Abstract
The results of kinetic measurements revealed an accelerating effect of acetazolamide (ACT) on the multistep In(III) ions electroreduction in chlorates(VII) on a novel, cyclically renewable liquid silver amalgam film electrode (R–AgLAFE). The kinetic and thermodynamic parameters were determined by applying the DC polarography, square-wave (SWV) and cyclic voltammetry (CV), as well as electrochemical impedance spectroscopy (EIS). It was shown that ACT catalyzed the electrode reaction (“cap-pair” effect) by adsorbing on the surface of the R–AgLAFE electrode. The catalytic activity of ACT was explained as related to its ability to form active In(III)- acetazolamide complexes on the electrode surface, facilitating the electron transfer process. The active complexes constitute a substrate in the electroreduction process and their different structures and properties are responsible for differences in the catalytic activity. The determined values of the activation energy point to the catalytic activity of ACT in the In(III) ions electroreduction process in chlorates(VII). Analysis of the standard entropy values confirm changes in the dynamics of the electrode process.
1. Introduction
Indium, a heavy-metal element, is used, e.g., in the thin-film coatings of the liquid crystal display screens (LCDs), in CD/DVD players, computers, game consoles, solar cells and electroluminescent lamps [1]. High demand for indium has prompted development of methods for its recovery in the recycling process and the search for new and effective methods of its determination. So far, several low-cost, fast, selective, sensitive and highly reproducible methods have been proposed [2,3,4,5,6,7,8,9,10,11,12,13,14,15,16] for determination of indium.
In this study, the electrochemical reduction of In(III) ions was investigated in the presence of acetazolamide, whose impact changes the kinetics of this reaction. In fact, acetazolamide is a carbonic anhydrase drug inhibitor used as a diuretic as well as for the treatment of many diseases from glaucoma to epilepsy [17,18]. In this context, the studies of the mechanism and electroreduction kinetics seem to be justified as leading to deeper explanation of the drugs’ metabolic pathway or in vivo redox processes with their participation. The study is expected to contribute to explaining the mechanism of drugs’ action and control its release in the human body. All measurements were performed in the chlorates(VII) solutions on the novel, cyclically renewable liquid silver amalgam film electrode R–AgLAFE [19]. This electrode is clean, non-toxic and makes a perfect alternative to a dropping mercury electrode (DME). Moreover, it can be refreshed cyclically before each measurement. The weak complex-forming properties of ClO4− ions, their the tendency to destruct the water structure and the fact that chlorate ions adsorb to a small extent on the mercury surface prompted the choice of chlorate(VII) solution as the basic electrolyte [20].
The experimental methods applied were DC polarography, square-wave voltammetry, cyclic voltammetry and electrochemical impedance spectroscopy.
The information on the influence of organic molecules on the mechanisms of electrode processes is vital as it permits explanation of the reaction course and proposition of its technological and pharmacological applications. Organic molecules containing nitrogen or sulfur atoms with free electron couples, that may be bonded to or poorly adsorbed to the electrode surface in a wide range of potentials, may act as catalysts of the electrode processes, generally according to the “cap-pair” rule [21]. The mechanism of reduction of metal cations in the presence of a catalytic effect under the “cap–pair” conditions includes chemical reactions (formation of unstable complexes) and heterogenic charge transfer processes of the complexes which are electrochemically active on the electrode surface [22].
As the electrodeposition of indium on cyclically renewable liquid silver amalgam film electrode R–AgLAFE is a quasi-reversible process, it is possible to observe changes in the rate of this reaction under the influence of various adsorbates (both catalysts and inhibitors).
ACT is adsorbed on a R–AgLAFE electrode and accelerates the reduction of In(III) ions in chlorates(VII) solutions. Simultaneously, it does not show electrochemical activity in the potential reduction range of the analyzed depolarizer.
Measurements were carried out on a cyclically renewable liquid silver amalgam film electrode [19] at electric potentials close to those at the border of cell membranes of living cells. Thus, the results of the study may be helpful to solve various scientific problems in biology, medicine and pharmacology in the processes taking place in the presence of acetazolamide.
Results of the studies are expected to bring a new perspective for the electrochemical determination of In(III) ions with acetazolamide because of its cleanliness, rapidity, low cost, selectivity, sensitivity and high reproducibility. “Cap-pair” effect opens an opportunity for the determination of metal ions in solutions with weak complexation properties [21].
2. Results and Discussion
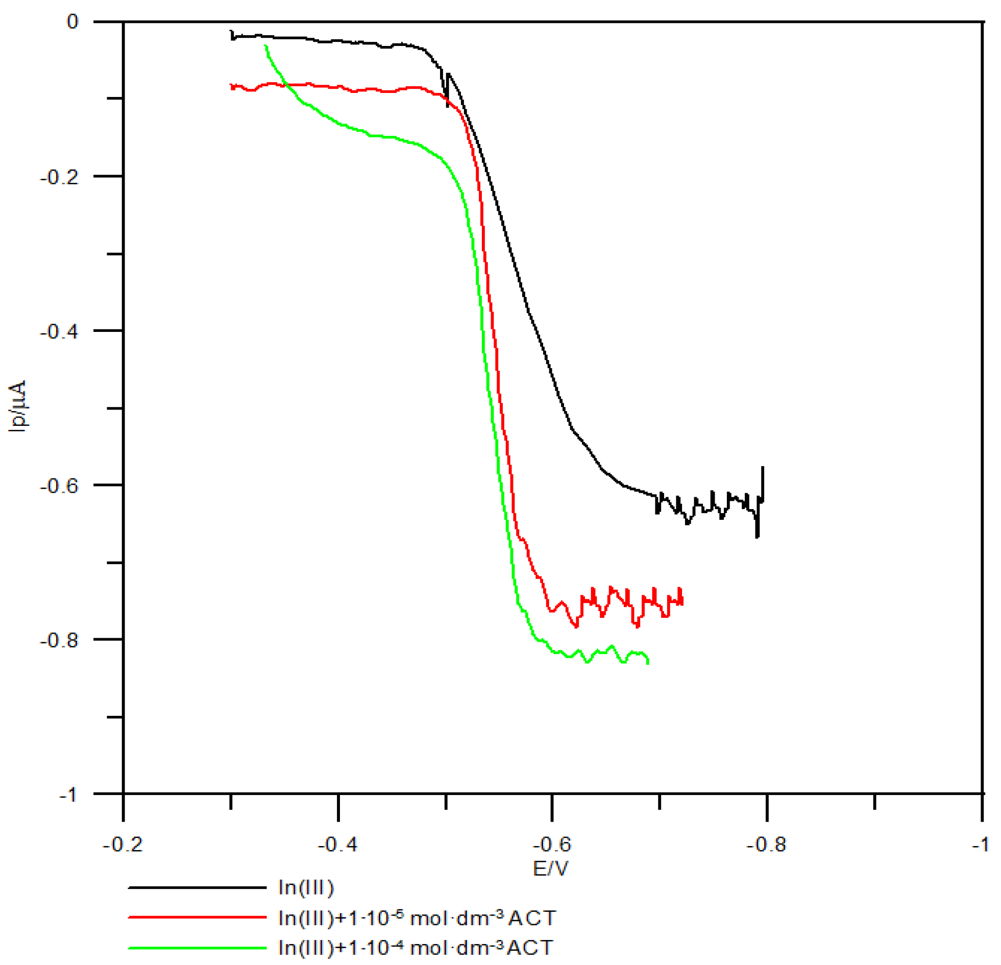
The addition of acetazolamide to the basic electrolyte solution containing 1 × 10−3 mol·dm−3 In(III) ions affects the magnitude of the limiting current (Figure 1). In contrast, a further increase in the concentration of ACT does not cause major changes in the limiting current. The slope of the polarographic wave increases, indicating a rise in the rate of the In(III) ions electroreduction process in the presence of the studied substance. However, over the concentration of 1 × 10−4 mol·dm−3 ACT, the slope of the wave decreases significantly. The electrode process becomes less reversible [22].
Figure 1.
DC voltammograms of 1 × 10−3 mol·dm−3 In(III) electroreduction in 1 the mol·dm−3 chlorates(VII) solution in the acetazolamide presence. The concentrations of acetazolamide are given on the plot.
Similar changes in the reversibility of the In(III) ions electroreduction with increasing concentration of acetazolamide are indicated by the SWV and CV voltammograms (Figure 2 and Figure 3). As shown in Figure 2, both the addition and increase in the concentration of acetazolamide in the basic electrolyte solution result in an increase in the current of SWV peaks and also a decrease in their width at mid-height. These changes prove the increase in the reversibility of the In(III) ions electroreduction process. It is also noted that above the concentration of 1 × 10−4 mol·dm−3 ACT, the SWV peak currents become smaller.
Figure 2.
SWV voltammograms of 1 × 10−3 mol·dm−3 In(III) electroreduction in 1 mol·dm−3 chlorates(VII) solution in the acetazolamide presence. The concentrations of acetazolamide are given on the plot.
Figure 3.
(a) Cyclic voltammograms of 1 × 10−3 mol·dm−3 In(III) electroreduction in the 1 mol·dm−3 chlorates(VII) solution in the acetazolamide presence. (b) Cyclic voltammograms of 1 × 10−3 mol·dm−3 In(III) electroreduction in the 1 mol·dm−3 chlorates(VII) solution in the presence of ACT without the basic electrolyte. The concentrations of acetazolamide, together with the corresponding peak potential separation values, are given on the plot. The scan rate was 50 mV s−1.
The values of ΔE (obtained from the CV curves Figure 3a,b) decrease, compared to those obtained for the basic electrolyte (1 × 10−3 mol·dm−3 In(III) in 1 mol·dm−3 chlorates(VII)). Above the ACT concentration of 1 × 10−4 mol·dm−3, a definite increase in ∆E is observed, suggesting changes in the dynamics of the kinetics of the electroreduction process towards inhibition [22].
In order to highlight the differences between the mechanisms, cyclic voltammograms were recorded for a solution containing 1 × 10−3 mol·dm−3 In(III) using different scan rates (Table 1) and the resulting curves were analyzed for the dependence of the natural logarithm of the cathodic (ln|Ipc|. Figure 4a,b) and anodic peak current as well as the potential of the cathodic peaks (Epc. Figure 4) on the natural logarithm of the scan rate v.
Table 1.
Changes in ∆E of the 1 × 10−3 mol·dm−3 In(III) ions electroreduction process and in the presence of acetazolamide in 1 mol·dm−3 of chlorates(VII) at the rate of polarization v.
Figure 4.
(a) Dependence of the cathodic peak current for the reduction of In(III) (Ip) on the square root of the scan rate (v1/2). (b) The log-log dependence of the reduction peak current and the scan rate over the interval from 5 to 1000 mVs−1. Each point is the average of three measurements.
As illustrated in Figure 4a,b and Table 2, the increase in v results in increasing cathodic and anodic peak current. The correlation coefficient of peak current and square root of the scan rate is 0.985 (it was expected about 1.0) and the slope of the plot of the logarithm of peak current versus the logarithm of scan rate (close to 0.5) takes a value of 03893, indicating that the process is predominantly diffusion-controlled [23].
Table 2.
The values of the slope of the dependencies of ln(|Ip|) vs. ln(v), where Ip—the peak current, v—the scan rate.
The shift in Epc towards more negative potentials and the increase in the peak separation (ΔE. Table 2) with the rise in v, prove that the rate-determining step in the investigated electroreduction of In(III) ions is the charge transfer across the electrode–electrolyte interface. A similar procedure was applied while recording the cyclic voltammograms in the presence of ACT (Figure 5a,b).
Figure 5.
(a) Dependence of the cathodic peak current for the reduction of In(III) + 1 × 10−4 mol·dm−3 acetazolamide (Ip) on the square root of the scan rate (v1/2). (b) The log-log dependence of the reduction peak current and the scan rate over the interval from 5 to 1000 mVs−1. Each point is the average of three measurements.
The correlation coefficient of the peak current and square root of the scan rate is 0.9980 (it was expected to be about 1.0) and the slope of the plot of the logarithm of peak current versus the logarithm of scan rate (close to 0.5) is equal to 0.412. The above relations and the constancy of the cathodic peaks potential as well as smaller changes in ΔE for all tested concentrations of ACT indicate that the process is controlled by diffusion and is affected by adsorptive processes [23].
The cathodic peaks of In(III) ions electroreduction are always smaller than the anodic ones. This indicates that the process of In(III) ions electroreduction in 1 mol·dm−3 chlorates(VII) in the presence of ACT is controlled by the kinetics of the reaction preceding the passage of electrons [22].
Slight changes in the difference between the anodic peak potential and the cathodic peak potential ΔE due to changes in the polarization rate v (especially at low electrode polarization rates Table 1) confirm the control of 1 × 10−3 mol·dm−3 In(III) ions electroreduction in the presence of ACT by the preceding reaction, which probably consists in the formation of active complexes which mediate electron-transfer. The In-ACT complexes [22] are definitely localized inside the adsorption layer (Figure 6).
Figure 6.
Scheme of In(III) ions electroreduction in chlorates(VII) including the mediating role of active complexes in the charge (electron) transfer.
As shown earlier, ACT is adsorbed on the electrode [24] and can shift the equilibrium complexation of In(III) ions favorably. It should also be noted that acetazolamide has complex-forming properties, most likely due to its structure containing free electron pairs at the sulfur and nitrogen atoms (Scheme 1).
Scheme 1.
Scheme of acetazolamide structure.
The lack of marked changes in the value of the formal potential of In(III) ions electroreduction with increasing ACT concentration in the chlorates(VII) solutions (Table 3) proves the absence of stable In–ACT complexes in the supporting electrolyte solution under study [22]. Moreover, the obtained changes in also testify to the low stability of the complexes.
Table 3.
Values of formal electroreduction potentials ( ) of 1 × 10−3 mol·dm−3 In(III) ions in the 1 mol·dm−3 chlorates(VII) and the presence of acetazolamide.
It should be emphasized, however, that the catalytic effect of ACT must be related to its ability to remove molecules of coordinated water from the inner hydration shell by establishing a bond to the indium central ion [22].
It is also important to note the different character of the dependence (Figure 7) above ACT concentration of 1 × 10−4 mol·dm−3, which may suggest changes in the electrode mechanism [24].
Figure 7.
Dependence of the rate constants of 1 mol·dm−3 In(III) ions electroreduction in the 1 mol·dm−3 chlorates(VII) in the presence of acetazolamide on the electrode potential. The concentrations of acetazolamide are given on the plot.
A similar effect was observed for In(III) in the presence of higher concentrations of thiourea and its selected derivatives [25] and for Bi(III) in the presence of amino acids [26] or for Zn(II) in the presence anionic surfactant sodium 1-decanesulfonate [27].
The acceleration effect of the In(III) ions electroreduction by acetazolamide (as theoretically inferred) is due to the lowering of the activation barrier. It is caused by a more efficient interpenetration of the orbital of In–acetazolamide complexes compared to the In(III) ions [28,29]. The acceptor orbital of the In(III) aqua complex is probably significantly shifted toward the central atom. Thus, it can be assumed that the formation of the “surface” complex changes the structure of the acceptor orbital, facilitating the passage of electrons in the electroreduction process [28,29,30].
Moreover, the effect of the catalyst on the passage of the first electron is usually much greater than on the passage of the successive ones. This provides the evidence that the In(III) ions complexes with the accelerating substance are already formed before the passage of the first electron, which is the slowest stage and determines the speed of the entire process [22].
According to literature data, in the acidic non-complexing electrolyte solutions, the ion has a very small rate of hydration loss. Consequently, the total electrode process consists also of chemical steps leading to labilization of hydration envelope [28,29]. Based on the studies carried out by Nazmutdinov and coworkers, it can be concluded that in such solutions, the In(III) ions electroreduction follows the equation [29]:
By analogy with the mechanism proposed by Nazmutdinov, the mechanism of the chemical stage of the above mentioned reaction of the active complexes formation on the surface of the electrode facilitates the reaction of In(III) ions electroreduction. The chemical stage is probably related to the partial loss of the hydration envelope by In(III) ions which, locating close to OHP, change their electrostatic potential.
The effect of temperature on the rate of the studied electroreduction processes was also demonstrated. The determined values of the activation energy [30,31] confirmed the catalytic activity of ACT on the In(III) ions electroreduction process in chlorates(VII). It should be pointed out that above the ACT concentration of 1 × 10−4 mol × dm−3, the values of the activation energy increase, which confirms a change in the dynamics of acceleration of the electroreduction process towards inhibition (Table 4).
Table 4.
The values of standard activation energy (Δ𝐻#) and standard reaction entropy (Δ𝑆0) for the In(III) ions electroreduction in the 1 mol·dm−3 chlorates(VII) and in the presence of 1 × 10−3 mol·dm−3 acetazolamide.
The changes in the standard entropy value of the In(III) ions electroreduction process in the presence of acetazolamide in the 1 mol·dm−3 chlorates(VII) (Table 4) also suggest those in the dynamics of the electrode process. The significant changes in above the concentration of 1 × 10−4 mol·dm−3 ACT may indicate changes in the electrode mechanism, as mentioned previously [30].
Changes in the mechanism are usually related to changes in the kinetics of the electrode process. A significantly higher concentration of ACT can affect the reorganization of the adsorbed molecules on the electrode—for example, from a flat arrangement to a more vertical one, or vice versa—which can be associated with the impeded access of the depolarizer to the electrode surface. However, it should be noted that adsorption of the catalyst—as a necessary condition for accelerating the process of In(III) ions electroreduction—does not determine the magnitude of the catalytic effect. Based on the parameters of cyclic voltammetry curves, the values of transition coefficients α and the standard rate constants of In(III) ions electroreduction and in the presence of acetazolamide were determined. The calculated kinetic parameters indicated the catalytic effect of acetazolamide and its magnitude (Table 5).
Table 5.
The values of cathodic transition coefficients (α), standard rate constants determined by the voltammetry () and impedance () methods of 1 × 10−3 mol·dm−3 In(III) ions electroreduction in 1 mol·dm−3 chlorates(VII) and in the presence of acetazolamide.
The increase in the value of the transition coefficients (Table 5) after introducing acetazolamide into the electrolyte solution indicates an increase in the reversibility of the In(III) ions electroreduction process. Above the concentration of 1 × 10−4 mol·dm−3 ACT, the α values decrease slightly, indicating changes in the reversibility of the electrode process toward inhibition. This translates also into an increase in the standard rate constants (Table 5) which confirms the influence of ACT on the kinetics of the In(III) ions electroreduction process.
3. Materials and Methods
3.1. Chemicals
The solutions used in the studies of the following reagents of analytical grade— NaClO4 and HClO4 and acetazolamide (Sigma-Aldrich, Missouri, USA) in redistilled water—were purified with the Millipore Milli-Q system. The supporting electrolyte was made dissolving In(NO3)3 in HClO4. The resulting solution was quantitatively transferred to a flask which was filled up to the mark with the solution of 1 mol·dm−3 NaClO4. The concentration of In(III) ions in the studied solution was always the same and was 1 × 10−3 mol·dm−3. During the experiments, acetazolamide solutions were used in a range of concentrations from 5 × 10−5 to 1 × 10−3 mol·dm−3. All solutions were freshly prepared just before the measurements and deaerated using the purge of nitrogen which was passed over the solution during the measurements.
3.2. Apparatus
The experiments were performed in a thermostated vessel using the electrochemical analyzer μAutolab Fra 2/GPES (Eco Chemie, Utrecht, The Netherlands) frequency response analyzer (Figure 8). To determine the thermodynamic parameters, measurements were made at the following temperatures: 288, 293, 298 and 303 ± 0.1 K.
Figure 8.
Potentiostat/galvanostat—μAutolab GpES.
A three-electrode system was placed in the tripod and the arrangement of the electrodes was as follows:
- -
- The Ag/AgCl/3M KCl electrode as a reference;
- -
- A platinum wire as an auxiliary electrode;
- -
- A cyclically renewable liquid silver amalgam film electrode (R–AgLAFE) with the surface area of 17.25 mm2 as the working electrode (Figure 9).
Figure 9. Three-electrode voltammetric cell on the automatic stand with the centrally fixed working electrode (R–AgLAFE).
The construction of the cyclic renewable liquid silver amalgam film R-AgLAFE electrode [19] permits a smooth, precise change in the contact surface of the working electrode with the tested environment, automatic regeneration of the layer of liquid silver amalgam without contact with atmospheric air and control of the time of movement of the working electrode from the sensor housing the tested solution, with the preservation of its properties acquired during regeneration. In addition, the method of applying and homogenizing the layer of liquid amalgam and moving the working electrode between the solution and the amalgamation chamber by means of a linear pneumatic actuator ensures cyclic reproducibility and reproducibility of the surface, excellent homogeneity and uniformity of the film and constancy of the applied film layer density.
Owing to all the above properties, the proposed electrode makes an alternative to the mercury drop electrode as it guarantees similar quality and performance parameters as those of HMDE. It also fits in with the theme of green chemistry as it permits a significant reduction in the use of toxic mercury during the manufacture of the amalgam film. Moreover, and most importantly, it provides the opportunity to study electrode processes under the “cap-pair” conditions [21].
3.3. Measurement Procedures
Kinetics and Thermodynamic Procedure
The study of the kinetics and mechanism of the electrode process entailed the necessity of determining the kinetic and thermodynamic parameters.
The values of diffusion coefficients (Dox) necessary for the calculation of kinetic parameters of the In(III) ions electroreduction in the studied solutions were determined based on the Ilkovič equation for the boundary current controlled by diffusion [32].
In practice, the diffusion coefficient is determined in a simpler way using the comparative method. Finally, the following formula is used to calculate Dox [32]:
The details are described elsewhere [32].
The values of formal potential (), transfer coefficient () and standard rate constants () were determined as in [30].
The activation polarization resistances () were determined using the electrochemical impedance spectroscopy for and from the dependence or [31] where is the real part and is the imaginary part of the cell impedance.
In order to quantitatively interpret the experimental results obtained, the impedance of the system under study was described using the corresponding equivalent circuit proposed by Randles (Scheme 2) [33].
Scheme 2.
Randles’ electric al equivalent circuit diagram [33]. —reference electrode; —working electrode; —resistance of electrolyte, electrode and bonds; —differential capacity of the double layer; —activation resistance; —Wartburg impedance; —Wartburg resistance; —Wartburg capacity.
From the charge transfer resistance values [30] as a function of DC potential, the values of the apparent rate constant (kf) of the In (III) electroreduction in the studied systems were obtained:
The details are described elsewhere [30].
The enthalpies of activation for the In(III) electroreduction in the studied systems were determined according to equation [30]:
whereas the standard reaction entropy [30]:
3.4. Experimental Operating Conditions
In the voltammetric or polarographic measurements, the optimal experimental operating conditions were as follows: the scan rate 2 mV s−1 for DC; the scan rate 5–1000 mV s−1 for the cyclic voltammetry; the step potential 2 mV; the pulse amplitude 20 mV; the frequency 120 Hz for the square wave voltammetry. No fewer than three scans were performed for each measurement. The range of the tested potentials was constantly changed to study the variety of processes that can occur. The impedance experiments were performed in the frequency range from 50 to 50,000 Hz with the sinusoidal signal of 10 mV amplitude at the open circuit potential (OCP).
4. Conclusions
The catalytic ability of acetazolamide can be explained by the formation of the above-mentioned active complexes on the electrode surface between the ACT molecules adsorbed on it and the indium aqua complex (“cap-pair” effect). The electrode surface is the optimal area for the formation of such unstable and charge exchange-mediated complexes as a significant local ACT concentration is a result of adsorption of ACT on the R–AgLAFE electrode.
These complexes are the substrate in the electroreduction process. The stages of dehydration and formation of active complexes are much faster than the stages of electron transition, which makes it impossible to detect these chemical steps. A probable consequence of increasing ATC concentration (above 1 × 10−4 mol·dm−3) is a change in the arrangement of the molecules absorbed on the electrode. As a result, the access of depolarizer to the electrode surface is difficult and the electrode process is inhibited by ACT (with increasing ACT concentration, a decrease in the SWV peak currents and an increase in the distance between the anode and cathode peaks on the CV voltammograms are observed). It was shown that the magnitude of the catalytic effect is mainly related to the equilibrium reaction of the formation of In–ACT active complexes before the passage of subsequent electrons.
Author Contributions
Conceptualization, A.N.-W. and M.M.; methodology, A.P.; software, M.M.; validation, S.Y.K., S.Y. and M.M.; formal analysis, R.P.; investigation, M.M.; resources, A.B.-W.; data curation, A.N.-W.; writing—original draft preparation, A.N.-W.; writing—review and editing, A.N.-W.; visualization, A.S.; supervision, R.P.; project administration, S.Y. All authors have read and agreed to the published version of the manuscript.
Funding
This research received no external funding.
Institutional Review Board Statement
Not applicable.
Informed Consent Statement
Not applicable.
Data Availability Statement
https://www.mdpi.com/ethics, (accessed on 24 February 2023).
Conflicts of Interest
The authors declare no conflict of interest. All authors have read and agreed to the published version of the manuscript.
References
- Grabarczyk, M.; Adamczyk, M. Simple, Responsive and Cost Effective Simultaneous Quantification of Ga(III) and In(III) in Environmental Water Samples. Int. Agrophys. 2019, 33, 161–166. [Google Scholar] [CrossRef]
- Prat, M.D.; Compano, R.; Granados, M.; Miralles, E. Liquid Chromatographic Determination of Gallium and indium with Fluorimetric Detection. J. Chromotogr. A 1996, 746, 239–245. [Google Scholar] [CrossRef]
- Uehara, N.; Jinno, K.; Hashimoto, M.; Shijo, Y. Selective Fluorometric Determination of Indium(III) by High-Performance Liquid Chromatography with 2-Methyl-8-Quinolinol Based on Aa Ligand-Exchange Reaction of Silanol Groups. J. Chromatogr. A 1997, 789, 395–401. [Google Scholar] [CrossRef]
- Kim, S.K.; Kim, S.H.; Kim, H.J.; Lee, S.H.; Lee, S.W.; Ko, J.; Bartsch, R.A.; Kim, J.S. Indium(III)-Induced Fluorescent Excimer Formation and Extinction in Calixarene−Fluor ionophores. Inorg. Chem. 2005, 44, 7866–7875. [Google Scholar] [CrossRef]
- Wu, Y.C.; Li, H.J.; Yang, H.Z. A Sensitive and Highly Selective Fluorescent Sensor for In3+. Org. Biomol. Chem. 2010, 8, 3394–3397. [Google Scholar] [CrossRef]
- Cho, H.; Chae, J.B.; Kim, C. A Thiophene-Based Blue-Fluorescent Emitting Chemosensor for Detecting Indium (III) İon Author Links Open Overlay Panel. Inorg. Chem. Commun. 2018, 97, 171–175. [Google Scholar] [CrossRef]
- Kim, A.; Kang, J.H.; Jang, H.J.; Kim, C. Fluorescent Detection of Zn(II) and In(III) and Colorimetric Detection of Cu(II) and Co(II) by a Versatile Chemosensor. J. Ind. Eng. Chem. 2018, 65, 290–299. [Google Scholar] [CrossRef]
- Lee, S.C.; Kim, C. A Thiourea-Naphthol Based Turn-On Fluorescent Sensor for Detecting In3+ and Its Application. Inorg. Chem. Commun. 2020, 112, 107752. [Google Scholar] [CrossRef]
- Lee, M.; Lee, J.; Cheal, K. Sensitive Fluorescent Determination of İndium (III) by a Thiourea–Quinoline-Based. Instrum. Sci. Technol. 2022, 50, 481–495. [Google Scholar] [CrossRef]
- Hayashibe, Y.; Kurosaki, M.; Takekawa, F.; Kuroda, R. Determination of Traces of Gallium and İndium in Ores by Electrothermal-Atomization Atomic Absorption Spectrometry with Matrix Modification. Microchim. Acta 1989, 98, 163–171. [Google Scholar] [CrossRef]
- Orians, K.J.; Boyle, E.A. Determination of Picomolar Concentrations of Titanium. Gallium and Indium in Sea Water by İnductively Coupled Plasma Mass Spectrometry Following an 8-Hydroxyquinoline Chelating Resin Preconcentration. Anal. Chim. Acta 1993, 282, 63–74. [Google Scholar] [CrossRef]
- Tuzen, M.; Soylak, M. A Solid Phase Extraction Procedure for İndium Prior to Its Graphite Furnace Atomic Absorption Spectrometric Determination. J. Hazard. Mater. 2006, 129, 179–185. [Google Scholar] [CrossRef]
- Połedniok, J. A Sensitive Spectrophotometric Method for Determination of Trace Quantities of Indium in Soil. Wat. Air Soil Poll. 2007, 186, 242–349. [Google Scholar] [CrossRef]
- Arslan, Y.; Kendüzler, E.; Ataman, O.Y. Indium Determination Using Slotted Quartz Tube-Atom Trap-Flame Atomic Absorption Spectrometry and Interference Studies. Talanta 2011, 85, 1786–1791. [Google Scholar] [CrossRef]
- Sereshti, H.; Entezari Heravi, Y.; Samadi, S. Optimized Ultrasound-Assisted emulsification Microextraction for Simultaneous Trace Multielement determination of Heavy Metals in Real Water Samples by ICP-OES. Talanta 2012, 97, 235–241. [Google Scholar] [CrossRef]
- Uhrovčík, J.; Lesný, J. Determination of Indium in Liquid Crystal Displays by Flame Atomic Absorption Spectrometry. J. Ind. Eng. Chem. 2015, 21, 163–165. [Google Scholar] [CrossRef]
- Olıveır, L.C.; Sılva, I.S.; Pereıra, E.; Santana, E.S.; Iwaki, L.E.O.; Lopes, J.M.G.; Olıveıra, G.C. Validation Analysis Methodology to Determine the Cadmium. Indium and Impurities Concentration in Nuclear Grade Silver-indium-cadmium Alloys. Braz. J. Rad. Sci. 2022, 10, 1–13. [Google Scholar]
- Florence, T.M.; Batley, G.E.; Farrar, Y.J. The Determination of Indium by Anodic Stripping Voltammetry Application to Natural Waters. Electroanal. Chem. 1974, 56, 301–309. [Google Scholar] [CrossRef]
- Nosal-Wiercińska, A.; Martyna, M.; Grochowski, M.; Baś, B. First Electrochemical Studies on “CAP—PAIR” Effect for BI(III) Ion Electroreduction in the Presence of 2-Thiocytosine on Novel Cyclically Renewable Liquid Silver Amalgam Film Electrode (R-AgLAFE). J. Electrochem. Soc. 2021, 168, 066504. [Google Scholar] [CrossRef]
- Nosal-Wiercińska, A. The kinetics and mechanism of the electroreduction of Bi(III) ions from chlorates (VII) with varied water activity. Electrochim. Acta 2010, 55, 5917–5921. [Google Scholar] [CrossRef]
- Sykut, K.; Dalmata, G.; Marczewska, B.; Saba, J. Cognitive aspects of the cap-pair effect. Pol. J. Chem. 2004, 78, 1583–1596. [Google Scholar]
- Nosal–Wiercińska, A. Intermolecular Interactions in Systems Containing Bi(III)–ClO4−–H2O–Selected Amino Acids in the Aspect of Catalysis of Bi(III) Electroreduction. Electroanalysis 2014, 26, 1013–1023. [Google Scholar] [CrossRef]
- Engin, C.; Yilmaz, S.; Saglikoglu, G.; Yagmur, S.; Sadikoglu, M. Electroanalytical investigation of paracetamol on glassy carbon electrode by voltammetry. Int. J. Electrochem. Sci. 2015, 10, 1916–1925. [Google Scholar]
- Martyna, M.; Pawlak, A.; Bazan-Woźniak, A.; Nosal-Wiercińska, A.; Pietrzak, R. The impact of acetazolamide-the ionic surfactant on the double layer parameters at the R-AgLAFe/chlorates (VII) interface. Adsorption 2023. [Google Scholar] [CrossRef]
- Nosal-Wiercińska, A. Catalytic activity of thiourea and its selected derivatives on electroreduction of In(III) in chlorates (VII). Cent. Eur. J. Chem. 2010, 8, 1–11. [Google Scholar] [CrossRef]
- Nosal-Wiercińska, A.; Martyna, M.; Wiśniewska, M. Influence of mixed 2-thiocytosine–ionic surfactants adsorption layers on kinetics and mechanism of Bi (III) ions electro reduction: Use of the nanostructured R-AgLAFE. Appl. Nanosci. 2022, 1–9. [Google Scholar] [CrossRef]
- Nieszporek, J.; Nieszporek, K. Experimental and theoretical studies of anionic surfactants activity at metal/solution interface: The influence of temperature and hydrocarbon chain length of surfactants on the zinc ions electroreduction rate. Bull. Chem. Soc. Jpn. 2018, 91, 201–210. [Google Scholar] [CrossRef]
- Nazmutdinov, R.R.; Schmickler, W.; Kuznetsov, A.M. Microscopic modelling of the reduction of a Zn (II) aqua-complex on metal electrodes. Chem. Phys. 2005, 310, 257–268. [Google Scholar] [CrossRef]
- Nazmutdinov, R.R.; Zinkicheva, T.T.; Tsirlina, G.A.; Kuz’minova Z., V. Why does the hydrolysis of In (III) aqua complexes make them electrochemically more active? Electrochim. Acta 2005, 50, 4888–4896. [Google Scholar] [CrossRef]
- López-Pérez, G.; Andreu, A.; González-Arjona, D.; Calvente, J.J.; Molero, M. Influence of temperature on the reduction kinetics of Zn2+ at a mercury electrode. J. Electroanal. Chem. 2003, 552, 247. [Google Scholar] [CrossRef]
- Nosal-Wiercińska, A. Electrochemical and thermodynamic study of the electroreduction of Bi(III) ions in the presence of cysteine in solutions of different water activity. J. Electroanal. Chem. 2012, 681, 103–108. [Google Scholar] [CrossRef]
- Bishop, E.; Galus, Z. Conditional Diffusion Coefficients of Ions and Molecules in Solution an Appraisal of the Conditions and Methods of Measurement. Pure Appl. Chem. 1979, 51, 1575–1582. [Google Scholar]
- Lasia, A. Electrochemical Impedance Spectroscopy and Its Application. Modern Aspects of Electrochemistry; Kluwer Academic/Plenum Publishers: New York, NY, USA, 1999. [Google Scholar]
Disclaimer/Publisher’s Note: The statements, opinions and data contained in all publications are solely those of the individual author(s) and contributor(s) and not of MDPI and/or the editor(s). MDPI and/or the editor(s) disclaim responsibility for any injury to people or property resulting from any ideas, methods, instructions or products referred to in the content. |
© 2023 by the authors. Licensee MDPI, Basel, Switzerland. This article is an open access article distributed under the terms and conditions of the Creative Commons Attribution (CC BY) license (https://creativecommons.org/licenses/by/4.0/).










