Abstract
Palladium-catalyzed C-H activation reactions have attracted the attention of organic researchers due to their unique high selectivity, broad functional group tolerance, and high efficiency, and they are widely used in natural products and asymmetric synthesis. Here, we report an example of enantioselective C-H alkenylation between β-alkyl phenylethylamine compounds and styrenes with Boc-L-lle-OH as the ligand and nosylamide as the directing group. This reaction is applicable to styrene containing various electron-deficient and electron-donating substitutions and may be utilized for the synthesis of benzoazepine compounds.
1. Introduction
A transition metal-catalyzed C-H bond activation reaction can directly functionalize the C-H bond, which greatly simplifies the steps of traditional organic synthesis. Therefore, it is widely accepted in drug synthesis, natural product synthesis, and chemical reagent synthesis [1,2,3,4]. Because of the inertness of the C-H bond and the massive existence of such bonds in organic molecules, selectivity and catalytic activity have become the key problems in C-H bond activation reactions. The use of the directing group strategy effectively solves these problems. More specifically, the C-H bonds at certain positions on the substrate can be selectively activated through the coordination of the directing group with the central metal, thus controlling the regio- and stereoselectivity of the reaction [5,6,7,8,9,10,11]. The Yu group has conducted extensive and in-depth research on this issue and developed a series of C-H bond activation methods. For example, in 2011, they successfully used carboxyl-directed C-H bond-activated alkenylation reactions to bond two complex fragments and then synthesized (±)-lithospermic acid succinctly and efficiently [12,13,14,15].
In recent years, enantioselective C-H iodination and alkylation have been achieved by combining Palladium (Pd, II) with a mono-N-protected amino acid (MPAA) ligand after kinetic resolutions [11,13,16,17,18,19]. Our research group investigated β-alkyl phenylethylamine compounds with fused bicyclic skeletons, which had been used in the synthesis of the natural product delavastine after Pd-catalyzed, trifluoromethanesulfonate-directed C-H alkylation and kinetic splitting. The structure of alkenylated products is similar to that of cinnamate esters and can be used for the further synthesis of dopamine receptor D1 ligands, α2-adrenergic receptors, 5-HT1A receptor ligands, poly (ADP-ribose) polymerase (PARP) inhibitors, and other drug molecules [20,21,22].
Styrene is an important raw material that is commonly used in chemical industrial processes; however, Pd-catalyzed C−H functionalizations of styrene are challenging due to the low reactivity of the substrates. In the previous study conducted by our research group, we used palladium acetate (Pd(OAc)2) as a catalyst to screen ligands, oxidants, and additives. We eventually achieved enantioselective C-H alkenylation between the β-alkyl phenyl ethylamine compound and styrene, with the use of Boc-L-lle-OH as a ligand based on higher yield and selectivity. The alkenylated products can be used for the synthesis of benzoazepine compounds, which can bond with dopamine D1 receptors. We also found that the selectivity of the reaction was influenced by the trace amount of water in the solvent, and the selectivity and yield were higher when two equivalents (equiv.) of water were added to the anhydrous solvent.
2. Results and Discussion
2.1. Preliminary Research and Reaction Optimizations
We started our research by exploring the enantioselective C-H kinetic resolution/alkenylation of racemic Nosyl-protected 2, 3-dihydro-1H-indene-1-methylamine (rac-1a). Under the guidance of the C-H alkenylation reaction conditions protected by trifluoromethanesulfonic acid, which were developed by our research group, the alkenylation reaction between rac-1a and the coupling agent styrene was carried out under the conditions of Pd(OAc)2, Boc-L-t-Leu-OH, AgOAc, K2CO3, and anhydrous tertiary amyl alcohol (t-AmOH)/1-methyl-2-pyrrolidinone (NMP) (3:1); the test conditions are summarized in Table 1. Under the initial conditions, we obtained the target C-H alkenylated product 2a, in 30% yield and with an enantiomeric excess (ee) value of 88%, along with the recovered 1a, in 57% yield and with an ee value of 28% (entry 1; also see the Supplementary Materials). Then, we explored the influence of solvents containing different proportions of water (entries 2 and 3). With two equiv. of water in the anhydrous solvent, the ee value of product 2a was up to 92%, which was higher than when no water or 4 equiv. of water were added. When the temperature rose to 80 °C, the reaction rate was high, and the yield of product 2a increased to 41%, but the ee value was only 78% (entry 4). On the contrary, the yield did not change after the oxidant benzoquinone (BQ) was added, but the ee value of product 2a rose to 93% (entry 5). Encouraged by this result, we screened other mono-protected amino acid ligands (entries 6 and 7). It was found that Boc-L-lle-OH was the most effective chiral ligand, and the ee values of products 2a and 1a were 94% and 64%, respectively. A smaller acetyl-protecting group reduced the yield and enantiomeric purity of product 2a (entry 7). With this preliminary result, we began to test whether an inorganic base could enhance the C-H activation/alkenylation reaction. Unfortunately, we found that other types of inorganic bases (Na2CO3, entry 8, and Na3PO4, entry 9) could reduce enantiomeric selectivity and yield.
Table 1.
Optimization of conditions for the kinetic resolution of β-alkylphenyl ethylamine.
2.2. Substrate Range of Nosylamide-Directed C-H Alkenylation
With the optimized reaction conditions, we studied the applicability of a styrene coupling agent. To our satisfaction, the enantioselective C-H alkenylation reaction of racemic rac-1 with various substituted styrenes proceeded smoothly, producing the enantiomer-enriched compounds 2a-n and 1a. As shown in Scheme 1, the reaction with p-chlorostyrene generated the alkenylated product 2c with an ee of 95% and 40% yield, while 1ac was recovered in 46% yield, which corresponds to a selectivity factor (s) of 57.2 [23]. We also found that the substitution position of chlorine does not greatly affect the kinetic resolution. The fluorine and trifluoromethyl substituted styrenes are also suitable coupling agents, providing the corresponding products 2b and 2g with an ee value of 92%. Aryl bromides (2f), nitriles (2h), and esters (2i) with electron-accepting functional groups have good tolerance in this reaction. Coupling agent ligands containing the electron-donating methyl (2j), tert-butyl (2k), and methoxy groups (2m) also performed well and provided alkenylated products with excellent selectivity, especially when the ee value of 2k reached 98%. The larger substitutional groups on styrene, such as the benzene ring (2l) and the tert-butyl group (2n), have a slight impact on the selectivity. To sum up, this method is applicable to styrene containing various electron-deficient and electron-donating substitutions.
Scheme 1.
Enantioselective C-H olefination/kinetic resolution of the β-alkyl phenylethylamine derivative. Reaction conditions: anhydrous t-AmOH/NMP (3:1, 0.05 M), rac-1a (0.1 mmol), styrene or substituted styrenes (3.0 equiv.), Pd(OAc)2 (20 mol%), Boc-L-lle-OH (40 mol%), AgOAc (2.5 equiv.), K2CO3 (2.5 equiv.), BQ (0.5 equiv.), H2O (2.0 equiv.); 24 h. The enantiomeric excesses were determined by HPLC with a chiral stationary phase. The selectivity factor (s) = (rate of fast-reacting enantiomer)/(rate of slow-reacting enantiomer) = ln[(1-C)(1-ee)]/ln[(1-C)(1+ee)] where C is the conversion [C=eeSM/(eeSM+eePR)] and ee is the enantiomeric excess of the re-maining starting material [23].
With these results, we further studied the applicability of amines based on kinetic resolution. We chose chlorostyrene, which has a higher yield and selectivity and is suitable for further modification, as the coupling agent and obtained the enantiomer-enriched compounds 1o-x and 2o-x (see Scheme 2 and the Supplementary Materials). We were pleased to find that our method could tolerate various substitutional groups on β-alkyl phenethylamine; regardless of the nature of the electrons on the aromatic substrate, the reaction proceeded smoothly. The enantiomeric excess of the fluorine-containing aromatic substrate was 88%, 90%, and 94% (2o, 2p and 2q, respectively), which indicates that the substitution position of fluorine had some effect on the selectivity. Under the conditions of C-H alkenylation, no direct Heck reaction of aryl bromides with chlorostyrene was observed, although the yield decreased slightly, and the ee value reached 97% (2r). Substitutional groups containing chlorine (2s), methyl (2t), and methoxy (2u) were also kinetically resolved to obtain enantiomer-enriched compounds with higher yields, but the two methoxy-substituted substrate (2v) had a slightly worse ee value (74%). The kinetic resolution of the tetralin substrates also had good yield and stereoselectivity (2w and 2x). All results indicate that this method provides an opportunity for the orthogonal functionalization of the optically active substituted arenes.
Scheme 2.
Scope of the β-alkyl phenylethylamine substrate.
In order to prove the synthesis function of the enantioselective C-H alkenylation reaction, we chose Boc-L-lle-OH as the ligand and performed a gram-scale experiment using rac-1v and styrene under optimal reaction conditions. As shown in Scheme 3, the solution proceeded smoothly on a 3 g scale, and the alkenylated product 3 was obtained with a yield of 44% and an ee value of 87%. Meanwhile, the raw material 1v was recovered. Then, we performed the kinetic resolution of the recovered 1v together with the ligand Boc-D-lle-OH opposite to the enantiomer, and compound 4 was obtained with a yield of 69% and an ee value of 92%. In addition, we oxidized the carbon double bond of compound 3 in the double carbonyl group using OsO4 and Dess–Martin periodinane, and then we removed the Nosyl-protecting group to construct a nitrogen-containing heptatomic ring (compound 7, see Scheme 3). It is worth noting that the indenonitrogen-containing heptatomic ring is an important structural unit in natural products and bioactive molecules.
Scheme 3.
Enantioselective C-H kinetic resolution of the recovered starting material and synthesis of the nitrogen-containing heptatomic ring.
Reaction conditions: anhydrous t-AmOH/NMP (3:1, 0.05 M), rac-1o-x (0.1 mmol), 4-Chlorostyrene (3.0 equiv), Pd(OAc)2 (20 mol%), Boc-L-lle-OH (40 mol%), AgOAc (2.5 equiv.), K2CO3 (2.5 equiv.), BQ (0.5 equiv.), H2O (2.0 equiv.); 24 h. The enantiomeric excesses were determined by HPLC with a chiral stationary phase. The selectivity factor (s) = (rate of fast-reacting enantiomer)/(rate of slow-reacting enantiomer) = ln[(1-C)(1-ee)]/ln[(1-C)(1+ee)] where C is the conversion [C=eeSM/(eeSM+eePR)] and ee is the enantiomeric excess of the re-maining starting material [23].
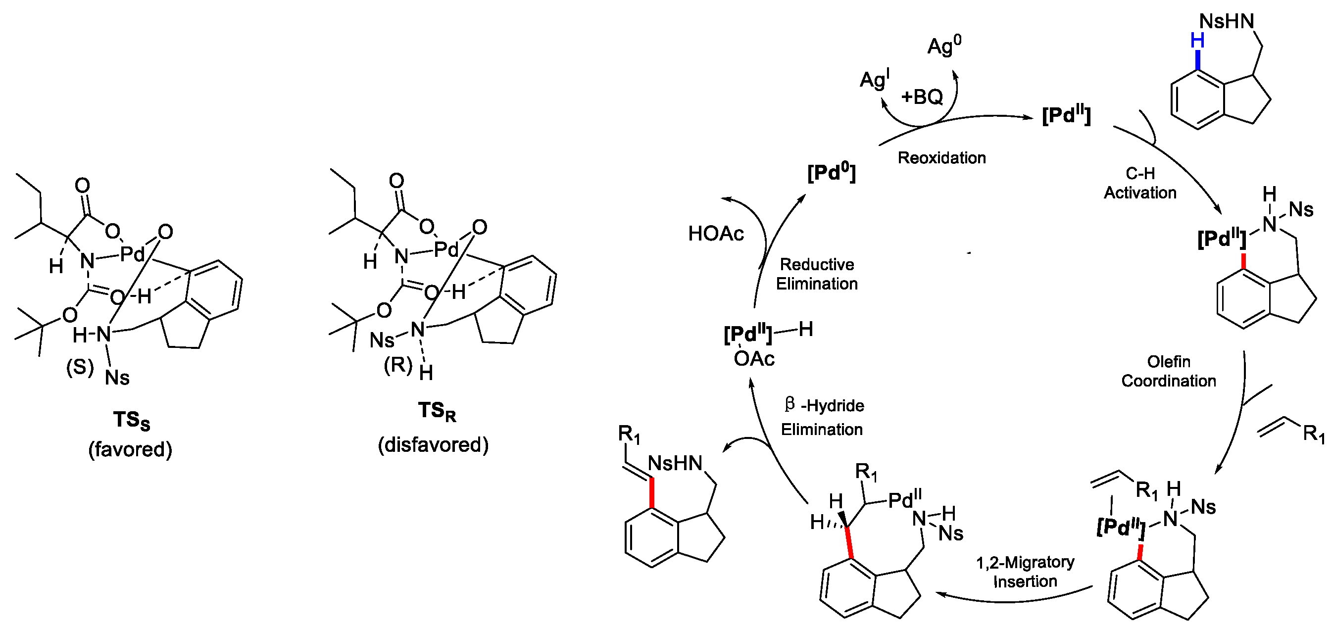
Based on previous, extensive structural and literature research, we proposed two possible transition states, TSS and TSR (Scheme 4). In both TSS and TSR, palladium is coordinated with Boc-L-lle-OH and the substrate in a planar manner. The isopentane moves upward, which then pushes the Boc groups below the palladium coordination plane to avoid steric repulsion. In the C-H activation step, the transition state TSR is expected to be disfavored relative to TSS because of the steric repulsion between Boc and Ns in TSR, which is consistent with the faster formation of the product with the S configuration [12,18,22,24]. Thus, the Pd(II)-catalyzed C-H olefination of β-alkyl phenylethylamine compounds such as rac-1 has been proposed to proceed as follows (Scheme 4). After the coordination of rac-1 with Pd(II), nosylamide-directed ortho-C−H cleavage takes place to form a cyclopalladated intermediate with an olefin. This intermediate undergoes 1,2-migratory insertion, followed by β-hydride elimination in order to generate the product. Pd(0), which is presumably stabilized by Boc-L-lle-OH, is then reoxidized to Pd(II) by Ag(I) and BQ, at which point it re-enters the catalytic cycle [17,25].
Scheme 4.
The proposed transition-state model and the catalytic cycle for C-H olefination.
In conclusion, we realized the enantioselective C-H kinetic resolution of β-alkyl phenylethylamine compounds using the Boc-L-lle-OH ligand under the catalysis of Pd(OAc)2. It was found that the presence of trace water in solvents could improve the selectivity of reactions. Moreover, the alkenylated products could be used to easily construct a heptatomic ring with a definite spatial configuration, which will provide a new method for the synthesis of benzoazepine compounds.
3. Materials and Methods
3.1. Chemistry
3.1.1. General Information
All solvents were obtained from Damas-beta, Bidepharm, Alfa-Aesar, and TCI and used directly without further purification. Palladium catalysts and MPAA ligands were purchased from Sigma-Aldrich and Damas-beta; styrene and substituted styrene were obtained from Bidepharm, Damas-beta and TCI. The starting materials and 4-Nitrobenzenesulfonyl chloride used to prepare the Nosyl-protected β-alkyl phenylethylamine compounds were purchased from Damas-beta, TCI and Bidepharm. 1H NMR and 13C NMR spectra were recorded on Bruker-Ascend (400 MHz for 1H; 101 MHz for 13C, respectively) and Bruker-DRX (500 MHz for 1H and 126 MHz for 13C) instruments that had been internally referenced to tetramethylsilane or chloroform signals (1H: δ7.26, 13C: δ77.16). The NMR samples were kept under vacuum before measurement to remove possible solvate molecules. HPLC data were recorded at the Center for Mass Spectrometry, Shanghai Institute of Organic Chemistry, Chinese Academy of Sciences. All reactions were monitored by thin-layer chromatography (TLC) using silica-gel plates (silica gel 60 F254 0.25 mm).
3.1.2. Synthesis
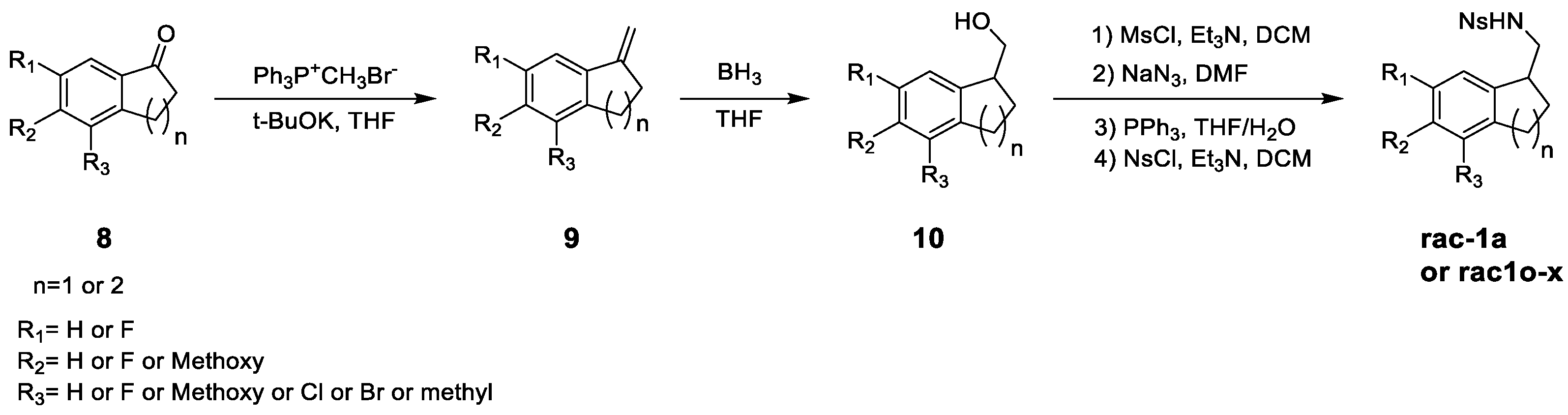
Depiction of the synthesis of the compounds rac-1a and rac-1o-x. The compounds rac-1a or rac-1o-x were obtained from 1-indanone or 1-tetralone via the Witting reaction, borane reduction, azide reaction followed by the Staudinger reaction, and amino protection in 20–40% yields (Scheme 5 and Scheme 6) [26,27,28,29].
Scheme 5.
The synthetic routes of rac-1a and various substitutional groups on β-alkyl phenethylamine (rac-1o-x).
Scheme 6.
Enantioselective C-H olefination/kinetic resolution of Nosyl-protected β-alkyl phenylethylamine derivatives.
rac-1a: 1H NMR (500 MHz, CDCl3) δ 8.14–8.10 (m, 1H), 7.88–7.83 (m, 1H), 7.75–7.71 (m, 2H), 7.23–7.11 (m, 4H), 5.32 (t, J = 5.9 Hz, 1H), 3.46–3.36 (m, 2H), 3.20 (ddd, J = 12.0, 7.1, 5.4 Hz, 1H), 2.99–2.82 (m, 2H), 2.32–2.24 (m, 1H), 1.88 (ddt, J = 12.8, 8.7, 6.3 Hz, 1H). 13C NMR (126 MHz, CDCl3) δ 148.2, 144.5, 142.9, 133.7, 132.9, 131.3, 127.6, 126.6, 125.6, 125.1, 123.8, 47.8, 44.8, 31.2, 29.4. HR-ESI-MS: calcd for C16H16N2O4SNa [M + Na]+ 355.0723; found 355.0721.
rac-1o: 1H NMR (400 MHz, CDCl3) δ 8.12 (dq, J = 7.6, 4.1 Hz, 1H), 7.86 (dt, J = 7.4, 3.8 Hz, 1H), 7.74 (dq, J = 7.3, 3.9 Hz, 2H), 7.17–7.09 (m, 1H), 6.95 (d, J = 7.4 Hz, 1H), 6.87 (t, J = 8.6 Hz, 1H), 5.34 (d, J = 6.2 Hz, 1H), 3.41 (tt, J = 12.4, 6.2 Hz, 2H), 3.28–3.16 (m, 1H), 2.92 (ddq, J = 31.4, 16.2, 8.5, 6.8 Hz, 2H), 2.32 (td, J = 13.7, 8.2 Hz, 1H), 1.93 (ddd, J = 19.3, 8.7, 6.0 Hz, 1H). 13C NMR (101 MHz, CDCl3) δ 158.8, 146.6, 133.8, 133.0, 131.2, 128.7, 128.7, 125.6, 119.5, 119.5, 114.4, 114.1, 47.5, 45.2, 29.4, 27.1. HR-ESI-MS: calcd for C16H15FN2O4SNa [M + Na]+ 373.0629; found 373.0632.
rac-1p: 1H NMR (400 MHz, CDCl3) δ 8.11 (dd, J = 5.8, 3.4 Hz, 1H), 7.86 (dd, J = 5.8, 3.5 Hz, 1H), 7.74 (dq, J = 7.4, 4.0 Hz, 2H), 7.08 (dd, J = 8.2, 5.2 Hz, 1H), 6.89 (d, J = 8.7 Hz, 1H), 6.81 (t, J = 8.7 Hz, 1H), 5.31 (d, J = 6.4 Hz, 1H), 3.36 (tq, J = 12.5, 6.2, 5.8 Hz, 2H), 3.18 (dt, J = 11.3, 6.1 Hz, 1H), 2.89 (dtd, J = 31.4, 16.0, 7.0 Hz, 2H), 2.31 (td, J = 14.3, 8.3 Hz, 1H), 1.96–1.86 (m, 1H). 13C NMR (101 MHz, CDCl3) δ 164.0, 146.9, 138.4, 133.7, 133.0, 131.2, 125.6, 124.7, 113.7, 113.5, 112.2, 112.0, 47.8, 44.0, 31.3, 29.8. HR-ESI-MS: calcd for C16H15FN2O4SNa [M + Na]+ 373.0629; found 373.0634.
rac-1q: 1H NMR (400 MHz, CDCl3) δ 8.11 (dq, J = 7.6, 4.1 Hz, 1H), 7.85 (dt, J = 7.5, 3.7 Hz, 1H), 7.75 (dq, J = 7.5, 4.1 Hz, 2H), 7.13 (dd, J = 8.1, 5.3 Hz, 1H), 6.88–6.77 (m, 2H), 3.39 (ddt, J = 20.1, 12.5, 5.7 Hz, 2H), 3.19 (dt, J = 11.6, 6.3 Hz, 1H), 2.86 (dh, J = 31.1, 7.2 Hz, 2H), 2.38–2.26 (m, 1H), 1.93 (ddt, J = 12.9, 8.6, 6.3 Hz, 1H). 13C NMR (101 MHz, CDCl3) δ 163.3, 160.9, 148.1, 145.0, 139.8, 133.8, 133.0, 131.2, 126.0, 125.6, 114.6, 114.3, 111.0, 110.7, 47.5, 44.9, 30.5, 29.9. HR-ESI-MS: calcd for C16H15FN2O4SNa [M + Na]+ 373.0629; found 373.0631.
rac-1r: 1H NMR (400 MHz, CDCl3) δ 8.11–8.07 (m, 1H), 7.89–7.84 (m, 1H), 7.77–7.71 (m, 2H), 7.33 (s, 1H), 7.23 (d, J = 8.0 Hz, 1H), 7.03 (d, J = 8.0 Hz, 1H), 5.33 (d, J = 6.1 Hz, 1H), 3.42–3.30 (m, 2H), 3.20 (dt, J = 11.8, 6.4 Hz, 1H), 2.97–2.81 (m, 2H), 2.29 (dtd, J = 14.4, 8.3, 6.2 Hz, 1H), 1.89 (ddt, J = 13.0, 8.6, 6.1 Hz, 1H). 13C NMR (101 MHz, CDCl3) δ 146.9, 142.0, 133.8, 133.0, 131.2, 129.6, 128.3, 125.6, 125.3, 121.4, 47.5, 44.4, 31.1, 29.5. HR-ESI-MS: calcd for C16H15BrN2O4SNa [M + Na]+ 432.9828; found 432.9833.
rac-1s: 1H NMR (400 MHz, CDCl3) δ 8.12–8.07 (m, 1H), 7.89–7.84 (m, 1H), 7.77–7.71 (m, 2H), 7.18 (s, 1H), 7.08 (s, 2H), 5.33 (d, J = 6.4 Hz, 1H), 3.37 (tt, J = 12.4, 6.4 Hz, 2H), 3.19 (td, J = 10.6, 9.2, 5.2 Hz, 1H), 2.97–2.78 (m, 2H), 2.35–2.24 (m, 1H), 1.95–1.85 (m, 1H). 13C NMR (101 MHz, CDCl3) δ 146.5, 141.5, 133.7, 133.7, 133.3, 133.0, 131.2, 126.8, 125.6, 125.3, 124.9, 47.6, 44.3, 31.1, 29.6. HR-ESI-MS: calcd for C16H15ClN2O4SNa [M + Na]+ 389.0333; found 389.0330.
rac-1t: 1H NMR (400 MHz, CDCl3) δ 8.11 (dt, J = 7.6, 3.8 Hz, 1H), 7.85 (dt, J = 7.3, 3.8 Hz, 1H), 7.78–7.70 (m, 2H), 7.03 (d, J = 7.3 Hz, 2H), 6.94 (d, J = 7.8 Hz, 1H), 5.33 (s, 1H), 3.37 (ddq, J = 19.1, 12.7, 5.7 Hz, 2H), 3.18 (dt, J = 11.9, 6.7 Hz, 1H), 2.98–2.76 (m, 2H), 2.31 (s, 3H), 2.29–2.21 (m, 1H), 1.86 (ddt, J = 12.8, 8.5, 6.2 Hz, 1H). 13C NMR (101 MHz, CDCl3) δ 148.1, 144.7, 139.9, 137.3, 133.7, 132.9, 131.3, 127.4, 125.8, 125.5, 123.5, 47.8, 44.3, 31.1, 29.6, 21.4. HR-ESI-MS: calcd for C17H18N2O4SNa [M + Na]+ 369.0879; found 369.0885.
rac-1u: 1H NMR (400 MHz, CDCl3) δ 8.11 (dd, J = 5.8, 3.4 Hz, 1H), 7.85 (dt, J = 7.5, 3.8 Hz, 1H), 7.76–7.71 (m, 2H), 7.03 (d, J = 8.3 Hz, 1H), 6.75 (s, 1H), 6.67 (dd, J = 8.3, 2.3 Hz, 1H), 5.35–5.28 (m, 1H), 3.77 (s, 3H), 3.41–3.30 (m, 2H), 3.20–3.13 (m, 1H), 2.86 (ddq, J = 31.2, 15.9, 8.3, 7.0 Hz, 2H), 2.33–2.22 (m, 1H), 1.92–1.83 (m, 1H). 13C NMR (101 MHz, CDCl3) δ 159.6, 146.2, 134.9, 133.7, 132.9, 131.3, 125.6, 124.3, 112.6, 110.4, 55.5, 48.0, 43.9, 31.4, 29.8. HR-ESI-MS: calcd for C17H18N2O5SNa [M + Na]+ 385.0829; found 385.0832.
rac-1v: 1H NMR (400 MHz, CDCl3) δ 8.11 (dt, J = 7.5, 3.8 Hz, 1H), 7.86 (dt, J = 7.5, 3.8 Hz, 1H), 7.77–7.69 (m, 2H), 6.83 (d, J = 8.1 Hz, 1H), 6.72 (d, J = 8.1 Hz, 1H), 5.33 (d, J = 6.3 Hz, 1H), 3.83 (s, 6H), 3.34 (tq, J = 12.4, 5.7 Hz, 2H), 3.17 (td, J = 10.4, 9.3, 5.5 Hz, 1H), 3.01–2.79 (m, 2H), 2.27 (td, J = 13.9, 8.2 Hz, 1H), 1.86 (ddd, J = 19.0, 8.5, 6.0 Hz, 1H). 13C NMR (101 MHz, CDCl3) δ 151.9, 145.6, 137.4, 136.7, 133.7, 132.9, 131.3, 125.5, 118.8, 111.4, 60.3, 56.3, 47.8, 44.3, 29.9, 28.2. HR-ESI-MS: calcd for C18H20N2O6SNa [M + Na]+ 415.0934; found 415.0940.
rac-1w: 1H NMR (400 MHz, CDCl3) δ 8.12 (dt, J = 7.4, 3.8 Hz, 1H), 7.86 (dt, J = 7.5, 3.8 Hz, 1H), 7.76–7.70 (m, 2H), 7.14–7.05 (m, 4H), 5.38 (t, J = 6.1 Hz, 1H), 3.40–3.23 (m, 2H), 3.03 (dq, J = 9.8, 4.9 Hz, 1H), 2.74 (t, J = 6.8 Hz, 2H), 1.87 (dq, J = 10.0, 6.2, 5.5 Hz, 2H), 1.83–1.67 (m, 2H). 13C NMR (101 MHz, CDCl3) δ 138.1, 136.1, 133.8, 133.7, 133.0, 131.2, 129.7, 128.5, 126.7, 126.0, 125.6, 48.9, 37.8, 29.6, 25.6, 19.4. HR-ESI-MS: calcd for C17H18N2O4SNa [M + Na]+ 369.0879; found 369.0883.
rac-1x: 1H NMR (400 MHz, CDCl3) δ 8.12 (dt, J = 7.5, 3.8 Hz, 1H), 7.86 (dt, J = 7.5, 3.8 Hz, 1H), 7.75–7.71 (m, 2H), 7.08 (t, J = 7.9 Hz, 1H), 6.70 (dd, J = 14.9, 7.9 Hz, 2H), 5.39 (t, J = 6.2 Hz, 1H), 3.80 (s, 3H), 3.39–3.23 (m, 2H), 3.01 (dq, J = 9.5, 4.8 Hz, 1H), 2.67 (dt, J = 17.6, 5.3 Hz, 1H), 2.55 (dt, J = 17.5, 7.2 Hz, 1H), 1.89–1.71 (m, 4H). 13C NMR (101 MHz, CDCl3) δ 157.5, 148.1, 137.4, 133.8, 133.7, 132.9, 131.2, 126.9, 126.3, 125.5, 120.6, 107.9, 55.4, 48.6, 37.9, 25.0, 23.0, 18.6. HR-ESI-MS: calcd for C18H20N2O5SNa [M + Na]+ 399.0985; found 399.0988.
Nosylamide substrate (0.1 mmol), styrene or substituted styrene (3.0 equiv), Pd(OAc)2 (0.2 equiv), Boc-L-lle-OH (0.4 equiv.), AgOAc (2.5 equiv.), K2CO3 (2.5 equiv.), BQ (0.5 equiv.) and H2O (2.0 equiv.) were added to a sealable Schlenk tube and a solution of anhydrous NMP (0.5 mL) in anhydrous t-AmOH (1.5 mL). The Schlenk tube was sealed, and the mixture was stirred vigorously at 60 °C. After 24 h, the reaction was cooled to room temperature, dichloromethane (DCM) was added (5 mL), and the reaction was filtered through a pad of Celite over a plug of silica gel and eluted with DCM (30 mL). The organic layer was washed twice with water, dried over anhydrous sodium sulfate (Na2SO4), filtered, and concentrated under reduced pressure. The crude material was purified by silica gel column chromatography to obtain the Chiral alkenylation products as white or pale-yellow solids.
2a: 1H NMR (400 MHz, CDCl3) δ 7.92 (d, J = 7.8 Hz, 1H), 7.69 (d, J = 7.9 Hz, 1H), 7.54–7.50 (m, 3H), 7.40 (q, J = 7.7 Hz, 3H), 7.35–7.29 (m, 2H), 7.22 (dd, J = 11.9, 4.3 Hz, 2H), 7.15 (d, J = 7.4 Hz, 1H), 6.98 (d, J = 16.2 Hz, 1H), 5.44 (t, J = 5.8 Hz, 1H), 3.80–3.73 (m, 1H), 3.28 (ddd, J = 13.1, 5.8, 3.5 Hz, 1H), 3.05–2.89 (m, 3H), 2.29–2.17 (m, 2H). 13C NMR (101 MHz, CDCl3) δ 147.9, 144.8, 141.0, 137.3, 134.0, 133.5, 133.1, 132.7, 131.4, 130.5, 128.9, 128.2, 128.0, 126.7, 125.5, 125.5, 124.3, 123.1, 47.0, 44.3, 30.9, 28.3. HR-ESI-MS: calcd for C24H22N2O4SNa [M + Na]+ 457.1192; found 457.1198.
2b: 1H NMR (400 MHz, CDCl3) δ 7.94 (d, J = 7.8 Hz, 1H), 7.74 (d, J = 7.9 Hz, 1H), 7.57 (t, J = 7.8 Hz, 1H), 7.50 (dd, J = 8.5, 5.5 Hz, 2H), 7.42 (t, J = 8.0 Hz, 2H), 7.21–7.13 (m, 3H), 7.08 (t, J = 8.6 Hz, 2H), 6.97 (d, J = 16.2 Hz, 1H), 5.59–5.32 (m, 1H), 3.75 (t, J = 6.5 Hz, 1H), 3.29 (dd, J = 13.2, 3.4 Hz, 1H), 2.96 (ddd, J = 29.6, 19.2, 7.4 Hz, 3H), 2.28–2.13 (m, 2H). 13C NMR (101 MHz, CDCl3) δ 163.8, 161.4, 147.9, 144.8, 141.1, 133.8, 133.6, 132.7, 131.3, 129.2, 128.2, 125.5, 124.3, 123.0, 116.0, 115.8, 46.9, 44.4, 30.8, 28.4. HR-ESI-MS: calcd for C24H21FN2O4SNa [M + Na]+ 475.1098; found 475.1098.
2c: 1H NMR (400 MHz, CDCl3) δ 7.93 (dd, J = 7.9, 1.3 Hz, 1H), 7.73 (dd, J = 8.0, 1.2 Hz, 1H), 7.57 (td, J = 7.8, 1.4 Hz, 1H), 7.47–7.40 (m, 4H), 7.37–7.32 (m, 2H), 7.24–7.19 (m, 2H), 7.15 (d, J = 7.3 Hz, 1H), 6.95 (d, J = 16.2 Hz, 1H), 5.45 (t, J = 6.0 Hz, 1H), 3.79–3.69 (m, 1H), 3.28 (ddd, J = 13.1, 6.2, 3.6 Hz, 1H), 3.04–2.86 (m, 3H), 2.30–2.11 (m, 2H). 13C NMR (101 MHz, CDCl3) δ 147.9, 144.9, 141.2, 135.9, 133.6, 133.6, 133.4, 132.8, 131.2, 129.1, 128.3, 127.9, 126.2, 125.5, 124.5, 123.0, 47.0, 44.4, 30.8, 28.4. HR-ESI-MS: calcd for C24H21ClN2O4SNa [M + Na]+ 491.0803; found 491.0798.
2d: 1H NMR (400 MHz, CDCl3) δ 7.96 (dd, J = 7.8, 1.2 Hz, 1H), 7.72 (dd, J = 8.0, 1.0 Hz, 1H), 7.56 (td, J = 7.8, 1.3 Hz, 1H), 7.47–7.38 (m, 4H), 7.31 (t, J = 7.7 Hz, 1H), 7.28–7.26 (m, 1H), 7.22 (d, J = 5.7 Hz, 1H), 7.20–7.15 (m, 2H), 6.91 (d, J = 16.2 Hz, 1H), 5.44 (t, J = 5.9 Hz, 1H), 3.79–3.70 (m, 1H), 3.27 (ddd, J = 13.0, 6.1, 3.6 Hz, 1H), 3.09–2.88 (m, 3H), 2.29–2.16 (m, 2H). 13C NMR (101 MHz, CDCl3) δ 147.9, 145.0, 141.2, 139.2, 134.8, 133.6, 133.5, 133.3, 132.7, 131.3, 130.2, 128.9, 128.3, 127.8, 127.0, 126.5, 125.5, 124.9, 124.7, 123.2, 47.0, 44.3, 30.9, 28.4. HR-ESI-MS: calcd for C24H21ClN2O4SNa [M + Na]+ 491.0803; found 491.0801.
2e: 1H NMR (400 MHz, CDCl3) δ 7.89 (dd, J = 7.9, 1.3 Hz, 1H), 7.71 (ddd, J = 8.0, 2.9, 1.5 Hz, 2H), 7.55 (td, J = 7.8, 1.4 Hz, 1H), 7.45 (d, J = 7.6 Hz, 1H), 7.43–7.34 (m, 3H), 7.30 (td, J = 7.4, 1.0 Hz, 1H), 7.25–7.15 (m, 4H), 5.41 (t, J = 5.9 Hz, 1H), 3.77–3.71 (m, 1H), 3.27 (ddd, J = 13.0, 5.9, 3.5 Hz, 1H), 3.06–2.87 (m, 3H), 2.30–2.13 (m, 2H). 13C NMR (101 MHz, CDCl3) δ 147.9, 144.9, 141.3, 135.4, 133.7, 133.6, 133.2, 132.7, 131.3, 130.0, 129.0, 128.3, 128.1, 127.3, 126.8, 126.3, 125.5, 124.7, 123.5, 47.1, 44.3, 30.9, 28.4. HR-ESI-MS: calcd for C24H21ClN2O4SNa [M + Na]+ 491.0803; found 491.0805.
2f: 1H NMR (400 MHz, CDCl3) δ 7.93 (dd, J = 7.9, 1.3 Hz, 1H), 7.73 (dd, J = 8.0, 1.2 Hz, 1H), 7.58 (td, J = 7.8, 1.4 Hz, 1H), 7.52–7.47 (m, 2H), 7.45–7.38 (m, 4H), 7.26–7.19 (m, 2H), 7.15 (d, J = 7.3 Hz, 1H), 6.93 (d, J = 16.2 Hz, 1H), 5.44 (t, J = 6.0 Hz, 1H), 3.78–3.71 (m, 1H), 3.28 (ddd, J = 13.1, 6.1, 3.6 Hz, 1H), 3.06–2.85 (m, 3H), 2.29–2.12 (m, 2H). 13C NMR (101 MHz, CDCl3) δ 147.9, 144.9, 141.2, 136.3, 133.6, 133.4, 132.8, 132.0, 131.2, 129.1, 128.2, 126.3, 125.5, 124.5, 123.0, 121.7, 47.0, 44.4, 30.8, 28.4. HR-ESI-MS: calcd for C24H21BrN2O4SNa [M + Na]+ 535.0298; found 535.0293.
2g: 1H NMR (400 MHz, CDCl3) δ 7.93 (d, J = 7.8 Hz, 1H), 7.73 (d, J = 7.9 Hz, 1H), 7.63 (s, 4H), 7.56 (t, J = 7.7 Hz, 1H), 7.47–7.37 (m, 3H), 7.20 (dd, J = 17.8, 7.4 Hz, 2H), 7.04 (d, J = 16.2 Hz, 1H), 5.47 (t, J = 5.7 Hz, 1H), 3.77 (t, J = 6.4 Hz, 1H), 3.29 (dt, J = 13.0, 4.8 Hz, 1H), 2.97 (ddd, J = 21.4, 17.9, 8.3 Hz, 3H), 2.31–2.15 (m, 2H). 13C NMR (101 MHz, CDCl3) δ 147.9, 145.0, 141.5, 140.8, 133.6, 133.3, 132.7, 131.2, 128.8, 128.3, 128.1, 126.9, 125.9, 125.5, 124.9, 123.2, 47.0, 44.5, 30.8, 28.5. HR-ESI-MS: calcd for C25H21F3N2O4SNa [M + Na]+ 525.1066; found 525.1065.
2h: 1H NMR (400 MHz, CDCl3) δ 7.95 (dd, J = 7.9, 1.4 Hz, 1H), 7.78 (dd, J = 8.0, 1.2 Hz, 1H), 7.65 (dd, J = 6.9, 1.5 Hz, 4H), 7.61 (dd, J = 7.9, 1.4 Hz, 1H), 7.50 (dd, J = 7.7, 1.2 Hz, 1H), 7.48–7.41 (m, 2H), 7.21 (dd, J = 15.6, 7.4 Hz, 2H), 7.04 (d, J = 16.2 Hz, 1H), 5.48 (t, J = 6.0 Hz, 1H), 3.77 (td, J = 8.2, 4.2 Hz, 1H), 3.28 (dq, J = 10.4, 4.2, 3.1 Hz, 1H), 3.05–2.87 (m, 3H), 2.30–2.20 (m, 1H), 2.13 (dd, J = 13.3, 7.8 Hz, 1H). 13C NMR (101 MHz, CDCl3) δ 145.0, 141.9, 141.9, 133.6, 133.0, 132.8, 132.7, 131.0, 129.3, 128.4, 128.3, 127.2, 125.6, 125.2, 123.2, 119.1, 110.9, 47.0, 44.6, 30.8, 28.6. HR-ESI-MS: calcd for C25H21N3O4SNa [M + Na]+ 482.1145; found 482.1143.
2i: 1H NMR (400 MHz, CDCl3) δ 7.91 (dd, J = 7.8, 1.4 Hz, 1H), 7.69 (dd, J = 8.0, 1.2 Hz, 1H), 7.53 (td, J = 7.8, 1.4 Hz, 1H), 7.51–7.47 (m, 2H), 7.41–7.38 (m, 2H), 7.21 (t, J = 7.5 Hz, 1H), 7.16 (d, J = 3.6 Hz, 1H), 7.13 (d, J = 5.2 Hz, 1H), 7.11–7.07 (m, 2H), 6.93 (d, J = 16.1 Hz, 1H), 5.40 (t, J = 5.6 Hz, 1H), 3.78–3.70 (m, 1H), 3.25 (dt, J = 12.9, 4.4 Hz, 1H), 3.06–2.87 (m, 3H), 2.33 (s, 3H), 2.30–2.19 (m, 2H). 13C NMR (101 MHz, CDCl3) δ 169.8, 150.4, 144.9, 141.0, 135.1, 133.8, 133.8, 132.9, 132.8, 131.4, 129.4, 128.3, 127.6, 125.8, 125.6, 124.4, 123.1, 122.2, 47.0, 44.4, 30.9, 28.3, 21.3. HR-ESI-MS: calcd for C26H24N2O6SNa [M + Na]+ 515.1247; found 515.1251.
2j: 1H NMR (400 MHz, CDCl3) δ 7.94 (d, J = 7.8 Hz, 1H), 7.70 (d, J = 8.0 Hz, 1H), 7.53 (t, J = 7.7 Hz, 1H), 7.41 (dd, J = 7.6, 3.5 Hz, 3H), 7.35 (t, J = 7.7 Hz, 1H), 7.21–7.12 (m, 5H), 6.96 (d, J = 16.2 Hz, 1H), 5.43 (t, J = 5.9 Hz, 1H), 3.75 (t, J = 8.4 Hz, 1H), 3.28 (ddd, J = 13.0, 5.8, 3.5 Hz, 1H), 3.04–2.87 (m, 3H), 2.39 (s, 3H), 2.28–2.16 (m, 2H). 13C NMR (101 MHz, CDCl3) δ 147.9, 144.8, 140.9, 138.0, 134.6, 134.1, 133.5, 132.7, 131.4, 130.4, 129.6, 128.2, 126.7, 125.5, 124.5, 124.1, 122.9, 46.9, 44.3, 30.9, 28.3, 21.4. HR-ESI-MS: calcd for C25H24N2O4SNa [M + Na]+ 471.1349; found 471.1350.
2k: 1H NMR (400 MHz, CDCl3) δ 7.94 (dd, J = 7.9, 1.2 Hz, 1H), 7.68 (dd, J = 8.0, 1.1 Hz, 1H), 7.51 (td, J = 7.9, 1.3 Hz, 1H), 7.46 (d, J = 8.4 Hz, 2H), 7.43–7.39 (m, 3H), 7.32 (td, J = 7.8, 1.2 Hz, 1H), 7.22–7.12 (m, 3H), 6.97 (d, J = 16.2 Hz, 1H), 5.43 (t, J = 6.0 Hz, 1H), 3.78–3.72 (m, 1H), 3.27 (ddd, J = 13.0, 5.8, 3.4 Hz, 1H), 3.06–2.87 (m, 3H), 2.30–2.16 (m, 2H), 1.36 (s, 9H). 13C NMR (101 MHz, CDCl3) δ 151.3, 147.9, 144.8, 140.9, 134.6, 134.2, 133.5, 133.2, 132.7, 131.5, 130.3, 128.2, 126.5, 125.8, 125.5, 124.7, 124.1, 123.0, 46.9, 44.3, 34.8, 31.5, 30.9, 28.3. HR-ESI-MS: calcd for C28H30N2O4SNa [M + Na]+ 513.1818; found 513. 1815.
2l: 1H NMR (400 MHz, CDCl3) δ 7.96 (dd, J = 7.9, 1.4 Hz, 1H), 7.69 (dd, J = 8.0, 1.2 Hz, 1H), 7.66–7.62 (m, 4H), 7.59 (d, J = 8.4 Hz, 2H), 7.52–7.43 (m, 4H), 7.40–7.33 (m, 2H), 7.26–7.20 (m, 2H), 7.15 (d, J = 7.3 Hz, 1H), 7.02 (d, J = 16.2 Hz, 1H), 5.44 (t, J = 5.7 Hz, 1H), 3.81–3.74 (m, 1H), 3.30 (dt, J = 13.0, 4.5 Hz, 1H), 3.06–2.87 (m, 3H), 2.31–2.15 (m, 2H). 13C NMR (101 MHz, CDCl3) δ 147.9, 144.9, 141.1, 140.7, 140.6, 136.4, 134.0, 133.5, 133.2, 132.7, 131.4, 130.0, 129.1, 128.3, 127.7, 127.5, 127.2, 127.0, 125.6, 125.5, 124.3, 123.1, 47.0, 44.4, 30.9, 28.4. HR-ESI-MS: calcd for C30H26N2O4SNa [M + Na]+ 533.1505; found 533.1505.
2m: 1H NMR (400 MHz, CDCl3) δ 7.94 (dd, J = 7.8, 1.0 Hz, 1H), 7.71 (d, J = 8.0 Hz, 1H), 7.57–7.51 (m, 1H), 7.46 (d, J = 8.7 Hz, 2H), 7.41–7.34 (m, 2H), 7.19 (t, J = 7.5 Hz, 1H), 7.14–7.05 (m, 2H), 6.97–6.90 (m, 3H), 5.43 (t, J = 6.0 Hz, 1H), 3.85 (s, 3H), 3.75 (t, J = 8.1 Hz, 1H), 3.28 (ddd, J = 13.1, 5.9, 3.4 Hz, 1H), 3.07–2.85 (m, 3H), 2.30–2.13 (m, 2H). 13C NMR (101 MHz, CDCl3) δ 159.6, 147.9, 144.7, 140.8, 134.2, 133.5, 133.2, 132.8, 131.4, 130.1, 130.0, 128.2, 128.0, 125.5, 123.9, 123.3, 122.8, 114.3, 55.5, 46.9, 44.3, 30.9, 28.3. HR-ESI-MS: calcd for C25H24N2O5SNa [M + Na]+ 487.1298; found 487.1300.
2n: 1H NMR (400 MHz, CDCl3) δ 7.94 (dd, J = 7.9, 1.3 Hz, 1H), 7.71 (dd, J = 8.0, 1.2 Hz, 1H), 7.53 (td, J = 7.8, 1.4 Hz, 1H), 7.43 (d, J = 8.5 Hz, 2H), 7.39 (d, J = 7.6 Hz, 1H), 7.35 (td, J = 7.7, 1.2 Hz, 1H), 7.20 (t, J = 7.5 Hz, 1H), 7.12 (dd, J = 11.8, 4.4 Hz, 2H), 7.03–7.00 (m, 2H), 6.94 (d, J = 16.2 Hz, 1H), 5.43 (t, J = 5.9 Hz, 1H), 3.79–3.71 (m, 1H), 3.28 (ddd, J = 13.1, 5.9, 3.4 Hz, 1H), 3.04–2.87 (m, 3H), 2.28–2.14 (m, 2H), 1.38 (s, 9H). 13C NMR (101 MHz, CDCl3) δ 155.6, 147.9, 144.8, 140.8, 134.2, 133.5, 133.1, 132.7, 132.5, 131.4, 130.0, 128.2, 127.3, 125.5, 124.5, 124.2, 124.0, 122.9, 121.9, 79.1, 46.9, 44.3, 30.8, 29.0, 28.3. HR-ESI-MS: calcd for C28H30N2O5SNa [M + Na]+ 529.1768; found 529.1770.
2o: 1H NMR (400 MHz, CDCl3) δ 7.92 (dd, J = 7.9, 1.3 Hz, 1H), 7.75 (dd, J = 8.0, 1.2 Hz, 1H), 7.59 (td, J = 7.8, 1.4 Hz, 1H), 7.46 (d, J = 8.4 Hz, 2H), 7.43–7.38 (m, 2H), 7.37–7.33 (m, 2H), 7.17 (d, J = 16.2 Hz, 1H), 6.90 (q, J = 8.1 Hz, 2H), 5.47 (t, J = 6.1 Hz, 1H), 3.77 (s, 1H), 3.26 (ddd, J = 13.4, 6.1, 3.7 Hz, 1H), 3.01–2.91 (m, 3H), 2.36–2.25 (m, 1H), 2.24–2.16 (m, 1H). HR-ESI-MS: calcd for C24H20ClFN2O4SNa [M + Na]+ 509.0709; found 509.0712.
2p: 1H NMR (400 MHz, CDCl3) δ 7.93 (d, J = 7.9 Hz, 1H), 7.76 (d, J = 8.0 Hz, 1H), 7.62–7.57 (m, 1H), 7.47 (d, J = 8.6 Hz, 2H), 7.45–7.41 (m, 1H), 7.36 (d, J = 8.5 Hz, 2H), 7.18 (d, J = 16.2 Hz, 1H), 7.09 (dd, J = 10.4, 1.9 Hz, 1H), 6.94 (d, J = 16.2 Hz, 1H), 6.83 (d, J = 8.3 Hz, 1H), 5.47 (t, J = 6.0 Hz, 1H), 3.69 (t, J = 6.5 Hz, 1H), 3.24 (ddd, J = 13.3, 6.0, 3.7 Hz, 1H), 3.03–2.83 (m, 3H), 2.31–2.15 (m, 2H). 13C NMR (101 MHz, CDCl3) δ 147.9, 147.2, 147.1, 136.9, 135.4, 134.0, 133.6, 132.8, 131.2, 130.1, 129.2, 128.1, 125.5, 125.2, 111.4, 109.3, 47.0, 43.8, 30.9, 28.8. HR-ESI-MS: calcd for C24H20ClFN2O4SNa [M + Na]+ 509.0709; found 509.0711.
2q: 1H NMR (400 MHz, CDCl3) δ 7.82 (d, J = 7.9 Hz, 1H), 7.68 (d, J = 8.0 Hz, 1H), 7.52 (t, J = 7.8 Hz, 1H), 7.40 (d, J = 8.4 Hz, 2H), 7.35 (t, J = 7.7 Hz, 1H), 7.29 (d, J = 8.4 Hz, 2H), 7.00–6.95 (m, 2H), 6.92–6.83 (m, 2H), 5.40 (t, J = 5.8 Hz, 1H), 3.71 (t, J = 7.2 Hz, 1H), 3.22 (dt, J = 13.1, 4.5 Hz, 1H), 2.96–2.75 (m, 3H), 2.26–2.13 (m, 2H). HR-ESI-MS: calcd for C24H20ClFN2O4SNa [M + Na]+ 509.0709; found 509.0714.
2r: 1H NMR (400 MHz, CDCl3) δ 7.91 (dd, J = 7.8, 1.1 Hz, 1H), 7.77–7.74 (m, 1H), 7.61 (td, J = 7.9, 1.2 Hz, 1H), 7.52 (s, 1H), 7.49–7.44 (m, 3H), 7.36 (d, J = 8.5 Hz, 2H), 7.25 (s, 1H), 7.15 (d, J = 16.2 Hz, 1H), 6.95 (d, J = 16.2 Hz, 1H), 5.50 (t, J = 6.1 Hz, 1H), 3.72–3.64 (m, 1H), 3.24 (ddd, J = 13.4, 5.8, 3.9 Hz, 1H), 3.03–2.83 (m, 3H), 2.27–2.14 (m, 2H). 13C NMR (101 MHz, CDCl3) δ 147.9, 147.1, 140.9, 135.4, 135.3, 134.0, 133.6, 133.4, 132.8, 131.1, 130.3, 129.2, 128.1, 127.3, 125.8, 125.6, 124.8, 122.1, 47.1, 44.2, 30.7, 28.5. HR-ESI-MS: calcd for C24H20BrClN2O4SNa [M + Na]+ 568.9908; found 568.9913.
2s: 1H NMR (400 MHz, CDCl3) δ 7.93–7.89 (m, 1H), 7.75 (d, J = 8.0 Hz, 1H), 7.63–7.58 (m, 1H), 7.46 (t, J = 9.4 Hz, 3H), 7.36 (d, J = 8.6 Hz, 3H), 7.18–7.09 (m, 2H), 6.96 (d, J = 16.2 Hz, 1H), 5.49 (t, J = 6.0 Hz, 1H), 3.73–3.64 (m, 1H), 3.24 (ddd, J = 13.4, 5.9, 3.8 Hz, 1H), 3.02–2.84 (m, 3H), 2.29–2.15 (m, 2H). 13C NMR (101 MHz, CDCl3) δ 147.9, 146.8, 139.8, 135.4, 134.9, 134.0, 134.0, 133.6, 133.4, 132.8, 131.1, 130.3, 129.2, 128.1, 125.6, 124.9, 124.4, 122.9, 46.8, 44.1, 30.7, 28.5. HR-ESI-MS: calcd for C24H20Cl2N2O4SNa [M + Na]+ 525.0413; found 525.0412.
2t: 1H NMR (400 MHz, CDCl3) δ 7.93 (dd, J = 7.8, 1.2 Hz, 1H), 7.73 (dd, J = 8.0, 1.0 Hz, 1H), 7.57 (td, J = 7.8, 1.3 Hz, 1H), 7.47–7.40 (m, 3H), 7.34 (d, J = 8.5 Hz, 2H), 7.23–7.14 (m, 2H), 6.99–6.90 (m, 2H), 5.41 (t, J = 6.0 Hz, 1H), 3.69 (t, J = 6.3 Hz, 1H), 3.26 (ddd, J = 13.0, 6.1, 3.6 Hz, 1H), 2.95 (ddt, J = 15.2, 8.9, 5.6 Hz, 2H), 2.84 (dd, J = 16.3, 7.6 Hz, 1H), 2.34 (s, 3H), 2.29–2.10 (m, 2H). 13C NMR (101 MHz, CDCl3) δ 147.9, 145.1, 138.4, 138.0, 135.9, 133.5, 133.5, 133.4, 133.3, 132.8, 131.3, 129.1, 128.8, 127.9, 126.2, 125.5, 125.4, 123.7, 47.1, 44.0, 30.7, 28.7, 21.5. HR-ESI-MS: calcd for C25H23ClN2O4SNa [M + Na]+ 505.0959; found 505.0961.
2u: 1H NMR (400 MHz, CDCl3) δ 7.93 (dd, J = 7.8, 1.2 Hz, 1H), 7.73 (dd, J = 7.9, 1.0 Hz, 1H), 7.57 (td, J = 7.8, 1.3 Hz, 1H), 7.44 (t, J = 7.8 Hz, 3H), 7.34 (d, J = 8.5 Hz, 2H), 7.16 (d, J = 16.2 Hz, 1H), 6.92 (dd, J = 9.1, 7.1 Hz, 2H), 6.72 (s, 1H), 5.42 (t, J = 6.0 Hz, 1H), 3.82 (s, 3H), 3.66 (t, J = 7.3 Hz, 1H), 3.25 (ddd, J = 13.0, 6.2, 3.7 Hz, 1H), 2.99–2.81 (m, 3H), 2.28–2.11 (m, 2H). 13C NMR (101 MHz, CDCl3) δ 160.1, 147.9, 146.5, 135.7, 134.2, 133.7, 133.6, 133.5, 133.4, 132.8, 131.2, 129.2, 129.1, 127.9, 126.1, 125.5, 110.2, 108.5, 55.6, 47.3, 43.6, 31.0, 28.8. HR-ESI-MS: calcd for C25H23ClN2O5SNa [M + Na]+ 521.0908; found 521.0911.
2v: 1H NMR (400 MHz, CDCl3) δ 7.94 (dd, J = 7.9, 1.3 Hz, 1H), 7.76–7.72 (m, 1H), 7.60–7.56 (m, 1H), 7.47–7.42 (m, 3H), 7.36–7.32 (m, 2H), 7.15 (d, J = 16.2 Hz, 1H), 6.96 (s, 1H), 6.85 (d, J = 16.2 Hz, 1H), 5.45 (t, J = 6.0 Hz, 1H), 3.90 (s, 3H), 3.85 (s, 3H), 3.72–3.64 (m, 1H), 3.24 (ddd, J = 13.1, 6.1, 3.8 Hz, 1H), 2.95 (ddd, J = 13.2, 9.2, 6.7 Hz, 3H), 2.26–2.12 (m, 2H). 13C NMR (101 MHz, CDCl3) δ 152.4, 147.9, 145.8, 137.4, 135.9, 135.4, 133.6, 133.5, 133.4, 132.8, 131.2, 129.1, 128.8, 127.9, 127.8, 126.0, 125.5, 107.6, 60.4, 56.3, 47.2, 44.1, 28.9, 27.8.; HR-ESI-MS: calcd for C26H25ClN2O6SNa [M + Na]+ 551.1014; found 551.1017.
2w: 1H NMR (400 MHz, CDCl3) δ 7.75 (dd, J = 7.9, 1.1 Hz, 1H), 7.57–7.46 (m, 4H), 7.41–7.30 (m, 4H), 7.15 (t, J = 7.7 Hz, 1H), 7.03 (d, J = 7.5 Hz, 1H), 6.86 (d, J = 15.9 Hz, 1H), 5.48 (t, J = 6.1 Hz, 1H), 3.46 (d, J = 11.4 Hz, 1H), 3.18 (dt, J = 13.5, 4.3 Hz, 1H), 3.00 (ddd, J = 13.5, 11.4, 7.1 Hz, 1H), 2.81 (t, J = 5.8 Hz, 2H), 2.28–2.21 (m, 1H), 1.85–1.69 (m, 4H). 13C NMR (101 MHz, CDCl3) δ 147.9, 138.0, 136.6, 136.0, 134.4, 133.6, 133.5, 133.2, 132.7, 131.4, 130.4, 130.0, 129.5, 129.1, 128.1, 127.0, 126.7, 125.5, 124.2, 46.7, 35.4, 29.9, 24.0, 17.6. HR-ESI-MS: calcd for C25H23ClN2O4SNa [M + Na]+ 505.0959; found 505.0962.
2x: 1H NMR (400 MHz, CDCl3) δ 7.79–7.75 (m, 1H), 7.66 (d, J = 7.9 Hz, 1H), 7.57–7.51 (m, 1H), 7.50–7.38 (m, 4H), 7.33 (dd, J = 14.7, 8.1 Hz, 3H), 6.80–6.72 (m, 2H), 5.47 (t, J = 6.0 Hz, 1H), 3.82 (s, 3H), 3.48–3.41 (m, 1H), 3.20 (dt, J = 13.5, 4.4 Hz, 1H), 3.02 (ddd, J = 13.4, 11.6, 7.0 Hz, 1H), 2.85 (dd, J = 16.9, 4.3 Hz, 1H), 2.48 (ddd, J = 17.8, 10.9, 6.8 Hz, 1H), 2.21 (d, J = 9.9 Hz, 1H), 1.88–1.81 (m, 1H), 1.69 (ddt, J = 19.4, 8.4, 5.1 Hz, 2H). 13C NMR (101 MHz, CDCl3) δ 157.4, 147.9, 136.3, 135.6, 133.5, 133.2, 133.1, 132.7, 131.4, 129.0, 128.8, 128.2, 127.9, 126.6, 125.4, 124.7, 108.4, 55.5, 46.4, 35.4, 23.4, 23.2, 16.7. HR-ESI-MS: calcd for C26H25ClN2O5SNa [M + Na]+ 535.1065; found 535.1074.
3: 1H NMR (400 MHz, CDCl3) δ 7.93 (d, J = 7.8 Hz, 1H), 7.70 (d, J = 7.9 Hz, 1H), 7.52 (dd, J = 12.2, 7.6 Hz, 3H), 7.37 (q, J = 7.7 Hz, 3H), 7.33–7.28 (m, 1H), 7.15 (d, J = 16.2 Hz, 1H), 6.97 (s, 1H), 6.89 (d, J = 16.2 Hz, 1H), 5.43 (t, J = 5.9 Hz, 1H), 3.91 (s, 3H), 3.85 (s, 3H), 3.74–3.66 (m, 1H), 3.23 (ddd, J = 13.0, 5.7, 3.6 Hz, 1H), 2.98–2.93 (m, 2H), 2.31–2.13 (m, 2H). 13C NMR (101 MHz, CDCl3) δ 152.4, 147.9, 145.5, 137.3, 135.2, 133.5, 133.2, 132.7, 131.4, 129.3, 129.1, 129.0, 127.9, 126.6, 125.5, 125.4, 107.6, 60.4, 56.8, 48.0, 44.0, 29.2, 27.8. HR-ESI-MS: calcd for C26H26N2O6SNa [M + Na]+ 517.1404; found 517.1408.
5: A solution of osmium tetroxide (1.0 mL, 2.5 mg mL−1 in t-BuOH, 25 mg, 0.098 mmol, 1 mol%) was added to a stirred solution of 3 (494 mg, 1.0 mmol) and N-methyl-morpholine-N-oxide (354 mg, 3.0 mmol) at room temperature. The layers were shaken and separated, and the aqueous phase was extracted with EtOAc (3x5 mL). The organic layer was dried and concentrated. The residue was purified by silica gel column chromatography to give a pale yellow solid 5 (436 mg, 80%). 1H NMR (400 MHz, CDCl3) δ 8.04–7.98 (m, 1H), 7.84–7.79 (m, 1H), 7.70 (q, J = 5.4, 4.3 Hz, 2H), 7.15 (q, J = 5.6 Hz, 3H), 6.99 (d, J = 5.3 Hz, 3H), 5.48 (s, 1H), 4.73–4.61 (m, 2H), 3.86 (s, 3H), 3.77 (s, 3H), 3.57 (d, J = 12.3 Hz, 1H), 3.31 (s, 1H), 2.94 (d, J = 5.7 Hz, 2H), 2.72–2.63 (m, 2H), 2.37 (q, J = 7.1 Hz, 1H). 13C NMR (100 MHz, CDCl3) δ 152.1, 147.9, 145.1, 139.6, 136.2, 135.7, 133.7, 133.0, 131.4, 131.0, 128.1, 127.9, 126.9, 125.4, 109.3, 79.3, 76.0, 60.3, 56.2, 46.6, 43.0, 29.6, 27.3. HR-ESI-MS: calcd for C26H28N2O8SNa [M + Na]+ 551.1459; found 551.1463.
6: Dess–Martin periodinane (254 mg, 0.6 mmol) was added to a solution of 5 (54 mg, 0.1 mmol) in DCM at 0oC. Then, the resulting reaction mixture was stirred at room temperature for 2 h and monitored by TLC. Upon completion, the reaction was neutralized with sodium sulfite solution and sodium bicarbonate solution at 0oC and extracted with EtOAc. The organic layer was dried and concentrated. The residue was purified by silica gel column chromatography to present the target molecule as a pale-yellow solid 6 (38 mg, 70%). 1H NMR (400 MHz, CDCl3) δ 8.13–8.08 (m, 1H), 7.94–7.89 (m, 2H), 7.86–7.82 (m, 1H), 7.72–7.63 (m, 3H), 7.51 (t, J = 7.7 Hz, 2H), 7.00 (s, 1H), 5.61 (t, J = 6.1 Hz, 1H), 4.03–3.98 (m, 1H), 3.97 (s, 3H), 3.72 (s, 3H), 3.35 (dt, J = 10.8, 5.3 Hz, 1H), 3.22 (ddd, J = 12.4, 7.8, 6.6 Hz, 1H), 2.98 (dqt, J = 14.3, 8.8, 4.8 Hz, 2H), 2.31–2.17 (m, 2H). 13C NMR (100 MHz, CDCl3) δ 194.9, 194.8, 151.4, 151.1, 141.5, 139.2, 135.0, 133.7, 133.5, 133.1, 132.9, 131.3, 130.1, 129.2, 125.5, 123.8, 116.0, 60.5, 56.4, 46.9, 44.8, 29.5, 27.6. HR-ESI-MS: calcd for C26H24N2O8SNa [M + Na]+ 547.1146; found 547.1144.
7: K2CO3 (28 mg, 0.2 mmol) and p-Thiocresol (25 mg, 0.2 mmol) were added to a solution of 6 (54 mg, 0.1 mmol) in DMF (1 mL). The reaction solution was stirred at room temperature and monitored by TLC. Upon completion, the reaction was then poured into 10 mL of water and extracted with EtOAc. The organic layer was combined and concentrated under reduced pressure, and the crude product was purified by silica gel column chromatography using petroleum ether/EtOAc (10→20%) as an eluent to give a pale yellow solid 7 (26 mg, 81%). 1H NMR (400 MHz, CDCl3) δ 8.04 (d, J = 7.4 Hz, 2H), 7.63 (t, J = 7.4 Hz, 1H), 7.49 (t, J = 7.7 Hz, 2H), 6.91 (s, 1H), 4.57 (d, J = 8.7 Hz, 1H), 4.01 (s, 3H), 4.01–3.94 (m, 1H), 3.79 (s, 3H), 3.29 (d, J = 7.2 Hz, 2H), 3.20 (dd, J = 15.8, 8.6 Hz, 1H), 3.10–3.00 (m, 1H), 2.54 (d, J = 6.2 Hz, 1H). HR-ESI-MS: calcd for C20H19NO3Na [M + Na]+ 344.1257; found 344.1253.
Supplementary Materials
The following supporting information can be downloaded at: https://www.mdpi.com/article/10.3390/molecules28041852/s1, copies of the 1H NMR and 13C NMR spectra and HPLC data for all newly synthesized compounds.
Author Contributions
Conceptualization, Q.S. and H.J.; funding acquisition, J.W., Q.S., and H.J.; investigation, Z.Z., J.W., Z.D., and H.J.; methodology, Z.Z.; software, Z.Z., J.W., and Y.L.; validation, Q.S. and H.J.; writing—original draft, Z.Z., J.W., and Z.D. All authors have read and agreed to the published version of the manuscript.
Funding
This work was supported by the National Natural Science Foundation of China (Grant Nos. 82003624, 81902039) and the Science and Technology Commission of Shanghai Municipality (Grant Nos. 20YF1458700).
Institutional Review Board Statement
Not applicable.
Informed Consent Statement
Not applicable.
Data Availability Statement
Not applicable.
Acknowledgments
We gratefully acknowledge the Shanghai Institute of Organic Chemistry for the HPLC data measurements. We also thank Lu Lu for the NMR measurements.
Conflicts of Interest
The authors declare no conflict of interest.
Sample Availability
Samples of the compounds are available from the authors.
References
- Godula, K.; Sames, D. C-H Bond Functionalization in Complex Organic Synthesis. Science 2006, 312, 67–72. [Google Scholar] [CrossRef]
- Davies, H.; Manning, J.R. Catalytic C-H functionalization by metal carbenoid and nitrenoid insertion. Nature 2008, 451, 417–424. [Google Scholar] [CrossRef]
- Mcmurray, L.; O’Hara, F.; Gaunt, M.J. Recent developments in natural product synthesis using metal-catalysed C–H bond functionalization. Chem. Soc. Rev. 2011, 40, 1885–1898. [Google Scholar] [CrossRef]
- Yamaguchi, J.; Yamaguchi, A.D.; Itami, K. C-H Bond Functionalization: Emerging Synthetic Tools for Natural Products and Pharmaceuticals. Angew. Chem. Int. Ed. 2012, 51, 8960–9009. [Google Scholar] [CrossRef] [PubMed]
- Ting, C.P.; Maimone, T.J. C-H Bond Arylation in the Synthesis of Aryltetralin Lignans: A Short Total Synthesis of Podophyllotoxin. Angew. Chem. Int. Ed. 2014, 126, 3179–3183. [Google Scholar] [CrossRef]
- Baran, P.S.; Guerrero, C.A.; Ambhaikar, N.B.; Hafensteiner, B.D. Short, Enantioselective Total Synthesis of Stephacidin A. Angew. Chem. Int. Ed. 2005, 117, 612–615. [Google Scholar] [CrossRef]
- Czekelius, C.; Carreira, E.M. Convenient Transformation of Optically Active Nitroalkanes into Chiral Aldoximes and Nitriles. Angew. Chem. Int. Ed. 2005, 117, 618–621. [Google Scholar] [CrossRef]
- Daniel, F.F.; Richmond, S. Total Synthesis of (+)-Complanadine A Using an Iridium-Catalyzed Pyridine C–H Functionalization. J. Am. Chem. Soc. 2010, 132, 5926–5927. [Google Scholar]
- Gutekunst, W.R.; Baran, P.S. Total synthesis and structural revision of the piperarborenines via sequential cyclobutane C-H arylation. J. Am. Chem. Soc. 2011, 133, 19076–19079. [Google Scholar] [CrossRef] [PubMed]
- Thuy-Boun, P.S.; Villa, G.; Dang, D.; Richardson, P.; Su, S.; Yu, J.Q. Ligand-Accelerated ortho-C–H Alkylation of Arylcarboxylic Acids using Alkyl Boron Reagents. J. Am. Chem. Soc. 2013, 135, 17508–17513. [Google Scholar] [CrossRef]
- Chu, L.; Wang, X.C.; Moore, C.E.; Rheingold, A.L.; Yu, J.Q. Pd-Catalyzed Enantioselective C-H Iodination: Asymmetric Synthesis of Chiral Diarylmethylamines. J. Am. Chem. Soc. 2013, 135, 16344–16347. [Google Scholar] [CrossRef]
- Shi, B.F.; Maugel, N.; Zhang, Y.H.; Yu, J.Q. PdII-Catalyzed Enantioselective Activation of C(sp2)-H and C(sp3)-H Bonds Using Monoprotected Amino Acids as Chiral Ligands. Angew. Chem. Int. Ed. 2008, 47, 4882–4886. [Google Scholar] [CrossRef] [PubMed]
- Shi, B.F.; Zhang, Y.H.; Lam, J.K.; Wang, D.H.; Yu, J.Q. Pd(II)-Catalyzed Enantioselective C-H Olefination of Diphenylacetic Acids. J. Am. Chem. Soc. 2010, 132, 460–461. [Google Scholar] [CrossRef]
- Cheng, X.F.; Li, Y.; Su, Y.M.; Yin, F.; Wang, J.Y.; Sheng, J.; Vora, H.U.; Wang, X.-S.; Yu, J.-Q. Pd(II)-Catalyzed Enantioselective C-H Activation/C-O Bond Formation: Synthesis of Chiral Benzofuranones. J. Am. Chem. Soc. 2013, 135, 1236–1239. [Google Scholar] [CrossRef]
- Wang, D.H.; Yu, J.Q. Highly Convergent Total Synthesis of (+)-Lithospermic Acid via a Late-Stage Intermolecular CH Olefination. J. Am. Chem. Soc. 2011, 133, 5767–5769. [Google Scholar] [CrossRef] [PubMed]
- Xiao, K.J.; Chu, L.; Chen, G.; Yu, J.Q. Kinetic Resolution of Benzylamines via Palladium(II)-Catalyzed C–H Cross-Coupling. J. Am. Chem. Soc. 2016, 138, 7796–7800. [Google Scholar] [CrossRef] [PubMed]
- Lu, Y.; Wang, D.H.; Engle, K.M.; Yu, J.Q. Pd(II)-Catalyzed Hydroxyl-Directed C–H Olefination Enabled by Monoprotected Amino Acid Ligands. J. Am. Chem. Soc. 2010, 132, 5916–5921. [Google Scholar] [CrossRef]
- Xiao, K.J.; Chu, L.; Yu, J.Q. Enantioselective C-H Olefination of a-Hydroxy and a-Amino Phenylacetic Acids by Kinetic Resolution. Angew. Chem. Int. Ed. 2016, 55, 2856–2860. [Google Scholar] [CrossRef]
- Laforteza, B.N.; Chan, K.; Yu, J.Q. Enantioselective ortho-C-H Cross-Coupling of Diarylmethylamines with Organoborons. Angew. Chem. Int. Ed. 2015, 54, 11143–11146. [Google Scholar] [CrossRef]
- Weinstock, J.; Oh, H.J.; Debrosse, C.W.; Eggleston, D.S.; Wise, M.; Flaim, K.E.; Gessner, G.W.; Sawyer, J.L.; Kaiser, C. Synthesis, conformation, and dopaminergic activity of 5,6-ethano-bridged derivatives of selective dopaminergic 3-benzazepines. J. Med. Chem. 1987, 30, 1303–1308. [Google Scholar] [CrossRef]
- Beetz, T.; Meuleman, D.G.; Wieringa, J.H. Inhibitors of blood platelet aggregation. Activity of some 1H-benz[de]isoquinolinecarboximidamides on the in vivo blood platelet aggregation induced by collagen. J. Med. Chem. 1982, 25, 714–719. [Google Scholar] [CrossRef]
- Zhang, Z.; Wang, J.; Li, J.; Yang, F.; Liu, G.; Tang, W.; He, W.; Fu, J.-J.; Shen, Y.-H.; Li, A.; et al. Total Synthesis and Stereochemical Assignment of Delavatine A: Rh-Catalyzed Asymmetric Hydrogenation of IndeneType Tetrasubstituted Olefins and Kinetic Resolution through Pd-Catalyzed Triflamide-Directed C-H Olefination. J. Am. Chem. Soc. 2017, 139, 5558–5567. [Google Scholar] [CrossRef] [PubMed]
- Kagan, H.B.; Fiaud, J.C. Kinetic Resolution. Top. Stereochem. 1988, 18, 249–340. [Google Scholar]
- Musaev, D.G.; Kaledin, A.; Shi, B.F.; Yu, J.Q. Key Mechanistic Features of Enantioselective C-H Bond Activation Reactions Catalyzed by [(Chiral Mono-/V-Protected Amino Acid)- Pd(ll)] Complexes. J. Am. Chem. Soc. 2012, 134, 1690–1698. [Google Scholar] [CrossRef]
- Baxter, R.D.; Sale, D.; Engle, K.M.; Yu, J.Q.; Blackmond, D.G. Mechanistic rationalization of unusual kinetics in Pd-catalyzed C-H olefination. J. Am. Chem. Soc. 2012, 134, 4600–4606. [Google Scholar] [CrossRef]
- Timothy, W.L.; Sherry, R.C. Copper-Catalyzed Oxidative Amination and Allylic Amination of Alkenes. Chem. Eur. J. 2013, 19, 12771–12777. [Google Scholar]
- Alves, F.; Couago, R.M.; Laufer, S. Chemical Space Exploration of Oxetanes. Int. J. Mol. Sci. 2020, 21, 8199. [Google Scholar] [CrossRef]
- Jennifer, X.Q.; Daniel, L.C.; Richard, S.A.; Angela, M.S.; Sarah, R.K.; Kan, H.; Alan, R.R.; Joseph, M.L.; Robert, M.K.; Ruth, R.W.; et al. Achieving structural diversity using the perpendicular conformation of alpha-substituted phenylcyclopropanes to mimic the bioactive conformation of ortho-substituted biphenyl P4 moieties: Discovery of novel, highly potent inhibitors of Factor Xa. Bioorg. Med. Chem. Lett. 2008, 18, 4118–4123. [Google Scholar]
- Jiang, X.; Zhu, W.; Yang, L.; Zheng, Z.; Yu, C. Hypervalent Iodine-Mediated Cyclization of Homotryptamine Derivatives. Eur. J. Org. Chem. 2019, 2268–2274. [Google Scholar] [CrossRef]
Disclaimer/Publisher’s Note: The statements, opinions and data contained in all publications are solely those of the individual author(s) and contributor(s) and not of MDPI and/or the editor(s). MDPI and/or the editor(s) disclaim responsibility for any injury to people or property resulting from any ideas, methods, instructions or products referred to in the content. |
© 2023 by the authors. Licensee MDPI, Basel, Switzerland. This article is an open access article distributed under the terms and conditions of the Creative Commons Attribution (CC BY) license (https://creativecommons.org/licenses/by/4.0/).






