Abstract
The d-GlcNAc moiety in sialyl Lewisx (sLex, 1) acts predominantly as a linker to position the d-Gal and the l-Fuc moieties in the bioactive spatial orientation. The hypothesis has been made that the NHAc group of GlcNAc pushes the fucose underneath the galactose and, thus, contributes to the stabilization of the bioactive conformation of the core of sLex (1). To test this hypothesis, GlcNAc mimetics consisting of (R,R)-1,2-cyclohexanediols substituted with alkyl and aryl substituents adjacent to the linking position of the fucose moiety were synthesized. To explore a broad range of extended and spatially demanding R-groups, an enzymatic approach for the synthesis of 3-alkyl/aryl-1,2-cyclohexanediols (3b-n) was applied. These cyclohexanediol derivatives were incorporated into the sLex mimetics 2b-n. For analyzing the relationship of affinity and core conformation, a 1H NMR structural-reporter-group concept was applied. Thus, the chemical shift of H-C5Fuc proved to be a sensitive indicator for the degree of pre-organization of the core of this class of sLex mimetics and therefore could be used to quantify the contribution of the R-groups.
1. Introduction
Lectins, such as selectins [1], galectins [2,3], or siglecs [4,5] have gained increasing attention as drug targets. However, although being valuable leads to the development of new drugs, carbohydrates rarely find therapeutic application, as they typically suffer from complex synthesis and poor pharmacokinetic and pharmacodynamic properties. As a consequence, small molecules mimicking the carbohydrate epitope, e.g., the sialidase inhibitor oseltamivir [6], have been developed to overcome these unfavorable pharmacokinetic and pharmacodynamic properties (PK/PD).
One important reason for the low affinity of carbohydrate/lectin interactions are the high polarity of carbohydrate ligands and, therefore, substantial enthalpic desolvation costs. This becomes obvious from the thermodynamic profile of the sialyl Lewisx (1, sLex)/E-selectin interaction (Figure 1) [7]. The positive enthalpy term ΔH° is a result of the high desolvation costs (ΔH°desolv) originating from the numerous hydroxy groups and the carboxylate, which are not compensated by the interaction enthalpy ΔH°int. As described by Cabani [8], the desolvation of a single hydroxy group costs approx. 26 kJ mol−1. This is an amazingly high penalty, considering that it cannot be compensated by a single H-bond which yields a maximum of 20.7 kJ mol−1 [9]. However, when hydroxy groups are not involved in binding or are not part of extended H-bond networks, the desolvation enthalpy can be substantially reduced by tdehydroxylation.
Figure 1.
Selectin antagonists; the natural carbohydrate epitope sialyl Lewisx (1, sLex) and its thermodynamic fingerprint upon binding to E–selectin, the family of mimetics 2, and the GlcNAc mimics 3 (R = H, alkyl, aryl). The pharmacophores in 1 and 2 are highlighted in red.
It is generally assumed that pre-shaping a ligand into its bioactive conformation will provide increased binding affinity, primarily because the rigidified molecule is expected to benefit from a smaller entropic penalty during complexation. Thus, for example, due to the loss of conformational entropy, one rotatable bond that becomes immobilized upon binding carries a Gibbs energy penalty close to 2 kJ mol−1 [10]. The highly beneficial entropy term (−TΔS° = 22.6 kJ mol−1) for the interaction of sLex (1)/E-selectin originates from a large desolvation entropy −TΔS°desolv (numerous water molecules are released to bulk), only slightly reduced by a small conformational entropy penalty −TΔS°conf, suggesting that tetrasaccharide 1 is pre-shaped in the binding conformation.
According to the pharmacophore of sLex (1) (Figure 1), Neu5Ac contributes only with its carboxylate to binding. However, when Neu5Ac was replaced by glycolic acid, the induced conformational flexibility led to a substantial loss of affinity (IC50 4.5 mM) [11]. To reduce flexibility, a large number of non-carbohydrate acids with substituents in the α-position were evaluated, leading to the discovery of (S)-cyclohexyl lactic acid as suitable substitute of Neu5Ac [11,12,13].
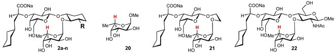
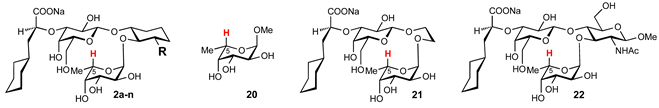
The d-GlcNAc moiety acts predominantly as a linker to position the d-Gal and l-Fuc moieties in the bioactive spatial orientation. With the (R,R)-1,2-cyclohexanediol derivative 2a (R = H, KD 60.7 μM), an expedient replacement of the GlcNAc moiety was identified [10]. When mimic 2b (R = CH3, KD 14 μM) showed a four-fold improved affinity compared to 2a, the hypothesis was raised that the methyl group of the GlcNAc mimic pushes the fucose underneath the galactose moiety in the same way as the NHAc group in sLex (1) does. Because of the synthetic access via asymmetric CBS (Corey–Bakshi–Shibata) reduction [14,15] and epoxide opening with higher order cyanocuprates [16] was limited to Me, nBu, cPr and CH=CH2 [17], we explored an enzymatic approach to explore a broader range of R-groups. For analyzing the relationship of affinity and core conformation, a 1H NMR structural-reporter-group concept was applied [18,19]. It was shown on the trisaccharide Lewisx, that a non-conventional hydrogen bond between H5 of the fucose moiety (H-C5Fuc) and O5 of the galactose moiety (O5Gal) results in a low field shift for H-C5Fuc [20,21,22]. This chemical shift proved to be a sensitive indicator for the degree of pre-organization of the core of this new class of sLex mimetics and, therefore, could be used as structural-reporter group to quantify the contribution of the R-groups.
2. Results
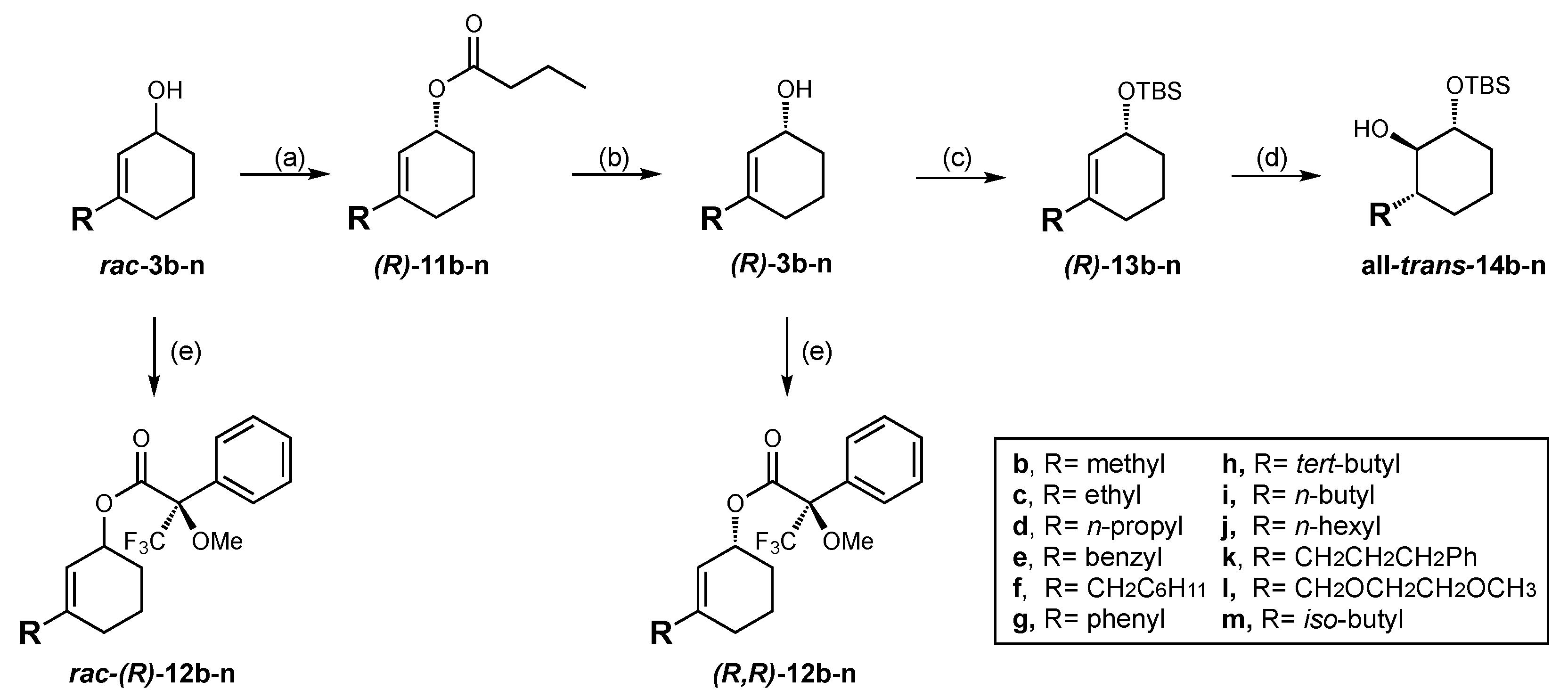
Originally, 1,2-cyclohexanediol (3a, R = H) was used as GlcNAc mimetic [11,12,13]. To counteract the pushing effect exerted by the NHAc group in sLex, additional alkyl or aryl groups adjacent to the linking position of fucose were introduced. Access to 3-alkyl/aryl-1,2-cyclohexanediols (3b-n) was planned by a stereo-selective enzymatic acylation with vinyl butyrate catalyzed by immobilized Candida antarctica lipase B (Novozym 435) [23,24]. Since Rotticci et al. [23] successfully applied the stereo-selective enzymatic acylation to 3-methyl-2-cyclohexenol (3b), we were confident that the enzymatic approach can be successfully transferred to a wide range of cyclohexenol derivatives.
2.1. Synthesis of 3-Alkyl/aryl-2-cyclohexen-1-ols (3b-m)
When 3-ethoxy-2-cyclohexen-1-one (4) was treated with the corresponding Grignard reagents followed by aqueous treatment, the 3-substituted cyclohexenones 5c and 5d were obtained. 3-Benzyl-2-cyclohexen-1-one (5e) was obtained by addition of 4-benzyloxy-1-bromobutane to a mixture of lithium and 3-ethoxycyclohexenone (4) [25]. The cyclohexenone derivatives 5b and 5f are commercially available. The required cyclohexenols 3b-3e were obtained by the reduction of 5b-f with NaBH4 in the presence of CeCl3·7H2O (Scheme 1) [26].
Scheme 1.
(a) RMgBr/Et2O, THF, 5b (comm.), 5c (89%), 5d (quant.), or 4-BnO(CH2)4Br, Li/THF, 5e (21%), 5f (comm.); (b) NaBH4, CeCl3·7H2O, MeOH, 3b (comm.), 3c (96%), 3d (75%), 3e (93%), 3f (quant); (c) PhLi, THF, 7g (88%), 7h (56%), 7i (83%), 7j (75%) or 4,4′-di-tert-butylbiphenyl/THF, Li metal, RBr, 7k (65%), 7l (37%), 7m (quant); (d) Pd(THF)2, CH3CN/H2O, 3g (66%), 3h (82%), 3i (60%), 3j (71%); 3k (73%), 3l (46%), 3m (77%); for experimental details see Supporting Information.
For the 3-substituted cyclohex-2-enols 3g-3m an alternative approach was explored, which entails a 1,2-addition of organometallic reagents to cyclohex-2-enone to form the allylic alcohols 7g-7m, followed by Pd(TFA)2 catalyzed 1,3-isomerization to yield 3g-3m (Scheme 1) [27].
For the synthesis of 3-(2,2,2-trifluoroethyl)-2-cyclohexen-1-ol (3n), commercial 3-(hydroxymethyl)-2-cyclohexen-1-one (8) was treated with 1-chloro-N,N,2-trimethylpropenylamine [28] to give the corresponding chloride 9 under neutral conditions in excellent yield. With methyl fluorosulfonyldifluoroacetate in the presence of CuI, the chloride in 9 was replaced by a trifluoromethyl group (→10) [29]. Reduction with NaBH4 in the presence of CeCl3·7H2O yielded the allyl alcohol 3n (Scheme 2) [26].
Scheme 2.
(a) 1-Chloro-N,N,2-trimethylpropenylamine, CH2Cl2, 0 °C (99%); (b) N-methyl-2-pyrrolidon, CuI, KF, FSO2CF2CO2Me, 70 °C, overnight (62%); (c) NaBH4, CeCl3·7H2O, Et2O/EtOH (92%); for experimental details see Supporting Information.
2.2. Enzyme-Catalyzed Kinetic Resolution of Rac-3-alkyl/aryl-2-cyclohexen-1-ol (3b-n)
Starting from commercially available racemic seudenol (3-methyl-2-cyclohexen-1-ol, 3b), the stereo-selective enzymatic acylation (→(R)-11b) with vinyl butyrate catalyzed by immobilized Candida antarctica lipase B (Novozym 435) was described by Rotticci [23] and Ter Halle [24]. Using optimized conditions for the enzymatic reaction [24], we could isolate (R)-seudenolester ((R)-11b) in 46% yield in up to 10 g scale. Subsequent saponification afforded (R)-3-methyl-2-cyclohexen-1-ol ((R)-3b), which was used without purification in the next step. By a similar approach, the 3-alkyl/arylcyclohex-2-en-1-ols ((R)-3c-n) were obtained (Scheme 3) with ee’s of 85% to 98% (Figure 2 and Table 1).
Scheme 3.
(a) Novozyme 435, vinylbutyrate, n-heptane, 23 °C, 200 rpm, 2 h 25 min, (17–46%); (b) aq. NaOH, MeOH, 0 °C, 5 h; (c) TBSCl, imidazole, DMAP, CH2Cl2, rt, 15 h; (d) i. BH3·THF, THF, 0 °C to rt, 2 h; ii. H2O2, aq. NaOH, 0 °C to rt (50%—quant.); (e) (R)-(-)-α-methoxy-α-(trifluoromethyl)phenylacetyl chloride, DMAP, CH2Cl2, 5 min, 0 °C, then 1 h, rt, 19F NMR were performed without purification of the Mosher derivatives; for experimental details see Supporting Information.
Figure 2.
19F NMR spectra of Mosher esters (R,R)-12b and rac,(R)-12b obtained from rac-3b and (R)-3b. for the 19F NMR spectra of Mosher esters (R,R)-12c-n see Table 1 and Supporting Information.
Table 1.
Diastereomeric excess (de) for Mosher derivatives (R,R)-12b-n.
19F is an important nucleus in NMR spectroscopy because of its receptivity and large chemical shift dispersion. 19F NMR spectroscopy is therefore perfectly suited to determine the enantiomeric excess (ee) based on a comparison of the Mosher esters of rac-3b and (R)-3b. The diastereomeric excess (de) for the Mosher ester (R,R)-12b of R-3b amounted to 97%. For the Mosher esters 12c-n, excellent de’s resulting in ee’s for 3c-n in the range of 85 to 98% were obtained as well.
Since the protecting group of the hydroxy group in (R)-3b-n has to be stable under strongly basic and acidic conditions, should not hamper fucosylation by steric bulk, and finally, should allow cleavage under mild conditions orthogonal to benzyl protecting groups, a tert-butyldimethylsilyl (TBS) ether (→(R)-13b-n) was chosen. Hydroboration followed by oxidation yielded all-trans-14b-n in 50–92% over two steps. By this short sequence all-trans-14b-n were obtained in acceptable to excellent yields, requiring only two chromatographic purifications.
2.3. Synthesis of the Mimetics 2b-n of Sialyl Lewisx (1)
Fucosylation of all-trans-14b under in situ anomerization conditions [30] gave 16b (Scheme 4), which was smoothly deprotected with tetrabutylammonium fluoride (TBAF), affording pseudodisaccharide 17b [17] in excellent yield over two steps. Galactosylation with donor 18 [31] promoted by dimethyl(methylthio)sulfonium triflate (DMTST) afforded 19b β-selectively. Debenzylation by hydrogenolysis followed by saponification with lithium hydroxide and ion exchange chromatography finally gave 2b. In a similar approach, the test compounds 2c-n were obtained.
Scheme 4.
(a) CuBr2, DTBMP, TBAB, CH2Cl2, DMF, MS 4 Å, rt, 10 h; (b) TBAF, THF, rt, 20 h; (c) DMTST, MS 3Å, CH2Cl2, rt, 43 h; (d) i. Pd/C, H2, EtOH, cat. AcOH, rt, ii. LiOH, MeOH/H2O, rt, 2 d, iii. Dowex (Na+), Sephadex-G15; for experimental details see Supporting Information.
2.4. Structural-Reporter Group for the Core Conformation
The 1H chemical shift of H-C5Fuc was monitored as a structural-reporter group for the strength of the non-conventional H-bond between H-C5Fuc and O5Gal. This chemical shift is highly sensitive to the frequency and distance of the non-conventional H-bond interaction and thus represents a population-weighted average of all conformations present in the solution (Table 2).
3. Discussion
The chemical shift of H-C5Fuc of sLex (1) is 4.83 ppm [32] and thus 0.9 ppm higher than that of the fucose monomer 20 [33] (Table 2). When Neu5Ac in sLex (1) was replaced by (S)-cyclohexyl lactic acid (→22) [11,12,13,17], the chemical shift of H-C5Fuc remains unchanged, i.e., the replacement has no influence on the core conformation. However, when the GlcNAc moiety was replaced by (R,R)-cyclohexane-1,2-diol (→2a) [17], a substantially high field shift (Δδ = 0.33) occurred, indicating that compared to sLex (1) the pre-organization of the core conformation is disturbed. Nevertheless, the affinity was improved five-fold, although the chemical shift of H-C5Fuc of 4.50 ppm in 2a is a clear indication for raised conformational entropy costs. This penalty, however, is obviously overcompensated by lower enthalpic desolvation costs originating from a reduction of the polar surface area (PSA) [34] due to the replacement of GlcNAc by (R,R)-cyclohexane-1,2-diol (PSA22= 324 Å2 vs. PSA2a= 205 Å2).
Table 2.
The affinity of the E-selectin antagonists 2a-n was assessed by microscale thermophoresis (MST) measurements. Chemical shifts from 1H NMR experiments. Affinities and 1H NMR chemical shift for 1, 2a, 20–22 are literature data [7,17,32,33,35]. Synthesis and assay procedures are described in the Supplementary Information.
Table 2.
The affinity of the E-selectin antagonists 2a-n was assessed by microscale thermophoresis (MST) measurements. Chemical shifts from 1H NMR experiments. Affinities and 1H NMR chemical shift for 1, 2a, 20–22 are literature data [7,17,32,33,35]. Synthesis and assay procedures are described in the Supplementary Information.
![]() | |||||||||
| Comp. | R | KD [μM] | H-C5Fuc δ [ppm] | Comp. | R | KD [μM] | H-C5Fuc δ [ppm] | ||
| 2a | H | 60.7 | 4.50 [17] | 2h | t-Bu | 51 | 4.03 | ||
| 2b | Me | 17.8 | 4.84 [17] | 2i | n-Bu | 5.4 | 4.86 | ||
| 2c | Et | 9.5 | 4.84 [17] | 2j | n-Hex | 4.3 | 4.83 | ||
| 2d | i-Pr | 6.8 | 4.85 | 2k | (CH2)3Ph | 28 | 4.75 | ||
| 2e | Benzyl | 18 | 4.87 | 2l | CH2O(CH2)2OMe | 31 | 4.84 | ||
| 2f | CH2C6H11 | 14 | 4.83 | 2m | i-Bu | 6 | 4.85 | ||
| 2g | Phenyl | 8.8 | 4.75 | 2n | CH2CF3 | 9.5 | 4.61 | ||
| Reference compounds | |||||||||
| Comp. | KD [μM] | H-C5Fuc δ [ppm] | |||||||
| 20 | 3.93 [33] | ||||||||
| 21 | 4922 | 4.12 [23] | |||||||
| 22 | 280 [11,12,13] | 4.83 [17] | |||||||
| sLex (1) | 877 [7] | 4.83 [32] | |||||||
The transition from (R,R)-cyclohexane-1,2-diol in 2a to (R,R,S)-3-methylcyclohexane-1,2-diol in 2b caused a 3.5-fold improvement of KD. Whereas binding and desolvation enthalpy should remain unchanged (almost identical water shell, same PSA and same pharmacophore), the improved pre-organization of the core in the bioactive conformation (H-C5Fuc increases from 4.50 ppm for 2a to 4.84 ppm for 2b) is obviously responsible for the improved KD of 2b.
As reported earlier [17], the additional methyl group in 2b pushes the Fuc moiety—as the NHAc group in sLex (1)—underneath the Gal moiety, leading to comparable pre-organization of the core as indicated by the same chemical shift for H-C5Fuc. Linear R-groups as in 2b-d,i,j,m lead to chemical shifts of H-C5Fuc similar to sLex (1). They obviously support the bioactive core conformation, resulting in single-digit micromolar binding affinities. However, with a bulkier R-group as in 2h (R = t-Bu) a high-field chemical shift of H-C5Fuc accompanied by a loss in affinity was observed. Finally, although 2e (R = benzyl), 2f (R = CH2C6H11), and 2l (R = CH2O(CH2)2OMe) exhibit chemical shifts for H-C5Fuc characteristic for an optimal core conformation, they show slightly lower affinities. According to saturation transfer difference (STD)-NMR, hydrophobic contacts of the methyl group in 2b can be excluded [17]. This was also confirmed by the X-ray structure of 2b (R = Me) co-crystallized with E-selectin (PDB 4C16), where both Arg84 and Gln85 as parts of the E-selectin binding site have thermal B-factors of ~74 (at carbon atom CZ) and ~78 (at carbon atom CD), respectively, which is a clear sign for a high flexibility of their amino acid side chains compared to the backbone (B-factors of ~45 at CA). However, bulky R-groups can establish van der Waals contacts with Arg84 and Gln85. This limits the flexibility of the amino acid side chains causing an entropy penalty and reduced affinities. In most pronounced cases a steric clash may also disrupt the optimal core conformation or prevent from proper access to the binding site as observed for 2g (R = phenyl) and 2k (R = (CH2)3Ph). In the case of 2l (R = CH2O(CH2)2OMe), an additional desolvation penalty for the rather polar R-group may be involved as well. Surprisingly, although virtually the same KD’s were obtained for 2c (R = CH2CH3) and 2n (R = CH2CF3), there is a large difference between the chemical shifts of H-C5Fuc (Δδ = 0.23) for the two compounds.
Based on the binding affinities KD, the Gibbs free energies ΔG were calculated (Table 3). Because in 21, which contains a flexible ethanediol as GlcNAc replacement, the chemical shift for H-C5Fuc is close to that of the Fuc monosaccharide 20 (4.12 and 3.93 ppm, respectively, Table 2), a contribution related to a direct neighborhood of H-C5Fuc and O5Gal can therefore be excluded. The 80-fold improvement of affinity for 2a compared to 21 is related to reduced entropy costs, predominantly as a consequence of the reduced flexibility of the linker. All other thermodynamic parameters defining affinity (similar pharmacophore and desolvation costs) remain approximately the same size. Thus, the ΔΔG21→2a of 10.89 kJ mol−1 is, if at all, related to the formation of the non-conventional H-bond but mainly to the rigidified linker. Finally, the introduction of an R group further limits the flexibility of the core by pushing the Fuc moiety underneath the Gal unit enabling the formation of a non-conventional H-bond between H-C5Fuc and O5Gal. Thus, ΔΔG2a→2b of 3.06 kJ mol−1 and ΔΔG2a→2j of 6.57 kJ mol−1 result from the steric effect of the R-group as well as from the formation of a non-conventional H-bond.
Table 3.
KD and the calculated Gibbs free energies ΔG= -RT lnKD.
4. Conclusions
A common strategy for the design of glycomimetics is the substitution of carbohydrate moieties by carbocyclic scaffolds. It results in lower polarity, i.e., reduced desolvation costs but also increased hydrolytic and metabolic stability. In addition, the facile synthetic accessibility of the mimetic structures, which, as a consequence of the chirality of the parent carbohydrate moiety includes stereochemical challenges, is of cardinal importance.
We developed a fast and efficient approach to (R)-3-alkyl/aryl-cyclohex-2-en-1-ol ((R)-3b-n) starting from the racemic precursors rac-3b-n by stereo-selective enzymatic acylation catalyzed by immobilized Candida antarctica lipase B (Novozym 435) [23,24]. By subsequent hydroboration, fucosylation, and galactosylation, a novel class of selectin antagonists could efficiently be explored.
For evaluating the core conformation of the sLex mimetics (R)-2a-n, the chemical shift of H-C5Fuc proved to be a valuable structural-reporter group [18,19]. When mimetics exhibit a chemical shift for H-C5Fuc between 4.83 and 4.86 ppm, their core conformation is comparable to the natural counterpart sLex (1) [21,32]. In contrast, high-field shifts indicate a disturbed pre-organization of the core, leading to an increase in conformational entropy costs. Examples with pre-shaped cores are 2c,d,i,j,m exhibiting affinities in the range of 4.3–9.5 μM. On the other hand, when the R-group is increasingly space-demanding as in 2h and 2k, the optimal core conformation is disrupted (H-C5Fuc 4.03, 4.75 ppm) or optimal access of the ligand to the binding site is hindered, consequently leading to a substantial loss of affinity.
In summary, H-C5Fuc proved to be a reliable reporter group for evaluating to what extent the core of the sLex mimetics 2b-2n is pre-organized in the bioactive conformation. The correlation is, therefore, a qualitative tool to quickly predict the efficacy of a derivative as an E-selectin binder. Furthermore, the improvement of the Gibbs free energy ΔG° by > 6.5 kJ mol−1, i.e., a 10-fold improvement of affinity, impressively shows the relevance of the contribution by the pre-shaped core and the non-conventional H-bond to binding.
5. Materials and Methods
E-selectin production (cloning, transfection, expression, and purification) and labeling were previously described for the E-selectinSCR6-IgGFc construct [12] and for the E-selectinSCR2 construct [36].
E-selectinLEC2 was labeled using the amine reactive protein labeling kit BLUE-NHS as described in the Supporting Information. Buffer exchange and labeling were performed according to the manufacturer’s protocol. To protect the lysines in the binding site from being labeled, the protein was saturated with 600 µM of compound 2b. The labeled protein was dialyzed over night against assay buffer (10 mM HEPES pH 7.4, 150 mM NaCl, 1 mM CaCl2) using Slide-A-Lyzer dialysis cassettes (10 kDa MWCO). Protein concentration was determined by HPLC-UV against a BSA standard.
Microscale thermophoresis (MST) experiments were carried out at 25 °C with 100% LED power, 50% laser power, a laser on time of 30 s, and a laser off time of 5 sec using standard treated capillaries. Ligands were dissolved in assay buffer supplemented with 0.05% v/v Tween20 and titrated 1:1 for a total of 16 dilution steps. The dilution series of ligand was mixed 1:1 with a solution of 0.2 μM labeled E-SelectinSCR2 and incubated for 10 min at room temperature before measurement. Datapoints were normalized using the bound and unbound borders achieved by NanoTemper Analysis 1.2.205 software (NanoTemper Technologies GmbH, Munich, Germany) and analyzed/illustrated with GraphPad Prism 5.0 (GraphPad Software, La Jolla, CA, USA). The measurements were globally fitted using Equation (1) for single site binding [37].
where [PL] is the protein–ligand complex concentration and KD is the dissociation constant. CP represents the total concentration of protein and CL the total concentration of ligand.
Supplementary Materials
The following supporting information can be downloaded at: https://www.mdpi.com/article/10.3390/molecules28062595/s1. Syntheses and analytical characterizations of test compounds 2b-2n and Mosher esters rac,(R)-12b-n and (R,R)-12b-n including 19F NMR of the Mosher derivatives of 3b-3n, 1H and 13C NMR spectra and HPLC traces of all test compounds 2b-2n, labeling protocol of E-selectinSCR2, description of the microscale thermophoresis assay. Scheme 1: Synthesis of the cyclohex-2-en-1-one derivatives 3b-f; Scheme 2: Synthesis of the cyclohex-2-en-1-one derivatives 3g-m; Scheme 3: Synthesis of 3-(2,2,2-trifluoroethyl)cyclohex-2-en-1-ol (3n). Scheme 4: GlcNAc mimetics (R)-14b-n. Scheme 5: Synthesis of selectin antagonists 2b-n.
Author Contributions
Conceptualization, B.E. and O.S.; methodology, B.E.; validation, B.E., O.S. and M.S.; investigation, B.W., X.J., F.P.C.B. and T.M.; resources, B.W., R.C.P. and S.R.; data curation, B.E.; writing—original draft preparation, B.E.; writing—review and editing, O.S. and B.E.; visualization, B.E.; supervision, B.E.; project administration, B.E.; funding acquisition, B.E. All authors have read and agreed to the published version of the manuscript.
Funding
We gratefully acknowledge the financial support by Glycomimetics Inc., Gaithersburg, Maryland 20878, USA.
Institutional Review Board Statement
Not applicable.
Informed Consent Statement
Not applicable.
Data Availability Statement
Not applicable.
Conflicts of Interest
The authors declare no conflict of interest.
References
- Ernst, B.; Magnani, J.L. From carbohydrate leads to glycomimetic drugs. Nat. Rev. Drug Discov. 2009, 8, 661–677. [Google Scholar] [CrossRef] [PubMed]
- Zetterberg, F.R.; MacKinnon, A.; Brimert, T.; Gravelle, L.; Johnsson, R.E.; Kahl-Knutson, B.; Leffler, H.; Nilsson, U.J.; Pedersen, A.; Peterson, K.; et al. Discovery and optimization of the first highly effective and orally available galectin-3 inhibitor for the treatment of fibrotic disease. J. Med. Chem. 2022, 65, 12626–12638. [Google Scholar] [CrossRef] [PubMed]
- Slack, R.J.; Mills, R.; Mackinnon, A.C. The therapeutic potential of galectin-3 inhibition in fibrotic disease. Int. J. Biochem. Cell Biol. 2021, 130, 105881. [Google Scholar] [CrossRef] [PubMed]
- Lim, J.; Sari-Ak, D.; Bagga, T. Siglecs as therapeutic targets in cancer. Biology 2021, 10, 1178–1205. [Google Scholar] [CrossRef] [PubMed]
- Crocker, P.R.; Paulson, J.C.; Varki, A. Siglecs and their roles in the immune system. Nat. Rev. Immunol. 2007, 7, 255–266. [Google Scholar] [CrossRef]
- Kim, C.U.; Lew, W.; Williams, M.A.; Liu, H.T.; Zhang, L.J.; Swaminathan, S.; Bischofberger, N.; Chen, M.S.; Mendel, D.B.; Tai, C.Y.; et al. Influenza neuraminidase inhibitors possessing a novel hydrophobic interaction in the enzyme active site. J. Am. Chem. Soc. 1997, 119, 681–690. [Google Scholar] [CrossRef]
- Binder, F.P.C.; Lemme, K.; Preston, R.C.; Ernst, B. Sialyl Lewisx: A “pre-organized water oligomer”. Angew. Chem. Int. Ed. 2012, 51, 73277331. [Google Scholar] [CrossRef]
- Cabani, S.; Gianni, P.; Mollica, V.; Lepori, L. Group contributions to the thermodynamic properties of non-ionic organic solutes in dilute aqueous solution. J. Solution Chem. 1981, 10, 563–595. [Google Scholar] [CrossRef]
- Vedani, A.; Huhta, D.W. A new force field for modeling metalloproteins. J. Am. Chem. Soc. 1990, 112, 4759–4767. [Google Scholar] [CrossRef]
- D’Aquino, J.A.; Freire, E.; Amzel, L.M. Binding of small organic molecules to macromolecular targets: Evaluation of conformational entropy charges. Proteins 2000, 4, 93–107. [Google Scholar] [CrossRef]
- Kolb, H.C.; Ernst, B. Development of tools for the design of selectin antagonists. Chem. Eur. J. 1997, 3, 1571–1578. [Google Scholar] [CrossRef]
- Jahnke, W.; Kolb, H.C.; Blommers, M.J.J.; Magnani, J.L.; Ernst, B. Comparison of the bioactive conformation of sialyl Lewisx and a potent sialyl Lewisx mimic. Angew. Chem. Int. Ed. Engl. 1997, 36, 2603–2607. [Google Scholar] [CrossRef]
- Norman, K.E.; Anderson, G.P.; Kolb, H.C.; Ley, K.; Ernst, B. Sialyl Lewisx (sLex) and an sLex mimetic, CGP69669A, disrupt E-selectin-dependent leukocyte rolling in vivo. Blood 1998, 91, 475–483. [Google Scholar] [CrossRef] [PubMed]
- Holub, N.; Neidhöfer, J.; Blechert, S. The total synthesis of (+)-trans-195A. Org. Lett. 2005, 7, 1227–1229. [Google Scholar] [CrossRef] [PubMed]
- Corey, E.J.; Helal, C.J. Reduction of carbonyl compounds with chiral oxazaborolidine catalysts: A new paradigm for enantioselective catalysis and a powerful new synthetic method. Angew. Chem. Int. Ed. 1998, 37, 1986–2012. [Google Scholar] [CrossRef]
- Alexakis, A.; Jachiet, D.; Normand, J.F. Boron fluoride promoted opening of epoxides by organocopper and cuprate reagents. Tetrahedron 1986, 42, 5607–5619. [Google Scholar] [CrossRef]
- Schwizer, D.; Patton, J.T.; Cutting, B.; Smieško, M.; Wagner, B.; Kato, A.; Weckerle, C.; Binder, F.P.; Rabbani, S.; Schwardt, O.; et al. Pre-organization of the core structure of E-selectin antagonists. Chem. Eur. J. 2012, 18, 1342–1351. [Google Scholar] [CrossRef]
- Van Leeuwen, S.S.; Leeflang, B.R.; Gerwig, G.J.; Kamerling, J.P. Development of a 1H NMR structural-reporter group concept for the primary structural characterization of α-d-glucans. Carbohydr. Res. 2008, 343, 1114–1119. [Google Scholar] [CrossRef]
- Spik, G.; Debruyne, V.; Montreuil, J.; van Halbeck, H.; Vliegenthart, J.F.G. Primary structures of two sialylated triantennary glycans from human serotransferrin. FEBS 1985, 183, 65–69. [Google Scholar] [CrossRef]
- Zierke, M.; Smieško, M.; Rabbani, S.; Aeschbacher, T.; Cutting, B.; Allain, F.H.-T.; Schubert, M.; Ernst, B. Stabilization of branched oligosaccharides: Lewisx benefits from a non-conventional C-H•••O hydrogen bond. J. Am. Chem. Soc. 2013, 135, 13464–13472. [Google Scholar] [CrossRef]
- Aeschbacher, T.; Zierke, M.; Smieško, M.; Collot, M.; Mallet, J.-M.; Ernst, B.; Allain, F.H.-T.; Schubert, M. A secondary structural element in a wide range of fucosylated glycoepitopes. Chem. Eur. J. 2017, 23, 11598–11610. [Google Scholar] [CrossRef] [PubMed]
- Battistell, M.D.; Azurmendi, H.F.; Frank, M.; Freedberg, D.I. Uncovering nonconventional and conventional hydrogen bonds in oligosaccharides through NMR experiments and molecular modeling: Application to sialyl Lewisx. J. Am. Chem. Soc. 2015, 137, 13444–13447. [Google Scholar] [CrossRef]
- Rotticci, D.; Norin, T.; Hult, K. Mass transport limitation reduce the effective stereospecificity in enzyme-catalyzed kinetic resolution. Org. Lett. 2000, 2, 1373–1376. [Google Scholar] [CrossRef]
- Ter Halle, R.; Bernet, Y.; Billard, S.; Bufferne, C.; Carlier, P.; Delaitre, C.; Flouzat, C.; Humbolt, G.; Laigle, J.C.; Lombard, F.; et al. Development of a practical multikilogram production of (R)-seudenol by enzymatic resolution. Org. Process Res. Dev. 2004, 8, 283–286. [Google Scholar] [CrossRef]
- Barnier, J.-P.; Morisson, V.; Volle, J.; Blanco, L. Chemo-enzymatic preparation of optically active endo-bicyclo [4.1.0]heptan-2-ols. Tetrahedron Asymmetry 1999, 10, 1107–1117. [Google Scholar] [CrossRef]
- Luche, J.-L. Lanthanides in organic chemistry. 1. Selective 1,2 reduction of conjugated ketones. J. Am. Chem. Soc. 1978, 100, 2226–2227. [Google Scholar] [CrossRef]
- Li, J.; Tan, C.; Gong, J.; Yang, Z. Palladium-catalyzed oxidative rearrangement of tertiary allylic alcohols to enones with oxygen in aqueous solvent. Org. Lett. 2014, 16, 5370–5373. [Google Scholar] [CrossRef]
- Munyemana, F.; Frique-Hesbain, A.-M.; Devos, A.; Ghosez, L. Synthesis of alkyl halides under neutral conditions. Tetrahedron Lett. 1989, 30, 3077–3080. [Google Scholar] [CrossRef]
- Chen, Q.-Y.; Wu, S.-W. Methyl fluorosulphonyldifluoroacetate; a new trifluoromethylating agent. J. Chem. Soc. Chem. Commun. 1989, 705–706. [Google Scholar] [CrossRef]
- Sato, S.; Mori, M.; Ito, Y.; Ogawa, T. An efficient approach to O-glycosides through CuBr2—Bu4NBr mediated activation of glycosides. Carbohydr. Res. 1986, 155, C6–C10. [Google Scholar] [CrossRef]
- Ernst, B.; Wagner, B.; Baisch, G.; Katopodis, A.; Winkler, T.; Öhrlein, R. Substrate specificity of fucosyl transferase III: An efficient synthesis of sialyl Lewisx-, sialyl Lewisa-derivatives and mimetics thereof. Can. J. Chem. 2000, 78, 892–904. [Google Scholar] [CrossRef]
- Ball, G.E.; O’Neill, R.A.; Schultz, J.E.; Lowe, J.B.; Weston, B.W.; Nagy, J.O.; Brown, E.G.; Hobbs, C.J.; Bednarski, M.D. Synthesis and structural analysis using 2-D NMR of sialyl Lewisx (sLex) and Lewisx (Lex) oligosaccharides: Ligands related to E-selectin [ELAM-1] binding. J. Am. Chem. Soc. 1992, 114, 5449–5451. [Google Scholar] [CrossRef]
- Zehavi, U.; Sharon, N. The synthesis of methyl 2,4-diacetamido-2,4,6-trideoxy hexapyranosides. J. Org. Chem. 1972, 37, 2141–2145. [Google Scholar] [CrossRef] [PubMed]
- Ertl, P.; Rohde, B.; Selzer, P. Fast calculation of molecular polar surface area as a sum of fragment-based contributions and its application to the prediction of drug transport properties. J. Med. Chem. 2000, 43, 3714–3717. [Google Scholar] [CrossRef]
- Thoma, G.; Magnani, J.L.; Patton, J.T.; Ernst, B.; Jahnke, W. Preorganization of the bioactive conformation of sialyl Lewisx analogues correlates with their affinity to E-selectin. Angew. Chem. Int. Ed. 2001, 40, 1941–1945. [Google Scholar] [CrossRef]
- Preston, R.C.; Jakob, R.J.; Binder, F.P.C.; Sager, C.P.; Ernst, B.; Maier, T. E-selectin ligand complexes adopt an extended high-affinity conformation. J. Mol. Cell. Biol. 2016, 8, 62–72. [Google Scholar] [CrossRef] [PubMed]
- Cooper, A. Thermodynamics and Interaction. In RSC Tutorial Chemistry Text No. 16. Biophysical Chemistry; Humphrey, S., Macpherson, J., Taylor, P., Eds.; The Royal Society of Chemistry: Cambridge, UK, 2004; pp. 109–110. [Google Scholar]
Disclaimer/Publisher’s Note: The statements, opinions and data contained in all publications are solely those of the individual author(s) and contributor(s) and not of MDPI and/or the editor(s). MDPI and/or the editor(s) disclaim responsibility for any injury to people or property resulting from any ideas, methods, instructions or products referred to in the content. |
© 2023 by the authors. Licensee MDPI, Basel, Switzerland. This article is an open access article distributed under the terms and conditions of the Creative Commons Attribution (CC BY) license (https://creativecommons.org/licenses/by/4.0/).






