Quinazolinones, the Winning Horse in Drug Discovery
Abstract
1. Introduction
2. Chemistry of Quinazolinones
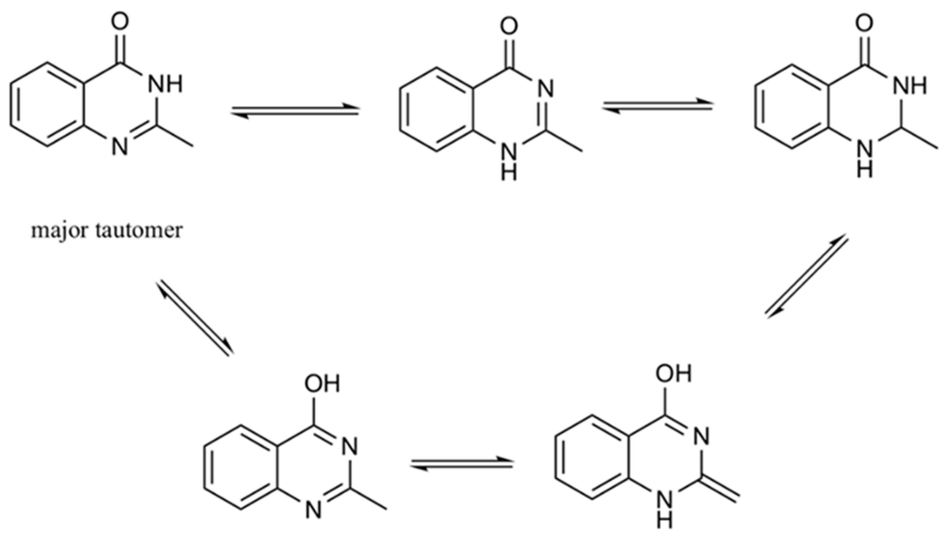
2.1. Classification
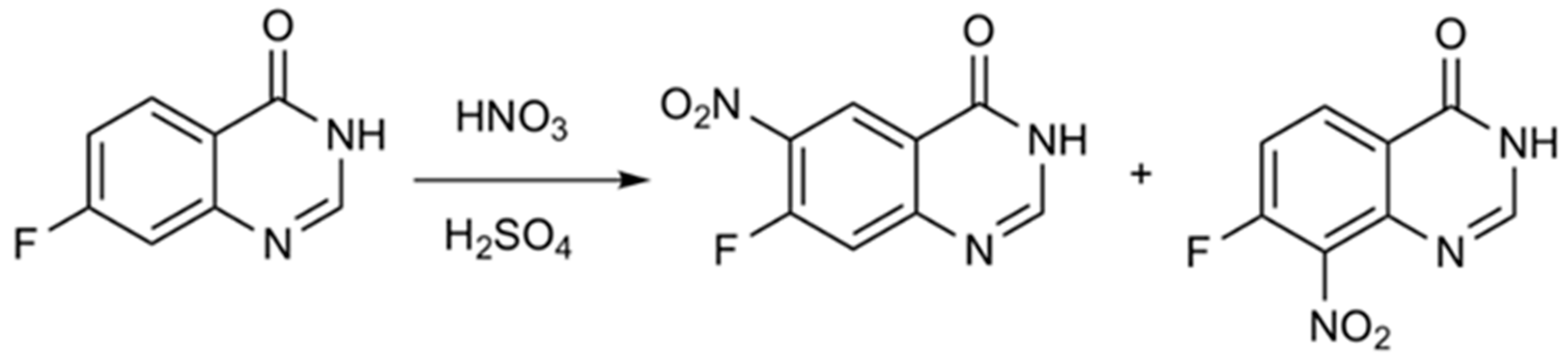
2.1.1. Electrophilic Attack on Carbon (Nitration)
2.1.2. Electrophilic Substitution (Chlorination)
2.1.3. Reduction of the Pyrimidine Ring
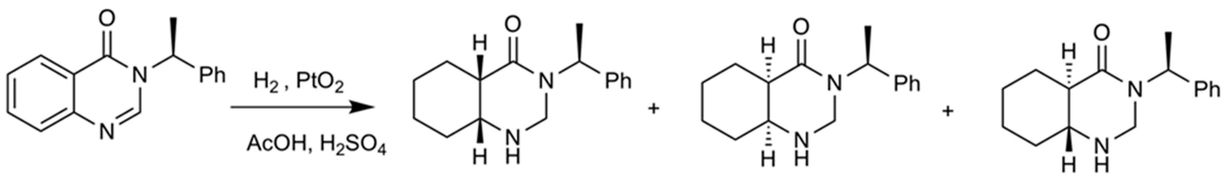
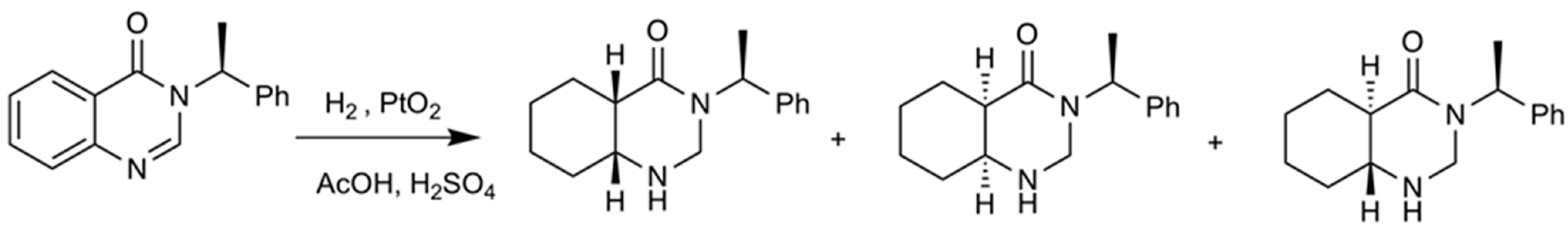
2.1.4. Reduction of the Benzene Ring
2.2. Chemical Synthesis of 4(3H)-Quinazolinones
2.2.1. Griess Synthesis
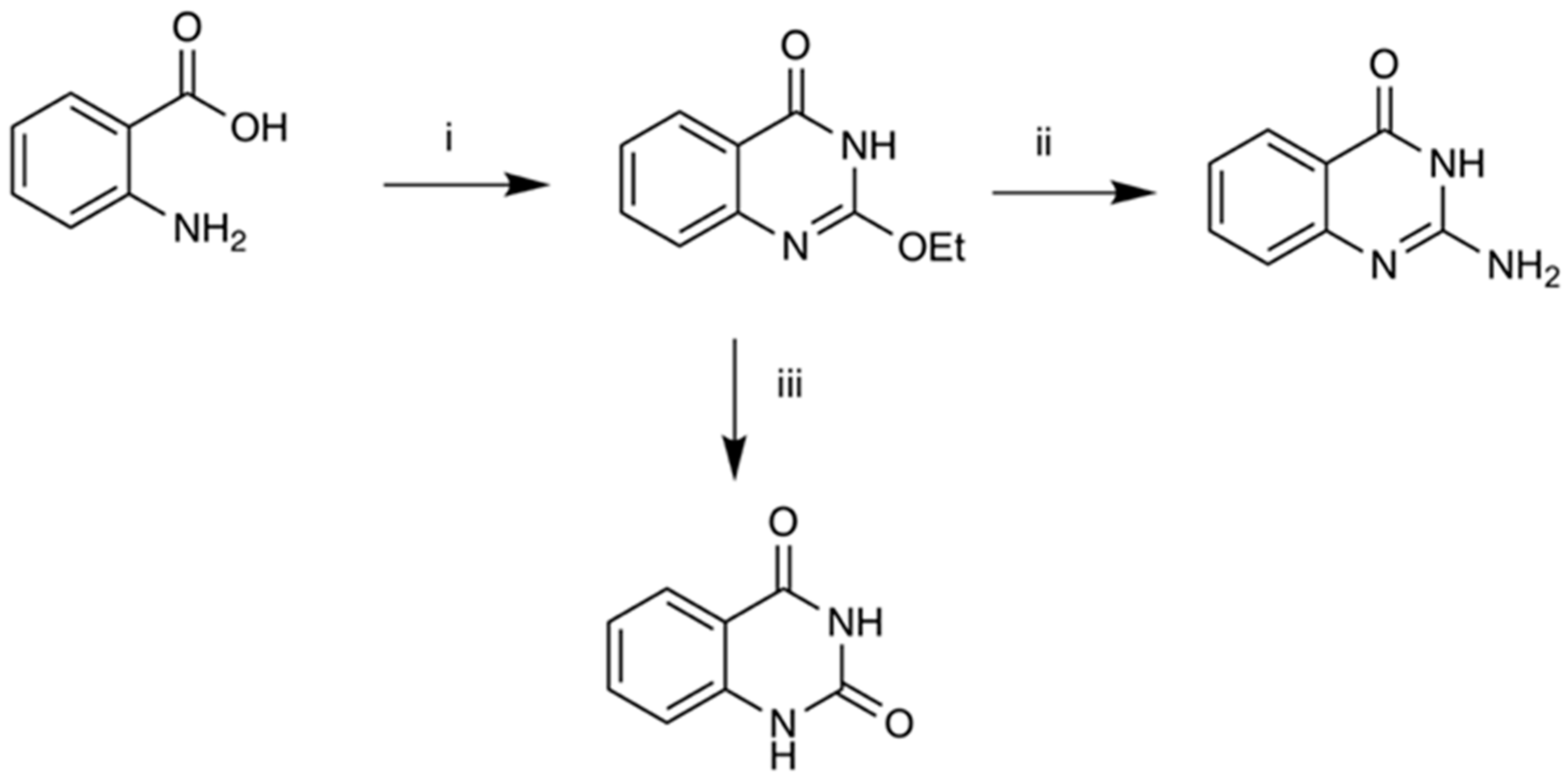
2.2.2. Niementowski Synthesis
2.2.3. Condensation of N-Acylanthranillic Acids with Primary Amines
2.2.4. Microwave-Assisted Synthesis Using o-Aminobenzamides
3. Biological Activities of 4(3H)-Quinazolinones
3.1. Antimalarial Activity


3.2. Antituberculosis Activity




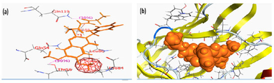
3.3. Anticancer Activity



3.4. Activities on Central Nervous System (CNS)
3.4.1. Anticonvulsant Activity


3.4.2. Anti-Alzheimer’s Activity


3.4.3. Antiparkinsonian Activity

3.4.4. Antidepressant Activity

3.5. Cardiovascular Activity

3.6. Antioxidants
4. Food and Drug Administration (FDA)-Approved 4(3H)-Quinazolinones
4.1. Quinethazone
4.2. Methaqualone
4.3. Rhodoquinone
4.4. Idelalisib
5. Investigational 4(3H)-Quinazolinones
5.1. Nolatrexed
5.2. CapitalOne
5.3. Ispinesib
5.4. Albaconazole
5.5. Balaglitazone
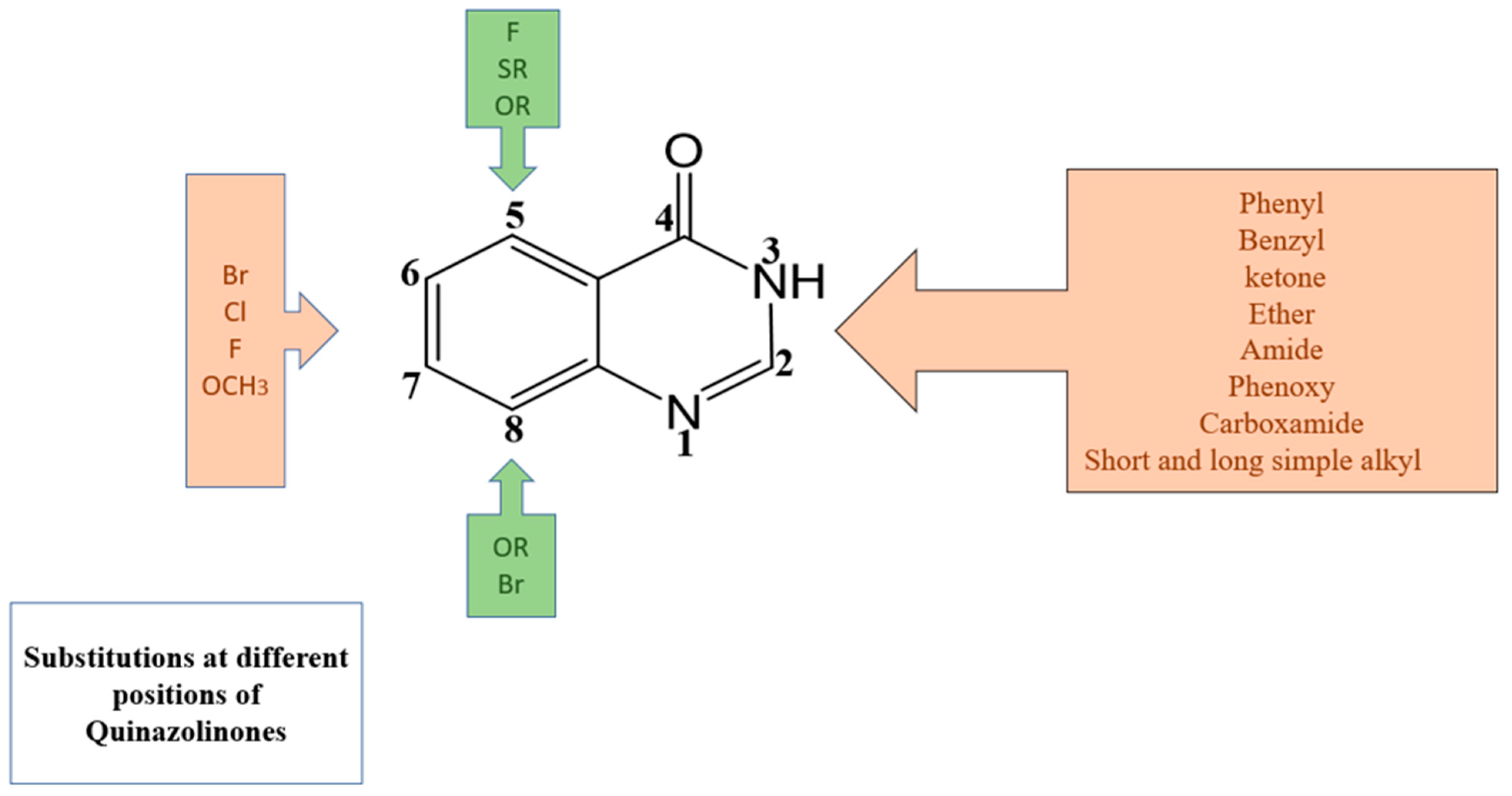
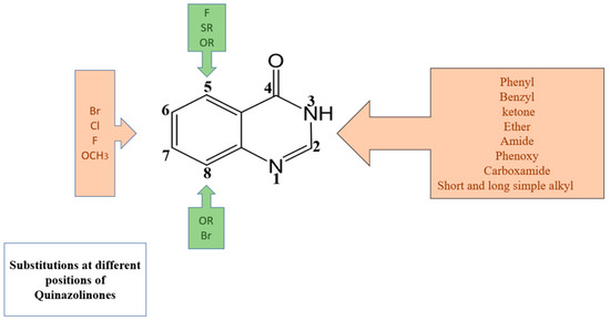
6. Structure-Activity Relationship (SAR) of Quinazolinones
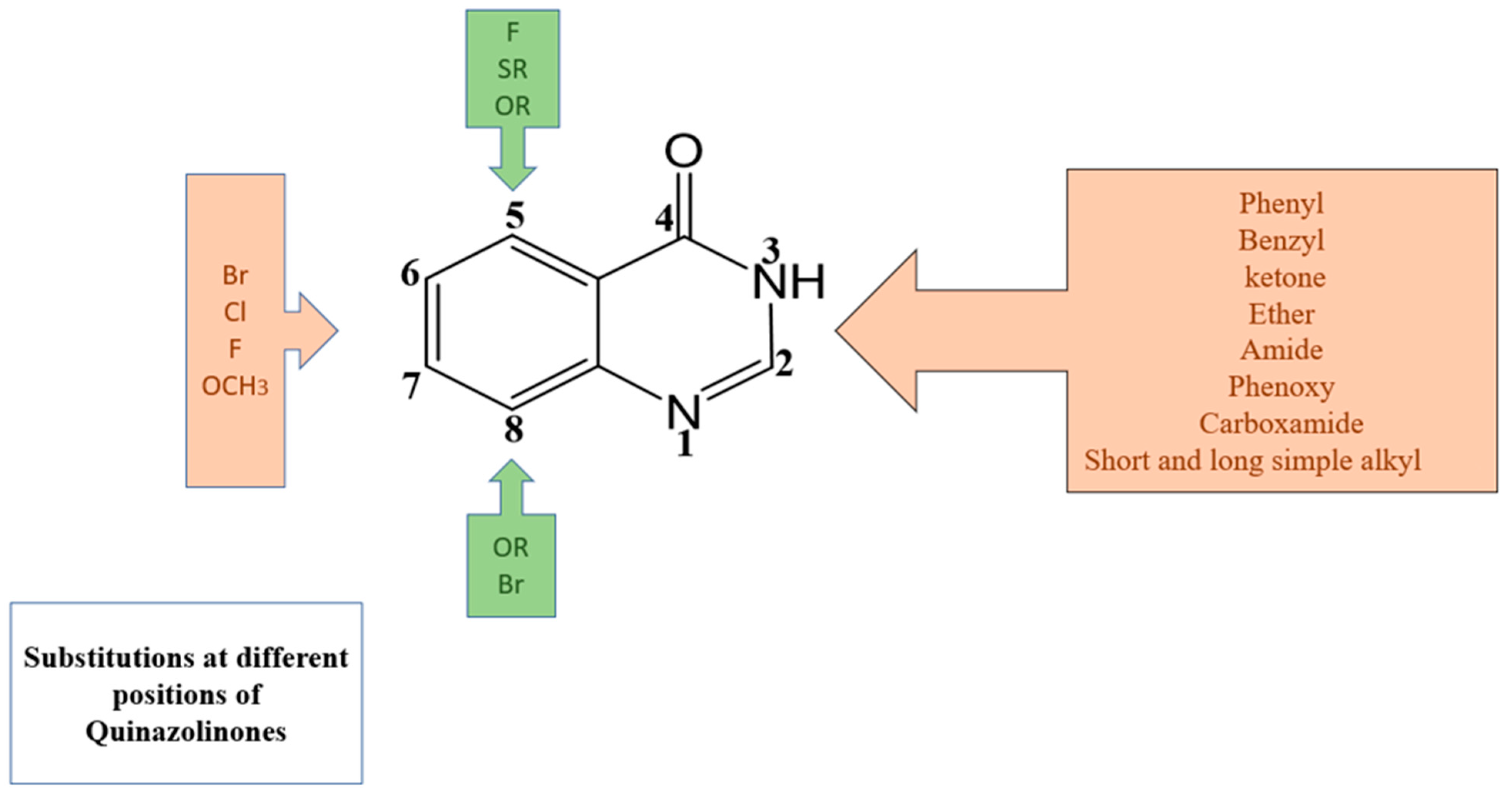
6.1. Positions 2 and 3
6.2. Positions 6 and 7
6.3. Position 5
6.4. Position 8
7. Conclusions
Author Contributions
Funding
Institutional Review Board Statement
Informed Consent Statement
Data Availability Statement
Acknowledgments
Conflicts of Interest
References
- Kumar Tiwary, B.; Pradhan, K.; Kumar Nanda, A.; Chakraborty, R. Implication of Quinazoline-4(3H)-Ones in Medicinal Chemistry: A Brief Review. J. Chem. Biol. Ther. 2016, 1, 1–7. [Google Scholar] [CrossRef]
- Connolly, D.J.; Cusack, D.; O’Sullivan, T.P.; Guiry, P.J. Synthesis of Quinazolinones and Quinazolines. Tetrahedron 2005, 61, 10153–10202. [Google Scholar] [CrossRef]
- Mahato, A.; Srivastava, B.; Nithya, S. Chemistry Structure Activity Relationship and Biological Activity of Quinazoline-4 (3H)-One Derivatives. Inven. Rapid Med Chem 2011, 2, 13–19. [Google Scholar]
- Horton, D.A.; Bourne, G.T.; Smythe, M.L. The Combinatorial Synthesis of Bicyclic Privileged Structures or Privileged Substructures. Chem. Rev. 2003, 103, 893–930. [Google Scholar] [CrossRef]
- Khan, I.; Ibrar, A.; Abbas, N.; Saeed, A. Recent Advances in the Structural Library of Functionalized Quinazoline and Quinazolinone Scaffolds: Synthetic Approaches and Multifarious Applications. Eur. J. Med. Chem. 2014, 76, 193–244. [Google Scholar] [CrossRef]
- Asif, M. Chemical Characteristics, Synthetic Methods, and Biological Potential of Quinazoline and Quinazolinone Derivatives. Int. J. Med. Chem. 2014, 2014, 1–27. [Google Scholar] [CrossRef]
- Undheim, K.; Benneche, T. Pyrimidines and Their Benzo Derivatives. Compr. Heterocycl. Chem. II 2009, 6, 93–231. [Google Scholar] [CrossRef]
- He, L.; Li, H.; Chen, J.; Wu, X.F. Recent Advances in 4(3H)-Quinazolinone Syntheses. RSC Adv. 2014, 4, 12065–12077. [Google Scholar] [CrossRef]
- Jiang, S.; Zeng, Q.; Gettayacamin, M.; Tungtaeng, A.; Wannaying, S.; Lim, A.; Hansukjariya, P.; Okunji, C.O.; Zhu, S.; Fang, D. Antimalarial Activities and Therapeutic Properties of Febrifugine Analogs. Antimicrob. Agents Chemother. 2005, 49, 1169–1176. [Google Scholar] [CrossRef]
- Zhu, S.; Wang, J.; Chandrashekar, G.; Smith, E.; Liu, X.; Zhang, Y. Synthesis and Evaluation of 4-Quinazolinone Compounds as Potential Antimalarial Agents. Eur. J. Med. Chem. 2010, 45, 3864–3869. [Google Scholar] [CrossRef]
- McLaughlin, N.P.; Evans, P.; Pines, M. The Chemistry and Biology of Febrifugine and Halofuginone. Bioorganic Med. Chem. 2014, 22, 1993–2004. [Google Scholar] [CrossRef]
- Laleu, B.; Akao, Y.; Ochida, A.; Duffy, S.; Lucantoni, L.; Shackleford, D.M.; Chen, G.; Katneni, K.; Chiu, F.C.K.; White, K.L.; et al. Discovery and Structure-Activity Relationships of Quinazolinone-2-carboxamide Derivatives as Novel Orally Efficacious Antimalarials. J Med. Chem. 2021, 64, 12582–12602. [Google Scholar] [CrossRef]
- Babu, R.R.; Naresh, K.; Ravi, A.; Reddy, B.M.; Babu, V.H. Synthesis of Novel Isoniazid Incorporated Styryl Quinazolinones as Anti-Tubercular Agents against INH Sensitive and MDR M. Tuberculosis Strains. Med. Chem. Res. 2014, 23, 4414–4419. [Google Scholar] [CrossRef]
- Lu, W.; Baig, I.A.; Sun, H.J.; Cui, C.J.; Guo, R.; Jung, I.P.; Wang, D.; Dong, M.; Yoon, M.Y.; Wang, J.G. Synthesis, Crystal Structure and Biological Evaluation of Substituted Quinazolinone Benzoates as Novel Antituberculosis Agents Targeting Acetohydroxyacid Synthase. Eur. J. Med. Chem. 2015, 94, 298–305. [Google Scholar] [CrossRef]
- Patel, M.B.; Kumar, S.P.; Valand, N.N.; Jasrai, Y.T.; Menon, S.K. Synthesis and Biological Evaluation of Cationic Fullerene Quinazolinone Conjugates and Their Binding Mode with Modeled Mycobacterium Tuberculosis Hypoxanthine-Guanine Phosphoribosyltransferase Enzyme. J. Mol. Model. 2013, 19, 3201–3217. [Google Scholar] [CrossRef]
- Mirchi, A.; Sizochenko, N.; Leszczynski, J. Fullerene Quinazolinone Conjugates Targeting Mycobacterium Tuberculosis: A Combined Molecular Docking, QSAR, and ONIOM Approach. Struct. Chem. 2018, 29, 765–775. [Google Scholar] [CrossRef]
- Murugesan, D.; Ray, P.C.; Bayliss, T.; Prosser, G.A.; Harrison, J.R.; Green, K.; Soares De Melo, C.; Feng, T.S.; Street, L.J.; Chibale, K.; et al. 2-Mercapto-Quinazolinones as Inhibitors of Type II NADH Dehydrogenase and Mycobacterium Tuberculosis: Structure-Activity Relationships, Mechanism of Action and Absorption, Distribution, Metabolism, and Excretion Characterization. ACS Infect. Dis. 2018, 4, 954–969. [Google Scholar] [CrossRef]
- Maddali, N.K.; Viswanath, I.V.K.; Murthy, Y.L.N.; Bera, R.; Takhi, M.; Rao, N.S.; Gudla, V. Design, Synthesis and Molecular Docking Studies of Quinazolin-4-Ones Linked to 1,2,3-Triazol Hybrids as Mycobacterium Tuberculosis H37Rv Inhibitors besides Antimicrobial Activity. Med. Chem. Res. 2019, 28, 559–570. [Google Scholar] [CrossRef]
- Jadhavar, P.S.; Patel, K.I.; Dhameliya, T.M.; Saha, N.; Vaja, M.D.; Krishna, V.S.; Sriram, D.; Chakraborti, A.K. Benzimidazoquinazo-lines as new potent anti-TB chemotypes: Design, synthesis, and biological evaluation. Bioorg. Chem. 2020, 99, 103774. [Google Scholar] [CrossRef]
- nticancer Activity of a Novel Quinazolinone-Chalcone Derivative through Cell Cycle Arrest in Pancreatic Cancer Cell Line. J. Solid Tumors 2015, 5, 73–85. [CrossRef]
- Zayed, M.F.; Ahmed, H.E.A.; Ihmaid, S.; Omar, A.S.M.; Abdelrahim, A.S. Synthesis and Screening of Some New Fluorinated Quinazolinone-Sulphonamide Hybrids as Anticancer Agents. J. Taibah Univ. Med. Sci. 2015, 10, 333–339. [Google Scholar] [CrossRef]
- El-Hashash, M.; Morsy, J.; Azab, M.; Mahmoud, N. Design, Synthesis and Anticancer Activity of Novel 2,3-and 2,4-Disubstituted Quinazoline and Quinazolinone Derivatives. Heterocycles 2016, 92, 316–329. [Google Scholar] [CrossRef]
- Abuelizz, H.A.; Marzouk, M.; Ghabbour, H.; Al-Salahi, R. Synthesis and Anticancer Activity of New Quinazoline Derivatives. Saudi Pharm. J. 2017, 25, 1047–1054. [Google Scholar] [CrossRef] [PubMed]
- El-Azab, A.S.; Abdel-Aziz, A.A.M.; Ghabbour, H.A.; Al-Gendy, M.A. Synthesis, in Vitro Antitumour Activity, and Molecular Docking Study of Novel 2-Substituted Mercapto-3-(3,4,5-Trimethoxybenzyl)-4(3H)-Quinazolinone Analogues. J. Enzyme Inhib. Med. Chem. 2017, 32, 1229–1239. [Google Scholar] [CrossRef] [PubMed]
- Nowar, R.M.; Osman, E.E.A.; Abou-seri, S.M.; El Moghazy, S.M.; Abou El Ella, D.A. Design, Synthesis and Biological Evaluation of Some Novel Quinazolinone Derivatives as Potent Apoptotic Inducers. Future Med. Chem. 2018, 10, 1191–1205. [Google Scholar] [CrossRef]
- Noser, A.A.; El-Naggar, M.; Donia, T.; Abdelmonsef, A.H. Abdelmonsef, Synthesis, In Silico and In Vitro Assessment of New Quinazolinones as Anticancer Agents via Potential AKT Inhibition. Molecules 2020, 25, 4780. [Google Scholar] [CrossRef]
- El-Azab, A.S.; Eltahir, K.E.H. Synthesis and Anticonvulsant Evaluation of Some New 2,3,8-Trisubstituted- 4(3H)-Quinazoline Derivatives. Bioorganic Med. Chem. Lett. 2012, 22, 327–333. [Google Scholar] [CrossRef]
- Zayed, M.F. New Fluorinated Quinazolinone Derivatives as Anticonvulsant Agents. J. Taibah Univ. Med. Sci. 2014, 9, 104–109. [Google Scholar] [CrossRef]
- Al-Salem, H.S.A.; Hegazy, G.H.; El-Taher, K.E.H.; El-Messery, S.M.; Al-Obaid, A.M.; El-Subbagh, H.I. Synthesis, Anticonvulsant Activity and Molecular Modeling Study of Some New Hydrazinecarbothioamide, Benzenesulfonohydrazide, and Phenacylacetohydrazide Analogues of 4(3H)-Quinazolinone. Bioorganic Med. Chem. Lett. 2015, 25, 1490–1499. [Google Scholar] [CrossRef]
- Patel, H.M.; Noolvi, M.N.; Shirkhedkar, A.A.; Kulkarni, A.D.; Pardeshi, C.V.; Surana, S.J. Anti-Convulsant Potential of Quinazolinones. RSC Adv. 2016, 6, 44435–44455. [Google Scholar] [CrossRef]
- Boshta, N.M.; El-Essawy, F.A.; Ammar, R.M.; Ismail, A.E.H.; Wahba, N.E. Synthesis of Some New Quinazolin-4(3H)-One Derivatives and Evaluation of Their Anticonvulsant Activity. Mon. Chem. 2016, 147, 2031–2042. [Google Scholar] [CrossRef]
- Abuelizz, H.A.; El Dib, R.; Marzouk, M.; Anouar, E.H.; Maklad, Y.A.; Attia, H.N.; Al-Salahi, R. Molecular Docking and Anticonvulsant Activity of Newly Synthesized Quinazoline Derivatives. Molecules 2017, 22, 1–13. [Google Scholar] [CrossRef]
- Patel, S. The Antiepileptic Effect of Synthesized Derivatives of Quinazoline-4(3H)-One. B R Nahata Smriti Sansthan Int. J. Phramaceutical Sci. Clin. Res. 2021, 1. [Google Scholar] [CrossRef]
- Haghighijoo, Z.; Firuzi, O.; Hemmateenejad, B.; Emami, S.; Edraki, N.; Miri, R. Synthesis and Biological Evaluation of Quinazolinone-Based Hydrazones with Potential Use in Alzheimer’s Disease. Bioorg. Chem. 2017, 74, 126–133. [Google Scholar] [CrossRef]
- Kachhadiya, R.; Prajapati, D.; Patel, K.; Prajapati, N. Synthesis and Virtual Screening of Some Novel Quinazolinone Derivatives as Potent Cholinesterase Inhibitors against Alzheimer’s Disease. J. Drug Deliv. Ther. JDDT 2022, 12, 20–27. [Google Scholar] [CrossRef]
- Kumar, S.; Kaur, H.; Kumar, A. Synthesis of New Azetidinonyl/Thiazolidinonyl Quinazolinone Derivatives as Antiparkinsonian Agents. Arab. J. Chem. 2012, 5, 475–484. [Google Scholar] [CrossRef]
- Zhang, H.J.; Wang, S.B.; Quan, Z.S. Synthesis and Antidepressant Activities of 4-(Substituted-Phenyl)Tetrazolo [1,5-a]Quinazolin-5(4H-Ones and Their Derivatives. Mol. Divers. 2015, 19, 817–828. [Google Scholar] [CrossRef]
- Yamali, C.; Gul, H.I.; Sakarya, M.T.; Saglik, B.N.; Ece, A.; Demirel, G.; Nenni, M.; Levent, S.; Oner, A.C. Quinazolinone-based benzenesulfonamides with low toxicity and high affinity as monoamine oxidase-A inhibitors: Synthesis, biological evaluation and induced-fit docking studies. Bioorganic Chem. 2022, 124, 105822. [Google Scholar] [CrossRef]
- Eskandariyan, Z.; Esfahani Zadeh, M.; Haj Mohammad Ebrahim Tehrani, K.; Mashayekhi, V.; Kobarfard, F. Synthesis of Thioether Derivatives of Quinazoline-4-One-2-Thione and Evaluation of Their Antiplatelet Aggregation Activity. Arch. Pharm. Res. 2014, 37, 332–339. [Google Scholar] [CrossRef]
- Singh, N.; Agarwal, R.C.; Singh, C.P. Synthesis and Evaluation of Quinazolinone Derivatives for Cardiovascular Activities. Glob. J. Inc. 2013, 13, 43–50. [Google Scholar] [CrossRef]
- Pathak, S.; Malhotra, V.; Nath, R.; Shanker, K. Synthesis and Antihypertensive Activity of Novel Quinazolin-4(3H)-One Derivatives. Cent. Nerv. Syst. Agents Med. Chem. 2014, 14, 34–38. [Google Scholar] [CrossRef] [PubMed]
- Sandler, G. quinethazone, a new oral diuretic. Br. Med. J. 1964, 2, 288–292. [Google Scholar] [CrossRef] [PubMed]
- Pele, R.; Marc, G.; Stana, A.; Ionuț, I.; Nastasă, C.; Tiperciuc, B.; Oniga, I.; Pîrnău, A.; Vlase, L.; Oniga, O. Synthesis of New Phenolic Derivatives of Quinazolin-4(3H)-One as Potential Antioxidant Agents—In Vitro Evaluation and Quantum Studies. Molecules 2022, 27, 2599. [Google Scholar] [CrossRef] [PubMed]
- Wishart, D.S.; Feunang, Y.D.; Guo, A.C.; Lo, E.J.; Marcu, A.; Grant, J.R.; Sajed, T.; Johnson, D.; Li, C.; Sayeeda, Z.; et al. DrugBank 5.0: A Major Update to the DrugBank Database for 2018. Nucleic Acids Res. 2018, 46, D1074–D1082. [Google Scholar] [CrossRef] [PubMed]
- Pines, M.; Spector, I. Halofuginone—The Multifaceted Molecule. Molecules 2015, 20, 573–594. [Google Scholar] [CrossRef]
- Wu, P.; Nielsen, T.E.; Clausen, M.H. FDA-Approved Small-Molecule Kinase Inhibitors. Trends Pharmacol. Sci. 2015, 36, 422–439. [Google Scholar] [CrossRef]
- PubChem Database. National Center for Biotechnology Information. Available online: https://pubchem.ncbi.nlm.nih.gov (accessed on 23 November 2019).
- Niculescu-Duvaz, I. Thymitaq (Zarix). Curr. Opin. Investig. Drugs 2001, 2, 693–705. [Google Scholar]
- Hekal, M.H.; Abu El-Azm, F.S.M. New potential antitumor quinazolinones derived from dynamic 2-undecyl benzoxazinone: Synthesis and cytotoxic evaluation. Synth. Commun. 2018, 48, 2391–2402. [Google Scholar] [CrossRef]

















Disclaimer/Publisher’s Note: The statements, opinions and data contained in all publications are solely those of the individual author(s) and contributor(s) and not of MDPI and/or the editor(s). MDPI and/or the editor(s) disclaim responsibility for any injury to people or property resulting from any ideas, methods, instructions or products referred to in the content. |
© 2023 by the authors. Licensee MDPI, Basel, Switzerland. This article is an open access article distributed under the terms and conditions of the Creative Commons Attribution (CC BY) license (https://creativecommons.org/licenses/by/4.0/).
Share and Cite
Alsibaee, A.M.; Al-Yousef, H.M.; Al-Salem, H.S. Quinazolinones, the Winning Horse in Drug Discovery. Molecules 2023, 28, 978. https://doi.org/10.3390/molecules28030978
Alsibaee AM, Al-Yousef HM, Al-Salem HS. Quinazolinones, the Winning Horse in Drug Discovery. Molecules. 2023; 28(3):978. https://doi.org/10.3390/molecules28030978
Chicago/Turabian StyleAlsibaee, Aishah M., Hanan M. Al-Yousef, and Huda S. Al-Salem. 2023. "Quinazolinones, the Winning Horse in Drug Discovery" Molecules 28, no. 3: 978. https://doi.org/10.3390/molecules28030978
APA StyleAlsibaee, A. M., Al-Yousef, H. M., & Al-Salem, H. S. (2023). Quinazolinones, the Winning Horse in Drug Discovery. Molecules, 28(3), 978. https://doi.org/10.3390/molecules28030978

