Analysis of Differences in the Chemical Composition of Glycosides and Sugars between Four Forms of Fresh Rehmanniae Radix
Abstract
:1. Introduction
2. Results
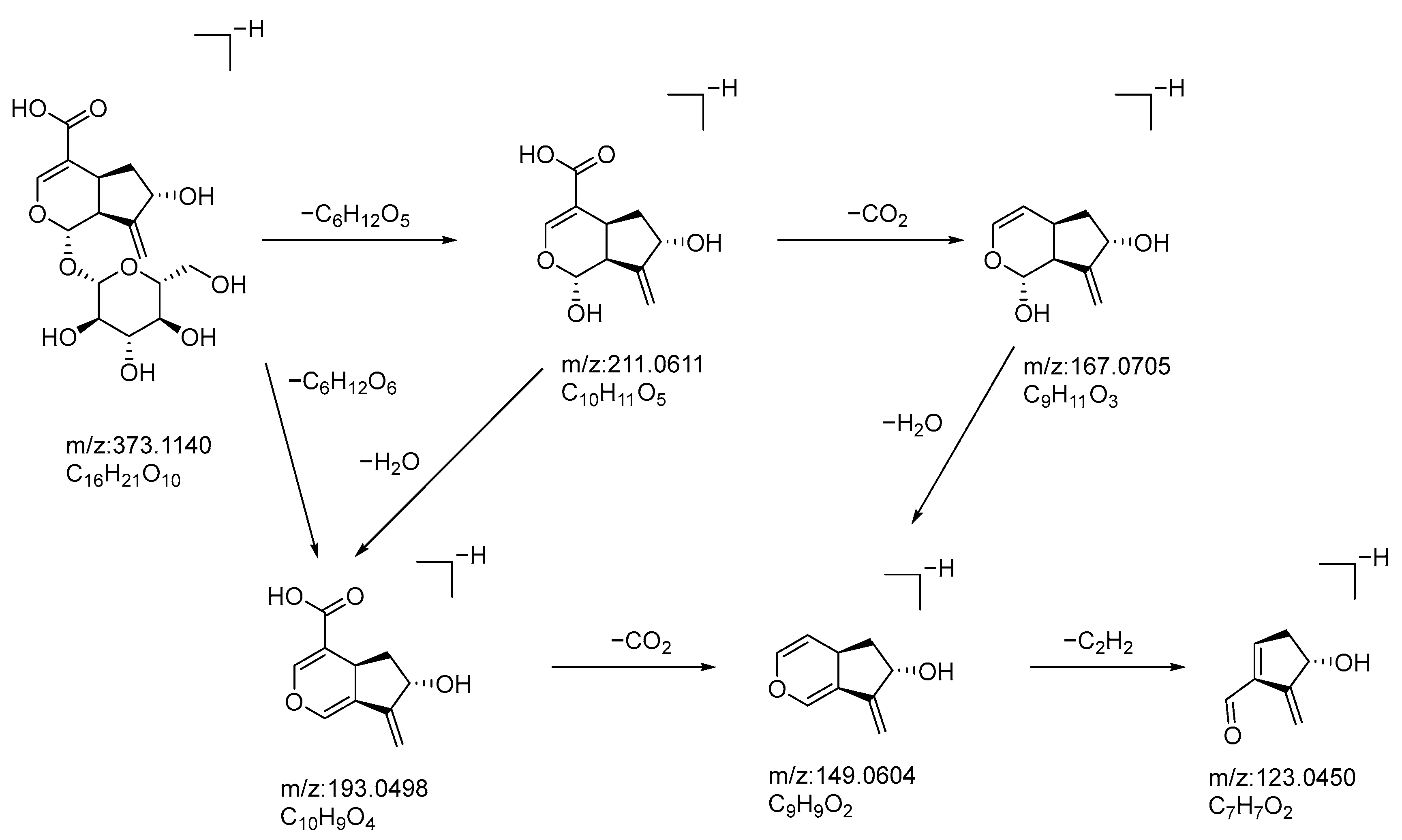
2.1. Identification of Iridoid Glycoside Compounds
2.2. Identification of Rehmaionoside Compounds
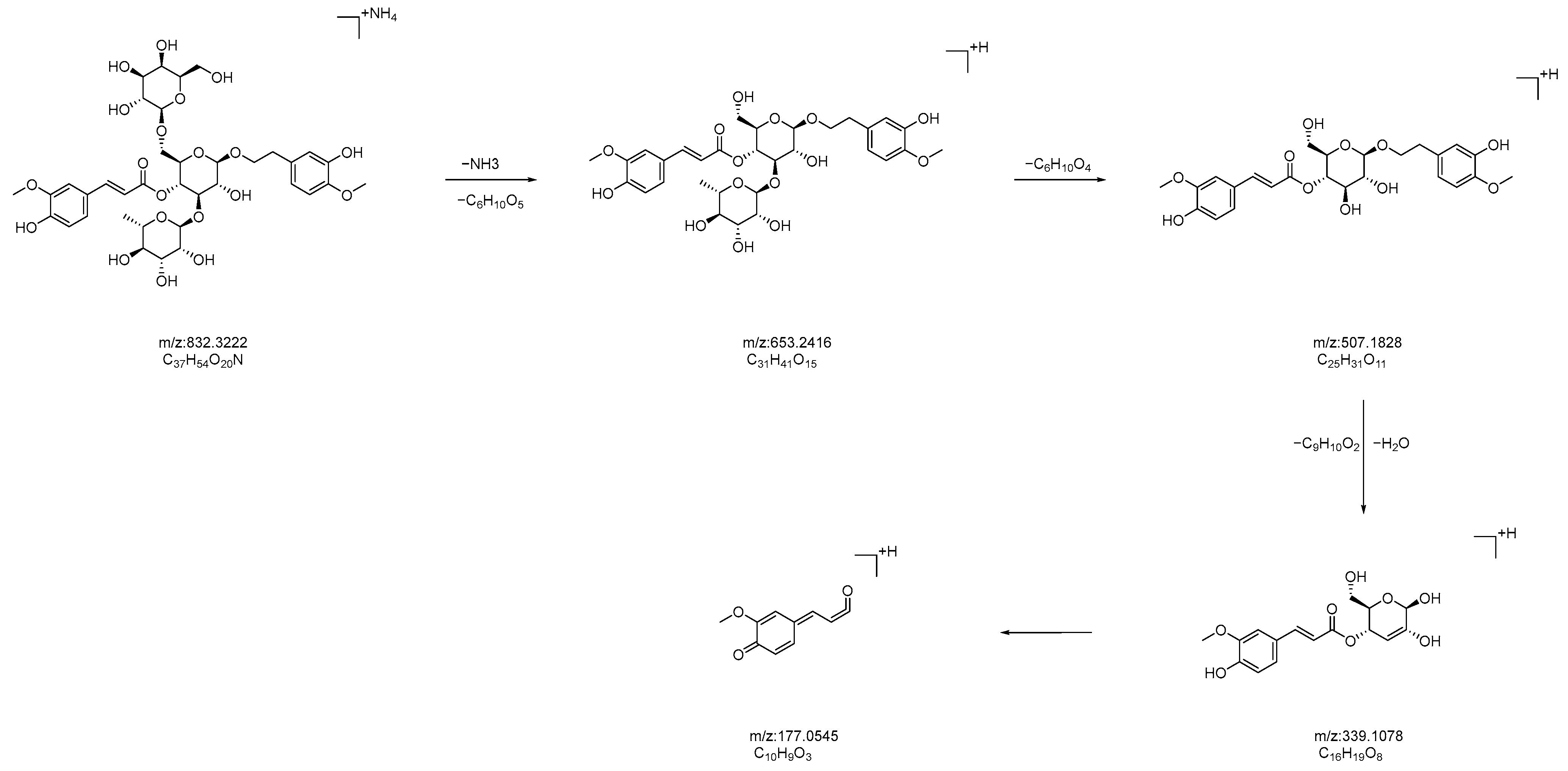
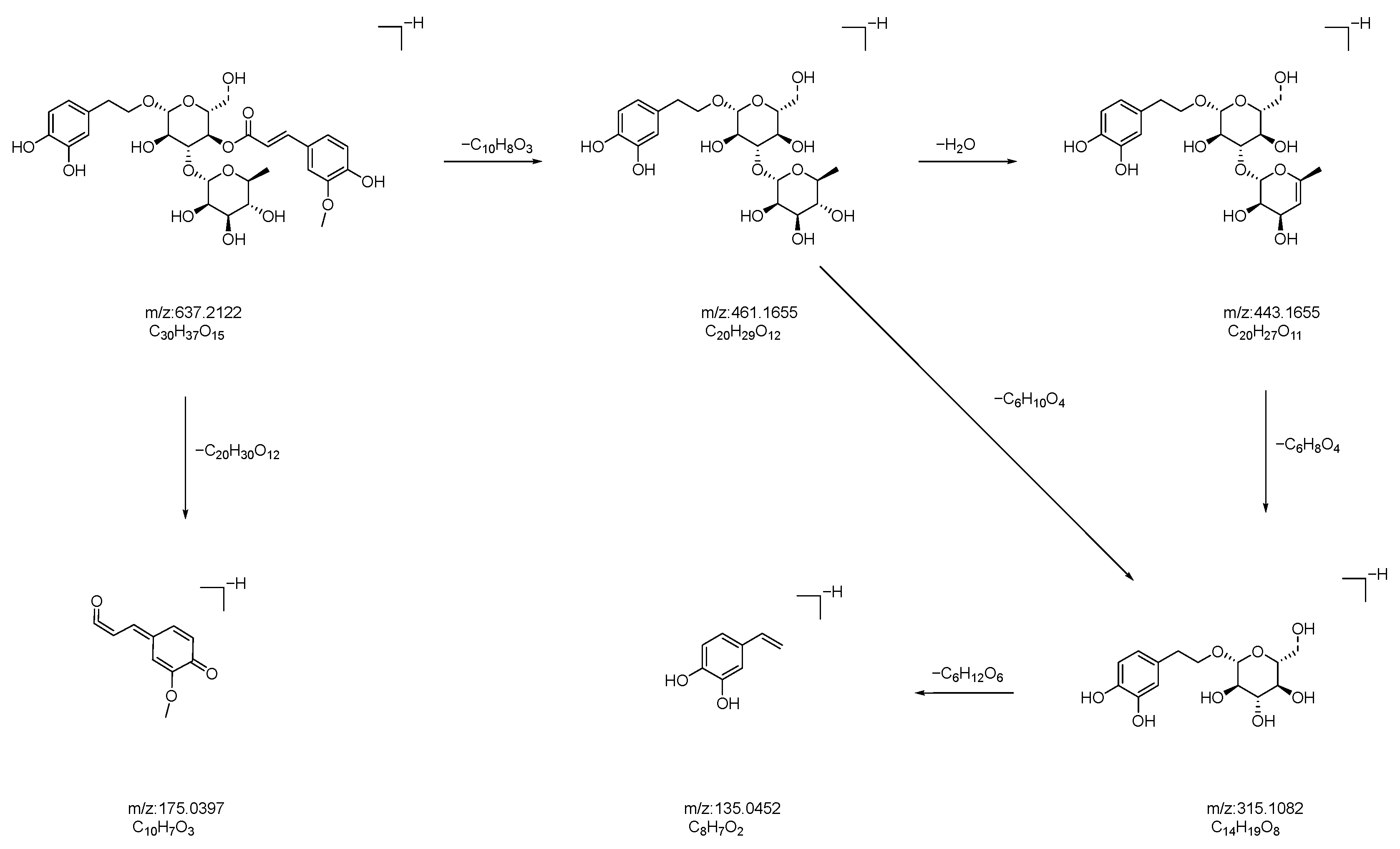
2.3. Identification of Phenylethanoid Glycoside Compounds
2.4. Identification of Rehmapicroside Compounds
2.5. Identification of Furanylaldehyde Compounds
2.6. Fragmentation Pattern Analysis
2.7. Selection of the Mobile Phase
3. Discussion
4. Materials and Methods
4.1. Instruments, Chemicals, and Reagents
4.2. Preparation of Extracts and Polysaccharide Samples
4.3. Analytical Conditions
4.3.1. Analysis of Cyclohexenone Terpenoids and Their Glycosides
- (1)
- Chromatographic Conditions
- (2)
- Mass Spectrometric Conditions
4.3.2. Sugar Components
- (1)
- Chromatographic Conditions
- (2)
- Mass Spectrometric Conditions
5. Conclusions
Supplementary Materials
Author Contributions
Funding
Institutional Review Board Statement
Informed Consent Statement
Data Availability Statement
Conflicts of Interest
References
- Zhu, Y.; Zhu, H.; Chen, J. Textual Research on Materia Medica of Rehmanniae Radix and Application in Febrile Disease. Asia-Pac. Tradit. Med. 2023, 19, 180–184. [Google Scholar]
- Zhou, J. Studies on the Chemical Constituents of Rehmannia henryi; Peking Union Medical College: Beijing, China, 2019. [Google Scholar]
- Yang, J. Study on the Comparison among Different Processing Methods in the Producing Area about Rehmannia Glutinosa; Huazhong Agricultural University: Wuhan, China, 2008. [Google Scholar]
- Sasaki, H.; Nishimura, H.; Morota, T.; Katsuhara, T.; Chin, M.; Mitsuhashi, H. Norcarotenoid Glycosides of Rehmannia Glutinosa Var. Purpurea. Pergamon 1991, 30, 1639–1644. [Google Scholar] [CrossRef]
- Oshima, Y.; Tanaka, K.; Hikino, H. Sesquiterpenoid from Rehmannia Glutinosa Roots. Pergamon 1993, 33, 233–234. [Google Scholar] [CrossRef]
- Ma, X. Textual Research on Materia Medica of Rehmanniae Radix Radix. Tradit. Chin. Med. Res. 2010, 23, 23–24. [Google Scholar]
- Wang, B.; Lv, C.; He, M.; Xue, F.; Zhang, S. Research Progress on Rehmanniae Radix Radix Preparata. Mod. Tradit. Chin. Med. Mater. Medica-World Sci. Technol. 2018, 20, 1010–1017. [Google Scholar]
- Guo, Z.J.; Zhai, H.Q.; Yuan, Y.P.; Zhang, T.; Li, R.; Kong, L.T.; Jia, X.Y. National physician master Jin Shiyuan’s dispensing technology of Rehmanniae Radix Praeparata based on Li Shizhen’s pharmaceutical academic thought. Zhongguo Zhong Yao Za Zhi 2016, 41, 1759–1762. [Google Scholar] [CrossRef]
- Yan, S.; Fan, H.; Li, R.; Wang, L.; Luo, W.; Gao, F.; Chen, L.; Wei, P. Historical Evolution and Modern Research of Steamed for Nine Times and Shined for Nine Times for Chinese Medicine. China Pharm. 2020, 23, 136–141. [Google Scholar]
- Xue, S.; Wang, L.; Chen, S.; Cheng, Y. Simultaneous Analysis of Saccharides between Fresh and Processed Radix Rehmanniae by HPLC and UHPLC-LTQ-Orbitrap-MS with Multivariate Statistical Analysis. Molecules 2018, 23, 541. [Google Scholar] [CrossRef] [PubMed]
- Zhang, H.; Zhu, J. Textual Research of the Medicinal History of Cow’s Milk. Zhejiang J. Tradit. Chin. Med. 2020, 55, 856–857. [Google Scholar]
- Lei, Z.; Lei, Z.; Xia, X. Preliminary Study on Serum Pharmacochemistry of Chuanxiong Extract. Chin. J. Exp. Tradit. Med. Formulae 2011, 17, 96–98. [Google Scholar]
- Park, K.S.; Chang, I.M. Anti-inflammatory activity of aucubin by inhibition of tumor necrosis factor-alpha production in RAW 264.7 cells. Planta Med. 2004, 70, 778–779. [Google Scholar] [CrossRef] [PubMed]
- Wang, Z.; An, L.J.; Duan, Y.L.; Li, Y.C.; Jiang, B. Catalpol protects rat pheochromocytoma cells against oxygen and glucose deprivation-induced injury. Neurol. Res. 2008, 30, 106–112. [Google Scholar] [CrossRef] [PubMed]
- Cai, Q.; Yao, Z. Advances of Catalpol’s roles in the Nervous System. Prog. Mod. Biomed. 2010, 10, 3589–3591+3597. [Google Scholar]
- Yu, G.; Long, F.; Huang, S. Research Progress Concerning Biological Activities of Iridoids. Shaanxi For. Sci. Technol. 2009, 174, 69–73. [Google Scholar]
- Zhao, S.; Lu, Y.; Chen, J.; Duan, H.; Wu, Z. Experimental Study on the Hypoglycemic Effect of Catalpol of Rehmannia Glutinosa. Lishizhen Med. Mater. Medica Res. 2009, 20, 171–172. [Google Scholar]
- Zhou, C. A Review of Pharmacological Studies on iridoid glycosides. World Latest Med. Inf. 2016, 16, 38. [Google Scholar]
- Zhu, Y.; Wang, Y. Advances in research on aucubin. Chin. Tradit. Herb. Drugs 2006, 6, 947–949. [Google Scholar]
- Wang, J.; Yu, Z.; Li, G.S. Experimental study on rehmaionoside A in nourishing yin and regulating immune functions. Chin. Pharm. J. 2002, 37, 22–24. [Google Scholar]
- Jin, X.; Sun, J.; Xie, W.; Wan, Z.; Jin, Y.; Zhu, J. Study of geniposide-acid on anti-inflammatory action for adjuvant-induced arthritis rats and mechanism of synoviocyte apoptosis in vitro. China J. Chin. Mater. Medica 2009, 34, 3082–3086. [Google Scholar]
- Yang, R.; Lu, Y.; Hao, H.; Zhang, M.D.; Xuan, J.; Zhang, Y.Q. Research progress on chemical constituents and pharmacological activities of iridoid glycosides in Lonicera japonica. Zhongguo Zhong Yao Za Zhi 2021, 46, 2746–2752. [Google Scholar] [CrossRef]
- Yan, F.; Xie, Y.; Chen, C.; Guo, J.; Zhou, Z.; Wu, Y.; Huang, L. Chemical Changes and Pharmacological Effects Research Progress during the Processing of Prepared Rehmanniae Radix. Lishizhen Med. Mater. Medica Res. 2021, 32, 2493–2495. [Google Scholar]
- Krämer, K. Iminosugars. From Synthesis to Therapeutic Applications. Herausgegeben von Philippe Compain und Olivier, R. Martin. Angew. Chem. 2008, 120, 9518–9519. [Google Scholar] [CrossRef]
- Rajasekaran, P.; Ande, C.; Vankar, Y.D. Parasuraman Rajasekaran, Synthesis of (5,6 & 6,6)-oxa-oxa annulated sugars as glycosidase inhibitors from 2-formyl galactal using iodocyclization as a key step (SK-11809KP). Arkivoc 2022, 2022, 5–23. [Google Scholar] [CrossRef]
- Li, G.; Liu, M.; Wang, H.; Shi, R. A Study on the Dynamic Changes of iridoid glycosides in the Processing of Rehmanniae Radix Radix Medicinal Herbs. Chin. J. Tradit. Med. Sci. Technol. 2008, 15, 440–442. [Google Scholar]
- Guo, A. The Influence of Different Processing Methods on the Chemical Constituents and Pharmacological Effects of Rehmanniae Radix Radix. China’s Naturop. 2019, 27, 86–88, 108. [Google Scholar]
- Zhou, L.; Xu, J.; Mao, Q.; Tang, Y.; Li, S. New Developments and Prospects in the Processing and Preparation Research of Rehmanniae Radix Radix. J. Chin. Med. Mater. 2016, 39, 1184–1190. [Google Scholar]
- Liu, Y.; Liang, D.; Luo, H.; Hao, Z.; Wang, Y.; Zhang, C.; Chen, R.; Yu, D. Chemical constituents from root tubers of Rehmannia Glutinosa. Chin. Tradit. Herb. Drugs 2014, 45, 16–22. [Google Scholar]
- Khadim, A.; Jeelani, S.U.Y.; Khan, M.N.; Kumari, S.; Raza, A.; Ali, A.; Zareena, B.; Shah, S.M.Z.; Musharraf, S.G. Targeted Analysis of Veterinary Drugs in Food Samples by Developing a High-Resolution Tandem Mass Spectral Library. J. Agric. Food Chem. 2023, 71, 12839–12848. [Google Scholar] [CrossRef]
- Li, S.L.; Song, J.Z.; Qiao, C.F.; Zhou, Y.; Qian, K.; Lee, K.H.; Xu, H.X. A novel strategy to rapidly explore potential chemical markers for the discrimination between raw and processed Radix Rehmanniae by UHPLC-TOFMS with multivariate statistical analysis. J. Pharm. Biomed. Anal. 2010, 51, 812–823. [Google Scholar] [CrossRef]
- Chen, Q. Development of Two-Dimensional Liquid Chromatographytandem Mass Spectrometry Detection for the Analysis Ofconstituents of Zhizichi Decoction; Guangdong Pharmaceutical University: Guangzhou, China, 2014. [Google Scholar]
- Song, Q.; Zhao, Y.; Zhang, N.; Zhang, Q.; Liu, Y.; Li, J.; Song, Y.; Tu, P. Establishment of HPLC fingerprint of Rehmanniae Radix Radix and itsHPLC-ESI-MS analysis. Chin. Tradit. Herb. Drugs 2016, 47, 4247–4252. [Google Scholar]
- Zhang, B.; Jiang, Z.; Wang, Y.; Yang, L.; Yang, F.; Yu, H. Analysis of chemical constituents in fresh, dried and prepared Rehmanniae Radix Radix by UPLC/ESI-Q-TOF MS. Chin. Tradit. Pat. Med. 2016, 38, 1104–1108. [Google Scholar]
- Gao, J.R.; Zhu, M.Q.; Wang, X.L.; Wu, H.; Shan, L.; Wang, Y. Identification of chemical constituents in Huangdi Anxiao Capsules by UPLC-Q-TOF-MS~E combined with UNIFI software. Zhongguo Zhong Yao Za Zhi 2020, 45, 2395–2405. [Google Scholar] [CrossRef] [PubMed]
- Chen, S.L.; Liu, A.; Li, Q.; Toru, S.; Zhu, G.W.; Sun, Y.; Dai, Y.T.; Zhang, J.; Zhang, T.J.; Takehisa, T.; et al. Research strategies in standard decoction of medicinal slices. Zhongguo Zhong Yao Za Zhi 2016, 41, 1367–1375. [Google Scholar] [CrossRef] [PubMed]
















Disclaimer/Publisher’s Note: The statements, opinions and data contained in all publications are solely those of the individual author(s) and contributor(s) and not of MDPI and/or the editor(s). MDPI and/or the editor(s) disclaim responsibility for any injury to people or property resulting from any ideas, methods, instructions or products referred to in the content. |
© 2023 by the authors. Licensee MDPI, Basel, Switzerland. This article is an open access article distributed under the terms and conditions of the Creative Commons Attribution (CC BY) license (https://creativecommons.org/licenses/by/4.0/).
Share and Cite
Xu, L.; Guo, X.; Xue, S.; Di, R.; Chen, S. Analysis of Differences in the Chemical Composition of Glycosides and Sugars between Four Forms of Fresh Rehmanniae Radix. Molecules 2023, 28, 7995. https://doi.org/10.3390/molecules28247995
Xu L, Guo X, Xue S, Di R, Chen S. Analysis of Differences in the Chemical Composition of Glycosides and Sugars between Four Forms of Fresh Rehmanniae Radix. Molecules. 2023; 28(24):7995. https://doi.org/10.3390/molecules28247995
Chicago/Turabian StyleXu, Lu, Xiaokai Guo, Shujuan Xue, Ruiyi Di, and Suiqing Chen. 2023. "Analysis of Differences in the Chemical Composition of Glycosides and Sugars between Four Forms of Fresh Rehmanniae Radix" Molecules 28, no. 24: 7995. https://doi.org/10.3390/molecules28247995
APA StyleXu, L., Guo, X., Xue, S., Di, R., & Chen, S. (2023). Analysis of Differences in the Chemical Composition of Glycosides and Sugars between Four Forms of Fresh Rehmanniae Radix. Molecules, 28(24), 7995. https://doi.org/10.3390/molecules28247995
