Characterization of Complexes between Imidacloprid and β-Cyclodextrin: Evaluation of the Toxic Activity in Algae and Rotifers
Abstract
1. Introduction
2. Results
2.1. Characterization of the IMI Inclusion Complex in Solution
2.2. Characterization of Inclusion Complexes in Solid State
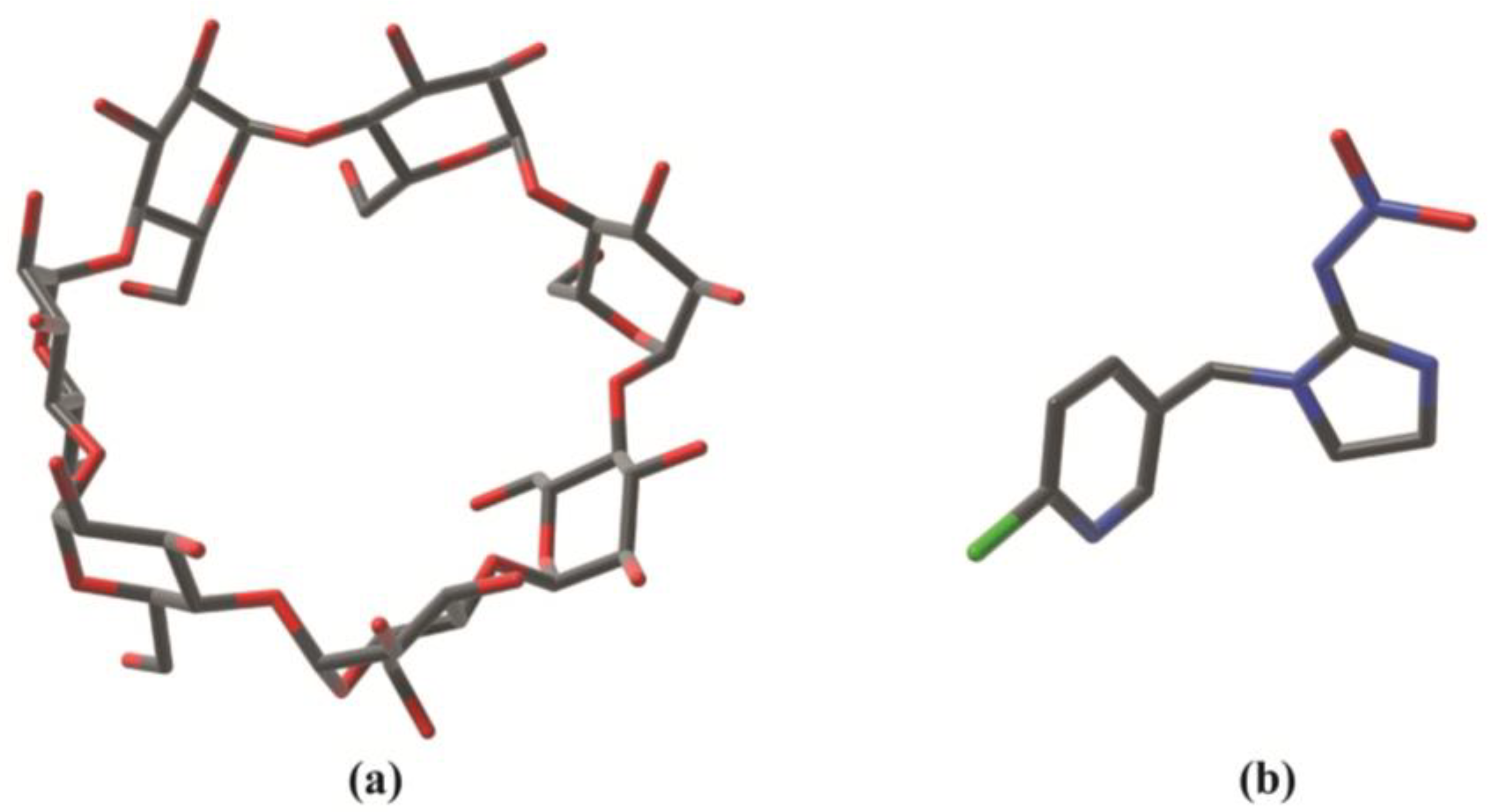
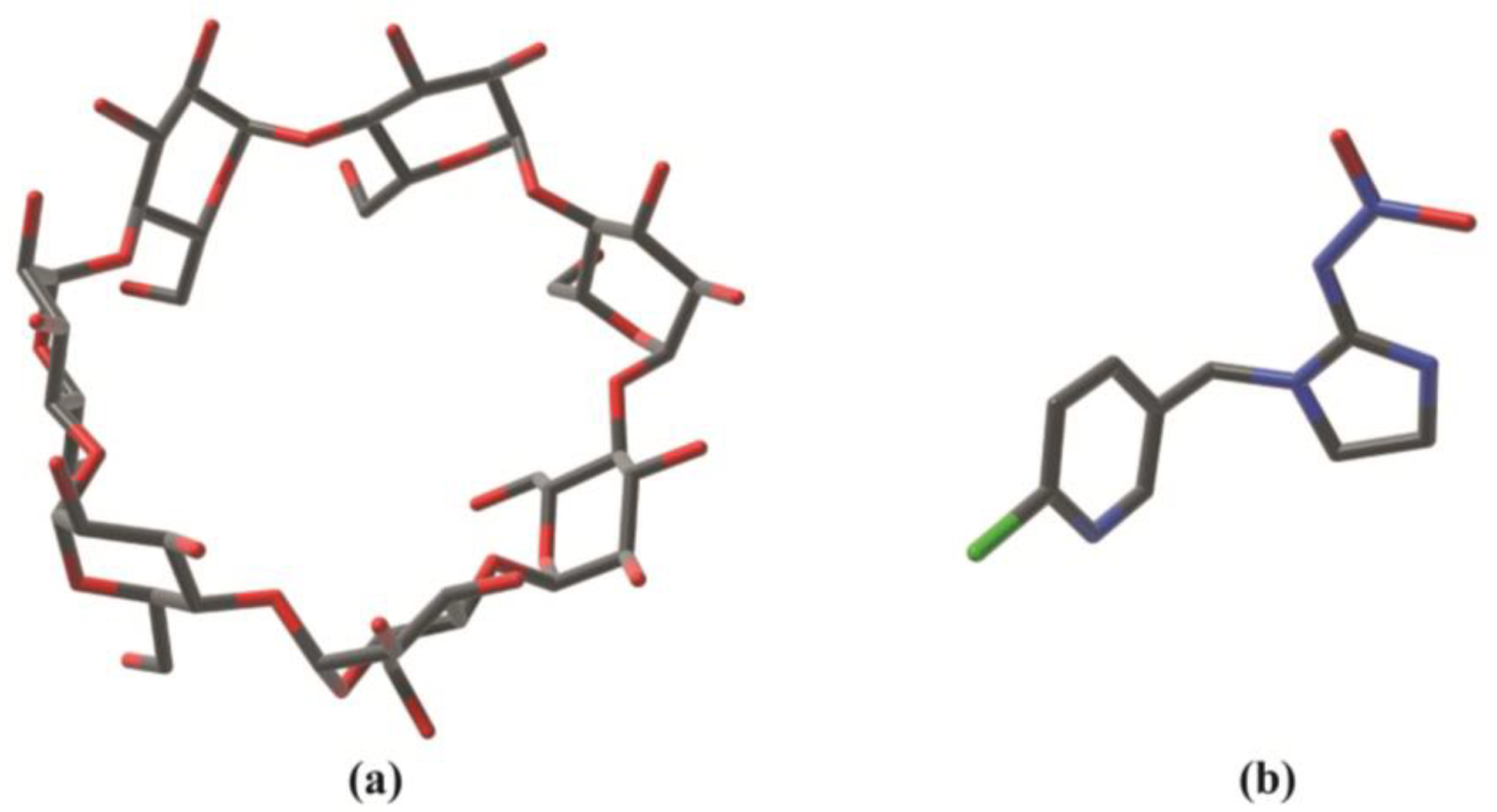
2.3. Molecular Docking
2.4. Acute Toxicity Testing
2.5. Chronic Toxicity Testing
3. Discussion
4. Materials and Methods
4.1. Materials
4.2. IMI:β-CD Binding Constant by Means of UV–VIS Spectroscopy
4.3. IMI:β-CD Complex Stoichiometry Determination by Means of the Job Plot Method
4.4. Preparation of IMI:β-CD Inclusion Complexes in Solid State
4.5. X-ray Powder Diffraction (XRD)
4.6. Fourier Transform Infrared (FT-IR) Spectroscopy
4.7. Molecular Docking Studies
4.8. Toxicity Testing
4.8.1. Acute Toxicity Testing
4.8.2. Chronic Toxicity Testing
4.8.3. Toxicity Data Analysis
5. Conclusions
Author Contributions
Funding
Institutional Review Board Statement
Informed Consent Statement
Data Availability Statement
Acknowledgments
Conflicts of Interest
Sample Availability
References
- Stern, A.J.; Becher, D.Z. Microencapsulation technology and future trends. In Pesticide Formulation and Adjuvant Technology; CRC Press: Boca Raton, FL, USA, 2018; pp. 93–114. [Google Scholar]
- Green, J.M.; Beestman, G.B. Recently patented and commercialized formulation and adjuvant technology. Crop. Prot. 2007, 26, 320–327. [Google Scholar] [CrossRef]
- Sandilya, A.A.; Natarajan, U.; Priya, M.H. Molecular View into the Cyclodextrin Cavity: Structure and Hydration. ACS Omega 2020, 5, 25655–25667. [Google Scholar] [CrossRef] [PubMed]
- Iacovino, R.; V. Caso, J.; Di Donato, C.; Malgieri, G.; Palmieri, M.; Russo, L.; Isernia, C. Cyclodextrins as complexing agents: Preparation and applications. Curr. Org. Chem. 2017, 21, 162–176. [Google Scholar] [CrossRef]
- Di Donato, C.; Iacovino, R.; Isernia, C.; Malgieri, G.; Varela-Garcia, A.; Concheiro, A.; Alvarez-Lorenzo, C. Polypseudorotaxanes of Pluronic® F127 with Combinations of α- and β-Cyclodextrins for Topical Formulation of Acyclovir. Nanomaterials 2020, 10, 613. [Google Scholar] [CrossRef] [PubMed]
- Davis, M.E.; Brewster, M.E. Cyclodextrin-based pharmaceutics: Past, present and future. Nat. Rev. Drug. Discov. 2004, 3, 1023–1035. [Google Scholar] [CrossRef]
- Martin del Valle, E. Cyclodextrins and their uses: A review. Process. Biochem. 2004, 39, 1033–1046. [Google Scholar] [CrossRef]
- Astra, G.; Gonzalez Barreiro, C.; Mejuto, J.C.; Rial-Otero, R.; Simal-Gàndara, J. A review on the use of cyclodextrins in foods. Food Hydrocoll. 2009, 23, 1631–1640. [Google Scholar] [CrossRef]
- Szejtli, J. Cyclodextrins. In Cyclodextrin Technology; Springer: Berlin/Heidelberg, Germany, 1988; pp. 1–78. [Google Scholar]
- Szejtli, J. Introduction and General Overview of Cyclodextrin Chemistry. Chem. Rev. 1998, 98, 1743–1754. [Google Scholar] [CrossRef] [PubMed]
- Zhou, J.; Jia, J.; He, J.; Li, J.; Cai, J. Cyclodextrin Inclusion Complexes and Their Application in Food Safety Analysis: Recent Developments and Future Prospects. Foods 2022, 11, 3871. [Google Scholar] [CrossRef]
- Szente, L.; Magisztrak, H.; Szejtli, J. Formulation of insect controlling agents with β-cyclodextrin. Pestic. Sci. 1990, 28, 7–16. [Google Scholar] [CrossRef]
- Szejtli, J.; Szente, L. Molecular Encapsulation Of Pesticides with Cyclodextrevs. Res. Dev. Controll. Release Formul. Pestic. 1994, 35, 35–46. [Google Scholar]
- Wüpper, S.; Lüersen, K.; Rimbach, G. Cyclodextrins, Natural Compounds, and Plant Bioactives-A Nutritional Perspective. Biomolecules 2021, 11, 401. [Google Scholar] [CrossRef]
- Waris, K.H.; Lee, V.S.; Mohamad, S. Pesticide remediation with cyclodextrins: A review. Environ. Sci. Pollut. Res. Int. 2021, 28, 47785–47799. [Google Scholar] [CrossRef] [PubMed]
- Iacovino, R.; Rapuano, F.; Caso, J.V.; Russo, A.; Lavorgna, M.; Russo, C.; Isidori, M.; Russo, L.; Malgieri, G.; Isernia, C. β-Cyclodextrin inclusion complex to improve physicochemical properties of pipemidic acid: Characterization and bioactivity evaluation. Int. J. Mol. Sci. 2013, 14, 13022–13041. [Google Scholar] [CrossRef] [PubMed]
- Lavorgna, M.; Iacovino, R.; Russo, C.; Di Donato, C.; Piscitelli, C.; Isidori, M. A New Approach for Improving the Antibacterial and Tumor Cytotoxic Activities of Pipemidic Acid by Including It in Trimethyl-β-cyclodextrin. Int. J. Mol. Sci. 2019, 20, 416. [Google Scholar] [CrossRef]
- Di Donato, C.; Lavorgna, M.; Fattorusso, R.; Isernia, C.; Isidori, M.; Malgieri, G.; Piscitelli, C.; Russo, C.; Russo, L.; Iacovino, R. Alpha- and Beta-Cyclodextrin Inclusion Complexes with 5-Fluorouracil: Characterization and Cytotoxic Activity Evaluation. Molecules 2016, 21, 1644. [Google Scholar] [CrossRef]
- Delogu, G.; Fois, X.; Mannu, R.; Pantaleoni, R.A. Enhancing insecticide activity using a physical mixture with cyclodextrin: A witch’s cauldron or an opportunity? J. Pest Sci. 2019, 92, 943–950. [Google Scholar] [CrossRef]
- Petrović, G.; Stojanović, G.; Palić, R. Modified β-cyclodextrins as prospective agents for improving water solubility of organic pesticides. Environ. Chem. Lett. 2011, 9, 423–429. [Google Scholar] [CrossRef]
- Yadav, M.; Thakore, S.; Jadeja, R. A review on remediation technologies using functionalized Cyclodextrin. Environ. Sci. Pollut. Res. Int. 2022, 29, 236–250. [Google Scholar] [CrossRef]
- Villaverde, J. Time-dependent sorption of norflurazon in four different soils: Use of beta-cyclodextrin solutions for remediation of pesticide-contaminated soils. J. Hazard Mater. 2007, 142, 184–190. [Google Scholar] [CrossRef]
- Ye, M.; Sun, M.; Hu, F.; Kengara, F.O.; Jiang, X.; Luo, Y.; Yang, X. Remediation of organochlorine pesticides (OCPs) contaminated site by successive methyl-β-cyclodextrin (MCD) and sunflower oil enhanced soil washing—Portulaca oleracea L. cultivation. Chemosphere 2014, 105, 119–125. [Google Scholar] [CrossRef] [PubMed]
- Mundhe, S.A.; Birajdar, S.V.; Chavan, S.S.; Pawar, N.R. Imidacloprid Poisoning: An Emerging Cause of Potentially Fatal Poisoning. Indian J. Crit. Care Med. 2017, 21, 786–788. [Google Scholar] [CrossRef] [PubMed]
- Chapter 21—Insecticides and Molluscicides. In Clinical Veterinary Toxicology; Konnie, H.P., Ed.; Mosby: St. Louis, MO, USA, 2004; pp. 177–192. [Google Scholar]
- Morrissey, C.A.; Mineau, P.; Devries, J.H.; Sanchez-Bayo, F.; Liess, M.; Cavallaro, M.C.; Liber, K. Neonicotinoid contamination of global surface waters and associated risk to aquatic invertebrates: A review. Environ. Int. 2015, 74, 291–303. [Google Scholar] [CrossRef] [PubMed]
- Borsuah, J.F.; Messer, T.L.; Snow, D.D.; Comfort, S.D.; Mittelstet, A.R. Literature Review: Global Neonicotinoid Insecticide Occurrence in Aquatic Environments. Water 2020, 12, 3388. [Google Scholar] [CrossRef]
- Barbieri, M.V.; Peris, A.; Postigo, C.; Moya-Garcés, A.; Monllor-Alcaraz, L.S.; Rambla-Alegre, M.; Eljarrat, E.; López de Alda, M. Evaluation of the occurrence and fate of pesticides in a typical Mediterranean delta ecosystem (Ebro River Delta) and risk assessment for aquatic organisms. Environ. Pollut. 2021, 274, 115813. [Google Scholar] [CrossRef]
- Nugnes, R.; Russo, C.; Orlo, E.; Lavorgna, M.; Isidori, M. Imidacloprid: Comparative toxicity, DNA damage, ROS production and risk assessment for aquatic non-target organisms. Environ. Pollut. 2023, 316, 120682. [Google Scholar] [CrossRef]
- Chen, M.; Meng, Y.; Zhang, W.; Zhou, J.; Xie, J.; Diao, G. β-Cyclodextrin polymer functionalized reduced-graphene oxide: Application for electrochemical determination imidacloprid. Electrochim. Acta 2013, 108, 1–9. [Google Scholar] [CrossRef]
- Chen, M.; Wang, J.; Zhang, W.; Diao, G. Preparation and characterization water-soluble inclusion complexes of imidacloprid-β-cyclodextrin polymer and their electrochemical behavior. J. Electroanal. Chem. 2013, 696, 1–8. [Google Scholar] [CrossRef]
- Turan, A.C.; Özen, İ.; Gürakın, H.K.; Fatarella, E. Controlled release profile of imidacloprid-β-cyclodextrin inclusion complex embedded polypropylene filament yarns. J. Eng. Fibers Fabr. 2017, 12, 155892501701200109. [Google Scholar] [CrossRef]
- Farina, B.; de Paola, I.; Russo, L.; Capasso, D.; Liguoro, A.; Gatto, A.D.; Saviano, M.; Pedone, P.V.; Di Gaetano, S.; Malgieri, G.; et al. A Combined NMR and Computational Approach to Determine the RGDechi-hCit-αv β3 Integrin Recognition Mode in Isolated Cell Membranes. Chemistry 2016, 22, 681–693. [Google Scholar] [CrossRef]
- Dragone, M.; Shitaye, G.; D’Abrosca, G.; Russo, L.; Fattorusso, R.; Isernia, C.; Malgieri, G.; Iacovino, R. Inclusions of Pesticides by β-Cyclodextrin in Solution and Solid State: Chlorpropham, Monuron, and Propanil. Molecules 2023, 28, 1331. [Google Scholar] [CrossRef] [PubMed]
- Yeagle, P.L. Cholesterol and the cell membrane. Biochim. Biophys. Acta 1985, 822, 267–287. [Google Scholar] [CrossRef]
- Christian, A.E.; Haynes, M.P.; Phillips, M.C.; Rothblat, G.H. Use of cyclodextrins for manipulating cellular cholesterol content. J. Lipid Res. 1997, 38, 2264–2272. [Google Scholar] [CrossRef] [PubMed]
- Zidovetzki, R.; Levitan, I. Use of cyclodextrins to manipulate plasma membrane cholesterol content: Evidence, misconceptions and control strategies. Biochim. Biophys. Acta 2007, 1768, 1311–1324. [Google Scholar] [CrossRef] [PubMed]
- Morillo González, E. Application of cyclodextrins in agrochemistry. 2006. Applications Other Than in the Pharmaceutical Industry. In Cyclodextrins and Their Complexes: Chemistry, Analytical Methods, Applications; Dodziuk, H., Ed.; Wiley: Hoboken, NJ, USA, 2006; pp. 450–473. [Google Scholar]
- Struger, J.; Grabuski, J.; Cagampan, S.; Sverko, E.; McGoldrick, D.; Marvin, C.H. Factors influencing the occurrence and distribution of neonicotinoid insecticides in surface waters of southern Ontario, Canada. Chemosphere 2017, 169, 516–523. [Google Scholar] [CrossRef]
- Wang, J.; Yin, R.; Liu, Y.; Wang, B.; Wang, N.; Xiao, P.; Xiao, T.; Hirai, H. Meta-analysis of neonicotinoid insecticides in global surface waters. Environ. Sci. Pollut. Res. Int. 2023, 30, 1039–1047. [Google Scholar] [CrossRef]
- Berens, M.J.; Capel, P.D.; Arnold, W.A. Neonicotinoid Insecticides in Surface Water, Groundwater, and Wastewater Across Land-Use Gradients and Potential Effects. Environ. Toxicol. Chem. 2021, 40, 1017–1033. [Google Scholar] [CrossRef]
- Vehovszky, Á.; Farkas, A.; Ács, A.; Stoliar, O.; Székács, A.; Mörtl, M.; Győri, J. Neonicotinoid insecticides inhibit cholinergic neurotransmission in a molluscan (Lymnaea stagnalis) nervous system. Aquat. Toxicol. 2015, 167, 172–179. [Google Scholar] [CrossRef]
- Fai, P.B.; Grant, A.; Reid, B.J. Compatibility of hydroxypropyl-beta-cyclodextrin with algal toxicity bioassays. Environ. Pollut. 2009, 157, 135–140. [Google Scholar] [CrossRef]
- Adriaens, E.; Voorspoels, J.; Mertens, J.; Remon, J.P. Effect of absorption enhancers on ciliated epithelium: A novel in vivo toxicity screening method using rotifers. Pharm. Res. 1997, 14, 541–545. [Google Scholar] [CrossRef]
- Caso, J.V.; Russo, L.; Palmieri, M.; Malgieri, G.; Galdiero, S.; Falanga, A.; Isernia, C.; Iacovino, R. Investigating the inclusion properties of aromatic amino acids complexing beta-cyclodextrins in model peptides. Amino Acids 2015, 47, 2215–2227. [Google Scholar] [CrossRef] [PubMed]
- Huang, C.Y. Determination of binding stoichiometry by the continuous variation method: The Job plot. Methods Enzymol. 1982, 87, 509–525. [Google Scholar] [CrossRef] [PubMed]
- Iacovino, R.; Caso, J.V.; Rapuano, F.; Russo, A.; Isidori, M.; Lavorgna, M.; Malgieri, G.; Isernia, C. Physicochemical characterization and cytotoxic activity evaluation of hydroxymethylferrocene:β-cyclodextrin inclusion complex. Molecules 2012, 17, 6056–6070. [Google Scholar] [CrossRef] [PubMed]
- Ghoorah, A.W.; Devignes, M.D.; Smaïl-Tabbone, M.; Ritchie, D.W. Protein docking using case-based reasoning. Proteins: Struct. Funct. Bioinform. 2013, 81, 2150–2158. [Google Scholar] [CrossRef]
- Paixão, S.M.; Silva, L.; Fernandes, A.; O’Rourke, K.; Mendonça, E.; Picado, A. Performance of a miniaturized algal bioassay in phytotoxicity screening. Ecotoxicology 2008, 17, 165–171. [Google Scholar] [CrossRef]
- ISO 20666; Water Quality—Determination of Chronic Toxicity to Brachionus Calyciflorus in 48 H-Population Growth Inhibition. ISO: Geneva, Switzerland, 2008.








| β-CD | IMI | PM | CP (1:1) | CP (1:2) | |
|---|---|---|---|---|---|
| LC50 [µM] | n.d.* | 1234.83 | 404.56 | 53.69 | 76.89 |
| (1034.18–1474.21) | (244.63–668.90) | (43.00–67.04) | (56.62–104.37) | ||
| Acute toxicity Increase in PM/CP vs. IMI | - | - | 67.23 | 95.65 | 93.77 |
| R. subcapitata | β-CD | IMI | PM | CP (1:1) | CP (1:2) |
|---|---|---|---|---|---|
| EC50 [µM] | 223.79 | 442.38 | 193.08 | 199.12 | 150.54 |
| (181.32–276.21) | (365.33–535.86) | (135.40–275.20) | (140.80–281.52) | (89.76–252.45) | |
| Chronic toxicity Increase in PM/CP vs. IMI | - | - | 56.35 | 54.99 | 65.97 |
| B. calyciflorus | β-CD | IMI | PM | CP (1:1) | CP (1:2) |
|---|---|---|---|---|---|
| EC50 | 13.57 | 8.99 | 1.37 | 1.15 | 1.42 |
| (10.84–17.00) | (5.87–13.30) | (1.15–1.58) | (0.93–1.44) | (1.11–1.82) | |
| Chronic toxicity Increase in PM/CP vs. IMI | - | - | 84.74 | 87.21 | 84.20 |
| β-CD | IMI | PM | CP (1:1) | CP (1:2) | ||||||
|---|---|---|---|---|---|---|---|---|---|---|
| [µM] | R. s. | B. c. | R. s. | B. c. | R. s. | B. c. | R. s. | B. c. | R. s. | B. c. |
| EC20 | 37.18 | 1.85 | 128.69 | 0.11 | 24.16 | 0.57 | 24.88 | 0.36 | 18.49 | 0.32 |
| (27.4–48.46) | (1.41–2.29) | (93.48–170.54) | (0.06–0.24) | (14.61–36.62) | (0.43–0.72) | (15.31–37.10) | (0.29–0.50) | (9.63–30.45) | (0.20–0.43) | |
| EC10 | 13.04 | 0.53 | 62.19 | 0.01 | 7.19 | 0.36 | 7.33 | 0.21 | 5.42 | 0.12 |
| (8.37–19.82) | (0.35–0.79) | (41.07–95.05) | (0.004–0.03) | (3.47–14.11) | (0.21–0.43) | (3.59–14.17) | (0.14–0.29) | (2.11–12.35) | (0.08–0.23) | |
| LOEC | 13.83 | 1.06 | 12.20 | 0.01 | 11.29 | 0.43 | 11.29 | 0.43 | 3.09 | 0.47 |
| NOEC | 6.87 | 0.53 | 6.10 | 0.003 | 5.61 | 0.21 | 5.61 | 0.21 | 1.54 | 0.24 |
Disclaimer/Publisher’s Note: The statements, opinions and data contained in all publications are solely those of the individual author(s) and contributor(s) and not of MDPI and/or the editor(s). MDPI and/or the editor(s) disclaim responsibility for any injury to people or property resulting from any ideas, methods, instructions or products referred to in the content. |
© 2023 by the authors. Licensee MDPI, Basel, Switzerland. This article is an open access article distributed under the terms and conditions of the Creative Commons Attribution (CC BY) license (https://creativecommons.org/licenses/by/4.0/).
Share and Cite
Lavorgna, M.; Dragone, M.; Russo, C.; D’Abrosca, G.; Nugnes, R.; Orlo, E.; della Valle, M.; Isernia, C.; Malgieri, G.; Iacovino, R.; et al. Characterization of Complexes between Imidacloprid and β-Cyclodextrin: Evaluation of the Toxic Activity in Algae and Rotifers. Molecules 2023, 28, 3049. https://doi.org/10.3390/molecules28073049
Lavorgna M, Dragone M, Russo C, D’Abrosca G, Nugnes R, Orlo E, della Valle M, Isernia C, Malgieri G, Iacovino R, et al. Characterization of Complexes between Imidacloprid and β-Cyclodextrin: Evaluation of the Toxic Activity in Algae and Rotifers. Molecules. 2023; 28(7):3049. https://doi.org/10.3390/molecules28073049
Chicago/Turabian StyleLavorgna, Margherita, Martina Dragone, Chiara Russo, Gianluca D’Abrosca, Roberta Nugnes, Elena Orlo, Maria della Valle, Carla Isernia, Gaetano Malgieri, Rosa Iacovino, and et al. 2023. "Characterization of Complexes between Imidacloprid and β-Cyclodextrin: Evaluation of the Toxic Activity in Algae and Rotifers" Molecules 28, no. 7: 3049. https://doi.org/10.3390/molecules28073049
APA StyleLavorgna, M., Dragone, M., Russo, C., D’Abrosca, G., Nugnes, R., Orlo, E., della Valle, M., Isernia, C., Malgieri, G., Iacovino, R., & Isidori, M. (2023). Characterization of Complexes between Imidacloprid and β-Cyclodextrin: Evaluation of the Toxic Activity in Algae and Rotifers. Molecules, 28(7), 3049. https://doi.org/10.3390/molecules28073049

