A Simple and Easily Implemented Method for the Regioselective Introduction of Deuterium into Azolo[1,5-a]pyrimidines Molecules
Abstract
1. Introduction
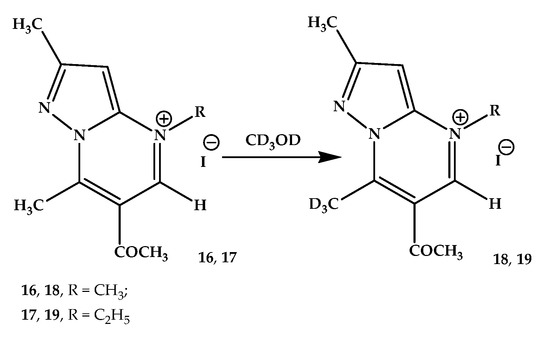
2. Results and Discussion
3. Materials and Methods
3.1. General Experimental Details
3.2. Synthetic Procedures
3.2.1. Synthesis of 6-acetyl-7-methyl-3-[1-(4-acetyl-5-methyl-1H-pyrazole-1-carbonyl)]pyrazolo[1,5-a]pyrimidine 7
3.2.2. General Procedure for the Preparation of Deutero-Substituted Azolo[1,5-a]pyrimidines 3, 4, 6, 9, 14, 15
4. Conclusions
Supplementary Materials
Author Contributions
Funding
Institutional Review Board Statement
Informed Consent Statement
Data Availability Statement
Acknowledgments
Conflicts of Interest
Sample Availability
References
- Hassan, A.S.; Hafez, T.S.; Osman, S.A. Synthesis, characterization, and cytotoxicity of some new 5-aminopyrazole and pyrazolo[1,5-a]pyrimidine derivatives. Sci. Pharm. 2015, 83, 27–39. [Google Scholar] [CrossRef] [PubMed]
- Stallman, H.M.; Kohler, M.; White, J. Medication induced sleepwalking: A systematic review. Sleep Med. Rev. 2018, 37, 105–113. [Google Scholar] [CrossRef] [PubMed]
- Lemon, M.D.; Strain, J.D.; Hegg, A.M.; Farver, D.K. Indiplon in the management of insomnia. Drug Des. Dev. Ther. 2009, 3, 131–142. [Google Scholar] [CrossRef] [PubMed]
- Horoszok, L.; Baleeiro, T.; D’Aniello, F.; Gropper, S.; Santos, B.; Guglietta, A.; Roth, T.A. single-dose, randomized, double-blind, double dummy, placebo and positive-controlled, five-way cross-over study to assess the pharmacodynamic effects of lorediplon in a phase advance model of insomnia in healthy Caucasian adult male subjects. Hum. Psychopharmacol. Clin. Exp. 2014, 29, 266–273. [Google Scholar] [CrossRef] [PubMed]
- Lippa, A.; Czobor, P.; Stark, J.; Beer, B.; Kostakis, E.; Gravielle, M.; Skolnick, P. Selective anxiolysis produced by ocinaplon, a GABAA receptor modulator. Proc. Natl. Acad. Sci. USA 2005, 102, 7380–7385. [Google Scholar] [CrossRef]
- Talekar, N.S.; Huang, C.C. Efficacy of pyrazophos in controlling agromyzid flies on legumes in Taiwan. Int. J. Pest Manag. 1993, 39, 188–192. [Google Scholar] [CrossRef]
- Hamasaki, H.; Hamasaki, Y. Efficacy of anagliptin as compared to linagliptin on metabolic parameters over 2 years of drug consumption: A retrospective cohort study. World J. Diabetes 2018, 9, 165–171. [Google Scholar] [CrossRef]
- Chihara, A.; Tanaka, A.; Morimoto, T.; Sakuma, M.; Shimabukuro, M.; Nomiyama, T.; Node, K. Differences in lipid metabolism between anagliptin and sitagliptin in patients with type 2 diabetes on statin therapy: A secondary analysis of the REASON trial. Cardiovasc. Diabetol. 2019, 18, 158. [Google Scholar] [CrossRef]
- Criscitiello, C.; Viale, G.; Esposito, A.; Curigliano, G. Dinaciclib for the treatment of breast cancer. Expert Opin. Investig. Drugs 2014, 23, 1305–1312. [Google Scholar] [CrossRef]
- Stephenson, J.J.; Nemunaitis, J.; Joy, A.A.; Martin, J.C.; Jou, Y.M.; Zhang, D.; Edelman, M.J. Randomized phase 2 study of the cyclin-dependent kinase inhibitor dinaciclib (MK-7965) versus erlotinib in patients with non-small cell lung cancer. Lung Cancer 2014, 83, 219–223. [Google Scholar] [CrossRef]
- Paulovich, A.G.; Toczyski, D.P.; Hartwell, L.H. When checkpoints fail. Cell 1997, 88, 315–321. [Google Scholar] [CrossRef] [PubMed]
- Gopalsamy, A.; Yang, H.; Ellingboe, J.W.; Tsou, H.R.; Zhang, N.; Honores, E.; Rabindran, S.K. Pyrazolo[1,5-a]pyrimidin-7-yl phenyl amides as novel anti-proliferative agents: Parallel synthesis for lead optimization of amide region. Bioorganic Med. Chem. Lett. 2005, 15, 1591–1594. [Google Scholar] [CrossRef] [PubMed]
- Li, J.; Zhao, Y.F.; Zhao, X.L.; Yuan, X.Y.; Gong, P. Synthesis and anti-tumor activities of novel pyrazolo[1,5-a]pyrimidines. Arch. Pharm. Int. J. Pharm. Med. Chem. 2006, 339, 593–597. [Google Scholar] [CrossRef] [PubMed]
- Wang, Y.D.; Honores, E.; Wu, B.; Johnson, S.; Powell, D.; Miranda, M.; Krishnamurthy, G. Synthesis, SAR study and biological evaluation of novel pyrazolo[1,5-a]pyrimidin-7-yl phenyl amides as anti-proliferative agents. Bioorganic Med. Chem. 2009, 17, 2091–2100. [Google Scholar] [CrossRef]
- Heathcote, D.A.; Patel, H.; Kroll, S.H.; Hazel, P.; Periyasamy, M.; Alikian, M.; Ali, S. A novel pyrazolo[1,5-a]pyrimidine is a potent inhibitor of cyclin-dependent protein kinases 1, 2, and 9, which demonstrates antitumor effects in human tumor xenografts following oral administration. J. Med. Chem. 2010, 53, 8508–8522. [Google Scholar] [CrossRef]
- Malumbres, M.; Barbacid, M. Cell cycle, CDKs and cancer: A changing paradigm. Nat. Rev. Cancer 2009, 9, 153–166. [Google Scholar] [CrossRef]
- Williamson, D.S.; Parratt, M.J.; Bower, J.F.; Moore, J.D.; Richardson, C.M.; Dokurno, P.; Torrance, C.J. Structure-guided design of pyrazolo[1,5-a]pyrimidines as inhibitors of human cyclin-dependent kinase 2. Bioorganic Med. Chem. Lett. 2005, 15, 863–867. [Google Scholar] [CrossRef]
- Paruch, K.; Dwyer, M.P.; Alvarez, C.; Brown, C.; Chan, T.Y.; Doll, R.J.; Guzi, T.J. Pyrazolo[1,5-a]pyrimidines as orally available inhibitors of cyclin-dependent kinase 2. Bioorganic Med. Chem. Lett. 2007, 17, 6220–6223. [Google Scholar] [CrossRef]
- Boyer, S.J. Small molecule inhibitors of KDR (VEGFR-2) kinase: An overview of structure activity relationships. Curr. Top. Med. Chem. 2002, 2, 973–1000. [Google Scholar] [CrossRef]
- Fraley, M.E.; Rubino, R.S.; Hoffman, W.F.; Hambaugh, S.R.; Arrington, K.L.; Hungate, R.W.; Thomas, K.A. Optimization of a pyrazolo[1,5-a]pyrimidine class of KDR kinase inhibitors: Improvements in physical properties enhance cellular activity and pharmacokinetics. Bioorganic Med. Chem. Lett. 2002, 12, 3537–3541. [Google Scholar] [CrossRef]
- Woods, M.J.; Williams, D.C. Multiple forms and locations for the peripheral-type benzodiazepine receptor. Biochem. Pharmacol. 1996, 52, 1805–1814. [Google Scholar] [CrossRef] [PubMed]
- Selleri, S.; Bruni, F.; Costagli, C.; Costanzo, A.; Guerrini, G.; Ciciani, G.; Martini, C. Synthesis and BZR affinity of pyrazolo[1,5-a]pyrimidine derivatives. Part 1: Study of the structural features for BZR recognition. Bioorganic Med. Chem. 1999, 7, 2705–2711. [Google Scholar] [CrossRef] [PubMed]
- Selleri, S.; Bruni, F.; Costagli, C.; Costanzo, A.; Guerrini, G.; Ciciani, G.; Martini, C. 2-Arylpyrazolo[1,5-a]pyrimidin-3-yl acetamides. New potent and selective peripheral benzodiazepine receptor ligands. Bioorganic Med. Chem. 2001, 9, 2661–2671. [Google Scholar] [CrossRef] [PubMed]
- Reynolds, A.; Hanani, R.; Hibbs, D.; Damont, A.; Da Pozzo, E.; Selleri, S.; Kassiou, M. Pyrazolo[1,5-a]pyrimidine acetamides: 4-Phenyl alkyl ether derivatives as potent ligands for the 18 kDa translocator protein (TSPO). Bioorganic Med. Chem. Lett. 2010, 20, 5799–5802. [Google Scholar] [CrossRef] [PubMed]
- Baxter, G.S.; Murphy, O.E.; Blackburn, T.P. Further characterization of 5-hydroxytryptamine receptors (putative 5-HT2B) in rat stomach fundus longitudinal muscle. Br. J. Pharmacol. 1994, 112, 323–331. [Google Scholar] [CrossRef]
- Wesolowska, A. In the search for selective ligands of 5-HT5, 5-HT6 and 5-HT7 serotonin receptors. Pol. J. Pharmacol. 2002, 54, 327–341. [Google Scholar]
- Ivachtchenko, A.V.; Dmitriev, D.E.; Golovina, E.S.; Kadieva, M.G.; Koryakova, A.G.; Kysil, V.M.; Vorobiev, A.A. (3-Phenylsulfonylcycloalkano[e and d]pyrazolo[1,5-a]pyrimidin-2-yl)amines: Potent and selective antagonists of the serotonin 5-HT6 receptor. J. Med. Chem. 2010, 53, 5186–5196. [Google Scholar] [CrossRef]
- Tian, Y.; Du, D.; Rai, D.; Wang, L.; Liu, H.; Zhan, P.; Liu, X. Fused heterocyclic compounds bearing bridgehead nitrogen as potent HIV-1 NNRTIs. Part 1: Design, synthesis and biological evaluation of novel 5,7-disubstituted pyrazolo[1,5-a]pyrimidine derivatives. Bioorganic Med. Chem. 2014, 22, 2052–2059. [Google Scholar] [CrossRef]
- Chen, L.; Deng, H.; Cui, H.; Fang, J.; Zuo, Z.; Deng, J.; Zhao, L. Inflammatory responses and inflammation-associated diseases in organs. Oncotarget 2018, 9, 7204–7218. [Google Scholar] [CrossRef]
- Popovici-Muller, J.; Shipps, G.W., Jr.; Rosner, K.E.; Deng, Y.; Wang, T.; Curran, P.J.; Girijavallabhan, V. Pyrazolo[1,5-a]pyrimidine-based inhibitors of HCV polymerase. Bioorganic Med. Chem. Lett. 2009, 19, 6331–6336. [Google Scholar] [CrossRef]
- Aggarwal, R.; Sumran, G.; Garg, N.; Aggarwal, A. A regioselective synthesis of some new pyrazol-1′-ylpyrazolo[1,5-a]pyrimidines in aqueous medium and their evaluation as antimicrobial agents. Eur. J. Med. Chem. 2011, 46, 3038–3046. [Google Scholar] [CrossRef] [PubMed]
- Kosugi, T.; Mitchell, D.R.; Fujino, A.; Imai, M.; Kambe, M.; Kobayashi, S.; Kataoka, K.I. Mitogen-activated protein kinase-activated protein kinase 2 (MAPKAP-K2) as an antiinflammatory target: Discovery and in vivo activity of selective pyrazolo[1,5-a]pyrimidine inhibitors using a focused library and structure-based optimization approach. J. Med. Chem. 2012, 55, 6700–6715. [Google Scholar] [CrossRef] [PubMed]
- Lim, J.; Altman, M.D.; Baker, J.; Brubaker, J.D.; Chen, H.; Chen, Y.; Yang, R. Discovery of 5-amino-N-(1H-pyrazol-4-yl)pyrazolo[1,5-a]pyrimidine-3-carboxamide inhibitors of IRAK4. ACS Med. Chem. Lett. 2015, 6, 683–688. [Google Scholar] [CrossRef] [PubMed]
- Lim, J.; Altman, M.D.; Baker, J.; Brubaker, J.D.; Chen, H.; Chen, Y.; Yang, R. Preparation and optimization of pyrazolo[1,5-a]pyrimidines as new potent PDE4 inhibitors. Bioorganic Med. Chem. Lett. 2016, 26, 454–459. [Google Scholar] [CrossRef]
- Ding, R.; He, Y.; Xu, J.; Liu, H.; Wang, X.; Feng, M.; Zhang, J. Synthesis and biological evaluation of pyrazolo[1,5-a]pyrimidine-containing 99mTc nitrido radiopharmaceuticals as imaging agents for tumors. Molecules 2010, 15, 8723–8733. [Google Scholar] [CrossRef]
- Tigreros, A.; Aranzazu, S.L.; Bravo, N.F.; Zapata-Rivera, J.; Portilla, J. Pyrazolo[1,5-a]pyrimidines-based fluorophores: A comprehensive theoretical-experimental study. RSC Adv. 2020, 10, 39542–39552. [Google Scholar] [CrossRef]
- Ding, S.; Yan, Y.; Jiao, N. Copper-catalyzed direct oxidative annulation of N-iminopyridinium ylides with terminal alkynes using O2 as oxidant. Chem. Commun. 2013, 49, 4250–4252. [Google Scholar] [CrossRef]
- Ling, L.; Chen, J.; Song, J.; Zhang, Y.; Li, X.; Song, L.; Shi, F.; Li, Y.; Wu, C. From N-benzoylpyridinium imides to pyrazolo[1,5-a]pyridines: A mechanistic discussion on a stoichiometric Cu protocol. Org. Biomol. Chem. 2013, 11, 3894–3902. [Google Scholar] [CrossRef]
- Gant, T.G. Using deuterium in drug discovery: Leaving the label in the drug. J. Med. Chem. 2014, 57, 3595–3611. [Google Scholar] [CrossRef]
- Grocholska, P.; Bąchor, R. Trends in the hydrogen−deuterium exchange at the carbon centers. Preparation of internal standards for quantitative analysis by LC-MS. Molecules 2021, 26, 2989. [Google Scholar] [CrossRef]
- Mutsumi, T.; Iwata, H.; Maruhashi, K.; Monguchi, Y.; Sajiki, H. Halogen–deuterium exchange reaction mediated by tributyltin hydride using THF-d8 as the deuterium source. Tetrahedron 2011, 67, 1158–1165. [Google Scholar] [CrossRef]
- Rubio Moreno, M.; Campos, J.; Carmona, E. Rhodium-catalyzed, efficient deutero-and tritiosilylation of carbonyl compounds from hydrosilanes and deuterium or tritium. Org. Lett. 2011, 13, 5236–5239. [Google Scholar] [CrossRef] [PubMed]
- Donald, C.S.; Moss, T.A.; Noonan, G.M.; Roberts, B.; Durham, E.C. Deuterodehalogenation—A mild method for synthesising deuterated heterocycles. Tetrahedron Lett. 2014, 55, 3305–3307. [Google Scholar] [CrossRef]
- Vorob’ev, A.Y.; Supranovich, V.I.; Borodkin, G.I.; Shubin, V.G. New approach toward the synthesis of deuterated pyrazolo[1,5-a]pyridines and 1,2,4-triazolo[1,5-a]pyridines. Beilstein J. Org. Chem. 2017, 13, 800–805. [Google Scholar] [CrossRef]
- Gao, Q.; Wu, M.; Zhang, K.; Yang, N.; Liu, M.; Li, J.; Xu, Y. I2-catalyzed aerobic α, β-dehydrogenation and deamination of tertiary alkylamines: Highly selective synthesis of polysubstituted pyrimidines via hidden acyclic enamines. Org. Lett. 2020, 22, 5645–5649. [Google Scholar] [CrossRef] [PubMed]
- Drev, M.; Grošelj, U.; Ledinek, B.; Perdih, F.; Svete, J.; Štefane, B.; Požgan, F. Microwave-promoted ortho-C–H bond (hetero)arylation of arylpyrimidines in water catalyzed by ruthenium(II)–carboxylate. ChemCatChem 2018, 10, 3824–3832. [Google Scholar] [CrossRef]
- Schmidt, C. First deuterated drug approved. Nat. Biotechnol. 2017, 35, 493–495. [Google Scholar] [CrossRef] [PubMed]
- Danagulyan, G.G.; Ostrovskii, V.A.; Gharibyan, V.K. Regioselectivity of Alkylation of Azolo[1,5-a]pyrimidines. Russ. J. Org. Chem. 2022, 58, 1648–1651. [Google Scholar] [CrossRef]
- Danagulyan, G.G.; Ostrovskii, V.A.; Panosyan, H.A.; Gharibyan, V.K.; Arakelyan, M.R.; Boyakhchyan, A.P. Synthesis and regioselectivity of alkylation of substituted 4-(1H-pyrazol-1-yl)pyrimidines, pyrazolo[1,5-a]- and 1,2,4-triazolo[1,5-a]pyrimidines. Chem. J. Armen. 2022, 75, 80–91. [Google Scholar] [CrossRef]





















| Entry | CH3 | CH3% | COCH3 | COCH3% | Time (min) |
|---|---|---|---|---|---|
| t0 | 3.0 | 100 | 3.0 | 100 | 0 |
| t1 | 2.82 | 94.1 | 3.0 | 100.5 | 5 |
| t2 | 2.56 | 85.6 | 3.08 | 102.8 | 10 |
| t3 | 2.34 | 78.0 | 3.03 | 101.2 | 15 |
| t4 | 2.12 | 70.7 | 2.97 | 99.0 | 20 |
| t5 | 1.91 | 63.8 | 2.92 | 97.5 | 25 |
| t6 | 1.78 | 59.3 | 2.93 | 97.7 | 30 |
| t7 | 1.60 | 53.6 | 2.90 | 96.8 | 40 |
| t8 | 1.28 | 42.7 | 2.86 | 95.3 | 50 |
| t9 | 0.99 | 33.3 | 2.76 | 92.2 | 60 |
| t10 | 0.77 | 25.7 | 2.67 | 89.0 | 70 |
| t11 | 0.61 | 20.4 | 2.63 | 87.8 | 80 |
| t12 | 0.48 | 16.1 | 2.64 | 88.1 | 90 |
| t13 | 0.38 | 12.8 | 2.54 | 84.7 | 100 |
| t14 | 0.31 | 10.4 | 2.46 | 81.9 | 110 |
| Entry | CH3 | CH3% | COCH3 | COCH3% | Time (min) |
|---|---|---|---|---|---|
| t0 | 3.0 | 100 | 3.0 | 100 | 0 |
| t1 | 1.75 | 58.3 | 2.11 | 70.3 | 2 |
| t2 | 1.03 | 34.3 | 1.62 | 54.0 | 4 |
| t3 | 0.80 | 26.7 | 1.32 | 44.0 | 6 |
| t4 | 0.45 | 15.0 | 1.09 | 36.3 | 8 |
| t5 | 0.3 | 10.0 | 0.85 | 28.3 | 10 |
| t6 | 0.25 | 8.3 | 0.62 | 20.7 | 12 |
| Entry | CH3 | CH3% | Time (min) |
|---|---|---|---|
| t0 | 3.04 | 100 | 0 |
| t1 | 2.89 | 96.3 | 5 |
| t2 | 2.63 | 87.7 | 10 |
| t3 | 2.50 | 83.3 | 15 |
| t4 | 2.27 | 75.7 | 25 |
| t5 | 2.24 | 74.7 | 30 |
| t6 | 2.02 | 67.3 | 35 |
| t7 | 1.93 | 64.3 | 40 |
| t8 | 1.98 | 66.0 | 45 |
| t9 | 2.11 | 70.3 | 50 |
| t10 | 1.86 | 62.0 | 55 |
| t11 | 1.84 | 61.3 | 60 |
| t12 | 1.75 | 58.3 | 65 |
| t13 | 1.74 | 58.0 | 70 |
| t14 | 1.68 | 56.0 | 75 |
| Comp. No | Name | Solvent | 1H NMR (300 MHz, δ, ppm): |
|---|---|---|---|
| 1 | 6-acetyl-2,7-dimethylpyrazolo[1,5-a]pyrimidine | CD3OD | 2.50 (s, 3 H); 2.65 (s, 3 H); 3.14 (s, 3 H); 6.55 (s, 1 H); 8.82 (s, 1 H) |
| 3 | 6-d3-acetyl-7-d3-methyl-2-methylpyrazolo[1,5-a]pyrimidine | CD3OD + CD3ONa | 2.50 (s, 3 H); 6.55 (s, 1 H); 8.82 (s, 1 H) |
| 2 | 6-acetyl-2-phenyl-7-methylpyrazolo[1,5-a]pyrimidine | CD3OD | 2.7 (s, 3 H); 3.2 (s, 3 H); 7.15 (s, 1 H); 7.40–8.2 (m, 5 H); 8.89 (s, 1 H) |
| 4 | 6-d3-acetyl-7-d3-methyl-2-phenylpyrazolo[1,5-a]pyrimidine | CD3OD + CD3ONa | 7.15 (s, 1 H); 7.40–8.2 (m, 5 H); 8.89 (s, 1 H) |
| 5 | 6-acetyl-7-methyl-1,2,4-triazolo[1,5-a]pyrimidine | CD3OD | 2.78 (s, 3 H); 3.18 (s, 3 H); 8.62 (s, 1 H); 9.25 (s, 1 H) |
| 6 | 6-d3-acetyl-7-d3-methyl-1,2,4-triazolo[1,5-a]pyrimidine | CD3OD + CD3ONa | 7.6 (s, 1 H); 8.15 (s, 1 H); 8.62 (s, 1 H); 9.25 (s, 1 H) |
| 7 | 6-acetyl-7-methyl-3-[1-(4-acetyl-5-methyl-1H-pyrazole-1-carbonyl)]-pyrazolo[1,5-a]pyrimidine | CD3OD | 2.54 (s, 3 H), 2.77 (s, 3 H), 2.97 (s, 3 H), 3.19 (s, 3 H), 8.23 (s, 1 H), 9.14 (s, 1 H), 9.23 (s, 1 H) |
| 9 | 6-d3-acetyl-7-d3-methyl-3-[1-(4-d3-acetyl-5-methyl-1H-py- razole-1-carbonyl)]-pyrazolo[1,5-a]pyrimidine | CD3OD + CD3ONa | 2.45 (s, 3 H), 8.23 (s, 1 H), 9.14 (s, 1 H), 9.23 (s, 1 H) |
| 10 | 2,7-dimethyl-5-ethoxycarbonylpyrazolo[1,5-a]pyrimidine | CD3OD | 1.42 (t, 3 H); 2.55 (s, 3 H); 2.82 (s, 3 H); 4.45 (q, 2 H); 6.7 (s, 1 H); 7.45 (s, 1 H) |
| 14 | 7-d3-methyl-2-methyl-5-d3-metoxycarbonylpyrazolo[1,5-a]- pyrimidine | CD3OD + CD3ONa | 1.2 (t, 3 H); 2.55 (s, 3 H); 3.6 (q, 2 H); 6.7 (s, 1 H); 7.45 (s, 1 H) |
| 11 | 2-phenyl-7-methyl-5-ethoxycarbonylpyrazolo[1,5-a]pyrimidine | CD3OD | 1.2 (t, 3 H); 2.9 (s, 3 H); 3.6 (q, 2 H); 7.2–7.6 (m, 5 H); 8.15 (d, 2 H) |
| 15 | 7-d3-methyl-2-phenyl-5-d3-metoxycarbonylpyrazolo[1,5-a]- pyrimidine | CD3OD + CD3ONa | 1.2 (t, 3 H); 3.6 (q, 2 H); 7.2–7.6 (m, 5 H); 8.15 (d, 2 H) |
| 16 | 6-acetyl-2,4,7-trimethylpyrazolo[1,5-a]pyrimidinium iodide | DMSO-d6 | 2.65 (s, 3 H); 2.84 (s, 3 H); 3.28 (s, 3 H); 4.4 (s, 3 H); 7.25 (s, 1 H); 9.95 (s, 1 H) |
| 18 | 6-acetyl-2,4-dimethyl-7-d3-methylpyrazolo[1,5-a]pyrimidinium iodide | CD3OD | 2.7 (s, 3 H); 2.8 (s, 3 H); 4.4 (s, 3 H); 7.1 (s, 1 H); 9.6 (s, 1 H) |
| 17 | 6-acetyl-2,7-dimethyl-4-ethylpyrazolo[1,5-a]pyrimidinium iodide | DMSO-d6 | 1.70 (t, J = 7.3, 3 H); 2.65 (s, 3 H); 2.87 (s, 3 H); 3.27(s, 3 H); 4.92 (d, J = 7, 2 H); 7.37 (s, 1 H); 9.99 (s, 1 H) |
| 19 | 6-acetyl-2-methyl-7-d3-methyl-4-ethylpyrazolo[1,5-a]pyrimidinium iodide | CD3OD | 1.65 (t, J = 7.3, 3 H); 2.63 (s, 3 H); 2.82 (s, 3 H); 4.8 (d, J = 7.6, 2 H); 7.2 (s, 1 H); 9.6 (s, 1 H) |
| 21 | 3,5,7-trimethyl-1,2,4-triazolo[1,5-a]pyrimidinium iodide | CD3OD | 2.87 (s, 3 H); 2.95 (d, J = 0.9 Hz, 3 H); 4.07 (s, 3 H); 7.92 (q, J = 0.9 Hz, 1 H), 9.73 (s, 1 H) |
| 22 | 3-methyl-5,7-d6-dimethyl-2-d1-1,2,4-triazolo[1,5-a]pyrimidinium iodide | CD3OD + CD3ONa | 3.25 (s, 3 H); 6.92 (q, 1 H) |
| 23 | 3,7-dimethyl-6-ethoxycarbonyl-1,2,4-triazolo[1,5-a]pyrimidinium iodide | CD3OD | 1.50 (t, J = 7.1 Hz, 3 H); 3.28 (s, 3 H); 4.17 (s, 3 H); 4.53 (q, J = 7.1 Hz, 2 H); 9.58 (s, 1 H), 9.97 (s, 1 H) |
| 24 | 3-methyl-7-d3-methyl-6-ethoxycarbonyl-2-d1-1,2,4-triazolo[1,5-a]pyrimidinium iodide | CD3OD + CD3ONa | 1.50 (t, J = 7.1 Hz, 3 H); 4.17 (s, 3 H); 4.53 (q, J = 7.1 Hz, 2 H); 9.58 (s, 0.2 H), 9.97 (s, 1 H) |
Disclaimer/Publisher’s Note: The statements, opinions and data contained in all publications are solely those of the individual author(s) and contributor(s) and not of MDPI and/or the editor(s). MDPI and/or the editor(s) disclaim responsibility for any injury to people or property resulting from any ideas, methods, instructions or products referred to in the content. |
© 2023 by the authors. Licensee MDPI, Basel, Switzerland. This article is an open access article distributed under the terms and conditions of the Creative Commons Attribution (CC BY) license (https://creativecommons.org/licenses/by/4.0/).
Share and Cite
Danagulyan, G.G.; Panosyan, H.A.; Gharibyan, V.K.; Hasratyan, A.H. A Simple and Easily Implemented Method for the Regioselective Introduction of Deuterium into Azolo[1,5-a]pyrimidines Molecules. Molecules 2023, 28, 2869. https://doi.org/10.3390/molecules28062869
Danagulyan GG, Panosyan HA, Gharibyan VK, Hasratyan AH. A Simple and Easily Implemented Method for the Regioselective Introduction of Deuterium into Azolo[1,5-a]pyrimidines Molecules. Molecules. 2023; 28(6):2869. https://doi.org/10.3390/molecules28062869
Chicago/Turabian StyleDanagulyan, Gevorg G., Henrik A. Panosyan, Vache K. Gharibyan, and Ani H. Hasratyan. 2023. "A Simple and Easily Implemented Method for the Regioselective Introduction of Deuterium into Azolo[1,5-a]pyrimidines Molecules" Molecules 28, no. 6: 2869. https://doi.org/10.3390/molecules28062869
APA StyleDanagulyan, G. G., Panosyan, H. A., Gharibyan, V. K., & Hasratyan, A. H. (2023). A Simple and Easily Implemented Method for the Regioselective Introduction of Deuterium into Azolo[1,5-a]pyrimidines Molecules. Molecules, 28(6), 2869. https://doi.org/10.3390/molecules28062869

