Biogenic Preparation and Characterization of Silver Nanoparticles from Seed Kernel of Mangifera indica and Their Antibacterial Potential against Shigella spp.
Abstract
1. Introduction
2. Results and Discussion
3. Materials and Methods
3.1. Plant Sample Collection and Preparation
3.2. Mango Seed Kernel Extract Preparation
3.3. Synthesis of Mango Kernel-Based Silver Nanoparticles (MK-AgNPs)
3.4. Characterization of MK-AgNPs
3.5. Phytochemical Analysis
3.6. Isolation of Shigella from Diarrheal Stool Samples
3.7. Selection of Multidrug-Resistant Shigella Isolate
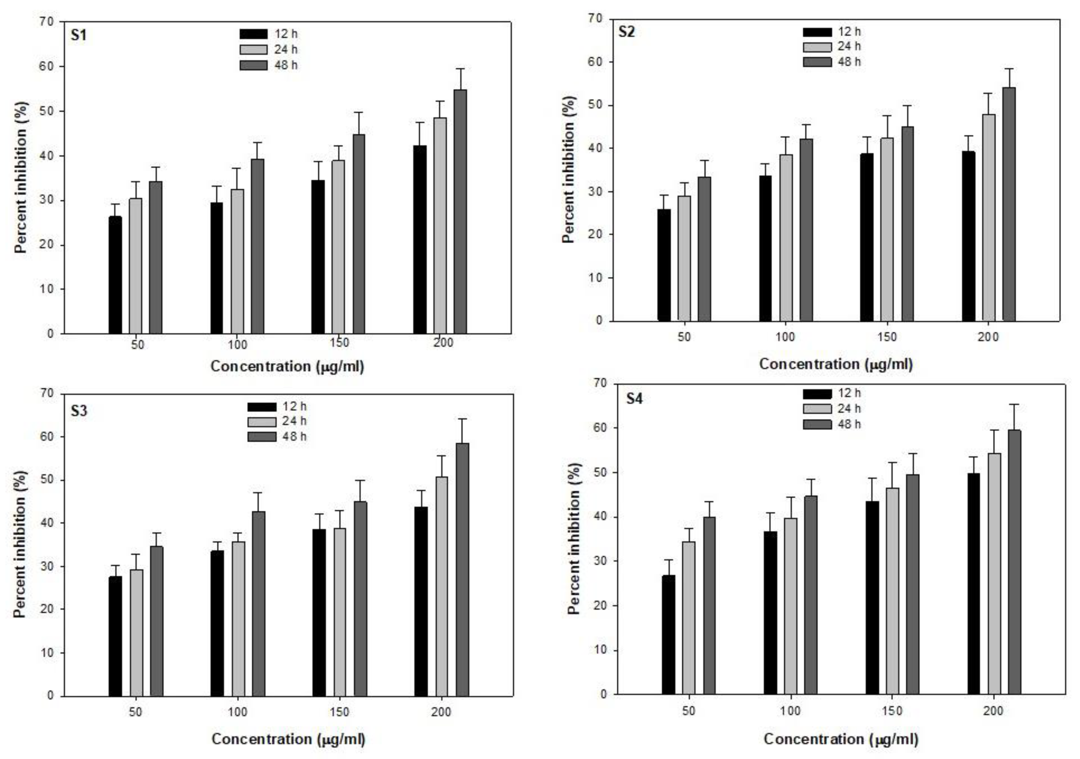
3.8. Antibacterial Activity of MK-AgNPs
3.9. Minimum Inhibitory Concentration (MIC) of MK-AgNPs
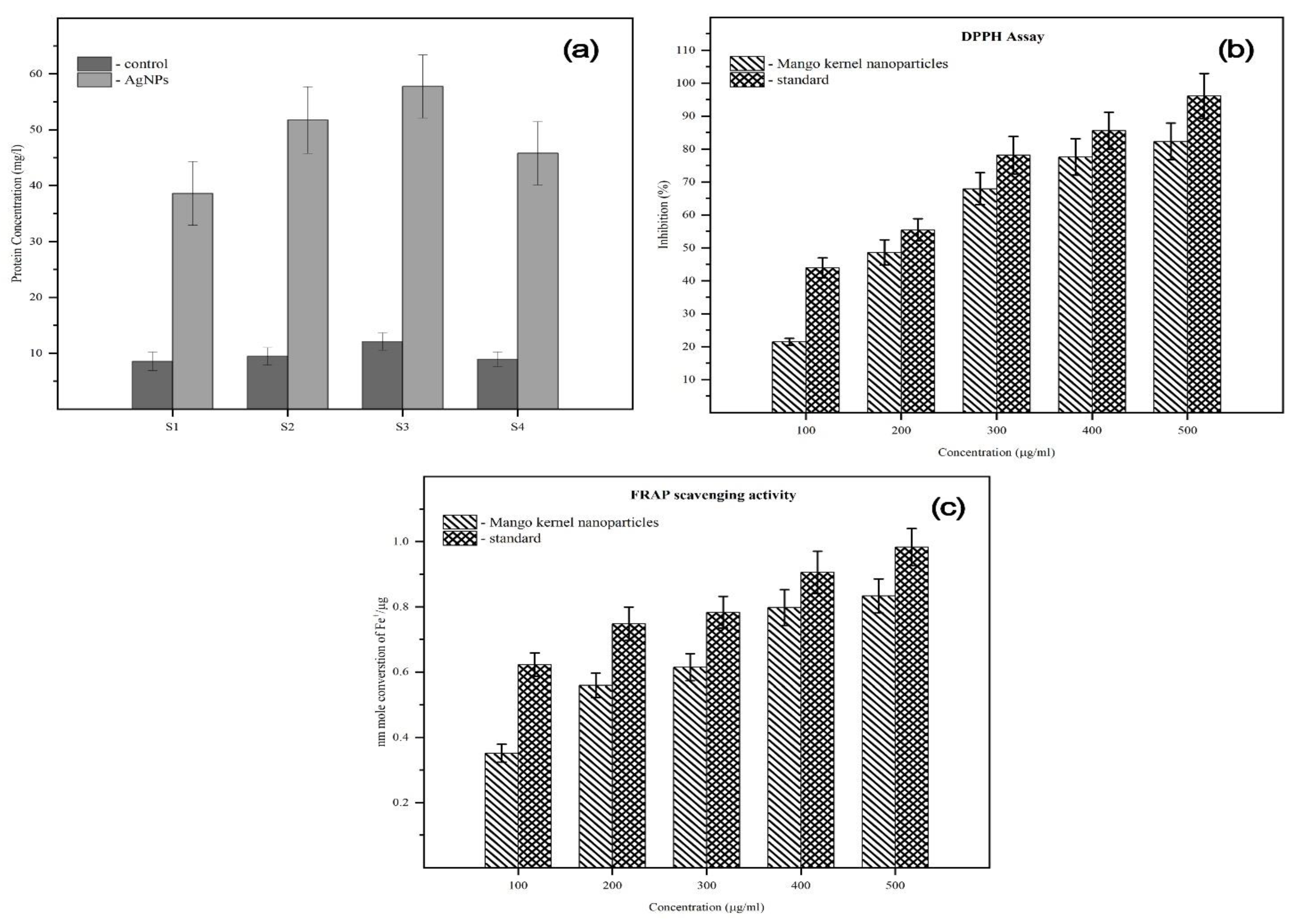
3.10. Protein Leakage Assay
3.11. Antioxidant Activity of MK-AgNPs
3.12. Ferric Reducing of Antioxidant Power Assay (FRAP Assay)
4. Conclusions
Supplementary Materials
Author Contributions
Funding
Institutional Review Board Statement
Informed Consent Statement
Data Availability Statement
Acknowledgments
Conflicts of Interest
References
- Puzari, M.; Sharma, M.; Chetia, P. Emergence of antibiotic resistant Shigella species: A matter of concern. J. Infect. Public Health 2018, 11, 451–454. [Google Scholar] [CrossRef] [PubMed]
- Al-Dahmoshi, H.; Al-Khafaji, N.; Al-Allak, M.; Salman, W.; Alabbasi, A. A review on shigellosis: Pathogenesis and antibiotic resistance. Drug Invent. Today 2020, 14, 793–798. [Google Scholar]
- Bai, X.; Li, X.; Liu, X.; Xing, Z.; Su, R.; Wang, Y.; Xia, X.; Shi, C. Antibacterial Effect of Eugenol on Shigella flexneri and Its Mechanism. Foods 2022, 11, 2565. [Google Scholar] [CrossRef] [PubMed]
- Taneja, N.; Mewara, A. Shigellosis: Epidemiology in India. Indian J. Med. Res. 2016, 143, 565. [Google Scholar] [CrossRef] [PubMed]
- Nazoori, E.S.; Kariminik, A. In Vitro Evaluation of Antibacterial Properties of Zinc Oxide Nanoparticles on Pathogenic Prokaryotes. J. Appl. Biotechnol. Rep. 2018, 5, 162–165. [Google Scholar] [CrossRef]
- Ranjbar, R.; Farahani, A. Shigella: Antibiotic-Resistance Mechanisms and New Horizons for Treatment. Infect. Drug Resist. 2019, 12, 3137–3167. [Google Scholar] [CrossRef]
- Pungle, R.; Nile, S.H.; Makwana, N.; Singh, R.; Singh, R.P.; Kharat, A.S. Green Synthesis of Silver Nanoparticles Using the Tridax procumbens Plant Extract and Screening of Its Antimicrobial and Anticancer Activities. Hindawi Oxidative Med. Cell. Longev. 2022, 2022, 9671594. [Google Scholar] [CrossRef]
- Angamuthu, S.; Ramaswamy, C.R.; Thangaswamy, S.; Sadhasivam, D.R.; Nallaswamy, V.D.; Subramanian, R.; Ganesan, R.; Raju, A. Metabolic annotation, interactions and characterization of natural products of mango (Mangifera indica L.): 1H NMR based chemical metabolomics profiling. Process Biochem. 2021, 108, 18–25. [Google Scholar] [CrossRef]
- Sharma, G.; Nam, J.-S.; Sharma, A.; Lee, S.-S. Antimicrobial Potential of Silver Nanoparticles Synthesized Using Medicinal Herb Coptidis rhizome. Molecules 2018, 23, 2268. [Google Scholar] [CrossRef]
- Patel, G.; Kheni, J. Mango seed kernel, a highly nutritious food, should we continue to trash or use? J. Pharmacogn. Phytochem. 2018, 7, 4–7. [Google Scholar]
- Gumte, S.; Taur, A.; Sawate, A.; Thorat, P. Effect of processing on proximate and phytochemical content of mango (Mangifera indica) kernel. Int. J. Chem. Stud. 2018, 6, 3728–3733. [Google Scholar]
- Rajan, S.; Thirunalasundari, T.; Jeeva, S. Anti-enteric bacterial activity and phytochemical analysis of the seed kernel extract of Mangifera indica Linnaeus against Shigella dysenteriae (Shiga, corrig.) Castellani and Chalmers. Asian Pac. J. Trop. Med. 2011, 4, 294–300. [Google Scholar] [CrossRef]
- Engels, C.; Gänzle, M.G.; Schieber, A. Fast LC–MS analysis of gallotannins from mango (Mangifera indica L.) kernels and effects of methanolysis on their antibacterial activity and iron binding capacity. Food Res. Int. 2012, 45, 422–426. [Google Scholar] [CrossRef]
- Azhagesan, G.; Rajan, S.; Soranam, R. Anti-Salmonella activities of Mangifera indica seed kernel aqueous extract (MISKAE). Adv. Appl. Sci. Res. 2015, 6, 75–80. [Google Scholar]
- Lim, K.J.A.; Cabajar, A.A.; Lobarbio, C.F.Y.; Taboada, E.B.; Lacks, D.J. Extraction of bioactive compounds from mango (Mangifera indica L. var. Carabao) seed kernel with ethanol–water binary solvent systems. J. Food Sci. Technol. 2019, 56, 2536–2544. [Google Scholar] [CrossRef]
- Yang, N.; Li, W.H. Mango peel extract mediated novel route for synthesis of silver nanoparticles and antibacterial application of silver nanoparticles loaded onto non-woven fabrics. Ind. Crop. Prod. 2013, 48, 81–88. [Google Scholar] [CrossRef]
- Sundeep, D.; Kumar, T.V.; Rao, P.S.S.; Ravikumar, R.V.S.S.N.; Krishna, A.G. Green synthesis and characterization of Ag nanoparticles from Mangifera indica leaves for dental restoration and antibacterial applications. Prog. Biomater. 2017, 6, 57–66. [Google Scholar] [CrossRef]
- Ameen, F.; Srinivasan, P.; Selvankumar, T.; Kamala-Kannan, S.; al Nadhari, S.; Almansob, A.; Dawoud, T.; Govarthanan, M. Phytosynthesis of silver nanoparticles using Mangifera indica flower extract as bioreductant and their broad-spectrum antibacterial activity. Bioorg. Chem. 2019, 88, 102970. [Google Scholar] [CrossRef]
- Salati, S.; Doudi, M.; Madani, M. The Biological Synthesis of Silver Nanoparticles by Mango Plant Extract and Its Anti-Candida Effects. J. Appl. Biotechnol. Rep. 2018, 5, 157–161. [Google Scholar] [CrossRef]
- Navarro, M.; Arnaez, E.; Moreira, I.; Quesada, S.; Azofeifa, G.; Wilhelm, K.; Vargas, F.; Chen, P. Polyphenolic Characterization, Antioxidant, and Cytotoxic Activities of Mangifera indica Cultivars from Costa Rica. Foods 2019, 8, 384. [Google Scholar] [CrossRef]
- Donga, S.; Chanda, S. Facile green synthesis of silver nanoparticles using Mangifera indica seed aqueous extract and its antimicrobial, antioxidant and cytotoxic potential (3-in-1 system). ARTIF. Cells Nanomed. Biotechnol. 2021, 49, 292–302. [Google Scholar] [CrossRef] [PubMed]
- Abdullah, A.; Mohammed, A.; Abdullah, R.; Mirghani, M. Identification and quantification of phenolic compounds in Mangifera indica waterlily kernel and their free radical scavenging activity. J. Adv. Agric. Technol. 2015, 2, 1–7. [Google Scholar] [CrossRef]
- Donga, S.; Bhadu, G.R.; Chanda, S. Antimicrobial, antioxidant and anticancer activities of gold nanoparticles green synthesized using Mangifera indica seed aqueous extract. Artif. Cells Nanomed. Biotechnol. 2020, 48, 1315–1325. [Google Scholar] [CrossRef]
- Jaffri, S.B.; Ahmad, K.S. Augmented photocatalytic, antibacterial and antifungal activity of prunosynthetic silver nanoparticles. Artif. Cells Nanomed. Biotechnol. 2018, 46, 127–137. [Google Scholar] [CrossRef] [PubMed]
- Xing, Y.; Liao, X.; Liu, X.; Li, W.; Huang, R.; Tang, J.; Xu, Q.; Li, X.; Yu, J. Characterization and Antimicrobial Activity of Silver Nanoparticles Synthesized with the Peel Extract of Mango. Materials 2021, 14, 5878. [Google Scholar] [CrossRef]
- Taneja, N.; Mewara, A.; Kumar, A.; Verma, G.; Sharma, M. Cephalosporin-resistant Shigella flexneri over 9 years (2001–2009) in India. J. Antimicrob. Chemother. 2012, 67, 1347–1353. [Google Scholar] [CrossRef]
- Ajitha, Y.; Ashok Kumar Reddy, P. Sreedhara Reddy, Green synthesis and characterization of silver nanoparticles using Lantana camara leaf extract. Mater. Sci. Eng. C 2015, 49, 373–381. [Google Scholar] [CrossRef]
- Shehabeldine, A.M.; Amin, B.H.; Hagras, F.A.; Ramadan, A.A.; Kamel, M.R.; Ahmed, M.A.; Salem, S.S. Potential Antimicrobial and Antibiofilm Properties of Copper Oxide Nanoparticles: Time-Kill Kinetic Essay and Ultrastructure of Pathogenic Bacterial Cells. Appl. Biochem. Biotechnol. 2022, 195, 467–485. [Google Scholar] [CrossRef]
- Salem, S.S.; Hashem, A.H.; Sallam AA, M.; Doghish, A.S.; Al-Askar, A.A.; Arishi, A.A.; Shehabeldine, A.M. Synthesis of silver nanocomposite based on carboxymethyl cellulose: Antibacterial, antifungal and anticancer activities. Polymers 2022, 14, 3352. [Google Scholar] [CrossRef]
- Seghosime, A.; Ebeigbe, A.B.; Awudza, J.A.M. Potential use of Mangifera indica seed kernel and Citrus aurantiifolia seed in water disinfection. Niger. J. Technol. 2018, 36, 1303. [Google Scholar] [CrossRef]
- Omara, S.; Zawrah, M.; Samy, A. Minimum bactericidal concentration of chemically synthesized silver nanoparticles against pathogenic Salmonella and Shigella strains isolated from layer poultry farms. J. Appl. Pharm. Sci. 2017, 7, 214–221. [Google Scholar] [CrossRef]
- Nahar, K.; Aziz, S.; Bashar, M.; Haque, M.; Al-Reza, S. Synthesis and characterization of Silver nanoparticles from Cinnamomum tamala leaf extract and its antibacterial potential. Int. J. Nano Dimens. 2020, 11, 88–98. [Google Scholar]
- El-Kady, T.M.A.; El-Rahman, M.K.A.; Toliba, A.O.; El-maty, S.M.A. Evaluation of Mango Seed kernel Extract as natural occurring phenolic rich antioxidant compound. Bull. Natl. Nutr. Inst. Arab. Repub. Egypt 2016, 48, 214–243. [Google Scholar] [CrossRef]
- Dharmaraj, D.; Krishnamoorthy, M.; Rajendran, K.; Karuppiah, K.; Jeyaraman, R.; Ethiraj, K. Protein Leakage Induced Marine Antibiofouling Activity of Biosynthesized Zinc Oxide Nanoparticles. J. Clust. Sci. 2021, 32, 643–650. [Google Scholar] [CrossRef]
- Amutha, R.; Sudha, A. Murraya koenigii mediated silver nanoparticle synthesis and its activity against enteric pathogens. Int. J. Pharm. Sci. Res. 2019, 10, 1906–1911. [Google Scholar]
- Mamuye, Y. Antibiotic Resistance Patterns of Common Gram-negative Uropathogens in St. Paul’s Hospital Millennium Medical College. Ethiop. J. Health Sci. 2016, 26, 93. [Google Scholar] [CrossRef]
- Johnson, P.; Krishnan, V.; Loganathan, C.; Govindhan, K.; Raji, V.; Sakayanathan, P.; Vijayan, S.; Sathishkumar, P.; Palvannan, T. Rapid biosynthesis of Bauhinia variegata flower extract-mediated silver nanoparticles: An effective antioxidant scavenger and α-amylase inhibitor. Artif. Cells Nanomed. Biotechnol. 2018, 46, 1488–1494. [Google Scholar] [CrossRef]





Disclaimer/Publisher’s Note: The statements, opinions and data contained in all publications are solely those of the individual author(s) and contributor(s) and not of MDPI and/or the editor(s). MDPI and/or the editor(s) disclaim responsibility for any injury to people or property resulting from any ideas, methods, instructions or products referred to in the content. |
© 2023 by the authors. Licensee MDPI, Basel, Switzerland. This article is an open access article distributed under the terms and conditions of the Creative Commons Attribution (CC BY) license (https://creativecommons.org/licenses/by/4.0/).
Share and Cite
Angamuthu, S.; Thangaswamy, S.; Raju, A.; Husain, F.M.; Ahmed, B.; Al-Shabib, N.A.; Hakeem, M.J.; Shahzad, S.A.; Abudujayn, S.A.; Alomar, S.Y. Biogenic Preparation and Characterization of Silver Nanoparticles from Seed Kernel of Mangifera indica and Their Antibacterial Potential against Shigella spp. Molecules 2023, 28, 2468. https://doi.org/10.3390/molecules28062468
Angamuthu S, Thangaswamy S, Raju A, Husain FM, Ahmed B, Al-Shabib NA, Hakeem MJ, Shahzad SA, Abudujayn SA, Alomar SY. Biogenic Preparation and Characterization of Silver Nanoparticles from Seed Kernel of Mangifera indica and Their Antibacterial Potential against Shigella spp. Molecules. 2023; 28(6):2468. https://doi.org/10.3390/molecules28062468
Chicago/Turabian StyleAngamuthu, Sudha, Selvankumar Thangaswamy, Amutha Raju, Fohad Mabood Husain, Bilal Ahmed, Nasser A. Al-Shabib, Mohammed Jamal Hakeem, Syed Ali Shahzad, Saud A. Abudujayn, and Suliman Y. Alomar. 2023. "Biogenic Preparation and Characterization of Silver Nanoparticles from Seed Kernel of Mangifera indica and Their Antibacterial Potential against Shigella spp." Molecules 28, no. 6: 2468. https://doi.org/10.3390/molecules28062468
APA StyleAngamuthu, S., Thangaswamy, S., Raju, A., Husain, F. M., Ahmed, B., Al-Shabib, N. A., Hakeem, M. J., Shahzad, S. A., Abudujayn, S. A., & Alomar, S. Y. (2023). Biogenic Preparation and Characterization of Silver Nanoparticles from Seed Kernel of Mangifera indica and Their Antibacterial Potential against Shigella spp. Molecules, 28(6), 2468. https://doi.org/10.3390/molecules28062468

