Abstract
In this paper, a simple and efficient synthetic route for the preparation of new heterocyclic amino acid derivatives containing azetidine and oxetane rings was described. The starting (N-Boc-azetidin-3-ylidene)acetate was obtained from (N-Boc)azetidin-3-one by the DBU-catalysed Horner–Wadsworth–Emmons reaction, followed by aza-Michael addition with NH-heterocycles to yield the target functionalised 3-substituted 3-(acetoxymethyl)azetidines. Methyl 2-(oxetan-3-ylidene)acetate was obtained in a similar manner, which was further treated with various (N-Boc-cycloaminyl)amines to yield the target 3-substituted 3-(acetoxymethyl)oxetane compounds. The synthesis and diversification of novel heterocyclic amino acid derivatives were achieved through the Suzuki–Miyaura cross-coupling from the corresponding brominated pyrazole–azetidine hybrid with boronic acids. The structures of the novel heterocyclic compounds were confirmed via 1H-, 13C-, 15N-, and 19F-NMR spectroscopy, as well as HRMS investigations.
1. Introduction
In heterocyclic chemistry, four-membered saturated heterocycles containing one nitrogen or oxygen atom are known as azetidines and oxetanes, respectively [1,2]. The pharmacophore subunit of azetidine in aza-heterocyclic molecules is used for a wide variety of natural and synthetic products exhibiting a variety of biological activities [3,4]. For example, the azetidine subunit is a structure derived from some alkaloids from marine sources, which show relatively potent cytotoxic activity against tumour cells as well as antibacterial activity [5,6]. An azetidine ring is also present in the molecular structure of the well-known antihypertensive drug azelnidipine, which is a dihydropyridine calcium channel blocker [7,8].
Azetidine carboxylic acids are important scaffolds and building blocks for obtaining various biologically active heterocyclic compounds and peptides [9,10,11]. Specifically, L-azetidine-2-carboxylic acid is found in nature in sugar beets (Beta vulgaris) and is a gametocidal agent [12]. In addition, this amino acid is an inhibitor of collagen synthesis that is antiangiogenic [13]. Azetidine-2-carboxylic acid (I) and its 3-aryl derivatives, which are L-proline analogues, have also been widely used as building blocks to prepare small peptides (Figure 1) [14,15]. Additionally, both azetidine-3-carboxylic (II) and 3-(4-oxymethylphenyl)azetidine-3-carboxylic (III) acids, which are conformationally constrained analogues of β-proline, were employed for the preparation of endomorphin tetrapeptides IV and V, respectively [16,17]. Recently, He and Hartwig developed a simple and efficient method for 3-aryl- and 3-heteroarylazetidine-3-carboxylic acid compounds via a Pd-catalysed cross-coupling between t-butyl (N-benzylazetidine-3-yl) carboxylate and (het)aryl halides [18]. Such azetidine derivatives, including compound VI, can act as analogues of a pain medication named Meperidine VII [19].
Figure 1.
Azetidine amino acid derivatives and peptide compounds.
(Azetidin-3-yl)acetic acid VIII could be used as a structural analogue for 4-aminobutanoic acid (GABA) [9]. (3-Arylazetidin-3-yl)acetates IX and X are used for the preparation of pharmaceutically active agents, including the positive allosteric modulators of GABAA receptors [20]. Chalyk et al. developed a general method for isoxazole-containing building blocks, namely azetidine amino ester XI as a 5-aminopentanoic acid (δ-aminovaleric acid) ester analogue [21]. 5-Aminopentanoic acid is a naturally occurring amino acid and a methylene homologue of GABA [22]. Recently, we developed efficient protocols that provide easy access to highly functional heterocyclic compounds by combining heterocyclic moieties with both carboxylic ester functional groups and cycloaminyl units, such as the δ-amino esters azetidine derivatives XII and XIII [23,24].
The pharmacophoric subunit of oxetane, containing various organic compounds, has been extensively studied in medicinal chemistry [25]. This oxetane ring structure is widespread in natural products and has been found to exhibit a number of biological activities. Oxetin, i.e., 3-amino-2-oxetanecarboxylic acid XIV, was isolated from the broth of Streptomyces and has been shown to possess antibacterial and herbicidal effects (Figure 2) [26]. The oxetane subunit is a structure derived from natural or synthetic taxanes clinically used in cancer chemotherapy [27]. Notably, the oxetane nucleoside of antibiotic oxetanocin A, isolated from natural sources, inhibits the replication of the human immunodeficiency virus (HIV) [28]. 3-Aminooxetane-3-carboxylic acid XV, a structural analogue for glycine, was reported as a modulator of the N-methyl-D-aspartate (NMDA) receptor complex [29].
Figure 2.
Oxetane amino acid compounds.
Carreira et al. investigated various properties of oxetanes as substituents, leading to many useful developments, especially in the use of oxetanes as substitutes for carbonyl groups, which is of considerable interest due to their similar dipoles and H-bonding ability [30,31]. Powell et al. reported the preparation of derivatives in which the central C=O amide bond of a tripeptide was replaced by the oxetane nucleus [32]. Several reports are devoted to the synthesis and evaluation of the physicochemical and metabolic properties of δ-amino acid oxetane derivatives, such as compound XVI [33].
This study aimed to develop and synthesise new heterocyclic amino acid derivatives containing azetidine and oxetane rings. Such amino acid compounds offer valuable properties as isosteres, new conformationally restricted amino acids, and building blocks that can be used as potentially biologically active substances and peptides, as well as for the generation of DNA-encoded peptide libraries [34].
2. Results and Discussion
The strategy for the synthesis of novel heterocyclic amino acids containing azetidine rings is outlined in Scheme 1. The synthetic sequence began with methyl (N-Boc-azetidin-3-ylidene)acetate 3, prepared from azetidin-3-one 2 through the Horner–Wadsworth–Emmons (HWE) reaction. The HWE reaction is one of the most reliable and common synthetic methods for preparing substituted alkene products from aldehydes and ketones with phosphonate esters [35]. Yang et al. recently developed a simple method for the preparation of compound 3 from methyl 2-(dimethoxyphosphoryl)acetate 1 with a 60% suspension of NaH in mineral oil in dry THF, followed by the addition of azetidin-2-one 2. The reaction was then quenched with water, and the resulting aqueous solution was extracted with EtOAc and concentrated in vacuo; finally, the residue was purified via flash column chromatography [36]. We carried out a similar synthesis for 3, but this method differed in that the corresponding residue was purified through two-stage vacuum distillation in a Büchi oven (kugelrohr) [37] at a reduced pressure of 4 × 10–3 bar by first distilling the volatile fraction at 90 °C for some time (usually approximately 1 h) and then changing the collection vessel and increasing the temperature to 130 °C to produce the pure product 3 (yield 72%). This method for the preparation of compound 3 allows the purification of large quantities and works well while trying to avoid stubborn impurities such as mineral oil.
Scheme 1.
Synthesis of methyl (1-Boc-3-cycloaminylazetidin-3-yl)acetates 4a–p.
Next, having obtained α,β−unsaturated ester 3, aza-Michael addition was carried out with heterocyclic aliphatic and heterocyclic aromatic amines for the formation of heterocyclic amino acid blocks 4. Aza-Michael addition is a powerful and versatile method for constructing C–N bonds containing various highly functional organic compounds, which has remained an important challenge over the last decade [38,39]. In particular, this synthetic strategy has been applied for the preparation of NH-heterocyclic derivatives, such as azetidine, pyrrolidine, piperidine, and morpholine-saturated heterocycles [40], as well as 1H-pyrazole [41], 1H-imidazole [42], 1H-1,2,4-triazole [43], 1H-indole [44], 1H-indazole [45], 1H-benzotriazole [46], and related aromatic heterocycles. The latter compounds are widely used as important pharmacophores for pharmaceutical development [47,48]. Various methods for the aza-Michael addition reaction have been developed using a variety of promoters, such as inorganic and organic bases, proton acids, Lewis acids, and enzymes [49,50,51,52]. Aza-Michael addition greatly benefits from its mild reaction conditions, and the choice of a non-nucleophilic base 1,8-diazabicyclo[5.4.0]undec-7-ene (DBU) helps to prevent side reactions, for example, the cleavage of the ester group, which can be caused by other strong bases such as hydroxides [53,54,55]. Yeom et al. developed a convenient method for the preparation of functionalised derivatives from cyclic amines with methyl acrylate through aza-Michael reaction using a sub-stoichiometric amount of DBU as an effective promoter [56]. Xu et al. reported a reaction of 4-(7-SEM-pyrrolo[2,3-d]pyrimidin-4-yl)pyrazole with a 2-(1-(ethylsulfonyl)azetidin-3-ylidene)acetonitrile, heated to 60 °C in acetonitrile-containing DBU, thus yielding a baricitinib heterocyclic intermediate [57].
Methyl (N-Boc-azetidin-3-ylidene)acetate 3 was reacted (Scheme 1) with azetidine and DBU in the solvent acetonitrile at 65 °C for 4 h to obtain 1,3′-biazetidine 4a with a 64% yield. Compound 4a was subjected to a detailed spectral analysis. Absorption bands characteristic of the esters at 1731 (C=O, ester) and 1694 (C=O, Boc) cm−1 were observed on the IR spectrum of compound 4a. In the 1H-NMR spectrum of compound 4a, four characteristic methylene protons CH2-2,4 were observed in the regions of δ 3.69–3.86 and 3.94–4.06 ppm, which appeared significantly broadened due to the conformational dynamics of the 3,3-substituted azetidine moiety in the solvent. The second azetidine ring, containing the symmetric fragment CH2CH2CH2, showed methylene protons CH2-2′,4′ appearing as a triplet at δ 3.29 (3J = 7.2 Hz) ppm, while two protons CH2-3′ appeared as a pentet at δ 2.05 (3J = 7.2 Hz) ppm. The 1H-15N HMBC spectrum of 4a showed the characteristic resonances of the nitrogen atoms of the azetidine rings at δ −315.4 (N-1, Boc-azetidine) and −337.8 ppm (N-1′, azetidine), respectively. 3-Hydroxy-1,3′-biazetidine 4b was synthesised by analogy to 4a from 3-hydroxyazetidine by aza-Michael addition with a 62% yield. The key information for structure elucidation was also obtained from the 1H-15N HMBC spectrum. As expected, the 15N chemical shifts of the N-1 Boc-azetidine (δ −315.0 ppm) and N-1′ azetidine (δ −350.2 ppm) atoms were highly comparable to those of compound 4a. The observed chemical shifts of the azetidine derivatives were consistent with the data reported in the literature [23,24,58,59].
The reaction of 3 with pyrrolidine under these conditions resulted in compound 4c with a 61% yield, while the obtained 3,3-difluoropyrrolidine led to compound 4d with a 64% yield. Although the basicity of 3,3-difluoropyrrolidine was significantly lower (pKa 7.5) than that of pyrrolidine (pKa 11.3), it did not affect the reaction in any way [60]. 1-(Azetidin-3-yl)piperidine 4e was isolated from reaction 3 with piperidine with a 75% yield. 3-(4-Hydroxypiperidin-1-yl)azetidines 4f and 4g were formed from either 4-hydroxypiperidine or 4-hydroxy-4-phenylpiperidine through aza-Michael addition with 75% and 66% yields, respectively. 1H-15N HMBC experiments for the products 4f and 4g confirmed the proposed structures of the isomeric piperidines, as the Boc-azetidine-ring protons H-2 and H-4 showed interactions with the nitrogens N-1′ of the piperidine rings at δ –324.2 ppm and –324.8 ppm, respectively. When the 2,3-unsaturated ester 3 was used with morpholine, adduct 4h was obtained with a 73% yield after 4 h. It was observed that increasing the size of the heterocyclic aliphatic amines from a four- to a six-membered ring system did not adversely affect the reaction, and all adducts were obtained in moderate-to-good yields. A similar reaction was carried out with 2,3-dihydro-1H-isoindoline, which generated compound 4i with a 64% yield.
Furthermore, we studied the reaction of 2,3–unsaturated ester 3 with heterocyclic aromatic amines (Scheme 1). Baricitinib, a disease-modifying antirheumatic drug, contains a 3-(pyrazol-1-yl)azetidine skeleton [57]. The aza-Michael addition of 1H-pyrazole, 4-bromo-1H-pyrazole, and 3-trifluoromethyl-1H-pyrazole was carried out under the same conditions as above (DBU and solvent acetonitrile), but its duration was longer (16 h) than with heterocyclic aliphatic amines (4 h); consequently, the 3-(pyrazol-1-yl)azetidine adducts 4j, 4k, and 4l reached 83%, 82%, and 73% yields, respectively. It is worth noting that brominated pyrazoles are useful synthetic intermediates in the search for biologically active compounds that are capable of undergoing transition metal-catalysed cross-coupling reactions [61,62]. The trifluoromethyl group is present in many pharmacologically active molecules, including fluorinated pyrazoles [63,64].
In the 1H-NMR spectrum of the 3-(pyrazol-1-yl)azetidine derivative 4j, the methylene protons from the azetidine moiety appeared as two doublets resonating at δ 4.28 and 4.42 ppm (2JHa,Hb = 9.6 Hz), while the aromatic pyrazole protons showed three signals at δ 6.29–6.30 (m, 4′-H), 7.54 (d, J = 1.4 Hz, 3′-H), and 7.63 (d, J = 2.4 Hz, 5′-H) ppm. The NOEs were exhibited between the pyrazole-ring proton 5′-H and the azetidine 2(4)-Ha protons. The 13C-NMR spectrum confirmed the pyrazole moiety’s carbon signals, appearing at δ 106.0 (C-4′), 127.8 (C-5′), and 140.0 (C-3′) ppm. The 1H-15N HMBC spectrum of 4j exhibited the characteristic resonances of nitrogen atoms at δ –316.6 (azetidine N-1), –163.5 (pyrazole N-1′), and –81.2 (pyrazole N-2′) ppm.
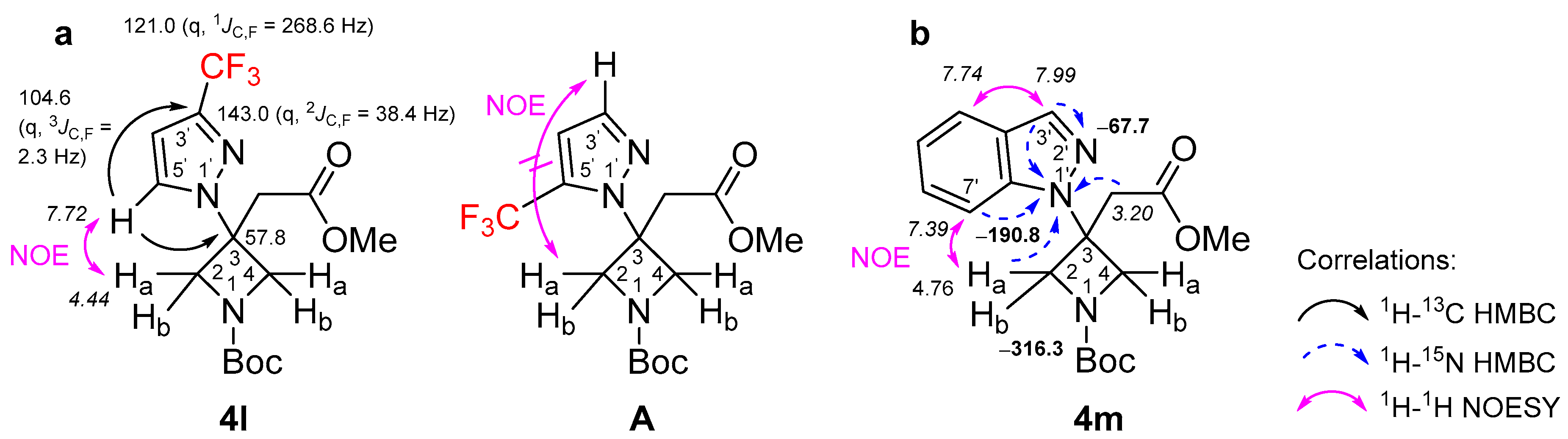
The reaction of 2,3-unsaturated ester 3 with 3-(3-trifluoromethyl)-1H-pyrazole could yield regioisomers 4l and A, but only compound 4l was obtained (Figure 3). The regiochemistry of compound 4l was confirmed with a NOESY experiment, which exhibited NOEs between the pyrazole proton 5′-H and the azetidine 2(4)-Ha protons. In the case of compound A, it would not be possible to have NOEs between the protons of the pyrazole and azetidine moieties. In addition, the 1H-13C HMBC spectrum of the molecule 4l showed a long-range correlation between the 5′-H pyrazole proton (δ 7.72 ppm) and the quaternary carbon of azetidine C-3 at δ 57.8 ppm, as well as a three-bond correlation with the quaternary carbon of pyrazole C-3′ at δ 143.0 (q, 2JCF = 38.4 Hz) ppm [65].
Figure 3.
(a) Relevant 1H-13C HMBC and 1H-1H NOESY correlations, as well as 1H-NMR (italics) and 13C-NMR chemical shifts, of the regiospecific compound consistent with the 4l structure and inconsistent with the A structure; (b) relevant 1H-15N HMBC and 1H-1H NOESY correlations, as well as 1H-NMR (italics) and 15N-NMR (bold) chemical shifts, of the regiospecific compound consistent with the 4m structure.
In principle, the use of indazole as an aza-Michael donor can result in the formation of two additional products, N-1 and N-2 adducts, because of its tautomerism. However, Jiang et al. successfully developed an efficient method for the synthesis of the desired 1-substituted 1H-indazole compound with a 52% yield through the direct aza-Michael addition of indazole to an α,β-unsaturated malonate compound using Cs2CO3 as a catalyst [66]. Recently, Yang et al. reported a synthetic approach for synthesising 1-substituted 1H-indazoles via the DBU-catalysed aza-Michael reaction of 1H-indazole with enones. This reaction produced regioselective compounds with good substrate tolerance, mild reaction conditions, and high-to-excellent yields (up to 93%) [45].
We investigated the aza-Michael reaction of indazole with methyl (N-Boc-azetidine-3-ylidene)acetate 3 for possible regioisomers. The reaction was monitored via LC/MS, and the full conversion of the starting materials was observed after 16 h. The reaction of the starting materials in DBU in the solvent acetonitrile at 65 °C led to regioisomer 4m as the sole product with a moderate 69% isolated yield. The unambiguous formation of 4m was easily deduced from 1H-15N HMBC spectral data, as it clearly showed a strong three-bond correlation between the indazole nitrogen N-1′ (δ –190.8 ppm) with indazole 3′-H (δ 7.99 ppm) and 7′-H (δ 7.39 ppm) protons and azetidine methylene CH2-2,4 (δ 4.76 ppm) protons, correspondingly. The regiochemistry of compound 4m was confirmed with a NOESY experiment, which exhibited NOEs between the pyrazole proton 7′-H and the azetidine 2(4)-Ha protons (Figure 3).
The aza-Michael addition reactions of 1H-imidazole, 1H-benzimidazole, and 1H-indole with (N-Boc-azetidin-3-ylidene)acetate 3 were also applied to produce azetidine-imidazole 4n, azetidine-benzimidazole 4o, and azetidine-indole 4p heterocyclic compounds with 53%, 56%, and 55% yields, respectively. The structures of the newly synthesised heterocyclic compounds 4n–p were described and confirmed via NMR spectroscopy (Supporting Information in Figures S56–S67).
Furthermore, we investigated the coupling of triazole aromatic amines, 1,2,4-triazole and 1,2,3-benzotriazole, with precursor 3 (Scheme 2). In the case of the unsubstituted 1,2,4-triazole, two tautomeric forms containing an NH moiety are possible. Bulger et al. reported the alkylation of 1,2,4-triazole with alkyl halides and DBU as a base and THF as a solvent, which afforded alkylated N-1 and N-4 isomers with a consistent regioselectivity of about 90:10 [67]. However, Behn′s group reported a DBU- or alkali-salt-catalysed aza-Michael reaction of 1,2,4-triazole with α,β-unsaturated ketones, regioselectively producing only 1-substituted 1,2,4-triazoles as the N-1 adducts [68].
Scheme 2.
Synthesis of compounds 4q, 4r, and 4s through the aza-Michael reactions.
In the present work, the treatment of 1,2,4-triazole with α,β-unsaturated ester 3 was carried out in acetonitrile in the presence of DBU to generate compound 4q as a single product but with a low percentage yield of 46% (Table 1, Entry 1). Therefore, the reaction conditions were optimised. It was found that the target product 4q was not formed in the absence of a catalyst (Entry 2). Some salts such as LiF and LiCl did not affect the reaction (Entries 3,4). However, inorganic bases such as Cs2CO3, KOAc and K3PO4 produced 4q with a moderate yield (Entries 5–7). The highest yield of 4q was obtained in the presence of K2CO3 in acetonitrile (Entry 8). Additionally, the effect of the solvents on the reaction was evaluated (Entries 9–11). Ethanol proved to be less effective on the assessed reaction with a final yield of only 44%. Although 1,4-dioxane achieved a 60% product yield and proved to be efficient, MeCN was still better, reaching a 65% yield for the same reaction.
Table 1.
Optimisation of reaction conditions of compound 4q.
The regiochemistry of compound 4q was confirmed with a NOESY experiment, which exhibited NOEs between the azetidine protons 2(4)-Ha at δ 4.43 ppm and the 1,2,4-triazole proton 5-H at δ 8.33 ppm. The 1H-15N HMBC experiment revealed the corresponding three-bond connectivities of azetidine methylene CH2-2,4 and acetate methylene CH2 protons with the 1,2,4-triazole nitrogen N-1 (pyrrole-type) at δ –156.5 ppm (Figure 4a).
Figure 4.
(a–c) Relevant 1H-15N HMBC and 1H-1H NOESY correlations, as well as 1H-NMR (italics) and 15N-NMR (bold) chemical shifts, of the regiospecific compounds 4q–s.
The aza-Michael reaction of benzotriazole with methyl acrylate was reported to form N-1 and N-2 adducts in a mixture of benzotriazol-1-yl-propionic and benzotriazol-2-yl-propionic acid methyl esters by using anhydrous potassium phosphate (K3PO4) as a catalyst [54], while the 1,4-conjugated aza-Michael addition of benzotriazole to dienones catalysed by potassium acetate (KOAc) yielded only the corresponding N-1 isomer [56]. Recently, Chen et al. reported an efficient, regio- and enantioselective aza-Michael reaction for the synthesis of the N-1 isomers from benzotriazole with α-substituted β-nitroacrylates catalysed by a chiral organocatalyst [49].
In our work, the reaction of 1,2,3-benzotriazole with α,β-unsaturated ester 3 in acetonitrile in the presence of K2CO3 led to the formation of a mixture of regioisomers 4r and 4s in a ratio of approximately 4:3, with a total yield of 76%. Discrimination between the regioisomeric N-1 and N-2 adducts 4r and 4s was based on the data from 1H-15N HMBC and 1H-1H NOESY experiments. The unambiguous formation of regioisomer 4r was easily deduced with a NOESY experiment, which exhibited NOEs between the 1H-1,2,3-benzotriazole-ring proton 7-H and the azetidine 2(4)-Ha protons. The 1H-15N HMBC experiment on the asymmetric 1H-1,2,3-benzotriazole fragment of compound 4r revealed the chemical shifts of the pyrrole-type nitrogen N-1 (δ –148.6 ppm) and the pyridine-type nitrogens N-2 and N-3 (δ –7.0 and –42.0 ppm, respectively) (Figure 4b). The second regioisomer, 4s, containing a symmetrical 2H-1,2,3-benzotriazole fragment, was easily assigned from appropriate correlations in the 1H-15N HMBC spectrum between the equivalent H-4 and H-7 aromatic protons (δ 7.40 ppm) and equivalent N-1 and N-3 nitrogen atoms (δ –69.1 ppm) (Figure 4c).
One of the most effective methods for the structural diversification of aromatic and heterocyclic building blocks is functionalisation through Pd-catalysed Suzuki–Miyaura cross-coupling reactions [69]. With compound 4k containing a 4-bromopyrazole moiety in hand, we further investigated Pd-catalysed coupling with organoboronic acids (Scheme 3). Several coupling systems were evaluated, namely Pd(dba)2–K3PO4 in DCM [70], Pd(OAc)2–Cs2CO3 in EtOH/H2O [71], Pd(PPh3)4–K2CO3 in toluene/MeOH [72], and Pd(PPh3)4–K3PO4 in 1,4-dioxane [73]. The best Suzuki–Miyaura cross-coupling result was achieved using Pd(PPh3)4 as a catalyst, using K3PO4 as a base, and performing the reaction at 100 °C in 1,4-dioxane [24]. Under these conditions, the target product 5a was obtained with an excellent (94%) yield. Compounds 5b–f were obtained from the aforementioned compound 4k with methylphenyl- and methoxyphenyl-boronic acids through Pd-catalysed coupling with the same reagents under analogous conditions as those used for compound 5a. Target products 5b–e were achieved with moderate yields of 70–80%, while the target product 5f was obtained with a low yield (29%). Methoxyphenylboronic acids with a substituent in the ortho position reacted less efficiently than those with a substituent in the meta and/or para position. Target compounds 5g and 5h, containing fluoro and chloro moieties, were obtained with fair yields of 63% and 53%, respectively. Compound 4k was reacted with pyridinyl- and thienylboronic acid, generating products 5i–m with 37–64% yields.
Scheme 3.
Synthesis of compounds 5a–n via Suzuki–Miyaura cross-coupling reactions.
Next, we explored the Suzuki–Miyaura cross-coupling reaction with cyclopropylboronic acid (Scheme 3). The cyclopropyl group is an increasingly common structural motif in pharmaceutically active molecules [74]. The synthesis of compound 5n was carried out with cyclopropylboronic acid under the same reaction conditions as described above, using the Pd(PPh3)4–K3PO4 system and refluxing the reaction in 1,4-dioxane, but the desired product was not obtained. Wallace et al. demonstrated a synthetic approach where aryl bromides reacted with cyclopropylboronic acid in a Pd(PPh3)4–K3PO4 system in toluene [75]. Changing the solvent to toluene had a significant effect on the reaction and, finally, the target product 5n was obtained, but only with a 31% yield; however, the cross-coupling reaction in the P(cHex)3–Pd(OAc)2–K3PO4 system in toluene afforded compound 5n with a sufficient (64%) yield [76].
The structures of synthesised compounds 5a–n were confirmed using NMR spectroscopic methods. For example, in the 1H-NMR spectrum of compound 5a, two proton singlets from the pyrazole ring were exhibited at δ 7.81 (5-H) and 7.74 (3-H) ppm, while five protons of the phenyl ring appeared at δ 7.17–7.41 ppm. The azetidine-ring signals of the diastereotopic methylene protons were observed as two doublets at δ 4.24 and 4.40 ppm (2JHa,Hb = 9.6 Hz). In the 1H-NMR spectrum of compounds 5b and 5c, the characteristic methyl protons from the methylphenyl moiety appeared in the regions of δ 2.28 and 2.31 ppm, respectively, while the methyl protons from the methoxyphenyl moiety in compounds 5d–5f appeared in the region of δ 3.75–3.84 ppm. The 1H-NMR spectroscopic data for the methoxy-substituted derivatives 5d–5f showed an evident effect of this group on the chemical shift of the aromatic protons [77]. For example, in the case of compound 5d, the aromatic protons (3-H, 5-H) located at the ortho position to the 4-methoxy group were observed upfield (δ 6.83 ppm, d, J = 8.8 Hz), whereas the protons located at the meta position (2-H, 6-H) were observed downfield (δ 7.32 ppm, d, J = 8.8 Hz). 15N-NMR spectroscopic data for the methoxy-substituted derivative 5k showed a significant effect on the 15N chemical shift of the pyridin-3-yl moiety (δ –116.0 ppm), which was greatly shifted upfield compared with 5j (δ –69.5 ppm).
The 1H-NMR spectrum of compound 5n showed characteristic resonances for the cyclopropyl moiety, where the methylene protons appeared as multiplets at δ 0.41–0.45 and 0.74–0.78 ppm, and the methine proton appeared as a multiplet at δ 1.58–1.62 ppm. A comparison between the DEPT-90, DEPT-135, and 13C-NMR spectra of compound 5n clearly indicated the characteristic signals of the cyclopropyl-ring skeleton carbons, namely the methine carbon C-1′ (δ 5.3 ppm) and methylene carbons C-2′ and C-3′ (δ 7.6 ppm) [78].
Following the successful completion of the aza-Michael addition reactions resulting in amino acid-like blocks containing an azetidine core, we explored another four-membered heterocycle: oxetane. The target oxetane compounds were synthesised as depicted in Scheme 4. The starting oxetan-3-one 6 was used in the Horner–Wadsworth–Emmons reaction with methyl-2-(dimethoxyphosphoryl)acetate 1 to obtain methyl (oxetan-3-ylidene)acetate 7 with a 73% yield according to a procedure similar to that described in the patent literature [79]. With compound 7 in our hands, compound 8a was easily synthesised from 3-N-Boc-aminoazetidine hydrochloride with a 71% yield. The reaction was carried out at 45 °C for 24 h in acetonitrile in the presence of DBU.
Scheme 4.
Synthesis of methyl{3-[3-(Boc-amino)azetidin-1-yl]oxetan-3-yl}acetates 8a–g.
The structure of compound 8a was confirmed through spectral investigations. The IR spectrum of compound 8a revealed a N–H stretching vibration band at 3314 cm−1 and a C=O stretching vibration band at 1719 cm−1 (CH2C=O and Boc groups). The 1H-NMR spectrum of compound 8a showed characteristic resonance for the Boc-group methyl protons as a singlet at δ 1.44 ppm, and the ester CH3O protons appeared as a singlet that overlapped with the protons of the azetidine moiety at δ 3.64–3.71 ppm. The signals of the oxetane ring for the diastereotopic protons of both methylene groups (CH2-2,4) were observed as two doublets at δ 4.57 and 4.71 ppm (2JHa,Hb = 7.2 Hz). Both methylene protons (C′H2-2,4) of the azetidine ring showed signals in the form of broadened multiplets in the region of δ 3.11–3.24 and 3.64–3.71 ppm, and the methine proton (C′H-3) appeared as a multiplet in the region of δ 4.10–4.35 ppm. A relatively broad peak of the NH proton was observed at δ 4.98–5.06 ppm. The 1H-15N HSQC experiment indicated that the aforementioned proton had one-bond connectivity with the nitrogen NH-Boc at δ –288.5 ppm, while the oxetane-ring protons showed a 1H-15N HMBC correlation with azetidine nitrogen at δ –348.4 ppm. The 13C-NMR spectrum of 8a revealed the characteristic signals of the oxetane-ring skeleton carbons at δ 76.0 (C-2,4) and 61.7 (C-3) ppm, while the azetidine-ring skeleton carbons resonated at δ 55.7 (C′-2,4) and 40.7 (C′-3) ppm.
In addition, compounds 8b–e were obtained from 2,3-unsaturated ester 7 with saturated chiral cyclic amines—namely, (S)- and (R)-3-(Boc-amino)pyrrolidines, and (S)- and (R)-3-(Boc-amino)piperidines. The synthesised compounds 8b–e exhibited optical activity, and the corresponding (S)- or (R)-enantiomers rotated the plane of plane-polarised light in opposite directions.
Finally, the aza-Michael addition of methyl (oxetan-3-ylidene)acetate 7 with 4-(Boc-amino)- and 4-(Boc-aminomethyl)piperidines was carried out under the same conditions as above, and adducts 8f and 8g reached 58% and 55% yields, respectively. The structures of the newly synthesised oxetane derivatives 8b–g were described and confirmed via NMR spectroscopy (Supporting Information in Figures S136–S159).
3. Materials and Methods
3.1. General Information
All starting materials were purchased from commercial suppliers and were used as received. Flash column chromatography was performed on Silica Gel 60 Å (Merck KGaA, Darmstadt, Germany). Vacuum distillation was performed in a Büchi Model B580 GKR oven (Büchi Labortechnik AG, Flawil, Switzerland). Thin-layer chromatography was carried out on Silica Gel plates (Merck Kieselgel 60 F254) and visualised by UV light (254 nm) (Merck KGaA, Darmstadt, Germany). Melting points were determined using a Büchi M-565 melting point apparatus (Büchi Labortechnik AG, Flawil, Switzerland) and were uncorrected. The IR spectra were recorded on a Bruker Vertex 70v FT-IR spectrometer (Bruker Optik GmbH, Ettlingen, Germany) using neat samples and are reported in the frequency of absorption (cm–1). Mass spectra were obtained using a Shimadzu LCMS-2020 (ESI+) spectrometer (Shimadzu Corporation, Kyoto, Japan). High-resolution mass spectra were measured using a Bruker MicrOTOF-Q III (ESI+) apparatus (Bruker Daltonik GmbH, Bremen, Germany). Accurate measurements were achieved using the internal mass calibration of each sample using sodium formate calibration solution as a standard procedure, with a standard deviation always less than 1 ppm [80]. In addition, all data files were recalibrated with an internal standard of sodium formate injected prior to initial sample elution for each sample. Optical rotation data were recorded on a UniPol L SCHMIDT+HAENSCH polarimeter (concentration of compound (g/100 mL) and were included in calculations automatically (Windaus-Labortechnik GmbH & Co. KG, Clausthal-Zellerfeld, Germany). 1H-NMR and 13C-NMR spectra were recorded from CDCl3 solutions at 25 °C on a Bruker Avance III 400 instrument (400 MHz for 1H, 100 MHz for 13C) using a directly detecting BBO probe (Bruker BioSpinInternational AG, Faellanden, Switzerland) and a Bruker Avance III 700 instrument (700 MHz for 1H, 176 MHz for 13C) equipped with a 5 mm TCI 1H-13C/15N/D z-gradient cryoprobe (Bruker BioSpin GmbH, Rheinstetten, Germany). 19F-NMR spectra (376.46 MHz, absolute referencing via Ξ ratio) were obtained on a Bruker Avance III 400 instrument with a ′directly′ detecting broadband observe probe (BBO). 15N-NMR spectra were recorded from CDCl3 solutions at 25 °C on either a Bruker Avance III 400 instrument (40 MHz for 15N) using a directly detecting BBO probe or on a Bruker Avance III 700 instrument (71 MHz for 15N). The chemical shifts (δ), expressed in ppm, were relative to tetramethylsilane (TMS). 15N-NMR spectra were referenced against neat external nitromethane (coaxial capillary). The following abbreviations were used in reporting the NMR data: Az, azetidine; Cpr, cyclopropane; i-Ind, iso-Indoline; Morph, morpholine; Ox, oxetane; Pip, piperidine; Ph, phenyl; Pyr, pyridine; Pyrr, pyrrolidine; Prz, pyrazole; Idz, indazole; Imid, imidazole; Bim, benzimidazole; Ind, indole; Btz, benzotriazole; Trz, triazole; Thio, thiophene.
3.2. Synthetic Procedures
3.2.1. tert-Butyl 3-(2-methoxy-2-oxoethylidene)azetidine-1-carboxylate (3)
Neat methyl 2-(dimethoxyphosphoryl)acetate 1 (13.8 g, 76 mmol) was added to a suspension of NaH (60% dispersion in mineral oil) (3.12 g, 78 mmol) in dry THF (250 mL). After 30 min, a solution of 1-Boc-3-azetidinone 2 (13.0 g, 76 mmol) in dry THF (50 mL) was added, and the resulting mixture was stirred for 1 h. The reaction was quenched by the addition of water (250 mL). The organic layer was separated, and the aqueous one was extracted with ethyl acetate (3 × 150 mL). The combined organic solutions were dried over anhydr. Na2SO4, and then the solvents were removed under reduced pressure. Purification was conducted at 130 °C and 4 × 10−3 bar pressure via distillation in vacuo to give 3 (12.44 g, 72%) as a colorless oil. IR (νmax, cm−1): 2968, 1720 (C=O), 1701 (C=O). 1H NMR (700 MHz, CDCl3): δH ppm 1.39 (s, 9H, C(CH3)3), 3.66 (s, 3H, OCH3), 4.52–4.54 (m, 2H, Az 2,4-Hb), 4.74–4.76 (m, 2H, Az 2,4-Ha), 5.72–5.73 (m, 1H, CHCO). 13C NMR (176 MHz, CDCl3): δC ppm 28.3 (C(CH3)3), 51.5 (COOCH3), 57.9 and 60.3 (Az C-2,4), 80.1 (C(CH3)3), 113.3 (CHCOOCH3), 153.1 (Az C-3), 156.2 (COOC(CH3)3), 165.7 (COOCH3). The HRMS (ESI+) for C11H17NNaO4 ([M+Na]+) was calcd. as 250.1051 and found to be 250.1050.
3.2.2. General Procedure for Compounds 4a–p
An appropriate N-heterocyclic compound (5.2 mmol), DBU (0.79 g, 5.2 mmol), and tert-butyl 3-(2-methoxy-2-oxoethylidene)azetidine-1-carboxylate 3 (1.18 g, 5.2 mmol) were dissolved in acetonitrile (3.6 mL) and stirred at 65 °C for 4–16 h. The reaction was quenched by the addition of water (15 mL) and extracted with ethyl acetate (3 × 10 mL). The combined organic solutions were dried over anhydr. Na2SO4, and then the solvents were removed under reduced pressure. Purification was conducted via flash chromatography.
tert-Butyl 3′-(2-methoxy-2-oxoethyl)[1,3′-biazetidine]-1′-carboxylate (4a)
The sample was prepared from 3 (1.18 g, 5.2 mmol), azetidine hydrochloride (0.49 g, 5.2 mmol), and DBU (0.79 g, 5.2 mmol). The reaction was time 4 h. The obtained residue was purified by flash chromatography (eluent n-hexane/ethyl acetate, v/v, 4:1) to give 4a (0.95 g, 64%) as a white solid, mp 79.3–80.4 °C (ethyl acetate). IR (νmax, cm−1): 1731 (C=O), 1694 (C=O). 1H-NMR (700 MHz, CDCl3): δH ppm 1.45 (s, 9H, C(CH3)3), 2.05 (p, J = 7.2 Hz, 2H, Az′ 3-H), 2.55 (s, 2H, CH2CO), 3.29 (t, J = 7.2 Hz, 4H, Az′ 2,4-H), 3.69 (s, 3H, COOCH3), 3.69–3.86 (m, 2H, Az 2,4-Hb), 3.94–4.06 (m, 2H, Az 2,4-Ha). 13C-NMR (176 MHz, CDCl3): δC ppm 16.0 (Az′ C-3), 28.4 (C(CH3)3), 40.5 (CH2COOCH3), 48.2 (Az′ C-2,4), 51.7 (COOCH3), 52.6–54.1 (Az C-2,4), 57.1 (Az C-3), 79.6 (C(CH3)3), 156.3 (COOC(CH3)3), 171.0 (COOCH3). 15N-NMR (71 MHz, CDCl3): δN ppm –337.8 (Az), –315.4 (Boc-Az). The HRMS (ESI+) for C14H25N2O4 ([M+H]+) was calcd. as 285.1809 and found to be 285.1809.
tert-Butyl 3-hydroxy-3′-(2-methoxy-2-oxoethyl)[1,3′-biazetidine]-1′-carboxylate (4b)
The sample was prepared from 3 (1.18 g, 5.2 mmol), 3-hydroxyazetidine hydrochloride (0.57 g, 5.2 mmol), and DBU (0.79 g, 5.2 mmol). The reaction time 4 h. The obtained residue was purified by flash chromatography (eluent n-hexane/ethyl acetate, v/v, 4:1) to give 4b (0.97 g, 62%) as a colorless oil. IR (νmax, cm−1): 3406 (O-H), 1738 (C=O), 1698 (C=O). 1H-NMR (700 MHz, CDCl3): δH ppm 1.45 (s, 9H, C(CH3)3), 2.58 (s, 2H, CH2CO), 3.08–3.15 (m, 2H, Az′ 2,4-H), 3.41–3.48 (m, 1H, OH), 3.58–3.61 (m, 2H, Az′ 2,4-H) 3.68 (s, 3H, COOCH3), 3.74–3.89 (m, 2H, Az 2,4-Hb), 3.93–4.05 (m, 2H, Az 2,4-Ha), 4.43 (p, J = 5.9 Hz, 1H, Az′ 3-H). 13C-NMR (176 MHz, CDCl3): δC ppm 28.4 (C(CH3)3), 40.7 (CH2COOCH3), 51.7 (COOCH3), 53.0–54.5 (Az C-2,4), 56.9 (Az C-3), 57.7 (Az′ C-2,4), 61.1 (Az′ C-3), 79.9 (C(CH3)3), 156.3 (COOC(CH3)3), 170.9 (COOCH3). 15N-NMR (71 MHz, CDCl3): δN ppm –350.2 (Az), –315.0 (Boc-Az). The HRMS (ESI+) for C14H24N2NaO5 ([M+Na]+) was calcd. as 323.1577 and found to be 323.1580.
tert-Butyl 3-(2-methoxy-2-oxoethyl)-3-(pyrrolidin-1-yl)azetidine-1-carboxylate (4c)
The sample was prepared from 3 (1.18 g, 5.2 mmol), pyrrolidine (0.37 g, 5.2 mmol), and DBU (0.79 g, 5.2 mmol). The reaction time was 4 h. The obtained residue was purified by flash chromatography (eluent n-hexane/ethyl acetate, v/v, 4:1) to give 4c (0.95 g, 61%) as a yellowish oil. IR (νmax, cm−1): 1737 (C=O), 1698 (C=O). 1H-NMR (700 MHz, CDCl3): δH ppm 1.37 (s, 9H, C(CH3)3), 1.69–1.73 (m, 4H, Pyrr 2 × CH2), 2.58–2.64 (m, 4H, Pyrr 2 × CH2), 2.67 (s, 2H, CH2CO), 3.61 (s, 3H, OCH3), 3.71–3.84 (m, 2H, Az 2,4-Hb), 3.94 (d, J = 9.2 Hz, 2H, Az 2,4-Ha). 13C-NMR (176 MHz, CDCl3): δC ppm 24.0 (Pyrr 2 × CH2), 28.4 (C(CH3)3), 41.3 (CH2COOCH3), 46.7 (Pyrr 2 × CH2), 51.7 (COOCH3), 54.9–56.6 (Az C-2,4), 56.7 (Az C-3), 79.5 (C(CH3)3), 156.3 (COOC(CH3)3), 171.4 (COOCH3). The HRMS (ESI+) for C15H27N2O4 ([M+H]+) was calcd. as 299.1965 and found to be 299.1965.
tert-Butyl 3-(3,3-difluoropyrrolidin-1-yl)-3-(2-methoxy-2-oxoethyl)azetidine-1-carboxylate (4d)
The sample was prepared from 3 (1.18 g, 5.2 mmol), 3,3-difluoropyrrolidine (0.56 g, 5.2 mmol), and DBU (0.79 g, 5.2 mmol). The reaction time was 4 h. The obtained residue was purified by flash chromatography (eluent n-hexane/ethyl acetate, v/v, 4:1) to give 4d (1.11 g, 64%) as a yellowish oil. IR (νmax, cm−1): 1738 (C=O), 1698 (C=O), 1392, 1367, 1147, 1112. 1H-NMR (700 MHz, CDCl3): δH ppm 1.45 (s, 9H, C(CH3)3), 2.26 (tt, J = 14.3, 6.8 Hz, 2H, Pyrr CH2), 2.73 (s, 2H, CH2CO), 2.91 (t, J = 6.9 Hz, 2H, Pyrr CH2), 3.09 (t, J = 13.7 Hz, 2H, Pyrr CH2), 3.69 (s, 3H, OCH3), 3.85–3.91 (m, 2H, Az 2,4-Hb), 3.98 (d, J = 9.5 Hz, 2H, Az 2,4-Ha). 13C-NMR (176 MHz, CDCl3): δC ppm 28.3 (C(CH3)3), 35.2 (t, J = 24.1 Hz) (Pyrr C-4), 40.9 (CH2COOCH3), 45.2 (t, J = 3.6 Hz) (Pyrr C-5), 51.8 (COOCH3), 55.4 (t, J = 30.1 Hz) (Pyrr C-2), 54.5–55.8 (Az C-2,4), 56.4 (Az C-3), 79.9 (C(CH3)3), 129.1 (t, J = 247.8 Hz) (Pyrr C-3), 156.2 (COOC(CH3)3), 170.7 (COOCH3). 19F-NMR (376 MHz, CDCl3): δF ppm from –93.8 to –94.1 (m). The HRMS (ESI+) for C15H25F2N2O4 ([M+H]+) was calcd. as 335.1777 and found to be 335.1777.
tert-Butyl 3-(2-methoxy-2-oxoethyl)-3-(piperidin-1-yl)azetidine-1-carboxylate (4e)
The sample was prepared from 3 (1.18 g, 5.2 mmol), piperidine (0.44 g, 5.2 mmol), and DBU (0.79 g, 5.2 mmol). The reaction time was 4 h. The obtained residue was purified by flash chromatography (eluent n-hexane/ethyl acetate, v/v, 4:1) to give 4e (1.22 g, 75%) as a colorless oil. IR (νmax, cm−1): 1733 (C=O), 1696 (C=O). 1H-NMR (400 MHz, CDCl3): δH ppm 1.32–1.39 (m, 11H, C(CH3)3, Pip CH2), 1.45–1.51 (m, 4H, Pip 2 × CH2), 2.27–2.29 (m, 4H, Pip 2 × CH2), 2.54 (s, 2H, CH2CO), 3.61 (s, 3H, COOCH3), 3.68 (d, J = 8.4 Hz, 2H, Az 2,4-Hb), 3.78–3.88 (m, 2H, Az 2,4-Ha). 13C-NMR (101 MHz, CDCl3) δC ppm 24.4 (Pip CH2), 26.2 (Pip 2 × CH2), 28.4 (C(CH3)3), 34.8 (CH2COOCH3), 46.5 (Pip 2 × CH2), 51.8 (COOCH3), 57.9 (Az C-3), 57.3–58.2 (Az C-2,4), 79.3 (C(CH3)3), 156.4 (COOC(CH3)3), 172.2 (COOCH3). The HRMS (ESI+) for C16H29N2O4 ([M+H]+) was calcd. as 313.2121 and found to be 313.2121.
tert-Butyl 3-(4-hydroxypiperidin-1-yl)-3-(2-methoxy-2-oxoethyl)azetidine-1-carboxylate (4f)
The sample was prepared from 3 (1.18 g, 5.2 mmol), 4-hydroxypiperidine (0.53 g, 5.2 mmol), and DBU (0.79 g, 5.2 mmol). The reaction time was 6 h. The obtained residue was purified by flash chromatography (eluent n-hexane/ethyl acetate, v/v, 2:1) to give 4f (1.28 g, 75%) as a slightly yellow solid, mp 71.4–72.9 °C (ethyl acetate). IR (νmax, cm−1): 3429 (O-H), 1731 (C=O), 1680 (C=O). 1H-NMR (700 MHz, CDCl3): δH ppm 1.44 (s, 9H, C(CH3)3), 1.55 (dtd, J = 12.7, 9.0, 2.8 Hz, 2H, Pip CH2), 1.87–1.90 (m, 2H, Pip CH2), 2.22 (ddd, J = 11.9, 9.2, 3.0 Hz, 2H, Pip CH2), 2.63–2.66 (m, 4H, Pip CH2, CH2CO), 3.68 (s, 3H, OCH3), 3.78 (d, J = 8.5 Hz, 2H, Az 2,4-Hb), 3.86–4.98 (m, 2H, Az 2,4-Ha). 13C-NMR (176 MHz, CDCl3): δC ppm 28.4 (C(CH3)3), 34.6 (Pip 2 × CH2), 35.1 (Pip 2 × CH2), 43.0 (CH2COOCH3), 51.9 (COOCH3), 57.6 (Az C-3), 57.2–58.3 (Az C-2,4), 67.6 (Pip CHOH), 79.5 (C(CH3)3), 156.4 (COOC(CH3)3), 172.0 (COOCH3). 15N-NMR (71 MHz, CDCl3): δN –324.2 (Pip), –317.0 (Az). The HRMS (ESI+) for C16H29N2O5 ([M+H]+) was calcd. as 329.2071 and found to be 329.2071.
tert-Butyl 3-(4-hydroxy-4-phenylpiperidin-1-yl)-3-(2-methoxy-2-oxoethyl)azetidine-1-carboxylate (4g)
The sample was prepared from 3 (1.18 g, 5.2 mmol), 4-hydroxy-4-phenylpiperidine (0.92 g, 5.2 mmol), and DBU (0.79 g, 5.2 mmol). The reaction time was 6 h. The obtained residue was purified by flash chromatography (eluent n-hexane/ethyl acetate, v/v, 2:1) to give 4g (1.39 g, 66%) as a white solid, mp 143.1–144.2 °C (ethyl acetate). IR (ν max, cm−1): 3391 (O-H), 1728 (C=O), 1672 (C=O). 1H-NMR (700 MHz, CDCl3): δH ppm 1.44 (s, 9H, C(CH3)3), 1.76 (d, J = 12.7 Hz, 2H, Pip CH2), 2.09 (t, J = 10.5 Hz, 2H, Pip CH2), 2.59–2.65 (m, 4H, Pip 2 × CH2), 2.70 (s, 2H, CH2CO), 3.70 (s, 3H, OCH3), 3.83 (d, J = 8.5 Hz, 2H, Az 2,4-Hb), 3.89–4.02 (m, 2H, Az 2,4-Ha), 7.26–7.28 (m, 1H, Ph CH), 7.36 (t, J = 7.7 Hz, 2H, Ph 2 × CH), 7.47–7.52 (m, 2H, Ph 2 × CH). 13C-NMR (176 MHz, CDCl3): δC ppm 28.4 (C(CH3)3), 35.0 (Pip 2 × CH2), 38.8 (Pip 2 × CH2), 41.7 (CH2COOCH3), 51.9 (COOCH3), 57.8 (Az C-3), 57.2–58.2 (Az C-2,4), 71.3 (Pip CH2COH(Ph)), 79.5 (C(CH3)3), 124.5 (Ph 2 × CH), 127.1 (Ph CH), 128.4 (Ph 2 × CH), 148.2 (Ph C), 156.4 (COOC(CH3)3), 172.1 (COOCH3). 15N-NMR (71 MHz, CDCl3): δN ppm –324.8 (Pip), –316.9 (Az). The HRMS (ESI+) for C22H33N2O5 ([M+H]+) was calcd. as 405.2384 and found to be 405.2384.
tert-Butyl 3-(2-methoxy-2-oxoethyl)-3-(morpholin-4-yl)azetidine-1-carboxylate (4h)
The sample was prepared from 3 (1.18 g, 5.2 mmol), morpholine (0.45 g, 5.2 mmol), and DBU (0.79 g, 5.2 mmol). The reaction time was 6 h. The obtained residue was purified by flash chromatography (eluent n-hexane/ethyl acetate, v/v, 2:1) to give 4h (1.19 g, 73%) as a clear oil. IR (νmax, cm−1): 1733 (C=O), 1697 (C=O). 1H-NMR (700 MHz, CDCl3): δH ppm 1.37 (s, 9H, C(CH3)3), 2.38–2.45 (m, 4H, Morph 2 × CH2), 2.60 (s, 2H, CH2CO), 3.57–3.67 (m, 7H, OCH3, Morph 2 × CH2), 3.75–3.90 (m, 4H, Az 2,4-H). 13C-NMR (176 MHz, CDCl3): δC ppm 28.3 (C(CH3)3), 35.8 (CH2COOCH3), 46.0 (Morph 2 × CH2), 51.8 (COOCH3), 56.2–57.3 (Az C-2,4), 57.5 (Az C-3), 67.2 (Morph 2 × CH2), 79.6 (C(CH3)3), 156.4 (COOC(CH3)3), 171.6 (COOCH3). The HRMS (ESI+) for C15H26N2NaO5 ([M+Na]+) was calcd. as 337.1734 and found to be 337.1734.
tert-Butyl 3-(1,3-dihydro-2H-isoindol-2-yl)-3-(2-methoxy-2-oxoethyl)azetidine-1-carboxylate (4i)
The sample was prepared from 3 (1.18 g, 5.2 mmol), isoindoline hydrochloride (0.53 g, 5.2 mmol), and DBU (0.79 g, 5.2 mmol). The reaction time was 6 h. The obtained residue was purified by flash chromatography (eluent n-hexane/ethyl acetate, v/v, 2:1) to give 4i (1.15 g, 64%) as a white solid, mp 102.1–102.9 °C (ethyl acetate). The yield was 64%. IR (νmax, cm−1): 1729 (C=O), 1692 (C=O). 1H-NMR (700 MHz, CDCl3): δH ppm 1.45 (s, 9H, C(CH3)3), 2.85 (s, 2H, CH2CO), 3.67 (s, 3H, CH3), 3.95–4.03 (m, 2H, Az 2,4-H), 4.14–4.21 (m, 6H, Az 2,4-H, i-Ind 2 × CH2), 7.18–7.23 (m, 4H, i-Ind 4 × CH). 13C-NMR (176 MHz, CDCl3): δC ppm 28.4 (C(CH3)3), 42.2 (CH2COOCH3), 51.8 (COOCH3), 53.2 (i-Ind 2 × CH2), 55.2–56.5 (Az C-2,4), 57.2 (Az C-3), 79.7 (C(CH3)3), 122.5 (i-Ind 2 × CH), 127.0 (i-Ind 2 × CH), 138.9 (i-Ind 2 × CH), 156.2 (COOC(CH3)3), 171.0 (COOCH3). The HRMS (ESI+) for C19H27N2O4 ([M+H]+) was calcd. as 347.1965 and found to be 347.1965.
tert-Butyl 3-(2-methoxy-2-oxoethyl)-3-(1H-pyrazol-1-yl)azetidine-1-carboxylate (4j)
The sample was prepared from 3 (1.18 g, 5.2 mmol), pyrazole (0.35 g, 5.2 mmol), and DBU (0.79 g, 5.2 mmol). The reaction time was 16 h. The obtained residue was purified by flash chromatography (eluent n-hexane/ethyl acetate, v/v, 4:1) to give 4j (1.27 g, 83%) as a colorless oil. IR (νmax, cm−1): 1731 (C=O), 1692 (C=O). 1H-NMR (700 MHz, CDCl3): δH ppm 1.45 (s, 9H, C(CH3)3), 3.23 (s, 2H, CH2CO), 3.61 (s, 3H, COOCH3), 4.28 (d, J = 9.6 Hz, 2H, Az 2,4-Hb), 4.42 (d, J = 9.6 Hz, 2H, Az 2,4-Ha), 6.29–6.30 (m, 1H, Prz CH), 7.54 (d, J = 1.4 Hz, 1H, Prz CH), 7.63 (d, J = 2.4 Hz, 1H, Prz CH). 13C-NMR (176 MHz, CDCl3): δC ppm 28.3 (C(CH3)3), 42.2 (CH2COOCH3), 51.9 (COOCH3), 56.9 (Az C-3), 59.8 (Az C-2,4), 80.3 (C(CH3)3), 106.0 (Prz CH), 127.8 (Prz CH), 140.0 (Prz CH), 156.1 (COOC(CH3)3), 169.9 (COOCH3). 15N-NMR (71 MHz, CDCl3): δN ppm –316.6 (Az), –163.5 (Prz N-2), –81.2 (Prz N-1). The HRMS (ESI+) for C14H21N3NaO4 ([M+Na]+) was calcd. as 318.1424 and found to be 386.1424.
tert-Butyl 3-(4-bromo-1H-pyrazol-1-yl)-3-(2-methoxy-2-oxoethyl)azetidine-1-carboxylate (4k)
The sample was prepared from 3 (1.18 g, 5.2 mmol), 4-bromopyrazole (0.76 g, 5.2 mmol), and DBU (0.79 g, 5.2 mmol). The reaction time was 16 h. The obtained residue was purified by flash chromatography (eluent n-hexane/ethyl acetate, v/v, 4:1) to give 4k (1.60 g, 82%) as a white solid, mp 98.8–100.1 °C (ethyl acetate). IR (νmax, cm−1): 1729 (C=O), 1690 (C=O). 1H-NMR (700 MHz, CDCl3): δH ppm 1.45 (s, 9H, C(CH3)3), 3.21 (s, 2H, CH2CO), 3.64 (s, 3H, OCH3), 4.26 (d, J = 9.7 Hz, 2H, Az 2,4-Hb), 4.38 (d, J = 9.7 Hz, 2H, Az 2,4-Ha), 7.49 (s, 1H, Prz CH), 7.68 (s, 1H, Prz CH). 13C-NMR (176 MHz, CDCl3): δC ppm 28.3 (C(CH3)3), 41.8 (CH2COOCH3), 52.0 (COOCH3), 57.6 (Az C-3), 59.8 (Az C-2,4), 80.4 (C(CH3)3), 93.7 (Prz CH), 128.2 (Prz CH), 140.5 (Prz C), 156.0 (COOC(CH3)3), 169.6 (COOCH3). 15N-NMR (71 MHz, CDCl3): δN ppm –317.2 (Az), –162.5 (Prz N-1), –77.9 (Prz N-2). The HRMS (ESI+) for C14H20BrN3NaO4 ([M+Na]+) was calcd. as 396.0530 and found to be 396.0529.
tert-Butyl 3-(2-methoxy-2-oxoethyl)-3-[3-(trifluoromethyl)-1H-pyrazol-1-yl]azetidine-1-carboxylate (4l)
The sample was prepared from 3 (1.18 g, 5.2 mmol), 3-(trifluoromethyl)pyrazole (0.71 g, 5.2 mmol), and DBU (0.79 g, 5.2 mmol). The reaction time was 16 h. The obtained residue was purified by flash chromatography (eluent n-hexane/ethyl acetate, v/v, 4:1) to give 4l (1.38 g, 73%) as a white solid, mp 91.6–92.9 °C (ethyl acetate). IR (νmax, cm−1): 1738 (C=O), 1693 (C=O), 1155 (C-F), 1117 (C-F). 1H-NMR (700 MHz, CDCl3): δH ppm 1.45 (s, 9H, C(CH3)3), 3.24 (s, 2H, CH2CO), 3.63 (s, 3H, OCH3), 4.30 (d, J = 9.8 Hz, 2H, Az 2,4-Hb), 4.44 (d, J = 9.7 Hz, 2H, Az 2,4-Ha), 6.55 (d, J = 2.4 Hz, 1H, Prz CH), 7.72 (d, J = 2.3 Hz, 1H, Prz CH). 13C-NMR (176 MHz, CDCl3): δC ppm 28.3 (C(CH3)3), 42.1 (CH2COOCH3), 52.0 (COOCH3), 57.8 (Az C-3), 59.6 (Az C-2,4), 80.6 (C(CH3)3), 104.6 (q, 3JC,F = 2.3 Hz, Prz C-4), 121.0 (q, 1JC,F = 268.6 Hz, CF3), 129.7 (Prz C-5), 143.0 (q, 2JC,F = 38.4 Hz, Prz C-3), 156.0 (COOC(CH3)3), 169.7 (COOCH3). 15N-NMR (71 MHz, CDCl3): δN ppm –317.2 (Az), –159.9 (Prz N-2), –79.8 (Prz N-1). 19F-NMR (376 MHz, CDCl3): δF ppm –62.1 (s, CF3). The HRMS (ESI+) for C15H20F3N3NaO4 ([M+Na]+) was calcd. as 386.1298 and found to be 386.1298.
tert-Butyl 3-(1H-indazol-1-yl)-3-(2-methoxy-2-oxoethyl)azetidine-1-carboxylate (4m)
The sample was prepared from 3 (1.18 g, 5.2 mmol), indazole (0.61 g, 5.2 mmol), and DBU (0.79 g, 5.2 mmol). The reaction time was 16 h. The obtained residue was purified by flash chromatography (eluent n-hexane/acetone, v/v, 4:1) to give 4m (1.24 g, 69%) as a yellowish oil. IR (νmax, cm−1): 1738 (C=O), 1699 (C=O). 1H-NMR (700 MHz, CDCl3): δH ppm 1.47 (s, 9H, C(CH3)3), 3.20 (s, 2H, CH2CO), 3.50 (s, 3H, COOCH3), 4.47 (d, J = 9.3 Hz, 2H, Az 2,4-Hb), 4.76 (d, J = 9.2 Hz, 2H, Az 2,4-Ha), 7.15–7.21 (m, 1H, Idz 5-H), 7.39 (m, 2H, Idz 6-H and 7-H), 7.74 (d, J = 8.0 Hz, 1H, Idz 4-H), 7.99 (s, 1H, Idz 3-H). 13C-NMR (176 MHz, CDCl3): δC ppm 28.3 (C(CH3)3), 42.4 (CH2COOCH3), 51.9 (COOCH3), 56.9 (Az C-3), 59.0 (Az C-2,4), 80.3 (C(CH3)3), 109.9 (Idz C-7), 121.1 (Idz C-5), 121.6 (Idz C-4), 125.1 (Idz C-3a), 126.7 (Idz C-6), 133.8 (Idz C-3), 138.2 (Idz C-7a), 156.3 (COOC(CH3)3), 169.8 (COOCH3). 15N-NMR (71 MHz, CDCl3): δN ppm –316.3 (Az), –190.8 (Idz N-1), –67.7 (Idz N-2). The HRMS (ESI+) for C18H23N3NaO4 ([M+Na]+) was calcd. 368.1581 and found to be 368.1585.
tert-Butyl 3-(1H-imidazol-1-yl)-3-(2-methoxy-2-oxoethyl)azetidine-1-carboxylate (4n)
The sample was prepared from 3 (1.18 g, 5.2 mmol), imidazole (0.35 g, 5.2 mmol), and DBU (0.79 g, 5.2 mmol). The reaction time was 16 h. The obtained residue was purified by flash chromatography (eluent n-hexane/acetone, v/v, 4:1) to give 4n (0.81 g, 53%) as a colorless oil. IR (νmax, cm−1): 1735 (C=O), 1697 (C=O). 1H-NMR (700 MHz, CDCl3): δH ppm 1.45 (s, 9H, C(CH3)3), 3.10 (s, 2H, CH2CO), 3.63 (s, 3H, COOCH3), 4.27–4.41 (m, 4H, Az 2,4-H), 6.94–6.99 (m, 1H, Imid CH), 7.08–6.10 (m, 1H, Imid CH), 7.60 (s, 1H, Imid CH). 13C-NMR (176 MHz, CDCl3): δC ppm 28.3 (C(CH3)3), 43.5 (CH2COOCH3), 52.2 (COOCH3), 53.4 (Az C-3), 60.1 (Az C-2,4), 80.7 (C(CH3)3), 116.9 (Imid CH), 130.1 (Imid CH), 135.6 (Imid CH), 155.9 (COOC(CH3)3), 169.2 (COOCH3). 15N-NMR (71 MHz, CDCl3): δN ppm –317.8 (Az), –199.2 (Imid N-1), –123.7 (Imid N-3). The HRMS (ESI+) for C14H21N3NaO4 ([M+Na]+) was calcd. as 318.1424 and found to be 318.1428.
tert-Butyl 3-(1H-benzimidazol-1-yl)-3-(2-methoxy-2-oxoethyl)azetidine-1-carboxylate (4o)
The sample was prepared from 3 (1.18 g, 5.2 mmol), benzimidazole (0.61 g, 5.2 mmol), and DBU (0.79 g, 5.2 mmol). The reaction time was 16 h. The obtained residue was purified by flash chromatography (eluent n-hexane/acetone, v/v, 4:1) to give 4o (0.99 g, 56%) as a yellowish oil. IR (νmax, cm−1): 1725 (C=O), 1703 (C=O). 1H-NMR (700 MHz, CDCl3): δH ppm 1.45 (s, 9H, C(CH3)3), 3.26 (s, 2H, CH2CO), 3.55 (s, 3H, COOCH3), 4.45 (d, J = 9.2 Hz, 2H, Az 2,4-Hb), 4.62 (d, J = 9.2 Hz, 2H, Az 2,4-Ha), 7.11–7.15 (m, 1H, Bim CH), 7.26–7.34 (m, 2H, Bim 2 × CH), 7.81–7.87 (m, 1H, Bim CH), 8.05 (s, 1H, Bim CH). 13C-NMR (176 MHz, CDCl3): δC ppm 28.3 (C(CH3)3), 41.2 (CH2COOCH3), 52.0 (COOCH3), 53.1 (Az C-3), 59.0 (Az C-2,4), 80.7 (C(CH3)3), 109.9 (Bim CH), 121.2 (Bim CH), 122.6 (Bim CH), 123.3 (Bim CH), 131.8 (Bim Cq), 141.9 (Bim CH), 144.0 (Bim Cq), 155.9 (COOC(CH3)3), 169.3 (COOCH3). 15N-NMR (71 MHz, CDCl3): δN ppm –317.4 (Az), –220.9 (Bim N-1), –140.2 (Bim N-3). The HRMS (ESI+) for C18H23N3NaO4 ([M+Na]+) was calcd. as 358.1581 and found to be 368.1583.
tert-Butyl 3-(1H-indol-1-yl)-3-(2-methoxy-2-oxoethyl)azetidine-1-carboxylate (4p)
The sample was prepared from 3 (1.18 g, 5.2 mmol), indole (0.61 g, 5.2 mmol), and DBU (0.79 g, 5.2 mmol). The reaction time was 16 h. The obtained residue was purified by flash chromatography (eluent n-hexane/acetone, v/v, 4:1) to give 4p (0.98 g, 55%) as a yellowish oil. IR (νmax, cm−1): 1735 (C=O), 1700 (C=O). 1H-NMR (700 MHz, CDCl3): δH ppm 1.45 (s, 9H, C(CH3)3), 3.20 (s, 2H, CH2CO), 3.50 (s, 3H, COOCH3), 4.44 (d, J = 8.9 Hz, 2H, Az 2,4-Hb), 4.60 (d, J = 8.8 Hz, 2H, Az 2,4-Ha), 6.50 (d, J = 3.2 Hz, 1H, Ind), 7.01 (d, J = 8.1 Hz, 1H, Ind), 7.13 (t, J = 7.4 Hz, 1H, Ind), 7.16–7.21 (m, 2H, Ind CH), 7.63 (d, J = 7.7 Hz, 1H, Ind CH). 13C-NMR (176 MHz, CDCl3): δC ppm 28.3 (C(CH3)3), 41.6 (CH2COOCH3), 51.8 (COOCH3), 53.9 (Az C-3), 58.8–59.2 (Az C-2,4), 80.4 (C(CH3)3), 102.1 (Ind CH), 109.9 (Ind CH), 120.0 (Ind CH), 121.7 (Ind CH), 121.9 (Ind CH), 126.1 (Ind CH), 129.4 (Ind Cq), 134.1 (Ind Cq), 156.2 (COOC(CH3)3), 169.8 (COOCH3). 15N-NMR (71 MHz, CDCl3): δN ppm –317.1 (Az), –238.0 (Ind N-1). The HRMS (ESI+) for C19H24N2NaO4 ([M+Na]+) was calcd. as 367.1628 and found to be 367.1633.
3.2.3. General Procedure for Compounds 4q–s
An appropriate N-heterocyclic compound (0.52 mmol), K2CO3 (72 mg, 0.52 mmol), and tert-butyl 3-(2-methoxy-2-oxoethylidene)azetidine-1-carboxylate 3 (118 mg, 0.52 mmol) were dissolved in acetonitrile (3.6 mL) and stirred at 65 °C for 16 h. The reaction was quenched by the addition of water (15 mL) and extracted with ethyl acetate (3 × 10 mL). The combined organic solutions were dried over anhydr. Na2SO4, and then the solvents were removed under reduced pressure. Purification was conducted via flash chromatography.
tert-Butyl 3-(2-methoxy-2-oxoethyl)-3-(1H-1,2,4-triazol-1-yl)azetidine-1-carboxylate (4q)
The sample was prepared from 3 (118 mg, 0.52 mmol), 1,2,4-triazole (61 mg, 0.52 mmol), and K2CO3 (72 mg, 0.52 mmol). The reaction time was 16 h. The obtained residue was purified by flash chromatography (eluent n-hexane/acetone, v/v, 4:1) to give 4q (97 mg, 65%) as a yellowish oil. IR (νmax, cm−1): 1744 (C=O), 1700 (C=O). 1H-NMR (700 MHz, CDCl3): δH ppm 1.45 (s, 9H, C(CH3)3), 3.25 (s, 2H, CH2CO), 3.64 (s, 3H, COOCH3), 4.29 (d, J = 9.8 Hz, 2H, Az 2,4-Hb), 4.43 (d, J = 9.7 Hz, 2H, Az 2,4-Ha), 7.96 (s, 1H, Trz CH), 8.33 (s, 1H, Trz CH). 13C-NMR (176 MHz, CDCl3): δC ppm 28.3 (C(CH3)3), 41.6 (CH2COOCH3), 52.1 (COOCH3), 56.1 (Az C-3), 59.5 (Az C-2,4), 80.7 (C(CH3)3), 142.4 (Trz CH), 152.2 (Trz CH), 155.9 (COOC(CH3)3), 169.4 (COOCH3). 15N-NMR (71 MHz, CDCl3): δN ppm –317.3 (Az), –156.5 (Trz N-1), -132.7 (Trz N-4), –91.2 (Trz N-2). The HRMS (ESI+) for C13H20N4NaO4 ([M+Na]+) was calcd. as 319.1377 and found to be 319.1373.
tert-Butyl 3-(1H-benzotriazol-1-yl)-3-(2-methoxy-2-oxoethyl)azetidine-1-carboxylate (4r)
The sample was prepared from 3 (118 mg, 0.52 mmol), benzotriazole (70 mg, 0.52 mmol), and K2CO3 (72 mg, 0.52 mmol). The reaction time was 16 h. The obtained residue was purified by flash chromatography (eluent n-hexane/acetone, v/v, 4:1) to give 4r (77 mg, 43%) as a colorless oil. IR (νmax, cm−1): 1732 (C=O), 1707 (C=O). 1H-NMR (700 MHz, CDCl3): δH ppm 1.48 (s, 9H, C(CH3)3), 3.43 (s, 2H, CH2CO), 3.58 (s, 3H, COOCH3), 4.55 (d, J = 9.8 Hz, 2H, Az 2,4-Hb), 4.78 (d, J = 9.8 Hz, 2H, Az 2,4-Ha), 7.41 (t, J = 7.7 Hz, 1H, Btz CH), 7.53 (t, J = 7.6 Hz, 1H, Btz CH), 7.64 (d, J = 8.4 Hz, 1H, Btz CH), 8.09 (d, J = 8.4 Hz, 1H, CH). 13C-NMR (176 MHz, CDCl3): δC ppm 28.3 (C(CH3)3), 42.2 (CH2COOCH3), 52.1 (COOCH3), 56.8 (Az C-3), 59.4 (Az C-2,4), 80.7 (C(CH3)3), 110.3 (Btz CH), 120.6 (Btz CH), 124.3 (Btz CH), 127.9 (Btz CH), 131.6 (Btz Cq), 146.6 (Btz Cq), 156.0 (COOC(CH3)3), 169.3 (COOCH3). 15N-NMR (71 MHz, CDCl3): δN ppm –316.9 (Az), –148.6 (Btz N-1), –42.0 (Btz N-3), –7.0 (Btz N-2). The HRMS (ESI+) for C13H22N4NaO4 ([M+Na]+) was calcd. as 369.1533 and found to be 369.1536.
tert-Butyl 3-(2H-benzotriazol-2-yl)-3-(2-methoxy-2-oxoethyl)azetidine-1-carboxylate (4s)
The sample was prepared from 3 (118 mg, 0.52 mmol), benzotriazole (70 mg, 0.52 mmol), and DBU (79 mg, 0.52 mmol). The reaction time was 16 h. The obtained residue was purified by flash chromatography (eluent n-hexane/acetone, v/v, 4:1) to give 4s (59 mg, 33%) as a yellowish oil. IR (νmax, cm−1): 1740 (C=O), 1701 (C=O). 1H-NMR (700 MHz, CDCl3): δH ppm 1.48 (s, 9H, C(CH3)3), 3.48–3.61 (m, 2H, CH2CO), 3.63 (s, 3H, COOCH3), 4.39 (d, J = 9.6 Hz, 2H, Az 2,4-Hb), 4.68–4.88 (m, 2H, Az 2,4-Ha), 7.40 (dd, J = 6.7, 3.1 Hz, 2H, Btz 2 × CH), 7.87 (dd, J = 6.6, 3.1 Hz, 2H, Btz 2 × CH). 13C-NMR (176 MHz, CDCl3): δC ppm 28.3 (C(CH3)3), 41.2 (CH2COOCH3), 52.1 (COOCH3), 60.6 (Az C-2,4), 61.4 (Az C-3), 80.3 (C(CH3)3), 118.3 (Btz 2 × CH), 126.8 (Btz 2 × CH), 144.4 (Btz 2 × Cq), 156.2 (COOC(CH3)3), 169.4 (COOCH3). 15N-NMR (71 MHz, CDCl3): δN ppm –107.0 (Btz N-2), –69.1 (Btz N-1,3). The HRMS (ESI+) for C15H20F3N3NaO4 ([M+Na]+) was calcd. as 369.1533 and found to be 369.1530.
3.2.4. General procedure for compounds 5a–n
tert-Butyl 3-(4-bromo-1H-pyrazol-1-yl)-3-(2-methoxy-2-oxoethyl)azetidine-1-carboxylate 4k (1.98 g, 5.3 mmol) was dissolved in dry dioxane (10 mL) and a current of argon was bubbled through the solution. After 20 min K3PO4 (3.38 g, 15.9 mmol), appropriate boronic acid (6.4 mmol) and tetrakis(triphenylphosphine)palladium (0.31 g, 0.27 mmol) were added. The reaction was stirred at 100 °C for 18 h. The reaction solution was quenched with water (10 mL) and extracted with ethyl acetate (3 × 15 mL). The organic layer was dried with anhydrous sodium sulphate, filtered, and concentrated under reduced pressure. The crude product was purified by flash chromatography using an eluent in the appropriate ratio.
tert-Butyl 3-(2-methoxy-2-oxoethyl)-3-(4-phenyl-1H-pyrazol-1-yl)azetidine-1-carboxylate (5a)
The sample was prepared from 4k (1.98 g, 5.3 mmol), phenylboronic acid (0.78 g, 6.4 mmol), K3PO4 (3.38 g, 15.9 mmol), and tetrakis(triphenylphosphine)palladium (0.31 g, 0.27 mmol). The obtained residue was purified by flash chromatography (eluent n-hexane/acetone, v/v, 4:1) to give 5a (1.85 g, 94%) as a yellowish oil. IR (νmax, cm−1): 1734 (C=O), 1688 (C=O). 1H-NMR (700 MHz, CDCl3): δH ppm 1.39 (s, 9H, C(CH3)3), 3.19 (s, 2H, CH2CO), 3.55 (s, 3H, OCH3), 4.24 (d, J = 9.6 Hz, 2H, Az 2,4-Hb), 4.40 (d, J = 9.5 Hz, 2H, Az 2,4-Ha), 7.17 (t, J = 7.4 Hz, 1H, Ph CH), 7.29 (t, J = 7.7 Hz, 2H, Ph 2 × CH), 7.41 (d, J = 7.6 Hz, 2H, Ph 2 × CH), 7.74 (s, 1H, Prz CH), 7.81 (s, 1H, Prz CH). 13C-NMR (176 MHz, CDCl3): δC ppm 28.3 (C(CH3)3), 42.1 (CH2COOCH3), 52.0 (COOCH3), 57.1 (Az C-3), 59.9 (Az C-2,4), 80.4 (C(CH3)3), 123.5, 124.7, 125.6, 126.7, 128.9, 132.2, 137.5, 156.1 (COOC(CH3)3), 169.9 (COOCH3). The HRMS (ESI+) for C20H25N3NaO4 ([M+Na]+) was calcd. as 394.1737 and found to be 394.1737.
tert-Butyl 3-(2-methoxy-2-oxoethyl)-3-[4-(4-methylphenyl)-1H-pyrazol-1-yl]azetidine-1-carboxylate (5b)
The sample was prepared from 4k (1.98 g, 5.3 mmol), 4-methylphenylboronic acid (0.87 g, 6.4 mmol), K3PO4 (3.38 g, 15.9 mmol), and tetrakis(triphenylphosphine)palladium (0.31 g, 0.27 mmol). The obtained residue was purified by flash chromatography (eluent n-hexane/acetone, v/v, 4:1) to give 5b (1.59 g, 78%) as a yellowish oil. IR (νmax, cm−1): 1733 (C=O), 1691 (C=O). 1H-NMR (700 MHz, CDCl3): δH ppm 1.38 (s, 9H, C(CH3)3), 2.28 (s, 3H, Ph-CH3), 3.17 (s, 2H, CH2CO), 3.54 (s, 3H, OCH3), 4.23 (d, J = 9.6 Hz, 2H, Az 2,4-Hb), 4.39 (d, J = 9.6 Hz, 2H, Az 2,4-Ha), 7.10 (d, J = 7.9 Hz, 2H, Ph 2 × CH), 7.30 (d, J = 8.1 Hz, 2H, Ph 2 × CH), 7.70 (s, 1H, Prz CH), 7.77 (s, 1H, Prz CH). 13C-NMR (176 MHz, CDCl3): δC ppm 21.1 (PhCH3), 28.3 (C(CH3)3), 42.1 (CH2COOCH3), 52.0 (COOCH3), 57.1 (Az C-3), 59.9 (Az C-2,4), 80.3 (C(CH3)3), 123.5, 124.4, 125.5, 129.3, 129.5, 136.3, 137.4, 156.1 (COOC(CH3)3), 169.9 (COOCH3). The HRMS (ESI+) for C21H27N3NaO4 ([M+Na]+) was calcd. as 408.1894 and found to be 408.1894.
tert-Butyl 3-(2-methoxy-2-oxoethyl)-3-[4-(2-methylphenyl)-1H-pyrazol-1-yl]azetidine-1-carboxylate (5c)
The sample was prepared from 4k (1.98 g, 5.3 mmol), 2-methylphenylboronic acid (0.87 g, 6.4 mmol), K3PO4 (3.38 g, 15.9 mmol), and tetrakis(triphenylphosphine)palladium (0.31 g, 0.27 mmol). The obtained residue was purified by flash chromatography (eluent n-hexane/acetone, v/v, 4:1) to give 5c (1.43 g, 70%) as a yellowish oil. IR (νmax, cm−1): 1736 (C=O), 1699 (C=O). 1H-NMR (700 MHz, CDCl3): δH ppm 1.39 (s, 9H, C(CH3)3), 2.31 (s, 3H, Ph-CH3), 3.18 (s, 2H, CH2CO), 3.56 (s, 3H, OCH3), 4.25 (d, J = 9.6 Hz, 2H, Az 2,4-Hb), 4.42 (d, J = 9.6 Hz, 2H, Az 2,4-Ha), 7.10–7.15 (m, 2H, Ph 2 × CH), 7.16–7.18 (m, 1H, Ph CH), 7.22–7.26 (m, 1H, Ph CH), 7.59 (s, 1H, Prz CH), 7.64 (s, 1H, Prz CH). 13C-NMR (176 MHz, CDCl3): δC ppm 21.2 (PhCH3), 28.3 (C(CH3)3), 42.2 (CH2COOCH3), 52.0 (COOCH3), 57.0 (Az C-3), 60.0 (Az C-2,4), 80.3 (C(CH3)3), 122.5, 126.0, 126.6, 127.0, 129.1, 130.7, 131.8, 135.3, 139.6, 156.1 (COOC(CH3)3), 169.9 (COOCH3). The HRMS (ESI+) for C21H27N3NaO4 ([M+Na]+) was calcd. as 408.1894 and found to be 408.1894.
tert-Butyl 3-(2-methoxy-2-oxoethyl)-3-[4-(4-methoxyphenyl)-1H-pyrazol-1-yl]azetidine-1-carboxylate (5d)
The sample was prepared from 4k (1.98 g, 5.3 mmol), 4-methoxyphenylboronic acid (0.97 g, 6.4 mmol), K3PO4 (3.38 g, 15.9 mmol), and tetrakis(triphenylphosphine)palladium (0.31 g, 0.27 mmol). The obtained residue was purified by flash chromatography (eluent n-hexane/acetone, v/v, 4:1) to give 5d (1.70 g, 80%) as a yellowish oil. IR (νmax, cm−1): 1735 (C=O), 1689 (C=O). 1H-NMR (700 MHz, CDCl3): δH ppm 1.38 (s, 9H, C(CH3)3), 3.18 (s, 2H, CH2CO), 3.55 (s, 3H, OCH3), 3.75 (s, 3H, Ph-OCH3), 4.23 (d, J = 9.6 Hz, 2H, Az 2,4-Hb), 4.39 (d, J = 9.6 Hz, 2H, Az 2,4-Ha), 6.83 (d, J = 8.8 Hz, 2H, Ph 2 × CH), 7.32 (d, J = 8.8 Hz, 2H, Ph 2 × CH), 7.66 (s, 1H, Pyr CH), 7.73 (s, 1H, Pyr CH). 13C-NMR (176 MHz, CDCl3): δC ppm 28.3 (C(CH3)3), 42.1 (CH2COOCH3), 52.0 (COOCH3), 55.3 (Ph-OCH3), 57.0 (Az C-3), 59.8 (Az C-2,4), 80.3 (C(CH3)3), 114.3, 123.3, 124.1, 124.8, 126.8, 137.3, 156.1 (COOC(CH3)3), 158.5 (Ph COCH3), 169.9 (COOCH3). The HRMS (ESI+) for C21H27N3NaO5 ([M+H]+) was calcd. as 402.2023 and found to be 402.2023.
tert-Butyl 3-(2-methoxy-2-oxoethyl)-3-[4-(3-methoxyphenyl)-1H-pyrazol-1-yl]azetidine-1-carboxylate (5e)
The sample was prepared from 4k (1.98 g, 5.3 mmol), 3-methoxyphenylboronic acid (0.97 g, 6.4 mmol), K3PO4 (3.38 g, 15.9 mmol), and tetrakis(triphenylphosphine)palladium (0.31 g, 0.27 mmol). The obtained residue was purified by flash chromatography (eluent n-hexane/acetone, v/v, 4:1) to give 5e (1.70 g, 80%) as a yellowish oil. IR (νmax, cm−1): 1736 (C=O), 1697 (C=O). 1H-NMR (700 MHz, CDCl3): δH ppm 1.39 (s, 9H, C(CH3)3), 3.19 (s, 2H, CH2CO), 3.55 (s, 3H, OCH3), 3.77 (s, 3H, Ph-OCH3), 4.24 (d, J = 9.6 Hz, 2H, Az 2,4-Hb), 4.40 (d, J = 9.6 Hz, 2H, Az 2,4-Ha), 6.72 (ddd, J = 8.3, 2.6, 0.9 Hz, 1H, Ph CH), 6.94 (dd, J = 2.6, 1.6 Hz, 1H, Ph CH), 7.00 (ddd, J = 7.6, 1.6, 1.0 Hz, 1H, Ph CH), 7.21 (t, J = 7.9 Hz, 1H, Ph CH), 7.72 (s, 1H, Prz CH), 7.80 (s, 1H, Prz CH). 13C-NMR (176 MHz, CDCl3): δC ppm 28.3 (C(CH3)3), 42.0 (CH2COOCH3), 52.0 (COOCH3), 55.3 (Ph-OCH3), 57.1 (Az C-3), 59.9 (Az C-2,4), 80.4 (C(CH3)3), 111.4, 112.0, 118.2, 123.4, 124.8, 129.9, 133.6, 137.6, 156.1 (COOC(CH3)3), 160.0 (Ph COCH3), 169.9 (COOCH3). The HRMS (ESI+) for C21H27N3NaO5 ([M+Na]+) was calcd. as 424.1843 and found to be 424.1843.
tert-Butyl 3-(2-methoxy-2-oxoethyl)-3-[4-(2-methoxyphenyl)-1H-pyrazol-1-yl]azetidine-1-carboxylate (5f)
The sample was prepared from 4k (1.98 g, 5.3 mmol), 2-methoxyphenylboronic acid (0.97 g, 6.4 mmol), K3PO4 (3.38 g, 15.9 mmol), and tetrakis(triphenylphosphine)palladium (0.31 g, 0.27 mmol). The obtained residue was purified by flash chromatography (eluent n-hexane/acetone, v/v, 4:1) to give 5f (0.62 g, 29%) as a yellowish oil. IR (νmax, cm−1): 1737 (C=O), 1698 (C=O). 1H-NMR (700 MHz, CDCl3): δH ppm 1.39 (s, 9H, C(CH3)3), 3.18 (s, 2H, CH2CO), 3.55 (s, 3H, OCH3), 3.84 (s, 3H, Ph-OCH3), 4.25 (d, J = 9.5 Hz, 2H, Az 2,4-Hb), 4.43 (d, J = 9.5 Hz, 2H, Az 2,4-Ha), 6.89 (d, J = 8.2 Hz, 1H, Ph × CH), 6.91 (d, J = 7.5 Hz, 1H, Ph × CH), 7.13–7.17 (m, 1H, Ph CH), 7.44 (dd, J = 7.6, 1.7 Hz, 1H, Ph CH), 7.86 (s, 1H, Prz CH), 7.99 (s, 1H, Prz CH). 13C-NMR (176 MHz, CDCl3): δC ppm 28.3 (C(CH3)3), 42.2 (CH2COOCH3), 51.9 (COOCH3), 55.4 (Ph-OCH3), 57.0 (Az C-3), 59.8 (Az C-2,4), 80.3 (C(CH3)3), 111.2, 118.9, 120.8, 121.0, 127.0, 127.5, 139.0, 155.8 (Ph COCH3), 156.2 (COOC(CH3)3), 169.9 (COOCH3). The HRMS (ESI+) for C21H27N3NaO5 ([M+Na]+) was calcd. as 424.1843 and found to be 424.1843.
tert-Butyl 3-[4-(4-fluorophenyl)-1H-pyrazol-1-yl]-3-(2-methoxy-2-oxoethyl)azetidine-1-carboxylate (5g)
The sample was prepared from 4k (1.98 g, 5.3 mmol), 4-fluorophenylboronic acid (0.89 g, 6.4 mmol), K3PO4 (3.38 g, 15.9 mmol), and tetrakis(triphenylphosphine)palladium (0.31 g, 0.27 mmol). The obtained residue was purified by flash chromatography (eluent n-hexane/acetone, v/v, 4:1) to give 5g (1.30 g, 63%) as a colorless oil. IR (νmax, cm−1): 1736 (C=O), 1697 (C=O). 1H-NMR (700 MHz, CDCl3): δH ppm 1.46 (s, 9H, C(CH3)3), 3.26 (s, 2H, CH2CO), 3.63 (s, 3H, OCH3), 4.31 (d, J = 9.6 Hz, 2H, Az 2,4-Hb), 4.46 (d, J = 9.6 Hz, 2H, Az 2,4-Ha), 7.03–7.09 (m, 2H, Ph 2 × CH), 7.44 (dd, J = 8.4, 5.4 Hz, 2H, Ph 2 × CH), 7.75 (s, 1H, Prz CH), 7.84 (s, 1H, Prz CH). 13C-NMR (176 MHz, CDCl3): δC ppm 28.3 (C(CH3)3), 42.0 (CH2COOCH3), 52.0 (COOCH3), 57.1 (Az C-3), 59.9 (Az C-2,4), 80.4 (C(CH3)3), 115.8 (d, J = 21.5 Hz), 122.6, 124.6, 127.2 (d, J = 7.8 Hz), 128.4 (d, J = 3.3 Hz), 137.4, 156.1 (COOC(CH3)3), 161.7 (d, J = 245.7 Hz), 169.9 (COOCH3). 19F-NMR (376 MHz, CDCl3): δF ppm –115.9 (tt, J = 9.3, 5.3 Hz). The HRMS (ESI+) for C20H24FN3NaO4 ([M+Na]+) was calcd. as 412.1643 and found to be 412.1645.
tert-Butyl 3-[4-(4-chlorophenyl)-1H-pyrazol-1-yl]-3-(2-methoxy-2-oxoethyl)azetidine-1-carboxylate (5h)
The sample was prepared from 4k (1.98 g, 5.3 mmol), 4-chlorophenylboronic acid (1.01 g, 6.4 mmol), K3PO4 (3.38 g, 15.9 mmol), and tetrakis(triphenylphosphine)palladium (0.31 g, 0.27 mmol). The obtained residue was purified by flash chromatography (eluent n-hexane/acetone, v/v, 4:1) to give 5h (1.14 g, 53%) as a colorless oil. IR (νmax, cm−1): 1736 (C=O), 1698 (C=O). 1H-NMR (700 MHz, CDCl3): δH ppm 1.46 (s, 9H, C(CH3)3), 3.26 (s, 2H, CH2CO), 3.63 (s, 3H, OCH3), 4.31 (d, J = 9.6 Hz, 2H, Az 2,4-Hb), 4.46 (d, J = 9.6 Hz, 2H, Az 2,4-Ha), 7.33 (d, J = 8.2 Hz, 2H, Ph 2 × CH), 7.41 (d, J = 8.4 Hz, 2H, Ph 2 × CH), 7.77 (s, 1H, Prz CH), 7.88 (s, 1H, Prz CH). 13C-NMR (176 MHz, CDCl3): δC ppm 28.3 (C(CH3)3), 42.0 (CH2COOCH3), 52.0 (COOCH3), 57.2 (Az C-3), 59.9 (Az C-2,4), 80.4 (C(CH3)3), 122.4, 124.8, 126.8, 129.0, 130.7 132.3, 137.4, 156.1 (COOC(CH3)3), 169.9 (COOCH3). The HRMS (ESI+) for C20H24ClN3NaO4 ([M+Na]+) was calcd. as 428.1348 and found to be 428.1351.
tert-Butyl 3-(2-methoxy-2-oxoethyl)-3-[4-(pyridin-4-yl)-1H-pyrazol-1-yl]azetidine-1-carboxylate (5i)
The sample was prepared from 4k (200 mg, 0.53 mmol), 4-pyridinylboronic acid (79 mg, 0.64 mmol), K3PO4 (338 mg, 1.6 mmol), and tetrakis(triphenylphosphine)palladium (31 mg, 0.027 mmol). The obtained residue was purified by flash chromatography (eluent n-hexane/acetone, v/v, 4:1) to give 5i (83 mg, 42%) as a colorless oil. IR (νmax, cm−1): 1735 (C=O), 1696 (C=O). 1H-NMR (700 MHz, CDCl3): δH ppm 1.46 (s, 9H, C(CH3)3), 3.28 (s, 2H, CH2CO), 3.64 (s, 3H, OCH3), 4.32 (d, J = 9.6 Hz, 2H, Az 2,4-Hb), 4.47 (d, J = 9.7 Hz, 2H, Az 2,4-Ha), 7.38 (d, J = 5.3 Hz, 2H, Pyr 2 × CH), 7.90 (s, 1H, Prz CH), 8.05 (s, Prz CH), 8.57 (d, J = 5.3 Hz, 2H, Pyr 2 × CH). 13C-NMR (176 MHz, CDCl3): δC ppm 28.3 (C(CH3)3), 41.9 (CH2COOCH3), 52.0 (COOCH3), 57.4 (Az C-3), 59.9 (Az C-2,4), 80.5 (C(CH3)3), 120.0, 120.8, 126.0, 137.8, 139.8, 150.3, 156.0 (COOC(CH3)3), 169.8 (COOCH3). 15N-NMR (71 MHz, CDCl3): δN ppm –316.9 (Az), –160.1 (Prz N-1), –77.6 (Prz N-2), –77.4 (Pyr). The HRMS (ESI+) for C19H24N4NaO4 ([M+Na]+) was calcd. as 395.1690 and found to be 395.1694.
tert-Butyl 3-(2-methoxy-2-oxoethyl)-3-[4-(pyridin-3-yl)-1H-pyrazol-1-yl]azetidine-1-carboxylate (5j)
The sample was prepared from 4k (200 mg, 0.53 mmol), 4-pyridinylboronic acid (79 mg, 0.64 mmol), K3PO4 (338 mg, 1.6 mmol), and tetrakis(triphenylphosphine)palladium (31 mg, 0.027 mmol). The obtained residue was purified by flash chromatography (eluent n-hexane/acetone, v/v, 4:1) to give 5j (79 mg, 40%) as a colorless oil. IR (νmax, cm−1): 1736 (C=O), 1697 (C=O). 1H-NMR (700 MHz, CDCl3): δH ppm 1.46 (s, 9H, C(CH3)3), 3.28 (s, 2H, CH2CO), 3.64 (s, 3H, OCH3), 4.32 (d, J = 9.7 Hz, 2H, Az 2,4-Hb), 4.48 (d, J = 9.7 Hz, 2H, Az 2,4-Ha), 7.30 (dd, J = 7.8, 4.8 Hz, 1H, Pyr CH), 7.74–7.78 (m, 1H, Pyr CH), 7.84 (s, 1H, Prz CH), 7.96 (s, 1H, Prz CH), 8.48 (d, J = 4.7 Hz, 1H, Pyr CH), 8.77 (d, J = 1.6 Hz, 1H, Pyr CH). 13C-NMR (176 MHz, CDCl3): δC ppm 28.3 (C(CH3)3), 42.0 (CH2COOCH3), 52.0 (COOCH3), 57.3 (Az C-3), 59.9 (Az C-2,4), 80.5 (C(CH3)3), 120.0, 123.7, 125.1, 128.2, 132.8, 137.5, 147.0, 147.8, 156.1 (COOC(CH3)3), 169.8 (COOCH3). 15N-NMR (71 MHz, CDCl3): δN ppm –316.9 (Az), –161.1 (Prz N-1), –78.2 (Prz N-2), –69.5 (Pyr). The HRMS (ESI+) for C19H24N4NaO4 ([M+Na]+) was calcd. as 395.1690 and found to be 395.1690.
tert-Butyl 3-(2-methoxy-2-oxoethyl)-3-[4-(6-methoxypyridin-3-yl)-1H-pyrazol-1-yl]azetidine-1-carboxylate (5k)
The sample was prepared from 4k (1.98 g, 5.3 mmol), 6-methoxy-3-pyridinylboronic acid (0.98 g, 6.4 mmol), K3PO4 (3.38 g, 15.9 mmol), and tetrakis(triphenylphosphine)palladium (0.31 g, 0.27 mmol). The obtained residue was purified by flash chromatography (eluent n-hexane/acetone, v/v, 4:1) to give 5k (0.79 g, 37%) as a white solid, mp 100.9–102.2 °C. IR (νmax, cm−1): 1738 (C=O), 1693 (C=O). 1H-NMR (700 MHz, CDCl3): δH ppm 1.46 (s, 9H, C(CH3)3), 3.27 (s, 2H, CH2CO), 3.63 (s, 3H, OCH3), 3.95 (s, 3H, Pyr OCH3), 4.32 (d, J = 9.8 Hz, 2H, Az 2,4-Hb), 4.47 (d, J = 9.6 Hz, 2H, Az 2,4-Ha), 6.76 (d, J = 8.5 Hz, 1H, Pyr CH), 7.66 (dd, J = 8.5, 2.5 Hz, 1H, Pyr CH), 7.74 (s, 1H, Prz CH), 7.84 (s, 1H, Prz CH), 8.29 (d, J = 2.5 Hz, 1H, Pyr CH). 13C-NMR (176 MHz, CDCl3): δC ppm 28.3 (C(CH3)3), 42.0 (CH2COOCH3), 52.0 (COOCH3), 53.5 (Pyr-OCH3), 57.2 (Az C-3), 60.0 (Az C-2,4), 80.4 (C(CH3)3), 110.9, 120.1, 121.6, 124.3, 136.3, 137.2, 143.6, 156.1 (COOC(CH3)3), 163.0 (Pyr COCH3), 169.9 (COOCH3). 15N-NMR (71 MHz, CDCl3): δN ppm –316.7 (Az), –162.3 (Prz N-1), –116.0 (Pyr), –79.0 (Prz N-2). The HRMS (ESI+) for C20H26N4NaO5 ([M+Na]+) was calcd. as 425.1795 and found to be 425.1795.
tert-Butyl 3-(2-methoxy-2-oxoethyl)-3-[4-(thiophen-3-yl)-1H-pyrazol-1-yl]azetidine-1-carboxylate (5l)
The sample was prepared from 4k (200 mg, 0.53 mmol), 3-thienylboronic acid (82 mg, 0.64 mmol), K3PO4 (338 mg, 1.6 mmol), and tetrakis(triphenylphosphine)palladium (31 mg, 0.027 mmol). The obtained residue was purified by flash chromatography (eluent n-hexane/acetone, v/v, 4:1) to give 5l (128 mg, 64%) as a yellowish oil. IR (νmax, cm−1): 1735 (C=O), 1696 (C=O). 1H-NMR (700 MHz, CDCl3): δH ppm 1.46 (s, 9H, C(CH3)3), 3.25 (s, 2H, CH2CO), 3.63 (s, 3H, OCH3), 4.30 (d, J = 9.6 Hz, 2H, Az 2,4-Hb), 4.46 (d, J = 9.6 Hz, 2H, Az 2,4-Ha), 7.19–7.22 (m, 1H, Thio CH), 7.24–7.26 (m, 1H, Thio CH), 7.33–7.36 (m, 1H, Thio CH) 7.73 (s, 1H, Prz CH), 7.81 (s, 1H, Prz CH). 13C-NMR (176 MHz, CDCl3): δC ppm 28.3 (C(CH3)3), 42.0 (CH2COOCH3), 52.0 (COOCH3), 57.1 (Az C-3), 59.9 (Az C-2,4), 80.4 (C(CH3)3), 118.6, 118.9, 124.7, 126.1, 126.2, 132.9, 137.8, 156.1 (COOC(CH3)3), 169.9 (COOCH3). The HRMS (ESI+) for C18H23N3NaO4S ([M+Na]+) was calcd. as 400.1301 and found to be 400.1304.
tert-Butyl 3-(2-methoxy-2-oxoethyl)-3-[4-(4-methylthiophen-3-yl)-1H-pyrazol-1-yl]azetidine-1-carboxylate (5m)
The sample was prepared from 4k (200 mg, 0.53 mmol), (4-methylthiophen-3-yl)boronic acid (91 mg, 0.64 mmol), K3PO4 (338 mg, 1.6 mmol), and tetrakis(triphenylphosphine)palladium (31 mg, 0.027 mmol). The obtained residue was purified by flash chromatography (eluent n-hexane/acetone, v/v, 4:1) to give 5m (129 mg, 62%) as a yellowish oil. IR (νmax, cm−1): 1735 (C=O), 1700 (C=O). 1H-NMR (700 MHz, CDCl3): δH ppm 1.46 (s, 9H, C(CH3)3), 2.31 (s, 3H, CH3), 3.25 (s, 2H, CH2CO), 3.63 (s, 3H, OCH3), 4.31 (d, J = 9.6 Hz, 2H, Az 2,4-Hb), 4.48 (d, J = 9.6 Hz, 2H, Az 2,4-Ha), 6.97–7.00 (m, 1H, Thio CH), 7.19 (d, J = 3.3 Hz, 1H, Thio CH), 7.68 (s, 1H, Prz CH), 7.73 (s, 1H, Prz CH). 13C-NMR (176 MHz, CDCl3): δC ppm 15.9 (Thio-CH3), 28.3 (C(CH3)3), 42.1 (CH2COOCH3), 51.9 (COOCH3), 57.0 (Az C-3), 59.8 (Az C-2,4), 80.3 (C(CH3)3), 118.2, 121.2, 122.1, 125.4, 133.1, 135.9, 138.8, 156.1 (COOC(CH3)3), 169.9 (COOCH3). The HRMS (ESI+) for C19H25N3NaO4S ([M+Na]+) was calcd. as 414.1458 and found to be 414.1462.
tert-Butyl 3-(4-cyclopropyl-1H-pyrazol-1-yl)-3-(2-methoxy-2-oxoethyl)azetidine-1-carboxylate (5n)
Method I. To a solution of tert-butyl 3-(4-bromo-1H-pyrazol-1-yl)-3-(2-methoxy-2-oxoethyl)azetidine-1-carboxylate 4k (100 mg, 0.26 mmol) in toluene (5 mL) under an argon atmosphere, cyclopropylboronic acid (30 mg, 0.34 mmol), K3PO4 (193 mg, 0.9 mmol), and tetrakis(triphenylphosphine)palladium (30 mg, 0.026 mmol) were added, and the reaction mixture was refluxed for 18 h. After completion of the reaction as monitored by TLC, the mixture was quenched with water (10 mL) and extracted with ethyl acetate (3 × 10 mL). The organic layers were combined, washed with brine, and dried over Na2SO4, filtrated, and the solvent was evaporated. The obtained residue was purified by flash chromatography (eluent n-hexane/acetone, v/v, 4:1) to give 5n (27 mg, 31%) as a clear oil. IR (νmax, cm−1): 1738 (C=O), 1699 (C=O). 1H-NMR (700 MHz, CDCl3): δH ppm 0.41–0.45 (m, 2H, Cpr CH2), 0.74–0.78 (m, 2H, Cpr CH2), 1.38 (s, 9H, C(CH3)3), 1.58–1.62 (m, 1H, Cpr CH), 3.11 (s, 2H, CH2CO), 3.55 (s, 3H, OCH3), 4.18 (d, J = 9.5 Hz, 2H, Az 2,4-Hb), 4.31 (d, J = 9.5 Hz, 2H, Az 2,4-Ha), 7.23 (s, 1H, Prz CH), 7.30 (s, 1H, Prz CH). 13C-NMR (176 MHz, CDCl3): δC ppm 5.3 (Cpr CH), 7.6 (Cpr 2 × CH2), 28.2 (C(CH3)3), 41.8 (CH2COOCH3), 51.6 (COOCH3), 56.6 (Az C-3), 59.6 (Az C-2,4), 79.8 (C(CH3)3), 124.8 (Prz Cq), 124.9 (Prz CH), 138.1 (Prz CH), 155.9 (COOC(CH3)3), 169.7 (COOCH3). The HRMS (ESI+) for C17H25N3NaO4 ([M+Na]+) was calcd. as 358.1737 and found to be 358.1737.
Method II. To a solution of tert-butyl 3-(4-bromo-1H-pyrazol-1-yl)-3-(2-methoxy-2-oxoethyl)azetidine-1-carboxylate 4k (100 mg, 0.26 mmol) in toluene (5 mL) under an argon atmosphere, cyclopropylboronic acid (30 mg, 0.34 mmol), K3PO4 (193mg, 0.9 mmol), P(cHex)3 (10 mg, 0.026 mmol), and Pd(OAc)2 (6 mg, 0.026 mmol) were added, and the reaction mixture was refluxed for 18 h. After completion of the reaction as monitored by TLC, the mixture was quenched with water (10 mL) and extracted with ethyl acetate (3 × 10 mL). The organic layers were combined, washed with brine, dried over Na2SO4, and filtrated, and the solvent was evaporated. The obtained residue was purified by flash chromatography (eluent n-hexane/acetone, v/v, 4:1) to give 5n (56 mg, 64%) as a clear oil.
3.2.5. Methyl(oxetan-3-ylidene)acetate (7)
Neat trimethyl phosphonoacetate 2 (3.79 g, 20.8 mmol) was added to a cooled (0°C) suspension of NaH (60% dispersion in mineral oil) (0.83 g, 20.8 mmol) in dry THF (70 mL). After 20 min, a solution of 3-oxetanone 6 (1.50 g, 20.8 mmol) in dry THF (20 mL) was added, and the resulting mixture was stirred for 1 h. The reaction was quenched by the addition of water (70 mL). The organic layer was separated, and the aqueous one was extracted with ethyl acetate (3 × 70 mL). The combined organic solutions were dried over anhydr. Na2SO4, and then the solvents were removed under reduced pressure. The obtained residue was purified by flash chromatography (eluent n-hexane/acetone, v/v, 4:1) to give 7 (1.95 g, 73%) as a white solid, mp 50.8–51.6 °C. IR (νmax, cm−1): 1716 (C=O), 1207 (C-O-C). 1H-NMR (700 MHz, CDCl3): δH ppm 3.72 (s, 3H, OCH3), 5.29–5.32 (m, 2H, Ox 2,4-H), 5.49–5.53 (m, 2H, Ox 2,4-H), 5.55–5.67 (m, 1H, CHCO). 13C-NMR (176 MHz, CDCl3): δC ppm 51.5 (COOCH3), 78.5 (Ox C-2,4), 81.1 (C(CH3)3), 110.7 (Ox C-3), 159.6 (COOC(CH3)3), 165.7 (COOCH3). The HRMS (ESI+) for C6H8NaO3 ([M+Na]+) was calcd. as 151.0366 and found to be 151.0366.
3.2.6. General Procedure for Compounds 8a–g
An appropriate N-heterocyclic compound (11.7 mmol), DBU (1.78 g, 11.7 mmol), and methyl 2-(oxetan-3-ylidene)acetate 7 (1.50 g, 11.7 mmol) were dissolved in acetonitrile (4 mL) and stirred at 45 °C for 24 h. The reaction was quenched by the addition of water (15 mL) and extracted with ethyl acetate (3 × 10 mL). The combined organic solutions were dried over anhydr. Na2SO4, and then the solvents were removed under reduced pressure. Purification was conducted via flash chromatography.
Methyl(3-{3-[(tert-butoxycarbonyl)amino]azetidin-1-yl}oxetan-3-yl)acetate (8a)
The sample was prepared from 7 (0.33 g, 2.6 mmol), 3-N-Boc-aminoazetidine hydrochloride (0.54 g, 2.6 mmol), and DBU (0.4 g, 2.6 mmol). The obtained residue was purified by flash chromatography (eluent n-hexane/ethyl acetate, v/v, 2:1 and dichloromethane/methanol, v/v, 100:1) to give 8a (0.55 g, 71%) as a slightly yellow oil. IR (νmax, cm−1): 3314 (N-H), 1719 (C=O), 1162 (C-O-C). 1H-NMR (700 MHz, CDCl3): δH ppm 1.44 (s, 9H, C(CH3)3), 2.66 (s, 2H, CH2CO), 3.11–3.24 (m, 2H, Az CH2), 3.64–3.71 (m, 5H, Az CH2, OCH3), 4.10–4.35 (m, 1H, Az CH), 4.57 (d, J = 7.2 Hz, 2H, Ox 2,4-H), 4.71 (d, J = 7.2 Hz, 2H, Ox 2,4-H), 4.98–5.06 (m, 1H, NH). 13C-NMR (176 MHz, CDCl3): δC ppm 28.4 (C(CH3)3), 40.1 (CH2COOCH3), 40.7 (Az C-3), 51.7 (COOCH3), 55.7 (Az C-2,4), 61.7 (Ox C-3), 76.0 (Ox C-2,4), 79.7 (C(CH3)3), 155.0 (COOC(CH3)3), 171.0 (COOCH3). 15N-NMR (71 MHz, CDCl3): δN ppm –348.4 (Az), –288.5 (NH). The HRMS (ESI+) for C14H24N2O5 ([M+H]+) was calcd. as 301.1764 and found to be 301.1758.
Methyl(3-{(3S)-3-[(tert-butoxycarbonyl)amino]pyrrolidin-1-yl}oxetan-3-yl)acetate (8b)
The sample was prepared from 7 (1.50 g, 11.7 mmol), (S)-3-Boc-aminopyrrolidine (2.18 g, 11.7 mmol), and DBU (1.78 g, 11.7 mmol). The obtained residue was purified by flash chromatography (eluent ethyl acetate) to give 8b (2.39 g, 65%) as a slightly yellow oil. [α]D20 = –15.4 (c 0.87, MeOH). IR (νmax, cm−1) 3330 (N-H), 1735 (C=O), 1706 (C=O), 1165 (C-O-C). 1H-NMR (700 MHz, CDCl3): δH ppm 1.44 (s, 9H, C(CH3)3), 1.60–1.73 (m, 1H, Pyrr 4-H CHaHb), 2.14–2.27 (m, 1H, Pyrr 4-H CHaHb), 2.63–2.75 (m, 2H, Pyrr 2-H CHaHb and 5-H CHaHb) 2.80–2.92 (m, 3H, Pyrr 2-H CHaHb and CH2CO), 2.93–3.00 (m, 1H, Pyrr 5-H CHaHb), 3.69 (s, 3H, OCH3), 3.97–4.24 (m, 1H, Pyrr 3-H), 4.55 (d, J = 6.9 Hz, 1H, Ox 2,4-H), 4.62 (d, J = 6.9 Hz, 1H, Ox 2,4-H), 4.76 (dd, J = 6.9, 4.4 Hz, 2H, Ox 2,4-H), 4.78–4.85 (m, 1H, NH). 13C-NMR (176 MHz, CDCl3): δC ppm 28.4 (C(CH3)3), 32.1 (Pyrr C-4), 40.6 (CH2COOCH3), 45.1 (Pyrr C-5), 49.8 (Pyrr C-3), 51.7 (COOCH3), 53.7 (Pyrr C-2), 61.2 (Ox C-3), 77.4 (Ox C-2,4), 77.8 (Ox C-2,4), 79.3 (C(CH3)3), 155.3 (COOC(CH3)3), 171.3 (COOCH3). 15N-NMR (71 MHz, CDCl3): δN ppm –330.6 (Pyrr), –284.3 (NH). The HRMS (ESI+) for C15H26N2O5 ([M+H]+) was calcd. as 315.1914 and found to be 315.1915.
Methyl(3-{(3R)-3-[(tert-butoxycarbonyl)amino]pyrrolidin-1-yl}oxetan-3-yl)acetate (8c)
The sample was prepared from 7 (0.30 g, 2.3 mmol), ®-3-Boc-aminopyrrolidine (0.43 g, 2.3 mmol), and DBU (0.36 g, 2.3 mmol). The obtained residue was purified by flash chromatography (eluent ethyl acetate) to give 8c (1.28 g, 87%) as a slightly yellow oil. [α]D20 = 15.6 (c 0.87, MeOH). IR (νmax, cm−1) 3331 (N-H), 1736 (C=O), 1706 (C=O), 1165 (C-O-C). 1H-NMR (700 MHz, CDCl3): δH ppm 1.44 (s, 9H, C(CH3)3), 1.63–1.70 (m, 1H, Pyrr 4-H CHaHb), 2.14–2.24 (m, 1H, Pyrr 4-H CHaHb), 2.65–2.72 (m, 2H, Pyrr 2-H CHaHb and 5-H CHaHb), 2.81–2.90 (m, 3H, Pyrr 2-H CHaHb and CH2CO), 2.93–3.02 (m, 1H, Pyrr 5-H CHaHb), 3.69 (s, 3H, OCH3), 4.00–4.22 (m, 1H, Pyrr 3-H), 4.55 (d, J = 6.9 Hz, 1H, Ox 2,4-H), 4.62 (d, J = 6.9 Hz, 1H, Ox 2,4-H), 4.75 (dd, J = 6.9, 4.5 Hz, 2H, Ox 2,4-H), 4.79–4.88 (m, 1H, NH). 13C-NMR (176 MHz, CDCl3): δC ppm 28.4 (C(CH3)3), 32.1 (Pyrr C-4), 40.6 (CH2COOCH3), 45.1 (Pyrr C-5), 49.8 (Pyrr C-3), 51.7 (COOCH3), 53.7 (Pyrr C-2), 61.2 (Ox C-3), 77.4 (Ox C-2,4), 77.8 (Ox C-2,4), 79.3 (C(CH3)3), 155.3 (COOC(CH3)3), 171.3 (COOCH3). The HRMS (ESI+) for C15H26N2O5 ([M+H]+) was calcd. as 315.1914 and found to be 315.1915.
Methyl(3-{(3S)-3-[(tert-butoxycarbonyl)amino]piperidin-1-yl}oxetan-3-yl)acetate (8d)
The sample was prepared from 7 (1.50 g, 11.7 mmol), (S)-3-Boc-aminopiperidine (2.34 g, 11.7 mmol), and DBU (1.78 g, 11.7 mmol). The obtained residue was purified by flash chromatography (eluent ethyl acetate) to give 8d (1.92 g, 50%) as a clear oil. [α]D20 = –21.8 (c 0.87, MeOH). IR (νmax, cm−1) 3331 (N-H), 1731 (C=O), 1706 (C=O), 1163 (C-O-C). 1H-NMR (700 MHz, CDCl3): δH ppm 1.45 (s, 9H, C(CH3)3), 1.51–1.76 (m, 4H, Pip 4-H and Pip 5-H), 2.21–2.36 (m, 2H, Pip 6-H CHaHb and 2-H CHaHb), 2.37–2.57 (m, 2H, Pip 6-H CHaHb and 2-H CHaHb), 2.71 (m, 2H, CH2CO), 3.71 (s, 3H, OCH3), 3.72–3.79 (m, 1H, Pip 3-H), 4.50–4.64 (m, 4H, Ox 2,4-H), 5.07 (s, 1H, NH). 13C-NMR (176 MHz, CDCl3): δC ppm 22.4 (Pip C-5), 28.5 (C(CH3)3), 29.5 (Pip C-4), 34.7 (CH2COOCH3), 45.9 (Pip C-3), 46.2 (Pip C-6), 51.3 (Pip C-2), 51.9 (COOCH3), 62.2 (Ox C-3), 79.2 (Ox C-2,4), 79.3 (Ox C-2,4), 79.5 (C(CH3)3), 155.1 (COOC(CH3)3), 172.1 (COOCH3). 15N-NMR (71 MHz, CDCl3): δN ppm –331.1 (Pip), –291.2 (NH). The HRMS (ESI+) for C16H28N2O5 ([M+H]+) was calcd. as 329.2071 and found to be 329.2071.
Methyl(3-{(3R)-3-[(tert-butoxycarbonyl)amino]piperidin-1-yl}oxetan-3-yl)acetate (8e)
The sample was prepared from 7 (1.50 g, 11.7 mmol), (R)-3-Boc-aminopiperidine (2.34 g, 11.7 mmol), and DBU (1.78 g, 11.7 mmol). The obtained residue was purified by flash chromatography (eluent n-hexane/ethyl acetate, v/v, 1:1) to give 8e (2.11 g, 55%) as a clear oil. [α]D20 = 22.1 (c 0.87, MeOH). IR (νmax, cm−1) 3330 (N-H), 1732 (C=O), 1706 (C=O), 1163 (C-O-C). 1H-NMR (700 MHz, CDCl3): δH ppm 1.45 (s, 9H, C(CH3)3), 1.51–1.74 (m, 4H, Pip 4-H and Pip 5-H), 2.19–2.35 (m, 2H, Pip 6-H CHaHb and 2-H CHaHb), 2.37–2.57 (m, 2H, Pip 6-H CHaHb and 2-H CHaHb), 2.71 (m, 2H, CH2CO), 3.71 (s, 3H, OCH3), 3.73–3.78 (m, 1H, Pip 3-H), 4.46–4.63 (m, 4H, Ox 2,4-H), 5.08 (s, 1H, NH). 13C-NMR (176 MHz, CDCl3): δC ppm 22.4 (Pip C-5), 28.5 (C(CH3)3), 29.5 (Pip C-4), 34.7 (CH2COOCH3), 45.9 (Pip C-3), 46.2 (Pip C-6), 51.3 (Pip C-2), 51.9 (COOCH3), 62.2 (Ox C-3), 79.2 (Ox C-2,4), 79.3 (Ox C-2,4), 79.5 (C(CH3)3), 155.1 (COOC(CH3)3), 172.1 (COOCH3). 15N-NMR (71 MHz, CDCl3): δN ppm –331.1 (Pip), –291.0 (NH). The HRMS (ESI+) for C16H28N2O5 ([M+H]+) was calcd. as 329.2071 and found to be 329.2071.
Methyl(3-{4-[(tert-butoxycarbonyl)amino]piperidin-1-yl}oxetan-3-yl)acetate (8f)
The sample was prepared from 7 (0.75 g, 5.75 mmol), 4-Boc-aminopiperidine (1.17 g, 5.75 mmol), and DBU (0.89 g, 5.75 mmol). The obtained residue was purified by flash chromatography (eluent dichloromethane/methanol, v/v, 100:1) to give 8f (1.10 g, 58%) as a clear oil. IR (νmax, cm−1) 3308 (N-H), 1725 (C=O), 1679 (C=O), 1164 (C-O-C). 1H-NMR (700 MHz, CDCl3): δH ppm 1.35–1.51 (m, 11H, C(CH3)3, Pip CH2), 1.82–1.97 (m, 2H, Pip CH2), 2.18 (td, J = 11.3, 2.5 Hz, 2H, Pip CH2), 2.60 (dt, J = 11.3, 3.8 Hz 2H, Pip CH2), 2.72 (s, 2H, CH2CO), 3.22–3.52 (m, 1H, Pip CH), 3.70 (s, 3H, OCH3), 4.55 (s, 4H, Ox 2 × CH2), 4.57–4.66 (m, 1H, NH). 13C-NMR (176 MHz, CDCl3): δC ppm 28.4 (C(CH3)3), 32.9 (Pip 2 × CH2), 34.3 (CH2COOCH3), 44.6 (Pip 2 × CH2), 47.8 (Pip CH), 51.9 (COOCH3), 62.3 (Ox C-3), 79.2 (Ox C-2,4), 79.4 (C(CH3)3), 155.1 (COOC(CH3)3), 172.2 (COOCH3). The HRMS (ESI+) for C16H28N2O5 ([M+Na]+) was calcd. as 351.1898 and found to be 351.1890.
Methyl[3-(4-{[(tert-butoxycarbonyl)amino]methyl}piperidin-1-yl)oxetan-3-yl]acetate (8g)
The sample was prepared from 7 (1.5 g, 11.7 mmol), 4-Boc-aminopiperidine (2.51 g, 11.7 mmol), and DBU (1.78 g, 11.7 mmol). The obtained residue was purified by flash chromatography (eluent dichloromethane/methanol, v/v, 100:3) to give 8g (2.20 g, 55%) as a clear oil. IR (νmax, cm−1) 3374 (N-H), 1723 (C=O), 1681 (C=O), 1165 (C-O-C). 1H-NMR (700 MHz, CDCl3): δH ppm 1.23 (qd, J = 11.8, 3.8 Hz, 2H, Pip CH2), 1.44 (s, 9H, C(CH3)3), 1.63–1.74 (m, 2H, Pip CH2), 2.08 (td, J = 11.5, 2.4 Hz, 2H, Pip CH2), 2.62 (dt, J = 11.9, 3.5 Hz, 2H, Pip CH2), 2.72 (s, 2H, CH2CO), 3.01 (t, J = 6.4 Hz, 2H, CH2), 3.70 (s, 3H, OCH3), 4.52–4.62 (m, 4H, 2 × CH2, Ox), 4.60–4.71 (m, 1H, NH).13C-NMR (176 MHz, CDCl3): δC ppm 28.4 (C(CH3)3), 30.1 (Pip 2 × CH2), 34.2 (CH2COOCH3), 36.5 (Pip CH), 45.5 (Pip 2 × CH2), 46.1 (CH2NH), 51.9 (COOCH3), 62.4 (Ox C-3), 79.1 (C(CH3)3), 79.4 (Ox C-2,4), 156.0 (COOC(CH3)3), 172.4 (COOCH3). The HRMS (ESI+) for [C17H30N2O5 ([M+H]+) was calcd. as 343.2234 and found to be 343.2228.
4. Conclusions
We developed a general approach for the preparation of new heterocyclic amino-acid-like building blocks containing azetidine and oxetane rings through aza-Michael addition, starting from methyl 2-(azetidin-3-ylidene)- and methyl 2-(oxetan-3-ylidene)acetates with heterocyclic aliphatic and heterocyclic aromatic amines. The synthesis and diversification of the azetidine building blocks were achieved through palladium-catalysed Suzuki–Miyaura cross-coupling reactions from a corresponding brominated pyrazole scaffold with alkyl and aryl boronic acids. These new heterocyclic compounds could be reliably determined using advanced NMR spectroscopy techniques, in particular by conducting 1H-1H NOESY, 1H-13C HMBC, and 1H-15N HMBC experiments.
Supplementary Materials
The following supporting information can be downloaded at: https://www.mdpi.com/article/10.3390/molecules28031091/s1. Figure S1: 1H NMR (700 MHz: CDCl3) spectrum of compound 3, Figure S2: 13C NMR (176 MHz: CDCl3) spectrum of compound 3, Figure S3: HRMS (ESI-TOF) of compound 3, Figure S4: 1H NMR (700 MHz: CDCl3) spectrum of compound 4a, Figure S5: 13C NMR (176 MHz: CDCl3) spectrum of compound 4a, Figure S6: 1H-15N HMBC (71 MHz: CDCl3) spectrum of compound 4a, Figure S7: HRMS (ESI-TOF) of compound 4a, Figure S8: 1H NMR (700 MHz: CDCl3) spectrum of compound 4b, Figure S9: 13C NMR (176 MHz: CDCl3) spectrum of compound 4b, Figure S10: 1H-15N HMBC (71 MHz: CDCl3) spectrum of compound 4b, Figure S11: HRMS (ESI-TOF) of compound 4b, Figure S12: 1H NMR (700 MHz: CDCl3) spectrum of compound 4c, Figure S13: 13C NMR (176 MHz: CDCl3) spectrum of compound 4c, Figure S14: HRMS (ESI-TOF) of compound 4c, Figure S15: 1H NMR (700 MHz: CDCl3) spectrum of compound 4d, Figure S16: 13C NMR (176 MHz: CDCl3) spectrum of compound 4d, Figure S17: 19F NMR (376 MHz: CDCl3) spectrum of compound 4d, Figure S18: HRMS (ESI-TOF) of compound 4d, Figure S19: 1H NMR (400 MHz: CDCl3) spectrum of compound 4e, Figure S20: 13C NMR (101 MHz: CDCl3) spectrum of compound 4e, Figure S21: HRMS (ESI-TOF) of compound 4e, Figure S22: 1H NMR (700 MHz: CDCl3) spectrum of compound 4f, Figure S23: 13C NMR (176 MHz: CDCl3) spectrum of compound 4f, Figure S24: 1H-15N HMBC (71 MHz: CDCl3) spectrum of compound 4f, Figure S25: HRMS (ESI-TOF) of compound 4f, Figure S26: 1H NMR (700 MHz: CDCl3) spectrum of compound 4g, Figure S27: 13C NMR (176 MHz: CDCl3) spectrum of compound 4g, Figure S28: 1H-15N HMBC (71 MHz: CDCl3) spectrum of compound 4g, Figure S29: HRMS (ESI-TOF) of compound 4g, Figure S30: 1H NMR (700 MHz: CDCl3) spectrum of compound 4h, Figure S31: 13C NMR (176 MHz: CDCl3) spectrum of compound 4h, Figure S32: HRMS (ESI-TOF) of compound 4h, Figure S33: 1H NMR (700 MHz: CDCl3) spectrum of compound 4i, Figure S34: 13C NMR (176 MHz: CDCl3) spectrum of compound 4i, Figure S35: HRMS (ESI-TOF) of compound 4i, Figure S36: 1H NMR (700 MHz: CDCl3) spectrum of compound 4j, Figure S37: 13C NMR (176 MHz: CDCl3) spectrum of compound 4j, Figure S38: 1H-15N HMBC (71 MHz: CDCl3) spectrum of compound 4j, Figure S39: HRMS (ESI-TOF) of compound 4j, Figure S40: 1H NMR (700 MHz: CDCl3) spectrum of compound 4k, Figure S41: 13C NMR (176 MHz: CDCl3) spectrum of compound 4k, Figure S42: 1H-15N HMBC (71 MHz: CDCl3) spectrum of compound 4k, Figure S43: HRMS (ESI-TOF) of compound 4k, Figure S44: 1H NMR (700 MHz: CDCl3) spectrum of compound 4l, Figure S45: 13C NMR (176 MHz: CDCl3) spectrum of compound 4l, Figure S46: 19F NMR (376 MHz: CDCl3) spectrum of compound 4l, Figure S47: 1H-15N HMBC (71 MHz: CDCl3) spectrum of compound 4l, Figure S48: 1H-13C HMBC (176 MHz: CDCl3) spectrum of compound 4l, Figure S49: 1H-1H NOESY (700 MHz: CDCl3) spectrum of compound 4l, Figure S50: HRMS (ESI-TOF) of compound 4l, Figure S51: 1H NMR (700 MHz: CDCl3) spectrum of compound 4m, Figure S52: 13C NMR (176 MHz: CDCl3) spectrum of compound 4m, Figure S53: 1H-15N HMBC (71 MHz: CDCl3) spectrum of compound 4m, Figure S54: 1D Selective Gradient NOESY (700 MHz: CDCl3) spectrum of compound 4m, Figure S55: HRMS (ESI-TOF) of compound 4m, Figure S56: 1H NMR (700 MHz: CDCl3) spectrum of compound 4n, Figure S57: 13C NMR (176 MHz: CDCl3) spectrum of compound 4n, Figure S58: 1H-15N HMBC (71 MHz: CDCl3) spectrum of compound 4n, Figure S59: HRMS (ESI-TOF) of compound 4n, Figure S60: 1H NMR (700 MHz: CDCl3) spectrum of compound 4o, Figure S61: 13C NMR (176 MHz: CDCl3) spectrum of compound 4o, Figure S62: 1H-15N HMBC (71 MHz: CDCl3) spectrum of compound 4o, Figure S63: HRMS (ESI-TOF) of compound 4o, Figure S64: 1H NMR (700 MHz: CDCl3) spectrum of compound 4p, Figure S65: 13C NMR (176 MHz: CDCl3) spectrum of compound 4p, Figure S66: 1H-15N HMBC (71 MHz: CDCl3) spectrum of compound 4p, Figure S67: HRMS (ESI-TOF) of compound 4p, Figure S68: 1H NMR (700 MHz: CDCl3) spectrum of compound 4q, Figure S69: 13C NMR (176 MHz: CDCl3) spectrum of compound 4q, Figure S70: 1H-15N HMBC (71 MHz: CDCl3) spectrum of compound 4q, Figure S71: 1H-1H NOESY (700 MHz: CDCl3) spectrum of compound 4q, Figure S72: HRMS (ESI-TOF) of compound 4q, Figure S73: 1H NMR (700 MHz: CDCl3) spectrum of compound 4r, Figure S74: 13C NMR (176 MHz: CDCl3) spectrum of compound 4r, Figure S75: 1H-15N HMBC (71 MHz: CDCl3) spectrum of compound 4r, Figure S76: 1D Selective gradient NOESY (700 MHz: CDCl3) spectrum of compound 4r, Figure S77: HRMS (ESI-TOF) of compound 4r, Figure S78: 1H NMR (700 MHz: CDCl3) spectrum of compound 4s, Figure S79: 13C NMR (176 MHz: CDCl3) spectrum of compound 4s, Figure S80: 1H-15N HMBC (71 MHz: CDCl3) spectrum of compound 4s, Figure S81: HRMS (ESI-TOF) of compound 4s, Figure S82: 1H NMR (700 MHz: CDCl3) spectrum of compound 5a, Figure S83: 13C NMR (176 MHz: CDCl3) spectrum of compound 5a, Figure S84: HRMS (ESI-TOF) of compound 5a, Figure S85: 1H NMR (700 MHz: CDCl3) spectrum of compound 5b, Figure S86: 13C NMR (176 MHz: CDCl3) spectrum of compound 5b, Figure S87: HRMS (ESI-TOF) of compound 5b, Figure S88: 1H NMR (700 MHz: CDCl3) spectrum of compound 5c, Figure S89: 13C NMR (176 MHz: CDCl3) spectrum of compound 5c, Figure S90: HRMS (ESI-TOF) of compound 5c, Figure S91: 1H NMR (700 MHz: CDCl3) spectrum of compound 5d, Figure S92: 13C NMR (176 MHz: CDCl3) spectrum of compound 5d, Figure S93: HRMS (ESI-TOF) of compound 5d, Figure S94: 1H NMR (700 MHz: CDCl3) spectrum of compound 5e, Figure S95: 13C NMR (176 MHz: CDCl3) spectrum of compound 5e, Figure S96: HRMS (ESI-TOF) of compound 5e, Figure S97: 1H NMR (700 MHz: CDCl3) spectrum of compound 5f, Figure S98: 13C NMR (176 MHz: CDCl3) spectrum of compound 5f, Figure S99: HRMS (ESI-TOF) of compound 5f, Figure S100: 1H NMR (700 MHz: CDCl3) spectrum of compound 5g, Figure S101: 13C NMR (176 MHz: CDCl3) spectrum of compound 5g, Figure S102: 19F NMR (376 MHz: CDCl3) spectrum of compound 5g, Figure S103: HRMS (ESI-TOF) of compound 5g, Figure S104: 1H NMR (700 MHz: CDCl3) spectrum of compound 5h, Figure S105: 13C NMR (176 MHz: CDCl3) spectrum of compound 5h, Figure S106: HRMS (ESI-TOF) of compound 5h, Figure S107: 1H NMR (700 MHz: CDCl3) spectrum of compound 5i, Figure S108: 13C NMR (176 MHz: CDCl3) spectrum of compound 5i, Figure S109: 1H-15N HMBC (71 MHz: CDCl3) spectrum of compound 5i, Figure S110: HRMS (ESI-TOF) of compound 5i, Figure S111: 1H NMR (700 MHz: CDCl3) spectrum of compound 5j, Figure S112: 13C NMR (176 MHz: CDCl3) spectrum of compound 5j, Figure S113: 1H-15N HMBC (71 MHz: CDCl3) spectrum of compound 5j, Figure S114: HRMS (ESI-TOF) of compound 5j, Figure S115: 1H NMR (700 MHz: CDCl3) spectrum of compound 5k, Figure S116: 13C NMR (176 MHz: CDCl3) spectrum of compound 5k, Figure S117: 1H-15N HMBC (71 MHz: CDCl3) spectrum of compound 5k, Figure S118: HRMS (ESI-TOF) of compound 5k, Figure S119: 1H NMR (700 MHz: CDCl3) spectrum of compound 5l, Figure S120: 13C NMR (176 MHz: CDCl3) spectrum of compound 5l, Figure S121: HRMS (ESI-TOF) of compound 5l, Figure S122: 1H NMR (700 MHz: CDCl3) spectrum of compound 5m, Figure S123: 13C NMR (176 MHz: CDCl3) spectrum of compound 5m, Figure S124: HRMS (ESI-TOF) of compound 5m, Figure S125: 1H NMR (700 MHz: CDCl3) spectrum of compound 5n, Figure S126: 13C NMR (176 MHz: CDCl3) spectrum of compound 5n, Figure S127: HRMS (ESI-TOF) of compound 5n, Figure S128: 1H NMR (700 MHz: CDCl3) spectrum of compound 7, Figure S129: 13C NMR (176 MHz: CDCl3) spectrum of compound 7, Figure S130: HRMS (ESI-TOF) of compound 7, Figure S131: 1H NMR (700 MHz: CDCl3) spectrum of compound 8a, Figure S132: 13C NMR (176 MHz: CDCl3) spectrum of compound 8a, Figure S133: 1H-15N HSQC (71 MHz: CDCl3) spectrum of compound 8a, Figure S134: 1H-15N HMBC (71 MHz: CDCl3) spectrum of compound 8a, Figure S135: HRMS (ESI-TOF) of compound 8a, Figure S136: 1H NMR (700 MHz: CDCl3) spectrum of compound 8b, Figure S137: 13C NMR (176 MHz: CDCl3) spectrum of compound 8b, Figure S138: 1H-15N HSQC (71 MHz: CDCl3) spectrum of compound 8b, Figure S139: 1H-15N HMBC (71 MHz: CDCl3) spectrum of compound 8b, Figure S140: HRMS (ESI-TOF) of compound 8b, Figure S141: 1H NMR (700 MHz: CDCl3) spectrum of compound 8c, Figure S142: 13C NMR (176 MHz: CDCl3) spectrum of compound 8c, Figure S143: HRMS (ESI-TOF) of compound 8c, Figure S144: 1H NMR (700 MHz: CDCl3) spectrum of compound 8d, Figure S145: 13C NMR (176 MHz: CDCl3) spectrum of compound 8d, Figure S146: 1H-15N HSQC (71 MHz: CDCl3) spectrum of compound 8d, Figure S147: 1H-15N HMBC (71 MHz: CDCl3) spectrum of compound 8d, Figure S148: HRMS (ESI-TOF) of compound 8d, Figure S149: 1H NMR (700 MHz: CDCl3) spectrum of compound 8e, Figure S150: 13C NMR (176 MHz: CDCl3) spectrum of compound 8e, Figure S151: 1H-15N HSQC (71 MHz: CDCl3) spectrum of compound 8e, Figure S152: 1H-15N HMBC (71 MHz: CDCl3) spectrum of compound 8e, Figure S153: HRMS (ESI-TOF) of compound 8e, Figure S154: 1H NMR (700 MHz: CDCl3) spectrum of compound 8f, Figure S155: 13C NMR (176 MHz: CDCl3) spectrum of compound 8f, Figure S156: HRMS (ESI-TOF) of compound 8f, Figure S157: 1H NMR (700 MHz: CDCl3) spectrum of compound 8g, Figure S158: 13C NMR (176 MHz: CDCl3) spectrum of compound 8g, Figure S159: HRMS (ESI-TOF) of compound 8g.
Author Contributions
Conceptualization, F.A.S. and A.Š.; methodology, F.A.S. and A.Š.; validation, S.K. and N.K.; formal analysis, A.B., A.Š., E.G., and S.K.; investigation, E.G., S.K., R.J., U.Š., A.B., A.Š., and M.S.; data curation, V.M., A.B., and N.K.; writing—original draft preparation, A.Š. and E.G.; writing—review and editing, S.K., A.Š., and F.A.S.; visualization A.Š.; resources, F.A.S. and A.Š.; supervision, F.A.S. and A.Š. All authors have read and agreed to the published version of the manuscript.
Funding
This research was funded by Vipergen ApS (Copenhagen, Denmark) and the Doctoral Fund of Kaunas University of Technology No. A-410, approved 26 June 2019.
Institutional Review Board Statement
Not applicable.
Informed Consent Statement
Not applicable.
Data Availability Statement
The data presented in this study are available on request from the corresponding authors. 1H and 13C NMR data are available via Mendeley Data, V1, doi:10.17632/5jh3p4v6p5.1.
Conflicts of Interest
The authors declare no conflict of interest.
Sample Availability
Samples of the compounds are not available from the authors.
References
- Gupta, R.R.; Kumar, M.; Gupta, V. Four-membered heterocycles. In Heterocyclic Chemistry; Springer: Berlin/Heidelberg, Germany, 1998; pp. 357–410. [Google Scholar] [CrossRef]
- Singh, G.S.; D’hooghe, M.; De Kimpe, N. Azetidines, azetines and azetes: Monocyclic. In Comprehensive Heterocyclic Chemistry III; Stevens, C.V., Ed.; Elsevier: Oxford, UK, 2008; Volume 2, Chapter 2.01; pp. 1–110. [Google Scholar]
- Mehra, V.; Lumb, I.; Anand, A.; Kumar, V. Recent advances in synthetic facets of immensely reactive azetidines. RSC Adv. 2017, 7, 45763–45783. [Google Scholar] [CrossRef]
- Brandi, A.; Cicchi, S.; Cordero, F.M. Novel syntheses of azetidines and azetidinones. Chem. Rev. 2008, 108, 3988–4035. [Google Scholar] [CrossRef] [PubMed]
- Ohshita, K.; Ishiyama, H.; Takahashi, Y.; Ito, J.; Mikami, Y.; Kobayashi, J. Synthesis of penaresidin derivatives and its biological activity. Bioorg. Med. Chem. 2007, 15, 4910–4916. [Google Scholar] [CrossRef] [PubMed]
- Kobayashi, J.; Cheng, J.-F.; Ishibashi, M.; Wälchli, M.R.; Yamamur, S.; Ohizumi, Y. Penaresidin A and B, two novel azetidine alkaloids with potent actomyosin ATPase-activating activity from the Okinawan marine sponge Penares sp. J. Chem. Soc. Perkin Trans. 1991, 5, 1135–1137. [Google Scholar] [CrossRef]
- Sata, T.; Saito, H. Sustained calcium antagonists azelnidipine (Calblock pharmacological properties of) the clinical effects. Jpn. J. Pharmacol. 2003, 122, 539–547. [Google Scholar] [CrossRef]
- Watanabe, M.; Hirano, T.; Okamoto, S.; Shiraishi, S.; Tomiguchi, S.; Uchino, M. Azelnidipine, a long-acting calcium channel blocker, could control hypertension without decreasing cerebral blood flow in post-ischemic stroke patients. A 123I-IMP SPECT follow-up study. Hypertens. Res. 2010, 33, 43–48. [Google Scholar] [CrossRef]
- Faust, M.; Höfner, G.; Pabel, J.; Wanner, K. Azetidine derivatives as novel γ-aminobutyric acid uptake inhibitors: Synthesis, biological evaluation, and structure–activity relationship. Eur. J. Med. Chem. 2010, 45, 2453–2466. [Google Scholar] [CrossRef]
- Žukauskaitė, A.; Mangelinckx, S.; Buinauskaitė, V.; Šačkus, A.; De Kimpe, N. Synthesis of new functionalized aziridine-2- and azetidine-3-carboxylic acid derivatives of potential interest for biological and foldameric applications. Amino Acids 2011, 41, 541–558. [Google Scholar] [CrossRef]
- Žukauskaitė, A.; Moretto, A.; Peggion, C.; De Zotti, M.; Šačkus, A.; Formaggio, F.; De Kimpe, N.; Mangelinckx, S. Synthesis and conformational study of model peptides containing N-substituted 3-aminoazetidine-3-carboxylic Acids. Eur. J. Org. Chem. 2014, 2014, 2312–2321. [Google Scholar] [CrossRef]
- Rubenstein, E.; Zhou, H.; Krasinska, K.M.; Chien, A.; Becker, C.H. Azetidine-2-carboxylic acid in garden beets (Beta vulgaris). Phytochemistry 2006, 67, 898–903. [Google Scholar] [CrossRef]
- Ashino, H.; Shimamura, M.; Nakajima, H.; Dombou, M.; Kawanaka, S.; Oikawa, T.; Iwaguchi, T.; Kawashima, S. Novel function of ascorbic acid as an angiostatic factor. Angiogenesis 2003, 6, 259–269. [Google Scholar] [CrossRef] [PubMed]
- Tsai, F.H.; Overberger, C.G.R.; Zand, R. Synthesis and peptide bond orientation in tetrapeptides containing L-azetidine-2-carboxylic acid and L-proline. Biopolymers 1990, 30, 1039–1049. [Google Scholar] [CrossRef] [PubMed]
- Reiners, F.; Joseph, E.; Nißl, B.; Didier, D. Stereoselective access to azetidine-based α-amino acids and applications to small peptide synthesis. Org. Lett. 2020, 22, 8533–8537. [Google Scholar] [CrossRef] [PubMed]
- Torino, D.; Mollica, A.; Pinnen, F.; Lucente, G.; Feliciani, F.; Davis, P.; Lai, J.; Ma, S.-W.; Porreca, F.; Hruby, V.J. Synthesis and evaluation of new endomorphin analogues modified at the Pro2 residue. Bioorg. Med. Chem. Lett. 2009, 19, 4115–4118. [Google Scholar] [CrossRef]
- Dubois, M.A.J.; Smith, M.A.; White, A.J.P.; Jie, A.L.W.; Mousseau, J.J.; Choi, C.; Bull, J.A. Short synthesis of oxetane and azetidine 3-Aryl-3-carboxylic acid derivatives by selective furan oxidative cleavage. Org. Lett. 2020, 22, 5279–5283. [Google Scholar] [CrossRef]
- He, Z.-T.; Hartwig, J.F. Palladium-catalyzed α-arylation for the addition of small rings to aromatic compounds. Nat. Commun. 2019, 10, 4083. [Google Scholar] [CrossRef]
- Latta, K.S.; Ginsberg, B.; Barkin, R.L. Meperidine: A critical review. Am. J. Ther. 2002, 9, 53–68. [Google Scholar] [CrossRef]
- Lerner, I.; Michaeli, A. Positive Allosteric Modulators of GABAA Receptor. U.S. Patent 2021/035595 A1, 18 November 2021. [Google Scholar]
- Chalyk, B.A.; Kandaurova, I.Y.; Hrebeniuk, K.V.; Manoilenko, O.V.; Kulik, I.B.; Iminov, R.T.; Kubyshkin, V.; Tverdokhlebov, A.V.; Ablialimov, O.K.; Mykhailiuk, P.K. A base promoted multigram synthesis of aminoisoxazoles: Valuable building blocks for drug discovery and peptidomimetics. RSC Adv. 2016, 6, 25713–25723. [Google Scholar] [CrossRef]
- Callery, P.S.; Geelhaar, L.A. 1-Piperideine as an in vivo precursor of the gamma-aminobutyric acid homologue 5-aminopentanoic acid. J. Neurochem. 1985, 45, 946–948. [Google Scholar] [CrossRef]
- Bruzgulienė, J.; Račkauskienė, G.; Bieliauskas, A.; Milišiūnaitė, V.; Dagilienė, M.; Matulevičiūtė, G.; Martynaitis, V.; Krikštolaitytė, S.; Sløk, F.A.; Šačkus, A. Regioselective synthesis of methyl 5-(N-Boc-cycloaminyl)-1,2-oxazole-4-carboxylates as new amino acid-like building blocks. Beilstein J. Org. Chem. 2022, 18, 102–109. [Google Scholar] [CrossRef]
- Iškauskienė, M.; Ragaitė, G.; Sløk, F.A.; Šačkus, A. Facile synthesis of novel amino acid-like building blocks by N-alkylation of heterocyclic carboxylates with N-Boc-3-iodoazetidine. Mol. Divers 2020, 24, 1235–1251. [Google Scholar] [CrossRef] [PubMed]
- Burkhard, J.A.; Wuitschik, G.; Rogers-Evans, M.; Müller, K.; Carreira, E.M. Oxetanes as versatile elements in drug discovery and synthesis. Angew. Chem. Int. Ed. 2010, 49, 9052–9067. [Google Scholar] [CrossRef] [PubMed]
- Kawahata, Y.; Takatsuto, S.; Ikekawa, N.; Murata, M.; Omura, S. Synthesis of a new amino acid-antibiotic, oxetin and its three stereoisomers. Chem. Pharm. Bull. 1986, 34, 3102–3110. [Google Scholar] [CrossRef] [PubMed]
- Weaver, B.A. Taxol/paclitaxel kills cancer cells. Mol. Biol. Cell. 2014, 25, 2677–2681. [Google Scholar] [CrossRef]
- Seki, J.-I.; Shimada, N.; Takakashi, K.; Takita, T.; Takeuchi, T.; Hoshino, H. Inhibition of infectivity of human immunodeficiency virus by a novel nucleoside, oxetanocin, and related compounds. Antimicrob. Agents Chemother. 1989, 33, 773–775. [Google Scholar] [CrossRef] [PubMed]
- Kozikowski, A.P.; Fauq, A.H. Synthesis of novel four-membered ring amino acids as modulators of the N-Methyl-D-Aspartate(NMDA) receptor complex. Synlett 1991, 783–784. [Google Scholar] [CrossRef]
- Wuitschik, G.; Carreira, E.M.; Wagner, B.; Fisher, H.; Parrilla, I.; Schuler, F.; Rogers-Evans, M.; Muller, K. Oxetanes in drug discovery: Structural and synthetic insights. J. Med. Chem. 2010, 53, 3227–3246. [Google Scholar] [CrossRef]
- Bull, J.A.; Croft, R.A.; Davis, O.A.; Doran, R.; Morgan, K.F. Oxetanes: Recent advances in synthesis, reactivity, and medicinal chemistry. Chem. Rev. 2016, 116, 12150–12233. [Google Scholar] [CrossRef]
- Powell, N.H.; Clarkson, G.J.; Notman, R.; Raubo, P.; Martin, N.G.; Shipman, M. Synthesis and structure of oxetane containing tripeptide motifs. Chem. Commun. 2014, 50, 8797–8800. [Google Scholar] [CrossRef]
- Lucas, S.D.; Fischer, H.; Alker, A.; Rauter, A.P.; Wessel, H.P. Libraries on oxetane δ-amino acid scaffolds: Syntheses and evaluation of physicochemical and metabolic properties. Int. J. Carbohydr. Chem. 2011, 30, 498–548. [Google Scholar] [CrossRef]
- Madsen, D.; Azevedo, C.; Micco, I.; Petersen, L.K.; Hansen, N.J.V. Chapter four—An overview of DNA-encoded libraries: A versatile tool for drug discovery. Prog. Med. Chem. 2020, 59, 181–249. [Google Scholar] [CrossRef] [PubMed]
- Bisceglia, J.A.; Orelli, L.R. Recent progress in the Horner-Wadsworth-Emmons reaction. Curr. Org. Chem. 2015, 19, 744–775. [Google Scholar] [CrossRef]
- Yang, X.; Kong, W.-Y.; Gao, J.-N.; Cheng, L.; Li, N.-N.; Li, M.; Li, H.-T.; Fan, J.; Gao, J.-M.; Ouyang, Q.; et al. Rhodium catalyzed C-C bond cleavage/coupling of 2-(Azetidin-3-ylidene)acetates and analogs. Chem. Commun. 2019, 55, 12707–12710. [Google Scholar] [CrossRef] [PubMed]
- Harwood, L.M.; Moody, C.J. Experimental Organic Chemistry: Principles and Practice; Blackwell Scientific Publications: Oxford, UK, 1989; p. 778. [Google Scholar]
- Rulev, A.Y.; Tyumentsev, I.A. Pull-pull alkenes in the aza-Michael reaction. Adv. Synth. Catal. 2022, 364, 1622–1642. [Google Scholar] [CrossRef]
- Vicario, J.L.; Badía, D.; Carrillo, L.; Etxebarria, J.; Reyes, E.; Ruiz, N. The asymmetric aza-Michael reaction. A review. Org. Prep. Proced. Int. 2005, 37, 513–538. [Google Scholar] [CrossRef]
- Lin, Y.; Hirschi, W.J.; Kunadia, A.; Paul, A.; Ghiviriga, I.; Abboud, K.A.; Karugu, R.W.; Vetticatt, M.J.; Hirschi, J.S.; Seidel, D. A Selenourea-Thiourea Brønsted acid catalyst facilitates asymmetric conjugate additions of amines to α,β-unsaturated esters. J. Am. Chem. Soc. 2020, 142, 5627–5635. [Google Scholar] [CrossRef]
- Gilfillan, L.; Artschwager, R.; Harkiss, A.H.; Liskamp, R.M.J.; Sutherland, A. Synthesis of pyrazole containing α-amino acids via a highly regioselective condensation/aza-Michael reaction of β-aryl α,β-unsaturated ketones. Org. Biomol. Chem. 2015, 13, 4514–4523. [Google Scholar] [CrossRef]
- Małolepsza, J.; Joachimiak, Ł.; Blazewska, K. Aza-Michael addition of imidazole analogues. Synthesis 2016, 48, 2681–2704. [Google Scholar] [CrossRef]
- Kodolitsch, K.; Gobec, F.; Slugovc, C. Solvent- and Catalyst-Free Aza-Michael Addition of Imidazoles and Related Heterocycles. Solvent- and Catalyst-Free Aza-Michael Addition of Imidazoles and Related Heterocycles. EurJOC 2020, 19, 2973–2978. [Google Scholar] [CrossRef]
- Hou, X.; Hemit, H.; Yong, J.; Nie, L.; Aisa, H.A. Mild and efficient procedure for Michael addition of N-heterocycles to α,β-unsaturated compounds using anhydrous K3PO4 as catalyst. Synth. Commun. 2021, 40, 973–979. [Google Scholar] [CrossRef]
- Yang, J.; Bao, Y.; Zhou, H.; Li, T.; Li, N.; Li, Z. Highly efficient synthesis of N 1-substituted 1H-indazoles by DBU-catalyzed aza-Michael reaction of indazole with enones. Synthesis 2016, 48, 1139–1146. [Google Scholar] [CrossRef]
- Xie, S.-S.; Hui, Y.-H.; Long, X.-J.; Wang, C.-C.; Xie, Z.-F. Aza-Michael addition reactions between nitroolefins and benzotriazole catalyzed by MCM-41 immobilized heteropoly acids in water. Chin. Chem. Lett. 2013, 24, 28–30. [Google Scholar] [CrossRef]
- Kerru, N.; Gummidi, L.; Maddila, S.; Gangs, K.K.; Sreekantha, B.; Jonnalagadda, S.B. A review on recent advances in nitrogen-containing molecules and their biological applications. Molecules 2020, 25, 1909. [Google Scholar] [CrossRef] [PubMed]
- Kachaeva, M.V.; Obernikhina, N.V.; Veligina, E.S.; Zhuravlova, M.Y.; Prostota, Y.O.; Kachkovsky, O.D.; Brovarets, V.S. Estimation of biological affinity of nitrogen-containing conjugated heterocyclic pharmacophores. Chem. Heterocycl. Compd. 2019, 55, 448–454. [Google Scholar] [CrossRef]
- Chen, S.-W.; Zhang, G.-C.; Lou, Q.-X.; Cui, W.; Zhang, S.-S.; Hu, W.-H.; Zhao, J.-L. Organocatalytic enantioselective aza-Michael reaction of benzotriazole to β,β-disubstituted nitroalkenes. ChemCatChem 2015, 7, 1935–1938. [Google Scholar] [CrossRef]
- Li, Z.; Li, T.; Fu, R.; Yang, J. Regioselective 1,4-conjugate aza-Michael addition of dienones with benzotriazole. Heterocycl. Commun. 2017, 23, 287–291. [Google Scholar] [CrossRef]
- Azizi, N.; Mohammad, R.; Saidi, M.R. LiClO4 Accelerated Michael addition of amines to α,β-unsaturated olefins under solvent-free condition. Tetrahedron 2004, 60, 383–387. [Google Scholar] [CrossRef]
- Dutt, S.; Goel, V.; Garg, N.; Choudhury, D.; Mallick, D.; Tyagi, V. Biocatalytic aza-Michael addition of aromatic amines to enone using α-amylase in water. Adv. Synth. Catal. 2020, 362, 858–866. [Google Scholar] [CrossRef]
- Ying, A.-G.; Wang, L.-M.; Deng, H.-X.; Chen, J.-H.; Chen, X.-Z.; Yeb, W.-D. Green and efficient aza-Michael additions of aromatic amines to α,β-unsaturated ketones catalyzed by DBU based task-specific ionic liquids without solvent. Arkivoc 2009, 11, 288–298. [Google Scholar] [CrossRef]
- Nyoni, D.; Lobb, K.A.; Kaye, P.T.; Cairab, M.R. DBU-Mediated cleavage of aryl- and heteroaryl disulfides. Arkivoc 2012, 6, 245–252. [Google Scholar] [CrossRef]
- Ying, A.G.; Liu, L.; Wu, G.F.; Chen, G.; Chen, X.Z.; Ye, W.D. Aza-Michael addition of aliphatic or aromatic amines to α,β-unsaturated compounds catalyzed by a DBU-derived ionic liquid under solvent-free conditions. Tetrahedron Lett. 2009, 50, 1653–1657. [Google Scholar] [CrossRef]
- Yeom, C.-E.; Kim, M.J.; Kim, B.M. 1,8-Diazabicyclo [5.4.0]undec-7-ene (DBU)-promoted efficient and versatile aza-Michael addition. Tetrahedron 2007, 63, 904–909. [Google Scholar] [CrossRef]
- Xu, J.; Cai, J.; Chen, J.; Zong, X.; Wu, X.; Ji, M.; Wang, P. An efficient synthesis of baricitinib. J. Chem. Res. 2016, 40, 205–208. [Google Scholar] [CrossRef]
- Colella, M.; Musci, P.; Cannillo, D.; Spennacchio, M.; Aramini, A.; Degennaro, L.; Luisi, R. Flow synthesis of 2-substituted azetines and 3-substituted azetidines by using a common synthetic precursor. J. Org. Chem. 2021, 86, 13943–13954. [Google Scholar] [CrossRef] [PubMed]
- Musci, P.; Colella, M.; Altomare, A.; Romanazzi, G.; Sheikh, N.S.; Degennaro, L.; Luisi, R. Dynamic phenomena and complexation effects in the α-lithiation and asymmetric functionalization of azetidines. Molecules 2022, 27, 2847. [Google Scholar] [CrossRef]
- Morgenthaler, M.; Schweizer, E.; Hoffmann-Röder, A.; Benini, F.; Rainer, M.E.; Jaeschke, G.; Wagner, B.; Fischer, H.; Bendels, S.; Zimmerli, D.; et al. Predicting and tuning physicochemical properties in lead optimization: Amine basicities. ChemMedChem 2007, 2, 1100–1115. [Google Scholar] [CrossRef]
- Li, G.; Kakarla, R.; Gerritz, S.W. A fast and efficient bromination of isoxazoles and pyrazoles by microwave irradiation. Tetrahedron Lett. 2007, 48, 4595–4599. [Google Scholar] [CrossRef]
- Ríos, M.-C.; Portilla, J. Recent advances in synthesis and properties of pyrazoles. Chemistry 2022, 4, 940–968. [Google Scholar] [CrossRef]
- Mykhailiuk, P.K. Fluorinated pyrazoles: From synthesis to applications. Chem. Rev. 2021, 121, 1670–1715. [Google Scholar] [CrossRef]
- Lipunova, G.N.; Nosova, E.V.; Charushin, V.N.; Chupakhin, O.N. Fluorine-containing pyrazoles and their condensed derivatives: Synthesis and biological activity. J. Fluor. Chem. 2015, 175, 84–109. [Google Scholar] [CrossRef]
- Lee, L.F.; Schleppnik, F.M.; Schneider, R.W.; Campbell, D.H. Synthesis and 13C NMR of (trifluoromethyl)hydroxypyrazoles. J. Het. Chem. 1990, 27, 243–245. [Google Scholar] [CrossRef]
- Jiang, Z.-Y.; Huang, Z.-Y.; Yang, H.; Zhou, L.; Li, Q.-H.; Zhao, Z.-G. Cs2CO3 catalyzed direct aza-Michael addition of azoles to α,β-unsaturated malonates. RSC Adv. 2022, 12, 19265–19269. [Google Scholar] [CrossRef] [PubMed]
- Bulger, P.G.; Cottrell, I.F.; Cowden, C.J.; Davies, A.J.; Dolling, U.-H. An investigation into the alkylation of 1,2,4-triazole. Tetrahedron Lett. 2000, 41, 1297–1301. [Google Scholar] [CrossRef]
- Ma, B.; Wang, G.; Zhou, H.; Yang, J. Alkali salt-catalyzed aza-Michael addition of 1,2,4-triazole to α,β-unsaturated ketones and imides. Chin. J. Org. Chem. 2020, 40, 115–124. [Google Scholar] [CrossRef]
- Gerencsér, J.; Balázs, Á.; Dormán, G. Transition metal-catalyzed coupling reactions in library synthesis. In Synthesis and Modification of Heterocycles by Metal-Catalyzed Cross-coupling Reactions; Patonay, T., Kónya, K., Eds.; Springer International Publishing: Cham, Switzerland, 2016. [Google Scholar]
- Zhang, Y.; Han, J.; Liu, Z.-J. Palladium-catalyzed double-Suzuki–Miyaura reactions using cyclic dibenziodoniums: Synthesis of o-tetraaryls. J. Org. Chem. 2016, 81, 1317–1323. [Google Scholar] [CrossRef]
- Žukauskaitė, Ž.; Buinauskaitė, V.; Solovjova, J.; Malinauskaitė, L.; Kveselytė, A.; Bieliauskas, A.; Ragaitė, G.; Šačkus, A. Microwave-assisted synthesis of new fluorescent indoline-based building blocks by ligand free Suzuki-Miyaura cross-coupling reaction in aqueous media. Tetrahedron 2016, 72, 2955–2963. [Google Scholar] [CrossRef]
- Voiciuk, V.; Redeckas, K.; Martynaitis, V.; Steponavičiūtė, R.; Šačkus, A.; Vengris, A. Improving the photochromic properties of indolo [2,1-b][1,3]benzoxazines with phenylic substituents. J. Photochem. Photobiol. A Chem. 2014, 278, 60–68. [Google Scholar] [CrossRef]
- Malik, A.; Rasool, N.; Kanwal, I.; Hashmi, M.A.; Zahoor, A.F.; Ahmad, G.; Altaf, A.A.; Shah, S.A.A.; Sultan, S.; Zakaria, Z.A. Suzuki–Miyaura reactions of (4-bromophenyl)-4,6-dichloropyrimidine through commercially available palladium catalyst: Synthesis, optimization and their structural aspects identification through computational studies. Processes 2020, 8, 1342. [Google Scholar] [CrossRef]
- Talele, T.T. The “cyclopropyl fragment” is a versatile player that frequently appears in preclinical/clinical drug. J. Med. Chem. 2016, 59, 8712–8756. [Google Scholar] [CrossRef]
- Wallace, D.J.; Chen, C.-y. Cyclopropylboronic acid: Synthesis and Suzuki cross-coupling reactions. Tetrahedron Lett. 2002, 39, 6987–6990. [Google Scholar] [CrossRef]
- Edwards, A.-M.; Ahmed, M.; Pulz, R.A.; Rooney, L.A.; Smith, N.; Troxler, T.J. Carboxamide Derivates. Patent US 9.403,833 B2, 28 February 2017. [Google Scholar]
- Gładkowski, W.; Siepka, M.; Janeczko, T.; Kostrzewa-Susłow, E.; Popłoński, J.; Mazur, M.; Żarowska, B.; Łaba, W.; Maciejewska, G.; Wawrzeńczyk, C. Synthesis and antimicrobial activity of methoxy-substituted γ-oxa-ε-lactones derived from flavanones. Molecules 2019, 24, 4151. [Google Scholar] [CrossRef] [PubMed]
- Eicher-Lorka, O.; Kuodis, Z.; Matijoška, A.; Rutavičius, A. Synthesis of 4-cyclo(propyl- and butyl)-1-ethylpyridinium bromides and calculation of their proton and carbon chemical shifts. Arkivoc 2010, 11, 114–132. [Google Scholar] [CrossRef]
- Gobbi, L.; Jaeschke, G.; Rodriguez, S.R.M.; Steward, L. D3 and 5-HT2A Receptor Modulators. U.S. Patent 2010/75983 A1, 25 March 2010. [Google Scholar]
- Arrebola-Liébanas, F.J.; Romero-González, R.; Garrido-Frenich, A. HRMS: Fundamentals and basic concepts. In Applications in High Resolution Mass Spectrometry: Food Safety and Pesticide Residue Analysis, 1st ed.; Elsevier: Amsterdam, The Netherlands, 2017; Chapter 1; pp. 1–14. [Google Scholar] [CrossRef]
Disclaimer/Publisher’s Note: The statements, opinions and data contained in all publications are solely those of the individual author(s) and contributor(s) and not of MDPI and/or the editor(s). MDPI and/or the editor(s) disclaim responsibility for any injury to people or property resulting from any ideas, methods, instructions or products referred to in the content. |
© 2023 by the authors. Licensee MDPI, Basel, Switzerland. This article is an open access article distributed under the terms and conditions of the Creative Commons Attribution (CC BY) license (https://creativecommons.org/licenses/by/4.0/).







