Antifungal Action of Herbal Plants’ Glycolic Extracts against Candida Species
Abstract
1. Introduction
2. Results
2.1. High-Performance Liquid Chromatography (HPLC) Analyses of Plant Extracts
2.1.1. Rosmarinus officinalis L. Glycolic Extract
2.1.2. Punica granatum L. Glycolic Extract
2.1.3. Rosa centifolia L. Glycolic Extract
2.1.4. Curcuma longa L. Glycolic Extract
2.2. Minimum Inhibitory Concentration (MIC) and Minimum Fungicidal Concentration (MFC)
2.3. Combined Extracts’ Synergistic Effects
2.4. Antibiofilm Activity
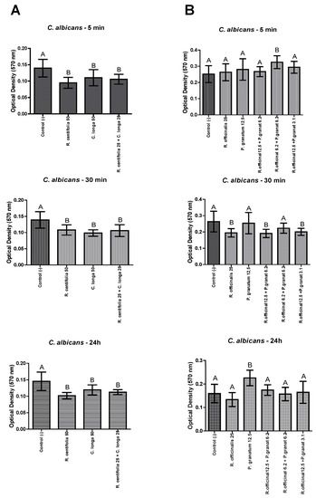
2.4.1. C. albicans Biofilms
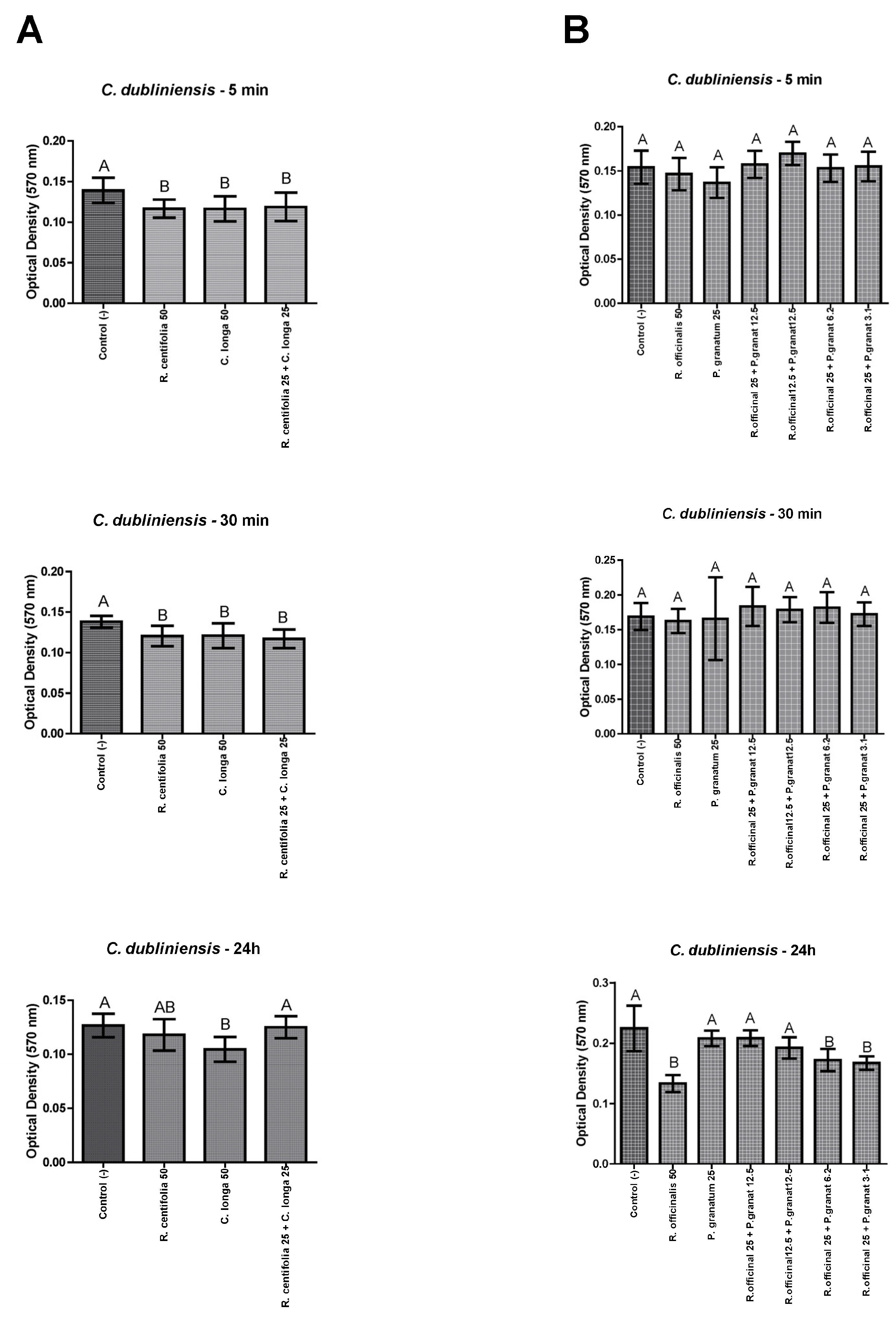
2.4.2. C. dubliniensis Biofilms
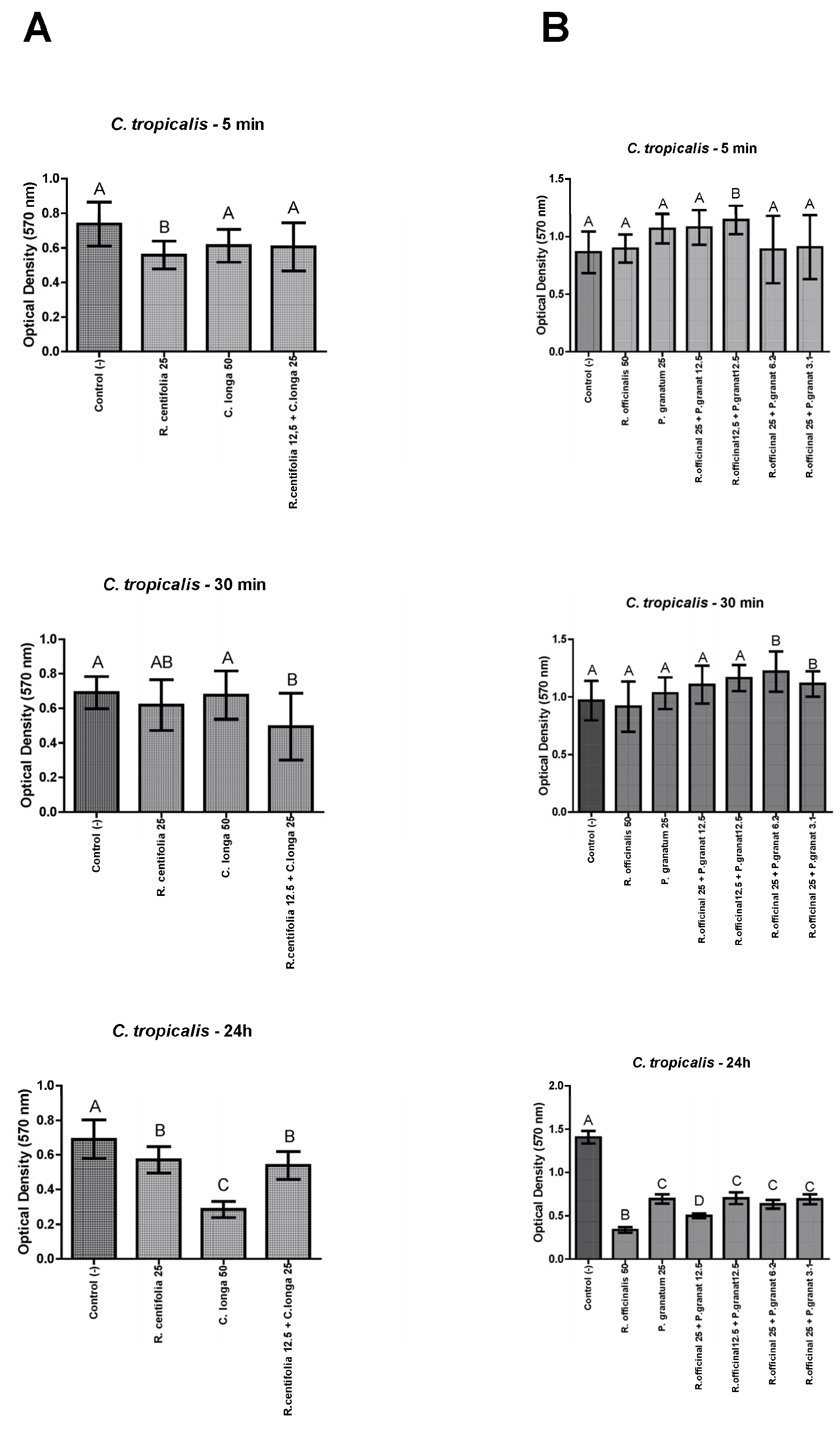
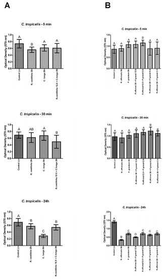
2.4.3. C. tropicalis Biofilms
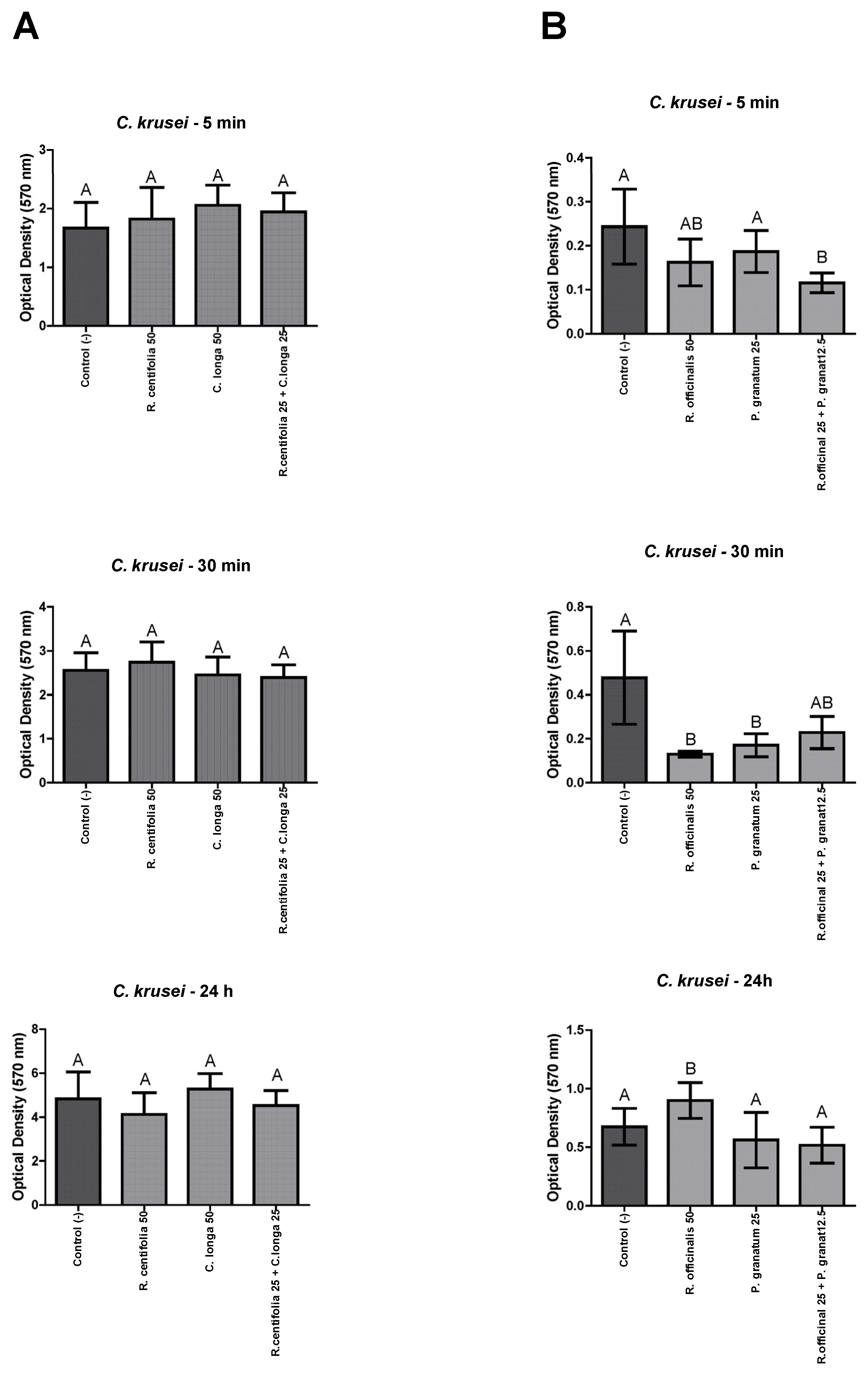
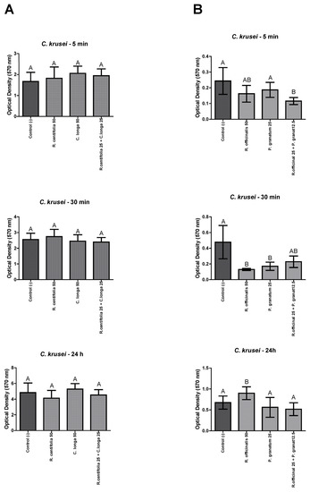
2.4.4. C. krusei Biofilms
3. Discussion
4. Materials and Methods
4.1. Plants Extracts
4.2. High-Performance Liquid Chromatography (HPLC) Analyses of Plant Extracts
4.3. Construction of Standard Curves
4.4. Inoculum Preparation
4.5. Minimum Inhibitory (MIC) and Minimum Fungicidal (MFC) Concentrations
4.6. Combined Extracts’ Synergistic Effects
4.7. Antibiofilm Activity by MTT Assay
4.8. Statistical Analysis
5. Conclusions
Author Contributions
Funding
Institutional Review Board Statement
Informed Consent Statement
Data Availability Statement
Conflicts of Interest
Sample Availability
References
- Köhler, J.R.; Hube, B.; Puccia, R.; Casadevall, A.; Perfect, J.R. Fungi that Infect Humans. Microbiol. Spectr. 2017, 5. [Google Scholar] [CrossRef] [PubMed]
- Cimolai, N. The Complexity of Co-Infections in the Era of COVID-19. SN Compr. Clin. Med. 2021, 3, 1502–1514. [Google Scholar] [CrossRef] [PubMed]
- Riad, A.; Gomaa, E.; Hockova, B.; Klugar, M. Oral candidiasis of COVID-19 patients: Case report and review of evidence. J. Cosmet. Dermatol. 2021, 20, 1580–1584. [Google Scholar] [CrossRef] [PubMed]
- Alberti, A.; Corbella, S.; Taschieri, S.; Francetti, L.; Fakhruddin, K.S.; Samaranayake, L.P. Fungal species in endodontic infections: A systematic review and meta-analysis. PLoS ONE 2021, 16, e0255003. [Google Scholar] [CrossRef]
- Suresh Unniachan, A.; Krishnavilasom Jayakumari, N.; Sethuraman, S. Association between Candida species and periodontal disease: A systematic review. Curr. Med. Mycol. 2020, 6, 63–68. [Google Scholar] [CrossRef]
- Oncu, A.; Celikten, B.; Aydın, B.; Amasya, G.; Açık, L.; Sevimay, F.S. Comparative evaluation of the antifungal efficacy of sodium hypochlorite, chlorhexidine, and silver nanoparticles against Candida albicans. Microsc. Res. Tech. 2022, 85, 3755–3760. [Google Scholar] [CrossRef] [PubMed]
- Taylor, M.; Brizuela, M.; Raja, A. Oral Candidiasis. In StatPearls; StatPearls Publishing: Treasure Island, FL, USA, 2022. [Google Scholar]
- Vila, T.; Sultan, A.S.; Montelongo-Jauregui, D.; Jabra-Rizk, M.A. Oral candidiasis: A disease of opportunity. J. Fungi 2020, 6, 15. [Google Scholar] [CrossRef]
- Shapiro, R.S.; Uppuluri, P.; Zaas, A.K.; Collins, C.; Senn, H.; Perfect, J.R.; Heitman, J.; Cowen, L.E. Hsp90 orchestrates temperature-dependent Candida albicans morphogenesis via Ras1-PKA signaling. Curr. Biol. 2009, 19, 621–629. [Google Scholar] [CrossRef]
- Mäkinen, A.; Nawaz, A.; Mäkitie, A.; Meurman, J.H. Role of Non-Albicans Candida and Candida Albicans in Oral Squamous Cell Cancer Patients. J. Oral Maxillofac. Surg. 2018, 76, 2564–2571. [Google Scholar] [CrossRef]
- Negri, M.; Martins, M.; Henriques, M.; Svidzinski, T.I.E.; Azeredo, J.; Oliveira, R. Examination of potential virulence factors of Candida tropicalis clinical isolates from hospitalized patients. Mycopathologia 2010, 169, 175–182. [Google Scholar] [CrossRef]
- Benito-Cruz, B.; Aranda-Romo, S.; López-Esqueda, F.J.; de la Rosa-García, E.; Rosas-Hernández, R.; Sánchez-Vargas, L.O. Oral Candida isolates and fluconazole susceptibility patterns in older Mexican women. Arch. Gerontol. Geriatr. 2016, 65, 204–210. [Google Scholar] [CrossRef]
- Hautala, T.; Ikäheimo, I.; Husu, H.; Säily, M.; Siitonen, T.; Koistinen, P.; Vuopio-Varkila, J.; Koskela, M.; Kujala, P. A cluster of Candida krusei infections in a haematological unit. BMC Infect. Dis. 2007, 7, 97. [Google Scholar] [CrossRef] [PubMed]
- Polke, M.; Hube, B.; Jacobsen, I.D. Candida survival strategies. Adv. Appl. Microbiol. 2015, 91, 139–235. [Google Scholar] [CrossRef] [PubMed]
- Marques Meccatti, V.; de Souza Moura, L.; Guerra Pinto, J.; Ferreira-Strixino, J.; Abu Hasna, A.; Alves Figueiredo-Godoi, L.M.; Campos Junqueira, J.; Marcucci, M.C.; de Paula Ramos, L.; Carvalho, C.A.T.; et al. Curcuma longa L. Extract and Photodynamic Therapy are Effective against Candida spp. and Do Not Show Toxicity In Vivo. Int. J. Dent. 2022, 2022, 5837864. [Google Scholar] [CrossRef] [PubMed]
- Domingues, N.; de Paula Ramos, L.; Pereira, L.M.; do Rosário Estevam Dos Santos, P.B.; Scorzoni, L.; Pereira, T.C.; Abu Hasna, A.; Carvalho, C.A.T.; de Oliveira, L.D. Antimicrobial action of four herbal plants over mixed-species biofilms of Candida albicans with four different microorganisms. Aust. Endod. J. 2022. [Google Scholar] [CrossRef] [PubMed]
- Meccatti, V.M.; Figueiredo-Godoi, L.M.A.; Pereira, T.C.; de Lima, P.M.N.; Abu Hasna, A.; Senna, L.B.; Marcucci, M.C.; Junqueira, J.C.; de Oliveira, L.D. The biocompatibility and antifungal effect of Rosmarinus officinalis against Candida albicans in Galleria mellonella model. Sci. Rep. 2022, 12, 15611. [Google Scholar] [CrossRef]
- Meccatti, V.M.; Oliveira, J.R.D.; Figueira, L.W.; Lagareiro Netto, A.A.; Zamarioli, L.S.; Marcucci, M.C.; Camargo, S.E.A.; Carvalho, C.A.T.; Oliveira, L.D.D. Rosmarinus officinalis L. (rosemary) extract has antibiofilm effect similar to the antifungal nystatin on Candida samples. An. Acad. Bras. Cienc. 2021, 93, e20190366. [Google Scholar] [CrossRef]
- Kumar, R.; Nair, V.; Singh, S.; Gupta, Y.K. In vivo antiarthritic activity of Rosa centifolia L. flower extract. Ayu 2015, 36, 341–345. [Google Scholar] [CrossRef]
- Gauniyal, P.; Vir Singh Teotia, U. Evaluation of Antimicrobial Activity and Phytochemical Screening of Twenty Medicinal Plants against Oral Microbes. Int. J. Multidiscip. Curr. Res. 2015, 3, 427–436. [Google Scholar]
- Priyadarsini, K.I. The chemistry of curcumin: From extraction to therapeutic agent. Molecules 2014, 19, 20091–20112. [Google Scholar] [CrossRef]
- Meccatti, V.M.; Moura, L.d.S.; Figueiredo-Godoi, L.M.A.; Junqueira, J.C.; Ribeiro, M.C.M.; de Oliveira, L.D. Alternative therapies in dentistry: Antibiofilm action of Curcuma longa extract associated or not with Photodynamic Therapy against Candida spp. RSD 2022, 11, e40711326813. [Google Scholar] [CrossRef]
- González-Trujano, M.E.; Peña, E.I.; Martínez, A.L.; Moreno, J.; Guevara-Fefer, P.; Déciga-Campos, M.; López-Muñoz, F.J. Evaluation of the antinociceptive effect of Rosmarinus officinalis L. using three different experimental models in rodents. J. Ethnopharmacol. 2007, 111, 476–482. [Google Scholar] [CrossRef] [PubMed]
- de Oliveira, J.R.; Camargo, S.E.A.; de Oliveira, L.D. Rosmarinus officinalis L. (rosemary) as therapeutic and prophylactic agent. J. Biomed. Sci. 2019, 26, 5. [Google Scholar] [CrossRef] [PubMed]
- Saeed, M.; Naveed, M.; BiBi, J.; Kamboh, A.A.; Arain, M.A.; Shah, Q.A.; Alagawany, M.; El-Hack, M.E.A.; Abdel-Latif, M.A.; Yatoo, M.I.; et al. The promising pharmacological effects and therapeutic/medicinal applications of Punica granatum L. (pomegranate) as a functional food in humans and animals. Recent Pat. Inflamm. Allergy Drug Discov. 2018, 12, 24–38. [Google Scholar] [CrossRef] [PubMed]
- Anibal, P.C.; Peixoto, I.T.A.; Foglio, M.A.; Höfling, J.F. Antifungal activity of the ethanolic extracts of Punica granatum L. and evaluation of the morphological and structural modifications of its compounds upon the cells of Candida spp. Braz. J. Microbiol. 2013, 44, 839–848. [Google Scholar] [CrossRef]
- Azevedo, M.M.; Teixeira-Santos, R.; Silva, A.P.; Cruz, L.; Ricardo, E.; Pina-Vaz, C.; Rodrigues, A.G. The effect of antibacterial and non-antibacterial compounds alone or associated with antifugals upon fungi. Front. Microbiol. 2015, 6, 669. [Google Scholar] [CrossRef] [PubMed]
- Dos Santos Liberato, S.F.; da Cruz Vegian, M.R.; Abu Hasna, A.; de Alvarenga, J.A.; Dos Santos, J.G.; Tini, Í.R.P.; Amêndola, I.; Junqueira, J.C.; de Oliveira, L.D. Antibiofilm action of Persea americana glycolic extract over Acinetobacter baumannii and absence of toxicity in Galleria mellonella. J. Complement. Integr. Med. 2021, 19, 905–911. [Google Scholar] [CrossRef]
- Al-Abdullah, A.; Edris, S.; Abu Hasna, A.; de Carvalho, L.S.; Al-Nahlawi, T. The Effect of Aloe vera and Chlorhexidine as Disinfectants on the Success of Selective Caries Removal Technique: A Randomized Controlled Trial. Int. J. Dent. 2022, 2022, 9474677. [Google Scholar] [CrossRef]
- Betoni, J.E.C.; Mantovani, R.P.; Barbosa, L.N.; Di Stasi, L.C.; Fernandes Junior, A. Synergism between plant extract and antimicrobial drugs used on Staphylococcus aureus diseases. Mem. Inst. Oswaldo Cruz 2006, 101, 387–390. [Google Scholar] [CrossRef]
- Bekka-Hadji, F.; Bombarda, I.; Djoudi, F.; Bakour, S.; Touati, A. Chemical Composition and Synergistic Potential of Mentha pulegium L. and Artemisia herba alba Asso. Essential Oils and Antibiotic against Multi-Drug Resistant Bacteria. Molecules 2022, 27, 1095. [Google Scholar] [CrossRef]
- Bianchin, M.; Pereira, D.; Almeida, J.d.F.; de Moura, C.; Pinheiro, R.S.; Heldt, L.F.S.; Haminiuk, C.W.I.; Carpes, S.T. Antioxidant properties of lyophilized rosemary and sage extracts and its effect to prevent lipid oxidation in poultry pátê. Molecules 2020, 25, 5160. [Google Scholar] [CrossRef] [PubMed]
- de Lima, M.E.; Ceolin Colpo, A.Z.; Maya-López, M.; Rangel-López, E.; Becerril-Chávez, H.; Galván-Arzate, S.; Villeda-Hernández, J.; Sánchez-Chapul, L.; Túnez, I.; Folmer, V.; et al. Comparing the Effects of Chlorogenic Acid and Ilex paraguariensis Extracts on Different Markers of Brain Alterations in Rats Subjected to Chronic Restraint Stress. Neurotox. Res. 2019, 35, 373–386. [Google Scholar] [CrossRef] [PubMed]
- Gong, X.X.; Su, X.S.; Zhan, K.; Zhao, G.Q. The protective effect of chlorogenic acid on bovine mammary epithelial cells and neutrophil function. J. Dairy Sci. 2018, 101, 10089–10097. [Google Scholar] [CrossRef] [PubMed]
- Rocha da Silva, C.; Sá, L.G.d.A.V.; Dos Santos, E.V.; Ferreira, T.L.; Coutinho, T.d.N.P.; Moreira, L.E.A.; de Sousa Campos, R.; de Andrade, C.R.; Barbosa da Silva, W.M.; de Sá Carneiro, I.; et al. Evaluation of the antifungal effect of chlorogenic acid against strains of Candida spp. resistant to fluconazole: Apoptosis induction and in silico analysis of the possible mechanisms of action. J. Med. Microbiol. 2022, 71, 001526. [Google Scholar] [CrossRef] [PubMed]
- Yassin, M.T.; Mostafa, A.A.-F.; Al Askar, A.A. In Vitro Evaluation of Biological Activities and Phytochemical Analysis of Different Solvent Extracts of Punica granatum L. (Pomegranate) Peels. Plants 2021, 10, 2742. [Google Scholar] [CrossRef]
- Hsu, H.; Sheth, C.C.; Veses, V. Herbal Extracts with Antifungal Activity against Candida albicans: A Systematic Review. Mini Rev. Med. Chem. 2021, 21, 90–117. [Google Scholar] [CrossRef]
- Dubois, C.; Plainfossé, H.; Delcroix, M.; Trinel, M.; Verger-Dubois, G.; Azoulay, S.; Burger, P.; Fernandez, X. Anti-Aging Potential of a Rosa centifolia Stem Extract with Focus on Phytochemical Composition by Bioguided Fractionation. Chem. Biodivers. 2022, 19, e202200158. [Google Scholar] [CrossRef]
- Sabir, S.M.; Zeb, A.; Mahmood, M.; Abbas, S.R.; Ahmad, Z.; Iqbal, N. Phytochemical analysis and biological activities of ethanolic extract of Curcuma longa rhizome. Braz. J. Biol. 2021, 81, 737–740. [Google Scholar] [CrossRef]
- Samadi, F.M.; Suhail, S.; Sonam, M.; Sharma, N.; Singh, S.; Gupta, S.; Dobhal, A.; Pradhan, H. Antifungal efficacy of herbs. J. Oral Biol. Craniofac. Res. 2019, 9, 28–32. [Google Scholar] [CrossRef]
- Dedhia, J.; Mukharjee, E.; Luke, A.M.; Mathew, S.; Pawar, A.M. Efficacy of Andrographis paniculata compared to Azadirachta indica, Curcuma longa, and sodium hypochlorite when used as root canal irrigants against Candida albicans and Staphylococcus aureus: An in vitro antimicrobial study. J. Conserv. Dent. 2018, 21, 642–645. [Google Scholar] [CrossRef]
- Murugesh, J.; Annigeri, R.G.; Mangala, G.K.; Mythily, P.H.; Chandrakala, J. Evaluation of the antifungal efficacy of different concentrations of Curcuma longa on Candida albicans: An in vitro study. J. Oral Maxillofac. Pathol. 2019, 23, 305. [Google Scholar] [CrossRef]
- Geraldi, A.; Wardana, A.P.; Aminah, N.S.; Kristanti, A.N.; Sadila, A.Y.; Wijaya, N.H.; Wijaya, M.R.A.; Diningrum, N.I.D.; Hajar, V.R.; Manuhara, Y.S.W. Tropical Medicinal Plant Extracts from Indonesia as Antifungal Agents against Candida Albicans. Front. Biosci. (Landmark Ed.) 2022, 27, 274. [Google Scholar] [CrossRef]
- Gómez-Gaviria, M.; Mora-Montes, H.M. Current Aspects in the Biology, Pathogeny, and Treatment of Candida krusei, a Neglected Fungal Pathogen. Infect. Drug Resist. 2020, 13, 1673–1689. [Google Scholar] [CrossRef] [PubMed]
- Singh, M.; Lee, K.E.; Kumar, P.; Kang, S.G. Curcuma Turmeric Oil Enhanced Anti-Dermatophytic Drug Activity Against Candida albicans and Trichophyton mentagrophytes. Curr. Drug Deliv. 2021, 18, 1494–1504. [Google Scholar] [CrossRef]
- Fu, Y.; Zu, Y.; Chen, L.; Shi, X.; Wang, Z.; Sun, S.; Efferth, T. Antimicrobial activity of clove and rosemary essential oils alone and in combination. Phytother. Res. 2007, 21, 989–994. [Google Scholar] [CrossRef]
- Höfling, J.F.; Anibal, P.C.; Obando-Pereda, G.A.; Peixoto, I.A.T.; Furletti, V.F.; Foglio, M.A.; Gonçalves, R.B. Antimicrobial potential of some plant extracts against Candida species. Braz. J. Biol. 2010, 70, 1065–1068. [Google Scholar] [CrossRef]
- Qabaha, K.I. Antimicrobial and free radical scavenging activities of five Palestinian medicinal plants. Afr. J. Tradit. Complement. Altern. Med. 2013, 10, 101–108. [Google Scholar] [CrossRef]
- Bakkiyaraj, D.; Nandhini, J.R.; Malathy, B.; Pandian, S.K. The anti-biofilm potential of pomegranate (Punica granatum L.) extract against human bacterial and fungal pathogens. Biofouling 2013, 29, 929–937. [Google Scholar] [CrossRef] [PubMed]
- Souza, J.A.S.; Alves, M.M.; Barbosa, D.B.; Lopes, M.M.; Pinto, E.; Figueiral, M.H.; Delbem, A.C.B.; Mira, N.P. Study of the activity of Punica granatum-mediated silver nanoparticles against Candida albicans and Candida glabrata, alone or in combination with azoles or polyenes. Med. Mycol. 2020, 58, 564–567. [Google Scholar] [CrossRef]
- Jayan, L.; Priyadharsini, N.; Ramya, R.; Rajkumar, K. Evaluation of antifungal activity of mint, pomegranate and coriander on fluconazole-resistant Candida glabrata. J. Oral Maxillofac. Pathol. 2020, 24, 517–522. [Google Scholar] [CrossRef] [PubMed]
- Abu El-Wafa, W.M.; Ahmed, R.H.; Ramadan, M.A.-H. Synergistic effects of pomegranate and rosemary extracts in combination with antibiotics against antibiotic resistance and biofilm formation of Pseudomonas aeruginosa. Braz. J. Microbiol. 2020, 51, 1079–1092. [Google Scholar] [CrossRef]
- Sokolonski, A.R.; Fonseca, M.S.; Machado, B.A.S.; Deegan, K.R.; Araújo, R.P.C.; Umsza-Guez, M.A.; Meyer, R.; Portela, R.W. Activity of antifungal drugs and Brazilian red and green propolis extracted with different methodologies against oral isolates of Candida spp. BMC Complement. Med. Ther. 2021, 21, 286. [Google Scholar] [CrossRef] [PubMed]
- de Sá Assis, M.A.; de Paula Ramos, L.; Abu Hasna, A.; de Queiroz, T.S.; Pereira, T.C.; Nagai de Lima, P.M.; Berretta, A.A.; Marcucci, M.C.; Talge Carvalho, C.A.; de Oliveira, L.D. Antimicrobial and Antibiofilm Effect of Brazilian Green Propolis Aqueous Extract against Dental Anaerobic Bacteria. Molecules 2022, 27, 8128. [Google Scholar] [CrossRef] [PubMed]
- Moreno, M.A.; Zampini, I.C.; Isla, M.I. Antifungal, anti-inflammatory and antioxidant activity of bi-herbal mixtures with medicinal plants from Argentinean highlands. J. Ethnopharmacol. 2020, 253, 112642. [Google Scholar] [CrossRef] [PubMed]




| Retention Time (min) | Compound Name | Quantity (μg/100 mL) |
|---|---|---|
| 11.09 | gallotannin * | 414.92 |
| 13.05 | gallotannin * | 243.29 |
| 12.64 | chlorogenic acid | 126.99 |
| 14.83 | p-coumaric acid ** | 2153.22 |
| Retention Time (min) | Compound Name | Quantity (μg/100 mL) |
|---|---|---|
| 11.07 | gallotannin * | 122.3 |
| 12.84 | gallotannin * | 936.3 |
| 14.81 | gallotannin * | 955.1 |
| 17.11 | gallotannin * | 825.7 |
| 18.55 | gallotannin * | 405.9 |
| 20.21 | gallotannin * | 94.4 |
| 25.49 | gallotannin * | 386.8 |
| 32.5 | quercetin or kaempferol ** (medium polarity) | 5233.16 |
| Retention Time (min) | Compound Name | Quantity (μg/100 mL) |
|---|---|---|
| 11.09 | gallic acid | 946.6 |
| 12.94 | gal * | 628.1 |
| 14.73 | gal * | 648.6 |
| 15.75 | p-coumaric acid ** | 591.5 |
| 37.71 | derivative of quercetin *** | 3316.50 |
| Retention Time (min) | Compound Name | Quantity (μg/100 mL) |
|---|---|---|
| 24.68 | curcumin | 135.09 |
| Candida spp. | Isolated Extract MIC and MFC Value (mg/mL) | Combined Concentrations (mg/mL) | FIC Index | Reduction in MIC | Effect | |||
|---|---|---|---|---|---|---|---|---|
| R. centifolia | C. longa | R. centifolia | C. longa | R. centifolia | C. longa | |||
| C. albicans | 50 | 50 | 25 | 25 | 1.00 | 2× | 2× | Add |
| C. dubliniensis | 50 | 50 | 25 | 25 | 1.00 | 2× | 2× | Add |
| C. tropicalis | 25 | 50 | 12.5 | 25 | 1.00 | 2× | 2× | Add |
| C. krusei | 50 | 50 | 25 | 25 | 1.00 | 2× | 2× | Add |
| 12.5 | 25 | 0.75 | 2× | 4× | Add | |||
| Candida spp. | Isolated Extract MIC and MFC Value (mg/mL) | Combined Concentrations (mg/mL) | FIC Index | Reduction in MIC | Effect | |||
|---|---|---|---|---|---|---|---|---|
| R. officinalis | P. granatum | R. officinalis | P. granatum | R. officinalis | P. granatum | |||
| C. albicans | 25 | 12.5 | 12.5 | 6.2 | 0.9 | 2× | 2× | Add |
| 6.2 | 6.2 | 0.6 | 4× | 2× | Add | |||
| 12.5 | 3.1 | 0.7 | 2× | 4× | Add | |||
| C. dubliniensis | 50 | 25 | 25 | 12.5 | 1.0 | 2× | 2× | Add |
| 12.5 | 12.5 | 0.7 | 4× | 2× | Add | |||
| 25 | 6.2 | 0.7 | 2× | 4× | Add | |||
| 25 | 3.1 | 0.6 | 2× | 8× | Add | |||
| C. tropicalis | 50 | 25 | 25 | 12.5 | 1.0 | 2× | 2× | Add |
| 12.5 | 12.5 | 0.7 | 4× | 2× | Add | |||
| 25 | 6.2 | 0.7 | 2× | 4× | Add | |||
| 25 | 3.1 | 0.6 | 2× | 8× | Add | |||
| C. krusei | 50 | 25 | 25 | 12.5 | 1.0 | 2× | 2× | Add |
Disclaimer/Publisher’s Note: The statements, opinions and data contained in all publications are solely those of the individual author(s) and contributor(s) and not of MDPI and/or the editor(s). MDPI and/or the editor(s) disclaim responsibility for any injury to people or property resulting from any ideas, methods, instructions or products referred to in the content. |
© 2023 by the authors. Licensee MDPI, Basel, Switzerland. This article is an open access article distributed under the terms and conditions of the Creative Commons Attribution (CC BY) license (https://creativecommons.org/licenses/by/4.0/).
Share and Cite
Meccatti, V.M.; Santos, L.F.; de Carvalho, L.S.; Souza, C.B.; Carvalho, C.A.T.; Marcucci, M.C.; Abu Hasna, A.; de Oliveira, L.D. Antifungal Action of Herbal Plants’ Glycolic Extracts against Candida Species. Molecules 2023, 28, 2857. https://doi.org/10.3390/molecules28062857
Meccatti VM, Santos LF, de Carvalho LS, Souza CB, Carvalho CAT, Marcucci MC, Abu Hasna A, de Oliveira LD. Antifungal Action of Herbal Plants’ Glycolic Extracts against Candida Species. Molecules. 2023; 28(6):2857. https://doi.org/10.3390/molecules28062857
Chicago/Turabian StyleMeccatti, Vanessa Marques, Lana Ferreira Santos, Lara Steffany de Carvalho, Clara Bulhões Souza, Cláudio Antonio Talge Carvalho, Maria Cristina Marcucci, Amjad Abu Hasna, and Luciane Dias de Oliveira. 2023. "Antifungal Action of Herbal Plants’ Glycolic Extracts against Candida Species" Molecules 28, no. 6: 2857. https://doi.org/10.3390/molecules28062857
APA StyleMeccatti, V. M., Santos, L. F., de Carvalho, L. S., Souza, C. B., Carvalho, C. A. T., Marcucci, M. C., Abu Hasna, A., & de Oliveira, L. D. (2023). Antifungal Action of Herbal Plants’ Glycolic Extracts against Candida Species. Molecules, 28(6), 2857. https://doi.org/10.3390/molecules28062857

