Synthesis, Antifungal Activity, 3D-QSAR and Controlled Release on Hydrotalcite Study of Longifolene-Derived Diphenyl Ether Carboxylic Acid Compounds
Abstract
1. Introduction
2. Results and Discussion
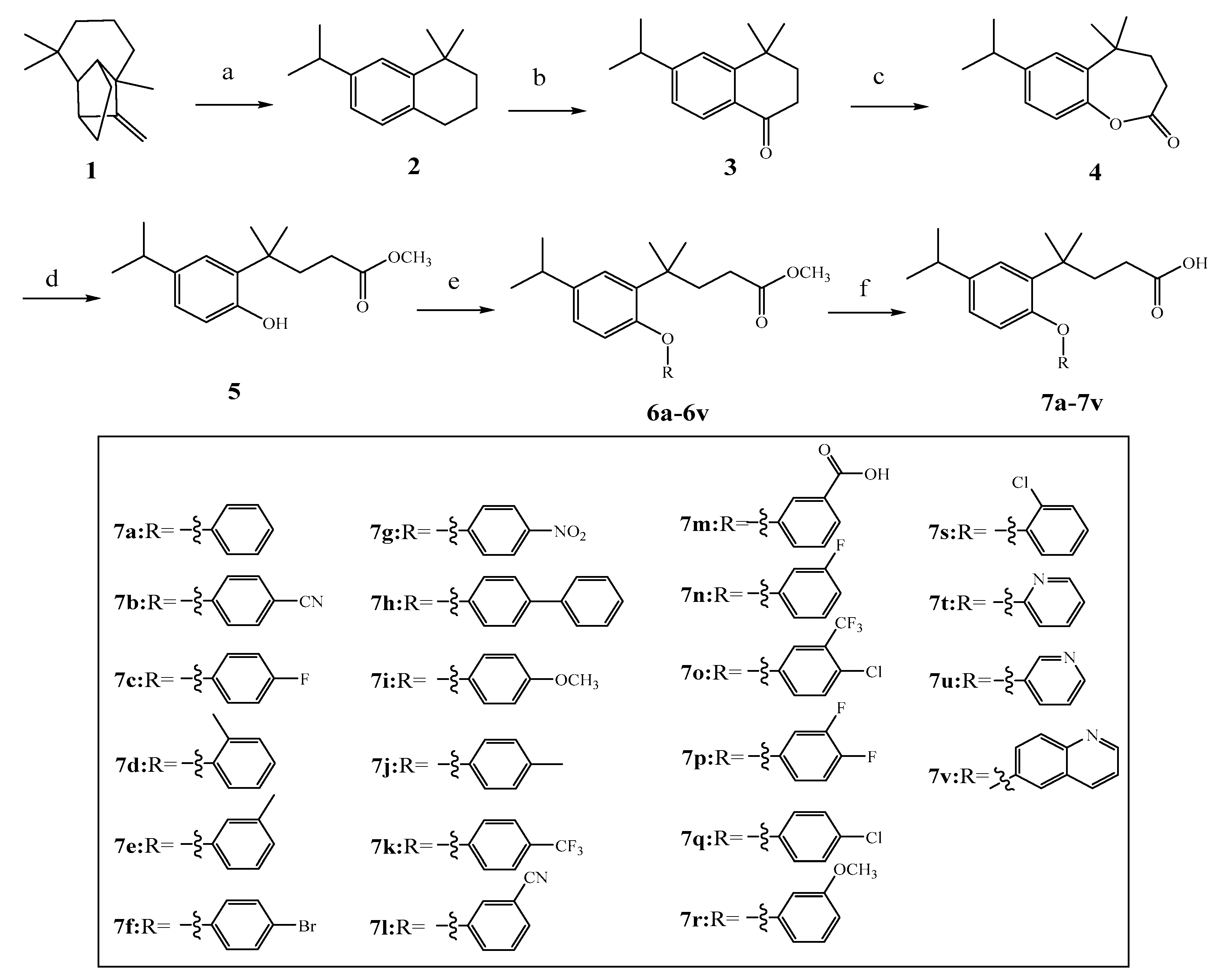
2.1. Synthesis and Characterization
2.2. Antifungal Activity
2.3. 3D-QSAR Analysis
2.4. Preparation and Characterization of MgAl-LDH and 7b/MgAl-LDH
2.5. Micro-Morphologies and In Vitro pH Controlled-Releasing Properties of Drug-Loading Complexes
3. Experimental Section
3.1. Materials
3.2. Chemical Synthesis
3.3. Antifungal Activity Test
3.4. 3D-QSAR Analysis
3.5. Preparation of Nano MgAl-LDH Carrier
3.6. Preparation and In Vitro pH Controlled-Releasing Evaluation of Drug-Loading Complexes
3.7. Characterization
4. Conclusions
Supplementary Materials
Author Contributions
Funding
Institutional Review Board Statement
Informed Consent Statement
Data Availability Statement
Acknowledgments
Conflicts of Interest
Sample Availability
References
- Fisher, M.C.; Hawkins, N.J.; Sanglard, D.; Gurr, S.J. Worldwide emergence of resistance to antifungal drugs challenges human health and food security. Science 2018, 360, 739–742. [Google Scholar] [CrossRef]
- Como, F.; Carnesecchi, E.; Volani, S.; Dorne, J.L.; Richardson, J.; Bassan, A.; Pavan, M.; Benfenati, E. Predicting acute contact toxicity of pesticides in honeybees (apis mellifera) through a k-nearest neighbor model. Chemosphere 2017, 166, 438–444. [Google Scholar] [CrossRef]
- Lamichhane, J.R.; You, M.P.; Laudinot, V.; Barbetti, M.J.; Aubertot, J.N. Revisiting sustainability of fungicide seed treatments for field crops. Plant Dis. 2020, 104, 610–623. [Google Scholar] [CrossRef]
- Vandermaesen, J.; Horemans, B.; Bers, K.; Vandermeeren, P.; Herrmann, S.; Sekhar, A.; Seuntjens, P.; Springael, D. Application of biodegradation in mitigating and remediating pesticide contamination of freshwater resources: State of the art and challenges for optimization. Appl. Microbiolo. Bio. 2016, 100, 7361–7376. [Google Scholar] [CrossRef]
- Xu, X.; Bai, B.; Wang, H.; Suo, Y. An near-infrared and temperature-responsive pesticide release platform through core-shell polydopamine@PNIPAm nanocomposites. ACS Appl. Mater. Inter. 2017, 9, 6424–6432. [Google Scholar] [CrossRef]
- Xiang, Y.; Wang, M.; Sun, X.; Cai, D.; Wu, Z. Controlling pesticide loss through nanonetworks. ACS Sustain. Chem. Eng. 2014, 2, 918–924. [Google Scholar] [CrossRef]
- Zou, R.X.; Li, B.Y.; Duan, W.G.; Lin, G.S.; Cui, Y.C. Synthesis of 3-carene-derived nanocellulose/1,3,4-thiadiazole-amide complexes with antifungal activity for plant protection. Pest Manag. Sci. 2022, 78, 3277–3286. [Google Scholar] [CrossRef]
- Zhao, X.; Cui, H.X.; Wang, Y.; Sun, C.J.; Cui, B.; Zeng, Z.H. Development strategies and prospects of nano-based smart pesticide formulation. J. Agric. Food Chem. 2018, 66, 6504–6512. [Google Scholar] [CrossRef]
- Chen, H.D.; Yada, R. Nanotechnologies in agriculture: New tools for sustainable development. Trends Food Sci. Technol. 2011, 22, 585–594. [Google Scholar] [CrossRef]
- Duan, W.G.; Shen, C.M.; Fang, H.X.; Li, G.H. Synthesis of dehydroabietic acid-modified chitosan and its drug release behavior. Carbohyd. Res. 2009, 344, 9–13. [Google Scholar] [CrossRef]
- Liang, Y.; Guo, M.; Fan, C.; Dong, H.Q.; Ding, G.L.; Zhang, W.B.; Tang, G. Development of novel urease-responsive pendimethalin microcapsules using silica-ipts-pei as controlled release carrier materials. ACS Sustain. Chem. Eng. 2017, 5, 4802–4810. [Google Scholar] [CrossRef]
- Cao, L.D.; Zhou, Z.L.; Niu, S.J.; Cao, C.; Li, X.H. Positive-charge functionalized mesoporous silica nanoparticles as nanocarriers for controlled 2,4-dichlorophenoxy acetic acid sodium salt release. J. Agric. Food Chem. 2017, 66, 6594–6603. [Google Scholar] [CrossRef] [PubMed]
- Kasula, N.; Madhusudana, R.K.; Duddekunta, H.; Sunmi, Z.; Soo, H.S.; Krishna, R.K.S.V. Strychnos Potatorum L. Seed polysaccharide-based stimuli-responsive hydrogels and their silver nanocomposites for the controlled release of chemotherapeutics and antimicrobial applications. ACS Omega 2022, 7, 12856–12869. [Google Scholar]
- Thubelihle, N.R.; Qing, Y.; Nan, S.Y.; Yuan, Z.Y.; Lin, X.H.; Tao, L.C.; Zheng, Z.Y. Progress in the application of nano- and micro-based drug delivery systems in pulmonary drug delivery. Bio. Integr. 2022, 3, 71–83. [Google Scholar]
- Fan, G.L.; Li, F.; Evans, D.G.; Duan, X. Catalytic applications of layered double hydroxides: Recent advances and perspectives. Chem Soc. Rev. 2014, 43, 7040–7066. [Google Scholar] [CrossRef]
- Dou, Y.B.; Zhang, S.T.; Pan, T.; Xu, S.M.; Zhou, A.W. TiO2@layered double hydroxide core–shell nanospheres with largely enhanced photocatalytic activity toward O2 generation. Adv. Funct. Mater. 2015, 25, 2243–2249. [Google Scholar] [CrossRef]
- Xu, M.D.; Wei, J.; Chen, X.J.; Pan, G.P.; Li, J.M.; Xing, L.Y. Satisfactory degradation of tetracycline by a pH-universal MnFe-LDH@BC cathode in electric fenton process: Performances, mechanisms and toxicity assessments. J. Environ. Chem. Eng. 2022, 10, 108409. [Google Scholar] [CrossRef]
- Jin, W.J.; Ha, S.; Myung, J.H.; Kim, B.C.; Park, D.H. Ceramic layered double hydroxide nanohybrids for therapeutic applications. J. Korean Ceram. Soc. 2020, 57, 597–607. [Google Scholar] [CrossRef]
- Saito, G.P.; Romero, J.H.S.; Cebim, M.A.; Davolos, M.R. Eu(III) doped LDH intercalated with cinnamate anion as multifunctional sunscreens. J. Lumin. 2018, 203, 160–164. [Google Scholar] [CrossRef]
- Asif, M.; Aziz, A.; Azeem, M.; Wang, Z.Y.; Ashraf, G.; Xiao, F. A review on electrochemical biosensing platform based on layered double hydroxides for small molecule biomarkers determination. Adv. Colloid. Interfac. 2018, 262, 21–38. [Google Scholar] [CrossRef]
- Mei, X.A.; Ma, J.L.; Xue, B.; Zang, X.; Zhang, S.M.; Liang, R.Z. A bottom-up synthesis of rare-earth-hydrotalcite monolayer nanosheets toward multimode imaging and synergetic therapy. Chem. Sci. 2018, 9, 5630–5639. [Google Scholar] [CrossRef] [PubMed]
- Riaz, U.; Singh, N.; Verma, A.; Aazam, E.S. Studies on conducting polymer intercalated layered double hydroxide nanocomposites: Antituberculosis drug delivery agents. Polym. Eng. Sci. 2020, 60, 2628–2639. [Google Scholar] [CrossRef]
- Liu, G.; Niu, P.; Yin, L.; Cheng, H.M. Alpha-sulfur crystals as a visible-light-active photocatalyst. J. Am. Chem. Soc. 2012, 134, 9070–9073. [Google Scholar] [CrossRef] [PubMed]
- Hu, R.; Zhou, F.; Zhou, T.T.; Shen, J.L.; Wang, Z.M.; Zhao, Z.J. Specific discrimination of gram-positive bacteria and direct visualization of its infection towards mammalian cells by a DPAN-based AIEgen. Biomaterials 2018, 187, 47–54. [Google Scholar] [CrossRef]
- Huang, M.; Duan, W.G.; Lin, G.S.; Li, B.Y. Synthesis, antifungal activity, 3D-QSAR, and molecular docking study of novel menthol-derived 1,2,4-triazole-thioether compounds. Molecules 2021, 26, 6948–6965. [Google Scholar] [CrossRef]
- Chen, M.; Duan, W.G.; Lin, G.S.; Fan, Z.T.; Wang, X. Synthesis, antifungal activity, and 3D-QSAR study of novel nopol-derived 1,3,4-thiadiazole-thiourea compounds. Molecules 2021, 26, 1708–1723. [Google Scholar] [CrossRef]
- Li, Q.M.; Lin, G.S.; Duan, W.G.; Cui, Y.C.; Li, F.Y.; Lei, F.H.; Li, D.P. Design, synthesis, and antiproliferative evaluation of novel longifolene-derived tetraline pyrimidine derivatives with fluorescence properties. New J. Chem. 2022, 46, 8688–8697. [Google Scholar] [CrossRef]
- Zhao, S.Y.; Lin, G.S.; Duan, W.G.; Zhang, Q.A.; Huang, Y.L.; Lei, F.H. Design, synthesis, and antifungal activity of novel longifolene-derived diacylhydrazine compounds. ACS Omega 2021, 6, 9104–9111. [Google Scholar] [CrossRef]
- Wu, C.L.; Wang, Y.Y.; Wang, S.F. Synthesis and antiproliferative activity of isolongifolanone pyrazoline derivatives inducing intracellular ros accumulation. Pharm. Chem. J. 2019, 53, 706–712. [Google Scholar] [CrossRef]
- Rui, J.; Yang, J.L.; Cai, T.; Xu, X.; Wang, S.F. Synthesis of isolongifolanyl thiazole compounds and their antibacterial and antitumor activities. Chem. Ind. Forest. Pd. 2016, 36, 41–48. [Google Scholar]
- Zhu, X.P.; Lin, G.S.; Duan, W.G.; Li, Q.M.; Li, F.Y.; Lu, S.Z. Synthesis and antiproliferative evaluation of novel longifolene-derived tetralone derivatives bearing 1,2,4-triazole moiety. Molecules 2020, 25, 986–998. [Google Scholar] [CrossRef] [PubMed]
- Zhang, Q.A.; Lin, G.S.; Duan, W.G.; Zhao, S.Y.; He, J.M.; Lei, F.H. Synthesis, antifungal activity and 3D-QSAR study of novel (e)-longifolene-derived tetralone oxime ethers. ChemistrySelect 2021, 6, 4515–4520. [Google Scholar] [CrossRef]
- Du, B.Z.; Luo, W.; Wang, R.M. The Synthesis of Mg-Zn-Al LDH and the sustained-release properties of theophylline intercalated LDH. Adv. Mater. 2011, 1165, 2448–2455. [Google Scholar] [CrossRef]
- Zhao, L.X.; Peng, J.F.; Liu, F.Y.; Zou, Y.L.; Gao, S.; Fu., Y. Design, Synthesis, and herbicidal activity of diphenyl ether derivatives containing a five-membered heterocycle. J. Agric. Food Chem. 2022, 70, 1003–1018. [Google Scholar] [CrossRef]
- Zhao, L.-X.; Peng, J.-F.; Hu, J.-J.; Zou, Y.-L.; Yin, M.-L.; Wang, Z.-X.; Gao, S.; Fu, Y.; Ye, F. Design, synthesis, herbicidal activity, and the molecular docking study of novel diphenyl ether derivatives as protoporphyrinogen IX oxidase inhibitors. J. Mol. Struct. 2022, 1258, 132670. [Google Scholar] [CrossRef]
- Khade, A.B.; Boshoff, H.I.M.; Arora, K.; Vandana, K.E.; Verma, R.; Shenoy, G.G. Design, synthesis, evaluation, and molecular dynamic simulation of triclosan mimic diphenyl ether derivatives as antitubercular and antibacterial agents. Struct. Chem. 2020, 31, 983–998. [Google Scholar] [CrossRef]
- Ki, D.W.; Mwouafack, M.D.; Piow, W.C.; Minh, N.H.; Minh, T.Q.; Huong, T.N.L.; Hiroyuki, M. Brominated iphenyl ethers including a new tribromoiododiphenyl ether from the vietnamese marine sponge Arenosclera sp. and their antibacterial activities. Chem. Biodivers 2018, 16, e1800593. [Google Scholar] [CrossRef]
- Su, N.N.; Li, Y.; Yu, S.J.; Zhang, X.; Liu, X.H.; Zhao, W.G. Microwave-assisted synthesis of some novel 1,2,3-triazoles by click chemistry, and their biological activity. Res. Chem. Interm. 2013, 39, 759–766. [Google Scholar] [CrossRef]
- Peng, L.Q.; Mei, X.A.; He, J.; Xu, J.K.; Zhang, W.K.; Liang, R.Z. Monolayer nanosheets with an extremely high drug loading toward controlled delivery and cancer theranostics. Adv. Mater. 2018, 30, 1707381–1707389. [Google Scholar] [CrossRef]
- Fang, C.; Xiao, Z.Y. Receptor-based 3D-QSAR in drug design: Methods and applications in kinase studies. Curr. Top Med. Chem. 2016, 16, 1463–1477. [Google Scholar] [CrossRef]
- Cao, R.H.; Guan, X.D.; Shi, B.X.; Chen, Z.Y.; Ren, Z.H.; Peng, W.L. Design, synthesis and 3D-QSAR of β-carboline derivatives as potent antitumor agents—Sciencedirect. Eur. J. Med. Chem. 2010, 45, 2503–2515. [Google Scholar] [CrossRef] [PubMed]









| Inhibition Rate (%) against the Tested Fungi a | ||||||||
|---|---|---|---|---|---|---|---|---|
| Compounds | F. Oxysporum f. sp. Cucumerinum | C. ArachidiCola | P. Piricola | A. Solani | G. Zeae | R. Solani | B. Myadis | C. Orbicalare |
| 7a | 44.6 ± 0.7 | 63.8 ± 2.2 | 67.9 ± 3.3 | 80.7 ± 1.5 | 51.2 ± 0.8 | 28.3 ± 1.6 | 41.3 ± 2.7 | 50.0 ± 0.5 |
| 7b | 68.8 ± 2.6 | 82.7 ± 1.2 | 81.4 ± 2.0 | 85.9 ± 3.2 | 72.9 ± 2.9 | 82.7 ± 1.9 | 75.0 ± 2.3 | 65.6 ± 3.1 |
| 7c | 31.2 ± 1.7 | 67.7 ± 2.3 | 67.9 ± 2.3 | 71.0 ± 1.8 | 68.8 ± 1.5 | 13.7 ± 3.2 | 60.0 ± 2.6 | 41.1 ± 2.5 |
| 7d | 40.8 ± 2.9 | 48.5 ± 1.3 | 62.6 ± 2.1 | 71.0 ± 1.2 | 51.2 ± 1.9 | 23.4 ± 2.4 | 26.7 ± 1.8 | 43.3 ± 2.3 |
| 7e | 67.1 ± 1.4 | 56.2 ± 1.8 | 49.5 ± 1.4 | 58.8 ± 3.0 | 57.1 ± 2.0 | 35.6 ± 1.2 | 30.8 ± 2.4 | 41.1 ± 1.3 |
| 7f | 33.5 ± 2.0 | 66.2 ± 2.6 | 56.8 ± 2.3 | 81.2 ± 2.5 | 57.3 ± 3.1 | 33.4 ± 3.0 | 36.7 ± 3.0 | 52.1 ± 2.3 |
| 7g | 25.4 ± 1.7 | 48.5 ± 3.0 | 67.9 ± 2.2 | 71.0 ± 2.3 | 59.0 ± 2.7 | 17.3 ± 2.2 | 45.4 ± 2.6 | 41.2 ± 3.2 |
| 7h | 57.3 ± 3.1 | 48.5 ± 1.9 | 25.8 ± 3.0 | 71.0 ± 3.3 | 39.4 ± 1.6 | 17.3 ± 1.4 | 22.5 ± 1.9 | 46.7 ± 1.6 |
| 7i | 31.2 ± 1.4 | 56.2 ± 2.2 | 46.8 ± 1.5 | 71.0 ± 2.8 | 61.0 ± 0.8 | 19.8 ± 2.3 | 24.6 ± 2.5 | 39.8 ± 2.5 |
| 7j | 36.9 ± 1.6 | 55.3 ± 1.6 | 41.6 ± 2.6 | 61.1 ± 2.2 | 49.2 ± 2.4 | 40.5 ± 3.1 | 50.0 ± 1.0 | 51.1 ± 1.7 |
| 7k | 13.8 ± 0.9 | 48.5 ± 2.4 | 31.1 ± 1.8 | 66.1 ± 1.7 | 29.6 ± 1.3 | 17.3 ± 2.0 | 37.1 ± 2.7 | 36.7 ± 2.6 |
| 7l | 31.2 ± 1.3 | 80.4 ± 2.0 | 80.3 ± 3.1 | 31.4 ± 3.0 | 60.0 ± 2.3 | 80.7 ± 1.8 | 62.9 ± 0.9 | 61.5 ± 3.3 |
| 7m | 43.3 ± 2.7 | 60.0 ± 1.4 | 67.1 ± 1.7 | 67.1 ± 1.1 | 48.9 ± 1.4 | 46.4 ± 1.1 | 45.3 ± 1.6 | 52.4 ± 0.8 |
| 7n | 19.5 ± 1.1 | 23.6 ± 2.3 | 45.7 ± 2.2 | 38.6 ± 0.8 | 26.7 ± 1.7 | 37.3 ± 2.0 | 24.7 ± 3.2 | 22.1 ± 1.4 |
| 7o | 29.0 ± 2.5 | 23.6 ± 1.2 | 67.1 ± 3.1 | 45.7 ± 1.7 | 32.2 ± 0.7 | 28.2 ± 1.3 | 33.5 ± 1.1 | 25.2 ± 1.7 |
| 7p | 57.6 ± 3.1 | 73.6 ± 0.8 | 67.1 ± 0.6 | 67.1 ± 1.6 | 60.0 ± 2.9 | 71.4 ± 0.7 | 48.2 ± 2.8 | 55.5 ± 0.9 |
| 7q | 24.3 ± 2.6 | 50.9 ± 1.7 | 52.9 ± 2.9 | 38.6 ± 3.3 | 26.7 ± 2.3 | 23.6 ± 1.7 | 39.4 ± 2.4 | 37.3 ± 2.5 |
| 7r | 29.0 ± 1.3 | 28.2 ± 2.6 | 67.1 ± 1.5 | 52.9 ± 2.6 | 32.2 ± 3.0 | 28.2 ± 2.2 | 39.4 ± 0.8 | 34.2 ± 2.7 |
| 7s | 67.1 ± 0.9 | 78.2 ± 3.2 | 74.3 ± 2.2 | 60.0 ± 1.9 | 48.9 ± 3.2 | 46.4 ± 1.6 | 30.6 ± 2.9 | 61.5 ± 1.5 |
| 7t | 57.6 ± 2.2 | 54.5 ± 1.5 | 67.1 ± 2.2 | 67.1 ± 2.2 | 60.0 ± 2.8 | 62.3 ± 2.2 | 42.4 ± 1.3 | 55.5 ± 2.4 |
| 7u | 29.0 ± 1.5 | 28.2 ± 0.7 | 21.4 ± 3.0 | 21.4 ± 3.0 | 32.2 ± 1.4 | 16.8 ± 1.9 | 27.6 ± 1.2 | 40.3 ± 1.2 |
| 7v | 43.3 ± 1.3 | 69.1 ± 1.9 | 60.0 ± 1.4 | 60.0 ± 1.4 | 60.0 ± 1.2 | 69.1 ± 0.7 | 39.4 ± 3.0 | 37.3 ± 2.1 |
| Chlorothalonil | 91.7 ± 0.8 | 94.4 ± 1.3 | 45.0 ± 2.3 | 45.0 ± 2.3 | 58.3 ± 1.8 | 96.3 ± 2.2 | 81.8 ± 0.7 | 75.0 ± 1.6 |
| Compound | R | WM | AF | AF a | Residual |
|---|---|---|---|---|---|
| 7a | Ph | 326.43 | −1.892 | −1.984 | 0.092 |
| 7b | p-CN Ph | 351.44 | −1.761 | −1.745 | −0.016 |
| 7c | p-F Ph | 344.42 | −2.148 | −2.193 | 0.045 |
| 7d | o-CH3 Ph | 340.46 | −2.143 | −2.144 | 0.001 |
| 7e | m-CH3 Ph | 340.46 | −2.378 | −2.411 | 0.033 |
| 7f | p-Br Ph | 405.33 | −1.972 | −1.979 | 0.007 |
| 7g | p-NO2 Ph | 371.42 | −2.181 | −2.226 | 0.045 |
| 7h | p-Ph Ph | 402.53 | −2.216 | −2.224 | 0.008 |
| 7i | p-OCH3 Ph | 356.45 | −2.163 | −2.161 | −0.002 |
| 7j | p-CH3 Ph | 370.45 | −2.259 | −2.240 | −0.019 |
| 7k | p-CF3 Ph | 344.42 | −2.739 | −2.652 | −0.087 |
| 7l | m-CN Ph | 351.44 | −2.236 | −2.266 | 0.030 |
| 7m | m-COOH Ph | 370.45 | −2.259 | −2.240 | −0.019 |
| 7n | m -F Ph | 344.42 | −2.739 | −2.652 | −0.087 |
| 7o | p-Cl-m-CF3 Ph | 428.88 | −2.707 | −2.712 | 0.005 |
| 7p | m,p-2F Ph | 362.41 | −2.50 | −2.249 | −0.001 |
| 7q | p-Cl Ph | 360.87 | −2.759 | −2.730 | −0.029 |
| 7r | m-OCH3 Ph | 356.45 | −2.502 | −2.449 | −0.053 |
| 7s | o-Cl Ph | 360.87 | −2.381 | −2.351 | −0.030 |
| Statistical Parameters | CoMFA |
|---|---|
| q2 | 0.572 |
| r2 | 0.996 |
| S | 0.032 |
| F | 126.367 |
| Field contribution (%) | |
| Steric | 64.8 |
| Electrostatic | 35.2 |
Disclaimer/Publisher’s Note: The statements, opinions and data contained in all publications are solely those of the individual author(s) and contributor(s) and not of MDPI and/or the editor(s). MDPI and/or the editor(s) disclaim responsibility for any injury to people or property resulting from any ideas, methods, instructions or products referred to in the content. |
© 2023 by the authors. Licensee MDPI, Basel, Switzerland. This article is an open access article distributed under the terms and conditions of the Creative Commons Attribution (CC BY) license (https://creativecommons.org/licenses/by/4.0/).
Share and Cite
Wu, X.; Lin, G.; Duan, W.; Li, B.; Cui, Y.; Cen, B.; Lei, F. Synthesis, Antifungal Activity, 3D-QSAR and Controlled Release on Hydrotalcite Study of Longifolene-Derived Diphenyl Ether Carboxylic Acid Compounds. Molecules 2023, 28, 1911. https://doi.org/10.3390/molecules28041911
Wu X, Lin G, Duan W, Li B, Cui Y, Cen B, Lei F. Synthesis, Antifungal Activity, 3D-QSAR and Controlled Release on Hydrotalcite Study of Longifolene-Derived Diphenyl Ether Carboxylic Acid Compounds. Molecules. 2023; 28(4):1911. https://doi.org/10.3390/molecules28041911
Chicago/Turabian StyleWu, Xiaocui, Guishan Lin, Wengui Duan, Baoyu Li, Yucheng Cui, Bo Cen, and Fuhou Lei. 2023. "Synthesis, Antifungal Activity, 3D-QSAR and Controlled Release on Hydrotalcite Study of Longifolene-Derived Diphenyl Ether Carboxylic Acid Compounds" Molecules 28, no. 4: 1911. https://doi.org/10.3390/molecules28041911
APA StyleWu, X., Lin, G., Duan, W., Li, B., Cui, Y., Cen, B., & Lei, F. (2023). Synthesis, Antifungal Activity, 3D-QSAR and Controlled Release on Hydrotalcite Study of Longifolene-Derived Diphenyl Ether Carboxylic Acid Compounds. Molecules, 28(4), 1911. https://doi.org/10.3390/molecules28041911
