Study on Absorption, Distribution and Excretion of a New Candidate Compound XYY-CP1106 against Alzheimer’s Disease in Rats by LC-MS/MS
Abstract
1. Introduction
2. Results
2.1. Method Validation
2.1.1. Selectivity
2.1.2. Linearity and Sensitivity
2.1.3. Precision and Accuracy
2.1.4. Extraction Recovery and Matrix Effect
2.1.5. Stability
2.2. Pharmacokinetic Analysis and Bioavailability
2.3. Tissue Distribution Study
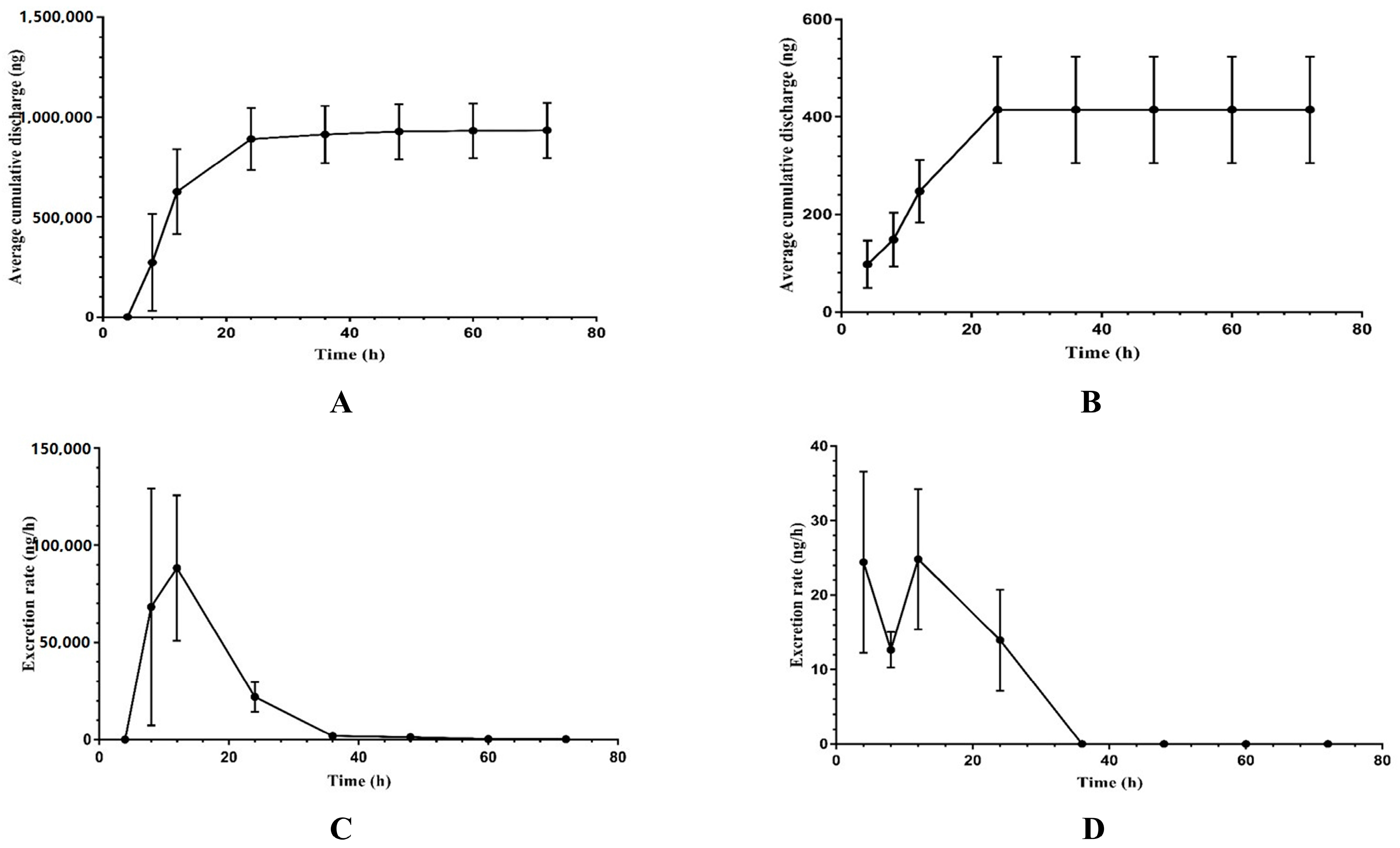
2.4. Excretory Study
3. Discussion
4. Materials and Methods
4.1. Chemicals and Reagents
4.2. Animals
4.3. Instrumentation and Analytical Conditions
4.4. Preparation of Calibration Standards and Quality Control Samples
4.4.1. Plasma Pharmacokinetic Study
4.4.2. Tissue Distribution Study
4.4.3. Excretion Study
4.5. Sample Preparation
4.5.1. Preparation of Plasma Samples
4.5.2. Preparation of Tissue Samples
4.5.3. Preparation of Fecal Samples
4.5.4. Preparation of Urine Samples
4.6. Method Validation
4.6.1. Specificity
4.6.2. Linearity
4.6.3. Accuracy and Precision
4.6.4. Extraction Recovery and Matrix Effect
4.6.5. Stability
4.7. Pharmacokinetic Study
4.7.1. Preparation of Drug Solution
4.7.2. Plasma Pharmacokinetic Study
4.7.3. Tissue Distribution Study
4.7.4. Excretory Study
5. Conclusions
Author Contributions
Funding
Institutional Review Board Statement
Informed Consent Statement
Data Availability Statement
Acknowledgments
Conflicts of Interest
Sample Availability
References
- Tagarelli, A.; Piro, A.; Tagarelli, G.; Lagonia, P.; Quattrone, A. Alois Alzheimer: A hundred years after the discovery of the eponymous disorder. Int. J. Biomed. Sci. 2006, 2, 196–204. [Google Scholar] [PubMed]
- Lane, C.A.; Hardy, J.; Schott, J.M. Alzheimer’s disease. Eur. J. Neurol. 2018, 25, 59–70. [Google Scholar] [CrossRef]
- Soria Lopez, J.A.; Gonzalez, H.M.; Leger, G.C. Alzheimer’s disease. Handb. Clin. Neurol. 2019, 167, 231–255. [Google Scholar] [PubMed]
- Mantzavinos, V.; Alexiou, A. Biomarkers for Alzheimer’s disease diagnosis. Curr. Alzheimer Res. 2017, 14, 1149–1154. [Google Scholar] [CrossRef] [PubMed]
- Oboudiyat, C.; Glazer, H.; Seifan, A.; Greer, C.; Isaacson, R.S. Alzheimer’s Disease. Semin. Neurol. 2013, 33, 313–329. [Google Scholar] [CrossRef]
- Weller, J.; Budson, A. Current understanding of Alzheimer’s disease diagnosis and treatment. F1000Research 2018, 7, 1161. [Google Scholar] [CrossRef]
- Savelieff, M.G.; Nam, G.; Kang, J.; Lee, H.J.; Lee, M.; Lim, M.H. Development of multifunctional molecules as potential therapeutic candidates for Alzheimer’s disease, Parkinson’s disease, and Amyotrophic lateral sclerosis in the last decade. Chem. Rev. 2018, 119, 1221–1322. [Google Scholar] [CrossRef]
- Briggs, R.; Kennelly, S.P.; O’Neill, D. Drug treatments in Alzheimer’s disease. Clin. Med. 2016, 16, 247–253. [Google Scholar] [CrossRef]
- Sameem, B.; Saeedi, M.; Mahdavi, M.; Shafiee, A. A review on tacrine-based scaffolds as multi-target drugs (MTDLs) for Alzheimer’s disease. Eur. J. Med. Chem. 2017, 128, 332–345. [Google Scholar] [CrossRef]
- Brewster, J.T.; Dell’Acqua, S.; Thach, D.Q.; Sessler, J.L. Classics in Chemical Neuroscience: Donepezil. ACS Chem. Neurosci. 2019, 10, 155–167. [Google Scholar] [CrossRef]
- Hroudová, J.; Singh, N.; Fišar, Z.; Ghosh, K.K. Progress in drug development for Alzheimer’s disease: An overview in relation to mitochondrial energy metabolism. Eur. J. Med. Chem. 2016, 121, 774–784. [Google Scholar] [CrossRef]
- Coyle, J.; Kershaw, P. Galantamine, a cholinesterase inhibitor that allosterically modulates nicotinic receptors: Effects on the course of Alzheimer’s disease. Biol. Psychiatry 2001, 49, 289–299. [Google Scholar] [CrossRef] [PubMed]
- Parsons, C.G.; Danysz, W.; Dekundy, A.; Pulte, I. Memantine and Cholinesterase Inhibitors: Complementary Mechanisms in the Treatment of Alzheimer’s Disease. Neurotox. Res. 2013, 24, 358–369. [Google Scholar] [CrossRef] [PubMed]
- Bachurin, S.O.; Bovina, E.V.; Ustyugov, A.A. Drugs in Clinical Trials for Alzheimer’s Disease: The Major Trends. Med. Res. Rev. 2017, 37, 1186–1225. [Google Scholar] [CrossRef] [PubMed]
- Eratne, D.; Loi, S.M.; Farrand, S.; Kelso, W.; Velakoulis, D.; Looi, J.C. Alzheimer’s disease paper 1: Clinical update on epidemiology, pathophysiology and diagnosis. Australas. Psychiatry 2018, 26, 347–357. [Google Scholar] [CrossRef]
- Anand, R.; Gill, K.D.; Mahdi, A.A. Therapeutics of Alzheimer’s disease: Past, present and future. Neuropharmacology 2014, 76, 27–50. [Google Scholar] [CrossRef]
- Bondi, M.W.; Edmonds, E.C.; Salmon, D.P. Alzheimer’s disease: Past, present, and future. J. Int. Neuropsychol. Soc. 2017, 23, 818–831. [Google Scholar] [CrossRef]
- Zhang, C.J.; Yang, K.; Yu, S.; Su, J.; Yuan, S.L.; Han, J.X.; Chen, Y.; Gu, J.P.; Zhou, T.; Bai, R.R.; et al. Design, synthesis and biological evaluation of hydroxypyridinone-coumarin hybrids as multimodal monoamine oxidase B inhibitors and iron chelates against Alzheimer’s disease. Eur. J. Med. Chem. 2019, 180, 367–382. [Google Scholar] [CrossRef]
- Tan, Y.F.; Wang, R.Q.; Wang, W.T.; Wu, Y.; Ma, N.; Lu, W.Y.; Zhang, Y.; Zhang, X.P. Study on the pharmacokinetics, tissue distribution and excretion of laurolitsine from Litsea glutinosa in Sprague-Dawley rats. Pharm. Biol. 2021, 59, 884–892. [Google Scholar] [CrossRef]
- Fan, A.; Zhang, Y.-L.; Zhang, Q.; Wei, J.; Lu, X.; Ren, G.; Zhao, D.; Li, N.; Zhu, H.; Chen, X. Evaluation of the pharmacokinetics, tissue distribution and excretion studies of YMR-65, a tubulin polymerization inhibitor with potential anticancer activity, in rats using UPLC-MS/MS. Xenobiotica 2018, 48, 920–926. [Google Scholar] [CrossRef]
- Taneja, I.; Raghuvanshi, A.; Raju, K.S.R.; Awasthi, P.; Rashid, M.; Singh, S.; Goel, A.; Singh, S.P.; Wahajuddin, M. Bioavailability, tissue distribution and excretion studies of a potential anti-osteoporotic agent, medicarpin, in female rats using validated LC–MS/MS method. J. Pharm. Biomed. Anal. 2019, 180, 112978. [Google Scholar] [CrossRef] [PubMed]
- Wang, F.G.; Cao, J.; Hou, X.Q.; Li, Z.Y.; Qu, X.L. Pharmacokinetics, tissue distribution, bioavailability and excretion of nuciferine, an alkaloid from lotus, in rats by LC-MS/MS. Drug Dev. Ind. Pharm. 2018, 44, 1557–1562. [Google Scholar] [CrossRef]
- Zheng, Q.; Wang, R.; Zhang, N.; Wang, C.; Li, P. In vivo pharmacokinetics, distribution, and excretion of an anticancer agent isolated from red ginseng, in rat. Xenobiotica 2020, 50, 1323–1331. [Google Scholar] [CrossRef] [PubMed]
- Lu, J.J.; Pan, Q.Q.; Zhou, J.Q.; Weng, Y.; Chen, K.L.; Shi, L.; Zhu, G.X. Pharmacokinetics, distribution, and excretion of sodium oligomannate, a recently approved anti-Alzheimer’s disease drug in China. J. Pharm. Anal. 2022, 12, 145–155. [Google Scholar] [CrossRef] [PubMed]
- Li, B.; Lu, M.; Chu, Z.X.; Lei, S.S.; Sun, P.L.; Xiong, S.; Chen, S.H. Pharmacokinetics, bioavailability and urinary excretion of scopolin and its metabolite scopoletin in Sprague-Dawley rats by LC-MS/MS. Biomed. Chromatogr. 2019, 33, 46–78. [Google Scholar] [CrossRef] [PubMed]
- Belubbi, T.; Shevade, S.; Dhawan, V.; Sridhar, V.; Majumdar, A.; Nunes, R.; Araújo, F.; Sarmento, B.; Nagarsenker, K.; Steiniger, F.; et al. Lipid Architectonics for Superior Oral Bioavailability of Nelfinavir Mesylate: Comparative in vitro and in vivo Assessment. AAPS PharmSciTech 2018, 19, 3584–3598. [Google Scholar] [CrossRef]
- Hurst, S.; Loi, C.M.; Brodfuehrer, J.; El-Kattan, A. Impact of physiological, physicochemical and biopharmaceutical factors in absorption and metabolism mechanisms on the drug oral bioavailability of rats and humans. Expert Opin. Drug Metab. Toxicol. 2007, 3, 469–489. [Google Scholar] [CrossRef]
- Teruo, M.; Erik, B.; Nicholas, B. Factors and dosage formulations affecting the solubility and bioavailability of P-glycoprotein substrate drugs. Expert Opin. Drug Metab. Toxicol. 2021, 17, 555–580. [Google Scholar]
- Abuhelwa, A.Y.; Williams, D.B.; Upton, R.N.; Foster, D.J. Food, gastrointestinal pH, and models of oral drug absorption. Eur. J. Pharm. Biopharm. 2017, 112, 234–248. [Google Scholar] [CrossRef]
- Chen, X.; Zhu, P.; Liu, B.; Wei, L.; Xu, Y. Simultaneous determination of fourteen compounds of Hedyotis diffusa Willd extract in rats by UHPLC–MS/MS method: Application to pharmacokinetics and tissue distribution study. J. Pharm. Biomed. Anal. 2018, 159, 490–512. [Google Scholar] [CrossRef]
- Hey, J.A.; Yu, J.Y.; Versavel, M.; Abushakra, S.; Kocis, P.; Power, A.; Kaplan, P.L.; Amedio, J.; Tolar, M. Clinical pharmacokinetics and safety of ALZ-801, a novel prodrug of Tramiprosate in development for the treatment of Alzheimer’s disease. Clin. Pharmacokinet. 2018, 57, 315–333. [Google Scholar] [CrossRef]
- Smith, D.A.; Beaumont, K.; Maurer, T.S.; Di, L. Relevance of Half-Life in Drug Design. J. Med. Chem. 2018, 61, 4273–4282. [Google Scholar] [CrossRef]
- Jones, H.M.; Tolsma, J.; Zhang, Z.; Jasper, P.; Luo, H.; Weber, G.L.; Wright, K.; Bard, J.; Bell, R.; Messing, D.; et al. A physiologically-based pharmacokinetic model for the prediction of “Half-Life Extension” and “Catch and Release” monoclonal antibody pharmacokinetics. CPT Pharmacomet. Syst. Pharmacol. 2021, 9, 534–541. [Google Scholar] [CrossRef] [PubMed]
- Bazzo, G.C.; Pezzini, B.R.; Stulzer, H.K. Eutectic mixtures as an approach to enhance solubility, dissolution rate and oral bioavailability of poorly water-soluble drugs. Int. J. Pharm. 2020, 15, 119741. [Google Scholar] [CrossRef]
- Kozochkin, D.A.; Manukhina, E.B.; Downey, H.F.; Tseilikman, O.B.; Komelkova, M.V.; Vasilyeva, M.V.; Lapshin, M.S.; Sahabutdinov, M.N.; Lazuko, S.S.; Tseilikman, V.E. The role of microsomal oxidation in the regulation of monoamine oxidase activity in the brain and liver of rats. Gen. Physiol. Biophys. 2017, 36, 455–464. [Google Scholar] [CrossRef] [PubMed]
- Andrey, V.K.; Dmitry, Y.Y.; Yury, A.V.; Ofelja, A.A. Intracellular free iron in liver tissue and liver homogenate: Studies with electron paramagnetic resonance on the formation of paramagnetic complexes with desferal and nitric oxide. Free Radic. Biol. Med. 1992, 13, 9–16. [Google Scholar]
- Zhang, Y.B.; Deng, G.G.; Wang, T.X.; Liu, L.; Yang, X.W. Tissue distribution study of Angelica dahurica cv. Yubaizhi in rat by ultra-performance liquid chromatography with tandem mass spectrometry. J. Pharm. Biomed. Anal. 2019, 174, 43–49. [Google Scholar] [CrossRef] [PubMed]
- Yang, Y.-F.; Zhang, L.; Yang, X.-W. Distribution Assessments of Coumarins from Angelicae Pubescentis Radix in Rat Cerebrospinal Fluid and Brain by Liquid Chromatography Tandem Mass Spectrometry Analysis. Molecules 2018, 23, 225. [Google Scholar] [CrossRef]
- Yang, Y.-F.; Zhang, Y.-B.; Chen, Z.-J.; Zhang, Y.-T.; Yang, X.-W. Plasma pharmacokinetics and cerebral nuclei distribution of major constituents of Psoraleae fructus in rats after oral administration. Phytomedicine 2018, 38, 166–174. [Google Scholar] [CrossRef]
- Ge, Y.; Chen, S.; Luo, Q.; Wang, C.-P.; Hao, J.; He, J.; Chen, X.; Yang, X.; Li, J.; Chang, Y.-X. The Tissue Distribution of Four Major Coumarins after Oral Administration of Angelicae Pubescentis Radix Extract to Rats Using Ultra-High-Performance Liquid Chromatography. Evid. -Based Complement. Altern. Med. 2019, 2019, 2365697. [Google Scholar] [CrossRef]
- Hirono, H.; Watanabe, K.; Hasegawa, K.; Hiroyasu, K.; Shibasaki, K.; Ohkoshi, S. Anti-Dementia Drugs and Hepatotoxicity–Report of Two Cases. Int. J. Gerontol. 2018, 12, 261–263. [Google Scholar] [CrossRef]
- Patocka, J.; Jun, D.; Kuca, K. Possible role of hydroxylated metabolites of tacrine in drug toxicity and therapy of Alzheimer’s disease. Curr. Drug Metab. 2008, 9, 332–335. [Google Scholar] [CrossRef] [PubMed]
- Zeng, X.; Su, W.; Zheng, Y.; He, Y.; He, Y.; Rao, H.; Peng, W.; Yao, H. Pharmacokinetics, Tissue Distribution, Metabolism, and Excretion of Naringin in Aged Rats. Front. Pharmacol. 2019, 10, 34. [Google Scholar] [CrossRef] [PubMed]
- Zhang, Y.; Huo, M.; Zhou, J.; Xie, S. PKSolver: An add-in program for pharmacokinetic and pharmacodynamic data analysis in Microsoft Excel. Comput. Methods Programs Biomed. 2010, 99, 306–314. [Google Scholar] [CrossRef] [PubMed]
- Chinese Pharmacopoeia Commission. Guidance for Bioanalytical Method Validation, Pharmacopoeia of the People’s Republic of China; China Medical Science Press: Beijing, China, 2020; Volume 4, pp. 466–471. [Google Scholar]








| Matrix | Equation | Range (ng/mL) | LLOQ (ng/mL) |
|---|---|---|---|
| Plasma | y = 0.018x + 0.006 (r2 = 0.9991) | 5–200 | 5 |
| Heart | y = 0.014x + 0.014 (r2 = 0.9986) | 5–1000 | 5 |
| Liver | y = 0.017x + 0.012 (r2 = 0.9997) | 5–1000 | 5 |
| Spleen | y = 0.016x + 0.003 (r2 = 0.9993) | 5–1000 | 5 |
| Lung | y = 0.014x − 0.004 (r2 = 0.9997) | 5–1000 | 5 |
| Kidney | y = 0.015x + 0.012 (r2 = 0.9997) | 5–1000 | 5 |
| Brain | y = 0.014x + 0.010 (r2 = 0.9997) | 5–1000 | 5 |
| Urine | y = 0.014x + 0.016 (r2 = 0.9910) | 5–1000 | 5 |
| Feces | y = 0.010x + 0.017 (r2 = 0.9991) | 5–1000 | 5 |
| Matrix | Spiked (ng/mL) | Precision (RSD, %) | Accuracy (%) (n = 6) | |
|---|---|---|---|---|
| Intra-Day (n = 6) | Inter-Day (n = 18) | |||
| Plasma | 5 | 5.07 | 3.64 | 104.28 |
| 10 | 1.21 | 2.90 | 102.97 | |
| 50 | 0.49 | 1.22 | 101.02 | |
| 160 | 0.20 | 0.95 | 102.87 | |
| Heart | 5 | 7.67 | 8.48 | 98.10 |
| 10 | 5.69 | 7.18 | 94.41 | |
| 100 | 8.15 | 7.73 | 97.21 | |
| 800 | 3.73 | 6.52 | 96.03 | |
| Liver | 5 | 6.05 | 7.44 | 104.82 |
| 10 | 7.93 | 7.49 | 105.2 | |
| 100 | 2.11 | 5.39 | 102.62 | |
| 800 | 4.31 | 5.51 | 98.51 | |
| Spleen | 5 | 7.40 | 9.68 | 105.13 |
| 10 | 7.56 | 7.22 | 105.20 | |
| 100 | 6.06 | 6.45 | 95.86 | |
| 800 | 5.76 | 5.32 | 92.84 | |
| Lung | 5 | 8.91 | 7.34 | 101.26 |
| 10 | 10.48 | 9.35 | 102.64 | |
| 100 | 5.74 | 4.64 | 102.19 | |
| 800 | 3.36 | 4.17 | 96.94 | |
| Kidney | 5 | 7.82 | 11.62 | 98.10 |
| 10 | 7.05 | 9.01 | 94.41 | |
| 100 | 7.56 | 6.12 | 97.21 | |
| 800 | 4.91 | 3.63 | 96.03 | |
| Brain | 5 | 10.6 | 9.65 | 100.78 |
| 10 | 5.54 | 7.11 | 104.69 | |
| 100 | 5.95 | 4.47 | 97.21 | |
| 800 | 4.85 | 4.42 | 95.41 | |
| Feces | 5 | 6.32 | 8.31 | 102.15 |
| 10 | 5.61 | 4.46 | 101.12 | |
| 100 | 4.77 | 4.12 | 99.88 | |
| 800 | 4.85 | 4.42 | 99.28 | |
| Urine | 5 | 4.95 | 9.79 | 94.79 |
| 10 | 11.71 | 8.97 | 101.10 | |
| 100 | 6.33 | 5.51 | 102.59 | |
| 800 | 3.34 | 3.30 | 102.41 | |
| Matrix | Nominal Concentration (ng/mL) | Extraction Recovery (%, Mean ± SD) | Matrix Effect (%, Mean ± SD) |
|---|---|---|---|
| Plasma | 10 | 99.35 ± 3.96 | 100.86 ± 6.30 |
| 50 | 96.87 ± 3.54 | 97.54 ± 5.36 | |
| 160 | 100.46 ± 1.39 | 101.74 ± 2.51 | |
| Heart | 10 | 109.91 ± 2.26 | 98.36 ± 7.52 |
| 100 | 101.73 ± 6.38 | 95.70 ± 5.72 | |
| 800 | 108.08 ± 5.24 | 102.58 ± 5.94 | |
| Liver | 10 | 108.07 ± 3.93 | 104.24 ± 7.71 |
| 100 | 102.23 ± 5.91 | 98.77 ± 7.49 | |
| 800 | 100.78 ± 1.81 | 101.45 ± 6.33 | |
| Spleen | 10 | 108.04 ± 3.71 | 104.32 ± 6.70 |
| 100 | 106.63 ± 3.29 | 99.73 ± 7.54 | |
| 800 | 99.06 ± 6.10 | 102.91 ± 7.31 | |
| Lung | 10 | 103.24 ± 3.69 | 101.01 ± 7.01 |
| 100 | 98.48 ± 4.10 | 96.42 ± 6.99 | |
| 800 | 100.72 ± 3.93 | 100.70 ± 4.92 | |
| Kidney | 10 | 104.75 ± 5.60 | 99.93 ± 6.65 |
| 100 | 94.34 ± 3.61 | 99.31 ± 5.95 | |
| 800 | 102.33 ± 5.30 | 102.62 ± 6.16 | |
| Brain | 10 | 106.15 ± 8.78 | 102.61 ± 4.27 |
| 100 | 100.90 ± 5.46 | 99.36 ± 7.68 | |
| 800 | 98.91 ± 2.42 | 94.48 ± 4.40 | |
| Feces | 10 | 97.99 ± 6.50 | 101.85 ± 6.02 |
| 100 | 103.99 ± 2.20 | 100.19 ± 3.87 | |
| 800 | 101.44 ± 0.94 | 102.58 ± 6.21 | |
| Urine | 10 | 106.49 ± 3.78 | 99.57 ± 8.17 |
| 100 | 107.78 ± 5.96 | 98.84 ± 3.85 | |
| 800 | 105.40 ± 6.55 | 104.49 ± 6.57 |
| Matrix | Spiked (ng/mL) | 24 h (Automatic Sampler) | Freeze–Thaw at −20 °C | Stored at −20 °C for 30 Days | |||
|---|---|---|---|---|---|---|---|
| Precision (%, RSD) | Accuracy (%) | Precision (%, RSD) | Accuracy (%) | Precision (%, RSD) | Accuracy (%) | ||
| Plasma | 10 | 4.61 | 100.97 | 1.48 | 97.20 | 9.15 | 101.09 |
| 160 | 0.49 | 99.92 | 1.70 | 99.79 | 5.02 | 97.03 | |
| Heart | 10 | 7.15 | 107.09 | 5.24 | 95.63 | 5.85 | 94.72 |
| 800 | 7.20 | 106.65 | 9.77 | 99.82 | 4.11 | 97.51 | |
| Liver | 10 | 11.41 | 99.32 | 9.92 | 94.59 | 9.77 | 99.60 |
| 800 | 7.45 | 96.3 | 7.35 | 99.63 | 4.56 | 100.98 | |
| Spleen | 10 | 8.62 | 101.97 | 15.39 | 103.61 | 6.45 | 99.67 |
| 800 | 8.55 | 92.34 | 7.14 | 97.54 | 2.51 | 98.02 | |
| Lung | 10 | 15.86 | 98.59 | 9.88 | 97.42 | 6.06 | 98.89 |
| 800 | 5.92 | 102.03 | 4.64 | 101.74 | 2.78 | 103.02 | |
| Kidney | 10 | 14.83 | 103.91 | 18.22 | 99.06 | 7.44 | 98.10 |
| 800 | 6.78 | 103.48 | 6.54 | 101.88 | 6.37 | 97.36 | |
| Brain | 10 | 8.17 | 102.78 | 12.88 | 103.21 | 8.06 | 98.22 |
| 800 | 4.54 | 97.04 | 3.95 | 95.94 | 6.62 | 94.08 | |
| Feces | 10 | 6.51 | 99.33 | 7.90 | 100.5 | 6.44 | 94.98 |
| 800 | 4.54 | 97.04 | 3.95 | 95.94 | 5.13 | 96.50 | |
| Urine | 10 | 18.88 | 100.84 | 15.33 | 96.55 | 4.34 | 99.57 |
| 800 | 4.72 | 100.47 | 4.62 | 98.70 | 3.93 | 100.46 | |
| PK Parameters | I.V (1.92 mg/kg) | P.O (15 mg/kg) |
|---|---|---|
| AUC0–24 (ng/mL × h) | 540.14 ± 43.71 | 427.95 ± 66.09 |
| AUC0–∞ (ng/mL × h) | 599.20 ± 31.78 | 502.93 ± 77.72 |
| T1/2 (h) | 3.50 ± 2.24 | 9.16 ± 0.90 |
| CL (mL/h × kg) | 1.61 ± 0.09 | 30.48 ± 5.28 |
| V (mL/kg) | 4.03 ± 1.80 | 401.70 ± 69.59 |
| Cmax (ng/mL) | 691.20 ± 119.86 | 153.48 ± 15.93 |
| Tmax (h) | 0.083 ± 0.00 | 0.75 ± 0.18 |
| F (%) | / | 10.70 ± 1.72 |
Disclaimer/Publisher’s Note: The statements, opinions and data contained in all publications are solely those of the individual author(s) and contributor(s) and not of MDPI and/or the editor(s). MDPI and/or the editor(s) disclaim responsibility for any injury to people or property resulting from any ideas, methods, instructions or products referred to in the content. |
© 2023 by the authors. Licensee MDPI, Basel, Switzerland. This article is an open access article distributed under the terms and conditions of the Creative Commons Attribution (CC BY) license (https://creativecommons.org/licenses/by/4.0/).
Share and Cite
Guo, Z.; Gao, B.; Fan, M.; Chen, L.; Zhang, C.; Liang, X.; Su, W.; Xie, Y. Study on Absorption, Distribution and Excretion of a New Candidate Compound XYY-CP1106 against Alzheimer’s Disease in Rats by LC-MS/MS. Molecules 2023, 28, 2377. https://doi.org/10.3390/molecules28052377
Guo Z, Gao B, Fan M, Chen L, Zhang C, Liang X, Su W, Xie Y. Study on Absorption, Distribution and Excretion of a New Candidate Compound XYY-CP1106 against Alzheimer’s Disease in Rats by LC-MS/MS. Molecules. 2023; 28(5):2377. https://doi.org/10.3390/molecules28052377
Chicago/Turabian StyleGuo, Zili, Bianbian Gao, Miaoliang Fan, Lisha Chen, Changjun Zhang, Xianrui Liang, Weike Su, and Yuanyuan Xie. 2023. "Study on Absorption, Distribution and Excretion of a New Candidate Compound XYY-CP1106 against Alzheimer’s Disease in Rats by LC-MS/MS" Molecules 28, no. 5: 2377. https://doi.org/10.3390/molecules28052377
APA StyleGuo, Z., Gao, B., Fan, M., Chen, L., Zhang, C., Liang, X., Su, W., & Xie, Y. (2023). Study on Absorption, Distribution and Excretion of a New Candidate Compound XYY-CP1106 against Alzheimer’s Disease in Rats by LC-MS/MS. Molecules, 28(5), 2377. https://doi.org/10.3390/molecules28052377

