Globally Accurate Gaussian Process Potential Energy Surface and Quantum Dynamics Studies on the Li(2S) + Na2 → LiNa + Na Reaction at Low Collision Energies
Abstract
1. Introduction
2. Ground-State LiNa2 PES
2.1. Ab Initio Calculations
2.2. Actively Selecting Configurations and Fitting of PES
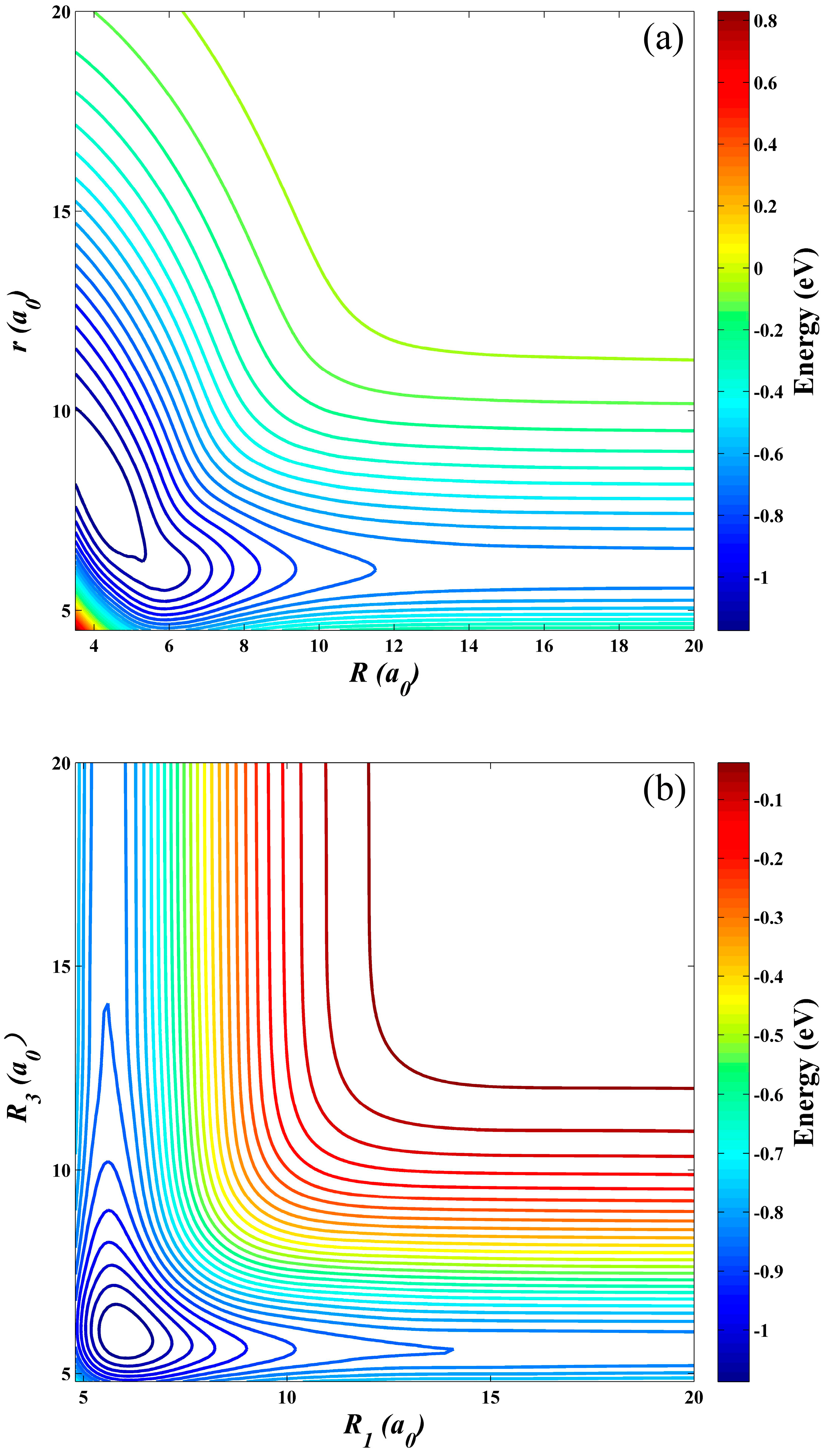
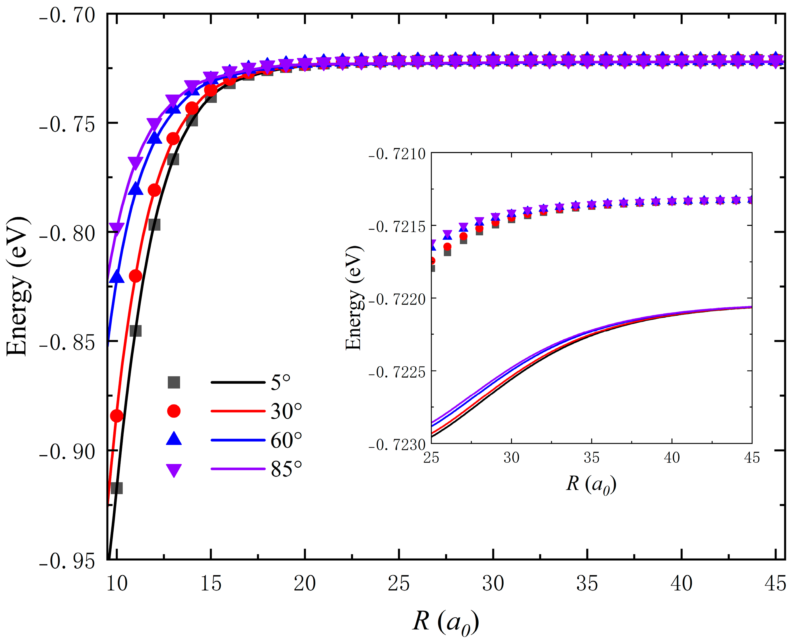
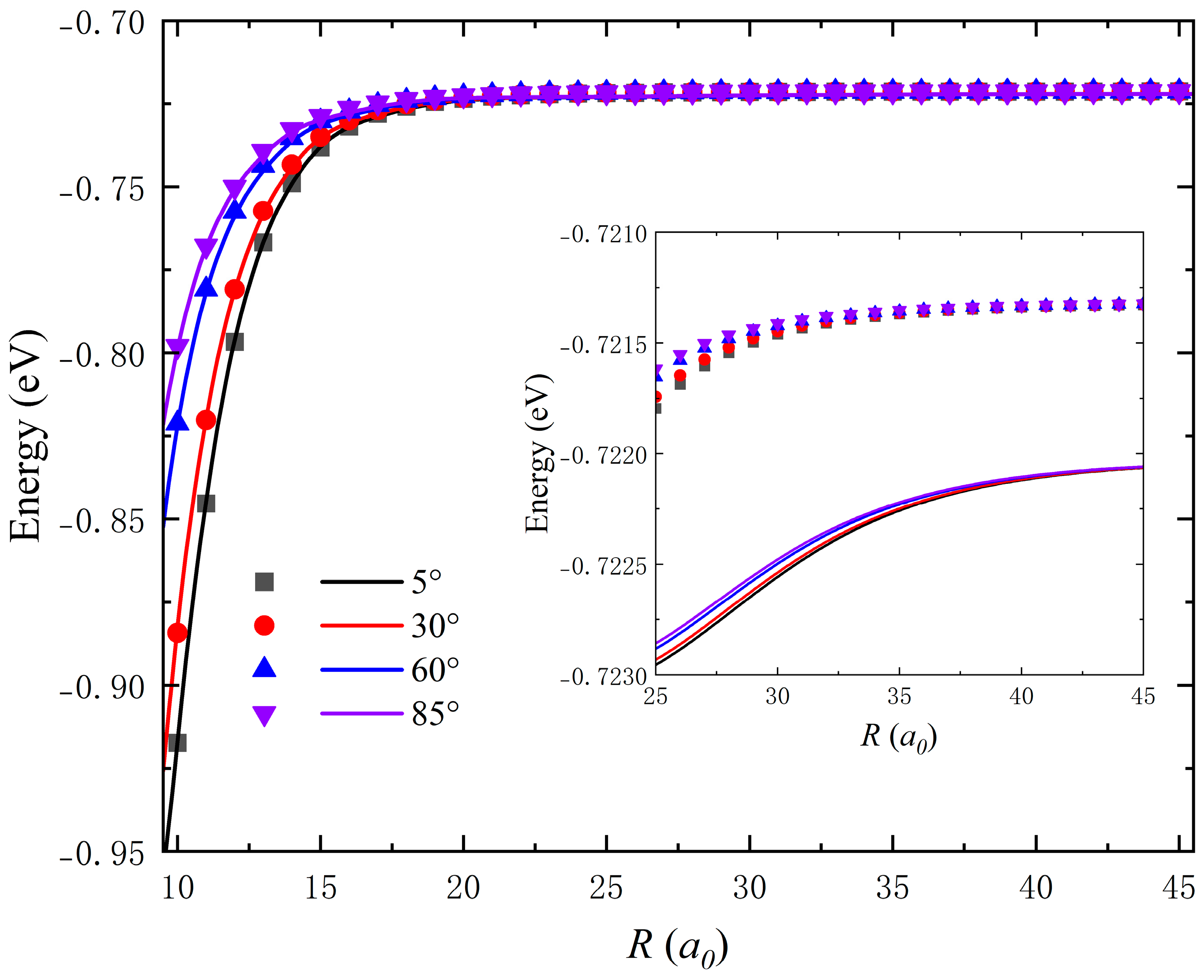
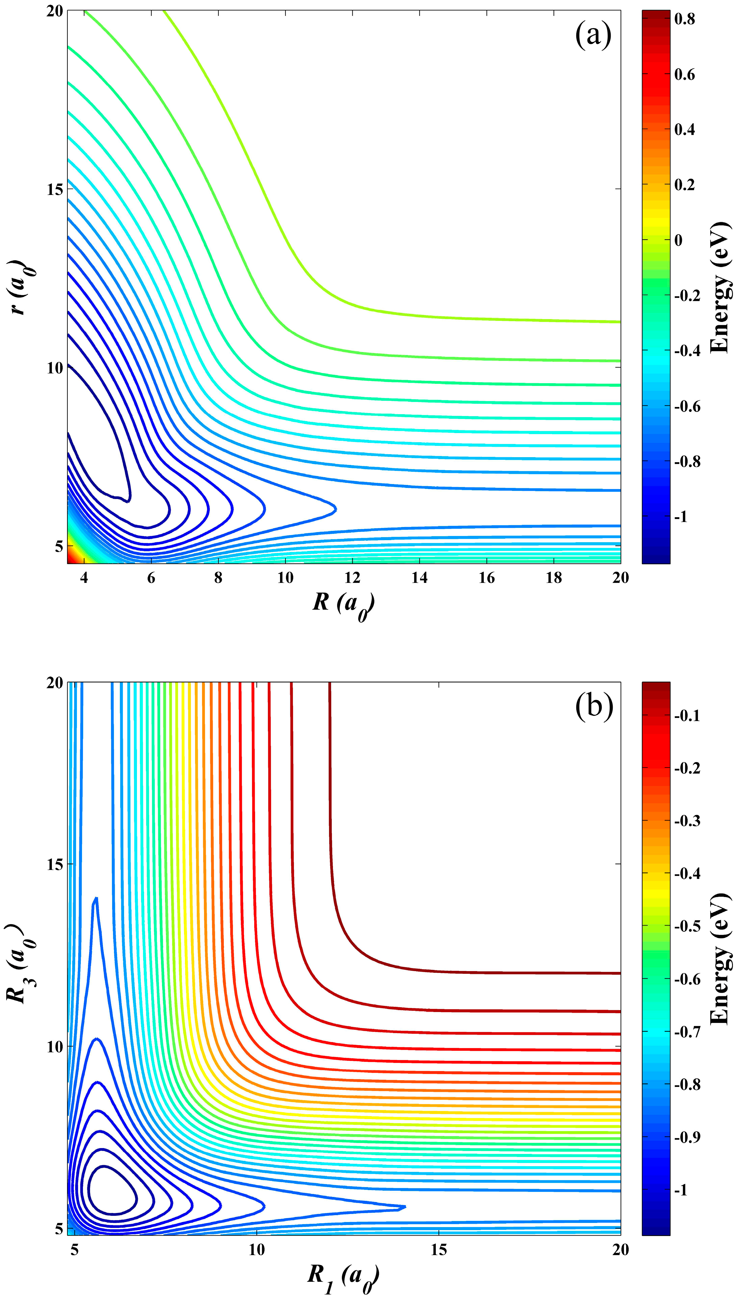
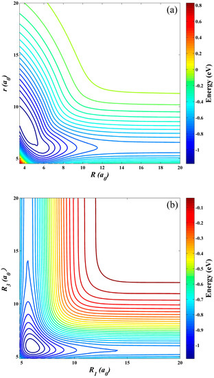
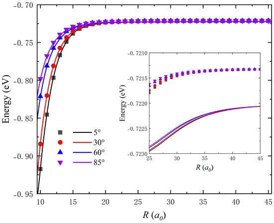
2.3. Topographic Features of PES
3. Quantum Dynamics Calculations
4. Conclusions
Author Contributions
Funding
Institutional Review Board Statement
Informed Consent Statement
Data Availability Statement
Conflicts of Interest
References
- Baranov, M.A.; Dalmonte, M.; Pupillo, G.; Zoller, P. Condensed Matter Theory of Dipolar Quantum Gases. Chem. Rev. 2012, 112, 5012–5061. [Google Scholar] [CrossRef] [PubMed]
- Bohn, J.L.; Rey, A.M.; Ye, J. Cold molecules: Progress in quantum engineering of chemistry and quantum matter. Science 2017, 357, 1002–1010. [Google Scholar] [CrossRef]
- Chomaz, L.; Ferrier-Barbut, I.; Ferlaino, F.; Laburthe-Tolra, B.; Lev, B.L.; Pfau, T. Dipolar physics: A review of experiments with magnetic quantum gases. Rep. Prog. Phys. 2023, 86, 026401. [Google Scholar] [CrossRef] [PubMed]
- Heazlewood, B.R.; Softley, T.P. Towards chemistry at absolute zero. Nat. Rev. Chem. 2021, 5, 125–140. [Google Scholar] [CrossRef]
- Ospelkaus, S.; Pe’er, A.; Ni, K.K.; Zirbel, J.J.; Neyenhuis, B.; Kotochigova, S.; Julienne, P.S.; Ye, J.; Jin, D.S. Efficient state transfer in an ultracold dense gas of heteronuclear molecules. Nat. Phys. 2008, 4, 622–626. [Google Scholar] [CrossRef]
- Schreck, F.; van Druten, K. Laser cooling for quantum gases. Nat. Phys. 2021, 17, 1296–1304. [Google Scholar] [CrossRef]
- Son, H.; Park, J.J.; Ketterle, W.; Jamison, A.O. Collisional cooling of ultracold molecules. Nature 2020, 580, 197–200. [Google Scholar] [CrossRef]
- Stuhl, B.K.; Hummon, M.T.; Yeo, M.; Quemener, G.; Bohn, J.L.; Ye, J. Evaporative cooling of the dipolar hydroxyl radical. Nature 2012, 492, 396–400. [Google Scholar] [CrossRef]
- Su, Z.; Yang, H.; Cao, J.; Wang, X.Y.; Rui, J.; Zhao, B.; Pan, J.W. Resonant Control of Elastic Collisions between 23Na40K Molecules and 40K Atoms. Phys. Rev. Lett. 2022, 129, 033401. [Google Scholar] [CrossRef]
- Yan, B.; Moses, S.A.; Gadway, B.; Covey, J.P.; Hazzard, K.R.A.; Rey, A.M.; Jin, D.S.; Ye, J. Observation of dipolar spin-exchange interactions with lattice-confined polar molecules. Nature 2013, 501, 521–525. [Google Scholar] [CrossRef]
- Yang, H.; Cao, J.; Su, Z.; Rui, J.; Zhao, B.; Pan, J.W. Creation of an ultracold gas of triatomic molecules from an atom-diatomic molecule mixture. Science 2022, 378, 1009–1012. [Google Scholar] [CrossRef] [PubMed]
- Zhao, B.; Pan, J.W. Quantum control of reactions and collisions at ultralow temperatures. Chem. Soc. Rev. 2022, 51, 1685–1701. [Google Scholar] [CrossRef]
- Ospelkaus, S.; Ni, K.K.; Wang, D.; de Miranda, M.H.G.; Neyenhuis, B.; Quemener, G.; Julienne, P.S.; Bohn, J.L.; Jin, D.S.; Ye, J. Quantum-State Controlled Chemical Reactions of Ultracold Potassium-Rubidium Molecules. Science 2010, 327, 853–857. [Google Scholar] [CrossRef]
- Hu, M.G.; Liu, Y.; Grimes, D.D.; Lin, Y.W.; Gheorghe, A.H.; Vexiau, R.; Bouloufa-Maafa, N.; Dulieu, O.; Rosenband, T.; Ni, K.K. Direct observation of bimolecular reactions of ultracold KRb molecules. Science 2019, 366, 1111–1115. [Google Scholar] [CrossRef] [PubMed]
- Ye, X.; Guo, M.Y.; González-Martínez, M.L.; Queménér, G.; Wang, D.J. Collisions of ultracold 23Na87Rb molecules with controlled chemical reactivities. Sci. Adv. 2018, 4, eaaq0083. [Google Scholar] [CrossRef] [PubMed]
- Gregory, P.D.; Frye, M.D.; Blackmore, J.A.; Bridge, E.M.; Sawant, R.; Hutson, J.M.; Cornish, S.L. Sticky collisions of ultracold RbCs molecules. Nat. Commun. 2019, 10, 3104. [Google Scholar] [CrossRef]
- Takekoshi, T.; Reichsöllner, L.; Schindewolf, A.; Hutson, J.M.; Le Sueur, C.R.; Dulieu, O.; Ferlaino, F.; Grimm, R.; Nägerl, H.C. Ultracold Dense Samples of Dipolar RbCs Molecules in the Rovibrational and Hyperfine Ground State. Phys. Rev. Lett. 2014, 113, 205301. [Google Scholar] [CrossRef]
- Park, J.W.; Will, S.A.; Zwierlein, M.W. Ultracold Dipolar Gas of Fermionic 23Na40K Molecules in Their Absolute Ground State. Phys. Rev. Lett. 2015, 114, 205302. [Google Scholar] [CrossRef]
- Voges, K.K.; Gersema, P.; Borgloh, M.M.Z.; Schulze, T.A.; Hartmann, T.; Zenesini, A.; Ospelkaus, S. Ultracold Gas of Bosonic 23Na39K Ground-State Molecules. Phys. Rev. Lett. 2020, 125, 083401. [Google Scholar] [CrossRef] [PubMed]
- Rvachov, T.M.; Son, H.; Sommer, A.T.; Ebadi, S.; Park, J.J.; Zwierlein, M.W.; Ketterle, W.; Jamison, A.O. Long-Lived Ultracold Molecules with Electric and Magnetic Dipole Moments. Phys. Rev. Lett. 2017, 119, 143001. [Google Scholar] [CrossRef]
- Yang, D.Z.; Zuo, J.X.; Huang, J.; Hu, X.X.; Dawes, R.; Xie, D.Q.; Guo, H. A Global Full-Dimensional Potential Energy Surface for the K2Rb2 Complex and Its Lifetime. J. Phys. Chem. Lett. 2020, 11, 2605–2610. [Google Scholar] [CrossRef] [PubMed]
- Huang, J.; Yang, D.Z.; Zuo, J.X.; Hu, X.X.; Xie, D.Q.; Guo, H. Full-Dimensional Global Potential Energy Surface for the KRb + KRb → K2Rb2* → K2 + Rb2 Reaction with Accurate Long-Range Interactions and Quantum Statistical Calculation of the Product State Distribution under Ultracold Conditions. J. Phys. Chem. A 2021, 125, 6198–6206. [Google Scholar] [CrossRef] [PubMed]
- Liu, Y.L.; Huang, J.; Yang, D.Z.; Xie, D.Q.; Guo, H. Global Full-Dimensional Potential Energy Surface for the Reaction 23Na87Rb + 23Na87Rb → 23Na2 + 87Rb2 and the Formation Rate and Lifetime of the 23Na287Rb2 Collision Complex. J. Phys. Chem. A 2022, 126, 9008–9021. [Google Scholar] [CrossRef] [PubMed]
- Christianen, A.; Karman, T.; Vargas-Hernandez, R.A.; Groenenboom, G.C.; Krems, R.V. Six-dimensional potential energy surface for NaK-NaK collisions: Gaussian process representation with correct asymptotic form. J. Chem. Phys. 2019, 150, 064106. [Google Scholar] [CrossRef]
- Nichols, M.A.; Liu, Y.X.; Zhu, L.B.; Hu, M.G.; Liu, Y.; Ni, K.K. Detection of Long-Lived Complexes in Ultracold Atom-Molecule Collisions. Phys. Rev. X 2022, 12, 011049. [Google Scholar] [CrossRef]
- Kendrick, B.K.; Li, H.; Li, M.; Kotochigova, S.; Croft, J.F.E.; Balakrishnan, N. Non-adiabatic quantum interference in the ultracold Li + LiNa → Li2 + Na reaction. Phys. Chem. Chem. Phys. 2021, 23, 5096–5112. [Google Scholar] [CrossRef]
- Kendrick, B.K. Non-adiabatic quantum reactive scattering in hyperspherical coordinates. J. Chem. Phys. 2018, 148, 044116. [Google Scholar] [CrossRef]
- Huang, J.Y.; Liu, S.; Zhang, D.H.; Krems, R.V. Time-Dependent Wave Packet Dynamics Calculations of Cross Sections for Ultracold Scattering of Molecules. Phys. Rev. Lett. 2018, 120, 143401. [Google Scholar] [CrossRef]
- Buren, B.; Chen, M.D.; Sun, Z.G.; Guo, H. Quantum Wave Packet Treatment of Cold Nonadiabatic Reactive Scattering at the State-to-State Level. J. Phys. Chem. A 2021, 125, 10111–10120. [Google Scholar] [CrossRef]
- Buren, B.; Chen, M.D. Wave Packet Approach to Adiabatic and Nonadiabatic Dynamics of Cold Inelastic Scatterings. Molecules 2022, 27, 2912. [Google Scholar] [CrossRef]
- Son, H.; Park, J.J.; Lu, Y.K.; Jamison, A.O.; Karman, T.; Ketterle, W. Control of reactive collisions by quantum interference. Science 2022, 375, 1006–1115. [Google Scholar] [CrossRef]
- Werner, H.J.; Knowles, P.J.; Knizia, G.; Manby, F.R.; Schutz, M. Molpro: A general-purpose quantum chemistry program package. Wiley Interdiscip. Rev. Comput. Mol. Sci. 2012, 2, 242–253. [Google Scholar] [CrossRef]
- Knowles, P.J.; Werner, H.J. An efficient second-order MC SCF method for long configuration expansions. Chem. Phys. Lett. 1985, 115, 259–267. [Google Scholar] [CrossRef]
- Werner, H.J.; Knowles, P.J. A second order multiconfiguration SCF procedure with optimum convergence. J. Chem. Phys. 1985, 82, 5053–5063. [Google Scholar] [CrossRef]
- Knowles, P.J.; Werner, H.J. An Efficient Method for the Evaluation of Coupling-Coefficients in Configuration-Interaction Calculations. Chem. Phys. Lett. 1988, 145, 514–522. [Google Scholar] [CrossRef]
- Werner, H.J.; Knowles, P.J. An Efficient Internally Contracted Multiconfiguration Reference Configuration-Interaction Method. J. Chem. Phys. 1988, 89, 5803–5814. [Google Scholar] [CrossRef]
- Woon, D.E.; Dunning, T.H. Gaussian basis sets for use in correlated molecular calculations. Ⅴ. Core-valence basis sets for boron through neon. J. Chem. Phys. 1995, 103, 4572–4585. [Google Scholar] [CrossRef]
- Leininger, T.; Nicklass, A.; Küchle, W.; Stoll, H.; Dolg, M.; Bergner, A. The accuracy of the pseudopotential approximation: Non-frozen-core effects for spectroscopic constants of alkali fluorides XF (X = K, Rb, Ca). Chem. Phys. Lett. 1996, 255, 274–280. [Google Scholar] [CrossRef]
- Jiang, B.; Guo, H. Permutation invariant polynomial neural network approach to fitting potential energy surfaces. J. Chem. Phys. 2013, 139, 054112. [Google Scholar] [CrossRef]
- Behler, J. Constructing high-dimensional neural network potentials: A tutorial review. Int. J. Quantum. Chem. 2015, 115, 1032–1050. [Google Scholar] [CrossRef]
- Jiang, B.; Li, J.; Guo, H. High-Fidelity Potential Energy Surfaces for Gas-Phase and Gas- Surface Scattering Processes from Machine Learning. J. Phys. Chem. Lett. 2020, 11, 5120–5131. [Google Scholar] [CrossRef]
- Lin, Q.D.; Zhang, L.; Zhang, Y.L.; Jiang, B. Searching Configurations in Uncertainty Space: Active Learning of High-Dimensional Neural Network Reactive Potentials. J. Chem. Theory Comput. 2021, 17, 2691–2701. [Google Scholar] [CrossRef]
- Jiang, B.; Li, J.; Guo, H. Potential energy surfaces from high fidelity fitting of ab initio points: The permutation invariant polynomial—Neural network approach. Int. Rev. Phys. Chem. 2016, 35, 479–506. [Google Scholar] [CrossRef]
- Manzhos, S.; Carrington, T. Neural Network Potential Energy Surfaces for Small Molecules and Reactions. Chem. Rev. 2021, 121, 10187–10217. [Google Scholar] [CrossRef]
- Xie, Y.R.; Zhao, H.L.; Wang, Y.F.; Huang, Y.; Wang, T.; Xu, X.; Xiao, C.L.; Sun, Z.G.; Zhang, D.H.; Yang, X.M. Quantum interference in H + HD → H2 + D between direct abstraction and roaming insertion pathways. Science 2020, 368, 767–771. [Google Scholar] [CrossRef] [PubMed]
- Yang, Z.J.; Yuan, J.C.; Wang, S.F.; Chen, M.D. Global diabatic potential energy surfaces for the BeH2+ system and dynamics studies on the Be+(2P) + H2(X1 Σ+g) → BeH+(X1 Σ+) + H(2S) reaction. RSC Adv. 2018, 8, 22823–22834. [Google Scholar] [CrossRef] [PubMed]
- Lin, Q.D.; Zhang, Y.L.; Zhao, B.; Jiang, B. Automatically growing global reactive neural network potential energy surfaces: A trajectory-free active learning strategy. J. Chem. Phys. 2020, 152, 154104. [Google Scholar] [CrossRef] [PubMed]
- Yang, Z.J.; Wang, S.F.; Yuan, J.C.; Chen, M.D. Neural network potential energy surface and dynamical isotope effects for the N+(3p) + H2 → NH+ + H reaction. Phys. Chem. Chem. Phys. 2019, 21, 22203–22214. [Google Scholar] [CrossRef]
- Yin, Z.X.; Braams, B.J.; Guan, Y.F.; Fu, B.N.; Zhang, D.H. A fundamental invariant-neural network representation of quasi-diabatic Hamiltonians for the two lowest states of H3. Phys. Chem. Chem. Phys. 2021, 23, 1082–1091. [Google Scholar] [CrossRef]
- Yang, Z.J.; Chen, H.H.; Mao, Y.; Chen, M.D. A neural network potential energy surface and quantum dynamics studies for the Ca+(2S) + H2 → CaH+ + H reaction. Phys. Chem. Chem. Phys. 2022, 24, 19209–19217. [Google Scholar] [CrossRef]
- Song, K.S.; Song, H.W.; Li, J. Validating experiments for the reaction H2 + NH2− by dynamical calculations on an accurate full-dimensional potential energy surface. Phys. Chem. Chem. Phys. 2022, 24, 10160–10167. [Google Scholar] [CrossRef]
- Yang, Z.J.; Chen, M.D. A globally accurate potential energy surface and quantum dynamics calculations on the Be(1S) + H2(v0 = 0, j0 = 0) → BeH + H reaction. Front. Phys. 2022, 10, 1022222. [Google Scholar] [CrossRef]
- Yuan, J.C.; He, D.; Chen, M.D. A new potential energy surface for the ground electronic state of the LiH2 system, and dynamics studies on the H(2S) + LiH(1X Σ+) → Li(2S) + H2(X Σg+) reaction. Phys. Chem. Chem. Phys. 2015, 17, 11732–11739. [Google Scholar] [CrossRef]
- Zuo, J.X.; Croft, J.F.E.; Yao, Q.; Balakrishnan, N.; Guo, H. Full-Dimensional Potential Energy Surface for Ro-vibrationally Inelastic Scattering between H2 Molecules. J. Chem. Theory Comput. 2021, 17, 6747–6756. [Google Scholar] [CrossRef]
- Cui, J.; Krems, R.V. Efficient non-parametric fitting of potential energy surfaces for polyatomic molecules with Gaussian processes. J. Phys. B At. Mol. Opt. 2016, 49, 224001. [Google Scholar] [CrossRef]
- Dai, J.; Krems, R.V. Interpolation and Extrapolation of Global Potential Energy Surfaces for Polyatomic Systems by Gaussian Processes with Composite Kernels. J. Chem. Theory Comput. 2020, 16, 1386–1395. [Google Scholar] [CrossRef]
- Deringer, V.L.; Bartok, A.P.; Bernstein, N.; Wilkins, D.M.; Ceriotti, M.; Csanyi, G. Gaussian Process Regression for Materials and Molecules. Chem. Rev. 2021, 121, 10073–10141. [Google Scholar] [CrossRef]
- Guan, Y.F.; Yang, S.; Zhang, D.H. Construction of reactive potential energy surfaces with Gaussian process regression: Active data selection. Mol. Phys. 2018, 116, 823–834. [Google Scholar] [CrossRef]
- Krems, R.V. Bayesian machine learning for quantum molecular dynamics. Phys. Chem. Chem. Phys. 2019, 21, 13392–13410. [Google Scholar] [CrossRef]
- Qu, C.; Yu, Q.; Van Hoozen, B.L.; Bowman, J.M.; Vargas-Hernandez, R.A. Assessing Gaussian Process Regression and Permutationally Invariant Polynomial Approaches To Represent High-Dimensional Potential Energy Surfaces. J. Chem. Theory Comput. 2018, 14, 3381–3396. [Google Scholar] [CrossRef]
- Song, Q.F.; Zhang, Q.Y.; Meng, Q.Y. Revisiting the Gaussian process regression for fitting high-dimensional potential energy surface and its application to the OH + HO2 → O2 + H2O reaction. J. Chem. Phys. 2020, 152, 134309. [Google Scholar] [CrossRef]
- Sugisawa, H.; Ida, T.; Krems, R.V. Gaussian process model of 51-dimensional potential energy surface for protonated imidazole dimer. J. Chem. Phys. 2020, 153, 114101. [Google Scholar] [CrossRef]
- Uteva, E.; Graham, R.S.; Wilkinson, R.D.; Wheatley, R.J. Active learning in Gaussian process interpolation of potential energy surfaces. J. Chem. Phys. 2018, 149, 174114. [Google Scholar] [CrossRef] [PubMed]
- Vargas-Hernández, R.A.; Guan, Y.; Zhang, D.H.; Krems, R.V. Bayesian optimization for the inverse scattering problem in quantum reaction dynamics. New J. Phys. 2019, 21, 022001. [Google Scholar] [CrossRef]
- Venturi, S.; Jaffe, R.L.; Panesi, M. Bayesian Machine Learning Approach to the Quantification of Uncertainties on Ab Initio Potential Energy Surfaces. J. Phys. Chem. A 2020, 124, 5129–5146. [Google Scholar] [CrossRef] [PubMed]
- Kolb, B.; Marshall, P.; Zhao, B.; Jiang, B.; Guo, H. Representing Global Reactive Potential Energy Surfaces Using Gaussian Processes. J. Phys. Chem. A 2017, 121, 2552–2557. [Google Scholar] [CrossRef] [PubMed]
- Kushwaha, A.; Kumar, T.J.D. Benchmarking PES- Learn’s machine learning models predicting accurate potential energy surface for quantum scattering. Int. J. Quantum Chem. 2023, 123, e27007. [Google Scholar] [CrossRef]
- Dai, J.; Krems, R.V. Quantum Gaussian process model of potential energy surface for a polyatomic molecule. J. Chem. Phys. 2022, 156, 184802. [Google Scholar] [CrossRef]
- Yang, Z.J.; Chen, H.H.; Chen, M.D. Representing globally accurate reactive potential energy surfaces with complex topography by combining Gaussian process regression and neural networks. Phys. Chem. Chem. Phys. 2022, 24, 12827–12836. [Google Scholar] [CrossRef]
- Uteva, E.; Graham, R.S.; Wilkinson, R.D.; Wheatley, R.J. Interpolation of intermolecular potentials using Gaussian processes. J. Chem. Phys. 2017, 147, 161706. [Google Scholar] [CrossRef]
- Rasmussen, C.E.; Williams, C.K.I. Gaussian Processes for Machine Learning; MIT Press: Cambridge, MA, USA, 2006; Volume 1. [Google Scholar]
- Qu, C.; Yu, Q.; Bowman, J.M. Permutationally Invariant Potential Energy Surfaces. Annu. Rev. Phys. Chem. 2018, 69, 151–175. [Google Scholar] [CrossRef]
- Braams, B.J.; Bowman, J.M. Permutationally invariant potential energy surfaces in high dimensionality. Int. Rev. Phys. Chem. 2009, 28, 577–606. [Google Scholar] [CrossRef]
- Stein, M. Large Sample Properties of Simulations Using Latin Hypercube Sampling. Technometrics 1987, 29, 143–151. [Google Scholar] [CrossRef]
- Mao, Y.; Buren, B.; Yang, Z.J.; Chen, M.D. Time-dependent wave packet dynamics study of the resonances in the H + LiH+(v = 0, j = 0) → Li+ + H2 reaction at low collision energies. Phys. Chem. Chem. Phys. 2022, 24, 15532–15539. [Google Scholar] [CrossRef] [PubMed]
- Mao, Y.; Buren, B.; Yang, Z.J.; Chen, M.D. Electronically Nonadiabatic Effects on the Quantum Dynamics of the Ha + BeHb+ → Be+ + HaHb; Hb + BeHa+ Reactions. J. Phys. Chem. A 2022, 126, 5574–5581. [Google Scholar] [CrossRef] [PubMed]
- Buren, B.; Chen, M.D. Stereodynamics-Controlled Product Branching in the Nonadiabatic H + NaD → Na(3s, 3p) + HD Reaction at Low Temperatures. J. Phys. Chem. A 2022, 126, 2453–2462. [Google Scholar] [CrossRef] [PubMed]
- Gómez-Carrasco, S.; Roncero, O. Coordinate transformation methods to calculate state-to-state reaction probabilities with wave packet treatments. J. Chem. Phys. 2006, 125, 054102. [Google Scholar] [CrossRef]
- Sun, Z.G.; Lin, X.; Lee, S.Y.; Zhang, D.H. A Reactant-Coordinate-Based Time-Dependent Wave Packet Method for Triatomic State-to-State Reaction Dynamics: Application to the H + O2 Reaction. J. Phys. Chem. A 2009, 113, 4145–4154. [Google Scholar] [CrossRef]
- Sun, Z.G.; Yang, W.T.; Zhang, D.H. Higher-order split operator schemes for solving the Schrödinger equation in the time-dependent wave packet method: Applications to triatomic reactive scattering calculations. Phys. Chem. Chem. Phys. 2012, 14, 1827–1845. [Google Scholar] [CrossRef]









| Li(2S) + Na2(v = 0, j = 0) → LiNa + Na | |
|---|---|
| R r Rotational basis Initial wave packet | R ∈ [0.1 a0, 100.0 a0], NR = 999, = 249 r ∈ [3.0 a0, 30.0 a0], νInt = 299, νAsy = 9 jInt = 179, jAsy = 69 Rc = 50.0 a0, δ = 0.5 a0, Ec = 0.04 eV |
| Propagation time Time step | 2,000,000 a.u. for J ≤ 10 1,200,000 a.u. for J > 10 1,000,000 a.u. for J > 25 800,000 a.u. for J > 40 Δt = 50 a.u. |
Disclaimer/Publisher’s Note: The statements, opinions and data contained in all publications are solely those of the individual author(s) and contributor(s) and not of MDPI and/or the editor(s). MDPI and/or the editor(s) disclaim responsibility for any injury to people or property resulting from any ideas, methods, instructions or products referred to in the content. |
© 2023 by the authors. Licensee MDPI, Basel, Switzerland. This article is an open access article distributed under the terms and conditions of the Creative Commons Attribution (CC BY) license (https://creativecommons.org/licenses/by/4.0/).
Share and Cite
Yang, Z.; Chen, H.; Buren, B.; Chen, M. Globally Accurate Gaussian Process Potential Energy Surface and Quantum Dynamics Studies on the Li(2S) + Na2 → LiNa + Na Reaction at Low Collision Energies. Molecules 2023, 28, 2938. https://doi.org/10.3390/molecules28072938
Yang Z, Chen H, Buren B, Chen M. Globally Accurate Gaussian Process Potential Energy Surface and Quantum Dynamics Studies on the Li(2S) + Na2 → LiNa + Na Reaction at Low Collision Energies. Molecules. 2023; 28(7):2938. https://doi.org/10.3390/molecules28072938
Chicago/Turabian StyleYang, Zijiang, Hanghang Chen, Bayaer Buren, and Maodu Chen. 2023. "Globally Accurate Gaussian Process Potential Energy Surface and Quantum Dynamics Studies on the Li(2S) + Na2 → LiNa + Na Reaction at Low Collision Energies" Molecules 28, no. 7: 2938. https://doi.org/10.3390/molecules28072938
APA StyleYang, Z., Chen, H., Buren, B., & Chen, M. (2023). Globally Accurate Gaussian Process Potential Energy Surface and Quantum Dynamics Studies on the Li(2S) + Na2 → LiNa + Na Reaction at Low Collision Energies. Molecules, 28(7), 2938. https://doi.org/10.3390/molecules28072938

