Insect Antifeedant Benzofurans from Pericallis Species
Abstract
1. Introduction
2. Results and Discussion
2.1. Components of Pericallis
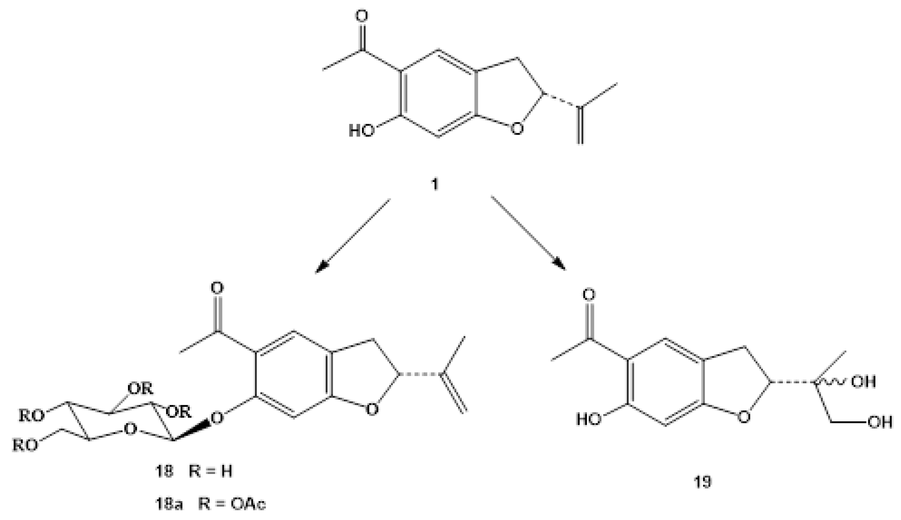
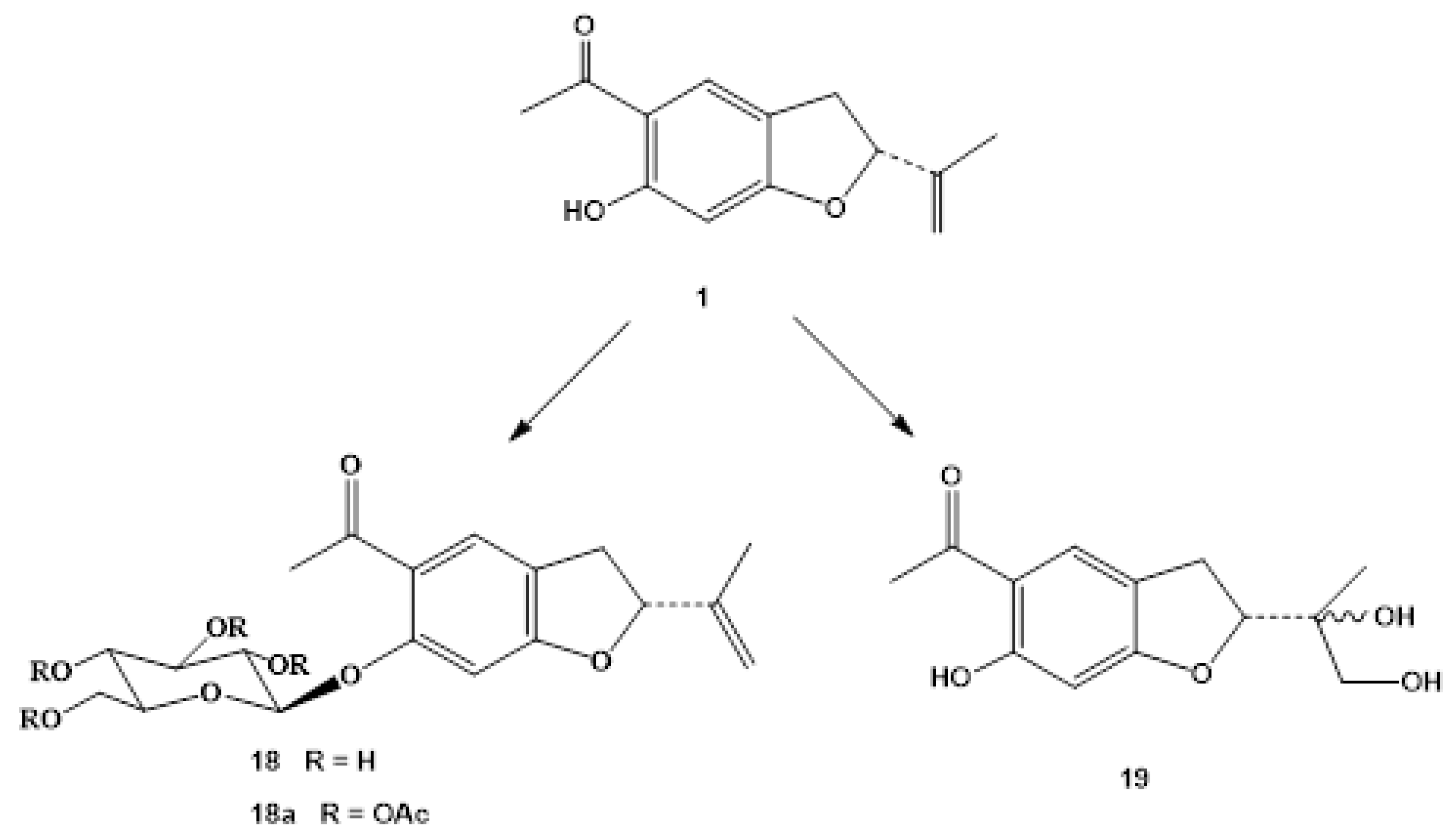
2.2. Biotransformation of 6-Hydroxytremetone (1)
2.3. Antifeedant and Postingestive Effects
3. Materials and Methods
3.1. General Procedure
3.2. Plant Material
3.3. Plant Material
3.4. DNA Extraction and Analysis
3.5. Extraction and Isolation of Compounds from Pericallis
3.6. Benzofurans
3.6.1. 6-Hydroxytremetone (1)
3.6.2. 3β,6-. Dihydroxytremetone (2)
3.6.3. 3β-. Methoxy-6-Hydroxytremetone (3)
3.6.4. 3β-. Ethoxy-6-Hydroxytremetone (4)
3.6.5. 3α,6-. Dihydroxytremetona (5)
3.6.6. Euparin (6)
3.6.7. Euparone (7)
3.6.8. 10,11-. Dihydroxy-10,11-Dihydroeuparin (8)
3.6.9. 10-Methoxy-11-Hydroxy-10,11-Dihydroeuparin (9)
3.6.10. 10-Ethoxy-11-Hydroxy-10,11-Dihydroeuparin (10)
3.6.11. (-)-. Eupachinin A (11)
3.6.12. X-ray Crystallography Data of (-)-Eupachinin A (11) and (-)-Didehydroeupachinin A (13)
3.6.13. (-)-. Eupachinin A Ethyl Ether (12)
3.6.14. 10,12-. Dihydroxy-11-Angelyloxy-10,11-Dihydroeuparin (14)
3.6.15. 2,4-. Dihydroxy-5-Formyl-Acetophenone (15)
3.6.16. 11-Angelyloxy-10,11-Dihydroeuparin (16)
3.6.17. 12-Angelyloxyeuparone (17)
3.7. Acetylation of 6-Hydroxytremetone (1)
3.8. Acetylation of Euparone (7)
3.9. Biotransformation of 6-Hydroxytremetone (1)
3.9.1. Microorganism
3.9.2. Incubation of 1
3.9.3. 6-Hydroxytremetone β-D-Glucoside (18)
3.9.4. 6,10,11-. Trihydroxytremetone (19)
3.10. Insect Bioassays
3.10.1. Choice Feeding Assays (<6 h)
3.10.2. Cannulation
4. Conclusions
Supplementary Materials
Author Contributions
Funding
Institutional Review Board Statement
Informed Consent Statement
Data Availability Statement
Acknowledgments
Conflicts of Interest
Sample Availability
References
- Jones, K.E.; Pérez-Espona, S.; Reyes-Betancort, J.A.; Pattinson, D.; Caujapé-Castells, J.; Hiscock, S.J.; Carine, M.A. Why do different oceanic archipelagos harbour contrasting levels of species diversity? The macaronesian endemic genus Pericallis (Asteraceae) provides insight into explaining the ‘Azores diversity Enigma’. BMC Evol. Biol. 2016, 16, 202. [Google Scholar] [CrossRef] [PubMed]
- Don, D. Pericallis tussilaginis. In The British Flower Garden; Ser. 2, plate 228; Sweet, R., Ed.; James Ridgway, Piccadilly: London, UK, 1834; Volume III. [Google Scholar]
- Nordenstam, B. Taxonomic studies in the tribe Senecioneae (Compositae). Opera Bot. 1978, 44, 1–84. [Google Scholar] [CrossRef]
- Panero, J.L.; Francisco-Ortega, J.; Jansen, R.K.; Santos-Guerra, A. Molecular evidence for multiple origins of woodiness and a New World biogeographic connection of the Macaronesian Island endemic Pericallis (Asteraceae: Senecioneae). Proc. Natl. Acad. Sci. USA 1999, 96, 13886–13891. [Google Scholar] [CrossRef] [PubMed]
- Swenson, U.; Manns, U. Phylogeny of Pericalis (Asteraceae): A total evidence approach reappraising the double origin of woodiness. Taxon 2003, 52, 533–546. [Google Scholar] [CrossRef]
- Jones, K.E.; Reyes-Bethancort, A.; Hiscock, S.J.; Carine, M.A. Allopatric diversification, multiple habitat shifts and hybridization in the evolution of Pericallis (Asteraceae), a Macaranosian endemic genus. Am. J. Botany 2014, 101, 637–641. [Google Scholar] [CrossRef]
- Domínguez, D.M.; Reina, M.; Santos-Guerra, A.; Santana, O.; Agulló, T.; López-Balboa, C.; González-Coloma, A. Pyrrolizidine alkaloids from Canarian endemic plants and their biological effects. Biochem. Syst. Ecol. 2008, 36, 153–156. [Google Scholar] [CrossRef]
- Hartmann, T. Chemical ecology of pyrrolizidine alkaloids. Planta 1999, 207, 483–495. [Google Scholar] [CrossRef]
- Hartmann, T.; Ober, D. Biosynthesis and metabolism of pyrrolizidine alkaloids in plants and specialized insect herbivores; Biosynthesis. In Topics in Current Chemistry; Leeper, F.J., Vederas, J.C., Eds.; Springer: Berlin/Heidelberg, Germany, 2000; Volume 209. [Google Scholar] [CrossRef]
- Portero, A.G.; González-Coloma, A.; Reina, M.; Díaz, C.E. Plant-defensive sesquiterpenoids from Senecio species with biopesticide potential. Phytochem. Rev. 2012, 11, 391–403. [Google Scholar] [CrossRef]
- Ruiz-Vásquez, L.; Ruiz Mesia, L.; Reina-Artiles, M.; López-Rodríguez, M.; González-Platas, J.; Giménez, C.; Cabrera, R.; González-Coloma, A. Benzofurans, benzoic acid derivatives, diterpenes and pyrrolizidine alkaloids from Peruvian Senecio. Phytochem. Lett. 2018, 28, 47–54. [Google Scholar] [CrossRef]
- Ruiz-Vásquez, L.; Olmeda, A.S.; Zuñiga, G.; Villarroel, L.; Echeverri, L.F.; González-Coloma, A.; Reina, M. Insect antifeedant and ixodicidal compounds from Senecio adenotrichius. Chem. Biodivers. 2017, 14, e1600155. [Google Scholar] [CrossRef]
- Ruiz-Vásquez, L.; Reina, M.; López-Rodríguez, M.; González-Coloma, A.; Giménez, C.; Cabrera, R.; Cuadra, P.; Fajardo, V. Sesquiterpenes, flavonoids, shikimic acid derivatives and pyrrolizidine alkaloids from Senecio kingii. Phytochemistry 2015, 117, 245–253. [Google Scholar] [CrossRef]
- Fraga, B.M.; Díaz, C.E.; Amador, L.J.; Reina, M.; Santana, O.; González-Coloma, A. Bioactive compounds from transformed root cultures and aerial parts of Bethencourtia hermosae. Phytochemistry 2014, 108, 220–228. [Google Scholar] [CrossRef]
- Proksch, P.; Rodriguez, E. Chromenes and benzofurans of the Asteraceae, their chemistry and biological significance. Phytochemistry 1983, 22, 2335–2348. [Google Scholar] [CrossRef]
- Bonner, W.A.; De Graw, J.I.; Bowen, D.M.; Shah, V.R. Toxic constituents of “white snakeroot”. Tetrahedron Lett. 1961, 12, 417–420. [Google Scholar] [CrossRef]
- Liu, Z.L.; Tian, X. The components of Cacalia tangutica. Bull. Korean Chem. Soc. 2004, 25, 1078–1080. [Google Scholar] [CrossRef]
- Bohlmann, F.; Knoll, K.H.; Zdero, C.; Mahanta, P.K.; Grenz, M.; Suwita, A.; Ehlers, D.; Le Van, N.; Abraham, W.R.; Natu, A.A. Terpen-derivate aus Senecio-arten. Phytochemistry 1977, 16, 965–985. [Google Scholar] [CrossRef]
- Bohlmann, F.; Jakupovic, J.; Lonitz, M. Natürlich vorkommende Terpen-Derivate, Über inhaltsstoffe der Eupatorium-gruppe. Chem. Ber. 1977, 110, 301–314. [Google Scholar] [CrossRef]
- Zdero, C.; Bohlmann, F.; King, R.M. Diterpenes and norditerpenes from the Aristeguetia group. Phytochemistry 1991, 30, 2991–3000. [Google Scholar] [CrossRef]
- Castañeda, P.; Gómez, L.; Mata, R.; Lotina Hennsen Anaya, A.L.; Bye, R. Phytogrowth-inhibitory and antifungal constituents of Helianthella quinquenervis. J. Nat. Prod. 1996, 59, 323–326. [Google Scholar] [CrossRef]
- Habtemariam, S. Antiinflammatory activity of the antirheumatic herbal drug, gravel root (Eupatorium purpureum): Further biological activities and constituents. Phytother. Res. 2001, 15, 687–690. [Google Scholar] [CrossRef]
- Kuroda, C.; Kiuchi, K.; Torihata, A.; Takeshita, K.; Gong, X.; Shen, Y.; Hirota, H.; Onuki, H.; Hanai, R. Chemical and genetic diversity of Ligularia latihastata and Ligularia villosa in Yunnan province of China. Chem. Biodivers. 2007, 4, 2210–2216. [Google Scholar] [CrossRef] [PubMed]
- Bohlmann, F.; Zdero, C.; King, R.M.; Robinson, H. New sesquiterpene lactones and other constituents from Fitchia speciosa. Phytochemistry 1980, 19, 1141–1143. [Google Scholar] [CrossRef]
- Kamthong, B.; Robertson, A. Furano-compounds. Part III. Euparin. J. Chem. Soc. 1939, 925–930. [Google Scholar] [CrossRef]
- Zhao, Y.; Jia, Z.; Yang, L. Novel sesquiterpenes from Ligularia veitchiana. Planta Med. 1994, 60, 91–92. [Google Scholar] [CrossRef] [PubMed]
- Elsohly, M.A.; Doorenbos, N.J.; Quimby, M.W.; Knapp, J.E.; Slatkin, D.J.; Schiff Jr, P.L. Euparone, a new benzofuran from Ruscus aculeatus L. J. Pharm. Sci. 1974, 63, 1623–1624. [Google Scholar] [CrossRef]
- Hussein, N.S. Benzofurans from Senecio desfontainei. Pharmazie 1992, 47, 468–469. [Google Scholar]
- Saito, Y.; Takiguchi, K.; Gong, X.; Kuroda, C.; Tori, M. Thiophene, furans, and related aromatic compounds from Eupatorium heterophyllum. Nat. Prod. Commun. 2011, 6, 361–366. [Google Scholar] [CrossRef]
- Wang, W.J.; Wang, L.; Huang, X.J.; Jiang, R.W.; Yang, X.L.; Zhang, D.M.; Chen, W.M.; Tang, B.Q.; Wang, Y.; Zhang, X.Q.; et al. Two pair of new benzofuran enantiomers with unusual skeletons from Eupatorium chinense. Tetrahedron Lett. 2013, 54, 3321–3324. [Google Scholar] [CrossRef]
- Gupta, S.R.; Seshadri, T.R.; Sood, G.R. The structure and synthesis of neobavachalcone, a new component of Psoralea corylifolia. Phytochemistry 1977, 16, 1995–1997. [Google Scholar] [CrossRef]
- Baddeley, G.V.; Bealing, A.J.; Jefferies, P.R.; Retallack, R.W. The chemistry of the Euphorbiaceae. VI. A triterpene from Beyeria leschenaultii. Austral. J. Chem. 1964, 17, 908–914. [Google Scholar] [CrossRef]
- Yashigita, N. The chemical structure of neoilexonol. Part II. Oxidation and reduction of neoilexonol and its derivatives. Agric. Biol. Chem. 1961, 25, 844–851. [Google Scholar] [CrossRef]
- Hui, W.H.; Li, M.M.; Luk, K. Triterpenoids and steroids from Rhodomyrtus tomentosa. Phytochemistry 1975, 14, 833–834. [Google Scholar] [CrossRef]
- Tamai, M.; Watanabe, N.; Someya, M.; Kondoh, H.; Omura, S.; Ling, Z.P.; Chang, R.; Ming, C.W. New hepatoprotective triterpenes form Canarium album. Planta Med. 1989, 55, 44–47. [Google Scholar] [CrossRef]
- Quijano, L.; Rios, T.; Fronczek, F.R.; Fisher, N.H. The molecular structure of maniladiol from Baccharis salicina. Phytochemistry 1998, 49, 2065–2068. [Google Scholar] [CrossRef]
- Portero, A.G.; Díaz, C.E.; Reina, M.; González-Coloma, A.; Fraga, B.M. Minor terpenes from Pericallis echinata. In Proceedings of the VI Mediterranean Organic Chemistry Meeting (REQOMED), Granada, Spain, 19–21 June 2013. [Google Scholar]
- Fraga, B.M.; de Alfonso, I.; González-Vallejo, V.; Guillermo, R. Microbial transformation of two 15α-hydroxy-ent-kaur-16-ene diterpenes by Mucor plumbeus. Tetrahedron 2010, 66, 227–234. [Google Scholar] [CrossRef]
- Fraga, B.M.; Díaz, C.E.; Amador, L.J.; Reina, M.; López-Rodriguez, M.; González-Coloma, A. Biotransformation of an africanane sesquiterpene by the fungus Mucor plumbeus. Phytochemistry 2017, 135, 73–79. [Google Scholar] [CrossRef]
- Fraga, B.M.; Díaz, C.E.; Bailén, M.; González-Coloma, A. Sesquiterpene lactones from Artemisia absinthium. Biotransformation and rearrangement of the insect antifeedant 3α-hydroxypelenolide. Plants 2021, 10, 891. [Google Scholar] [CrossRef]
- Duddeck, H.; Dietrich, W.; Tóth, G. Structure elucidation by NMR. In A Workbook, 3rd ed.; Springer: Berlin/Heidelberg, Germany, 1998; p. 66. [Google Scholar]
- Spring, O.; Vargas, D.; Fischer, N.H. Sesquiterpene lactones and benzofurans in glandular trichomes of three Pappobolus species. Phytochemistry 1991, 30, 1861–1867. [Google Scholar] [CrossRef]
- Morimoto, M.; Urakawa, M.; Fujitaka, T.; Komai, K. Structure-activity relationship for the insect antifeedant activity of benzofuran derivatives. Biosci. Biotechnol. Biochem. 1999, 63, 840–846. [Google Scholar] [CrossRef]
- Morimoto, M.; Fukumoto, H.; Nozoe, T.; Hagiwara, A.; Komai, K. Synthesis and insect antifeedant activity of aurones against Spodoptera litura larvae. J. Agric. Food Chem. 2007, 55, 700–705. [Google Scholar] [CrossRef]
- Isman, M.B.; Proksch, P. Deterrent and insecticidal chromenes and benzofurans from Encelia (asteraceae). Phytochemistry 1985, 24, 1949–1951. [Google Scholar] [CrossRef]
- Carrizo, F.R.; Sosa, M.E.; Favier, L.S.; Penna, F.; Guerreiro, E.; Giordano, O.S.; Tonn, C.E. Growth-inhibitory activities of benzofuran and chromene derivatives toward Tenebrio molitor. J. Nat. Prod. 1998, 61, 1209–1211. [Google Scholar] [CrossRef] [PubMed]
- Morimoto, M.; Urakawa, M.; Komai, K. Electrochemical synthesis of dihydrobenzofurans and evaluation of their insect antifeedant activities. J. Oleo Sci. 2017, 66, 857–862. [Google Scholar] [CrossRef] [PubMed]
- Young, S.J.; Gunning, R.; Moores, G. Effect of pre-treatment with Piperonyl butoxide on pyrethroid efficacy against insecticide resistant Helicoverpa armigera (Hubner) (Lepidoptera: Noctuidae), and Bemisia tabaci (Sternorhyncha: Aleyrodidae). Pest Manag. Sci. 2006, 61, 397–401. [Google Scholar] [CrossRef] [PubMed]
- Williams, L.A.D.; Anderson, M.J.; Jackson, Y.A. Insecticidal activity of synthetic 2-carboxylbenzofurans and their coumarin precursors. Pestic. Sci. 1994, 42, 167–171. [Google Scholar] [CrossRef]
- Murashigue, T.; Skoog, F. A revised medium for rapid growth and bioassays with tobacco tissue cultures. Physiol. Plant. 1962, 15, 473–479. [Google Scholar] [CrossRef]
- Gamborg, O.L.; Miller, R.A.; Ojima, K. Nutrient requirements of suspension cultures of soybean root cells. Exp. Cell Res. 1968, 50, 151–158. [Google Scholar] [CrossRef]
- Navarro-Rocha, J.; Barrero, A.F.; Burillo, J.; Olmeda, A.S.; González-Coloma, A. Valorization of essential oils from two populations (wild and commercial) of Geranium macrorrhizum L. Ind. Crops Prod. 2018, 116, 41–45. [Google Scholar] [CrossRef]
- González-Coloma, A.; Gutiérrez, C.; Hübner, H.; Achenbach, H.; Terrero, D.; Fraga, B.M. Selective insect antifeedant and toxic action of ryanoid diterpenes. J. Agric. Food Chem. 1999, 47, 4419–4424. [Google Scholar] [CrossRef]
- Horton, R.D.; Redak, R.A. Further comments on analysis of covariance in insect dietary studies. Entomol. Exp. Appl. 1993, 69, 263–275. [Google Scholar] [CrossRef]
- Raubenheimer, D.; Simpson, S.J. Analysis of covariance: An alternative to nutritional indices. Entomol. Exp. Appl. 1992, 62, 221–231. [Google Scholar] [CrossRef]



| Carbon | 1 | 1a | 2 | 3 | 4 | 5 | 6 | 7 | 7a |
|---|---|---|---|---|---|---|---|---|---|
| 2 | 87.6 | 87.8 | 95.8 | 92.1 | 92.8 | 90.6 | 157.9 | 153.7 | 154.6 |
| 3 | 33.1 | 33.7 | 75.5 | 83.1 | 81.9 | 71.0 | 102.4 | 113.1 | 112.6 |
| 4 | 126.6 | 127.0 | 128.7 | 129.1 | 129.3 | 129.1 | 123.5 | 126.9 | 127.6 |
| 5 | 113.8 | 123.0 | 114.6 | 114.4 | 114.4 | 114.8 | 116.9 | 118.4 | 128.3 |
| 6 | 165.8 | 164.0 | 167.1 | 167.0 | 167.1 | 166.9 | 161.6 | 163.4 | 149.6 |
| 7 | 98.1 | 105.1 | 98.7 | 98.5 | 98.5 | 99.0 | 99.2 | 100.4 | 108.1 |
| 8 | 166.6 | 151.3 | 166.6 | 167.0 | 167.0 | 166.1 | 159.7 | 160.0 | 157.0 |
| 9 | 118.6 | 124.8 | 120.3 | 117.1 | 118.4 | 120.9 | 121.9 | 119.7 | 124.7 |
| 10 | 143.2 | 142.9 | 140.8 | 141.1 | 141.3 | 138.7 | 132.1 | 188.0 | 188.1 |
| 11 | 112.7 | 112.9 | 113.2 | 113.1 | 113.2 | 113.7 | 113.7 | 26.4 | 26.5 |
| 12 | 17.0 | 17.1 | 17.4 | 17.4 | 17.5 | 20.0 | 19.2 | 204.0 | 196.7 |
| 13 | 201.9 | 195.6 | 202.3 | 202.2 | 202.3 | 202.5 | 203.9 | 26.9 | 26.5 |
| 14 | 26.2 | 29.2 | 26.3 | 26.1 | 26.2 | 26.3 | 26.8 | ||
| 1′ | - | - | 55.3 | 63.6 | - | - | - | ||
| 2′ | - | - | - | 15.4 | - | - | - | ||
| AcO-C(6) | 169.5 21.2 | 169.4 21.1 |
| Carbon | 8 | 9 | 10 | 11 | 12 | 14 | 16 |
|---|---|---|---|---|---|---|---|
| 2 | 159.5 | 159.6 | 159.1 | 171.0 | 170.8 | 157.6 | 160.8 |
| 3 | 102.8 | 105.3 | 104.7 | 115.8 | 116.1 | 104.6 | 101.8 |
| 4 | 123.6. | 123.7 | 123.6 | 125.2 | 125.3 | 123.8 | 122.9 |
| 5 | 117.0. | 117.1 | 117.0 | 118.2 | 118.2 | 117.2 | 116.6 |
| 6 | 161.1 | 165.0 | 161.2 | 162.0 | 162.0 | 161.2 | 160.8 |
| 7 | 99.8 | 99.9 | 99.8 | 100.4 | 100.4 | 99.9 | 99.5 |
| 8 | 161.1 | 161.3 | 159.5 | 159.0 | 159.0 | 159.5 | 159.4 |
| 9 | 121.0 | 120.7 | 120.8 | 115.1 | 115.9 | 120.6 | 121.3 |
| 10 | 72.2 | 73.0 | 76.2 | 194.1 | 194.8 | 74.1 | 33.3 |
| 11 | 68.8 | 68.2 | 68.5 | 35.7 | 35.5 | 66.2 | 66.2 |
| 12 | 23.4 | 18.0 | 18.7 | 38.2 | 36.8 | 65.3 | 15.5 |
| 13 | 204.0 | 204.0 | 203.9 | 67.4 | 71.3 | 204.0 | 203.9 |
| 14 | 26.8 | 26.8 | 26.8 | 25.8 | 21.8 | 26.8 | 26.8 |
| 15 | - | - | - | 204.6 | 204.6 | - | - |
| 16 | - | - | - | 27.2 | 27.2 | - | - |
| 1′ | - | 51.1 | 58.9 | - | 59.9 | 168.3 | 167.7 |
| 2′ | - | - | 15.7 | - | 15.8 | 126.9 | 127.5 |
| 3′ | - | - | - | - | - | 140.1 | 138.4 |
| 4′ | - | - | - | - | - | 20.4 | 20.5 |
| 5′ | - | - | - | - | - | 15.8 | 15.7 |
| Carbon | 18 b | 18 c | 18a d | 19 |
|---|---|---|---|---|
| 2 | 87.7 | 88.9 | 87.8 | 86.7 |
| 3 | 33.4 | 34.3 | 33.4 | 28.7 |
| 4 | 126.9 | 127.6 | 126.8 | 126.7 |
| 5 | 121.3 | 122.6 | 122.4 | 114.0 |
| 6 | 158.9 | 160.8 | 157.5 | 165.2 |
| 7 | 98.7 | 98.3 | 96.6 | 98.2 |
| 8 | 164.6 | 166.5 | 164.5 | 166.2 |
| 9 | 121.5 | 122.6 | 121.8 | 118.7 |
| 10 | 143.1 | 145.2 | 143.1 | 73.5 |
| 11 | 112.8 | 112.6 | 112.6 | 67.0 |
| 12 | 17.1 | 17.2 | 17.0 | 19.0 |
| 13 | 199.0 | 200.7 | 197.8 | 202.1 |
| 14 | 30.6 | 32.1 | 31.6 | 26.2 |
| 1′ | 102.5 | 102.6 | 98.6 | |
| 2′ | 73.3 | 74.8 | 71.0 | |
| 3′ | 76.2 | 78.3 | 72.9 | |
| 4′ | 69.5 | 71.2 | 68.2 | |
| 5′ | 76.0 | 78.2 | 72.3 | |
| 6′ | 61.7 | 62.4 | 61.9 |
| Compound | Spodoptera littoralis L6 Larvae | |||||
|---|---|---|---|---|---|---|
| Antifeedant | Postingestive | |||||
| %FI a | EC50 (µg/μL) b | µg/larvae | ΔB c | ΔI d | pANCOVA2 | |
| 1 | 83.8 ± 3.5 e | 0.50 (0.24–1.03) | 91.41 ± 1.17 | 88.39 ± 1.16 | ||
| 1a | 72.5 ± 9.16 e | nc | ||||
| 2 | 37.55 ± 3.11 | |||||
| 3 | 50.3 ± 7.5 | |||||
| 4 | 90.4 ± 6.2 e | 0.13 (0.05–0.34) | 40 | 39.95 ± 15.03 g | 55.21 ± 10.94 g | 0.051 |
| 20 | 106.39 ± 0.77 | 92.63 ± 0.76 | ||||
| 6 | 74.2 ± 7.8 e | 19.7 (11.5–34.0) | 40 | 66.16 ± 1.11 g | 96.12 ± 1.56 | 0.035 |
| 20 | 80.85 ± 0.87 g | 102.38 ± 0.94 | 0.465 | |||
| 20 + 10 PBO h | 59.29 ± 1.17 g | 83.76 ± 1.51 g | 0.298 | |||
| 7 | 5.37 ± 4.47 | |||||
| 7a | 1.00 ± 1.00 | |||||
| 8 | 8.15± 8.15 | |||||
| 10 | 29.50 ± 7.70 | |||||
| 11 | 98.5 ± 0.9 e | 1.04 (0.49–2.20) | 40 f | 51.56 ± 16.76 g | 68.63 ± 12.99 g | 0.082 |
| 12 | 89.8± 6.5 e | 2.94 (2.21–3.91) | 40 f | 43.00 ± 18.78 g | 69.47 ± 13.15 g | 0.135 |
| 14 | 83.6 ± 6.6 e | 0.84 (0.33–0.47) | ||||
| 16 | 64.13 ± 8.29 | |||||
| 18 | 42.7 ± 13.2 | |||||
| 18a | 8.06 ± 3.50 | |||||
Disclaimer/Publisher’s Note: The statements, opinions and data contained in all publications are solely those of the individual author(s) and contributor(s) and not of MDPI and/or the editor(s). MDPI and/or the editor(s) disclaim responsibility for any injury to people or property resulting from any ideas, methods, instructions or products referred to in the content. |
© 2023 by the authors. Licensee MDPI, Basel, Switzerland. This article is an open access article distributed under the terms and conditions of the Creative Commons Attribution (CC BY) license (https://creativecommons.org/licenses/by/4.0/).
Share and Cite
Díaz, C.E.; Fraga, B.M.; G. Portero, A.; Brito, I.; López-Balboa, C.; Ruiz-Vásquez, L.; González-Coloma, A. Insect Antifeedant Benzofurans from Pericallis Species. Molecules 2023, 28, 975. https://doi.org/10.3390/molecules28030975
Díaz CE, Fraga BM, G. Portero A, Brito I, López-Balboa C, Ruiz-Vásquez L, González-Coloma A. Insect Antifeedant Benzofurans from Pericallis Species. Molecules. 2023; 28(3):975. https://doi.org/10.3390/molecules28030975
Chicago/Turabian StyleDíaz, Carmen E., Braulio M. Fraga, Adriana G. Portero, Iván Brito, Carmen López-Balboa, Liliana Ruiz-Vásquez, and Azucena González-Coloma. 2023. "Insect Antifeedant Benzofurans from Pericallis Species" Molecules 28, no. 3: 975. https://doi.org/10.3390/molecules28030975
APA StyleDíaz, C. E., Fraga, B. M., G. Portero, A., Brito, I., López-Balboa, C., Ruiz-Vásquez, L., & González-Coloma, A. (2023). Insect Antifeedant Benzofurans from Pericallis Species. Molecules, 28(3), 975. https://doi.org/10.3390/molecules28030975

