Ideal Adsorbed Solution Theory (IAST) of Carbon Dioxide and Methane Adsorption Using Magnesium Gallate Metal-Organic Framework (Mg-gallate)
Abstract
1. Introduction
2. Ideal Adsorbed Solution Theory (IAST)
3. Result and Discussions
3.1. Characterization Analysis
3.1.1. Powder X-ray Diffraction (PXRD) Pattern
3.1.2. Fourier Transform Infrared (FTIR) Spectrum
3.1.3. Thermogravimetric Analysis (TGA)
3.1.4. Porous Properties
3.2. Single-Component Gas Adsorption
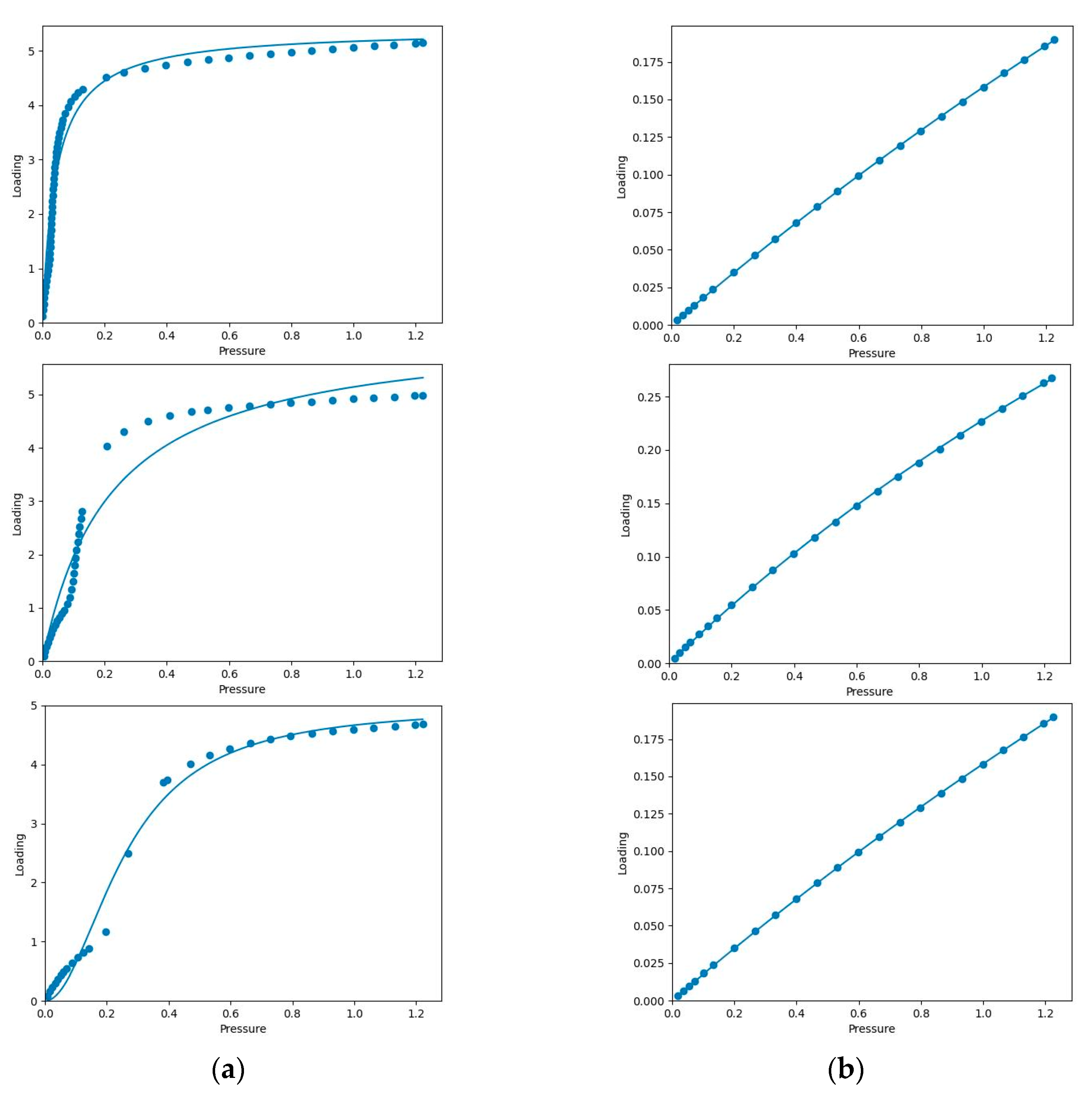
3.3. Isotherm Models
3.4. Prediction of CO2 and CH4 by IAST Calculations
3.5. IAST Selectivity of CO2 and CH4
4. Materials and Methods
4.1. Materials
4.2. Synthesis of Mg-Gallate
4.3. Characterization of Mg-Gallate
4.4. Single-Component Gas Adsorption
4.5. IAST Calculation
5. Conclusions
Author Contributions
Funding
Institutional Review Board Statement
Informed Consent Statement
Data Availability Statement
Acknowledgments
Conflicts of Interest
Sample Availability
References
- Alivand, M.S.; Tehrani, N.H.M.H.; Shafiei-Alavijeh, M.; Rashidi, A.; Kooti, M.; Pourreza, A.; Fakhraie, S. Synthesis of a modified HF-free MIL-101 (Cr) nanoadsorbent with enhanced H2S/CH4, CO2/CH4, and CO2/N2 selectivity. J. Environ. Chem. Eng. 2019, 7, 102946. [Google Scholar] [CrossRef]
- Myers, A.L.; Prausnitz, J.M. Thermodynamics of mixed-gas adsorption. AIChE J. 1965, 11, 121–127. [Google Scholar] [CrossRef]
- Walton, K.S.; Sholl, D.S. Predicting multicomponent adsorption: 50 years of the ideal adsorbed solution theory. AIChE J. 2015, 61, 2757–2762. [Google Scholar] [CrossRef]
- Mahdipoor, H.R.; Halladj, R.; Babakhani, E.G.; Amjad-Iranagh, S.; Ahari, J.S. Adsorption of CO2, N2 and CH4 on a Fe-based metal organic framework, MIL-101 (Fe)-NH2. Colloids Surf. A Physicochem. Eng. Asp. 2021, 619, 126554. [Google Scholar] [CrossRef]
- Li, Y.; Wang, Y.; Liu, N.; Wang, B.; Dong, R. Nitrogen and sulfur co-doped microporous carbon prepared by a couple of activating and functionalized reagents for efficient CO2 capture and selective CO2/CH4 separation. Colloids Surf. A Physicochem. Eng. Asp. 2023, 658, 130732. [Google Scholar] [CrossRef]
- Király, N.; Capková, D.; Gyepes, R.; Vargová, N.; Kazda, T.; Bednarčík, J.; Yudina, D.; Zelenka, T.; Čudek, P.; Zeleňák, V. Sr (II) and Ba (II) Alkaline Earth Metal–Organic Frameworks (AE-MOFs) for Selective Gas Adsorption, Energy Storage, and Environmental Application. Nanomaterials 2023, 13, 234. [Google Scholar] [CrossRef]
- Zhou, S.; Lu, L.; Liu, D.; Wang, J.; Sakiyama, H.; Muddassir, M.; Nezamzadeh-Ejhieh, A.; Liu, J. Series of highly stable Cd (ii)-based MOFs as sensitive and selective sensors for detection of nitrofuran antibiotic. CrystEngComm 2021, 23, 8043–8052. [Google Scholar] [CrossRef]
- Dong, X.; Li, Y.; Li, D.; Liao, D.; Qin, T.; Prakash, O.; Kumar, A.; Liu, J. A new 3D 8-connected Cd (ii) MOF as a potent photocatalyst for oxytetracycline antibiotic degradation. CrystEngComm 2022, 24, 6933–6943. [Google Scholar] [CrossRef]
- Ismail, M.; Bustam, M.A.; Kari, N.E.F. Screening of gallate-based metal-organic frameworks for single-component CO2 and CH4 gas. In E3S Web of Conferences; EDP Sciences: Les Ulis, France, 2021; p. 02005. [Google Scholar]
- de Oliveira, A.; de Lima, G.F.; De Abreu, H.A. Structural and electronic properties of M-MOF-74 (M = Mg, Co or Mn). Chem. Phys. Lett. 2018, 691, 283–290. [Google Scholar] [CrossRef]
- Ding, M.; Flaig, R.W.; Jiang, H.-L.; Yaghi, O.M. Carbon capture and conversion using metal–organic frameworks and MOF-based materials. Chem. Soc. Rev. 2019, 48, 2783–2828. [Google Scholar] [CrossRef]
- Zhang, Z.; Yao, Z.-Z.; Xiang, S.; Chen, B. Perspective of microporous metal–organic frameworks for CO 2 capture and separation. Energy Environ. Sci. 2014, 7, 2868–2899. [Google Scholar] [CrossRef]
- Hu, Z.; Wang, Y.; Shah, B.B.; Zhao, D. CO2 Capture in Metal–Organic Framework Adsorbents: An Engineering Perspective. Adv. Sustain. Syst. 2019, 3, 1800080. [Google Scholar] [CrossRef]
- Krishna, R.; van Baten, J.M. How Reliable Is the Ideal Adsorbed Solution Theory for the Estimation of Mixture Separation Selectivities in Microporous Crystalline Adsorbents? ACS Omega 2021, 6, 15499–15513. [Google Scholar] [CrossRef] [PubMed]
- Simon, C.M.; Smit, B.; Haranczyk, M. pyIAST: Ideal adsorbed solution theory (IAST) Python package. Comput. Phys. Commun. 2016, 200, 364–380. [Google Scholar] [CrossRef]
- Yu, H.; Zhou, L.; Guo, W.; Cheng, J.; Hu, Q. Predictions of the adsorption equilibrium of methane/carbon dioxide binary gas on coals using Langmuir and ideal adsorbed solution theory under feed gas conditions. Int. J. Coal Geol. 2008, 73, 115–129. [Google Scholar] [CrossRef]
- Bao, Z.; Wang, J.; Zhang, Z.; Xing, H.; Yang, Q.; Yang, Y.; Wu, H.; Krishna, R.; Zhou, W.; Chen, B. Molecular Sieving of Ethane from Ethylene through the Molecular Cross-Section Size Differentiation in Gallate-based Metal–Organic Frameworks. Angew. Chem. 2018, 130, 16252–16257. [Google Scholar] [CrossRef]
- Chen, G.; Chen, X.; Pan, Y.; Ji, Y.; Liu, G.; Jin, W. M-gallate MOF/6FDA-polyimide mixed-matrix membranes for C2H4/C2H6 separation. J. Membr. Sci. 2021, 620, 118852. [Google Scholar] [CrossRef]
- Naz, S.; Khaskheli, A.R.; Aljabour, A.; Kara, H.; Talpur, F.N.; Sherazi, S.T.H.; Khaskheli, A.A.; Jawaid, S. Synthesis of highly stable cobalt nanomaterial using gallic acid and its application in catalysis. Adv. Chem 2014, 2014, 1–6. [Google Scholar] [CrossRef]
- Alaqarbeh, M. Adsorption Phenomena: Definition, Mechanisms, and Adsorption Types: Short Review. RHAZES Green Appl. Chem. 2021, 13, 43–51. [Google Scholar]
- Raja, P.B.; Munusamy, K.R.; Perumal, V.; Ibrahim, M.N.M. Characterization of nanomaterial used in nanobioremediation. In Nano-Bioremediation: Fundamentals and Applications; Elsevier: Amsterdam, The Netherlands, 2022; pp. 57–83. [Google Scholar]
- Ab Rahim, A.H.; Abd Ghani, N.; Hasanudin, N.; Yunus, N.M.; Azman, N.S. Thermal Kinetics of Monocationic and Dicationic Pyrrolidinium-Based Ionic Liquids. Materials 2022, 15, 1247. [Google Scholar] [CrossRef]
- Xuan, W.; Zhu, C.; Liu, Y.; Cui, Y. Mesoporous metal–organic framework materials. Chem. Soc. Rev. 2012, 41, 1677–1695. [Google Scholar] [CrossRef]
- Ullah, S.; Bustam, M.A.; Al-Sehemi, A.G.; Assiri, M.A.; Kareem, F.A.A.; Mukhtar, A.; Ayoub, M.; Gonfa, G. Influence of post-synthetic graphene oxide (GO) functionalization on the selective CO2/CH4 adsorption behavior of MOF-200 at different temperatures; an experimental and adsorption isotherms study. Microporous Mesoporous Mater. 2020, 296, 110002. [Google Scholar] [CrossRef]
- Shafeeyan, M.S.; Daud, W.M.A.W.; Houshmand, A.; Arami-Niya, A. Ammonia modification of activated carbon to enhance carbon dioxide adsorption: Effect of pre-oxidation. Appl. Surf. Sci. 2011, 257, 3936–3942. [Google Scholar] [CrossRef]
- Li, J.; Yang, S.; Du, Z.; Wang, R.; Yuan, L.; Wang, H.; Wu, Z. Quantitative analysis of ammonia adsorption in Ag/AgI-coated hollow waveguide by mid-infrared laser absorption spectroscopy. Opt. Lasers Eng. 2019, 121, 80–86. [Google Scholar] [CrossRef]
- Pettinari, C.; Tombesi, A. Metal–organic frameworks for carbon dioxide capture. MRS Energy Sustain. 2020, 7, E35. [Google Scholar] [CrossRef]
- Al-Ghouti, M.A.; Da’ana, D.A. Guidelines for the use and interpretation of adsorption isotherm models: A review. J. Hazard. Mater. 2020, 393, 122383. [Google Scholar] [CrossRef]
- Cui, W.G.; Hu, T.L.; Bu, X.H. Metal–organic framework materials for the separation and purification of light hydrocarbons. Adv. Mater. 2020, 32, 1806445. [Google Scholar] [CrossRef]
- Langmuir, I. The adsorption of gases on plane surfaces of glass, mica and platinum. J. Am. Chem. Soc. 1918, 40, 1361–1403. [Google Scholar] [CrossRef]
- Alafnan, S.; Awotunde, A.; Glatz, G.; Adjei, S.; Alrumaih, I.; Gowida, A. Langmuir adsorption isotherm in unconventional resources: Applicability and limitations. J. Pet. Sci. Eng. 2021, 207, 109172. [Google Scholar] [CrossRef]
- Tang, X.; Ripepi, N.; Luxbacher, K.; Pitcher, E. Adsorption models for methane in shales: Review, comparison, and application. Energy Fuels 2017, 31, 10787–10801. [Google Scholar] [CrossRef]
- Richardson, J.F.; Harker, J.H. Chemical Engineering-Volume 2: Particle Technology and Separation Processes; Butterworth-Heinemann: Oxford, UK, 2002. [Google Scholar]
- Noorpoor, A.; Kudahi, S.N. Analysis and study of CO2 adsorption on UiO-66/graphene oxide composite using equilibrium modeling and ideal adsorption solution theory (IAST). J. Environ. Chem. Eng. 2016, 4, 1081–1091. [Google Scholar] [CrossRef]
- Kaushal, A.; Singh, S. Critical analysis of adsorption data statistically. Appl. Water Sci. 2017, 7, 3191–3196. [Google Scholar] [CrossRef]
- Raganati, F.; Alfe, M.; Gargiulo, V.; Chirone, R.; Ammendola, P. Isotherms and thermodynamics of CO2 adsorption on a novel carbon-magnetite composite sorbent. Chem. Eng. Res. Des. 2018, 134, 540–552. [Google Scholar] [CrossRef]
- Liu, J.; Wang, W.; Luo, Z.; Li, B.; Yuan, D. Microporous metal–organic framework based on ligand-truncation strategy with high performance for gas adsorption and separation. Inorg. Chem. 2017, 56, 10215–10219. [Google Scholar] [CrossRef]
- Chen, F.; Wang, J.; Guo, L.; Huang, X.; Zhang, Z.; Yang, Q.; Yang, Y.; Ren, Q.; Bao, Z. Carbon dioxide capture in gallate-based metal-organic frameworks. Sep. Purif. Technol. 2022, 292, 121031. [Google Scholar] [CrossRef]
- Liu, J.; Dumitrescu, C.E. Numerical investigation of methane number and Wobbe index effects in lean-burn natural gas spark-ignition combustion. Energy Fuels 2019, 33, 4564–4574. [Google Scholar] [CrossRef]












| BET Surface Area (m2/g) | Pore Volume (cm3/g) | BJH Pore Size (nm) |
|---|---|---|
| 512.38 | 0.187 | 6.66 |
| Model | Parameter | CO2 | CH4 | ||||
|---|---|---|---|---|---|---|---|
| 273 K | 298 K | 313 K | 273 K | 298 K | 313 K | ||
| Langmuir | M | 5.3934 | 6.2675 | 7.2937 | 1.4239 | 1.1525 | 1.4239 |
| KL | 23.45 | 4.57 | 1.87 | 0.1251 | 0.2456 | 0.1251 | |
| RMSE | 0.3321 | 0.3882 | 0.3825 | 4.41 × 10−4 | 8.80 × 10−4 | 4.41 × 10−4 | |
| Quadratic | M | 2.4819 | 2.5036 | 2.4885 | 5.25 × 10−4 | 5.25 × 10−4 | 5.25 × 10−4 |
| Ka | 5.52 | −0.4963 | −0.0225 | 5.0 × 10−4 | 5.0 × 10−4 | 5.0 × 10−4 | |
| Kb | 768.40 | 60.69 | 14.79 | 5.0 × 10−4 | 5.0 × 10−4 | 5.0 × 10−4 | |
| RMSE | 0.1586 | 0.1953 | 0.1961 | 0.1094 | 0.1546 | 0.1094 | |
| BET | M | 6.1832 | 5.25 × 10−4 | 5.25 × 10−4 | 5.25 × 10−4 | 5.25 × 10−4 | 5.25 × 10−4 |
| Ka | 18.53 | 5.0 × 10−4 | 5.0 × 10−4 | 5.0 × 10−4 | 5.0 × 10−4 | 5.0 × 10−4 | |
| Kb | −0.1666 | 5.0 × 10−4 | 5.0 × 10−4 | 5.0 × 10−4 | 5.0 × 10−4 | 5.0 × 10−4 | |
| RMSE | 0.3100 | 3.2372 | 3.2059 | 0.1094 | 0.1546 | 0.1094 | |
| Henry | KH | 6.1555 | 5.7421 | 5.0373 | 0.1591 | 0.2296 | 0.1591 |
| RMSE | 2.1951 | 1.3555 | 0.8717 | 3.10 × 10−3 | 8.03 × 10−3 | 3.10 × 10−3 | |
| Approximated Temkin | M | 4.7234 | 2.6270 | 5.25 × 10−4 | 1.3694 | 1.6112 | 1.3694 |
| KT | 15.59 | 3.74 | 5.0 × 10−4 | 0.1301 | 0.1766 | 0.1301 | |
| θ | −1.9074 | −8.1530 | 5.0 × 10−4 | −0.0473 | 0.4733 | −0.0473 | |
| RMSE | 0.2335 | 0.2330 | 3.2059 | 4.46 × 10−4 | 8.0 × 10−4 | 4.46 × 10−4 | |
| Dual-site Langmuir | M1 | 0.5384 | 5.25 × 10−4 | 4.4854 | 5.25 × 10−4 | 5.25 × 10−4 | 5.25 × 10−4 |
| K1 | 23.45 | 5.0 × 10−4 | 1.8707 | 5.0 × 10−4 | 5.0 × 10−4 | 5.0 × 10−4 | |
| M2 | 4.8550 | 5.0 × 10−4 | 2.8083 | 5.0 × 10−4 | 5.0 × 10−4 | 5.0 × 10−4 | |
| K2 | 23.45 | 5.0 × 10−4 | 1.8707 | 5.0 × 10−4 | 5.0 × 10−4 | 5.0 × 10−4 | |
| RMSE | 0.3321 | 3.2372 | 0.3825 | 0.1094 | 0.1546 | 0.1094 |
Disclaimer/Publisher’s Note: The statements, opinions and data contained in all publications are solely those of the individual author(s) and contributor(s) and not of MDPI and/or the editor(s). MDPI and/or the editor(s) disclaim responsibility for any injury to people or property resulting from any ideas, methods, instructions or products referred to in the content. |
© 2023 by the authors. Licensee MDPI, Basel, Switzerland. This article is an open access article distributed under the terms and conditions of the Creative Commons Attribution (CC BY) license (https://creativecommons.org/licenses/by/4.0/).
Share and Cite
Ismail, M.; Bustam, M.A.; Kari, N.E.F.; Yeong, Y.F. Ideal Adsorbed Solution Theory (IAST) of Carbon Dioxide and Methane Adsorption Using Magnesium Gallate Metal-Organic Framework (Mg-gallate). Molecules 2023, 28, 3016. https://doi.org/10.3390/molecules28073016
Ismail M, Bustam MA, Kari NEF, Yeong YF. Ideal Adsorbed Solution Theory (IAST) of Carbon Dioxide and Methane Adsorption Using Magnesium Gallate Metal-Organic Framework (Mg-gallate). Molecules. 2023; 28(7):3016. https://doi.org/10.3390/molecules28073016
Chicago/Turabian StyleIsmail, Marhaina, Mohamad Azmi Bustam, Nor Ernie Fatriyah Kari, and Yin Fong Yeong. 2023. "Ideal Adsorbed Solution Theory (IAST) of Carbon Dioxide and Methane Adsorption Using Magnesium Gallate Metal-Organic Framework (Mg-gallate)" Molecules 28, no. 7: 3016. https://doi.org/10.3390/molecules28073016
APA StyleIsmail, M., Bustam, M. A., Kari, N. E. F., & Yeong, Y. F. (2023). Ideal Adsorbed Solution Theory (IAST) of Carbon Dioxide and Methane Adsorption Using Magnesium Gallate Metal-Organic Framework (Mg-gallate). Molecules, 28(7), 3016. https://doi.org/10.3390/molecules28073016

