Study of Lithium-Extraction Systems Based on Benzo-15-Crown-5 Ether and Alkylimidazolium-Based Ionic Liquid
Abstract
1. Introduction
2. Results and Discussion
2.1. Extraction
2.2. X-ray Diffractometry
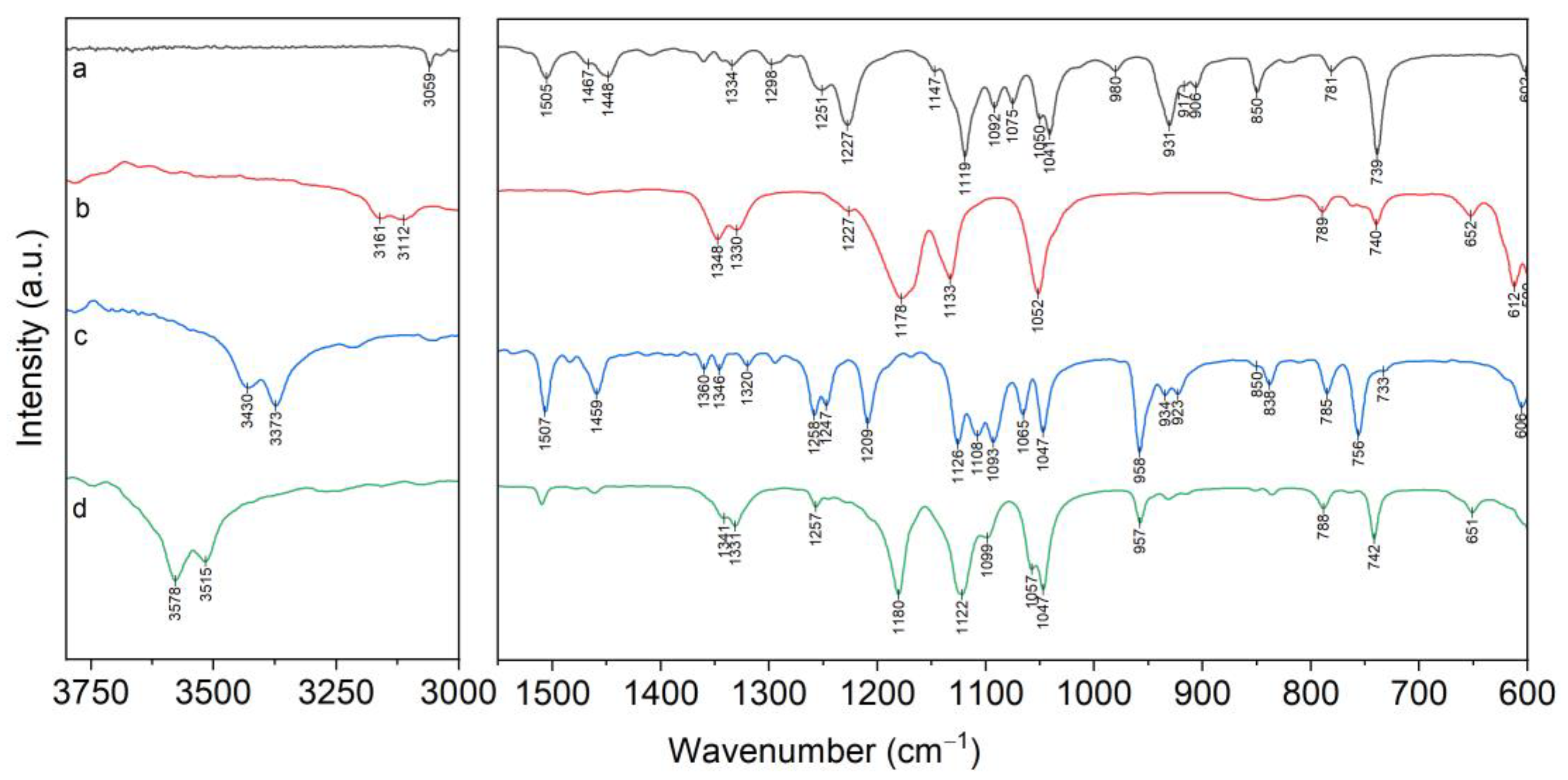
2.3. FTIR Spectroscopy of the Complexes (I–III)
2.4. FTIR Spectroscopy of Blank Extraction
2.5. FTIR Spectroscopy of Extraction Systems with Crown Ethers
2.6. Equations of the Extraction Reaction of LiCl and LiNTf2 with B15C5–[C8mim][NTf2]
3. Materials and Methods
3.1. Extraction
3.2. UV-Vis Spectroscopy
3.3. Synthesis
3.4. X-ray Diffraction
3.5. ATR FT–IR Spectra
4. Conclusions
Supplementary Materials
Author Contributions
Funding
Institutional Review Board Statement
Informed Consent Statement
Data Availability Statement
Conflicts of Interest
Sample Availability
References
- Cui, L.; Fan, Y.; Li, S.; Bai, R.; Guo, Y.; Cheng, F. Research Progress on the Theory and New Technology for Separation of Lithium Isotopes by Chemical Exchange. Huagong Xuebao/CIESC J. 2021, 72, 3215–3227. [Google Scholar] [CrossRef]
- Xiao, J.; Jia, Y.; Shi, C.; Wang, X.; Yao, Y.; Jing, Y. Liquid-Liquid Extraction Separation of Lithium Isotopes by Using Room-Temperature Ionic Liquids-Chloroform Mixed Solvent System Contained Benzo-15-Crown-5. J. Mol. Liq. 2016, 223, 1032–1038. [Google Scholar] [CrossRef]
- Shi, C.; Jia, Y.; Xiao, J.; Wang, X.; Yao, Y.; Jing, Y. Lithium Isotope Separation by Liquid-Liquid Extraction Using Ionic Liquid System Containing Dibenzo-14-Crown-4. J. Mol. Liq. 2016, 224, 662–667. [Google Scholar] [CrossRef]
- Chen, I.; Xu, C.; Peng, J.; Han, D.; Liu, S.; Zhai, M. Novel Functionalized Cellulose Microspheres for Efficient Separation of Lithium Ion and Its Isotopes: Synthesis and Adsorption Performance. Molecules 2019, 24, 2762. [Google Scholar] [CrossRef]
- Mao, L.; Zhang, P.; Ju, H.; Zhou, X.; Xue, Z.; Wang, C.; Sun, J.; Jia, Y.; Shao, F.; Zou, X.; et al. Solvent Extraction for Lithium Isotope Separation by 4-NO2-B15C5/[BMIm][NTf2] System. J. Mol. Liq. 2022, 367, 120357. [Google Scholar] [CrossRef]
- Liu, B.; Jia, Y.; Zhang, Z.; Sun, H.; Yao, Y.; Jing, Y.; Qi, M.; Zhang, Q. Separation of Lithium Isotopes by Crown Ether-Room Temperature Ionic Liquid-Anisole Friendly Solvent System. J. Mol. Liq. 2021, 340, 117207. [Google Scholar] [CrossRef]
- Zhang, P.; Wang, C.; Xue, Z.; Mao, L.; Sun, J.; Shao, F.; Qi, M.; Jing, Y.; Jia, Y. Extraction Separation of Lithium Isotopes with Bromobenzene-15-Crown-5/Ionic Liquids System: Experimental and Theoretical Study. J. Mol. Liq. 2022, 364, 120020. [Google Scholar] [CrossRef]
- Cui, L.; Yang, X.; Wang, J.; He, H.; Guo, Y.; Cheng, F.; Zhang, S. Theoretical Prediction of 6Li/7Li Separation in Solvent Extraction System Using Urey Model. Chem. Eng. J. 2019, 358, 435–445. [Google Scholar] [CrossRef]
- Kostikova, G.V.; Maltseva, I.E.; Krasnova, O.G.; Shokurova, N.A.; Zhilov, V.I. Behavior of Na and K in the Extraction Process of Lithium Isotope Separation. Russ. Chem. Bull. 2018, 67, 2188–2190. [Google Scholar] [CrossRef]
- Bezdomnikov, A.A.; Demin, S.V.; Tsivadze, A.Y. Effect of Salt Anion on Lithium Extraction in Systems LiX–H2O–Benzo-15-Crown-5–CHCl3, Where X− Is Br−, ClO4−, and SCN−. Russ. J. Inorg. Chem. 2020, 65, 1077–1080. [Google Scholar] [CrossRef]
- Zhang, Z.; Jia, Y.; Liu, B.; Sun, H.; Jing, Y.; Zhang, Q.; Shao, F.; Qi, M.; Yao, Y. Extraction and Separation of Lithium Isotopes by Using Organic Liquid Film Extraction System of Crown Ether-Ionic Liquid. Fusion Eng. Des. 2020, 161, 112015. [Google Scholar] [CrossRef]
- Cao, Y.; Mu, T. Comprehensive Investigation on the Thermal Stability of 66 Ionic Liquids by Thermogravimetric Analysis. Ind. Eng. Chem. Res. 2014, 53, 8651–8664. [Google Scholar] [CrossRef]
- Mezzetta, A.; Perillo, V.; Guazzelli, L.; Chiappe, C. Thermal Behavior Analysis as a Valuable Tool for Comparing Ionic Liquids of Different Classes. J. Therm. Anal. Calorim. 2019, 138, 3335–3345. [Google Scholar] [CrossRef]
- Barulli, L.; Mezzetta, A.; Brunetti, B.; Guazzelli, L.; Vecchio Ciprioti, S.; Ciccioli, A. Evaporation Thermodynamics of the Tetraoctylphosphonium Bis(Trifluoromethansulfonyl)Imide([P8888]NTf2) and Tetraoctylphosphonium Nonafluorobutane-1-Sulfonate ([P8888]NFBS) Ionic Liquids. J. Mol. Liq. 2021, 333, 115892. [Google Scholar] [CrossRef]
- Azimi, B.; Maleki, H.; Gigante, V.; Bagherzadeh, R.; Mezzetta, A.; Milazzo, M.; Guazzelli, L.; Cinelli, P.; Lazzeri, A.; Danti, S. Cellulose-Based Fiber Spinning Processes Using Ionic Liquids. Cellulose 2022, 29, 3079–3129. [Google Scholar] [CrossRef]
- Karimi, B.; Tavakolian, M.; Akbari, M.; Mansouri, F. Ionic Liquids in Asymmetric Synthesis: An Overall View from Reaction Media to Supported Ionic Liquid Catalysis. ChemCatChem 2018, 10, 3173–3205. [Google Scholar] [CrossRef]
- Liu, K.; Wang, Z.; Shi, L.; Jungsuttiwong, S.; Yuan, S. Ionic Liquids for High Performance Lithium Metal Batteries. J. Energy Chem. 2021, 59, 320–333. [Google Scholar] [CrossRef]
- Zhu, W.; Jia, Y.; Zhang, Q.; Sun, J.; Jing, Y.; Li, J. The Effect of Ionic Liquids as Co-Extractant with Crown Ether for the Extraction of Lithium in Dichloromethane-Water System. J. Mol. Liq. 2019, 285, 75–83. [Google Scholar] [CrossRef]
- Xiao, J.; Jia, Y.; Shi, C.; Wang, X.; Wang, S.; Yao, Y.; Jing, Y. Lithium Isotopes Separation by Using Benzo-15-Crown-5 in Eco-Friendly Extraction System. J. Mol. Liq. 2017, 241, 946–951. [Google Scholar] [CrossRef]
- Demin, S.V.; Zhilov, V.I.; Tsivadze, A.Y. Lithium and Boron Isotope Effects in Extraction Systems. Russ. J. Inorg. Chem. 2015, 60, 633–637. [Google Scholar] [CrossRef]
- Zakurdaeva, O.A.; Asachenko, A.F.; Topchiy, M.A.; Nesterov, S.V. Distribution of Benzo-Substituted Crown-Ethers between Chloroform and Water: Effects of Macrocycle Ring Size and Lithium Chloride. J. Radioanal. Nucl. Chem. 2018, 316, 535–541. [Google Scholar] [CrossRef]
- Demina, L.I.; Kuz’mina, L.G.; Demin, S.V.; Shokurova, N.A.; Zhilov, V.I.; Tsivadze, A.Y. Study of Lithium Complexes with Benzo-15-Crown-5 Ether by X-Ray Diffraction and IR Spectroscopy. Russ. J. Inorg. Chem. 2017, 62, 1536–1543. [Google Scholar] [CrossRef]
- Davidson, M.G.; Raithby, P.R.; Johnson, A.L.; Bolton, P.D. Structural Diversity in Lewis-Base Complexes of Lithium Triflamide. Eur. J. Inorg. Chem. 2003, 2003, 3445–3452. [Google Scholar] [CrossRef]
- McOwen, D.W.; Seo, D.M.; Borodin, O.; Vatamanu, J.; Boyle, P.D.; Henderson, W.A. Concentrated Electrolytes: Decrypting Electrolyte Properties and Reassessing Al Corrosion Mechanisms. Energy Environ. Sci. 2014, 7, 416–426. [Google Scholar] [CrossRef]
- Moriya, M.; Nomura, K.; Sakamoto, W.; Yogo, T. Precisely Controlled Supramolecular Ionic Conduction Paths and Their Structure-Conductivity Relationships for Lithium Ion Transport. CrystEngComm 2014, 16, 10512–10518. [Google Scholar] [CrossRef]
- Henderson, W.A.; McKenna, F.; Khan, M.A.; Brooks, N.R.; Young, V.G.; Frech, R. Glyme-Lithium Bis(Trifluoromethanesulfonyl)Imide and Glyme-Lithium Bis(Perfluoroethanesulfonyl)Imide Phase Behavior and Solvate Structures. Chem. Mater. 2005, 17, 2284–2289. [Google Scholar] [CrossRef]
- Moriya, M.; Kato, D.; Sakamoto, W.; Yogo, T. Structural Design of Ionic Conduction Paths in Molecular Crystals for Selective and Enhanced Lithium Ion Conduction. Chem. Eur. J. 2013, 19, 13554–13560. [Google Scholar] [CrossRef]
- Seo, D.M.; Boyle, P.D.; Sommer, R.D.; Daubert, J.S.; Borodin, O.; Henderson, W.A. Solvate Structures and Spectroscopic Characterization of Litfsi Electrolytes. J. Phys. Chem. B 2014, 118, 13601–13608. [Google Scholar] [CrossRef]
- Vander Hoogerstraete, T.; Brooks, N.R.; Onghena, B.; Van Meervelt, L.; Binnemans, K. Crystal Structures of Hydrated Rare-Earth Bis(Trifluoromethylsulfonyl)Imide Salts. CrystEngComm 2015, 17, 7142–7149. [Google Scholar] [CrossRef]
- Mandai, T.; Yoshida, K.; Tsuzuki, S.; Nozawa, R.; Masu, H.; Ueno, K.; Dokko, K.; Watanabe, M. Effect of Ionic Size on Solvate Stability of Glyme-Based Solvate Ionic Liquids. J. Phys. Chem. B 2015, 119, 1523–1534. [Google Scholar] [CrossRef]
- Stritzinger, J.T.; Droessler, J.E.; Scott, B.L.; Goff, G.S. Cs[Tf 2 N]: A Second Polymorph with a Layered Structure. Acta Crystallogr. Sect. E Crystallogr. Commun. 2018, 74, 551–554. [Google Scholar] [CrossRef] [PubMed]
- Kuz’mina, L.G.; Demina, L.I.; Demin, S.V.; Shokurova, N.A.; Zhilov, V.I.; Tsivadze, A.Y. Study of the Structure of Lithium Thiocyanate Complexes with Benzo-15-Crown-5 by X-Ray Diffraction and IR Spectroscopy. Russ. J. Inorg. Chem. 2018, 63, 357–360. [Google Scholar] [CrossRef]
- Tsivadze, A.Y.; Varnek, A.A.; Hutorskiy, V.E. Koordinacionnye Soedineniya Metallov s Kraun-Ligandami; Nauka: Moscow, Russia, 1991; ISBN 5-02-001444-3. [Google Scholar]
- Demin, S.V.; Shokurova, N.A.; Demina, L.I.; Kuz’mina, L.G.; Zhilov, V.I.; Tsivadze, A.Y. Effects of Side-Chain Substituents in Benzo-15-Crown-5 on Lithium Extraction. Russ. J. Inorg. Chem. 2018, 63, 121–127. [Google Scholar] [CrossRef]
- Bruker AXS Inc. SAINT; Bruker AXS Inc.: Billerica, MA, USA, 2001. [Google Scholar]
- Bruker AXS Inc. SMART and SADABS Software Reference Manuals; Bruker AXS Inc.: Billerica, MA, USA, 1998. [Google Scholar]
- Bruker AXS Inc. SHELXTL/PC; Bruker AXS Inc.: Billerica, MA, USA, 1998. [Google Scholar]
- Dolomanov, O.V.; Bourhis, L.J.; Gildea, R.J.; Howard, J.A.K.; Puschmann, H. OLEX2: A Complete Structure Solution, Refinement and Analysis Program. J. Appl. Crystallogr. 2009, 42, 339–341. [Google Scholar] [CrossRef]

















| Assignments | B15C5 | (I) | (II) | (III) |
|---|---|---|---|---|
| νS(COC) | 981 | 957 | 963 954 | 965 947 |
| ν(CO) + ν(CC) + ρ(CH2) | - 930 917 905 | - 931 915 - | 942 929 917 - | 938 929br 912 - |
| ρ(CH2) | 850 | 851 | 864 847 - | 866 846 843 |
| ρ(CH2) + ν(CO) + ν(CC) | 822 | 836 | 833 | 833 |
| Complex | ν(OH) | δ(H2O) |
|---|---|---|
| [Li(B15C5)(H2O)(NTf2)] (I) | 3581, 3514 | 1632 |
| [Li(B15C5)1.5(H2O)(NTf2)] (II) | 3551, 3469 | 1647 |
| [Li(B15C5)2(H2O)(NTf2)] (III) | 3575, 3511, 3442 | 1633 |
| Compound | (I) | (IItr) | (IImon) | (III) |
|---|---|---|---|---|
| Formula | C16H22F6LiNO10S2 | C46H64F12Li2N2O25S4 | C46H64F12Li2N2O25S4 | C60H78F12Li2N2O31S4 |
| System, sp. gr., Z | Monocl., P21/c, 4 | Tricl., P , 4 | Monocl. Pc, 2 | Tricl., P , 2 |
| a, Å | 8.3734 (12) | 12.1261 (11) | 13.6943(14) | 12.0183 (10) |
| b, Å | 21.961 (3) | 22.4203 (18) | 14.3352(15) | 15.6197 (13) |
| c, Å | 12.968 (2) | 24.106 (2) | 16.8203(18) | 22.1422 (18) |
| α, ° | 90 | 105.493 (2) | 90 | 79.953 (2) |
| β, ° | 96.154 (5) | 102.585 (3) | 111.917(4) | 90.00 |
| γ, ° | 90 | 94.132 (3) | 90 | 67.37 |
| V, Å3 | 2371.0 (6) | 6104.4 (9) | 3063.4(6) | 3767.5 (5) |
| d, g/cm3 | 1.606 | 1.540 | 1.534 | 1.493 |
| Radiation; λ, Å | MoKα (λ = 0.71073) | MoKα (λ = 0.71073) | MoKα (λ = 0.71073) | MoKα (λ = 0.71073) |
| μ, cm−1 | 0.324 | 0.273 | 0.272 | 0.241 |
| T, K | 100 | 100 | 100 | 100 |
| Sample size | 0.42 × 0.38 × 0.36 | 0.24 × 0.14 × 0.04 | 0.22 × 0.18 × 0.16 | 0.16 × 0.14 × 0.1 |
| Diffractometer | SMART APEX-II | VENTURA D8 | VENTURA D8 | VENTURA D8 |
| Absorption correction; Tmin, Tmax | SADABS; 0.9207, 0.9705 | SADABS; 0.8620, 0.9705 | SADABS; 0.8215, 0.9705 | SADABS; 0.8913, 0.9579 |
| 2θmax, deg. | 54.2 | 54.0 | 54.4 | 54.7 |
| Interval h, k, l | −10 ≤ h ≤ 10, −28 ≤ k ≤ 28, −16 ≤ l ≤ 16 | −14 ≤ h ≤ 14, −27 ≤ k ≤ 27, −29 ≤ l ≤ 29 | −17 ≤ h ≤ 17, −18 ≤ k ≤ 18, −21 ≤ l ≤ 21 | −15 ≤ h ≤ 15, −20 ≤ k ≤ 20, −28 ≤ l ≤ 28 |
| Reflections number: measured./uniq. (N1), Rint c I > 2σ(I) (N2) | 40,042/5160, 0.0285, 4918 | 70,642/23,889, 0.0395, 19391 | 80,818/13,529, 0.0335, 13221 | 46,247/8969, 0.0438, 7686 |
| Refinement | Least squares on F2 | Least squares on F2 | Least squares on F2 | Least squares on F2 |
| Variables | 333 | 1647 | 824 | 1018 |
| R1/wR2 on N1 | 0.0306/0.0775 | 0.1207/0.2777 | 0.0217/0.0553 | 0.0523/0.1266 |
| R1/wR2 on N2 | 0.0294/0.0765 | 0.1053/0.2666 | 0.0208/0.0549 | 0.0420/0.1212 |
| GOOF | 1.022 | 1.041 | 1.015 | 1.012 |
| Δρmin/Δρmax, e/Å3 | −0.35/0.54 | −1.48/3.27 | −0.26/0.22 | −0.28/0.40 |
Disclaimer/Publisher’s Note: The statements, opinions and data contained in all publications are solely those of the individual author(s) and contributor(s) and not of MDPI and/or the editor(s). MDPI and/or the editor(s) disclaim responsibility for any injury to people or property resulting from any ideas, methods, instructions or products referred to in the content. |
© 2023 by the authors. Licensee MDPI, Basel, Switzerland. This article is an open access article distributed under the terms and conditions of the Creative Commons Attribution (CC BY) license (https://creativecommons.org/licenses/by/4.0/).
Share and Cite
Bezdomnikov, A.A.; Demina, L.I.; Kuz’mina, L.G.; Kostikova, G.V.; Zhilov, V.I.; Tsivadze, A.Y. Study of Lithium-Extraction Systems Based on Benzo-15-Crown-5 Ether and Alkylimidazolium-Based Ionic Liquid. Molecules 2023, 28, 935. https://doi.org/10.3390/molecules28030935
Bezdomnikov AA, Demina LI, Kuz’mina LG, Kostikova GV, Zhilov VI, Tsivadze AY. Study of Lithium-Extraction Systems Based on Benzo-15-Crown-5 Ether and Alkylimidazolium-Based Ionic Liquid. Molecules. 2023; 28(3):935. https://doi.org/10.3390/molecules28030935
Chicago/Turabian StyleBezdomnikov, Alexey A., Liudmila I. Demina, Lyudmila G. Kuz’mina, Galina V. Kostikova, Valeriy I. Zhilov, and Aslan Yu. Tsivadze. 2023. "Study of Lithium-Extraction Systems Based on Benzo-15-Crown-5 Ether and Alkylimidazolium-Based Ionic Liquid" Molecules 28, no. 3: 935. https://doi.org/10.3390/molecules28030935
APA StyleBezdomnikov, A. A., Demina, L. I., Kuz’mina, L. G., Kostikova, G. V., Zhilov, V. I., & Tsivadze, A. Y. (2023). Study of Lithium-Extraction Systems Based on Benzo-15-Crown-5 Ether and Alkylimidazolium-Based Ionic Liquid. Molecules, 28(3), 935. https://doi.org/10.3390/molecules28030935

