed]
  7. Chauhan, M.; Saxena, A.; Saha, B. An insight in anti-malarial potential of indole scaffold: A review. Eur. J. Med. Chem. 2021, 218, 113400. [Google Scholar] [CrossRef] [PubMed]
  8. Liu, Y.; Cui, Y.; Lu, L.; Gong, Y.; Han, W.; Piao, G. Natural indole-containing alkaloids and their antibacterial activities. Arch. Pharm. 2020, 353, e2000120. [Google Scholar] [CrossRef]
  9. Tudu, C.K.; Bandyopadhyay, A.; Kumar, M.; Radha; Das, T.; Nandy, S.; Ghorai, M.; Gopalakrishnan, A.V.; Proćków, J.; Dey, A. Unravelling the pharmacological properties of cryptolepine and its derivatives: A mini-review insight. Naunyn-Schmiedeberg’s Arch. Pharmacol. 2023, 396, 229–238. [Google Scholar] [CrossRef]
  10. Aggrey, M.O.; Li, H.-H.; Wang, W.-Q.; Song, W.; Wang, Y.; Xuan, L.-J. Isocryptolepine, an indoloquinoline alkaloid from Cryptolepis sanguinolenta promotes LDL uptake in HepG2 cells. Rev. Bras. Farmacogn. 2018, 28, 654–657. [Google Scholar] [CrossRef]
  11. Aksenov, N.A.; Aksenov, A.V.; Kornienko, A.; De Carvalho, A.; Mathieu, V.; Aksenov, D.A.; Ovcharov, S.N.; Griaznov, G.D.; Rubin, M. A nitroalkane-based approach to one-pot three-component synthesis of isocryptolepine and its analogs with potent anti-cancer activities. RSC Adv. 2018, 8, 36980–36986. [Google Scholar] [CrossRef]
  12. Larghi, E.L.; Bracca, A.B.; Arroyo Aguilar, A.A.; Heredia, D.A.; Pergomet, J.L.; Simonetti, S.O.; Kaufman, T.S. Neocryptolepine: A Promising Indoloisoquinoline Alkaloid with Interesting Biological Activity. Evaluation of the Drug and its Most Relevant Analogs. Curr. Top. Med. Chem. 2015, 15, 1683–1707. [Google Scholar] [CrossRef]
  13. Tolle, N.; Kunick, C. Paullones as inhibitors of protein kinases. Curr. Top. Med. Chem. 2011, 11, 1320–1332. [Google Scholar] [CrossRef] [PubMed]
  14. de Groot, A.N.; van Dongen, P.W.; Vree, T.B.; Hekster, Y.A.; van Roosmalen, J. Ergot alkaloids. Current status and review of clinical pharmacology and therapeutic use compared with other oxytocics in obstetrics and gynaecology. Drugs 1998, 56, 523–535. [Google Scholar] [CrossRef] [PubMed]
  15. Scott, P.M. Analysis of ergot alkaloids—A review. Mycotox. Res. 2007, 23, 113–121. [Google Scholar] [CrossRef] [PubMed]
  16. Liu, H.; Jia, Y. Ergot alkaloids: Synthetic approaches to lysergic acid and clavine alkaloids. Nat. Prod. Rep. 2017, 34, 411–432. [Google Scholar] [CrossRef] [PubMed]
  17. Crews, C. Analysis of Ergot Alkaloids. Toxins 2015, 7, 2024–2050. [Google Scholar] [CrossRef]
  18. Jastrzębski, M.K.; Kaczor, A.A.; Wróbel, T.M. Methods of Lysergic Acid Synthesis—The Key Ergot Alkaloid. Molecules 2022, 27, 7322. [Google Scholar] [CrossRef]
  19. Rathnayake, U.; Garner, P. Asymmetric Synthesis of Lysergic Acid via an Intramolecular (3+2) Dipolar Cycloaddition/Ring-Expansion Sequence. Org. Lett. 2021, 23, 6756–6759. [Google Scholar] [CrossRef]
  20. Umezaki, S.; Yokoshima, S.; Fukuyama, T. Total Synthesis of Lysergic Acid. Org. Lett. 2013, 15, 4230–4233. [Google Scholar] [CrossRef]
  21. Liu, Q.; Zhang, Y.-A.; Xu, P.; Jia, Y. Total Synthesis of (+)-Lysergic Acid. J. Org. Chem. 2013, 78, 10885–10893. [Google Scholar] [CrossRef] [PubMed]
  22. Aksenov, A.V.; Kirilov, N.K.; Arutiunov, N.A.; Aksenov, D.A.; Kuzminov, I.K.; Aksenov, N.A.; Turner, D.N.; Rogelj, S.; Kornienko, A.; Rubin, M. Reductive Cleavage of 4′H-Spiro[indole-3,5′-isoxazoles] En Route to 2-(1H-Indol-3-yl)acetamides with Anticancer Activities. J. Org. Chem. 2022, 87, 13955–13964. [Google Scholar] [CrossRef] [PubMed]
  23. Aksenov, A.V.; Smirnov, A.N.; Magedov, I.V.; Reisenauer, M.R.; Aksenov, N.A.; Aksenova, I.V.; Pendleton, A.L.; Nguyen, G.; Johnston, R.K.; Rubin, M.; et al. Activity of 2-Aryl-2-(3-indolyl)acetohydroxamates against Drug-Resistant Cancer Cells. J. Med. Chem. 2015, 58, 2206–2220. [Google Scholar] [CrossRef]
  24. Segat, G.C.; Moreira, C.G.; Santos, E.C.; Heller, M.; Schwanke, R.C.; Aksenov, A.V.; Aksenov, N.A.; Aksenov, D.A.; Kornienko, A.; Marcon, R.; et al. A new series of acetohydroxamates shows in vitro and in vivo anticancer activity against melanoma. Investig. New Drugs 2020, 38, 977–989. [Google Scholar] [CrossRef] [PubMed]
  25. Aksenov, N.A.; Aksenov, D.A.; Kurenkov, I.A.; Aksenov, A.V.; Skomorokhov, A.A.; Prityko, L.A.; Rubin, M. Preparation of 3,5-diarylsubstituted 5-hydroxy-1,5-dihydro-2H-pyrrol-2-ones via base-assisted cyclization of 3-cyanoketones. RSC Adv. 2021, 11, 16236–16245. [Google Scholar] [CrossRef]
  26. Mardjan, M.I.D.; Parrain, J.-L.; Commeiras, L. Strategies To Access γ-Hydroxy-γ-Butyrolactams. Synthesis 2018, 50, 1175–1198. [Google Scholar] [CrossRef]
  27. Saidah, M.; Commeiras, L. Organocatalytic Enantioselective Reactions Involving Cyclic N-Acyliminium Ions. In Topics in Enantioselective Catalysis: Recent Achievements and Future Challenges; World Scientific: Singapore, 2022; pp. 369–406. [Google Scholar] [CrossRef]
  28. Mardjan, M.I.D.; Perie, S.; Parrain, J.L.; Commeiras, L. A Tunable Copper-Catalyzed Multicomponent Reaction towards Alkaloid-Inspired Indole/Lactam Polycycles. Org. Biomol. Chem. 2017, 15, 3304–3309. [Google Scholar] [CrossRef]
  29. Mardjan, M.I.D.; Mayooufi, A.; Parrain, J.-L.; Thibonnet, J.; Commeiras, L. Straightforward Access to a Great Diversity of Complex Biorelevant γ-Lactams Thanks to a Tunable Cascade Multicomponent Process. Org. Process Res. Dev. 2020, 24, 606–614. [Google Scholar] [CrossRef]
  30. Saidah, M.; Mardjan, M.I.D.; Masson, G.; Parrain, J.-L.; Commeiras, L. Enantioselective Construction of Tetrasubstituted Carbon Stereocenters via Chiral Phosphoric Acid-Catalyzed Friedel–Craft Alkylation of Indoles with 5-Substituted Hydroxybutyrolactams. Org. Lett. 2022, 24, 5298–5303. [Google Scholar] [CrossRef]
Figure 1. Examples of some polycyclic indole alkaloids.
Figure 1. Examples of some polycyclic indole alkaloids.
Molecules 28 03162 g001
Scheme 1. Speculative approach for novel indole butyramide 7.
Scheme 1. Speculative approach for novel indole butyramide 7.
Molecules 28 03162 sch001
Scheme 2. A library of synthesized 5-(1 H-indol-3-yl)-3,5-diaryl-1,5-dihydro-2H-pyrrol-2-ones 7.
Scheme 2. A library of synthesized 5-(1 H-indol-3-yl)-3,5-diaryl-1,5-dihydro-2H-pyrrol-2-ones 7.
Molecules 28 03162 sch002
Scheme 3. Preparation of 7,9a-diaryl-2,6,9,9a-tetrahydro-8H-indolo[7,6,5-cd]indol-8-one 4ai.
Scheme 3. Preparation of 7,9a-diaryl-2,6,9,9a-tetrahydro-8H-indolo[7,6,5-cd]indol-8-one 4ai.
Molecules 28 03162 sch003
Scheme 4. Proposed mechanistic rationale for the formation of polycyclic indoles 4.
Scheme 4. Proposed mechanistic rationale for the formation of polycyclic indoles 4.
Molecules 28 03162 sch004
Scheme 5. Synthesis of polycyclic indoles by acid-induced Friedel–Crafts alkylation of hydroxybutyrolactams.
Scheme 5. Synthesis of polycyclic indoles by acid-induced Friedel–Crafts alkylation of hydroxybutyrolactams.
Molecules 28 03162 sch005
Table 1. Screening of reaction conditions for the reaction of 2-phenylindole 6a with 5-hydroxy-3,5-diphenyl-1,5-dihydro-2H-pyrrol-2-one 5a.
Table 1. Screening of reaction conditions for the reaction of 2-phenylindole 6a with 5-hydroxy-3,5-diphenyl-1,5-dihydro-2H-pyrrol-2-one 5a.
Molecules 28 03162 i001
#Acid (eq.)SolventTemperature, °CYield 7aa, % a
1-Xylene MW, 100 11
2 H2SO4 (1) CH2Cl2 Reflux 0
3 AcOH (1) - 70 0
4 H3PO4 (1) - 70 0
5 MsOH (1) - 70 0
6 TsOH (1) - 70–110 0
7 TsOH (1) EtOH Reflux 0
8 TsOH (4) EtOH MW, 100 17
9 TsOH (8) DMSO 50 37
10 TsOH (6) DMSO 80 38
11 TsOH (4) DMSO 80 35
12 TsOH (2) DMSO 70 45
13 TsOH (1) DMSO 70 55 b
a NMR yields are reported, unless specified otherwise. b Isolated yield of purified product is provided.
Disclaimer/Publisher’s Note: The statements, opinions and data contained in all publications are solely those of the individual author(s) and contributor(s) and not of MDPI and/or the editor(s). MDPI and/or the editor(s) disclaim responsibility for any injury to people or property resulting from any ideas, methods, instructions or products referred to in the content.

Share and Cite

MDPI and ACS Style

Abaev, V.T.; Aksenov, N.A.; Aksenov, D.A.; Aleksandrova, E.V.; Akulova, A.S.; Kurenkov, I.A.; Leontiev, A.V.; Aksenov, A.V. One-Pot Synthesis of Polynuclear Indole Derivatives by Friedel–Crafts Alkylation of γ-Hydroxybutyrolactams. Molecules 2023, 28, 3162. https://doi.org/10.3390/molecules28073162

AMA Style

Abaev VT, Aksenov NA, Aksenov DA, Aleksandrova EV, Akulova AS, Kurenkov IA, Leontiev AV, Aksenov AV. One-Pot Synthesis of Polynuclear Indole Derivatives by Friedel–Crafts Alkylation of γ-Hydroxybutyrolactams. Molecules. 2023; 28(7):3162. https://doi.org/10.3390/molecules28073162

Chicago/Turabian Style

Abaev, Vladimir T., Nicolai A. Aksenov, Dmitrii A. Aksenov, Elena V. Aleksandrova, Alesia S. Akulova, Igor A. Kurenkov, Alexander V. Leontiev, and Alexander V. Aksenov. 2023. "One-Pot Synthesis of Polynuclear Indole Derivatives by Friedel–Crafts Alkylation of γ-Hydroxybutyrolactams" Molecules 28, no. 7: 3162. https://doi.org/10.3390/molecules28073162

APA Style

Abaev, V. T., Aksenov, N. A., Aksenov, D. A., Aleksandrova, E. V., Akulova, A. S., Kurenkov, I. A., Leontiev, A. V., & Aksenov, A. V. (2023). One-Pot Synthesis of Polynuclear Indole Derivatives by Friedel–Crafts Alkylation of γ-Hydroxybutyrolactams. Molecules, 28(7), 3162. https://doi.org/10.3390/molecules28073162

Article Metrics

Back to TopTop