Recent Progress in Research on [2.2]Paracyclophane-Based Dyes
Abstract
1. Introduction
2. Application of PCP Skeleton in Organic Fluorescent Dyes
2.1. Application of PCP Skeleton in Modifying Dyes
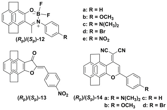
2.2. Application of PCP Skeleton in Detection
2.3. Application of PCP Skeleton in CPL Modulation
3. Conclusions
Author Contributions
Funding
Institutional Review Board Statement
Informed Consent Statement
Data Availability Statement
Conflicts of Interest
References
- Brown, C.J.; Farthing, A.C. Preparation and Structure of Di-p-Xylylene. Nature 1949, 164, 915–916. [Google Scholar] [CrossRef]
- Hassan, Z.; Spuling, E.; Knoll, D.M.; Lahann, J.; Bräse, S. Planar chiral [2.2]paracyclophanes: From synthetic curiosity to applications in asymmetric synthesis and materials. Chem. Soc. Rev. 2018, 47, 6947–6963. [Google Scholar] [CrossRef] [PubMed]
- Gleiter, R.; Hopf, H. Modern Cyclophane Chemistry; Wiley-VCH: Weinheim, Germany, 2004. [Google Scholar]
- Morisaki, Y.; Chujo, Y. Through-Space Conjugated Polymers Based on Cyclophanes. Angew. Chem. Int. Ed. 2006, 45, 6430–6437. [Google Scholar] [CrossRef] [PubMed]
- Liang, H.; Guo, W.C.; Li, J.X.; Jiang, J.J.; Wang, J. Chiral Arene Ligand as Stereocontroller for Asymmetric C−H Activation. Angew. Chem. Int. Ed. 2022, 61, e202204926. [Google Scholar] [CrossRef]
- Morisaki, Y.; Chujo, Y. Synthesis of π-Stacked Polymers on the Basis of [2.2]Paracyclophane. Bull. Chem. Soc. Jpn. 2009, 82, 1070–1082. [Google Scholar] [CrossRef]
- Yu, H.; Arunagiri, L.; Zhang, L.; Huang, J.C.; Ma, W.; Zhang, J.Q.; Yan, H. Transannularly conjugated tetrameric perylene diimide acceptors containing [2.2]paracyclophane for non-fullerene organic solar cells. J. Mater. Chem. A 2020, 8, 6501–6509. [Google Scholar] [CrossRef]
- Zhang, M.Y.; Peng, Q.; Zhao, C.H. High-contrast mechanochromic fluorescence from a highly solid-state emissive 2-(dimesitylboryl)phenyl-substituted [2.2]paracyclophane. J. Mater. Chem. C 2021, 9, 1740–1745. [Google Scholar] [CrossRef]
- Morisaki, Y.; Chujo, Y. Planar chiral [2.2] paracyclophanes: Optical resolution and transformation to optically active π-stacked molecules. Bull. Chem. Soc. Jpn. 2019, 92, 265–274. [Google Scholar] [CrossRef]
- Peng, X.J.; Yang, Z.G.; Wang, J.Y.; Fan, J.L.; He, Y.X.; Song, F.L.; Wang, B.S.; Sun, S.G.; Qu, J.L.; Qi, J.; et al. Fluorescence ratiometry and fluorescence lifetime imaging: Using a single molecular sensor for dual mode imaging of cellular viscosity. J. Am. Chem. Soc. 2011, 133, 6626–6635. [Google Scholar] [CrossRef]
- Liu, Z.P.; Jiang, Z.Y.; Yan, M.; Wang, X.Q. Recent Progress of BODIPY Dyes with Aggregation-Induced Emission. Front. Chem. 2019, 7, 712. [Google Scholar] [CrossRef]
- Beija, M.; Afonso, C.A.M.; Martinho, J.M.G. Synthesis and applications of Rhodamine derivatives as fluorescent probes. Chem. Soc. Rev. 2009, 38, 2410–2433. [Google Scholar] [CrossRef] [PubMed]
- Egorova, A.V.; Leonenko, I.I.; Aleksandrova, D.I.; Skripinets, Y.V.; Antonovich, V.P.; Obukhova, E.N.; Patsenker, L.D. New Sm (III) complexes as electronic-excitation donors of the Seta-632 squaraine dye. Opt. Spectrosc. 2015, 119, 59–65. [Google Scholar] [CrossRef]
- Banala, S.; Fokong, S.; Brand, C.; Andreou, C.; Kräutler, B.; Rueping, M.; Kiessling, F. Quinone-fused porphyrins as contrast agents for photoacoustic imaging. Chem. Sci. 2017, 8, 6176–6181. [Google Scholar] [CrossRef] [PubMed]
- Hong, Y.M.; Lam, J.W.Y.; Tang, B.Z. Aggregation-induced emission. Chem. Soc. Rev. 2011, 40, 5361–5388. [Google Scholar] [CrossRef] [PubMed]
- Zhu, D.L.; Jiang, W.; Ma, Z.T.; Feng, J.J.; Zhan, X.Q.; Lu, C.; Liu, J.; Liu, J.; Hu, Y.Y.; Wang, D.; et al. Organic donor-acceptor heterojunctions for high performance circularly polarized light detection. Nat. Commun. 2022, 13, 3454. [Google Scholar] [CrossRef] [PubMed]
- Li, M.; Li, S.H.; Zhang, D.D.; Cai, M.H.; Duan, L.; Fung, M.K.; Chen, C.F. Stable enantiomers displaying thermally activated delayed fluorescence: Efficient OLEDs with circularly polarized electroluminescence. Angew. Chem. Int. Ed. 2018, 57, 2889–2893. [Google Scholar] [CrossRef] [PubMed]
- Wang, Y.F.; Li, M.; Teng, J.M.; Zhou, H.Y.; Chen, C.F. High-performance solution-processed nondoped circularly polarized OLEDs with chiral triptycene scaffold-based TADF emitters realizing over 20% external quantum efficiency. Adv. Funct. Mater. 2021, 31, 2106418. [Google Scholar] [CrossRef]
- Wang, Y.F.; Li, M.; Teng, J.M.; Zhou, H.Y.; Zhao, W.L.; Chen, C.F. Chiral TADF-Active Polymers for High-Efficiency Circularly Polarized Organic Light-Emitting Diodes. Angew. Chem. Int. Ed. 2021, 60, 23619–23624. [Google Scholar] [CrossRef]
- Yeom, J.; Yeom, B.; Chan, H.; Smith, K.W.; Dominguez-Medina, S.; Bahng, J.H.; Zhao, G.P.; Chang, W.S.; Chang, S.J.; Chuvilin, A.; et al. Chiral templating of self-assembling nanostructures by circularly polarized light. Nat. Mater. 2015, 14, 66–72. [Google Scholar] [CrossRef]
- Han, X.N.; Han, Y.; Chen, C.F. Pagoda [4]arene and i-Pagoda [4]arene. J. Am. Chem. Soc. 2020, 142, 8262–8269. [Google Scholar] [CrossRef] [PubMed]
- Wu, Z.G.; Han, H.B.; Yan, Z.P.; Luo, X.F.; Wang, Y.; Zheng, Y.X.; Zuo, J.L.; Pan, Y. Chiral Octahydro-Binaphthol Compound-Based Thermally Activated Delayed Fluorescence Materials for Circularly Polarized Electroluminescence with Superior EQE of 32.6% and Extremely Low Efficiency Roll-Off. Adv. Mater. 2019, 31, 1900524. [Google Scholar] [CrossRef]
- Sánchez-Carnerero, E.M.; Agarrabeitia, A.R.; Moreno, F.; Maroto, B.L.; Muller, G.; Ortiz, M.J.; de la Moya, S. Circularly Polarized Luminescence from Simple Organic Molecules. Chem. Eur. J. 2015, 21, 13488–13500. [Google Scholar] [CrossRef] [PubMed]
- Sawada, Y.; Furumi, S.; Takai, A.; Takeuchi, M.; Noguchi, K.; Tanaka, K. Rhodium-Catalyzed Enantioselective Synthesis, Crystal Structures, and Photophysical Properties of Helically Chiral 1,1′-Bitriphenylenes. J. Am. Chem. Soc. 2012, 134, 4080–4083. [Google Scholar] [CrossRef]
- Murayama, K.; Oike, Y.; Furumi, S.; Takeuchi, M.; Noguchi, K.; Tanaka, K. Enantioselective Synthesis, Crystal Structure, and Photophysical Properties of a 1,1-Bitriphenylene-Based Sila [7]-helicene. Eur. J. Org. Chem. 2015, 2015, 1409–1414. [Google Scholar] [CrossRef]
- Tanaka, H.; Inoue, Y.; Mori, T. Circularly polarized luminescence and circular dichroisms in small organic molecules: Correlation between excitation and emission dissymmetry factors. ChemPhotoChem 2018, 2, 386–402. [Google Scholar] [CrossRef]
- Li, X.N.; Xie, Y.J.; Li, Z. The progress of circularly polarized luminescence in chiral purely organic materials. Adv. Photonics Res. 2021, 2, 2000136. [Google Scholar] [CrossRef]
- Mei, J.; Leung, N.L.C.; Kwok, R.T.K.; Lam, J.W.Y.; Tang, B.Z. Aggregation-induced emission: Together we shine, united we soar! Chem. Rev. 2015, 115, 11718–11940. [Google Scholar] [CrossRef]
- Duan, W.Z.; Liu, W.J.; Liu, H.T.; Ji, H.H.; Huo, Y.M.; Wang, H.W.; Gong, S.W. AIE-active aurones for circularly polarized luminescence and trace water detection. Chem. Commun. 2022, 58, 13955–13958. [Google Scholar] [CrossRef]
- Ji, H.H.; Liu, W.J.; Huo, Y.M.; Han, M.; Yao, Q.X.; Gong, S.W.; Duan, W.Z. Planar chiral AIEgens based on [2.2]paracyclophane as efficient solid-state deep red circularly polarized luminescent emitters. Dyes Pigm. 2023, 209, 110915. [Google Scholar] [CrossRef]
- Li, Y.Y.; Wang, M.H.; Tao, Y.T.; Zhang, R.L.; Zhou, M.; Tao, P.; Feng, P.C.; Huang, W.; Huang, H.; Miao, W.J. Highly stable and biocompatible nanocontrast agent encapsulating a novel organic fluorescent dye for enhanced cellular imaging. Powder Technol. 2019, 358, 110–119. [Google Scholar] [CrossRef]
- Benedetti, E.; Delcourt, M.L.; Gatin-Fraudet, B.; Turcaud, S.; Micouin, L. Synthesis and photophysical studies of through-space conjugated [2.2] paracyclophane-based naphthalene fluorophores. RSC Adv 2017, 7, 50472–50476. [Google Scholar] [CrossRef]
- Delcourt, M.L.; Reynaud, C.; Turcaud, S.; Favereau, L.; Crassous, J.; Micouin, L.; Benedetti, E. 3D Coumarin systems based on [2.2] paracyclophane: Synthesis, spectroscopic characterization, and chiroptical properties. J. Org. Chem. 2019, 84, 888–899. [Google Scholar] [CrossRef] [PubMed]
- Vu, T.T.; Badré, S.; Dumas-Verdes, C.; Vachon, J.J.; Julien, C.; Audebert, P.; Senotrusova, E.Y.; Schmidt, E.Y.; Trofimov, B.A.; Pansu, R.B.; et al. New hindered BODIPY derivatives: Solution and amorphous state fluorescence properties. J. Phys. Chem. C. 2009, 113, 11844–11855. [Google Scholar] [CrossRef]
- Li, K.; Duan, X.C.; Jiang, Z.Y.; Ding, D.; Chen, Y.C.; Zhang, G.Q.; Liu, Z.P. J-aggregates of meso-[2.2]paracyclophanyl-BODIPY dye for NIR-II imaging. Nat. Commun 2021, 12, 2376. [Google Scholar] [CrossRef] [PubMed]
- Duan, W.Z.; Han, Y.F.; Liu, Q.S.; Cui, J.C.; Gong, S.W.; Ma, Y.D.; Zhang, C.L.; Sun, Z.F. Design and synthesis of novel rhodamine-based chemodosimeters derived from [2.2] paracyclophane and their application in detection of Hg2+ ion. Tetrahedron Lett. 2017, 58, 271–278. [Google Scholar] [CrossRef]
- Ji, H.H.; Duan, W.Z.; Huo, Y.M.; Liu, W.J.; Huang, X.Q.; Wang, Y.L.; Gong, S.W. Highly sensitive fluorescence response of [2.2] paracyclophane modified D−A type chromophores to trace water, pH, acidic gases and formaldehyde. Dyes Pigm. 2022, 205, 110491. [Google Scholar] [CrossRef]
- Li, K.; Ji, H.H.; Yang, Z.R.; Duan, W.Z.; Ma, Y.D.; Liu, H.T.; Wang, H.W.; Gong, S.W. 3D boranil complexes with aggregation-amplified circularly polarized luminescence. J. Org. Chem 2021, 86, 16707–16715. [Google Scholar] [CrossRef]
- Sachdeva, T.; Gupta, S.; Milton, M.D. Smart organic materials with acidochromic properties. Curr. Org. Chem. 2020, 24, 1976–1998. [Google Scholar] [CrossRef]
- Gupta, S.; Milton, M.D. Novel Y-shaped AIEE-TICT active π-extended quinoxalines based donor–acceptor molecules displaying acidofluorochromism and temperature dependent emission. J. Photochem. Photobiol. A 2022, 424, 113630. [Google Scholar] [CrossRef]
- Duan, W.Z.; Ji, H.H.; Yang, Z.R.; Yao, Q.X.; Huo, Y.M.; Ren, X.R.; Zhao, J.J.; Gong, S.W. Planar chiral [2.2]paracyclophanyl-based boron fluoride complexes: Synthesis, crystal structure and photophysical properties. Dalton Trans 2021, 50, 12963–12969. [Google Scholar] [CrossRef]
- Morisaki, Y.; Sawada, R.; Gon, M.; Chujo, Y. New Types of Planar Chiral [2.2] Paracyclophanes and Construction of One-Handed Double Helices. Chem. Asian J. 2016, 11, 2524–2527. [Google Scholar] [CrossRef] [PubMed]
- Morisaki, Y.; Gon, M.; Sasamori, T.; Tokitoh, N.; Chujo, Y. Planar Chiral Tetrasubstituted [2.2]Paracyclophane: Optical Resolution and Functionalization. J. Am. Chem. Soc. 2014, 136, 3350–3353. [Google Scholar] [CrossRef] [PubMed]
- Hassan, Z.; Spuling, E.; Knoll, D.M.; Bräse, S. Regioselective Functionalization of [2.2]Paracyclophanes: Recent Synthetic Progress and Perspectives. Angew. Chem. Int. Ed. 2020, 59, 2156–2170. [Google Scholar] [CrossRef]
- Teng, J.M.; Zhang, D.W.; Chen, C.F. Recent progress in circularly polarized luminescence of [2.2]Paracyclophane derivatives. ChemPhotoChem 2022, 6, e202100228. [Google Scholar] [CrossRef]
- Gon, M.; Morisaki, Y.; Chujo, Y. A silver(i)-induced higher-ordered structure based on planar chiral tetrasubstituted [2.2]paracyclophane. Chem. Commun. 2017, 53, 8304–8307. [Google Scholar] [CrossRef] [PubMed]
- Hasegawa, M.; Ishida, Y.; Sasaki, H.; Ishioka, S.; Usui, K.; Hara, N.; Kitahara, M.; Imai, Y.; Mazaki, Y. Helical Oligophenylene Linked with [2.2]Paracyclophane: Stereogenic π-Conjugated Dye for Highly Emissive Chiroptical Properties. Chem. Eur. J. 2021, 27, 16225–16231. [Google Scholar] [CrossRef]








| Entry | Emitter | Φf | λabs (nm) | λem in Solution (nm) | λem in Other States (nm) | References |
|---|---|---|---|---|---|---|
| 1 | PCP | - | 286, 302 | 356 | - | [33] |
| 2 | 1a | - | 304, 320 | 445 | - | [33] |
| 3 | 1d | - | 265, 300, 330 | 460 | - | [33] |
| 4 | 1h | - | 270, 335 | 475 | - | [33] |
| 5 | 1k | - | 330 | 470 | - | [33] |
| 6 | 2b | - | 307, 325 | 450 | - | [33] |
| 7 | 3 | - | 274, 324 | 386 | - | [33] |
| 8 | 4 | - | 455 | 498 | - | [33] |
| 9 | 5a | - | 294 | 418 | - | [33] |
| 10 | 6d | 0.87 | 589 | 619 | 636 ± 4 in amorphous deposits | [34] |
| 11 | 7 | 0.95 | 543 | 556 | 636 ± 4 in amorphous deposits | [34] |
| 12 | 8 | 0.064 | 722 | 795 | 1010 in aggregated state | [35] |
| 13 | 9 | - | 700 | 750 | - | [35] |
| 14 | 10a | - | - | 580 | 600 in the addition of Hg2+ | [36] |
| 15 | 11c | 0.95 | 382 | 490 | 550 in solid state | [37] |
| 16 | 12a | 0.39 | 325, 407 | 543 | 534 in aggregated state | [38] |
| 17 | 13 | 0.07 | 341, 423 | 534 | 531 in aggregated state | [29] |
| 18 | 14a | 0.56 | 410, 470 | 641 | 686 in solid state | [30] |
Disclaimer/Publisher’s Note: The statements, opinions and data contained in all publications are solely those of the individual author(s) and contributor(s) and not of MDPI and/or the editor(s). MDPI and/or the editor(s) disclaim responsibility for any injury to people or property resulting from any ideas, methods, instructions or products referred to in the content. |
© 2023 by the authors. Licensee MDPI, Basel, Switzerland. This article is an open access article distributed under the terms and conditions of the Creative Commons Attribution (CC BY) license (https://creativecommons.org/licenses/by/4.0/).
Share and Cite
Liu, W.; Li, H.; Huo, Y.; Yao, Q.; Duan, W. Recent Progress in Research on [2.2]Paracyclophane-Based Dyes. Molecules 2023, 28, 2891. https://doi.org/10.3390/molecules28072891
Liu W, Li H, Huo Y, Yao Q, Duan W. Recent Progress in Research on [2.2]Paracyclophane-Based Dyes. Molecules. 2023; 28(7):2891. https://doi.org/10.3390/molecules28072891
Chicago/Turabian StyleLiu, Wenjing, Huabin Li, Yanmin Huo, Qingxia Yao, and Wenzeng Duan. 2023. "Recent Progress in Research on [2.2]Paracyclophane-Based Dyes" Molecules 28, no. 7: 2891. https://doi.org/10.3390/molecules28072891
APA StyleLiu, W., Li, H., Huo, Y., Yao, Q., & Duan, W. (2023). Recent Progress in Research on [2.2]Paracyclophane-Based Dyes. Molecules, 28(7), 2891. https://doi.org/10.3390/molecules28072891

