Structure and Magnetic Properties of AO and LiFePO4/C Composites by Sol-Gel Combustion Method
Abstract
1. Introduction
2. Results and Discussion
2.1. Thermogravimetric Analysis
2.2. XRD Analysis
2.3. Infrared Spectrum Analysis
2.4. Scanning Electron Microscope Analysis
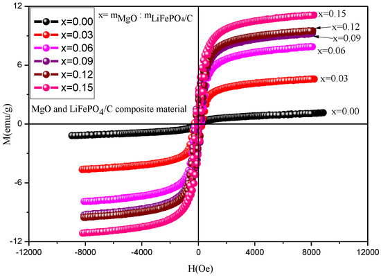
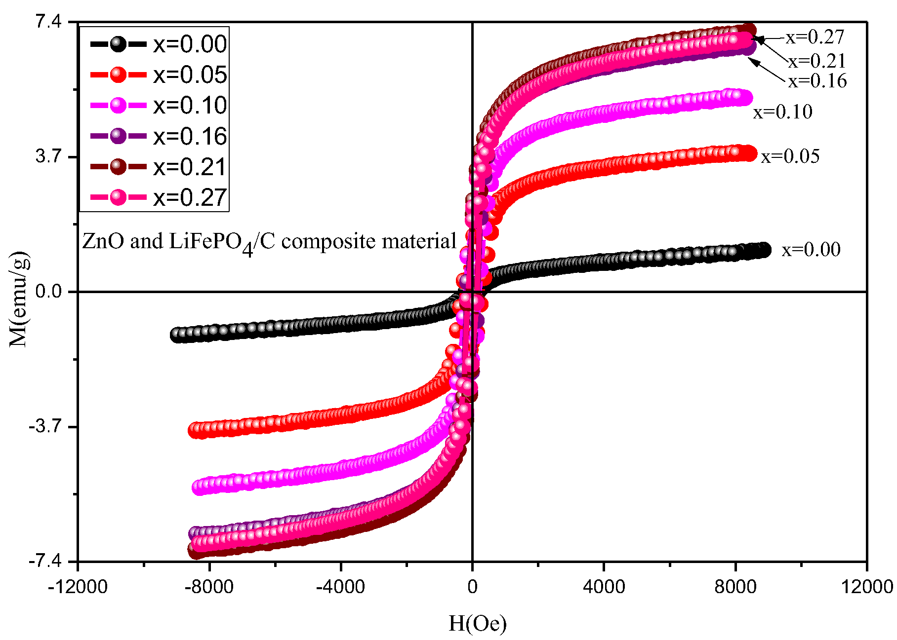
2.5. Magnetic Performance Analysis
3. Experiment
3.1. Experimental Steps
3.2. Characterization of Material Properties
4. Conclusions
Author Contributions
Funding
Institutional Review Board Statement
Informed Consent Statement
Data Availability Statement
Acknowledgments
Conflicts of Interest
Sample Availability
References
- Divakaran, A.M.; Minakshi, M.; Bahri, P.A. Rational design on materials for developing next generation lithium-ion secondary battery. Prog. Solid State Chem. 2021, 62, 100298. [Google Scholar] [CrossRef]
- Shimoi, N.; Komatsu, M. Application of exfoliated graphene as conductive additive for lithium-ion secondary batteries. Powder Technol. 2021, 390, 268–272. [Google Scholar] [CrossRef]
- Popp, H.; Koller, M.; Jahn, M. Mechanical methods for state determination of Lithium-Ion secondary batteries: A review. J. Energy Storage 2020, 32, 101859. [Google Scholar] [CrossRef]
- Padhi, A.K.; Goodenough, J.B.; Nanjundaswamy, K.S. Phospho-olivines as Positive-Electrode Materials for Rechargeable Lithium Batteries. J. Electrochem. Soc. 1997, 144, 1188–1194. [Google Scholar] [CrossRef]
- Yan, D.; Lu, A.-H.; Chen, Z.-Y. Pseudocapacitance-dominated li-ion capacitors showing remarkable energy efficiency by introducing amorphous LiFePO4 in the cathode. ACS Appl. Energy Mater. 2021, 4, 1824–1832. [Google Scholar] [CrossRef]
- Yao, J.; Konstantinov, K.; Wang, G.X.; Liu, H.K. Electrochemical and magnetic characterization of LiFePO4 and Li0.95Mg0.05FePO4 cathode materials. J. Solid State Electrochem. 2007, 11, 177–185. [Google Scholar] [CrossRef]
- León, B.; Vicente, C.P.; Tirado, J.L.; Biensan, P.; Tessier, C. Optimized Chemical Stability and Electrochemical Performance of LiFePO4 Composite Materials Obtained by ZnO Coating. J. Electrochem. Soc. 2008, 155, A211–A216. [Google Scholar] [CrossRef]
- Liu, S.; Yin, H.; Bin, H.; He, J.; Wang, H. Characterization and Electrochemical Performance of ZnO Modified LiFePO4/C Cathode Materials for Lithium-ion Batteries. Chin. J. Struct. Chem. 2014, 33, 353–360. [Google Scholar]
- Zhang, X.L.; Ruan, Z.Q.; He, Q.T. Three-Dimensional (3D) Nanostructured Skeleton Substrate Composed of Hollow Carbon Fiber/Carbon Nanosheet/ZnO for Stable Lithium Anode. ACS Appl. Mater. Interfaces 2021, 13, 3078–3088. [Google Scholar] [CrossRef]
- Qiu, X.; Yu, M.; Fan, G. Growing Nanostructured CuO on Copper Foil via Chemical Etching to Upgrade Metallic Lithium Anode. ACS Appl. Materi. Interfaces 2021, 13, 6367–6374. [Google Scholar] [CrossRef]
- Chen, X.; Li, Y.; Wang, J. Enhanced Electrochemical Performance of LiFePO4 Originating from the Synergistic Effect of ZnO and C Co-Modification. Nanomaterials 2021, 11, 12. [Google Scholar] [CrossRef] [PubMed]
- Sugiyama, J.; Nozaki, H.; Kamazawa, K.; Ofer, O.; Månsson, M.; Ansaldo, E.J.; Brewer, J.H.; Chow, K.H.; Watanabe, I.; Ikedo, Y.; et al. Magnetic and Diffusive Nature of LiFePO4. Phys. Procedia 2012, 30, 190–193. [Google Scholar] [CrossRef]
- Chen, M.; Shao, L.; Yang, H.; Zhao, Q.; Yuan, Z. Organophosphonic acid as precursor to prepare LiFePO4/carbon nanocomposites for high-power lithium ion batteries. Electrochim. Acta 2015, 168, 59–68. [Google Scholar] [CrossRef]
- Jarolimek, K.; Risko, C. Modification of the LiFePO4 (010) Surface Due to Exposure to Atmospheric Gases. Am. Chem. Soc. 2021, 13, 29034–29040. [Google Scholar] [CrossRef]
- Zou, W.; Feng, X.; Wang, R. High-efficiency core-shell magnetic heavy-metal absorbents derived from spent-LiFePO4 Battery. J. Hazard. Mater. 2021, 402, 123583. [Google Scholar] [CrossRef] [PubMed]
- Hou, H.; Li, D.; Liu, X. Recovery of Expired Lithium Carbonate Tablets for LiFePO4/C Cathode. Waste Biomass Valorization 2020, 11, 3097–3105. [Google Scholar] [CrossRef]
- Arumugam, D.; Kalaignan, G.P.; Manisankar, P. Synthesis and electrochemical characterizations of nano-crystalline LiFePO4 and Mg-doped LiFePO4 cathode materials for rechargeable lithium-ion batteries. J. Solid State Electrochem. 2009, 13, 301–307. [Google Scholar] [CrossRef]
- Hsu, K.-F.; Tsay, S.-Y.; Hwang, B.-J. Synthesis and characterization of nano-sized LiFePO4 cathode materials prepared by a citric acid-based sol–gel route. J. Mater. Chem. 2004, 14, 2690–2695. [Google Scholar] [CrossRef]
- Liu, X.; Zhao, Z. Synthesis of LiFePO4/C doped with Mg2+ by reactive extrusion method. Adv. Powder Technol. 2014, 25, 1339–1344. [Google Scholar] [CrossRef]
- Świder, J.; Świętosławski, M.; Molenda, M. A Novel Concept for the Synthesis of Nanometric LiFePO4 by Co-precipitation Method in an Anhydrous Environment. Procedia Eng. 2014, 98, 36–41. [Google Scholar] [CrossRef]
- Smecellato, P.C.; Davoglio, R.A.; Biaggio, S.R. Alternative route for LiFePO4 synthesis: Carbothermal reduction combined with microwave-assisted solid-state reaction. Mater. Res. Bull. 2017, 86, 209–214. [Google Scholar] [CrossRef]
- Wang, D.; Li, H.; Wang, Z.; Wu, X.; Sun, Y.; Huang, X.; Chen, L. New solid-state synthesis routine and mechanism for LiFePO4 using LiF as lithium precursor. J. Solid State Chem. 2004, 177, 4582–4587. [Google Scholar] [CrossRef]
- Luo, G.Y.; Gu, Y.J.; Liu, Y. Electrochemical performance of in situ LiFePO4 modified by N-doped graphene for Li-ion batteries. Ceram. Int. 2021, 47, 11332–11339. [Google Scholar] [CrossRef]
- Latif, C.; Muyasaroh, A.F.; Firdausi, A. Preparation and characterisation of LiFePO4 ceramic powders via dissolution method. Ceram. Int. 2021, 47, 31877–31885. [Google Scholar] [CrossRef]
- Guan, L.; Liu, M.; Fan, Y. A LiFePO4 regeneration method based on PVAc alcoholysis reaction. Renew. Energy 2021, 175, 559–567. [Google Scholar] [CrossRef]
- Shen, C.; Li, G.; Liu, L. Facile fabrication of compact LiFePO4/C composite with excellent atomically-efficient for high-energy-density Li-ion batteries. J. Power Source 2021, 496, 229759. [Google Scholar] [CrossRef]
- Selvi, K.T.; Mangai, K.A.; Priya, M. Enhanced electrical and magnetic properties of CuO/MgO nanocomposites. Chem. Phys. Lett. 2021, 765, 138320. [Google Scholar] [CrossRef]
- Li, K.; Xiao, G.; Ding, D. One-step combustion synthesis of C/MgO composite powders with MgO nanofibers. Ceram. Int. 2021, 47, 13704–13714. [Google Scholar] [CrossRef]
- Huang, X.; He, X.; Jiang, C.; Tian, G. Influences on power performances of metal oxide additives for LiFePO4 electrodes. Ionics 2014, 20, 1517–1523. [Google Scholar] [CrossRef]
- Kacher, J.; Landon, C.; Adams, B.L.; Fullwood, D. Bragg’s Law diffraction simulations for electron backscatter diffraction analysis. Ultramicroscopy 2009, 109, 1148–1156. [Google Scholar] [CrossRef]
- Kim, J.K.; Cheruvally, G.; Ahn, J.H.; Ahn, H.J. Electrochemical properties of LiFePO4/C composite cathode material: Carbon coating by the precursor method and direct addition. J. Phys. Chem. Solids 2008, 69, 1257–1260. [Google Scholar] [CrossRef]
- Chen, C.; Liu, G.; Wang, Y.; Li, J.; Liu, H. Preparation and electrochemical properties of LiFePO4/C nanocomposite using FePO4·2H2O nanoparticles by introduction of Fe3(PO4)2·8H2O at low cost. Electrochim. Acta 2013, 113, 464–469. [Google Scholar] [CrossRef]
- Shi, M.; Li, R.; Liu, Y. In situ preparation of LiFePO4/C with unique copolymer carbon resource for superior performance lithium-ion batteries. J. Alloys Compd. 2021, 854, 157162. [Google Scholar] [CrossRef]
- Sarmadi, A.; Alamolhoda, S. L-Lysine-assisted solvothermal synthesis of hollow-like structure LiFePO4/C powders as cathode materials for Li-ion batteries. J. Mater. Res. Technol. 2021, 15, 5405–5413. [Google Scholar] [CrossRef]
- AinNadeem, Q.U.; Gill, R.; Cheung, D.W. Ensnaring animate-inanimate toxins using ZnO–MgO @ Elastomer thin films with self-cleaning and regenerative properties. Environ. Technol. Innov. 2021, 24, 102011. [Google Scholar]
- Shivaraj, B.; Naik, H. Optical, bio-sensing, and antibacterial studies on Ni-doped ZnO nanorods, fabricated by chemical co-precipitation method. Inorg. Chem. Commun. 2021, 134, 109049. [Google Scholar] [CrossRef]
- Tang, H.; Tan, L.; Xu, J. Synthesis and characterization of LiFePO4 coating with aluminum doped zinc oxide. Trans. Nonferr. Metals Soc. China 2013, 23, 451–455. [Google Scholar] [CrossRef]
- Zhuang, Y.; Zhang, W.; Bao, Y. Influence of the LiFePO4/C coating on the electrochemical performance of Nickel-rich cathode for lithium-ion batteries. J. Alloys Compd. 2022, 898, 162848. [Google Scholar] [CrossRef]
- Li, Y.; Wang, L.; Liang, F. Enhancing high rate performance and cyclability of LiFePO4 cathode materials for lithium ion batteries by boron doping. J. Alloys Compd. 2021, 880, 160560. [Google Scholar] [CrossRef]
- Salah, A.; Jozwiak, P.; Garbarczyk, J.; Benkhouja, K.; Zaghib, K.; Gendrona, F.; Julien, C.M. Local structure and redox energies of lithium phosphates with olivine and Nasicon-like structures. J. Power Source 2005, 140, 370–375. [Google Scholar] [CrossRef]
- Burba, C.M.; Frech, R. Raman and FTIR Spectroscopic Study of LixFePO4(0<x<1). J. Electrochem. Soc. 2004, 151, 1032–1038. [Google Scholar]
- Karami, M.; Masoudpanah, S.; Rezaie, H. Solution combustion synthesis of hierarchical porous LiFePO4 powders as cathode materials for lithium-ion batteries. Adv. Powder Technol. 2021, 32, 1935–1942. [Google Scholar] [CrossRef]
- Kumar, S.; Chand, P.; Kumar, A. Effect of different aqueous electrolytes on electrochemical behavior of LiFePO4 as a cathode material: Lithium ion battery and renewable energy nexus. Energy Nexus 2021, 1, 100005. [Google Scholar] [CrossRef]
- Salah, A.A.; Jozwiak, P.; Zaghib, K.; Garbarczyk, J.; Gendron, F.; Mauger, A.; Julien, C. FTIR features of lithium-iron phosphates as electrode materials for rechargeable lithium batteries. Spectrochim. Acta. Part A 2006, 65, 1007–1013. [Google Scholar] [CrossRef]
- Lu, J.; Tang, Z.; Zhang, Z.; Shen, W. Preparation of LiFePO4 with inverse opal structure and its satisfactory electrochemical properties. Mater. Res. Bull. 2005, 40, 2039–2046. [Google Scholar] [CrossRef]
- Zaghib, K.; Gendron, F.; Julien, C.M.; Mauger, A. Surface Effects on the Physical and Electrochemical Properties of Thin LiFePO4 Particles. Chem. Mater. 2008, 20, 462–469. [Google Scholar] [CrossRef]
- Koleva, V.; Zhecheva, E.; Stoyanova, R. A new phosphate-formate precursor method for the preparation of carbon coated nano-crystalline LiFePO4. J. Alloys Compd. 2009, 476, 950–957. [Google Scholar] [CrossRef]
- Li, M.; Zhou, N.; Luo, X.; Zhang, G.; Xie, Z.; Xu, L.; Liu, P. Macroporous MgO monoliths prepared by sol–gel process with phase separation. Ceram. Int. 2016, 42, 16368–16373. [Google Scholar] [CrossRef]
- Priyadarshini, B.; Sahoo, T. Effect of Zn doping on dielectric properties of MgO nanoparticles synthesized by microwave-assisted combustion route. Mater. Lett. 2021, 304, 130645. [Google Scholar] [CrossRef]
- Halim, A.; Widiyastuti, W.; Setyawan, H.; Machmudah, S.; Nurtono, T.; Winardi, S. Effect of Fuel Rate and Annealing Process of LiFePO4 Cathode Material for Li-ion Batteries synthesized by Flame Spray Pyrolysis Method. AIP Conf. Proc. 2014, 1586, 173–178. [Google Scholar]
- Wei, Y.; Zhou, C.; Zhao, D. Enhanced electrochemical performance and safety of LiNi0.8Co0.15Al0.05O2 by LiFePO4 modification. Chem. Phys. Lett. 2020, 751, 137480. [Google Scholar] [CrossRef]
- Wang, F.; Wang, F.; Hong, R. High-purity few-layer graphene from plasma pyrolysis of methane as conductive additive for LiFePO4 lithium ion battery. J. Mater. Res. Technol. 2020, 9, 10004–10015. [Google Scholar] [CrossRef]
- Allag, W.; Guessas, H.; Hemissi, M. Study of Erbium Doping Effect on Structural, Morphological and Optical Properties of Dip Coated ZnO Under Alkaline Conditions. Optik 2020, 219, 165287. [Google Scholar] [CrossRef]
- Jeyabharathi, S.; Mahalakshmi, R.; Chandramohan, S. Self-assembled hollow ZnO nano and micro donut shape by starch and its antimicrobial potentials. Mater. Lett. 2020, 275, 128128. [Google Scholar] [CrossRef]
- Cimitan, S.; Albonetti, S.; Forni, L.; Peri, F.; Lazzari, D. Solvothermal synthesis and properties control of doped ZnO nanoparticles. J. Colloid Interface Sci. 2009, 329, 73–80. [Google Scholar] [CrossRef] [PubMed]
- Qing, W.; Hong, L.; Chen, L.; Huang, X. Monodispersed hard carbon spherules with uniform nanopores. Carbon 2001, 39, 2211–2214. [Google Scholar]
- Li, Y.; Wang, J.; Yao, J. Enhanced cathode performance of LiFePO4/C composite by novel reaction of ethylene glycol with different carboxylic acids. Mater. Chem. Phys. 2019, 224, 293–300. [Google Scholar] [CrossRef]
- Kanagaraj, A.B.; Chaturvedi, P.; Kim, H.J. Controllable synthesis of LiFePO4 microrods and its superior electrochemical performance. Mater. Lett. 2021, 283, 128737. [Google Scholar] [CrossRef]
- Rigamonti, M.G.; Chavalle, M.; Li, H. LiFePO4 spray drying scale-up and carbon-cage for improved cyclability. J. Power Source 2020, 462, 228103. [Google Scholar] [CrossRef]
- Masrour, R.; Hlil, E.; Obbade, S. Theoretical and experimental investigations of the structural, magnetic, electronic, and electrical properties of olivine LiFePO4. Solid State Ionics 2016, 289, 214–219. [Google Scholar] [CrossRef]
- Yang, W.; Zhang, L.; Chen, Y. Improved electrochemical performances and magnetic properties of lithium iron phosphate with in situ Fe2P surface modification by the control of the reductive gas flow rate. Appl. Surf. Sci. 2020, 521, 146389. [Google Scholar] [CrossRef]
- Julien, C.M.; Ait-Salah, A.; Mauger, A.; Gendron, F. Magnetic properties of lithium intercalation compounds. Ionics 2006, 12, 21–32. [Google Scholar] [CrossRef]
- Masrour, R.; Jabar, A.; Benyoussef, A. Magnetic properties of LiFePO4 compound: A Monte Carlo study. Chem. Phys. Lett. 2015, 635, 268–272. [Google Scholar] [CrossRef]
- Shang, W.; Kong, L.; Ji, X. Synthesis, characterization and electrochemical performances of LiFePO4/graphene cathode material for high power lithium-ion batteries. Solid State Sci. 2014, 38, 79–84. [Google Scholar] [CrossRef]














| Samples | Average Lattice Constants | |||
|---|---|---|---|---|
| a-Axis (Å) | b-Axis (Å) | c-Axis (Å) | ||
| PDF#75-1525 | 4.1900 | 4.1900 | 4.1900 | |
| PDF#83-2092 | 10.3340 | 6.0100 | 4.6930 | |
| 13L2F2P15h851 | 0.00 | 10.2769 | 5.9870 | 4.6842 |
| cMg4h651 | 0.03 | 10.2780 | 6.0069 | 4.6935 |
| cMg4h652 | 0.06 | 10.1981 | 5.9862 | 4.6920 |
| cMg4h653 | 0.09 | 10.2834 | 5.9173 | 4.6899 |
| cMg4h654 | 0.12 | 10.4374 | 5.8742 | 4.6825 |
| cMg4h655 | 0.15 | 10.2511 | 5.9115 | 4.6843 |
| Samples | Average Lattice Constants | |||
|---|---|---|---|---|
| a-Axis (Å) | b-Axis (Å) | c-Axis (Å) | ||
| PDF#77-0191 | 4.2800 | 4.2800 | 4.2800 | |
| PDF#83-2092 | 10.3340 | 6.0100 | 4.6930 | |
| 13L2F2P15h851 | 0.00 | 10.2769 | 5.9870 | 4.6842 |
| cZn4h651 | 0.05 | 10.2892 | 5.9891 | 4.7059 |
| cZn4h652 | 0.10 | 10.2081 | 5.9791 | 4.6867 |
| cZn4h653 | 0.16 | 10.2453 | 6.1175 | 4.6937 |
| cZn4h654 | 0.21 | 11.0362 | 5.8485 | 4.6315 |
| cZn4h655 | 0.27 | 10.2542 | 6.0989 | 4.6902 |
| Samples | x | Ms (emu/g) | Mr (emu/g) | Hc (Oe) | Area Of Hysteresis Loop (kOe·emu/g) |
|---|---|---|---|---|---|
| 13L2F2P15h851 | 0.00 | 1.15 | 0.13 | 170.67 | 0.1 |
| cMg4h651 | 0.03 | 4.59 | 1.42 | 173.22 | 0.1 |
| cMg4h652 | 0.06 | 7.89 | 2.37 | 232.55 | 0.2 |
| cMg4h653 | 0.09 | 9.26 | 2.71 | 218.07 | 0.2 |
| cMg4h654 | 0.12 | 9.50 | 2.21 | 188.63 | 0.3 |
| cMg4h655 | 0.15 | 11.11 | 2.81 | 193.00 | 0.4 |
| Samples | x | Ms (emu/g) | Mr (emu/g) | Hc (Oe) | Area of Hysteresis Loop (kOe·emu/g) |
|---|---|---|---|---|---|
| 13L2F2P15h851 | 0.00 | 1.15 | 0.13 | 170.67 | 0.1 |
| cZn4h651 | 0.05 | 3.82 | 1.41 | 296.87 | 0.2 |
| cZn4h652 | 0.10 | 5.36 | 1.84 | 204.37 | 0.2 |
| cZn4h653 | 0.16 | 6.75 | 1.88 | 159.21 | 0.2 |
| cZn4h654 | 0.21 | 7.16 | 1.85 | 130.25 | 0.2 |
| cZn4h655 | 0.27 | 6.91 | 1.70 | 132.72 | 0.2 |
Disclaimer/Publisher’s Note: The statements, opinions and data contained in all publications are solely those of the individual author(s) and contributor(s) and not of MDPI and/or the editor(s). MDPI and/or the editor(s) disclaim responsibility for any injury to people or property resulting from any ideas, methods, instructions or products referred to in the content. |
© 2023 by the authors. Licensee MDPI, Basel, Switzerland. This article is an open access article distributed under the terms and conditions of the Creative Commons Attribution (CC BY) license (https://creativecommons.org/licenses/by/4.0/).
Share and Cite
Su, K.; Yang, F.; Zhang, Q.; Xu, H.; He, Y.; Lin, Q. Structure and Magnetic Properties of AO and LiFePO4/C Composites by Sol-Gel Combustion Method. Molecules 2023, 28, 1970. https://doi.org/10.3390/molecules28041970
Su K, Yang F, Zhang Q, Xu H, He Y, Lin Q. Structure and Magnetic Properties of AO and LiFePO4/C Composites by Sol-Gel Combustion Method. Molecules. 2023; 28(4):1970. https://doi.org/10.3390/molecules28041970
Chicago/Turabian StyleSu, Kaimin, Fang Yang, Qian Zhang, Huiren Xu, Yun He, and Qing Lin. 2023. "Structure and Magnetic Properties of AO and LiFePO4/C Composites by Sol-Gel Combustion Method" Molecules 28, no. 4: 1970. https://doi.org/10.3390/molecules28041970
APA StyleSu, K., Yang, F., Zhang, Q., Xu, H., He, Y., & Lin, Q. (2023). Structure and Magnetic Properties of AO and LiFePO4/C Composites by Sol-Gel Combustion Method. Molecules, 28(4), 1970. https://doi.org/10.3390/molecules28041970

