Abstract
Alzheimer’s disease is a global health problem due to the scarcity of acetylcholinesterase inhibitors, the basis for symptomatic treatment of this disease; this requires new approaches to drug discovery. In this study, we investigated the chemical composition and anticholinesterase activity of Eugenia valvata McVaugt (Myrtaceae) collected in southern Ecuador, which was obtained as an essential oil (EO) with a yield of 0.124 ± 0.03% (w/w); as a result of the chemical composition analysis, a total of 58 organic compounds were identified—representing 95.91% of the total volatile compounds—using a stationary phase based on 5% phenyl-methylpolysiloxane, as analyzed via gas chromatography coupled to mass spectrometry (GC-MS) and flame ionization detection (GC-FID). The main groups were hydrocarbon sesquiterpenes (37.43%), oxygenated sesquiterpenes (31.08%), hydrocarbon monoterpenes (24.14%), oxygenated monoterpenes (0.20%), and other compounds (3.058%). Samples were characterized by the following compounds: α-pinene (22.70%), α-humulene (17.20%), (E)-caryophyllene (6.02%), citronellyl pentanoate (5.76%), 7-epi-α-eudesmol (4.34%) and 5-iso-cedranol (3.64%); this research was complemented with an enantioselective analysis carried out using 2,3-diethyl-6-tert-butyldimethylsilyl-β-cyclodextrin as a stationary phase chiral selector. As a result, α-pinene, limonene, and α-cadinene enantiomers were identified; finally, in the search for new active principles, the EO reported strong anticholinesterase activity with an IC50 of 53.08 ± 1.13 µg/mL, making it a promising candidate for future studies of Alzheimer’s disease.
1. Introduction
Since ancient times, the medicinal use of plants for the treatment or alleviation of various diseases has been replaced by pharmaceuticals, and rural populations also claim that medicinal plant therapy is their preferred method for solving health problems [1,2]. In addition, traditional medicine is currently very important, as it includes herbal medicines, which are used by about 80% of the world’s population for primary health care [3,4]. However, health professionals rarely use herbal remedies; their treatments are based on synthetic pharmaceuticals, even for the treatment of minor illnesses [5].
Ecuador is considered one of the 17 most biodiverse countries in the world, with 18,198 vascular plant species (25% of which are endemic) comprising 91 plant families distributed across three continents and island regions [6]. One of these families is Myrtaceae, belonging to the order Myrtales, represented by about 144 genera and 5500 species in the Neotropics [7].
The Eugenia genus is known for its wide range of chemical compounds and comprises around 350 native species [8]; it consists of trees and shrubs predominantly distributed from southern Mexico, Cuba and the Antilles to Uruguay, Argentina, Africa, Southeast Asia and the Pacific [9,10,11]. Eugenia offers nutritional and bioactive components; potent antioxidant properties; antimicrobial, anti-inflammatory [12,13,14], analgesic, and antibacterial [15] effects; and cholinesterase activity [16]. On the other hand, various microorganisms and parasites have been studied to determine the effectiveness of Eugenia genus; these include pathogenic bacteria as well as viruses such as herpes simplex and hepatitis C. Essential oils (EOs) not only exhibit antimicrobial, antioxidant, antifungal, and antiviral properties but also anti-inflammatory, cytotoxic, insect repellent, and anesthetic properties [17]. Furthermore, many Eugenia species contain compounds such as gallic polyphenols, ellagic acyl derivatives [18,19], tannins [20] and flavonol glycosides [15,21]. Primarily distributed in tropical and subtropical regions, they are generally subtropical woody plants with persistent foliage and lysigenous secretory cavities containing essences that produce spices and medicinal substances with biological properties [22]. The species Eugenia valvata is a shrub or tree species endemic to Ecuador; it is found in the provinces of Cañar, Carchi, Chimborazo, Imbabura, Loja and Pichincha [23]; in the lowland forests of the Andes; and in the humid vegetation of the inter-Andean region, between 1000 and 3500 m.a.s.l. [7,23].
Preliminary studies have shown that essential oils and their chemical constituents have effects on the central nervous system, including in the treatment of Alzheimer’s disease [24]. This is because the components of EOs are small and lipophilic, which facilitates their movement across the blood–brain barrier [25]. In addition, their characteristic volatility may facilitate their use in inhalation, bypassing the metabolic pathway whose facilitator denatures the active components [26]. Clinical reports also suggest aromatherapy improves memory and alleviates psycho-behavioral symptoms in Alzheimer’s patients [27].
To the best of our knowledge, the present study represents the first report of the chemical composition of E. valvata EO and Acetylcholinesterase (AChE) inhibition. Furthermore, it presents this chemical characterization, which may contribute to the correct identification of species from this genus; it also presents the first study of its enantiomeric distribution.
The aim of the present study was to extract and characterize the EO present in the species, and to evaluate the EO from E. valvata in terms of its inhibition of the AChE enzyme, in order to identify possible species that could represent new sources of cholinesterase inhibitors for the palliative treatment of Alzheimer’s disease.
2. Results
2.1. Yield and Chemical Composition
The essential oil obtained from E. valvata showed a low yield of 0.124 ± 0.03% (w/w); a total of 58 constituents were identified, accounting for 95.91% of the total components, which were identified by GC-MS and GC-FID. The compounds’ identification and their abundance, as well as the LRI values in order of their elution, are depicted in Table 1.
Table 1.
Chemical composition of Eugenia valvata essential oil from Ecuador.
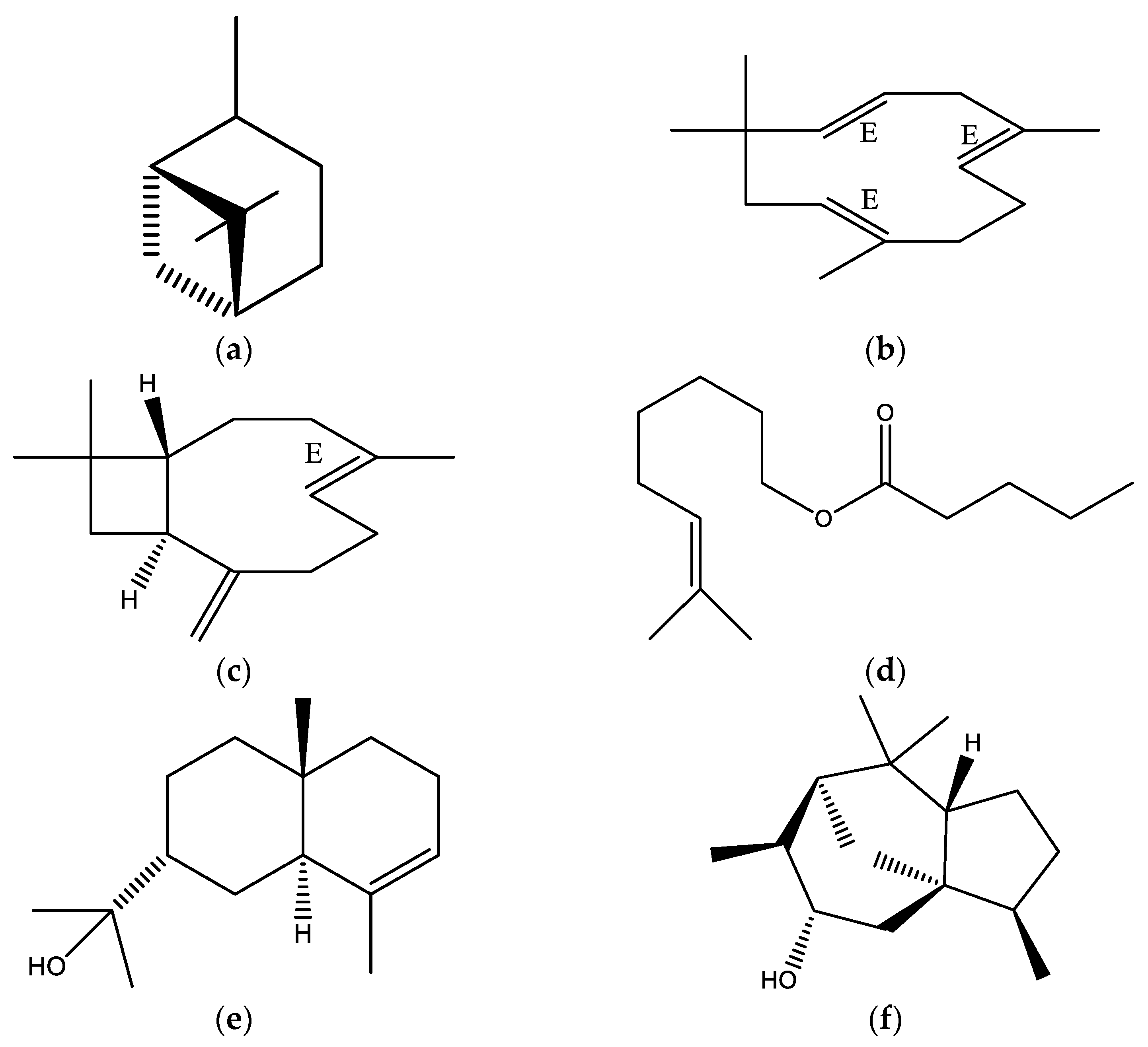
From the data obtained, the EO showed a complex mixture of several components, predominated by hydrocarbon sesquiterpenes (37.43%) followed by oxygenated sesquiterpenes (31.08%), hydrocarbon monoterpenes (24.14%) and to a lesser extent oxygenated monoterpene (0.20%). Furthermore, the major compounds were (a) α-pinene (22.70%), (b) α-humulene (17.20%), (c) (E)-caryophyllene (6.02%), (d) citronellyl pentanoate (5.76%), (e) 7-epi-α-eudesmol (4.34%) and (f) 5-iso-cedranol (3.64%), as shown in Figure 1 and Figure 2.
Figure 1.
Chromatogram of EO of Eugenia valvata on DB5 column.
Figure 2.
Chemical constituents of Eugenia valvata essential oil; (a) α-pinene, (b) α-humulene (c) (E)-caryophyllene, (d) citronellyl pentanoate, (e) 7-epi-α-eudesmol and (f) 5-iso-cedranol.
2.2. Enantiomeric Distribution
The enantiomeric distribution was analyzed for the first time on a chiral stationary phase, considering the retention time of each separated enantiomer using pure standards. Furthermore, hydrocarbon monoterpenes such as α-pinene and limonene, as well as sesquiterpenes such as α-cadinene, were successfully identified. the enantiomeric distribution and enantiomeric excess—which describe how optically pure a mixture is by calculating the purity of the major enantiomer—were assessed, and the results are shown in Table 2.
Table 2.
Enantiomeric distribution of Eugenia valvata essential oil from Ecuador.
2.3. Cholinesterase Activity
The AChE inhibitory activity of E. valvata EO was assessed using a spectrophotometric method. The E. valvata EO was assayed for its anticholinesterase potential by measuring the rate against three different concentrations; it showed a moderate inhibitory activity with an IC50 value of 53.08 ± 1.13 µg/mL (Figure 3). Furthermore, donepezil hydrochloride was used as a positive control with an IC50 value of 12.3 ± 1.35 µg/mL.
Figure 3.
Inhibitory effect plot of Eugenia valvata essential oil, against acetylcholinesterase. Data were analyzed0, by the non linear regression model, n = 9.
3. Discussion
Our essential oil yield was significantly lower than that from other species of the same genus. For example, E. egensis, E. flavescens, E. polystachya and E. patrisii presented values of 2.5%, 1.0%, 1.0% and 0.7%, respectively [29]; it is important to note that these plants were air-dried, and the yield was similar to that of E. uniflora L. (0.13%) [30]. According to the literature, the yield may be related to the influence of variables such as genetic factors, the developmental stage and phenological cycle of seasonal changes, the type of plant material, and other conditions such as geographical distribution [31].
To the best of our knowledge, this is the first report into the essential oil of E. valvata, though there are reports on other species of Eugenia. This is the case for E. flavescens, where oil extraction was performed upon the dried leaves and thin stems, obtaining three isomers of bisabolene as a majority: (E)-γ-bisabolene (35.0%), β-bisabolene (34.7%) and (E)-iso-γ-bisabolene (5.1%). In the species E. egensis, the main components were 5-hydroxy-cis-calemenene (35.8%), β-caryophyllene (8.9%), trans-cadin-1,4-diene (6.3%), trans-calamenene (6.1%), trans-muurola-3,5-diene (5.9%) and ledol (5.0%) [29]. The EOs of Eugenia protenta from Brazil presented three chemical profiles mainly composed of sesquiterpenes such as selin-11-en-4α-ol (14.4–18.3%) and β-elemene (12.3–18.3%) for profile I; germacrene D (15.1–15.6%), bicyclogermacrene (5.8–11.8%), δ-elemene (8.5%) and β-elemene (9.2–12.8%) for profile II; and dimethylxanthoxylin (73.2–83.0%) for profile 3 [32]. Compounds found in E. umbelliflora oil—such as viridiflorol (17.7%), β-pinene (13.2%), α-pinene (11.2%), aromadendrene (6.9%) and ledol (4.7%) [33]—and in another EOs from E. umbelliflora from southern Brazil—α-pinene and β-pinene—were the main compounds (24.7% and 23.5%, respectively) [34], the only oils similar to our study. Sesquiterpenes predominate in the leaf oil of other Eugenia species, and the variability of the compounds is due to the geographical location and genetics of each species, because these factors modify their chemical composition [35].
The main compound in the EO was α-Pinene, a monoterpene of great interest for medical use but also of high industrial and commercial value; it is a bicyclic hydrocarbon consisting of two isoprene units, giving the total formula C10H16 [36]. α-Pinene is the major secondary metabolite in many coniferous essential oils [37]; it has volatile and hydrophobic properties, a fresh pine scent, and a woody flavor [38].
The biological properties of α -pinene have been extensively studied. However, there is a lack of data regarding the biological effects of its enantiomers. The role of enantioselectivity in determining biological activity is crucial and may explain the conflicting results in the literature [36]. It is generally accepted that the enantiomeric forms have different biological activities. Therefore, careful monitoring of the enantiomeric distribution of (±)-α-pinene in natural products intended for pharmaceutical or other biological purposes is necessary. The biological activities of α-pinene have been extensively studied. However, there is a lack of data regarding the biological effects of the enantiomers. Enantioselectivity plays an important role in the determination of biological activity and may be the reason for the conflicting data in the literature [36]. Enantiomeric forms are known to have different biological activities. Therefore, the enantiomeric distribution of (±)-α-pinene should be monitored in natural products for pharmaceutical or biological use.
The enantiomer (+) α-pinene has been biologically studied and has shown antibacterial [36,39,40], antifungal [36,40,41], antimalarial [42], anti-inflammatory, chondroprotective [43] and neuroprotective [44] activities; on the other hand, (−) α-pinene presents antiviral [42] and neuroprotective [45] activities, which can be contrasted with the cholinesterase effect that the E. valvata essential oil possesses due to the presence of these enantiomers. Both enantiomers (with IC50 values of 0.40 and 0.44 mM, respectively) have the potential to act as antagonists of acetylcholinesterase and could be of interest in the field of Alzheimer’s disease treatment [44]. Further research is needed to explore the importance of the enantioselectivity of α-pinene, especially in biological activity, as this would help predict its potential therapeutic applications.
The AChE inhibitory activity of E. valvata EO has not been reported to date and shows a moderate AChE inhibitory effect with an IC50 of 53.08 ± 1.13 μg/mL; this result is better than that of the extract of Eugenia dysenterica ex. DC Mart. [16]; the evaluated aqueous extract of E. dysenterica showed a moderate inhibitory effect on AChE at a concentration of 100 μg/mL, with an IC50 value of 155.20 ± 2.09 μg/mL. In contrast to our study, one study aimed at evaluating the anticholinesterase effects of six Eugenia species from Brazil: neither the methanol extracts nor ethyl acetate fractions of E. handroana, E. stigmatosa and E. candolleana were able to significantly inhibit AChE activity; however, in the case of E. brevistyla, E. catharinae and E. mattosii, the methanol extract and ethyl acetate fraction (at 200 μg/mL) were able to significantly inhibit AChE activity (by up to 83%) [46]. It is worth noting that studies have demonstrated the anticholinesterase activity of phenolic compounds, which are abundant in the genus Eugenia [47,48], and to which this activity could be attributed. Researchers have already examined several Eugenia species to determine their potential as anti-AChE agents. Other studies on the Eugenia species have shown, for example, that the essential oil of E. sucata, which is rich in (E)-caryophyllene (24.6%), shows anti-acetylcholinesterase activity (IC50 4.66 μg/mL) [49]. Furthermore, the oil of E. verticillata (syn. E. riedeliana), which is rich in valerianol (28.1%), shows an IC50 of 67.3 μg/mL [50], and the oil of E. brasiliensis with α-pinene (1.77–15.94%), β-pinene (2.98–11.24%), spathulenol (8.10–18.17%), 1-epi-cubenol (4.83–7.46%) and τ-cadinol (10.38–15.30%) shows low antiacetylcholinesterase activity (IC50 > 1000 μg/mL) [51]. The sesquiterpene α-humulene, another of the major compounds of E. valvata EOs, has been reported to have low AChE inhibition effects (>15 mM) [52].
According to a study by Miyazawa et al. (1997), the terpene hydrocarbon compounds show similar inhibitory activity on AChE to the terpene alcohols [53]. In addition, Aazza et al. (2011) found that the presence of a double bond in the molecular structure of bicyclic monoterpene hydrocarbons resulted in a strong inhibition of AChE activity [54]. On the other hand, Miyazawa et al. (2001) found that the presence of oxygenated groups, especially in ketones, improved the inhibitory effect of sesquiterpenes [55].
Although AChE inhibition may be of great interest in studies of the treatment or slowing of Alzheimer’s disease and other neurodegenerative diseases, and cholinesterase activity could be attributed to the main compounds, it seems more reasonable to attribute the anticholinesterase activity of E. valvata EO to an undefined interaction of the enzyme with different components of the oil, and synergistic and antagonistic relationships should be considered.
4. Materials and Methods
4.1. Plant Material
The leaves of Eugenia valvata in flowering stage were collected in the Chuquiribamba sector of the Loja province (latitude 3°56′06″ S and longitude 79°16′20″ W), on November 2021, as shown in Figure 4. The leaves were cleaned and stored at 0 °C until EO extraction. The identification was conducted by Dr. Nixon Cumbicus, botanist of the Universidad Técnica Particular de Loja (UTPL) and deposited in the herbarium HUTPL with the voucher code 14551; finally, the plant collection was authorized by the government of Ecuador with code MAE-DBN-2016-048.
Figure 4.
Map of the collection of Eugenia valvata; province of Loja, from Ecuador.
4.2. Essential Oil Isolation
The essential oil was obtained from 2.09 kg of fresh leaves, which were chopped manually and subjected immediately to steam distillation for 3 h at atmospheric pressure, in a Clevenger apparatus. The essential oil obtained was dried over anhydrous sodium sulfate and refrigerated (below −4 °C) until the GC analysis; this process was carried out in triplicate [31].
4.3. Identification and Quantification of Essential Oil
Gas chromatography coupled to mass spectrometry (GC-MS) and flame ionization detection (GC-FID) were performed, and the composition of the EO of Eugenia valvata and the linear retention indices (LRI) were calculated on the basis of the hydrocarbon standards and via comparison of the mass spectra. Samples were prepared using a ratio of 1:100, with 10 μL of E. valvata EO and 990 μL of dichloromethane (HPLC grade, Thermo Fisher Scientific, Waltham, MA, USA).
For the qualitative analysis, a Thermo Scientific gas chromatograph (Trace 1310) coupled to mass spectrometry (ISQ7000) (Thermo Fisher Scientific, Waltham, MA, USA) was performed to determine the chemical composition of the EO. A non-polar DB-5ms based on a 5% phenyl-methylpolysiloxane column (30 m × 0.25 mm, 0.25 μm film thickness) (J & W Scientific, Folsom, CA, USA) was used. Each sample was injected in triplicate in split mode (40:1). The instrument was operated in electronic ionization mode (70 eV), helium gas was used as the carrier gas (1 mL/min) in constant flow, and the furnace operating conditions were as follows: for the first 5 min, the furnace was maintained at an initial temperature of 60 °C; then, an initial temperature ramp of 4 °C/min was applied until 230 °C was reached, and a second temperature ramp of 15 °C/min was applied until a final temperature of 250 °C was reached; this was maintained for 5 min. Both the oil samples and alkanes were injected under the same conditions.
For the quantitative analysis, the same column, DB-5ms (5% phenyl-methylpolysiloxane), was used. The analysis was performed on the same equipment but using a flame ionization detector (FID). Injection conditions were exactly the same as for GC-MS.
For the identification, each EO component was identified by comparing the mass spectrum and the linear retention indices (LRI) against literature results. The LRIs were calculated using a mixture of n-alkanes C9–C24 (ChemService, West Chester, PA, USA), and peaks were identified by comparison with mass spectra and retention indices with the NIST 2020 library and ADAMS [28].
4.4. Enantiomeric Analysis
Enantiomeric analysis of the essential oil from Eugenia valvata was performed for the first time, using GC-MS in a capillary column based on cyclodextrin (2,3-diethyl-6-tert-butyldimethylsilyl-β-cyclodextrin); the injection conditions of both samples and alkanes were the same as for the GC-MS analysis, except for the oven conditions, which were 60 °C for 5 min and a 2 °C/min ramp up to 220 °C; the run time was 90 min.
4.5. Cholinesterase Assay
The acetylcholinesterase inhibitory activity for in vitro E. valvata EO was evaluated according to Calva et al. [56] using the spectrophotometric method in accordance with the method developed by Ellman et al. [57]. For this, the AChE enzyme from electrophorus electricus (Sigma Aldrich, San Luis, MO, USA) was used in the experiment. In addition, measurements were performed in a microplate spectrophotometer (wavelength: 412 nm) (EPOCH 2, BioTek, Winooski, VT, USA). Anticholinesterase activity was expressed as IC50, which represents the concentration of EO required for 50% inhibition. The reference ChE inhibitor donepezil, purchased from Sigma-Aldrich (San Luis, MO, USA), was used as a false positive. IC50 values were calculated from the progression curves using Graph Pad Prism software (non-linear regression analysis, PRISM 8.0.1, GraphPad, San Diego, CA, USA). Finally, any increase in absorbance due to spontaneous hydrolysis of ATCh was corrected by subtracting the absorbance at the end of the pre-incubation from the absorbance measured after addition of the enzyme.
5. Conclusions
The chemical and enantiomeric composition and AChE inhibitory activity of the essential oil of the endemic Ecuadorian plant Eugenia valvata were reported for the first time. The potent ability of E. valvata essential oil to inhibit AChE highlights the importance of further investigation into the chemical and biological properties of this plant. The essential oil was characterized by a predominance of sesquiterpenoids; it showed good cholinesterase activity. This activity cannot be specifically attributed to the main constituents, therefore it can be said that our knowledge is insufficient to explain the activity of a specific compound, and further studies on AChE inhibition by monoterpenoids and sesquiterpenoids, as well as their synergistic and antagonistic effects, should be considered.
Author Contributions
Conceptualization, J.C.; investigation, M.S.; writing—original draft preparation, J.C. and VM; writing—review and editing, J.C and V.M.; supervision, V.M. All authors have read and agreed to the published version of the manuscript.
Funding
This research received no external funding.
Institutional Review Board Statement
Not applicable.
Informed Consent Statement
Not applicable.
Data Availability Statement
Raw Data Availability Statements are available from the authors (J.C. and V.M.).
Acknowledgments
The authors would like to thank the Universidad Técnica Particular de Loja (UTPL) for supporting this open access publication.
Conflicts of Interest
The authors declare no conflict of interest.
References
- Petrovska, B.B. Historical review of medicinal plants’ usage. Pharmacogn. Rev. 2012, 6, 1–5. [Google Scholar] [CrossRef] [PubMed]
- Fokunang, C.N.; Ndikum, V.; Tabi, O.Y.; Jiofack, R.B.; Ngameni, B.; Guedje, N.M.; Tembe-Fokunang, E.A.; Tomkins, P.; Barkwan, S.; Kechia, F.; et al. Traditional medicine: Past, present and future research and development prospects and integration in the National Health System of Cameroon. Afr. J. Tradit. Complement. Altern. Med. 2011, 8, 284–295. [Google Scholar] [CrossRef] [PubMed]
- Che, C.T.; George, V.; Ijinu, T.P.; Pushpangadan, P.; Andrae-Marobela, K. Traditional Medicine. In Pharmacognosy, Fundamentals, Applications and Strategies; Badal McCreath, S., Delgoda, R., Eds.; Academic Press: Boston, MA, USA, 2017; pp. 15–30. [Google Scholar]
- Elizagaray, B.; Castro, R. Cuban scientific production about medicinal plants and natural products from PlantMedCUBA database. Rev. Cub. Plant. Med. 2013, 18, 348–360. [Google Scholar]
- Martínez, Y.; Gómez, L.L. Social impact of an intervention strategy for the rational prescription of natural medicines implemented in Céspedes during 2011. Rev. Cub. Plant. Med. 2013, 18, 609–618. [Google Scholar]
- Ministerio del Ambiente del Ecuador.2015.Quinto Informe Nacional Para el Convenio Sobre la Diversidad Biológica. Quito. Ecuador. Available online: https://www.ambiente.gob.ec/wp-content/uploads/downloads/2015/06/QUINTO-INFORME-BAJA-FINAL-19.06.2015.pdf (accessed on 10 August 2023).
- León, S.; Valencia, R.; Pitman, N.; Endara, L.; Ulloa, C.U.; Navarrete, H. Libro Rojo de Plantas Endémicas del Ecuador, 2a edición. In Publicaciones del Herbario QCA, Pontificia Universidad Católica del Ecuador 2011. Available online: https://ddrn.dk/wp-content/uploads/2018/01/LIBRO_ROJO_de_las_plantas_endemicas_del-1.pdf (accessed on 9 August 2023).
- Fischer, D.C.H.; Limberger, R.P.; Henriques, A.T.; Moreno, P.R.H. Essential oils from leaves of two Eugenia brasiliensis specimens from southeastern Brazil. J. Essent. Oil Res. 2005, 17, 499–500. [Google Scholar] [CrossRef]
- Fernanda Mazine, F.; Quintino Faria, J.E.; Giaretta, A.; Vasconcelos, T.; Forest, F.; Lucas, E. Phylogeny and biogeography of the hyper–diverse genus Eugenia (Myrtaceae: Myrteae), with emphasis on E. sect. Umbellatae, the most unmanageable clade. Taxon 2018, 67, 752–769. [Google Scholar] [CrossRef]
- Araujo, N.M.P.; Arruda, H.S.; de Paulo Farias, D.; Molina, G.; Pereira, G.A.; Pastore, G.M. Plants from the genus Eugenia as promising therapeutic agents for the management of diabetes mellitus: A review. Food Res. Int. 2021, 142, 110182. [Google Scholar] [CrossRef]
- Wilson, P.G. Myrtaceae. In The Families and Genera of Vascular Plants; Kubitzki, K., Ed.; Springer Press: Berlin/Heidelberg, Germany, 2011; pp. 212–271. [Google Scholar]
- Da Silva, A.P.G.; Sganzerla, W.G.; Jacomino, A.P.; da Silva, E.P.; Xiao, J.; Simal-Gandara, J. Chemical composition, bioactive compounds, and perspectives for the industrial formulation of health products from uvaia (Eugenia pyriformis Cambess–Myrtaceae): A comprehensive review. J. Food Compos. Anal. 2022, 109, 104500. [Google Scholar] [CrossRef]
- Öztürk, A.; Özbek, H. The Anti-Inflammatory Activity of Eugenia Caryophllata Essential Oil: An animal model of anti-inflammatory activity. Eur. J. Gen. Med. 2005, 2, 159–163. [Google Scholar]
- Slowing, K.; Carretero, E.; Villar, A. Anti-inflammatory compounds of Eugenia jambos. Phytother. Res. 1996, 10 (Suppl. S1), S126–S127. [Google Scholar]
- Sumono, A.; Wulan, A. The use of bay leaf (Eugenia polyantha Wight) in dentistry. Dent. J. (Majalah Kedokteran Gigi). 2008, 41, 147–150. [Google Scholar] [CrossRef]
- Gasca, C.A.; Castillo, W.O.; Takahashi, C.S.; Fagg, C.W.; Magallanes, P.O.; Fonseca-Bazzo, Y.M.; Silveira, D. Assessment of anti-cholinesterase activity and cytotoxicity of cagaita (Eugenia dysenterica) leaves. Food Chem. Toxicol. 2017, 109, 996–1002. [Google Scholar] [CrossRef] [PubMed]
- Chaieb, K.; Hajlaoui, H.; Zmantar, T.; Kahla-Nakbi, A.B.; Rouabhia, M.; Mahdouani, K.; Bakhrouf, A. The chemical composition and biological activity of clove essential oil, Eugenia caryophyllata (Syzigium aromaticum L. Myrtaceae): A short review. Phytother. Res. 2007, 21, 501–506. [Google Scholar] [CrossRef] [PubMed]
- Park, M.K.; Park, J.H.; Shin, Y.G.; Shin, U.K.; Kim, K.H.; Yakhak, H. Chemical constituents of Eugenia caryophyllata. Pharmaceut. Soc. Korea 1997, 41, 149–152. [Google Scholar]
- Son, K.; Kwon, S.Y.; Kim, H.P.; Chang, H.W.; Kang, S.S. Constituents from Syzygium aromaticum Merr. et Perry. Nat. Prod. Sci. 1998, 4, 263–267. [Google Scholar]
- Tanaka, T.; Nonaka, G.I.; Nishioka, I.; Kouno, I. Syzyginins A and B, two ellagitannins from Syzygium aromaticum. Phytochemistry 1996, 43, 1345–1348. [Google Scholar] [CrossRef]
- Schmeda-Hirschmann, G. Flavonoids from Calycorectes, Campomanesia, Eugenia and Hexachlamys species. Fitoterapia 1995, 66, 373–374. [Google Scholar]
- Bravi, V.S.; Valle, E. Revisión de constituyentes químicos y propiedades biológicas en especies del género Eugenia (Myrtaceae) Review of chemical constituents and biological properties in species of the genus Eugenia (Myrtaceae). Dominguezia 2021, 37, 5–19. [Google Scholar]
- Jorgensen, P.; Leon-Yanez, S. Catalogue of the Vascular Plants of Ecuador; Missouri Botanical Garden Press: St. Louis, MO, USA, 1999; Volume 75, pp. 1–1182. [Google Scholar]
- Dobetsberger, C.; Buchbauer, G. Actions of essential oils on the central nervous system: An updated review. Flavour Fragr. J. 2011, 26, 300–316. [Google Scholar] [CrossRef]
- Lahlou, M. Essential oils and fragrance compounds: Bioactivity and mechanisms of action. Flavour Fragr. J. 2004, 19, 159–165. [Google Scholar] [CrossRef]
- Ayaz, M.; Junaid, M.; Ullah, F.; Sadiq, A.; Khan, M.A.; Ahmad, W.; Shah, M.R.; Imran, M.; Ahmad, S. Comparative chemical profiling, cholinesterase inhibitions and anti-radicals properties of essential oils from Polygonum hydropiper L.: A preliminary anti-alzheimer’s study. Lipids Health Dis. 2015, 14, 141. [Google Scholar] [CrossRef]
- Fung, J.K.K.; Tsang, H.W.; Chung, R.C. A Systematic review of the use of aromatherapy in treatment of behavioral problems in dementia. Geriatr. Gerontol. Int. 2012, 12, 372–382. [Google Scholar] [CrossRef]
- Adams, R.P. Identification of Essential Oil Components by Gas Chromatography/Mass Spectrometry, 4th ed.; Allured Publishing Corporation: Carol Stream, IL, USA, 2007; ISBN 10-193263321. [Google Scholar]
- Silva, J.; Andrade, E.; Barreto, L.; Silva, N.; Ribeiro, A.; Montenegro, R.; Maia, J. Chemical Composition of Four Essential Oils of Eugenia from the Brazilian Amazon and Their Cytotoxic and Antioxidant Activity. Medicines 2017, 4, 51. [Google Scholar] [CrossRef] [PubMed]
- De Rojas, Y.E.C.; Lucena, M.E.; Bustamante, M.Y.G.; Guerrero, K.Y.R.; Zambrano, R.L.A.; De González, C.D.; Ustaríz, F.J.; Araujo, R.M.; Chacón, M.R.I. Composición química y actividad antifúngica del aceite esencial de hojas de Eugenia uniflora L. (Myrtaceae). Rev. Cub. Farm. 2022, 55, e796. [Google Scholar]
- Calva, J.; Ludeña, C.; Bec, N.; Larroque, C.; Salinas, M.; Vidari, G.; Armijos, C. Constituents and Selective BuChE Inhibitory Activity of the Essential Oil from Hypericum aciculare Kunth. Plants 2023, 12, 2621. [Google Scholar] [CrossRef] [PubMed]
- Zoghbi, M.; Guilhon, G.; Sarges, F.; Pereira, R.; Oliveira, J. Variabilidad química de los volátiles de las hojas de Eugenia protenta McVaugh (Myrtaceae) que crecen de forma silvestre en el norte de Brasil. Bioquím. Sist. Ecol. 2011, 39, 660–665. [Google Scholar] [CrossRef]
- Magina, M.D.A.; Dalmarco, E.M.; Dalmarco, J.B.; Colla, G.; Pizzolatti, M.G.; Brighente, I. Bioactive triterpenes and phenolics of leaves of Eugenia brasiliensis. Quım. Nova 2012, 35, 1184–1188. [Google Scholar] [CrossRef]
- Apel, M.A.; Limberger, R.P.; Sobral, M.; Henriques, A.T.; Ntalani, H.; Verin, P.; Menut, C.; Bessiere, J.M. Chemical composition of the essential oils from southern Brazilian Eugenia species. Part III. J. Essent. Oil Res. 2002, 14, 259–262. [Google Scholar] [CrossRef]
- Stefanello, M.É.A.; Cervi, A.C.; Ito, I.Y.; Salvador, M.J.; Wisniewski, A.; Simionatto, E.L. Chemical composition and antimicrobial activity of essential oils of Eugenia chlorophylla (myrtaceae). J. Essent. Oil Res. 2008, 20, 75–78. [Google Scholar] [CrossRef]
- Da Silva Rivas, A.C.; Lopes, P.M.; De Azevedo Barros, M.M.; Costa Machado, D.C.; Alviano, C.S.; Alviano, D.S. Biological activities of α-pinene and β-pinene enantiomers. Molecules 2012, 17, 6305–6316. [Google Scholar]
- Allenspach, M.; Valder, C.; Flamm, D.; Grisoni, F.; Steuer, C. Verification of chromatographic profile of primary essential oil of Pinus sylvestris L. combined with chemometric analysis. Molecules 2020, 25, 2973. [Google Scholar] [CrossRef] [PubMed]
- Vespermann, K.A.; Paulino, B.N.; Barcelos, M.C.; Pessôa, M.G.; Pastore, G.M.; Molina, G. Biotransformation of α-and β-pinene into flavor compounds. Appl. Microbiol. Biotechnol. 2017, 101, 1805–1817. [Google Scholar] [CrossRef] [PubMed]
- De Sousa Eduardo, L.; Farias, T.C.; Ferreira, S.B.; Ferreira, P.B.; Lima, Z.N.; Ferreira, S.B. Antibacterial activity and time-kill kinetics of positive enantiomer of α-pinene against strains of Staphylococcus aureus and Escherichia coli. Curr. Top. Med. Chem. 2018, 18, 917–924. [Google Scholar] [CrossRef] [PubMed]
- Ložienė, K.; Švedienė, J.; Paškevičius, A.; Raudonienė, V.; Sytar, O.; Kosyan, A. Influence of plant origin natural α-pinene with different enantiomeric composition on bacteria, yeasts and fungi. Fitoterapia 2018, 127, 20–24. [Google Scholar] [CrossRef] [PubMed]
- Nikitina, L.E.; Startseva, V.A.; Vakulenko, I.A.; Khismatulina, I.M.; Lisovskaya, S.A.; Glushko, N.P.; Fassakhov, R.S. Synthesis and antifungal activity of compounds of the pinane series. Pharm. Chem. J. 2009, 43, 251–254. [Google Scholar] [CrossRef]
- Van Zyl, R.L.; Seatlholo, S.T.; Van Vuuren, S.F.; Viljoen, A.M. The biological activities of 20 nature identical essential oil constituents. J. Essent. Oil Res. 2006, 18, 129–133. [Google Scholar] [CrossRef]
- Rufino, A.T.; Ribeiro, M.; Judas, F.; Salgueiro, L.; Lopes, M.C.; Cavaleiro, C.; Mendes, A.F. Anti-inflammatory and chondroprotective activity of (+)-α-pinene: Structural and enantiomeric selectivity. J. Nat. Prod. 2014, 77, 264–269. [Google Scholar] [CrossRef] [PubMed]
- Miyazawa, M.; Yamafuji, C. Inhibition of acetylcholinesterase activity by bicyclic monoterpenoids. J. Agric. Food Chem. 2005, 53, 1765–1768. [Google Scholar] [CrossRef]
- Yang, Z.; Wu, N.; Zu, Y.; Fu, Y. Comparative anti-infectious bronchitis virus (IBV) activity of (-)-pinene: Effect on nucleocapsid (N) protein. Molecules 2011, 16, 1044–1054. [Google Scholar] [CrossRef]
- Tenfen, A.; Vechi, G.; Cechinel-Zanchett, C.C.; Lorenzett, T.S.; Reginato-Couto, C.E.; Siebert, D.A.; Vitali, L.; Micke, G.; Klein-Júnior, L.C.; Cechinel Filho, V. Phenolic profile by HPLC-ESI-MS/MS of six Brazilian Eugenia species and their potential as cholinesterase inhibitors. Nat. Prod. Res. 2021, 35, 2608–2611. [Google Scholar] [CrossRef]
- Knez, D.; Coquelle, N.; Pišlar, A.; Žakelj, S.; Jukič, M.; Sova, M.; Mravljak, J.; Nachon, F.; Brazzolotto, X.; Kos, J.; et al. Multi-target-directed ligands for treating Alzheimer’s disease: Butyrylcholinesterase inhibitors displaying antioxidant and neuroprotective activities. Eur. J. Med. Chem. 2018, 156, 598–617. [Google Scholar] [CrossRef] [PubMed]
- Moneim, A.E. Oxidant/Antioxidant imbalance and the risk of Alzheimer’s disease. Curr. Alzheimer Res. 2015, 12, 335–349. [Google Scholar] [CrossRef] [PubMed]
- Lima, B.G.; Tietbohl, L.A.C.; Fernandes, C.P.; Cruz, R.A.S.; Da Botas, G.S.; Santos, M.G.; Silva-Filho, M.V.; Rocha, L. Chemical composition of essential oils and anticholinesterasic activity of Eugenia sulcata spring ex mart. Lat. Am. J. Pharm. 2012, 31, 152–155. [Google Scholar]
- Souza, A.D.; Lopes, E.M.C.; Silva, M.C.D.; Cordeiro, I.; Young, M.C.M.; Sobral, M.E.G.; Moreno, P.R.H. Chemical composition and acetylcholinesterase inhibitory activity of essential oils of Myrceugenia myrcioides (Cambess.) O. Berg and Eugenia riedeliana O. Berg, Myrtaceae. Rev. Bras. Farmacogn. 2010, 20, 175–179. [Google Scholar] [CrossRef]
- Siebert, D.A.; Tenfen, A.; Yamanaka, C.N.; De Cordova, C.M.M.; Scharf, D.R.; Simionatto, E.; Alberton, M.D. Evaluation of seasonal chemical composition, antibacterial, antioxidant and anticholinesterase activity of essential oil from Eugenia brasiliensis Lam. Nat. Prod. Res. 2014, 29, 289–292. [Google Scholar] [CrossRef] [PubMed]
- Lee, D.C.; Ahn, Y.J. Laboratory and simulated field bioassays to evaluate larvicidal activity of Pinus densiflora hydrodistillate, its constituents and structurally related compounds against Aedes albopictus, Aedes aegypti and Culex pipiens pallens in relation to their inhibitory effects on acetylcholinesterase activity. Insects 2013, 30, 217–229. [Google Scholar]
- Miyazawa, M.; Watanabe, H.; Kameoka, H. Inhibition of acetylcholinesterase activity by monoterpenoids with a p-menthane skeleton. J. Agric. Food Chem. 1997, 45, 677–679. [Google Scholar] [CrossRef]
- Aazza, S.; Lyoussi, B.; Miguel, M.G. Antioxidant and Antiacetylcholinesterase Activities of Some Commercial Essential Oils and Their Major Compounds. Molecules 2011, 16, 7672–7690. [Google Scholar] [CrossRef] [PubMed]
- Miyazawa, M.; Tougo, H.; Ishihara, M. Inhibition of acetylcholinesterase activity by essential oil from Citrus paradisi. Nat. Prod. Lett. 2001, 15, 205–210. [Google Scholar] [CrossRef] [PubMed]
- Calva, J.; Cartuche, L.; Castillo, L.N.; Morocho, V. Biological Activities and Chemical Composition of Essential Oil from Hedyosmum purpurascens (Todzia)—An Endemic Plant in Ecuador. Molecules 2023, 28, 2366. [Google Scholar] [CrossRef]
- Ellman, G.L.; Courtney, K.D.; Andres, V.; Featherstone, R.M. A new and rapid colorimetric determination of acetylcholinesterase activity. Biochem. Pharmacol. 1961, 7, 88–95. [Google Scholar] [CrossRef]
Disclaimer/Publisher’s Note: The statements, opinions and data contained in all publications are solely those of the individual author(s) and contributor(s) and not of MDPI and/or the editor(s). MDPI and/or the editor(s) disclaim responsibility for any injury to people or property resulting from any ideas, methods, instructions or products referred to in the content. |
© 2023 by the authors. Licensee MDPI, Basel, Switzerland. This article is an open access article distributed under the terms and conditions of the Creative Commons Attribution (CC BY) license (https://creativecommons.org/licenses/by/4.0/).



